Beef Consumers Behaviour and Preferences—The Case of Portugal
Abstract
:1. Introduction
2. Materials and Methods
3. Results
- Factorial component 1–Why you consume beef
- Factorial component 2–Beef attributes
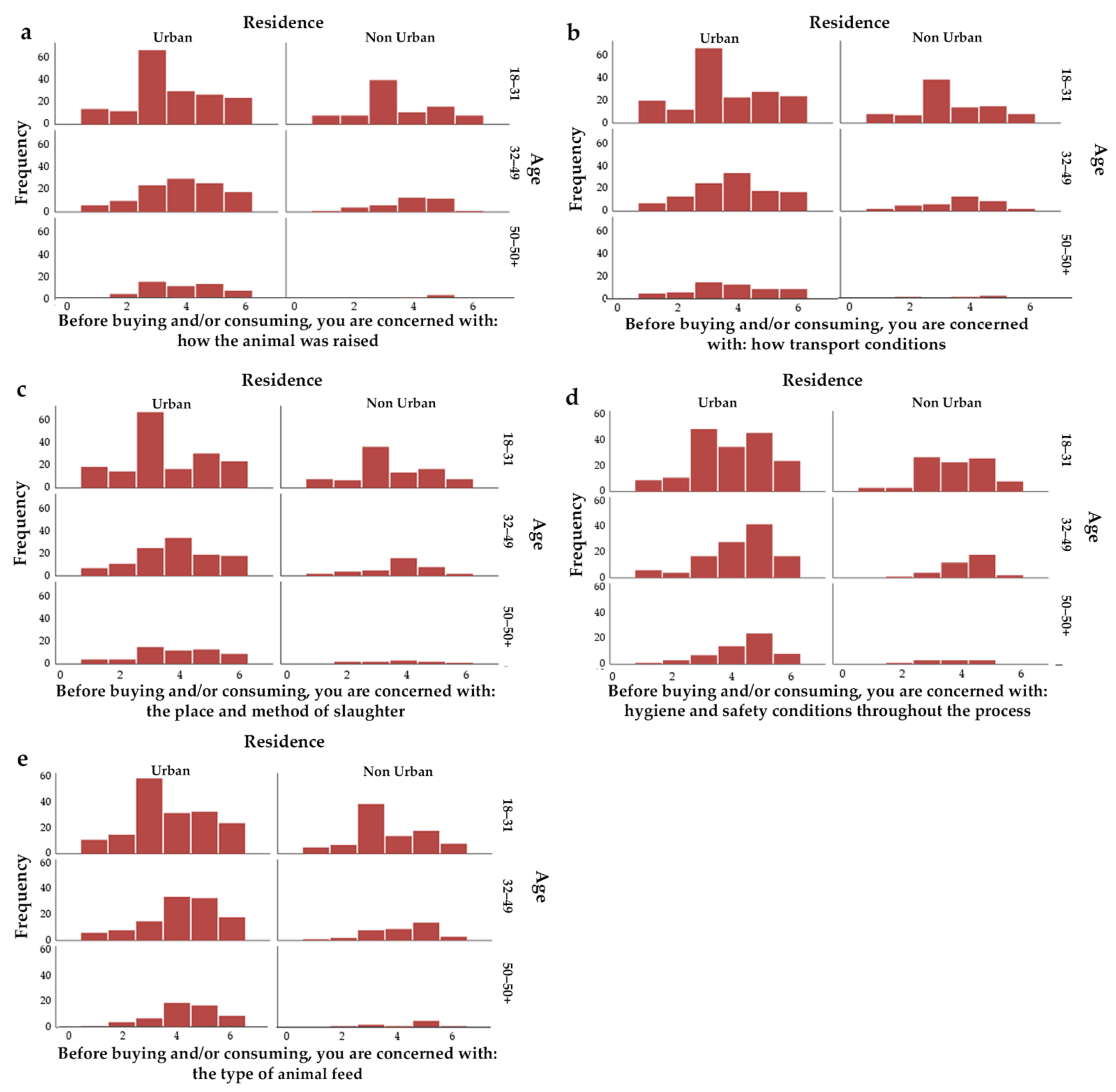
- Factorial component 3–Concerns to have when purchasing beef
- Factorial component 4–Environmental concerns about beef
4. Discussion
5. Conclusions
Author Contributions
Funding
Institutional Review Board Statement
Informed Consent Statement
Data Availability Statement
Conflicts of Interest
Appendix A. Perceptions and Trends on Beef Consumption
- 1.
- Do you consume beef?
Yes No - 2.
- If you answer “yes”, please go to answer set (2a) and continue taking the survey. If you answer “no”, please go to answer set (2b) and go to respondent characterisation (end of survey).(2a) Why do you eat beef:
- It is natural(it is a biological and natural issue of the human condition)
Yes No Do not know - It is necessary(for survival, strength, development and health)
Yes No Do not know - It is normal, usual(Historical human behaviour and in accordance with social norms)
Yes No Do not know - It is good(taste good, have pleasure)
Yes No Do not know - Complies with the norms for “human” animal slaughter
Yes No Do not know - My religion allows it
Yes No Do not know - Meat is sustainable
Yes No Do not know
(2b) Why do you not eat beef:- It is not natural(it is a biological and natural issue of the human condition)
Yes No Do not know - It is not necessary(for survival, strength, development and health)
Yes No Do not know - It is not normal(Historical human behaviour and in accordance with social norms)
Yes No Do not know - It is not good(taste good, have pleasure)
Yes No Do not know - Does not meet the norms for “human” slaughter of animals
Yes No Do not know - My religion does not allow it
Yes No Do not know - Meat is not sustainable
Yes No Do not know
- 3.
- What is the frequency of meat consumption?
Daily Three times a week Once a week Occasionally Others - 4.
- Where to buy beef (check all possible options)
To the producer At the butchery At the supermarket or grocery store At the hypermarket Others - 5.
- Point out the importance you attach to the following characteristics of beef:(1–Not that important; 2–not important; 3–never thought about it; 4–important; 5–very important)
- a. What quality attributes are you looking for in the beef you consume?
Tenderness 1 2 3 4 5 Flavour/Taste 1 2 3 4 5 Freshness 1 2 3 4 5 Juiciness 1 2 3 4 5 Texture 1 2 3 4 5 Origin 1 2 3 4 5 - b. How do you decide you beef purchase?
Pay attention to Colour 1 2 3 4 5 Pay attention to the Cut 1 2 3 4 5 Pay attention to the Appearance 1 2 3 4 5 Pay attention to the Visible Fat Content 1 2 3 4 5 Pay attention to the Expiration Date 1 2 3 4 5 Pay attention to the Packaging Date 1 2 3 4 5 Pay attention to the Price 1 2 3 4 5 Pay attention to the Ratio Quality/Price 1 2 3 4 5 Less quantity and more quality 1 2 3 4 5 Pay attention to the if has the PDO labelling 1 2 3 4 5 Pay attention to the if is Biologic 1 2 3 4 5
- 6.
- Before buying and/or consuming, you are concerned with:
How the animal was raised 1 2 3 4 5 The animal’s transport conditions 1 2 3 4 5 The place and method of slaughtering the animal 1 2 3 4 5 The hygiene and safety conditions of the production, slaughter and marketing process 1 2 3 4 5 The type of animal feed 1 2 3 4 5 Compare prices between places of purchase 1 2 3 4 5 Compare prices between types and cuts of meat 1 2 3 4 5 - 7.
- Indicate your degree of agreement with the following sentences, ticking the corresponding number:(1–Totally disagree; 2–disagree; 3–neither agree nor disagree; 4–agree; 5–totally agree)
“What we eat contribute for climate change” 1 2 3 4 5 “Eating less meat is good for the environment” 1 2 3 4 5 “I want to reduce meat consumption for the sake of the environment” 1 2 3 4 5 Characterisation of respondent:Gender: Feminine Masculine Age: 18–31 32–49 50 or more Household: 1–3 elements 4–6 elements 7 or more Resides in: Urban Area Non-urban Area Ocupation: Nationality: Portuguese Other
References
- Whitnall, T.; Pitts, N. Global Trends in Meat Consumption; ABARE (Australian Bureau of Agricultural and Resource Economics): Canberra, Australia, 2019; Volume 9, pp. 96–99. [Google Scholar]
- Figueiredo, C.; Azeiteiro, U.M.; García-Vinuesa, A.; Carvalho, S.C. Campus Decarbonization: Students’ Perceptions for Reducing Meat Consumption in a Portuguese University. Sustainability 2021, 13, 6048. [Google Scholar] [CrossRef]
- Schleenbecker, R.; Hamm, U. Consumers’ perception of organic product characteristics. A review. Appetite 2013, 71, 420–429. [Google Scholar] [CrossRef] [PubMed]
- Willer, H.L.J.; Kilcher, L. The World of Organic Agriculture. Statistics Emergerging Trends 2011; Research Institute of Organic Agriculture (FiBL) and IFOAM—Organics International: Frick, Switzerland, 2011; Volume 11, pp. 26–32. [Google Scholar]
- Willer, H.; Schlatter, B.; Trávníček, J.; Kemper, L.; Lernoud, J. The World of Organic Agriculture. Statistics and Emerging Trends 2020, 21st ed.; Research Institute of Organic Agriculture (FiBL) and IFOAM—Organics International: Frick, Switzerland, 2020. [Google Scholar]
- Cruz, M. Comportamento e Perfil do Consumidor de Alimentos Biológicos em Portugal; Instituto Superior de Agronomia: Lisbon, Portugal, 2011. [Google Scholar]
- Galli, A.; Moreno Pires, S.; Iha, K.; Alves, A.A.; Lin, D.; Mancini, M.S.; Teles, F. Sustainable food transition in Portugal: Assessing the Footprint of dietary choices and gaps in national and local food policies. Sci. Total Environ. 2020, 749, 141307. [Google Scholar] [CrossRef] [PubMed]
- Coutinho, P.; Simões, M.; Pereira, C.; Paiva, T. Sustainable Local Exploitation and Innovation on Meat Products Based on the Autochthonous Bovine Breed Jarmelista. Sustainability 2021, 13, 2515. [Google Scholar] [CrossRef]
- Kotler, P.; Armstrong, G.; Harris, L.C.; Piercy, N. Principles of Marketing; Pearson: Harlow, UK, 2017. [Google Scholar]
- Qazzafi, S. Consumer Buying Decision Process Toward Products. Int. J. Sci. Res. Eng. Dev. 2019, 2, 130–134. [Google Scholar]
- Szmigin, I.P.M. Consumer Behaviour, 2nd ed.; Oxford University Press: Glasgow, UK, 2018. [Google Scholar]
- Font-i-Furnols, M.; Guerrero, L. Consumer preference, behavior and perception about meat and meat products: An overview. Meat Sci. 2014, 98, 361–371. [Google Scholar] [CrossRef] [PubMed]
- Fishbein, M.; Ajzen, I. Belief, Attitude, Intention and Behaviour: An Introduction to Theory and Research; Addison-Wesley: Boston, MA, USA, 1975; Volume 27. [Google Scholar]
- Claret, A.; Guerrero, L.; Ginés, R.; Grau, A.; Hernández, M.D.; Aguirre, E.; Peleteiro, J.B.; Fernández-Pato, C.; Rodríguez-Rodríguez, C. Consumer beliefs regarding farmed versus wild fish. Appetite 2014, 79, 25–31. [Google Scholar] [CrossRef]
- Guerrero, L.; Claret, A.; Rodriguez, P.; Hernández, F.; Dalmau, A. Actitud, creencias y expectativas de los consumidores españoles frente a la castración (quirúrgica e inmunocastración) y el bienestar animal porcino. In Proceedings of the VII World Congress of Dry-Dured Ham, Ourique, Portugal, 28–31 May 2013. [Google Scholar]
- Troy, D.J.; Kerry, J.P. Consumer perception and the role of science in the meat industry. Meat Sci. 2010, 86, 214–226. [Google Scholar] [CrossRef] [PubMed]
- Kubberod, E.; Ueland, Ø.; Rødbotten, M.; Westad, F.; Risvik, E. Gender Specific Preferences and Attitudes Towards Meat. Food Qual. Prefer. 2002, 13, 285–294. [Google Scholar] [CrossRef]
- Povey, R.; Wellens, B.; Conner, M. Attitudes towards following meat, vegetarian and vegan diets: An examination of the role of ambivalence. Appetite 2001, 37, 15–26. [Google Scholar] [CrossRef] [Green Version]
- Berndsen, M.; Pligt, J. Risks of meat: The relative impact of cognitive, affective and moral concerns. Appetite 2005, 44, 195–205. [Google Scholar] [CrossRef] [PubMed]
- Grunert, K.G. Future trends and consumer lifestyles with regard to meat consumption. Meat Sci. 2006, 74, 149–160. [Google Scholar] [CrossRef] [PubMed]
- MacLeod, C.M. Directed forgetting. Citeseer 1998, 1–57, 1–57. [Google Scholar]
- Trienekens, J.; Wognum, N.; Beulens, A.; Van der Vorst, J. Transparency in complex dynamic food supply chains. Adv. Eng. Inform. 2012, 26, 55–65. [Google Scholar] [CrossRef]
- Verbeke, W.; Pérez-Cueto, F.J.; Barcellos, M.D.; Krystallis, A.; Grunert, K.G. European citizen and consumer attitudes and preferences regarding beef and pork. Meat Sci. 2010, 84, 284–292. [Google Scholar] [CrossRef]
- Luning, P.A.; Marcelis, W.J.; Jongen, W.M. Food Quality Management: A Techno-Managerial Approach; Wageningen Pers: Wageningen, The Netherlands, 2002. [Google Scholar]
- Henchion, M.; McCarthy, M.; Resconi, V.C.; Troy, D. Meat consumption: Trends and quality matters. Meat Sci. 2014, 98, 561–568. [Google Scholar] [CrossRef] [Green Version]
- Broom, D.M.; Galindo, F.A.; Murgueitio, E. Sustainable, efficient livestock production with high biodiversity and good welfare for animals. Proc. R. Soc. B Biol. Sci. 2013, 280, 20132025. [Google Scholar] [CrossRef] [Green Version]
- Tedeschi, L.O.; Muir, J.P.; Riley, D.G.; Fox, D.G. The role of ruminant animals in sustainable livestock intensification programs. Int. J. Sustain. Dev. World Ecol. 2015, 22, 452–465. [Google Scholar] [CrossRef]
- Fontes, M.A.; Pinto, A.S.; Lemos, J.P. Qualidade na carne de bovino: Atributos e percepção. Rev. Port. De Ciências Veterinárias 2011, 110, 577–580. [Google Scholar]
- Schnettler, B.; Vidal, R.; Silva, R.; Vallejos, L.; Sepúlveda, N. Consumer willingness to pay for beef meat in a developing country: The effect of information regarding country of origin, price and animal handling prior to slaughter. Food Qual. Prefer. 2009, 20, 156–165. [Google Scholar] [CrossRef]
- Kodinariya, T.M.; Makwana, P.R. Review on Determining Number of Cluster in K-Means Clustering. Int. J. Adv. Res. Computer Sci. Manag. Stud. 2013, 1, 90–95. [Google Scholar]
- Piazza, J.; Ruby, M.B.; Loughnan, S.; Luong, M.; Kulik, J.; Watkins, H.M.; Seigerman, M. Rationalizing meat consumption. The 4Ns. Appetite 2015, 91, 114–128. [Google Scholar] [CrossRef] [PubMed] [Green Version]
- Schnettler, B.; Ruiz, D.; Sepúlveda, O.; Sepúlveda, N. Importance of the country of origin in food consumption in a developing country. Food Qual. Prefer. 2008, 19, 372–382. [Google Scholar] [CrossRef]
- Scozzafava, G.; Corsi, A.M.; Casini, L.; Contini, C.; Loose, S.M. Using the animal to the last bit: Consumer preferences for different beef cuts. Appetite 2016, 96, 70–79. [Google Scholar] [CrossRef]
- Merlino, V.M.; Borra, D.; Verduna, T.; Massaglia, S. Household Behavior with Respect to Meat Consumption: Differences between Households with and without Children. Vet. Sci. 2017, 4, 53. [Google Scholar] [CrossRef] [Green Version]
- Ngapo, T.; Varela, D.B.; Lozano, M.R. Mexican consumers at the point of meat purchase. Beef choice. Meat Sci. 2017, 134, 34–43. [Google Scholar] [CrossRef]
- Webb, E.C.; O’Neill, H.A. The animal fat paradox and meat quality. Meat Sci. 2008, 80, 28–36. [Google Scholar] [CrossRef]
- Ellies-Oury, M.-P.; Lee, A.; Jacob, H.; Hocquette, J.-F. Meat consumption—What French consumers feel about the quality of beef? Ital. J. Anim. Sci. 2019, 18, 646–656. [Google Scholar] [CrossRef] [Green Version]
- Eldesouky, A.; Mesias, F.J.; Escribano, M. Consumer Assessment of Sustainability Traits in Meat Production. A Choice Experiment Study in Spain. Sustainability 2020, 12, 4093. [Google Scholar] [CrossRef]
- Njisane, Y.Z.; Muchenje, V. Farm to abattoir conditions, animal factors and their subsequent effects on cattle behavioural responses and beef quality—A review. Asian-Australas J. Anim. Sci 2017, 30, 755–764. [Google Scholar] [CrossRef] [Green Version]
- Cheah, I.; Sadat Shimul, A.; Liang, J.; Phau, I. Drivers and barriers toward reducing meat consumption. Appetite 2020, 149, 104636. [Google Scholar] [CrossRef] [PubMed]
- Arnaudova, M.; Brunner, T.A.; Götze, F. Examination of students’ willingness to change behaviour regarding meat consumption. Meat Sci. 2022, 184, 108695. [Google Scholar] [CrossRef]
- Hartmann, C.; Lazzarini, G.; Funk, A.; Siegrist, M. Measuring consumers’ knowledge of the environmental impact of foods. Appetite 2021, 167, 105622. [Google Scholar] [CrossRef] [PubMed]
- Gorissen, K.; Weijters, B. The negative footprint illusion: Perceptual bias in sustainable food consumption. J. Environ. Psychol. 2016, 45, 50–65. [Google Scholar] [CrossRef]
- Austgulen, M.H.; Skuland, S.E.; Schjøll, A.; Alfnes, F. Consumer Readiness to Reduce Meat Consumption for the Purpose of Environmental Sustainability: Insights from Norway. Sustainability 2018, 10, 3058. [Google Scholar] [CrossRef] [Green Version]
- Tobler, C.; Visschers, V.H.M.; Siegrist, M. Eating green. Consumers’ willingness to adopt ecological food consumption behaviors. Appetite 2011, 57, 674–682. [Google Scholar] [CrossRef] [PubMed]
- Pohjolainen, P.; Tapio, P.; Vinnari, M.; Jokinen, P.; Räsänen, P. Consumer consciousness on meat and the environment—Exploring differences. Appetite 2016, 101, 37–45. [Google Scholar] [CrossRef]
- Randler, C.; Adan, A.; Antofie, M.M.; Arrona-Palacios, A.; Candido, M.; Boeve-de Pauw, J.; Chandrakar, P.; Demirhan, E.; Detsis, V.; Di Milia, L.; et al. Animal Welfare Attitudes: Effects of Gender and Diet in University Samples from 22 Countries. Animals 2021, 11, 1893. [Google Scholar] [CrossRef]
- Miranda-de la Lama, G.C.; Estévez-Moreno, L.X.; Sepúlveda, W.S.; Estrada-Chavero, M.C.; Rayas-Amor, A.A.; Villarroel, M.; María, G.A. Mexican consumers’ perceptions and attitudes towards farm animal welfare and willingness to pay for welfare friendly meat products. Meat Sci. 2017, 125, 106–113. [Google Scholar] [CrossRef]
- Estévez-Moreno, L.X.; María, G.A.; Sepúlveda, W.S.; Villarroel, M.; Miranda-de la Lama, G.C. Attitudes of meat consumers in Mexico and Spain about farm animal welfare: A cross-cultural study. Meat Sci. 2021, 173, 108377. [Google Scholar] [CrossRef]
- Sonoda, Y.; Oishi, K.; Chomei, Y.; Hirooka, H. How do human values influence the beef preferences of consumer segments regarding animal welfare and environmentally friendly production? Meat Sci. 2018, 146, 75–86. [Google Scholar] [CrossRef] [PubMed]
- Blanc, S.; Massaglia, S.; Borra, D.; Mosso, A.; Merlino, V.M. Animal welfare and gender: A nexus in awareness and preference when choosing fresh beef meat? Ital. J. Anim. Sci. 2020, 19, 410–420. [Google Scholar] [CrossRef]
- Alonso, M.E.; González-Montaña, J.R.; Lomillos, J.M. Consumers’ Concerns and Perceptions of Farm Animal Welfare. Animals 2020, 10, 385. [Google Scholar] [CrossRef] [PubMed] [Green Version]
- Loewen, S.; Gonulal, T. Exploratory Factor Analysis and Principal Components Analysis. In Advancing Quantitative Methods in Second Language Research, 1st ed.; Plonsky, L., Ed.; Routledge: New York, NY, USA, 2015; pp. 182–212. [Google Scholar]
- Luzio, J.P.P.; Lemke, F. Exploring green consumers’ product demands and consumption processes. Eur. Bus. Rev. 2013, 25, 281–300. [Google Scholar] [CrossRef]
- Brito, R.A.C.d.C. Alimentação Saudável: Níveis de Consumo de Alimentos Orgânicos em Portugal; Instituto Universitário de Lisboa: Lisboa, Portugal, 2018. [Google Scholar]
- Bryła, P. Organic food consumption in Poland: Motives and barriers. Appetite 2016, 105, 737–746. [Google Scholar] [CrossRef]
- Żakowska-Biemans, S. Polish consumer food choices and beliefs about organic food. Br. Food J. 2011, 113, 122–137. [Google Scholar] [CrossRef]
- Cubero Dudinskaya, E.; Naspetti, S.; Arsenos, G.; Caramelle-Holtz, E.; Latvala, T.; Martin-Collado, D.; Orsini, S.; Ozturk, E.; Zanoli, R. European Consumers’ Willingness to Pay for Red Meat Labelling Attributes. Animals 2021, 11, 556. [Google Scholar] [CrossRef]
- Siegrist, M.; Hartmann, C. Impact of sustainability perception on consumption of organic meat and meat substitutes. Appetite 2019, 132, 196–202. [Google Scholar] [CrossRef]
- Araújo, J.P.; Cerqueira, J.; Vaz, P.S.; Pinto de Andrade, L.; Várzea Rodrigues, J.; Rodrigues, A.M. Extensive beef cattle production in Portugal. In Proceedings of the International Workshop New updates in Animal Nutrition, Natural Feeding Sources and Environmental Sustainability, Arzachena, Sardinia, Italy, 5–6 May 2014. [Google Scholar]
- Chander, M.; Subrahmanyeswari, B.; Mukherjee, R.; Kumar, S. Organic livestock production: An emerging opportunity with new challenges for producers in tropical countries. Rev. Sci. Tech. Off. Int. Epiz 2011, 30, 969–983. [Google Scholar] [CrossRef] [Green Version]
- Budhathoki, M.; Pandey, S. Intake of Animal-Based Foods and Consumer Behaviour towards Organic Food: The Case of Nepal. Sustainability 2021, 13, 12795. [Google Scholar] [CrossRef]
- Lambarraa-Lehnhardt, F.; Ihle, R.; Elyoubi, H. How Successful Is Origin Labeling in a Developing Country Context? Moroccan Consumers’ Preferences toward Local Products. Sustainability 2021, 13, 8433. [Google Scholar] [CrossRef]











| Scales | Cronbach’s Alpha | Cronbach’s Alpha Based on Standardised Items | N of Items |
|---|---|---|---|
| Meat quality attributes | 0.874 | 0.888 | 6 |
| Beef purchase decision–factors to consider when making the purchase | 0.869 | 0.878 | 11 |
| Beef purchase decision–concerns before purchase | 0.910 | 0.910 | 7 |
| Reasons for the beef consumption | 0.887 | 0.902 | 13 |
| Frequency | Percentage (%) | |
|---|---|---|
| Total sample size | 491 | 100 |
| Gender | ||
| Female | 290 | 59.1 |
| Male | 197 | 40.1 |
| Did not answer | 4 | 0.8 |
| Age (years) | ||
| 18–31 | 265 | 54 |
| 32–49 | 155 | 31.6 |
| ≥50 | 67 | 13.6 |
| Did not answer | 4 | 0.8 |
| Type of household | ||
| 1–3 elements | 289 | 58.9 |
| 4–6 elements | 181 | 36.9 |
| 7 or more elements | 6 | 1.2 |
| Did not answer | 14 | 2.9 |
| Omitted | 1 | 0.2 |
| Area of residence | ||
| Urban | 346 | 70.5 |
| Non-urban | 139 | 28.3 |
| Did not answer | 6 | 1.2 |
| Cluster | Error | Percentage (%) | ||||
|---|---|---|---|---|---|---|
| Mean Square | df | Mean Square | df | Z | Significance | |
| Beef Consumption | 66.332 | 2 | 0.650 | 470 | 102.061 | <0.001 |
| Beef Attributes | 13.644 | 2 | 0.351 | 470 | 375.487 | <0.001 |
| Purchase decision | 7.198 | 2 | 0.989 | 470 | 7.281 | <0.001 |
| Environmental concerns | 66.739 | 2 | 0.738 | 470 | 89.085 | <0.001 |
Publisher’s Note: MDPI stays neutral with regard to jurisdictional claims in published maps and institutional affiliations. |
© 2022 by the authors. Licensee MDPI, Basel, Switzerland. This article is an open access article distributed under the terms and conditions of the Creative Commons Attribution (CC BY) license (https://creativecommons.org/licenses/by/4.0/).
Share and Cite
Paiva, T.; Jacinto, T.A.; Sarraguça, M.C.; Coutinho, P. Beef Consumers Behaviour and Preferences—The Case of Portugal. Sustainability 2022, 14, 2358. https://doi.org/10.3390/su14042358
Paiva T, Jacinto TA, Sarraguça MC, Coutinho P. Beef Consumers Behaviour and Preferences—The Case of Portugal. Sustainability. 2022; 14(4):2358. https://doi.org/10.3390/su14042358
Chicago/Turabian StylePaiva, Teresa, Telma A. Jacinto, Mafalda Cruz Sarraguça, and Paula Coutinho. 2022. "Beef Consumers Behaviour and Preferences—The Case of Portugal" Sustainability 14, no. 4: 2358. https://doi.org/10.3390/su14042358
APA StylePaiva, T., Jacinto, T. A., Sarraguça, M. C., & Coutinho, P. (2022). Beef Consumers Behaviour and Preferences—The Case of Portugal. Sustainability, 14(4), 2358. https://doi.org/10.3390/su14042358

