Effects of Temperature and Salinity on Podocyst Recycling of the Edible Jellyfish Rhopilema esculentum (Kishinouye, 1891)
Abstract
:Simple Summary
Abstract
1. Introduction
2. Materials and Methods
2.1. Origin of Podocysts
2.2. Laboratory Testing
2.3. Index Measurements and Statistical Analysis
3. Results
3.1. Podocyst Excystment
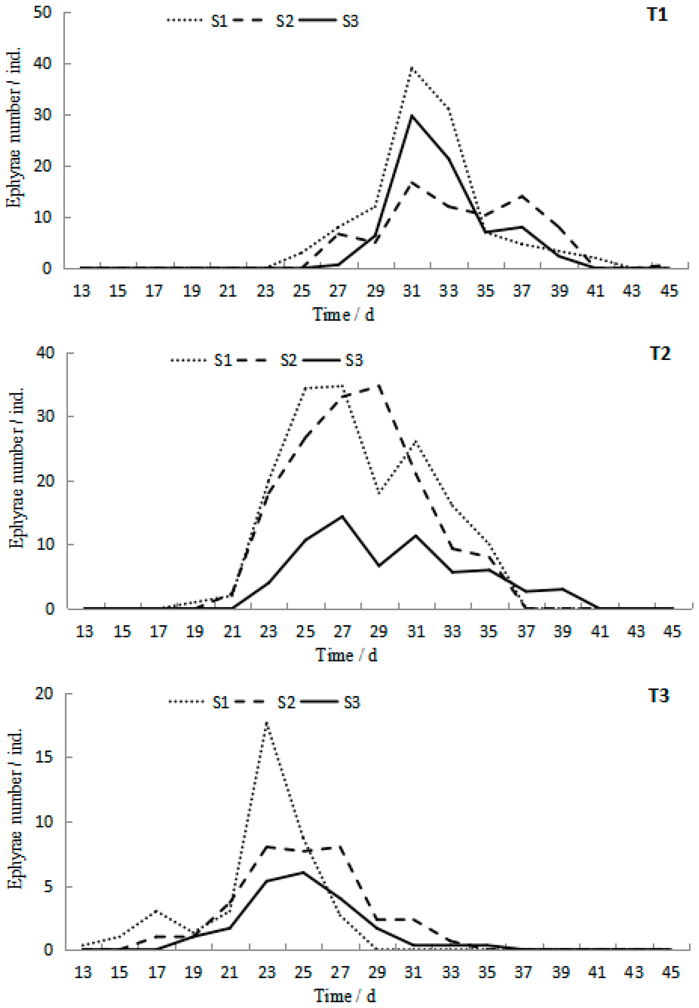
3.2. Strobilation
3.3. Transfer Rates from Podocysts to Ephyrae
4. Discussion
5. Conclusions
Author Contributions
Funding
Institutional Review Board Statement
Informed Consent Statement
Data Availability Statement
Conflicts of Interest
References
- Dong, J.; Jiang, L.X.; Tan, K.F.; Liu, H.Y.; Purcell, J.E.; Li, P.J.; Ye, C.C. Stock enhancement of the edible jellyfish (Rhopilema esculentum Kishinouye) in Liaodong Bay, China: A review. Hydrobiologia 2009, 616, 113–118. [Google Scholar] [CrossRef]
- Li, Y.F.; Li, Y.L.; Zhou, Z.C.; Tian, M.L.; Bao, X.B.; He, C.B. Pond culture of edible jellyfish Rhopilema esculentum in North China coast: Research progress. Fish. Sci. 2020, 39, 286–294. [Google Scholar]
- You, K.; Chi, X.P.; Ma, C.H.; Liu, X.T.; Mu, Y.C.; Han, Z.Q.; Gao, Z.X.; Ding, M.L.; Luo, C.Y. Analysis on the development of Rhopilema Esculentum industry in China. Chin. Fish. Econ. 2012, 30, 108–112. [Google Scholar]
- Li, Y.F.; Zheng, M.X.; Zhu, F.; Lin, J. Preparation and physicochemical properties of jellyfish collagen. J. Fuzhou Univ. 2018, 46, 286–294. [Google Scholar]
- You, K.; Ma, C.H.; Gao, H.; Li, F.; Zhang, M.; Wang, Q.B. Research on the jellyfish (Rhopilema esculentum Kishinouye) and associated aquaculture techniques in China:current status. Aquac. Int. 2007, 15, 479–488. [Google Scholar] [CrossRef]
- Jiao, J.J.; Zhang, Y.Q.; Zhang, J.H.; Li, L.Z.; Qiu, S.Y. Jellyfish Rhopilema esculentum stock enhancement in coastal Shandong province: Review and thinking. Fish. Sci. 2021, 40, 141–150. [Google Scholar]
- Arai, M.N. The potential importance of podocysts to the formation of scyphozoan blooms: A review. Hydrobiologia 2009, 616, 241–246. [Google Scholar] [CrossRef]
- Thein, H.; Ikeda, H.; Uye, S.I. Ecophysiological characteristics of podocysts in Chrysaora pacifica (Goette) and Cyanea nozakii Kishinouye (Cnidaria: Scyphozoa: Semaeostomeae): Effects of environmental factors on their production, dormancy and excystment. J. Exp. Mar. Biol. Ecol. 2013, 446, 151–158. [Google Scholar] [CrossRef]
- Kawahara, M.; Ohtsu, K.; Uye, S.I. Bloom or non-bloom in the giant jellyfish Nemopilema nomurai (Scyphozoa: Rhizostomeae): Roles of dormant podocysts. J. Plankton Res. 2013, 35, 213–217. [Google Scholar] [CrossRef] [Green Version]
- Thein, H.; Ikeda, H.; Uye, S.I. The potential role of podocysts in perpetuation of the common jellyfish Aurelia aurita s.l. (Cnidaria: Scyphozoa) in anthropogenically perturbed coastal waters. Hydrobiologia 2012, 690, 157–167. [Google Scholar] [CrossRef]
- Ding, G.W.; Chen, J.K. The life history of Rhopilema esculent a kishinouye. J. Fish. China 1981, 5, 93–104. [Google Scholar]
- Sun, M.; Dong, J.; Zhao, Y.; Fu, Z.L. Morphological studies on advanced metephyrae of Nemopilema nomurai and Rhopilema esculentum. Prog. Fish. Sci. 2010, 31, 48–53. [Google Scholar]
- Liu, C.S.; Wan, Y.; Gao, F.; Chen, S.Q.; Wang, A.M.; Gu, Z.F. Ultrastructure of the embryonic development and metamorphosis of Rhopilema esculentum. Acta Hydrobiol. Sin. 2018, 42, 1019–1026. [Google Scholar]
- Hao, Z.L.; Zheng, B.; Li, Q.; Li, X.Y.; Chen, T.J. Research Progress on the effects of environmental conditions on the growth and development of jellyfish. J. Dalian Fish. Univ. 2015, 30, 444–448. [Google Scholar]
- Chen, J.K.; Ding, G.W. The effect of temperature on the strobilation of Rhopilema esculenta Kishinouye. Acta Zool. Sin. 1983, 29, 195–206. [Google Scholar]
- Chen, J.K.; Ding, G.W.; Liu, C.Y. The effect of light on the strobilation of Rhopilema esculenta Kishinouye. Oceanol. Et Limnol. Sin. 1984, 15, 310–316. [Google Scholar]
- Chen, J.K.; Ding, G.W. On the seasonal regularity of strobilation of edible medusa. J. Fish. China 1984, 8, 55–68. [Google Scholar]
- Guo, P. Effect of nutritional condition on the formation and germination of the podocyst of scyphistomae of Rhopilema esculenta Kishinouye. J. Fish. China 1990, 14, 206–211. [Google Scholar]
- You, K.; Ma, C.H.; Gao, H.W.; Li, F.; Wei, R. The Effects of temperature decrease on the scyphistomae strobilation of Jellyfish, Rhopilema esculentum Kishinouye. J. World Aquac. Soc. 2008, 39, 706–711. [Google Scholar] [CrossRef]
- Li, Y.L.; Wang, B.; Wang, W.B.; Dong, J. Genetic diversity analysis of Rhopilema esculentum population in Liaodong Bay based on COI wave gene. Fish. Sci. 2016, 35, 404–409. [Google Scholar]
- Li, Y.L.; Dong, J.; Wang, B.; Li, Y.P.; Yu, X.G.; Fu, J.; Wang, W.B. Genetic characterization of different populations of Rhopilema esculentum based on the mito-chondrial COI sequence. Chin. J. Appl. Ecol. 2016, 27, 2340–2347. [Google Scholar]
- Di, M.Y.; Zhou, Z.C.; Li, Y.F.; Tian, M.L.; Hou, H.M.; Li, Y.L.; Bao, X.B.; He, C.B. Analysis of genetic diversity in four wild populations of jellyfish Rhopilema esculenta by microsatellite markers. Fish. Sci. 2018, 37, 762–768. [Google Scholar]
- Zhang, J.H.; Qiu, S.R.; Qiao, F.Q.; Li, Z.; Geng, B.L. Relationship between Distribution of Jellyfish Resources and Zooplankton in Coastal Southern Shandong. Fish. Sci. 2013, 32, 98–101. [Google Scholar]
- Sun, M.; Wang, B.; Li, Y.L.; Wang, A.Y.; Dong, J.; Ma, T.Y.; Ban, Y.L. Feeding habitats and trophic levels of Rhopilema esculentum Kishinouye in Liaodong Bay based on analyzing carbon and nitrogen stable isotopes. Chin. J. Appl. Ecol. 2016, 27, 1103–1108. [Google Scholar]
- Liang, W.B.; Jiang, L.X.; Yu, S.L. The Review and developmental Strategies on the Enhancement and Releasement of Jellyfish in Offshore Fishing Areas in Liaoning Province. Fish. Sci. 2007, 26, 423–424. [Google Scholar]
- Zhou, Y.D. The retrospection and prospect of releasing and enhancement of fishery resources in Zhejiang coastal waters. Mar. Fish. 2004, 26, 131–139. [Google Scholar]
- Liu, C.Y.; Bi, Y.P. A Method of Recapture Rate in Jellyfish Ranching. Fish. Sci. 2006, 25, 150–151. [Google Scholar]
- Chen, S.Q.; Zhang, Y.; Wang, Y.G.; Yu, D.X. Breeding of jellyfish (Rhopilema esculenta Kishinouye). Mar. Sci. 2004, 28, 4–7. [Google Scholar]
- Zhang, M.; Lu, D.X. Rhopilema esculentum culture techniques in Nantong area. Hebei Fish. 2015, 12, 44–47. [Google Scholar]
- Jia, Q.H.; Yang, P.W.; Chen, X.X.; Bai, H.F.; Li, X.C.; Liu, G.; Shen, H.B.; Wen, S.E. Rhopilema esculentum artificial cultivation and managemen. Mod. Agric. Technol. 2015, 15, 272–273. [Google Scholar]
- Guo, K.; Zhao, W.; Dong, S.L.; Jiang, Z.Q. Structure of suspended particles andorganic carbon storage in jellyfish-shellfish-fish-prawn polyculture ponds. Acta Ecol. Sin. 2016, 36, 1872–1880. [Google Scholar]
- Sun, X.W.; Zheng, W.J.; Huang, Y.D. Polyculture of Jellyfish, Tiger Shrimp, and Razor Clam (Sinonovacula constricta) in a Pond in Nanton. Chin. J. Fish. 2017, 30, 38–41. [Google Scholar]
- Wang, B.; Tian, J.S.; Zhou, Z.C. Food web in jellyfish-shrimp-shellfish polyculture pond. Chin. J. Appl. Ecol. 2021, 32, 2028–2034. [Google Scholar]
- Zhao, Z.L.; Guan, X.Y.; Wang, B.; Dong, Y.; Zhou, Z.C. Bacterial community composition in a polyculture system of Rhopilema esculenta, Penaeus monodon and Ruditapes Philipp. Aquac. Res. 2019, 50, 973–978. [Google Scholar] [CrossRef]
- You, K.; Ma, C.H.; Wang, S.J.; Gao, T.X.; Li, J.L.; Wang, X.W. Effects of aeration and feeding on podocyst germination of jellyfish, Rhopolema esculentum Kishinouye. J. Fish. Sci. China 2010, 17, 1353–1357. [Google Scholar]
- Lu, N.; Jiang, S.; Chen, J.K. Effects of temperature, salinity and light on the podoctst generation of Rhopilema esculenta kishinouye. Fish. Sci. 1997, 16, 3–8. [Google Scholar]
- Jiang, S.; Lu, N.; Chen, J.K. Effect of temperature, salinity and light on the germination of the podocyst of Rhopilema esculenta kishinouye. Fish. Sci. 1993, 12, 1–4. [Google Scholar]
- Zhang, X.L.; Cheng, Y.X.; Chen, S.Q.; Chen, C.Y.; Zhang, Y. The effect of temperature on strobilation and early stage growth of jellyfish, Rhopilema esculenta. J. Shanghai Fish. Univ. 2006, 15, 182–185. [Google Scholar]
- Wu, Y.; Li, S.F.; Yan, L.P.; Jiang, Y.Z.; Cheng, J.H. Effects of temperature and salinity on asexual reproduction of Rhopilema Esculenta. J. Anhui Agric. Sci. 2009, 37, 11414–11418. [Google Scholar]
- You, K.; Ma, C.H.; Wang, S.J.; Gao, T.X.; Yao, Z.H.; Wang, X.W. The effect of short-term low temperature on strobilation of jellyfish, Rhopilema esculenta kishinouve. Acta Hydrobiol. Sin. 2010, 34, 1223–1227. [Google Scholar] [CrossRef]
- You, K.; Wang, S.J.; Ma, C.H.; Gao, T.X.; Wang, Y.Z.; Yang, C.H. Long-term low temperature effect on jellyfish strobilation. Adv. Mar. Sci. 2011, 29, 215–220. [Google Scholar]
- Purcell, J.E. Environmental effects on asexual reproduction rates of the scyphozoan Aurelia labiata. Mar. Ecol. Prog. Ser. 2007, 348, 183–196. [Google Scholar] [CrossRef]
- Liu, W.C.; Lo, W.T.; Purcell, J.E.; Chang, H.H. Effect of temperature and light intensity on asexual reproduction of the scyphozoan, Aurelia aurita (L.) in Taiwan. Hydrobiology 2009, 616, 247–258. [Google Scholar] [CrossRef]
- Sun, M.; Chai, Y.; Dong, J.; Fu, Z.L.; Liu, Z.G.; Lin, J.Q.; Wang, J.H. Effects of environmental factors on polyp survival and reproduction of Aurelia ap.1. Acta Ecol. Sin. 2017, 37, 1309–1317. [Google Scholar]
- Willcox, S.; Moltschaniwskyj, N.A.; Crawford, C. Asexual reproduction in scyphistoma of Aurelia sp.: Effects of temperature and salinity in an experimental study. J. Exp. Mar. Biol. Ecol. 2007, 353, 107–114. [Google Scholar] [CrossRef]
- Zhang, F.; Sun, S.; Jin, X.; Li, C.L. Associations of large jellyfish distributions with temperature and salinity in the Yellow Sea and East China Sea. Hydrobiology 2012, 690, 81–96. [Google Scholar] [CrossRef]
- Sun, M.; Dong, J.; Purcell, J.E.; Li, Y.L.; Duan, Y.; Wang, A.Y.; Wang, B. Testing the influence of previous-year temperature and food supply on development of Nemopilema nomurai blooms. Hydrobiology 2015, 754, 85–96. [Google Scholar] [CrossRef]
- Purcell, J.E.; Atienza, D.; Fuentes, V.; Olariaga, A.; Tilves, U.; Colahan, C.; Gili, J.M. Temperature effects on asexual reproduction rates of scyphozoan species from the northwest Mediterranean Sea. Hydrobiology 2012, 690, 169–180. [Google Scholar] [CrossRef]







| Source | Temperature | Salinity | Temperature × Salinity | Error | |
|---|---|---|---|---|---|
| df | 2 | 2 | 4 | 18 | |
| Cumulative podocyst excystment/% | Mean square | 55.266 | 27.109 | 12.84 | 5.888 |
| F | 9.387 | 4.604 | 2.181 | ||
| p | 0.002 | 0.024 | 0.112 | ||
| Start time of strobilation/d | Mean square | 164.148 | 18.926 | 0.148 | 1.963 |
| F | 83.623 | 9.642 | 0.075 | ||
| p | 0 | 0.01 | 0.989 | ||
| Duration of strobilation/d | Mean square | 17.333 | 8.111 | 12.778 | 0.481 |
| F | 36 | 16.846 | 26.538 | ||
| p | 0 | 0 | 0 | ||
| Cumulative ephyra numbers/ind. | Mean square | 20519.593 | 5499.704 | 2211.593 | 338.37 |
| F | 60.642 | 16.254 | 6.536 | ||
| p | 0 | 0 | 0.002 | ||
| Transfer rates from podocysts to ephyrae/% | Mean square | 1003.122 | 244.298 | 96.687 | 15.925 |
| F | 62.989 | 15.34 | 6.071 | ||
| p | 0 | 0 | 0.003 | ||
Publisher’s Note: MDPI stays neutral with regard to jurisdictional claims in published maps and institutional affiliations. |
© 2022 by the authors. Licensee MDPI, Basel, Switzerland. This article is an open access article distributed under the terms and conditions of the Creative Commons Attribution (CC BY) license (https://creativecommons.org/licenses/by/4.0/).
Share and Cite
Sun, M.; Chen, F.; Duan, Y.; Sun, J. Effects of Temperature and Salinity on Podocyst Recycling of the Edible Jellyfish Rhopilema esculentum (Kishinouye, 1891). Sustainability 2022, 14, 5202. https://doi.org/10.3390/su14095202
Sun M, Chen F, Duan Y, Sun J. Effects of Temperature and Salinity on Podocyst Recycling of the Edible Jellyfish Rhopilema esculentum (Kishinouye, 1891). Sustainability. 2022; 14(9):5202. https://doi.org/10.3390/su14095202
Chicago/Turabian StyleSun, Ming, Fudi Chen, Yan Duan, and Jianming Sun. 2022. "Effects of Temperature and Salinity on Podocyst Recycling of the Edible Jellyfish Rhopilema esculentum (Kishinouye, 1891)" Sustainability 14, no. 9: 5202. https://doi.org/10.3390/su14095202
APA StyleSun, M., Chen, F., Duan, Y., & Sun, J. (2022). Effects of Temperature and Salinity on Podocyst Recycling of the Edible Jellyfish Rhopilema esculentum (Kishinouye, 1891). Sustainability, 14(9), 5202. https://doi.org/10.3390/su14095202
