Analysis of Sustainable Development Questions of College Entrance Examination Geography Papers in China: 2010–2020
Abstract
1. Introduction
- (1)
- How does ESD reflect high geography curriculum in China?
- (2)
- How does ESD reflect high geography assessment in China?
- (3)
- What are the characteristics of geography in NCEE tests for SD?
2. Literature Review
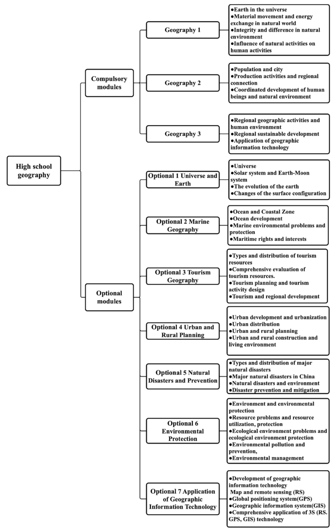
2.1. High School Geography Curriculum
2.2. NCEE
3. Materials and Methods
- (1)
- Expert consultation
- (2)
- Content analysis
- (3)
- Statistical analysis
4. Results
4.1. Analysis of SD in National Geography Curricula and Exam Questions
4.1.1. SD Aspects in the High-School Curriculum
4.1.2. SD Aspects in Geography Assessment
4.1.3. Sustainable Agriculture, Terrestrial Ecosystems, Settlements, and Water Are Well-Reflected in Geography Questions
4.1.4. Water-Related Ecosystems, Resilient Agricultural Practices, Transportation System, Tourism Desertification and Degraded Land and Soil Are Best Reflected
6. The largest proportion of green water is found in which of the following rivers:A. Tarim River basin. B. Yangtze River basinC. Yarlung Tsangpo River basin D. Heilongjiang River basin7. In arid and semi-arid areas, which of the following measures would increase the proportion of productive green water the most:A. conversion of paddy fields to dry fields B. afforestationC. mulching of crops D. construction of terraces
4.2. Analysis on the Characteristics of SD Exam Questions
4.2.1. Set Open Questions for Evaluation of Students’ SD Value
- (1)
Explain the enlightenment of development experience of jasmine tea industry in Hengxian County to several impoverished counties in China.- (2)
Put forward suggestions for further economic development of Hengxian County based on jasmine planting.
4.2.2. Questions Are from Life and Influential Geographic Literature
In China, the Qinling region in southern Shaanxi is a key area of the distribution range of the giant panda. The area was once an important forest logging area, with a number of forestry enterprises carrying out logging operations in the area from the 1970s, and logging of natural forests was completely stopped after 1998. Figure 5 illustrates the changes in the extent of suitable habitat for the giant panda in the area in 1976, 1987, and 2000.
- (1)
Describe the changes in the extent of the giant panda’s habitat in the area. (7 points)- (2)
Analyze the anthropogenic causes of the changes in the extent of the giant panda’s habitat in the area. (9 points)- (3)
Describe the main ways in which road construction and the conservation of habitat for wildlife can be coordinated. (6 point)
4.2.3. Create Context of Problem in a Multiple Way
4.2.4. Diversifying Question-Setting Patterns with “Where, Why, and How”
4.2.5. Focusing on Human and Nature Relationship
4.2.6. Pay More Attention to Regional Sustainability
4.2.7. The Difficulties of SD Questions Are Moderate
5. Conclusions and Discussion
Author Contributions
Funding
Institutional Review Board Statement
Informed Consent Statement
Acknowledgments
Conflicts of Interest
Appendix A
| Goal | Indicators |
|---|---|
| Goal 1. End poverty in all its forms everywhere | 1.5 By 2030, build the resilience of the poor and those in vulnerable situations and reduce their exposure and vulnerability to climate-related extreme events and other economic, social and environmental shocks and disasters |
| 1.a Ensure significant mobilization of resources from a variety of sources, including through enhanced development cooperation, in order to provide adequate and predictable means for developing countries, in particular least developed countries, to implement programmes and policies to end poverty in all its dimensions | |
| Goal 2. End hunger, achieve food security and improved nutrition and promote sustainable agriculture | 2.1 By 2030, end hunger and ensure access by all people, in particular the poor and people in vulnerable situations, including infants, to safe, nutritious and sufficient food all year round |
| 2.3 By 2030, double the agricultural productivity and incomes of small-scale food producers, in particular women, indigenous peoples, family farmers, pastoralists and fishers, including through secure and equal access to land, other productive resources and inputs, knowledge, financial services, markets and opportunities for value addition and non-farm employment | |
| 2.4 By 2030, ensure sustainable food production systems and implement resilient agricultural practices that increase productivity and production, that help maintain ecosystems, that strengthen capacity for adaptation to climate change, extreme weather, drought, flooding and other disasters and that progressively improve land and soil quality | |
| 2.5 By 2020, maintain the genetic diversity of seeds, cultivated plants and farmed and domesticated animals and their related wild species, including through soundly managed and diversified seed and plant banks at the national, regional and international levels, and promote access to and fair and equitable sharing of benefits arising from the utilization of genetic resources and associated traditional knowledge, as internationally agreed | |
| 2.a Increase investment, including through enhanced international cooperation, in rural infrastructure, agricultural research and extension services, technology development and plant and livestock gene banks in order to enhance agricultural productive capacity in developing countries, in particular least developed countries | |
| 2.b Correct and prevent trade restrictions and distortions in world agricultural markets, including through the parallel elimination of all forms of agricultural export subsidies and all export measures with equivalent effect, in accordance with the mandate of the Doha Development Round | |
| Goal 3. Ensure healthy lives and promote well-being for all at all ages | 3.2 By 2030, end preventable deaths of newborns and children under 5 years of age, with all countries aiming to reduce neonatal mortality to at least as low as 12 per 1000 live births and under-5 mortality to at least as low as 25 per 1000 live births |
| 3.7 By 2030, ensure universal access to sexual and reproductive health-care services, including for family planning, information and education, and the integration of reproductive health into national strategies and programmes | |
| 3.b Support the research and development of vaccines and medicines for the communicable and non-communicable diseases that primarily affect developing countries, provide access to affordable essential medicines and vaccines, in accordance with the Doha Declaration on the TRIPS Agreement and Public Health, which affirms the right of developing countries to use to the full the provisions in the Agreement on Trade-Related Aspects of Intellectual Property Rights regarding flexibilities to protect public health, and, in particular, provide access to medicines for all | |
| Goal 4. Ensure inclusive and equitable quality education and promote lifelong learning opportunities for all | 4.7 By 2030, ensure that all learners acquire the knowledge and skills needed to promote sustainable development, including, among others, through education for sustainable development and sustainable lifestyles, human rights, gender equality, promotion of a culture of peace and non-violence, global citizenship and appreciation of cultural diversity and of culture’s contribution to sustainable development |
| Goal 5. Achieve gender equality and empower all women and girls | 5.1 End all forms of discrimination against all women and girls everywhere |
| Goal 6. Ensure availability and sustainable management of water and sanitation for all | 6.1 By 2030, achieve universal and equitable access to safe and affordable drinking water for all |
| 6.3 By 2030, improve water quality by reducing pollution, eliminating dumping and minimizing release of hazardous chemicals and materials, halving the proportion of untreated wastewater and substantially increasing recycling and safe reuse globally | |
| 6.5 By 2030, implement integrated water resources management at all levels, including through transboundary cooperation as appropriate | |
| 6.6 By 2020, protect and restore water-related ecosystems, including mountains, forests, wetlands, rivers, aquifers and lakes | |
| 6.a By 2030, expand international cooperation and capacity-building support to developing countries in water- and sanitation-related activities and programmes, including water harvesting, desalination, water efficiency, wastewater treatment, recycling and reuse technologies | |
| Goal 7. Ensure access to affordable, reliable, sustainable and modern energy for all | 7.1 By 2030, ensure universal access to affordable, reliable and modern energy services |
| 7.2 By 2030, increase substantially the share of renewable energy in the global energy mix | |
| 7.a By 2030, enhance international cooperation to facilitate access to clean energy research and technology, including renewable energy, energy efficiency and advanced and cleaner fossil-fuel technology, and promote investment in energy infrastructure and clean energy technology | |
| Goal 8. Promote sustained, inclusive and sustainable economic growth, full and productive employment and decent work for all | 8.1 Sustain per capita economic growth in accordance with national circumstances and, in particular, at least 7 per cent gross domestic product growth per annum in the least developed countries |
| 8.2 Achieve higher levels of economic productivity through diversification, technological upgrading and innovation, including through a focus on high-value added and labour-intensive sectors | |
| 8.3 Promote development-oriented policies that support productive activities, decent job creation, entrepreneurship, creativity and innovation, and encourage the formalization and growth of micro-, small- and medium-sized enterprises, including through access to financial services | |
| 8.9 By 2030, devise and implement policies to promote sustainable tourism that creates jobs and promotes local culture and products | |
| 8.a Increase Aid for Trade support for developing countries, in particular least developed countries, including through the Enhanced Integrated Framework for Trade- related Technical Assistance to Least Developed Countries | |
| Goal 9. Build resilient infrastructure, promote inclusive and sustainable industrialization and foster innovation | 9.1 Develop quality, reliable, sustainable and resilient infrastructure, including regional and transborder infrastructure, to support economic development and human well-being, with a focus on affordable and equitable access for all |
| 9.2 Promote inclusive and sustainable industrialization and, by 2030, significantly raise industry’s share of employment and gross domestic product, in line with national circumstances, and double its share in least developed countries | |
| 9.4 By 2030, upgrade infrastructure and retrofit industries to make them sustainable, with increased resource-use efficiency and greater adoption of clean and environmentally sound technologies and industrial processes, with all countries taking action in accordance with their respective capabilities | |
| 9.a Facilitate sustainable and resilient infrastructure development in developing countries through enhanced financial, technological and technical support to African countries, least developed countries, landlocked developing countries and small island developing States | |
| 9.c Significantly increase access to information and communications technology and strive to provide universal and affordable access to the Internet in least developed countries by 2020 | |
| Goal 10. Reduce inequality within and among countries | 10.1 By 2030, progressively achieve and sustain income growth of the bottom 40 per cent of the population at a rate higher than the national average |
| 10.7 Facilitate orderly, safe, regular and responsible migration and mobility of people, including through the implementation of planned and well-managed migration policies | |
| Goal 11. Make cities and human settlements inclusive, safe, resilient and sustainable | 11.2 By 2030, provide access to safe, affordable, accessible and sustainable transport systems for all, improving road safety, notably by expanding public transport, with special attention to the needs of those in vulnerable situations, women, children, persons with disabilities and older persons |
| 11.3 By 2030, enhance inclusive and sustainable urbanization and capacity for participatory, integrated and sustainable human settlement planning and management in all countries | |
| 11.4 Strengthen efforts to protect and safeguard the world’s cultural and natural heritage | |
| 11.5 By 2030, significantly reduce the number of deaths and the number of people affected and substantially decrease the direct economic losses relative to global gross domestic product caused by disasters, including water-related disasters, with a focus on protecting the poor and people in vulnerable situations | |
| 11.6 By 2030, reduce the adverse per capita environmental impact of cities, including by paying special attention to air quality and municipal and other waste management | |
| 11.7 By 2030, provide universal access to safe, inclusive and accessible, green and public spaces, in particular for women and children, older persons and persons with disabilities | |
| 11.a Support positive economic, social and environmental links between urban, peri-urban and rural areas by strengthening national and regional development planning | |
| 11.b By 2020, substantially increase the number of cities and human settlements adopting and implementing integrated policies and plans towards inclusion, resource efficiency, mitigation and adaptation to climate change, resilience to disasters, and develop and implement, in line with the Sendai Framework for Disaster Risk Reduction 2015–2030, holistic disaster risk management at all levels | |
| 11.c Support least developed countries, including through financial and technical assistance, in building sustainable and resilient buildings utilizing local materials | |
| Goal 12. Ensure sustainable consumption and production patterns | 12.2 By 2030, achieve the sustainable management and efficient use of natural resources |
| 12.3 By 2030, halve per capita global food waste at the retail and consumer levels and reduce food losses along production and supply chains, including post-harvest losses | |
| 12.4 By 2020, achieve the environmentally sound management of chemicals and all wastes throughout their life cycle, in accordance with agreed international frameworks, and significantly reduce their release to air, water and soil in order to minimize their adverse impacts on human health and the environment | |
| 12.5 By 2030, substantially reduce waste generation through prevention, reduction, recycling and reuse | |
| 12.6 Encourage companies, especially large and transnational companies, to adopt sustainable practices and to integrate sustainability information into their reporting cycle | |
| 12.8 By 2030, ensure that people everywhere have the relevant information and awareness for sustainable development and lifestyles in harmony with nature | |
| 12.a Support developing countries to strengthen their scientific and technological capacity to move towards more sustainable patterns of consumption and production | |
| 12.b Develop and implement tools to monitor sustainable development impacts for sustainable tourism that creates jobs and promotes local culture and products | |
| 12.c Rationalize inefficient fossil-fuel subsidies that encourage wasteful consumption by removing market distortions, in accordance with national circumstances, including by restructuring taxation and phasing out those harmful subsidies, where they exist, to reflect their environmental impacts, taking fully into account the specific needs and conditions of developing countries and minimizing the possible adverse impacts on their development in a manner that protects the poor and the affected communities | |
| Goal 13. Take urgent action to combat climate change and its impacts3 | 13.1 Strengthen resilience and adaptive capacity to climate- related hazards and natural disasters in all countries |
| 13.2 Integrate climate change measures into national policies, strategies and planning | |
| 13.3 Improve education, awareness-raising and human and institutional capacity on climate change mitigation, adaptation, impact reduction and early warning | |
| Goal 14. Conserve and sustainably use the oceans, seas and marine resources for sustainable development | 14.1 By 2025, prevent and significantly reduce marine pollution of all kinds, in particular from land-based activities, including marine debris and nutrient pollution |
| 14.2 By 2020, sustainably manage and protect marine and coastal ecosystems to avoid significant adverse impacts, including by strengthening their resilience, and take action for their restoration in order to achieve healthy and productive oceans | |
| 14.3 Minimize and address the impacts of ocean acidification, including through enhanced scientific cooperation at all levels | |
| 14.4 By 2020, effectively regulate harvesting and end overfishing, illegal, unreported and unregulated fishing and destructive fishing practices and implement science-based management plans, in order to restore fish stocks in the shortest time feasible, at least to levels that can produce maximum sustainable yield as determined by their biological characteristics | |
| 14.a Increase scientific knowledge, develop research capacity and transfer marine technology, taking into account the Intergovernmental Oceanographic Commission Criteria and Guidelines on the Transfer of Marine Technology, in order to improve ocean health and to enhance the contribution of marine biodiversity to the development of developing countries, in particular small island developing States and least developed countries | |
| Goal 15. Protect, restore and promote sustainable use of terrestrial ecosystems, sustainably manage forests, combat desertification, and halt and reverse land degradation and halt biodiversity loss | 15.1 By 2020, ensure the conservation, restoration and sustainable use of terrestrial and inland freshwater ecosystems and their services, in particular forests, wetlands, mountains and drylands, in line with obligations under international agreements |
| 15.2 By 2020, promote the implementation of sustainable management of all types of forests, halt deforestation, restore degraded forests and substantially increase afforestation and reforestation globally | |
| 15.3 By 2030, combat desertification, restore degraded land and soil, including land affected by desertification, drought and floods, and strive to achieve a land degradation- neutral world | |
| 15.4 By 2030, ensure the conservation of mountain ecosystems, including their biodiversity, in order to enhance their capacity to provide benefits that are essential for sustainable development | |
| 15.5 Take urgent and significant action to reduce the degradation of natural habitats, halt the loss of biodiversity and, by 2020, protect and prevent the extinction of threatened species | |
| 15.7 Take urgent action to end poaching and trafficking of protected species of flora and fauna and address both demand and supply of illegal wildlife products | |
| 15.8 By 2020, introduce measures to prevent the introduction and significantly reduce the impact of invasive alien species on land and water ecosystems and control or eradicate the priority species | |
| 15.9 By 2020, integrate ecosystem and biodiversity values into national and local planning, development processes, poverty reduction strategies and accounts | |
| Goal 16. Promote peaceful and inclusive societies for sustainable development, provide access to justice for all and build effective, accountable and inclusive institutions at all levels | 16.b Promote and enforce non-discriminatory laws and policies for sustainable development |
| Goal 17. Strengthen the means of implementation and revitalize the Global Partnership for Sustainable Development | 17.6 Enhance North-South, South-South and triangular regional and international cooperation on and access to science, technology and innovation and enhance knowledge- sharing on mutually agreed terms, including through improved coordination among existing mechanisms, in particular at the United Nations level, and through a global technology facilitation mechanism |
| 17.9 Enhance international support for implementing effective and targeted capacity-building in developing countries to support national plans to implement all the Sustainable Development Goals, including through North- South, South-South and triangular cooperation | |
| 17.10 Promote a universal, rules-based, open, non-discriminatory and equitable multilateral trading system under the World Trade Organization, including through the conclusion of negotiations under its Doha Development Agenda |
References
- UN. Transforming Our World: The 2030 Agenda for Sustainable Development; United Nations: New York, NY, USA, 2015. [Google Scholar]
- UN. Global Indicator Framework for the Sustainable Development Goals and Targets of the 2030 Agenda for Sustainable Development. Available online: https://unstats.un.org/sdgs/indicators/indicators-list (accessed on 1 September 2021).
- Yuan, M. Geographical information science for the United Nations’ 2030 agenda for sustainable development. Int. J. Geogr. Inf. Sci. 2020, 35, 1–8. [Google Scholar] [CrossRef]
- Reinfried, S.; Rempfler, A. Lucerne declaration on geographical education for sustainable development. Geogr. Forsch. 2007, 42, 243–250. [Google Scholar]
- Guo, F.; Lane, J.; Duan, Y.; Stoltman, J.P.; Khlebosolova, O.; Lei, H.; Zhou, W. Sustainable Development in Geography Education for Middle School in China. Sustainability 2018, 10, 3896. [Google Scholar] [CrossRef]
- Nevin, E. Education and sustainable development. Policy Pract. Dev. Educ. Rev. 2008, 6, 49–62. [Google Scholar]
- Shulla, K.; Filho, W.L.; Lardjane, S.; Sommer, J.H.; Borgemeister, C. Sustainable development education in the context of the 2030 Agenda for sustainable development. Int. J. Sustain. Dev. World Ecol. 2020, 27, 458–468. [Google Scholar] [CrossRef]
- Zguir, M.F.; Dubis, S.; Koç, M. Embedding Education for Sustainable Development (ESD) and SDGs values in curriculum: A comparative review on Qatar, Singapore and New Zealand. J. Clean. Prod. 2021, 319, 128534. [Google Scholar] [CrossRef]
- Littledyke, M. Science education for environmental awareness: Approaches to integrating cognitive and affective domains. Environ. Educ. Res. 2008, 14, 1–17. [Google Scholar] [CrossRef]
- Liu, L.; Chen, C. Developing New Curriculum of Geography in High School with Sustainable Development. China Education Newspaper, 16 December 2005; p. 5. [Google Scholar]
- Jackson, P. Thinking Geographically. Geography 2006, 91, 199–204. [Google Scholar] [CrossRef]
- Qiu, J. The role of geography in sustainable development. Natl. Sci. Rev. 2016, 4, 140–143. [Google Scholar] [CrossRef][Green Version]
- Uitto, A.; Saloranta, S. Subject Teachers as Educators for Sustainability: A Survey Study. Educ. Sci. 2017, 7, 8. [Google Scholar] [CrossRef]
- Rauch, F.; Steiner, R. Competences for Education for Sustainable Development in Teacher Education. Cent. Educ. Policy Stud. J. 2013, 3, 9–24. [Google Scholar] [CrossRef]
- Filho, W.L.; Levesque, V.R.; Salvia, A.L.; Paço, A.; Fritzen, B.; Frankenberger, F.; Damke, L.I.; Brandli, L.L.; Ávila, L.V.; Mifsud, M.; et al. University teaching staff and sustainable development: An assessment of competences. Sustain. Sci. 2020, 16, 101–116. [Google Scholar] [CrossRef]
- Cifuentes-Faura, J.; Faura-Martínez, U.; Lafuente-Lechuga, M. Assessment of Sustainable Development in Secondary School Economics Students According to Gender. Sustainability 2020, 12, 5353. [Google Scholar] [CrossRef]
- Rychen, D. Key competencies for the knowledge society: A contribution from the OECD project definition and selection of competencies (deseco). In Proceedings of the Education–Lifelong Learning and the Knowledge Economy Conference, Stuttgart, Germany, 9–10 October 2002. [Google Scholar]
- UNESCO. Education for Sustainable Development Sourcebook; Langer, H., Ed.; Place de Fontenoy: Paris, France, 2012. [Google Scholar]
- Lu, A. Interpretation of geography exam questions of Paper 1 in 2016. Geogr. Teach. 2016, 13, 56–58. [Google Scholar]
- Liu, X. Analysis of New Standard Comprehensive Matriculation National Geographic Test Papers in 2010–2016. Master’s Thesis, Ludong University, Yantai, China, 2017. [Google Scholar]
- Wang, M. Technology of answering questions about human-land relationship. Test Quest. Study. 2016, 1, 26–31. [Google Scholar]
- Zhou, Y. Analyze the answers of question in college entrance examination and explore the thinking mode of answering questions—taking the sustainable development of agricultural products as an example. Teach. Exam. 2018, 9, 33–34. [Google Scholar]
- Zhang, W. Question design of regional sustainable development. Geogr. Teach. 2019, 9, 48–49. [Google Scholar]
- Qiu, J.; Hung, D.; Zhang, Z. “Lucid waters and lush mountains are invaluable assets” test item design—natural environment protection and agricultural sustainable development in karst areas. Trop. Geomorphol. 2019, 40, 82–84. [Google Scholar]
- MOE&PRC. Notice of the Ministry of Education Issued the Curriculum Plan of Ordinary Senior high School and the Curriculum Standards (Experimental Version) of Fifteen Subjects such as Chinese. Available online: http://www.moe.gov.cn/srcsite/A26/s8001/200303/t20030331_167349.html (accessed on 1 September 2021).
- MOE&PRC. High School Geography Curriculum Standard (Experimental Version); People’s Education Press: Beijing, China, 2003. [Google Scholar]
- Duan, Y.; Chen, C. Opinion on the revision of high school geography standard. Basic Educ. Curric. 2013, 5, 12–14. [Google Scholar]
- Chen, C. The Core Topic of Geography Curriculum in High School. Geogr. Teach. 1996, 5, 12–14. [Google Scholar]
- Chen, C.; Fan, J. The Interpretation of High School Geography Curriculum Standard (Experimental Version); Jiangsu Education Publishing House: Nanjing, China, 2006; p. 323. [Google Scholar]
- Liu, l. Review and Reflection of provincial question-setting reform of College Entrance Examination. Educ. Exam. 2020, 1, 12–16. [Google Scholar]
- MOE&PRC. National Medium and Long-term Education Reform and Development Plan (2010–2020). MOE&PRC, Ed.; 2010. Available online: http://www.moe.gov.cn/srcsite/A01/s7048/201007/t20100729_171904.html (accessed on 4 September 2021).
- Council, S. The Implementation Opinions of the State Council on Deepening the Reform of Examination and Enrollment System. 2014. Available online: http://english.www.gov.cn/archive/state_council_gazette/2015/06/05/content_281475121375602.htm (accessed on 7 September 2021).
- Yuan, G. Strive to overcome eight difficult problems of education reform and development-an interview with the minister of education. Xinhua News Agency, 2 February 2014. [Google Scholar]
- MOE&PRC. Notice of the Ministry of Education on the Interim Measures for the Administration of the Provincial Question-setting of the National Unified College Entrance Examination; MOE&PRC: Beijing, China, 2006. Available online: http://www.moe.gov.cn/jyb_xxgk/gk_gbgg/moe_0/moe_1133/moe_1304/tnull_18439.html (accessed on 7 September 2021).
- Liu, B. Retrospect and enlightenment of the provincial question-setting reform of college entrance examination. Jiangsu High. Education. 2017, 2, 76–79. [Google Scholar]
- MOE&PRC. Notice of the Ministry of Education on Printing and Distributing the Syllabus of Seven Subjects Including Chinese for Full-Time Senior Middle School; MOE&PRC: Beijing, China, 2002. Available online: http://www.moe.gov.cn/jyb_xxgk/gk_gbgg/moe_0/moe_8/moe_25/tnull_237.html (accessed on 4 September 2021).
- NEEA. 2019 Geography Test Syllabus for National Unified College Entrance Examination. Available online: http://gaokao.neea.edu.cn/html1/report/19012/5851-1.htm (accessed on 1 May 2021).
- China Tourism Academy. Annual Report of China Domestic Tourism Development 2021; China Tourism Academy: Beijing, China, 2021. [Google Scholar]
- Jean, P.B.; Cai, Z. French Rhone river and its basin hrnessing. World Reg. Stud. 2015, 24, 8. [Google Scholar]
- Jin, X.; Deng, H.; Hu, D. Habitat changing of the giant panda in qinling mountain over 30 years from 1976 to 2007. Chin. J. Zool. 2012, 47, 6. [Google Scholar]
- Gong, S. Framework of human geography research. In Proceedings of the 2003 Academic Annual Meeting of Chinese Geographical Society, Wuhan, China, 11–14 July 2003; p. 154. [Google Scholar]
- EEAGP. Annual Report of Guangdong College Entrance Examination 2016; Guangdong Higher Education Press: Guangdong, China, 2016; pp. 82–85. [Google Scholar]
- EEAGP. Annual Report of Guangdong College Entrance Examination 2018; Guangdong Higher Education Press: Guangzhou, China, 2018; pp. 85–88. [Google Scholar]
- EEAGP. Annual Report of Guangdong College Entrance Examination 2019; Guangdong Higher Education Press: Guangzhou, China, 2019; pp. 77–79. [Google Scholar]
- EEAGP. Annual Report of Guangdong College Entrance Examination 2020; Guangdong Higher Education Press: Guangzhou, China, 2020; pp. 73–75. [Google Scholar]
- EEAGP. Annual Report of Guangdong College Entrance Examination 2021; Guangdong Higher Education Press: Guangzhou, China, 2021; pp. 73–75. [Google Scholar]
- Guo, F. The Implementation and Test Evaluation of the Senior Geography Optional Modules in New Curriculum Reform. Master’s Thesis, East China Normal University, Shanghai, China, 2011. [Google Scholar]
- Shiveley, J.; Misco, T. Reclaiming generalizations in social studies education. Soc. Stud. Res. Pract. 2009, 4, 73–78. [Google Scholar]
- Young, M.; Muller, J. On the powers of powerful knowledge. Rev. Education. 2013, 1, 229–250. [Google Scholar] [CrossRef]
- Maude, A. What might powerful geographical knowledge look like? Geography 2016, 101, 70–76. [Google Scholar] [CrossRef]
- Maude, A. A sustainable view of sustainability? Geography 2014, 99, 47–50. [Google Scholar] [CrossRef]
- Lambert, D.; Solem, M.; Tani, S. Achieving Human Potential Through Geography Education: A Capabilities Approach to Curriculum Making in Schools. Ann. Assoc. Am. Geogr. 2015, 105, 723–735. [Google Scholar] [CrossRef]
- MOE&PRC. High School Geography Curriculum Standard; People’s Education Press: Beijing, China, 2020. [Google Scholar]
- Whalley, W.B. The science tradition in physical geography: 2016 A level specifications and ‘powerful geography’. Geography 2020, 105, 142–156. [Google Scholar] [CrossRef]









| Location of SD | Expression of SD |
|---|---|
| Preface | To establish the concept of sustainable development and to form a civilized way of life and production ……. This course enhances the sense of social responsibility and strengthens the concept of sustainable development in which a population, resources, the environment, and society are in harmony with each other. This is the mission given to high geography education to be achieved in the new era. |
| Nature of the course | The high school geography curriculum …… is a basic course in which high school students learn about earth science, develop an understanding of the relationship between human activities and the geographical environment, further master learning and research methods in geography, and establish their understanding of the concept of sustainable development. This course spans two areas of learning the, “Humanities and Society” and “Science.” |
| Curriculum rationale | The course focuses on issues such as population, resources, the environment, and regional development with the aim to facilitate a correct understanding by the students of the relationship between humans and the earth. Thus, students can understand the concept of sustainable development. The course teaches students to cherish the earth and care for the environment. |
| Design ideas for the course | The content of the high school geography curriculum is designed with sustainable development as the over-arching theme. The main principle is the relationship between humans and the earth. The focus is the current issues facing mankind of integrating population, resources, the environment, and development. The support is modern scientific and technological methods. The aim is to cultivate the quality of life of the modern national civilization. Achieving all of the above results comprehensively reflects the basic philosophy of the geography curriculum. |
| Course Objectives | Overall Objectives: …… To enhance patriotic sentiments and establish a scientific view of population, resources, the environment, and sustainable development. Knowledge and Skills: To understand the significance of sustainable development and the main methods by which it can be achieved. To recognize regional differences and understand the main problems regarding regional sustainable development and their solutions. Emotional Attitudes and Values: To enhance awareness of the protection of resources, the environment, and the rule of law; to develop a concept of sustainable development; to enhance the sense of social responsibility and care for the environment; and to develop good behavioral habits. |
| Content Standards | Geography 2: In the context of Agenda 21, outline the basic meaning of sustainable development and illustrate the main ways to harmonize the relationship between humans and the earth are provided. Comprehend the achievement of sustainable development as an inevitable choice for humans, understand the attitudes and responsibilities that individuals should have in the process of sustainable development. Geography 3: Regional sustainable development: Using a region as an example, analyze the relationship between the rational development of its energy and mineral resources and sustainable development. For the section on “Regional sustainable development,” regions with themes that meet the “standard” should be chosen. Textbooks and teaching should be developed using case studies. At least three Chinese cases and one foreign case must be selected for this section. Urban and rural planning: explain the significance of urban and rural planning for urban and rural sustainable development. |
| Teaching suggestions | Teaching suggestions: “Learning geography as a fundamental part of citizenship” is one of the basic concepts of the high school geography curriculum. Consequently, the curriculum standards include a large number of teaching elements related to the concepts of population, resources, the environment, and sustainable development. Suggestions for assessments: Attitudes and sense of responsibility toward the physical geography environment and society: assess whether students have developed an initial concept of sustainable development …… Suggestions for developing textbooks: The psychological characteristics of high school students must be considered. Consequently, the textbooks should be written in a way that consciously guides the students’ rational thinking regarding geography. Teachers must be able to assist students to develop an understanding of concepts, such as the harmony between humans and the nature and sustainable development. |
| Papers and Years | Questions |
|---|---|
| No. 37, Paper III, 2020 | (4) In recent years, the green area of the Maowusu Desert has gradually increased, and several people think that “the Maowusu Desert will disappear soon.” Do you agree? Please state your opinion and provide reasons. (4 point) |
| No. 37, Paper II, 2019 | (4) Several people suggest that ski resorts in Zhejiang should change from providing one-day to multi-day holiday experiences, and that more hotels should be built along with intermediate and advanced ski trails. Do you agree with this suggestion? Please state your opinion and provide reasons. (6 point) |
| No. 37, Paper I, 2018 | (4) The outflow of Wuyur River is suggested to be restored using engineering measures. Do you agree? Please provide reasons. (4 point) |
| No. 36, Paper II, 2018 | (4) Several data centers on the eastern coastal region have started to adopt energy saving and consumption reduction measures. Do you think this is currently necessary for the data center in Gui’an New Area? Please state your opinion and explain why. (4 point) |
| No. 36, Paper III, 2018 | (3) In recent years, soda ash plants have been operating at a constant loss. There are different local views on whether to close the soda ash plants. Please indicate the view you support and provide reasons. (6 point) |
| No. 36, Paper II, 2017 | (4) Do you agree with the expansion of greenhouse agricultural production in Site A? Please state your opinion and provide reasons. (6 point) |
| No. 36, Paper III, 2016 | (3) Do you agree that tourism should be expanded in the area? Please state your opinion and provide reasons. (6 point) |
Publisher’s Note: MDPI stays neutral with regard to jurisdictional claims in published maps and institutional affiliations. |
© 2022 by the authors. Licensee MDPI, Basel, Switzerland. This article is an open access article distributed under the terms and conditions of the Creative Commons Attribution (CC BY) license (https://creativecommons.org/licenses/by/4.0/).
Share and Cite
Guo, F.; Duan, Y.; He, S.; Gong, Q.; Yao, Z. Analysis of Sustainable Development Questions of College Entrance Examination Geography Papers in China: 2010–2020. Sustainability 2022, 14, 1526. https://doi.org/10.3390/su14031526
Guo F, Duan Y, He S, Gong Q, Yao Z. Analysis of Sustainable Development Questions of College Entrance Examination Geography Papers in China: 2010–2020. Sustainability. 2022; 14(3):1526. https://doi.org/10.3390/su14031526
Chicago/Turabian StyleGuo, Fengtao, Yushan Duan, Shanbo He, Qian Gong, and Zeyang Yao. 2022. "Analysis of Sustainable Development Questions of College Entrance Examination Geography Papers in China: 2010–2020" Sustainability 14, no. 3: 1526. https://doi.org/10.3390/su14031526
APA StyleGuo, F., Duan, Y., He, S., Gong, Q., & Yao, Z. (2022). Analysis of Sustainable Development Questions of College Entrance Examination Geography Papers in China: 2010–2020. Sustainability, 14(3), 1526. https://doi.org/10.3390/su14031526

