Response of Fish Community to Building Block Methodology Mimicking Natural Flow Regime Patterns in Nakdong River in South Korea
Abstract
1. Introduction
2. Materials and Methods
2.1. Study Area
2.2. River2D Model
2.3. Fish Species and HSI
2.4. Building Block Methodology (BBM)
3. Results
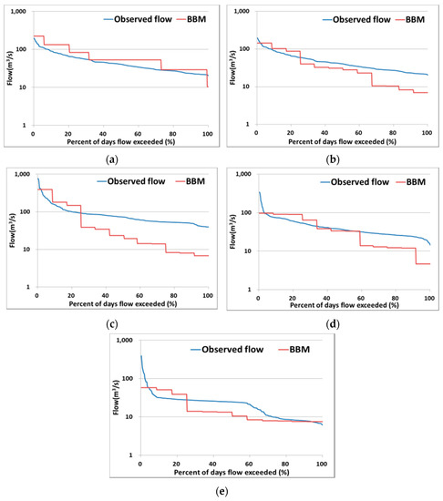
3.1. Flow Regime Analysis and Flow Calculation by Scenario (BBM Calculation)
3.2. River2D Model Construction and Calibration
3.3. Comparison of WUA Results According to Natural Flow Regime and BBM
4. Discussion
5. Conclusions
Author Contributions
Funding
Institutional Review Board Statement
Informed Consent Statement
Data Availability Statement
Acknowledgments
Conflicts of Interest
Appendix A

| Species Name | Time of Appearance | ||
|---|---|---|---|
| 1990s | 2000s | 2010s | |
| Lethenteron reissneri | O | ||
| Carassius | O | O | O |
| Macropodus opercularis | O | O | |
| Rhodeus uyekii | O | ||
| Cyprinus carpio | O | O | |
| Pungtungia herzi | O | O | O |
| Squalidus gracilis majimae | O | O | O |
| Squalidus chankaensis tsuchigae | O | O | O |
| Coreoleuciscus splendidus | O | O | O |
| Pseudorasbora parva | O | O | O |
| Hemibarbus labeo | O | O | |
| Hemibarbus longirostris | O | O | O |
| Belligobio | O | ||
| Pseudogobio esocinus | O | O | O |
| Microphysogobio yaluensis | O | O | O |
| Nipponocypris | O | O | O |
| Zacco platypus | O | O | O |
| Opsariichthys | O | O | |
| Cultriculus eigenmanni | O | ||
| Rhynchocypris oxycephalus | O | O | O |
| Barbatula nuda | O | ||
| Cobitis koreensis | O | ||
| Misgurnus anguillicaudatus | O | O | O |
| Cobitis taenia | O | O | O |
| Koreocobitis | O | O | |
| Niwaella | O | ||
| Niwaella multifasciata | O | O | |
| Silurus asotus | O | O | O |
| Silurus microdorsalia | O | ||
| Liobagrus andersonii | O | ||
| Liobagrus mediadiposalis | O | O | |
| Plecoglossus altivelis | O | ||
| Cottus pollux | O | ||
| Rhinogobius brunneus | O | O | |
| Acheilognathus yamatsutae | O | O | |
| Acheilognathus koreensis | O | O | |
| Tanakia lanceolata | O | ||
| Acheilognathus macropterus | O | O | |
| Rhodeus ocellatus | O | ||
| Sarcocheilichthys variegatus wakiyae | O | O | |
| Acheilognathus | O | ||
| Abbottina springeri | O | ||
| Acheilognathus | O | O | |
| Micropterus salmoides | O | O | |
| Lepomis macrochirus | O | O | |
| Odontobutis | O | O | O |
| Microphysogobio rapidus | O | ||
| Aphyocypris | O | ||
| Iksookimia longicorpa | O | ||
| Leiocassis ussuriensis | O | ||
| Rhinogobius giurinus | O | O | |
| Gymnogobius urotaenia | O | O | |
| Tridentiger brevispinis | O | O | |
| Channa argus | O | O | O |
| Hemiculter eigenmanni | O | ||
| Culter alburnus | O | ||
| Misgurnus mizolepis | O | ||
| Pelteobagrus fulvidraco | O | O | |
| Leiocassis ussuriensis | O | ||
| Coreoperca herzi | O | O | O |
| Siniperca scherzeri | O | O | O |
| Rhinogobius giurinus | O | O | |
| Rhinogobius brunneus | O | O | |
| Brachymystax lenok | O | O | |
| Gobiobotia nakdongensis | O | O | |
References
- Peters, D.S.; Cross, F.A. What is coastal fish habitat. Stemming the tide of coastal fish habitat loss. National Coalition for Marine Conservation. Savannah 1992, 14, 17–22. [Google Scholar]
- Jang, H.R.; Lee, G.Y.; Lim, S.J.; Kim, Y.T.; Choi, J.S. Analysis of fish community structure based on habitat Trophiz Guild in Lake Chuncheon, Korea. J. Environ. 2010, 7, 75–80. [Google Scholar]
- Tharme, R.E. A global perspective on environmental flow assessment: Emerging trends in the development and application of environmental flow methodologies for rivers. River Res. Appl. 2003, 19, 397–441. [Google Scholar] [CrossRef]
- Mathews, R.; Richter, B.D. Application of the Indicators of Hydrologic Alteration Software in Environmental Flow Setting1. JAWRA J. Am. Water Resour. Assoc. 2007, 43, 1400–1413. [Google Scholar] [CrossRef]
- Park, J.-H.; Ko, J.-H.; Sung, M.-H.; Jung, H.-M.; Park, T.-S.; Kwak, Y.-C.; Choi, W.-Y.; Boem, J.-N.; Jeung, M.-H.; Yoo, S.-H.; et al. A economic feasibility study on environmental ecology flow supply plan using agricultural reservoir—Focused on Dongbok river. J. Korean Soc. Agric. Eng. 2019, 61, 33–47. [Google Scholar]
- Woo, H.-S.; Lee, J.-W.; Kim, K.-H. Development of a method for determination of instream flow needs required for fish habitat conservation-application to the Keum river. J. Korean Soc. Civ. Eng. 1998, 18, 339. [Google Scholar]
- Kang, S.; Choi, S.; Lee, D. Application Method and Impact Evaluation of Instream Flow Considering Flow Variability. J. Korean Soc. Hazard Mitig. 2018, 18, 605–611. [Google Scholar] [CrossRef]
- Jung, S.; Ji, U.; Kim, K.-h.; Jang, E.-K. Analysis of weighted usable area and estimation of optimum environmental flow based on growth stages of target species for improving fish habitat in regulated and non-regulated rivers. J. Korea Water Resour. Assoc. 2019, 52, 811–822. [Google Scholar]
- Wu, H.; Shi, P.; Qu, S.; Zhang, H.; Ye, T. Establishment of watershed ecological water requirements framework: A case study of the Lower Yellow River, China. Sci. Total Environ. 2022, 820, 153205. [Google Scholar] [CrossRef]
- Nikghalb, S.; Shokoohi, A.; Singh, V.P.; Yu, R. Ecological Regime versus Minimum Environmental Flow:Comparison of Results for a River in a Semi Mediterranean Region. Water Resour. Manag. 2016, 30, 4969–4984. [Google Scholar] [CrossRef]
- Im, D.; Kang, H.; Kim, K.-H.; Choi, S.-U. Changes of river morphology and physical fish habitat following weir removal. Ecol. Eng. 2011, 37, 883–892. [Google Scholar] [CrossRef]
- Maddock, I. The importance of physical habitat assessment for evaluating river health. Freshw. Biol. 1999, 41, 373–391. [Google Scholar] [CrossRef]
- Mouton, A.M.; Schneider, M.; Depestele, J.; Goethals, P.L.; De Pauw, N. Fish habitat modelling as a tool for river management. Ecol. Eng. 2007, 29, 305–315. [Google Scholar] [CrossRef]
- Richter, B.D.; Thomas, G.A. Restoring Environmental Flows by Modifying Dam Operations. Ecol. Soc. 2007, 12, 12. [Google Scholar] [CrossRef]
- Yi, Y.; Wang, Z.; Yang, Z. Two-dimensional habitat modeling of Chinese sturgeon spawning sites. Ecol. Model. 2010, 221, 864–875. [Google Scholar] [CrossRef]
- Chang, Y.-L.; Hsieh, T.-Y.; Chen, C.-H.; Yang, J.-C. Two-Dimensional Numerical Investigation for Short- and Long-Term Effects of Spur Dikes on Weighted Usable Area of Rhinogobius candidianus (Goby). J. Hydraul. Eng. 2013, 139, 1297–1303. [Google Scholar] [CrossRef][Green Version]
- Kang, H.; Jeon, D.J.; Kim, S.; Jung, K. Estimation of fish assessment index based on ensemble artificial neural network for aquatic ecosystem in South Korea. Ecol. Indic. 2022, 136, 108708. [Google Scholar] [CrossRef]
- Kim, S.; Lee, J.; Jeon, S.; Lee, M.; An, H.; Jung, K.; Kim, S.; Park, D. Correlation Analysis between Hydrologic Flow Metrics and Benthic Macroinvertebrates Index (BMI) in the Han River Basin, South Korea. Sustainability 2021, 13, 11477. [Google Scholar] [CrossRef]
- Chae, B.S.; Kim, S.K.; Kang, Y.H.; Heo, N.S.; Park, J.M.; Ha, H.U.; Hwang, U.W. Ichthyofauna and fish community structure in upper reach of the Nakdong River, Korea. Korean J. Ichthyol. 2015, 27, 116–132. [Google Scholar]
- Chae, B.S.; Kang, Y.-H.; Yang, H.-J. Fish community structure in the Wicheon river, Nakdong river system, Korea. Korean J. Ichthyol. 1998, 10, 77–86. [Google Scholar]
- Chae, B.S.; Nam, M.-M.; Yang, H.-J. Fish Community Structure in the Yonggang River, Nakdong River System, Korea. Korean J. Ichthyol. 1998, 10, 67–76. [Google Scholar]
- Chae, B.S.; Nam, M.M.; Kang, Y.-H.; Yang, H.-J. Fish community structure of the Miryang river, Nakdong river system. Korean J. Limnol. 1999, 32, 58–68. [Google Scholar]
- Seo, J.-W.; Keum, J.-D.; Yang, H.-J.; Kang, Y.-H. The fish community structure in the middle of Nakdong River. Korean J. Ecol. Environ. 2004, 37, 227–235. [Google Scholar]
- Bowen, Z.H.; Freeman, M.C.; Bovee, K.D. Evaluation of Generalized Habitat Criteria for Assessing Impacts of Altered Flow Regimes on Warmwater Fishes. Trans. Am. Fish. Soc. 1998, 127, 455–468. [Google Scholar] [CrossRef]
- Bunn, S.E.; Arthington, A.H. Basic Principles and Ecological Consequences of Altered Flow Regimes for Aquatic Biodiversity. Environ. Manag. 2002, 30, 492–507. [Google Scholar] [CrossRef] [PubMed]
- Arthington, A.H.; Bunn, S.; Poff, N.L.; Naiman, R.J. The challenge of providing environmental flow rules to sustain river ecosystems. Ecol. Appl. 2006, 16, 1311–1318. [Google Scholar] [CrossRef]
- Ko, I.-H.; Kim, J.-K.; Park, S.-Y. Evaluation of Eco-Hydrological Changes in the Geum River Considering Dam Operations: I. Flow Regime Change Analysis. J. Korea Water Resour. Assoc. 2009, 42, 1–8. [Google Scholar] [CrossRef]
- Steffler, P.; Balckburn, J. Two-dimensional depth averaged model of river hydrodynamics and fish habitat. In River2D User’s Manual; University of Alberta: Edmonton, AB, Canada, 2002. [Google Scholar]
- Park, J.; Jang, S.; Song, I. Estimation of an optimum ecological stream flow in the Banbyeon Stream using PHABSIM-focused on Zacco platypus and Squalidus chankaensis tsuchigae. J. Korean Soc. Agric. Eng. 2020, 62, 51–62. [Google Scholar]
- King, J.; Louw, D. Instream flow assessments for regulated rivers in South Africa using the Building Block Methodology. Aquat. Ecosyst. Health Manag. 1998, 1, 109–124. [Google Scholar] [CrossRef]
- Alfredsen, K.; Harby, A.; Linnansaari, T.; Ugedal, O. Development of an inflow-controlled environmental flow regime for a norwegian river. River Res. Appl. 2011, 28, 731–739. [Google Scholar] [CrossRef]
- Bakken, T.H.; Skarbøvik, E.; Gosain, A.K.; Palanisami, K.; Sauterleute, J.; Egeland, H.; Kakumanu, K.R.; Sekhar, N.U.; Harby, A.; Tirupataiah, K.; et al. Water Allocation With Use of the Building Block Methodology (BBM) in the Godavari Basin, India. J. Sustain. Dev. 2013, 6, 93. [Google Scholar] [CrossRef][Green Version]
- Bahukandi, K.; Ahuja, N.J. Building block methodology assisted knowledge-based system for environmental-flow assessment of Suswa River of Dehradun Dist., India: A reminiscent framework. Int. Res. J. Environ. Sci. 2013, 2, 74–80. [Google Scholar]
- Karakoyun, Y.; Dönmez, A.H.; Yumurtacı, Z. Comparison of environmental flow assessment methods with a case study on a runoff river–type hydropower plant using hydrological methods. Environ. Monit. Assess. 2018, 190, 722. [Google Scholar] [CrossRef] [PubMed]
- Arthington, A.H.; Bhaduri, A.; Bunn, S.E.; Jackson, S.E.; Tharme, R.E.; Tickner, D.; Young, B.; Acreman, M.; Baker, N.; Capon, S.; et al. The Brisbane Declaration and Global Action Agenda on Environmental Flows (2018). Front. Environ. Sci. 2018, 6, 45. [Google Scholar] [CrossRef]
- Kang, S.; Yoo, C.; Lee, D.; Choi, S. Improvement of Instream Flow Evaluation Methodology and Application. J. Korean Soc. Hazard Mitig. 2016, 16, 295–304. [Google Scholar] [CrossRef][Green Version]
- Naderi, M.; Zakerinia, M.; Salarijazi, M. Improvement of habitat simulation method using River2D hydrodynamic model to determine ecological regime of river. J. Nat. Environ. 2019, 72, 263–277. [Google Scholar]
- Akter, A.; Tanim, A.H. An assessment of ecological habitat suitability in a tidal stream using River 2D model. J. Civil. Eng. (IEB) 2019, 47, 23–29. [Google Scholar]
- Gebrekiros, S.T. Factors affecting stream fish community composition and habitat suitability. J. Aquac. Mar. Biol. 2016, 4, 00076. [Google Scholar] [CrossRef]
- Peterson, B.J.; Frankovich, T.A.; Zieman, J.C. Response of seagrass epiphyte loading to field manipulations of fertilization, gastropod grazing and leaf turnover rates. J. Exp. Mar. Biol. Ecol. 2007, 349, 61–72. [Google Scholar] [CrossRef]
- Kang, H. Comparision of physical habitat suitability index for fishes in the rivers of Han and Geum river watersheds. KSCE J. Civ. Environ. Eng. Res. 2012, 32, 71–78. [Google Scholar]
- Hur, J.W.; Kim, D.H.; Kang, H. Estimation of Optimal Ecological Flowrate of Fish in Chogang Stream. Ecol. Resilient Infrastruct. 2014, 1, 39–48. [Google Scholar] [CrossRef][Green Version]
- Tharme, R.E.; King, J.M. Development of the Building Block Methodology for Instream Flow Assessments, and Supporting Research on the Effects of Different Magnitude Flows on Riverine Ecosystems; Report No. 576/1/98; Water Research Commission: Pretoria, South Africa, 1998. [Google Scholar]
- Sisto, N.P. Environmental flows for rivers and economic compensation for irrigators. J. Environ. Manag. 2009, 90, 1236–1240. [Google Scholar] [CrossRef] [PubMed]
- Postel, S.; Richter, B.D. Rivers for Life: Managing Water for People and Nature; Island Press: Washington, DC, USA, 2003. [Google Scholar]
- Kumari, N.; Srivastava, A.; Sahoo, B.; Raghuwanshi, N.S.; Bretreger, D. Identification of Suitable Hydrological Models for Streamflow Assessment in the Kangsabati River Basin, India, by Using Different Model Selection Scores. Nat. Resour. Res. 2021, 30, 4187–4205. [Google Scholar] [CrossRef]
- Water Resources Management Information System Home Page. Available online: http://www.wamis.go.kr/ (accessed on 4 March 2022).
- Summerfield, M.A. Global Geomorphology; Longman Science & Technical: Harlow, UK, 1991. [Google Scholar]
- Moir, H.J.; Gibbins, C.N.; Soulsby, C.; Youngson, A.F. PHABSIM modelling of Atlantic salmon spawning habitat in an upland stream: Testing the influence of habitat suitability indices on model output. River Res. Appl. 2005, 21, 1021–1034. [Google Scholar] [CrossRef]
- He, Z.; Wu, W.; Shields, F.D., Jr. Numerical analysis of effects of large wood structures on channel morphology and fish habitat suitability in a Southern US sandy creek. Ecohydrology 2009, 2, 370–380. [Google Scholar] [CrossRef]
- Macura, V.; Škrinár, A.; Kaluz, K.; Jalčovíková, M.; Škrovinová, M. Influence of the morphological and hydraulic characteristics of mountain streams on fish habitat suitability curves. River Res. Appl. 2012, 28, 1161–1178. [Google Scholar] [CrossRef]
- Choi, S.-U.; Kim, S.K.; Choi, B.; Kim, Y. Impact of hydropeaking on downstream fish habitat at the Goesan Dam in Korea. Ecohydrology 2017, 10, e1861. [Google Scholar] [CrossRef]
- Radinger, J.; Hölker, F.; Wolter, C. Assessing how uncertainty and stochasticity affect the dispersal of fish in river networks. Ecol. Model. 2017, 359, 220–228. [Google Scholar] [CrossRef]
- Choi, B.; Kang, H.; Lee, W.H. Baseflow Contribution to Streamflow and Aquatic Habitats Using Physical Habitat Simulations. Water 2018, 10, 1304. [Google Scholar] [CrossRef]
- Clark, J.S.; Hession, W.C.; Rizzo, D.M.; Laible, J.P.; Watzin, M.C. Two-dimensional hydraulic modeling approach to linking stream morphology and aquatic habitat quality. In Proceedings of the 3rd International Congress on Environmental Modelling and Software, Burlington, VT, USA, 9–13 July 2006. [Google Scholar]
- Brown, R.A.; Pasternack, G.B. Comparison of methods for analysing salmon habitat rehabilitation designs for regulated rivers. River Res. Appl. 2008, 25, 745–772. [Google Scholar] [CrossRef]
- Jowett, I.G.; Duncan, M.J. Effectiveness of 1D and 2D hydraulic models for instream habitat analysis in a braided river. Ecol. Eng. 2012, 48, 92–100. [Google Scholar] [CrossRef]
- Gard, M. Response to Williams (2010) on Gard (2009): Comparison of spawning habitat predictions of PHABSIM and River2D models. Int. J. River Basin Manag. 2010, 8, 121–125. [Google Scholar] [CrossRef]
- Kim, S.K.; Choi, S.U. Change of fish habitat in a downstream reach of a stream due to dam construction. Ecol. Resil. Infrastruct. 2014, 1, 61–67. [Google Scholar] [CrossRef]
- DeWoody, J.A.; Avise, J.C. Microsatellite variation in marine, freshwater and anadromous fishes compared with other animals. J. Fish Biol. 2000, 56, 461–473. [Google Scholar] [CrossRef]
- Martinez, A.S.; Willoughby, J.R.; Christie, M.R. Genetic diversity in fishes is influenced by habitat type and life-history variation. Ecol. Evol. 2018, 8, 12022–12031. [Google Scholar] [CrossRef] [PubMed]
- Volkoff, H.; Rønnestad, I. Effects of temperature on feeding and digestive processes in fish. Temperature 2020, 7, 307–320. [Google Scholar] [CrossRef] [PubMed]


















| Division | Contents | |
|---|---|---|
| Scenario 1 | Whole period, Monthly (Observed Flow) | |
| Scenario 2 | 2-1 | Whole period, Range (BBM) |
| 2-2 | Whole period, Average Monthly (BBM) | |
| 2-3 | Wet year, Monthly (BBM) | |
| 2-4 | Dry year, Monthly (BBM) | |
| 2-5 | Normal year, Monthly (BBM) | |
Publisher’s Note: MDPI stays neutral with regard to jurisdictional claims in published maps and institutional affiliations. |
© 2022 by the authors. Licensee MDPI, Basel, Switzerland. This article is an open access article distributed under the terms and conditions of the Creative Commons Attribution (CC BY) license (https://creativecommons.org/licenses/by/4.0/).
Share and Cite
Kim, S.; Jung, K.; Kang, H. Response of Fish Community to Building Block Methodology Mimicking Natural Flow Regime Patterns in Nakdong River in South Korea. Sustainability 2022, 14, 3587. https://doi.org/10.3390/su14063587
Kim S, Jung K, Kang H. Response of Fish Community to Building Block Methodology Mimicking Natural Flow Regime Patterns in Nakdong River in South Korea. Sustainability. 2022; 14(6):3587. https://doi.org/10.3390/su14063587
Chicago/Turabian StyleKim, Soohong, Kichul Jung, and Hyeongsik Kang. 2022. "Response of Fish Community to Building Block Methodology Mimicking Natural Flow Regime Patterns in Nakdong River in South Korea" Sustainability 14, no. 6: 3587. https://doi.org/10.3390/su14063587
APA StyleKim, S., Jung, K., & Kang, H. (2022). Response of Fish Community to Building Block Methodology Mimicking Natural Flow Regime Patterns in Nakdong River in South Korea. Sustainability, 14(6), 3587. https://doi.org/10.3390/su14063587

