The Legacy of Mercury Contamination from a Past Leather Manufacturer and Health Risk Assessment in an Urban Area (Pisa Municipality, Italy)
Abstract
:1. Introduction
2. Site Location and Geomorphological Outlines
3. Materials and Method
3.1. Sampling
3.2. Analytical Procedures
3.3. Risk Assessment
4. Results
4.1. Soil and Plants
4.2. Hg Speciation in Soil
4.2.1. Hg Determined by Chemical Extraction
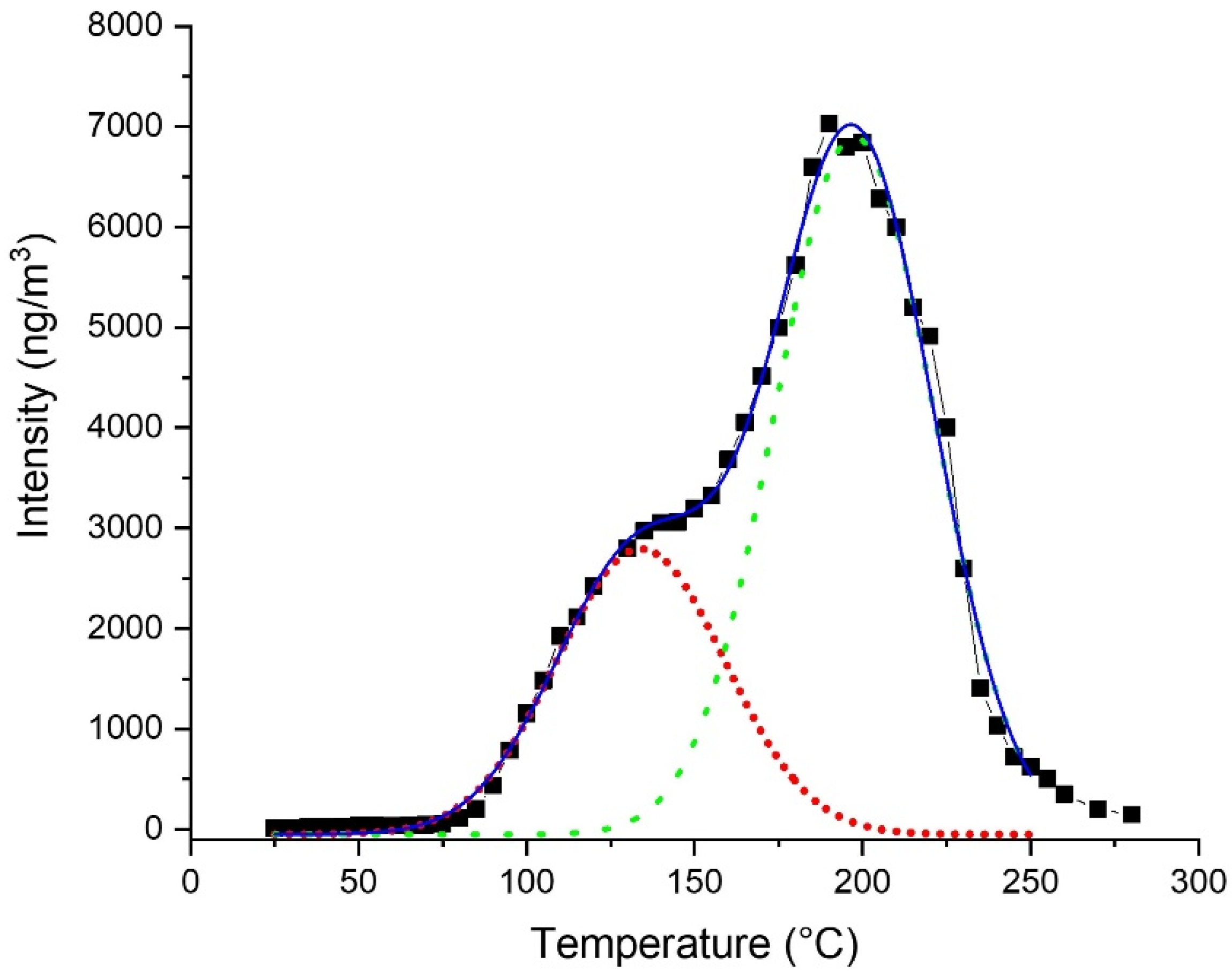
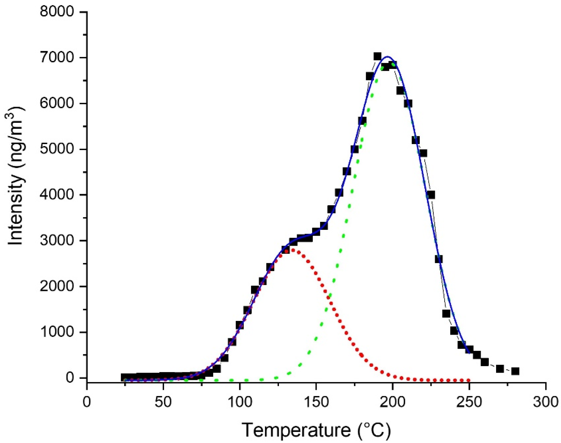
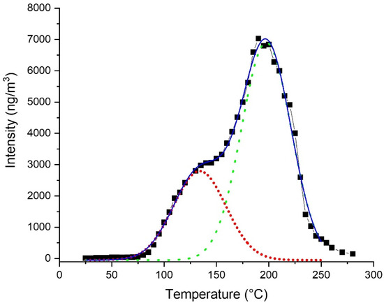
4.2.2. Hg Thermal Desorption Analysis
4.3. Water
4.4. Risk Analysis
5. Discussion
6. Conclusions
Author Contributions
Funding
Institutional Review Board Statement
Informed Consent Statement
Conflicts of Interest
References
- Beckers, F.; Rinklebe, J. Cycling of mercury in the environment: Sources, fate, and human health implications: A review. Crit. Rev. Environ. Sci. Technol. 2017, 47, 693–794. [Google Scholar] [CrossRef]
- Bernhoft, R.A. Mercury Toxicity and Treatment: A Review of the Literature. J. Environ. Public. Health 2012, 2012, 460508. [Google Scholar] [CrossRef] [PubMed]
- Rice, K.M.; Walker, J.E.M.; Wu, M.; Gillette, C.; Blough, E.R. Environmental mercury and its toxic effects. J. Prev. Med. Public Health 2014, 47, 74–83. [Google Scholar] [CrossRef] [PubMed]
- Tariq, M. Toxicity of mercury in humans: A review. J. Clin. Toxicol. 2019, 9, 431. [Google Scholar]
- WHO. Ten Chemicals of Major Health Concern; World Health Organization: Geneva, Switzerland, 2017. [Google Scholar]
- Ceccatelli, S.; Aschner, M. Methylmercury and Neurotoxicity; Springer: New York, NY, USA, 2012. [Google Scholar] [CrossRef]
- Evers, D.C.; Keane, S.E.; Basu, N.; Buck, D. Evaluating the effectiveness of the Minamata Convention on Mercury: Principles and recommendations for next steps. Sci. Total Environ. 2016, 569–570, 888–903. [Google Scholar] [CrossRef] [PubMed]
- Selin, N.E. Global biogeochemical cycling of mercury: A review. Annu. Rev. Environ. Resour. 2009, 34, 43–63. [Google Scholar] [CrossRef] [Green Version]
- Wang, Y.; Liu, G.; Li, Y.; Liu, Y.; Guo, Y.; Shi, J.; Hu, L.; Cai, Y.; Yin, Y.; Jiang, G. Occurrence of mercurous [Hg(I)] species in environmental solid matrices as probed by mild 2-mercaptoethanol extraction and HPLC-ICP-MS analysis. Environ. Sci. Technol. Lett. 2020, 7, 482–488. [Google Scholar] [CrossRef]
- Gilmour, C.C.; Podar, M.; Bullock, A.L.; Graham, A.M.; Brown, S.D.; Somenahally, A.C.; Johs, A.; Hurt, R.A., Jr.; Bailey, K.L.; Elias, D.A. Mercury methylation by novel microorganisms from new environments. Environ. Sci. Technol. 2013, 47, 11810–11820. [Google Scholar] [CrossRef]
- Celo, V.; Lean, D.R.S.; Scott, S.L. Abiotic methylation of mercury in the aquatic environment. Sci. Total Environ. 2006, 368, 126–137. [Google Scholar] [CrossRef]
- Compeau, G.C.; Bartha, R. Sulfate-reducing bacteria: Principal methylators of mercury in anoxic estuarine sediment. Appl. Environ. Microbiol. 1985, 50, 498–502. [Google Scholar] [CrossRef] [Green Version]
- Shao, D.; Kang, Y.; Wu, S.; Wong, M.H. Effects of sulfate reducing bacteria and sulfate concentrations on mercury methylation in freshwater sediments. Sci. Total Environ. 2012, 424, 331–336. [Google Scholar] [CrossRef] [PubMed]
- Achá, D.; Hintelmann, H.; Yee, J. Importance of sulfate reducing bacteria in mercury methylation and demethylation in periphyton from Bolivian Amazon region. Chemosphere 2011, 82, 911–916. [Google Scholar] [CrossRef] [PubMed]
- Horvat, M.; Covelli, S.; Faganeli, J.; Logar, M.; Mandić, V.; Rajar, R.; Širca, A.; Žagar, D. Mercury in contaminated coastal environments; a case study: The Gulf of Trieste. Sci. Total Environ. 1999, 237–238, 43–56. [Google Scholar] [CrossRef]
- Gosnell, K.; Balcom, P.; Ortiz, V.; DiMento, B.; Schartup, A.; Greene, R.; Mason, R. Seasonal cycling and transport of mercury and methylmercury in the turbidity maximum of the Delaware Estuary. Aquat. Geochem. 2016, 22, 313–336. [Google Scholar] [CrossRef]
- King, J.K.; Kostka, J.E.; Frischer, M.E.; Saunders, F.M. Sulfate-reducing bacteria methylate mercury at variable rates in pure culture and in marine sediments. Appl. Environ. Microbiol. 2000, 66, 2430–2437. [Google Scholar] [CrossRef] [Green Version]
- Leopold, K.; Foulkes, M.; Worsfold, P.J. Methods for the determination and speciation of mercury in natural waters. A review. Anal. Chim. Acta 2010, 663, 127–138. [Google Scholar] [CrossRef]
- Mendes, L.A.; de Lena, J.C.; do Valle, C.M.; Fleming, P.M.; Windmöller, C.C. Quantification of methylmercury and geochemistry of mercury in sediments from a contaminated area of Descoberto (MG), Brazil. Appl. Geochem. 2016, 75, 32–43. [Google Scholar] [CrossRef]
- Ullrich, S.M.; Ilyushchenko, M.A.; Uskov, G.A.; Tanton, T.W. Mercury distribution and transport in a contaminate driver system in Kazakhstan and associated impacts on aquatic biota. Appl. Geochem. 2007, 22, 2706–2734. [Google Scholar] [CrossRef]
- Hammerschmidt, C.R.; Fitzgerald, W.F. Geochemical controls on the production and distribution of methylmercury in near-shore marine sediments. Environ. Sci. Technol. 2004, 38, 1487–1495. [Google Scholar] [CrossRef]
- Schaefer, J.K.; Morel, F.M.M. High methylation rates of mercury bound to cysteine by Geobacter sulfurreducens. Nat. Geosci. 2009, 2, 123–126. [Google Scholar] [CrossRef]
- Benoit, J.M.; Gilmour, C.C.; Heyes, A.; Mason, R.P.; Miller, C.L. Geochemical and biological controls over methylmercury production and degradation in aquatic ecosystems. ACS Symp. Ser. 2003, 835, 262–297. [Google Scholar]
- Liu, Y.; Zhi, L.; Shaoqi, Z.; Feng, X. Effects of mercury binding by humic acid and humic acid resistance on mercury stress in rice plants under high Hg/humic acid concentration ratios. Environ. Sci. Pollut. Res. 2020, 27, 18650–18660. [Google Scholar] [CrossRef] [PubMed]
- Skyllberg, U.; Bloom, P.R.; Qian, J.; Lin, C.-M.; Bleam, W.F. Complexation of mercury(II) in soil organic matter: EXAFS evidence for linear two-coordination with reduced sulfur groups. Environ. Sci. Technol. 2006, 40, 4174–4180. [Google Scholar] [CrossRef] [PubMed]
- Thanabalasingam, P.; Pickering, W.F. The sorption of mercury(II) by humic acids. Environ. Pollut. 1985, 9, 267–279. [Google Scholar] [CrossRef]
- Zhang, J.; Dai, J.; Wang, R.; Li, F.; Wang, W. Adsorption and desorption of divalent mercury (Hg2+) on humic acids and fulvic acids extracted from typical soils in China. Colloids Surf. A Physicochem. Eng. Asp. 2009, 335, 194–201. [Google Scholar] [CrossRef]
- Bonnissel-Gissinger, P.; Alnot, M.; Lickes, J.-P.; Ehrhardt, J.-J.; Behra, P. Modeling the adsorption of mercury(II) on (hydr)oxides II: A-FeOOH (goethite) and amorphous silica. J. Colloid Interface Sci. 1999, 215, 313–322. [Google Scholar] [CrossRef]
- Richard, J.-H.; Bishoff, C.; Ahrens, C.G.M.; Biester, H. Mercury (II) reduction and co-precipitation of metallic mercury on hydrous ferric oxide in contaminated groundwater. Sci. Total Environ. 2016, 539, 36–44. [Google Scholar] [CrossRef]
- Ha, J.; Zhao, X.; Yu, R.; Barkay, T.; Yee, N. Hg(II) reduction by siderite (FeCO3). Appl. Geochem. 2017, 78, 211–218. [Google Scholar] [CrossRef] [Green Version]
- O’Loughlin, E.J.; Kelly, S.D.; Kemner, K.M.; Csencsits, R.; Cook, R.E. Reduction of Ag(I), Au(III), Cu(II), and Hg(II) by Fe(II)/Fe(III) hydroxysulfate green rust. Chemosphere 2003, 53, 437–446. [Google Scholar] [CrossRef]
- O’Loughlin, E.J.; Boyanov, M.I.; Kemmer, K.M.; Thalhammer, K.O. Reduction of Hg(II) by Fe(II)-bearing spectate clay minerals. Minerals 2020, 10, 1079. [Google Scholar] [CrossRef]
- Pannu, R.; Siciliano, S.D.; O’Driscoll, N.J. Quantifying the effects of soil temperature, moisture and sterilization on elemental mercury formation in boreal soils. Environ. Pollut. 2014, 193, 138–146. [Google Scholar] [CrossRef] [PubMed]
- Rocha, J.C.; Sargentini, E., Jr.; Zara, L.F.; Rosa, A.H.; dos Santos, A.; Burba, P. Reduction of mercury(II) by tropical river humic substances (Rio Negro)—A possible process of the mercury cycle in Brazil. Talanta 2000, 53, 551–559. [Google Scholar] [CrossRef]
- Wiatrowski, H.A.; Das, S.; Kukkadapu, R.; Ilton, E.S.; Barkay, T.; Yee, N. Reduction of Hg(II) to Hg(0) by magnetite. Environ. Sci. Technol. 2009, 43, 5307–5313. [Google Scholar] [CrossRef]
- Zhang, T.; Kim, B.; Leyard, C.; Reinsch, B.C.; Lowry, G.V.; Deshusses, M.A.; Hsu-Kim, H. Methylation of Mercury by Bacteria Exposed to Dissolved, Nanoparticulate, and Microparticulate Mercuric Sulfides. Environ. Sci. Technol. 2012, 46, 6950–6958. [Google Scholar] [CrossRef] [PubMed]
- Gibičar, D.; Horvat, M.; Logar, M.; Fajon, V.; Falnoga, I.; Ferrara, R.; Lanzillotta, E.; Ceccarini, C.; Mazzolai, B.; Denby, B.; et al. Human exposure to mercury in the vicinity of a chlor-alkali plant. Environ. Res. 2009, 109, 355–367. [Google Scholar] [CrossRef] [PubMed]
- Wang, F.Y.; Wang, S.X.; Zhang, L.; Yang, H.; Wu, Q.R.; Hao, J.M. Characteristics of mercury cycling in the cement production process. J. Hazard. Mater. 2016, 302, 27–35. [Google Scholar] [CrossRef]
- Wang, F.Y.; Wang, S.X.; Zhang, L.; Yang, H.; Gao, W.; Wu, Q.R.; Hao, J.M. Mercury mass flow in iron and steel production process and its implications for mercury emission control. J. Environ. Sci. 2016, 43, 293–301. [Google Scholar] [CrossRef]
- Zhao, S.; Pudasainee, D.; Duan, Y.; Gupta, R.; Liu, M.; Lu, J. A review on mercury in coal compustion process: Content and occurrence forms in coal, transformation, sampling methods, emission and control technologies. Prog. Energy Combust. Sci. 2019, 73, 26–64. [Google Scholar] [CrossRef]
- Covelli, S.; Langone, L.; Acquavita, A.; Piani, R.; Emili, A. Historical flux of mercury associated with mining and industrial sources in the Marano and Grado Lagoon (northern Adriatic Sea). Estuar. Coast. Shelf Sci. 2012, 113, 7–19. [Google Scholar] [CrossRef]
- Vaselli, O.; Nisi, B.; Rappuoli, D.; Cabassi, J.; Tassi, F. Gaseous elemental mercury and total and leached mercury in building materials from the former Hg-mining area of Abbadia San Salvatore (Central Italy). Int. J. Environ. Res. Public Health 2017, 14, 425. [Google Scholar] [CrossRef] [Green Version]
- Veiga, M.M.; Maxson, P.A.; Hylander, L.D. Origin and consumption of mercury in a small-scale gold mining. J. Clean. Prod. 2006, 14, 436–447. [Google Scholar] [CrossRef]
- Mojammal, A.H.M.; Back, S.-K.; Seo, Y.-C.; Kim, J.-H. Mass balance and behavior of mercury in oil refinery facilities. Atmos. Pollut. Res. 2019, 10, 145–151. [Google Scholar] [CrossRef]
- Krishnamoorthy, G.; Sadulla, S.; Sehgal, P.K.; Mandal, B.A. Greener approach to leather tanning process: D-Lysine aldehyde as novel tanninh agent for chrome-fre tanning. J. Clean. Prod. 2013, 42, 277–286. [Google Scholar] [CrossRef]
- Tasca, A.L.; Puccini, M. Leather tanning:life cycle assessment of retanning, fatliquoring and dyeing. J. Clean. Prod. 2019, 226, 720–729. [Google Scholar] [CrossRef]
- Reis, A.T.; Davidson, C.M.; Vale, C.; Pereira, E. Overview and challenges of mercury fractionation and speciation in soils. TrAC Trends Anal. Chem. 2016, 82, 109–117. [Google Scholar] [CrossRef] [Green Version]
- Issaro, N.; Abi-Ghanem, C.; Bermond, A. Fractionation studies of mercury in soils and sediments: A review of the chemical reagents used for mercury extraction. Anal. Chim. Acta 2009, 631, 1–12. [Google Scholar] [CrossRef]
- Bini, M.; Pappalardo, M.; Rossi, V.; Noti, V.; Amorosi, A.; Sarti, G. Deciphering the effects of human activity on urban areas through morphostratigraphic analysis: The case of Pisa, Northwest Italy. Geoarchaeology 2018, 33, 43–51. [Google Scholar] [CrossRef]
- Bini, M.; Rossi, V.; Amorosi, A.; Pappalardo, M.; Sarti, G.; Noti, V.; Capitani, M.; Fabiani, F.; Gualandi, M.L. Palaeoenvironments and palaeotopography of a multilayered city during the Etruscan and Roman periods: Early interaction of fluvial processes and urban growth at Pisa (Tuscany, Italy). J. Archeol. Sci. 2015, 59, 197–210. [Google Scholar] [CrossRef]
- Sarti, G.; Rossi, V.; Amorosi, A.; Bini, M.; Giacomelli, S.; Pappalardo, M.; Ribecai, C.; Ribolini, A.; Sammartino, I. Climatic signature of two mid-late Holocene fluvial incisions formed under sea-level highstand conditions (Pisa coastal plain, NW Tuscany, Italy). Palaeogeogr. Palaeoclimatol. Palaeoecol. 2015, 424, 183–195. [Google Scholar] [CrossRef]
- Amorosi, A.; Rossi, V.; Sarti, G.; Mattei, R. Coalescent valley fills from the late Quaternary record of Tuscany (Italy). Quat. Int. 2013, 288, 129–138. [Google Scholar] [CrossRef]
- Hojdová, M.; Rohovec, J.; Chrastný, V.; Penížek, V. The influence of sample drying procedures on mercury concentrations analyzed in soils. Bull. Environ. Contam. Toxicol. 2015, 94, 570–576. [Google Scholar] [CrossRef] [PubMed]
- ISO 10390. Soil Quality—Determination of pH; International Organization for Standardization: Geneva, Switzerland, 2005. [Google Scholar]
- Bloom, N.S.; Preus, E.; Katon, J.; Hiltner, M. Selective extractions to assess the biogeochemically relevant fractionation of inorganic mercury in sediments and soils. Anal. Chim. Acta 2003, 479, 233–248. [Google Scholar] [CrossRef]
- Boszke, L.; Kowalski, A.; Astel, A.; Barański, A.; Qworek, B.; Siepak, J. Mercury mobility and bioavailability in soil from contaminated area. Environ. Geol. 2008, 55, 1075–1087. [Google Scholar] [CrossRef]
- ASTM. Standard Provisional Guide for Risk-Based Corrective Action; Report E 2081-00; American Society for Testing Materials: West Conshohocken, PA, USA, 2000. [Google Scholar]
- US EPA. Soil Screening Guidance: Technical Background Document; EPA/540/R-95/128; Office of Emergency and Remedial Response, US Environmental Protection Agency: Washington, DC, USA, 1996. [Google Scholar]
- OEHHA. Technical Supporting Document for Noncancer RELs, Appendix D1 2008 (Updated July 2014). Available online: http://oehha.ca.gov/chemicals/mercury-inorganic (accessed on 9 February 2022).
- USDoE. RAIS: Risk Assessment Information System. 2010. Available online: http://rais.ornl.gov (accessed on 9 February 2022).
- US EPA. Regional Screening level (RSLs)—User’s Guide; US Environmental Protection Agency: Washington, DC, USA, 2021. [Google Scholar]
- USTCEQ. Texas Commission of Environmental Quality 2021. Current PCL Tables. Available online: www.tceq.texas.gov/remediation/trrp/trrppcls.html (accessed on 9 February 2022).
- US EPA. Risk Assessment Guidance for Superfund—Volume I: Human Health Evaluation Manual. Part A; EPA/540/1-89/002; Office of Emergency and Temediation Response, US Environmental Protection Agency: Washington, DC, USA, 1989. [Google Scholar]
- US EPA. Supplemental Guidance for Developing Soil Screening Levels for Superfund Sites. In Solid Waste and Remedial Response; OSWER 9355.4-24; US Environmental Protection Agency: Washington, DC, USA, 2002. [Google Scholar]
- Amorosi, A.; Sammartino, I.; Sarti, G. Background levels of potentially toxic metals from soils of the Pisa coastal plain (Tuscany, Italy) as identified from sedimentological criteria. Environ. Earth Sci. 2013, 69, 1661–1671. [Google Scholar] [CrossRef]
- Pal, S.K.; Roy, R. Evaluating heavy metals emission’ pattern on road influenced by urban road layout. Transp. Res. Interdiscip. Perspect. 2021, 10, 100362. [Google Scholar] [CrossRef]
- Zheng, S.-A.; Wu, Z.; Chen, C.; Liang, J.; Huang, H.; Zheng, X. Evaluation of leafy vegetables as bioindicators of gaseous mercury pollution in sewage-irrigated areas. Environ. Sci. Pollut. Res. 2018, 25, 413–421. [Google Scholar] [CrossRef] [PubMed]
- Rinklebe, J.; During, A.; Overesch, M.; Du Laing, G.; Wennrich, R.; Stärk, H.-J.; Mothes, S. Dynamics of mercury fluxes and their controlling factors in large Hg-polluted floodplain areas. Environ. Pollut. 2010, 158, 308–318. [Google Scholar] [CrossRef] [Green Version]
- Coufalík, P.; Komárek, J. The use of thermal desorption in the speciation analysis of mercury in soil, sediments and tailings. J. Anal. Chem. 2014, 69, 1123–1129. [Google Scholar] [CrossRef]
- Kissinger, H.E. Reaction kinetics in differential thermal analysis. Anal. Chem. 1957, 29, 1702–1706. [Google Scholar] [CrossRef]
- Lord, F.M.; Kittelberger, J.S. On the determination of activation energies in thermal desorption experiments. Surf. Sci. 1974, 43, 173–182. [Google Scholar] [CrossRef]
- Kim, K.-H.; Yoon, H.-O.; Jung, M.-C.; Oh, J.-M.; Brown, R.J.C. A simple approach for measuring emission patterns of vapour phase mercury under temperature-controlled conditions from soil. Sci. World J. Artic. 2012, 2012, 940413. [Google Scholar] [CrossRef] [Green Version]
- Roseborough, D.; Gothelid, M.; Aune, R.E.; Seetharaman, S. The surface behavior of mercury on iron systems. Metall. Mater. Trans. 2006, 37, 1049–1056. [Google Scholar] [CrossRef]
- Siegel, S.M.; Siegel, B.Z. Temperature determinants of plant-soil-air mercury relationships. Water Air Soil Pollut. 1988, 40, 443–448. [Google Scholar] [CrossRef]
- Yang, J.; Shi, N.; Yan, B.; Wang, T.; Pan, W.-P. Removal of elemental mercury by solid sorbents at different temperatures: Variation of the desorption activation energy through thermal desorption analysis. Fuel 2022, 307, 121889. [Google Scholar] [CrossRef]
- Biester, H.; Gosar, M.; Müller, G. Mercury speciation in tailings of the Idrija mercury mine. J. Geochem. Explor. 1999, 65, 195–204. [Google Scholar] [CrossRef]
- Do Valle, C.M.; Santana, G.P.; Augusti, R.; Filho, F.B.E.; Windmöller, C.C. Speciation and quantification of mercury in Oxisol, Ultisol, and Spodosol from Amazon (Manaus, Brazil). Chemosphere 2005, 58, 779–792. [Google Scholar] [CrossRef] [PubMed]
- Hojdová, M.; Navrátil, T.; Rohovec, J. Distribution and speciation of mercury in mine waste dumps. Bull. Environ. Contam. Toxicol. 2008, 80, 237–241. [Google Scholar] [CrossRef]
- Amirbahman, A.; Kent, D.B.; Curtis, G.P.; Marvin-DiPasquale, M.C. Kinetics of homogeneous and surface-catalized mercury(II) reduction by iron (II). Environ. Sci. Technol. 2013, 47, 7204–7213. [Google Scholar] [CrossRef]
- Barnett, M.O.; Harris, L.A.; Turner, R.R.; Stevenson, R.J.; Henson, T.J.; Melton, R.C.; Hoffman, D.P. Formation of mercuric sulfide in soil. Environ. Sci. Technol. 1997, 31, 3037–3043. [Google Scholar] [CrossRef]
- O’Connor, D.; Hou, D.; Ok, Y.S.; Mulder, J.; Duan, L.; Wu, Q.; Wang, S.; Tack, F.M.G.; Rinklebe, J. Mercury speciation, transformation, and transportation in soils, atmospheric flux, and implications for risk management: A critical review. Environ. Int. 2019, 126, 747–761. [Google Scholar] [CrossRef]
- Kumari, S.; Jamwal, R.; Mishra, N.; Singh, D.M. Recent developments in environmental mercury bioremediation and its toxicity, e review. Environ. Nanotechnol. Monit. Manag. 2020, 13, 100283. [Google Scholar] [CrossRef]
- Frohne, T.; Rinklebe, J.; Langer, U.; Du Laing, G.; Mothes, S.; Wennrich, R. Biogeochemical factors affecting mercury methylation rate in two contaminated floodplain soils. Biogeosciences 2012, 9, 493–507. [Google Scholar] [CrossRef] [Green Version]
- Lin, C.J.; Gustin, M.S.; Singhasuk, P.; Eckley, C.; Miller, M. Empirical models for estimating mercury flux from soils. Environ. Sci. Technol. 2010, 44, 8522–8528. [Google Scholar] [CrossRef] [PubMed]
- Grassi, S.; Netti, R. Sea water intrusion and mercury pollution of some coastal aquifers in the province of Grosseto (Southern Tuscany—Italy). J. Hydrol. 2000, 237, 198–211. [Google Scholar] [CrossRef]






| Boreholes | Trench | MCL * | |||||
|---|---|---|---|---|---|---|---|
| PZ-1A | PZ-1B | PZ-2A | PZ-2B | T1-A | T1-B | ||
| TOC | 0.98 | 0.96 | 1.28 | 0.42 | 1.92 | 0.68 | |
| pH | 8.4 | 8.4 | 8.3 | 8.4 | 8.2 | 8.3 | |
| Li | 37 | 40 | 27 | 30 | 43 | 35 | |
| Be | 1.59 | 1.76 | 1.16 | 1.15 | 1.79 | 1.49 | 2 |
| Mn | 940 | 980 | 785 | 495 | 1143 | 911 | |
| Co | 14.8 | 16.3 | 12.2 | 12.1 | 17.2 | 14.1 | 20 |
| Ni | 76 | 83 | 57 | 57 | 80 | 72 | 120 |
| Cu | 124 | 103 | 68 | 35 | 56 | 149 | 120 |
| Zn | 135 | 136 | 266 | 77 | 98 | 163 | 150 |
| Sr | 115 | 124 | 144 | 81 | 156 | 104 | |
| Mo | 0.5 | 0.5 | 0.5 | <0.5 | <0.5 | <0.5 | |
| Ag | 0.67 | 0.85 | 0.64 | 0.12 | 1.26 | 0.82 | |
| Sn | 8.8 | 9.2 | 6.4 | 2.0 | 8.0 | 9.7 | |
| Cd | 0.27 | 0.28 | 0.34 | 0.11 | 0.17 | 0.38 | 2 |
| Sb | 0.77 | 0.63 | 0.49 | 0.24 | 0.43 | 0.72 | 10 |
| Ba | 213 | 213 | 320 | 130 | 209 | 210 | |
| Tl | 0.39 | 0.41 | 0.26 | 0.25 | 0.42 | 0.37 | 1 |
| Pb | 113 | 127 | 136 | 21 | 189 | 124 | 100 |
| Th | 6.7 | 7.0 | 5.5 | 5.7 | 7.3 | 6.6 | |
| U | 0.79 | 0.82 | 0.67 | 0.67 | 0.94 | 0.87 | |
| V | 70 | 77 | 50 | 50 | 78 | 66 | 90 |
| Cr(tot) | 107 | 129 | 76 | 76 | 115 | 106 | 150 |
| Cr (VI) | <1 | <1 | <1 | <1 | <1 | <1 | 2 |
| Fe | 33,035 | 35,463 | 21,994 | 23,523 | 34,749 | 30,510 | |
| As | 9.1 | 9.0 | 6.4 | 5.0 | 8.8 | 8.4 | 20 |
| Se | 1.3 | 1.4 | 1.1 | 1.1 | 2.9 | 2.6 | 3 |
| Boreholes | Sampling Depth | Hg | Taraxacum Officinale | Hg | Rhizosphere | Hg | Trench | Sampling Depth | Hg |
|---|---|---|---|---|---|---|---|---|---|
| PZ-1A | 0.1–1 | 26.9 | R1 | 0.62 | R1 | 0.99 | T1-A | 0.1–0.5 | 3.9 |
| PZ-1B | 1.2–1.6 | 26.3 | R2 | 0.42 | R2 | 0.08 | T1-B | 1 | 40 |
| PZ-2A | 0.1–1 | 4.6 | R3 | 0.85 | R3 | 8.49 | |||
| PZ-2B | 1.2–1.6 | 0.3 | R4 | 0.26 | R4 | 13.1 | |||
| PZ-3-1 | 0.31–0.34 | 26.8 | R5 | 0.82 | R5 | 75 | |||
| PZ-3-2 | 0.54–0.57 | 54.0 | R6 | 0.95 | R6 | 172 | |||
| PZ-3-3 | 0.82–0.85 | 1.19 | R7 | 0.84 | R7 | 3.21 | |||
| PZ-3-4 | 1.11–1.14 | 0.38 | R8 | 1.17 | R8 | 7.4 | |||
| PZ-3-5 | 1.31–1.34 | 0.55 | R9 | 0.79 | R9 | 3.33 | |||
| PZ-3-6 | 1.80–1.84 | 0.14 | R10 | 0.11 | R10 | 4.55 | |||
| PZ-3-7 | 2.22–2.24 | 0.07 | R11 | 1.50 | R11 | 24.9 | |||
| PZ-3-8 | 2.54–2.56 | 0.05 | In vase | 0.31 | |||||
| PZ-3-9 | 2.79–2.81 | 0.09 |
| Sample | PZ1-W1 July 2019 | PZ1-W2 Jan 2020 | PZ2-W1 July 2019 | PZ2-W2 Jan 2020 | MCL * |
|---|---|---|---|---|---|
| Twater (C°) | 17.3 | 15.5 | 15.7 | 15.4 | |
| Tair (C°) | 29.6 | 10.5 | 28.5 | 11.8 | |
| pH | 7 | 7.2 | 7.1 | 7.2 | |
| EC | 1955 | 2600 | 2230 | 3370 | |
| DO (mg/l) | 2.1 | 3 | 3.6 | 2 | |
| Eh (V) | 0.17 | 0.28 | 0.22 | 0.42 | |
| NH4 + (mg/L) | 1.59 | 2.1 | |||
| Hg (μg/L) | <0.2 | <0.2 | <0.2 | <0.2 | 1 |
| Na+ (mg/L) | 296 | 299 | 353 | 337 | |
| K+ (mg/L) | 8.3 | 7.4 | 16 | 17 | |
| Mg2+ (mg/L) | 57 | 58 | 60 | 66 | |
| Ca2+ (mg/L) | 231 | 247 | 208 | 240 | |
| F− (mg/L) | <1.5 | <1.5 | <1.5 | <1.5 | 1.5 |
| Cl− (mg/L) | 485 | 516 | 578 | 668 | |
| NO3− (mg/L) | <10 | <10 | <10 | <10 | 50 |
| SO42− (mg/L) | 96 | 119 | 147 | 194 | 250 |
| HCO3−(mg/L) | 799 | 927 | 653 | 683 | |
| Li (μg/L) | 10.3 | 7.7 | 11.6 | 8.2 | |
| Be (μg/L) | <0.07 | <0.1 | <0.07 | <0.1 | 4 |
| Mn (μg/L) | 4949 | 4082 | 2454 | 3404 | 50 |
| Co (μg/L) | 8.2 | 2.88 | 4.1 | 4.16 | 50 |
| Ni (μg/L) | 43 | 23.4 | 26.3 | 30 | 20 |
| Cu (μg/L) | <22 | 26 | <22 | 23 | 1000 |
| Zn (μg/L) | <70 | <70 | <70 | <70 | 3000 |
| Sr (μg/L) | 1882 | 1779 | 1644 | 1874 | |
| Mo (μg/L) | 3.7 | 2.38 | 3.5 | 2.37 | |
| Sn (μg/L) | <0.9 | <0.9 | <0.9 | <0.9 | |
| Cd (μg/L) | <0.08 | <0.08 | <0.08 | <0.08 | 5 |
| Sb (μg/L) | 0.56 | <0.4 | <0.4 | <0.4 | 5 |
| Ba (μg/L) | 356 | 277 | 404 | 376 | |
| Tl (μg/L) | <0.07 | <0.06 | <0.07 | <0.06 | 2 |
| Pb (μg/L) | <2 | <2 | <2 | <2 | 10 |
| U (μg/L) | 2.26 | 1.74 | 3.29 | 2.88 | |
| V (μg/L) | 1.19 | <1 | <1 | <1 | |
| Cr (μg/L) | <1 | <1 | <1 | <1 | 50 |
| Fe (μg/L) | 5520 | 5698 | 842 | 134 | 200 |
| As (μg/L) | 12.3 | 9.7 | 3.7 | 1.68 | 10 |
| HQ | Soil Ingestion | Dermal Contact | Inhalation Vapor | Inhalation Dust |
|---|---|---|---|---|
| Free Hg0 RfDing = 1.6 × 10−4 mg/kg/day RfC = 3 × 10−4 mg/m3 | 1.47 (0.16) | 4.12 × 10−2 (6.30 × 10−3) | 5.46 × 10−3 | 3.39 × 10−8 |
| Matrix-bound Hg0 RfDing = 1.6 × 10−4 mg/kg/day | 3.24 (0.35) | 9.07 × 10−2 (1.38 × 10−2) | - | 7.45 × 10−8 |
| Mercury sulfide RfDing = 3 × 10−4 mg/kg/day | 0.12 (1.24 × 10−2) | 3.25 × 10−3 (4.97 × 10−4) | - | * |
| Methylmercury RfDing = 10−4 mg/kg/day | 9.42 × 10−3 (1.01 × 10−3) | 2.64 × 10−4 (4.03 × 10−5) | - | * |
| Sum of individual hazard quotients | 4.84 (0.52) | 0.14 (2.06 × 10−2) | 5.46 × 10−3 | 1.08 × 10−8 |
Publisher’s Note: MDPI stays neutral with regard to jurisdictional claims in published maps and institutional affiliations. |
© 2022 by the authors. Licensee MDPI, Basel, Switzerland. This article is an open access article distributed under the terms and conditions of the Creative Commons Attribution (CC BY) license (https://creativecommons.org/licenses/by/4.0/).
Share and Cite
Ghezzi, L.; Arrighi, S.; Giannecchini, R.; Bini, M.; Valerio, M.; Petrini, R. The Legacy of Mercury Contamination from a Past Leather Manufacturer and Health Risk Assessment in an Urban Area (Pisa Municipality, Italy). Sustainability 2022, 14, 4367. https://doi.org/10.3390/su14074367
Ghezzi L, Arrighi S, Giannecchini R, Bini M, Valerio M, Petrini R. The Legacy of Mercury Contamination from a Past Leather Manufacturer and Health Risk Assessment in an Urban Area (Pisa Municipality, Italy). Sustainability. 2022; 14(7):4367. https://doi.org/10.3390/su14074367
Chicago/Turabian StyleGhezzi, Lisa, Simone Arrighi, Roberto Giannecchini, Monica Bini, Marta Valerio, and Riccardo Petrini. 2022. "The Legacy of Mercury Contamination from a Past Leather Manufacturer and Health Risk Assessment in an Urban Area (Pisa Municipality, Italy)" Sustainability 14, no. 7: 4367. https://doi.org/10.3390/su14074367
APA StyleGhezzi, L., Arrighi, S., Giannecchini, R., Bini, M., Valerio, M., & Petrini, R. (2022). The Legacy of Mercury Contamination from a Past Leather Manufacturer and Health Risk Assessment in an Urban Area (Pisa Municipality, Italy). Sustainability, 14(7), 4367. https://doi.org/10.3390/su14074367

