Poor Air Quality in Urban Settings: A Comparison of Perceptual Indicators, Causes and Management in Two Cities
Abstract
:1. Introduction
- i.
- What are the main perceptual indicators of PAQ employed by city residents?
- ii.
- What people think are the main causes of PAQ?
- iii.
- What people think can be done to address PAQ?
- iv.
- Who should be primarily responsible for addressing PAQ, including changes in behaviour?
2. Materials and Methods
2.1. Research Locations
2.1.1. Nigeria
2.1.2. Abuja and Enugu
2.2. Sample Participants and Demographics
2.3. Data Collection
2.4. Questionnaire Design and Statistical Analysis
3. Results
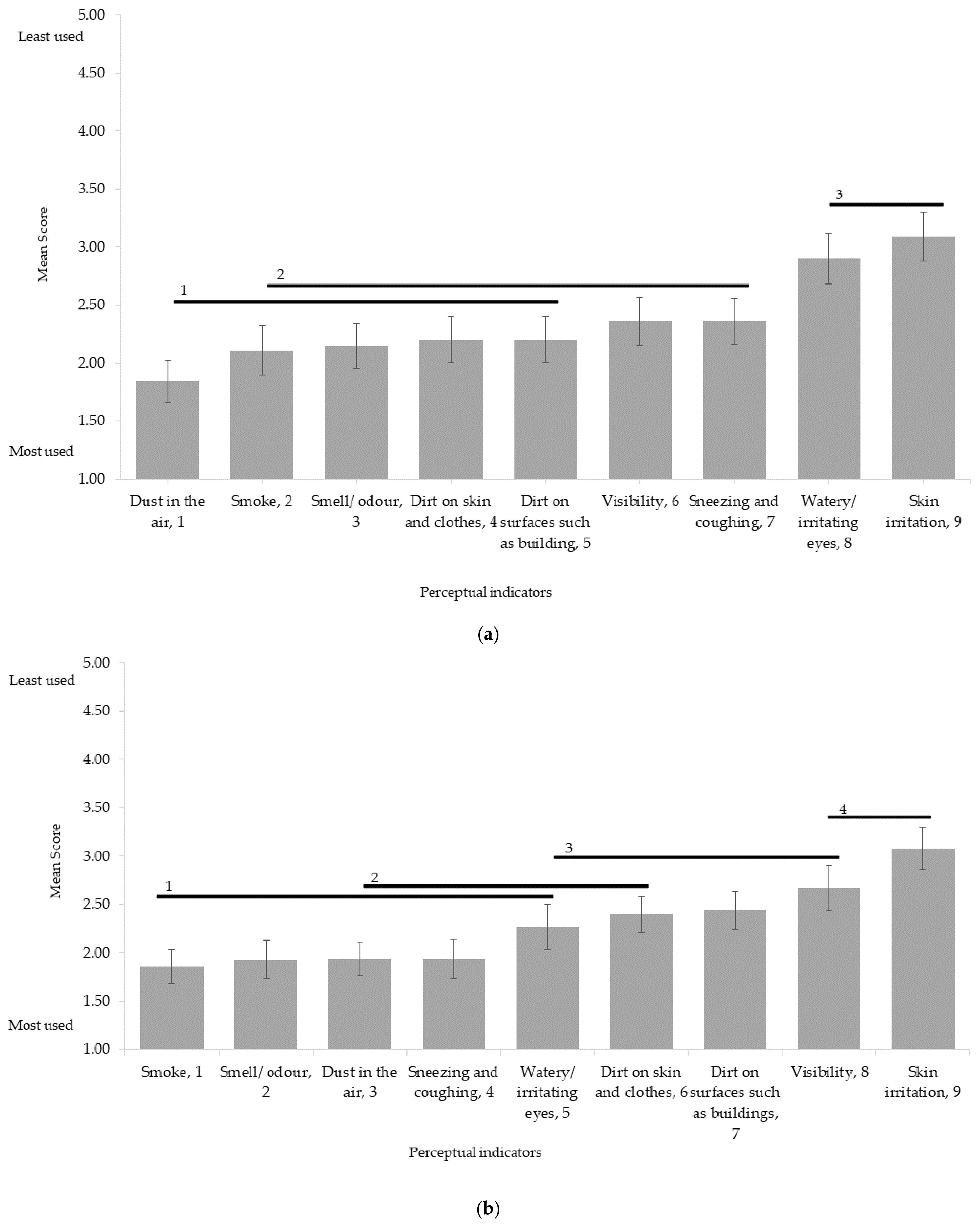
3.1. Perceptual Indicators of PAQ
3.2. Sources of PAQ
3.3. Control Measures for PAQ
3.4. Primary Responsibility of Implementing PAQ Control Measures
4. Discussion
5. Conclusions
- Respondents in both Abuja and Enugu have clear and very similar perceptions that they are exposed to PAQ.
- Odour, dust and smoke are the most frequently used perceptual indicators of PAQ in the Nigerian cities of Abuja and Enugu. This mirrors similar findings in studies in other parts of the world.
- Combustion-based human activities such as vehicular movement, manufacturing, the use of generators, bush fires and waste-related activities are the main perceived sources of PAQ in both cities. These were also reflected in the views expressed in both cities on the main control measures being proper waste disposal and incineration and the avoidance of bush burning. Respondents were less positive about methods for controlling vehicle use or indeed the use of walking, cycling and mass transit systems. Statistically significant differences in views within the age demographic for the majority of the control measures were observed in Enugu but not Abuja.
- Views on the preferred agencies for implementing control measured diverged between Abuja and Enugu, with residents in the former favouring the federal government and those in the latter favouring local government. An interesting focus for this divergence that applied to both the control measures and the agencies occurred in the age demographic in Enugu where the ‘youth’ (18–34 years) scored the control measures significantly more highly and were significantly more positive about the responsibilities for implementing the controls than the older demographic (>35 years). This finding may reflect youth activism in Enugu and warrants further research in relation to the PAQ issue.
Author Contributions
Funding
Institutional Review Board Statement
Informed Consent Statement
Data Availability Statement
Acknowledgments
Conflicts of Interest
Appendix A
| Male | Female |
| 18–34 | 35 or older |
| No income | Under 10,000 | 11,000–30,000 | 31,000–50,000 | 51,000–100,000 | Over 100,000 |
| None | Primary | Secondary | Bachelor/Diploma or equivalent | Master or equivalent | PhD or equivalent |
| Student | Unemployed | Employed (daily wage) | Employed (weekly wage) | Employed (monthly wage) | Employed (monthly wage) | Self-employed | Housewife | Retired |
| Walking | Bicycle | Motorcycle | Car taxi | Tricycle taxi (Keke) | Motorcycle taxi (Okada) | Public bus | Train | Personal car |
| Most Used | Used | Neutral | Rarely Used | Least Used | |
| Visibility. | |||||
| Smell/odour. | |||||
| Dust in the air. | |||||
| Dirt on skin and clothes. | |||||
| Dirt on surfaces such as buildings. | |||||
| Smoke. | |||||
| Sneezing and coughing. | |||||
| Skin irritation. | |||||
| Watery/irritating eyes. |
| Strongly Agree | Agree | Neutral | Disagree | Strongly Disagree | |
| Air transportation. | |||||
| Cars. | |||||
| Trucks. | |||||
| Buses. | |||||
| Motorcycles. | |||||
| Tricycles. | |||||
| Power/energy generators. | |||||
| Petrol/gas filling stations. | |||||
| Manufacturing industries. | |||||
| Oil production. | |||||
| Cooking. | |||||
| Bush fire. | |||||
| Waste burning. | |||||
| Waste disposal. | |||||
| Building and road construction. | |||||
| Rail transportation. |
| Extremely Effective | Very Effective | Moderately Effective | Slightly Effective | Least Effective | |
| Energy conservation/saving. | |||||
| Reduce individual car ownership. | |||||
| Reduce individual motorcycle ownership. | |||||
| Walking and cycling. | |||||
| Patronising energy-efficient products. | |||||
| Use of clean energy (e.g., solar and wind power). | |||||
| Proper waste disposal and incineration. | |||||
| Government regulations. | |||||
| Monitoring of air quality. | |||||
| Raising awareness of air quality. | |||||
| Reduce consumption and improve reuse of products. | |||||
| Avoid bush burning. | |||||
| Road charging for vehicles. | |||||
| Parking restrictions and charge for vehicles. | |||||
| Reduce air travel. | |||||
| Encourage the use of train/mass transit. | |||||
| Better maintenance of vehicles. |
| Strongly Agree | Agree | Neutral | Disagree | Strongly Disagree | |
| Federal government. | |||||
| FCT/state government. | |||||
| Local government area councils. | |||||
| Non-governmental organisations (NGOs) | |||||
| Members of the public. |
References
- Xie, X.; Semanjski, I.; Gautama, S.; Tsiligianni, E.; Deligiannis, N.; Rajan, R.; Philips, W. A Review of Urban Air Pollution Monitoring and Exposure Assessment Methods. ISPRS Int. J. Geo Inf. 2017, 6, 389. [Google Scholar] [CrossRef] [Green Version]
- Avtar, R.; Saurabh, T.; Aggarwal, A.K.; Kumar, P. Population-Urbanization-Energy Nexus: A Review. Resources 2019, 8, 136. [Google Scholar] [CrossRef] [Green Version]
- Odonkor, S.T.; Mahami, T. Knowledge, Attitudes, and Perceptions of Air Pollution in Accra, Ghana: A Critical Survey. J. Environ. Public. Health 2020, 2020, 3657161. [Google Scholar] [CrossRef]
- Mafizur, R.M.; Vu, X.B. Are Energy Consumption, Population Density and Exports Causing Environmental Damage in China? Autoregressive Distributed Lag and Vector Error Correction Model Approaches. Sustainability 2021, 13, 3749. [Google Scholar] [CrossRef]
- Agbo, K.E.; Walgraeve, C.; Eze, J.I.; Ugwoke, P.E.; Ukoha, P.O.; Van Langenhove, H. A review on ambient and indoor air pollution status in Africa. Atmos. Pollut. Res. 2021, 12, 243–260. [Google Scholar] [CrossRef]
- World Health Organization. New WHO Global Air Quality Guidelines Aim to Save Millions of Lives from Air Pollution. 2021. Available online: https://www.who.int/news/item/22-09-2021-new-who-global-air-quality-guidelines-aim-to-save-millions-of-lives-from-air-pollution (accessed on 20 October 2021).
- World Health Organization. WHO Global Air Quality Guidelines. Particulate Matter (PM 2.5 and PM 10), Ozone, Nitrogen Dioxide, Sulphur Dioxide and Carbon Monoxide. 2021. Available online: https://www.who.int/publications/i/item/9789240034433 (accessed on 20 October 2021).
- Brimblecombe, P. Visibility Driven Perception and Regulation of Air Pollution in Hong Kong, 1968–2020. Environments 2021, 8, 51. [Google Scholar] [CrossRef]
- Perera, F.P. Multiple Threats to Child Health from Fossil Fuel Combustion: Impacts of Air Pollution and Climate Change. Environ. Health Perspect. 2017, 125, 141–148. [Google Scholar] [CrossRef]
- Eguiluz-Gracia, I.; Mathioudakis, A.G.; Bartel, S.; Vijverberg, S.J.H.; Fuertes, E.; Comberiati, P.; Cai, Y.S.; Tomazic, P.V.; Diamant, Z.; Vestbo, J.; et al. The need for clean air: The way air pollution and climate change affect allergic rhinitis and asthma. Allergy 2020, 75, 2170–2184. [Google Scholar] [CrossRef]
- Scotland’s Environment. Air Quality. 2011. Available online: https://www.environment.gov.scot/media/1241/air-and-climate-air-quality.pdf (accessed on 22 October 2021).
- Rao, N.V.; Rajasekhar, M.; Rao, G.C. Detrimental Effect of Air Pollution, Corrosion on Building Materials and Historical Structures. Am. J. Eng. Res. 2014, 3, 359–364. [Google Scholar]
- Strosnider, H.; Kennedy, C.; Monti, M.; Yip, F. Rural and Urban Differences in Air Quality, 2008–2012, and Community Drinking Water Quality, 2010–2015—United States. Morbidity and mortality weekly report. Surveill. Summ. 2017, 66, 1–10. [Google Scholar] [CrossRef] [PubMed]
- Grimmond, C.S.B.; Roth, M.; Oke, T.R.; Au, Y.C.; Best, M.; Betts, R.; Carmichael, G.; Cleugh, H.; Dabberdt, W.; Emmanuel, R.; et al. Climate and more sustainable cities: Climate information for improved planning and management of cities (Producers/Capabilities Perspective). Procedia Environ. Sci. 2010, 1, 247–274. [Google Scholar] [CrossRef] [Green Version]
- Manisalidis, I.; Stavropoulou, E.; Stavropoulos, A.; Bezirtzoglou, E. Environmental and Health Impacts of Air Pollution: A Review. Front. Public Health 2020, 8, 14. [Google Scholar] [CrossRef] [PubMed] [Green Version]
- Quarmby, S.; Santos, G.; Mathias, M. Air quality strategies and technologies: A rapid review of the international evidence. Sustainability 2019, 11, 2757. [Google Scholar] [CrossRef] [Green Version]
- Amann, M.; Kiesewetter, G.; Schpp, W.; Klimont, Z.; Winiwarter, W.; Cofala, J.; Rafaj, P.; Hglund-Isaksson, L.; Gomez-Sabriana, A.; Heyes, C.; et al. Reducing global air pollution: The scope for further policy interventions. Philos. Trans. R. Soc. A 2020, 378, 20190331. [Google Scholar] [CrossRef]
- Unece.org. Clean Air for Life | UNECE. 2016. Available online: http://unece.org/environment-policy/publications/clean-air-life (accessed on 23 October 2021).
- Borrego, C.; Costa, A.M.; Ginja, J.; Amorim, M.; Coutinho, M.; Karatzas, K.; Penza, M. Assessment of air quality microsensors versus reference methods: The EuNetAir joint exercise. Atmos. Environ. 2016, 147, 246–263. [Google Scholar] [CrossRef] [Green Version]
- Schwela, D. Review of Urban Air Quality in Sub-Saharan Africa Region. 2012. Available online: https://openknowledge.worldbank.org/handle/10986/26864 (accessed on 23 October 2021).
- Zhang, J.; Day, D. Urban Air Pollution and Health in Developing Countries. In Air Pollution and Health Effects. Molecular and Integrative Toxicology; Nadadur, S., Hollingsworth, J., Eds.; Springer: London, UK, 2015. [Google Scholar] [CrossRef]
- Karimi, H.; Soffianian, A.; Mirghaffari, N.; Soltani, S. Determining Air Pollution Potential Using Geographic Information Systems and Multi-criteria Evaluation: A Case Study in Isfahan Province in Iran. Environ. Process. 2016, 3, 229–246. [Google Scholar] [CrossRef]
- Zhou, C.; Li, S.; Wang, S. Examining the impacts of urban form on air pollution in developing countries: A case study of China’s megacities. Int. J. Environ. Res. Public Health 2018, 15, 1565. [Google Scholar] [CrossRef] [Green Version]
- Kumar, P.; Druckman, A.; Gallagher, J.; Gatersleben, B.; Allison, S.; Eisenman, T.S.; Hoang, U.; Hama, S.; Tiwari, A.; Sharma, A.; et al. The nexus between air pollution, green infrastructure and human health. Environ. Int. 2019, 133, 105181. [Google Scholar] [CrossRef]
- Abulude, F.O.; Damodharan, U.; Acha, S.; Adamu, A.; Arifalo, K.M. Preliminary Assessment of Air Pollution Quality Levels of Lagos, Nigeria. Environ. Sci. Proc. 2020, 5, 20. [Google Scholar] [CrossRef]
- De Souza, P.; Anjomshoaa, A.; Duarte, F.; Kahn, R.; Kumar, P.; Ratti, C. Air quality monitoring using mobile low-cost sensors mounted on trash-trucks: Methods development and lessons learned. Sustain. Cities Soc. 2020, 60, 102239. [Google Scholar] [CrossRef]
- Mahajan, S.; Kumar, P.; Pinto, J.A.; Riccetti, A.; Schaaf, K.; Camprodon, G.; Smári, V.; Passani, A.; Forino, G. A citizen science approach for enhancing public understanding of air pollution. Sustain. Cities Soc. 2020, 52, 101800. [Google Scholar] [CrossRef]
- Abera, A.; Friberg, J.; Isaxon, C.; Jerrett, M.; Malmqvist, E.; Sjöström, C.; Taj, T.; Vargas, A.M. Air Quality in Africa: Public Health Implications. Annu. Rev. Public Health 2021, 42, 193–210. [Google Scholar] [CrossRef]
- Singh, A.; Ng’ang’a, D.; Gatari, M.J.; Kidane, A.W.; Alemu, Z.A.; Derrick, N.; Webster, M.J.; Bartington, S.E.; Thomas, G.N.; Avis, W.; et al. Air quality assessment in three East African cities using calibrated low-cost sensors with a focus on road-based hotspots. Environ. Res. Commun. 2021, 3, 075007. [Google Scholar] [CrossRef]
- Squizzato, R.; Nogueira, T.; Martins, L.D.; Martins, J.A.; Astolfo, R.; Machado, C.B.; Andrade, M.F.; Freitas, E.D. Beyond megacities: Tracking air pollution from urban areas and biomass burning in Brazil. NPJ Clim. Atmos. Sci. 2021, 4, 17. [Google Scholar] [CrossRef]
- Rohde, R.A.; Muller, R.A. Air pollution in China: Mapping of concentrations and sources. PLoS ONE 2015, 10, e0135749. [Google Scholar] [CrossRef]
- Akram, M.; Amrani, M.; El, C. Air2Day: An Air Quality Monitoring Adviser in Morocco. Int. J. Comput. Appl. 2018, 181, 1–6. [Google Scholar] [CrossRef]
- Semlali, B.E.B.; Amrani, C.; Ortiz, G.; Boubeta-Puig, J.; Garcia-de-Prado, A. SAT-CEP-monitor: An air quality monitoring software architecture combining complex event processing with satellite remote sensing. Comput. Electr. Eng. 2021, 93, 107257. [Google Scholar] [CrossRef]
- Castell, N.; Dauge, F.R.; Schneider, P.; Vogt, M.; Lerner, U.; Fishbain, B.; Broday, D.; Bartonova, A. Can commercial low-cost sensor platforms contribute to air quality monitoring and exposure estimates? Environ. Int. 2017, 99, 293–302. [Google Scholar] [CrossRef]
- Greater London Authority. Guide for Monitoring Air Quality in London. 2018. Available online: https://www.london.gov.uk/sites/default/files/air_quality_monitoring_guidance_january_2018.pdf (accessed on 23 October 2021).
- Hertel, O. Integrated Monitoring and Assessment of Air Pollution. 2009. Available online: https://www.researchgate.net/publication/233379382 (accessed on 24 October 2021).
- Lewis, A.; Edwards, P. Validate personal air-pollution sensors. Nature 2016, 535, 29–31. [Google Scholar] [CrossRef] [Green Version]
- Lassman, W.; Pierce, J.R.; Bangs, E.J.; Sullivan, A.P.; Ford, B.; Tsidu, G.M.; Sherman, J.P.; Collett, J.L.; Bililign, S. Using low-cost measurement systems to investigate air quality: A case study in Palapye, Botswana. Atmosphere 2020, 11, 583. [Google Scholar] [CrossRef]
- Ikram, J.; Tahir, A.; Kazmi, H.; Khan, Z.; Javed, R.; Masood, U. View: Implementing low cos air quality monitoring solution for urban areas. Environ. Syst. Res. 2012, 1, 10. [Google Scholar] [CrossRef] [Green Version]
- Snyder, E.G.; Watkins, T.H.; Solomon, P.A.; Thoma, E.D.; Williams, R.W.; Hagler, G.S.W.; Shelow, D.; Hindin, D.A.; Kilaru, V.J.; Preuss, P.W. The Changing Paradigm of Air Pollution Monitoring. Environ. Sci. Technol. 2013, 47, 11369–11377. [Google Scholar] [CrossRef] [PubMed]
- Pinder, R.W.; Klopp, J.M.; Kleiman, G.; Hagler, G.S.W.; Awe, Y.; Terry, S. Opportunities and Challenges for Filling the Air Quality Data Gap in Low- and Middle-Income Countries. Atmos. Environ. 2019, 215, 116794. [Google Scholar] [CrossRef]
- Schmitz, S.; Weiand, L.; Becker, S.; Niehoff, N.; Schwartzbach, F.; von Schneidemesser, E. An assessment of perceptions of air quality surrounding the implementation of a traffic-reduction measure in a local urban environment. Sustain. Cities Soc. 2018, 41, 525–537. [Google Scholar] [CrossRef]
- Cori, L.; Donzelli, G.; Gorini, F.; Bianchi, F.; Curzio, O. Risk perception of air pollution: A systematic review focused on particulate matter exposure. Int. J. Environ. Res. Public Health 2020, 17, 6424. [Google Scholar] [CrossRef] [PubMed]
- Wang, Y.; Sun, M.; Yang, X.; Yuan, X. Public awareness and willingness to pay for tackling smog pollution in China: A case study. J. Clean. Prod. 2016, 112, 1627–1634. [Google Scholar] [CrossRef]
- Kondo, M.C.; Mizes, C.; Lee, J.; McGady-Saier, J.; O’Malley, L.; Diliberto, A.; Burstyn, I. Towards Participatory Air Pollution Exposure Assessment in a Goods Movement Community. Prog. Community Health Partnersh. Res. Educ. Action 2014, 8, 291–304. [Google Scholar] [CrossRef]
- Laws, M.B.; Yeh, Y.; Reisner, E.; Stone, K.; Wang, T.; Brugge, D. Gender, Ethnicity and Environmental Risk Perception Revisited: The Importance of Residential Location. J. Community Health 2015, 40, 948–955. [Google Scholar] [CrossRef] [Green Version]
- Malm, W.C.; Schichtel, B.; Molenar, J.; Prenni, A.; Peters, M. Which visibility indicators best represent a population’s preference for a level of visual air quality? J. Air Waste Manag. Assoc. 2018, 69, 145–161. [Google Scholar] [CrossRef]
- Ryu, Y.-H.; Min, S.-K. What matters in public perception and awareness of air quality? Quantitative assessment using internet search volume data. Environ. Res. Lett. 2020, 15, 0940b4. [Google Scholar] [CrossRef]
- Ngo, N.; Kokoyo, S.; Klopp, J. Why participation matters for air quality studies: Risk perceptions, understandings of air pollution and mobilization in a poor neighborhood in Nairobi, Kenya. Public Health 2017, 142, 177–185. [Google Scholar] [CrossRef] [PubMed]
- Ramírez, O.; Mura, I.; Franco, J.F. How Do People Understand Urban Air Pollution? Exploring Citizens’ Perception on Air Quality, Its Causes and Impacts in Colombian Cities. Open J. Air Pollut. 2017, 6, 1–17. [Google Scholar] [CrossRef] [Green Version]
- Dandotiya, B. Air Pollution, Health and Perception. 2021. Available online: https://www.intechopen.com/chapters/75552 (accessed on 30 October 2021).
- Peng, M.; Zhang, H.; Evans, R.; Zhong, X.; Yang, K. Actual Air Pollution, Environmental Transparency, and the Perception of Air Pollution in China. J. Environ. Dev. 2019, 28, 78–105. [Google Scholar] [CrossRef] [Green Version]
- Liao, X.; Tu, H.; Maddock, J.E.; Fan, S.; Lan, G.; Wu, Y.; Lu, Y. Residents’ perception of air quality, pollution sources, and air pollution control in Nanchang, China. Atmos. Pollut. Res. 2015, 6, 835–841. [Google Scholar] [CrossRef]
- Maione, M.; Mocca, E.; Eisfeld, K.; Kazepov, Y.; Fuzzi, S. Public perception of air pollution sources across Europe. Ambio 2020, 50, 1150–1158. [Google Scholar] [CrossRef]
- Luo, L.; Wu, Y.; Hsu, K.-W.; Ting, P.-H. Public Risk Perception and Response to Air Pollution. IOP Conf. Ser. Earth Environ. Sci. 2020, 581, 012029. [Google Scholar] [CrossRef]
- Nigeria, Climate and Clean Air Coalition & United Nations Environment Programme. Highlights of the National Action Plan to Reduce Short-lived Climate Pollutants in Nigeria/Climate & Clean Air Coalition. 2018. Available online: https://www.ccacoalition.org/en/resources/highlights-national-action-plan-reduce-short-lived-climate-pollutants-nigeria (accessed on 3 November 2021).
- Christensen, T.; Lægreid, P. Trust in Government: The relative importance of service satisfaction, political factors, and demography. Public Perform. Manag. Rev. 2005, 28, 487–511. [Google Scholar]
- Fitzgerald, J.; Wolak, J. The roots of trust in local government in Western Europe. Int. Political Sci. Rev. 2016, 37, 130–146. [Google Scholar] [CrossRef]
- Wu, C.; Wilkes, R. Local–national political trust patterns: Why China is an exception. Int. Political Sci. Rev. 2018, 39, 436–454. [Google Scholar] [CrossRef]
- Enoguanbhor, E.C.; Gollnow, F.; Nielsen, J.O.; Lakes, T.; Walker, B.B. Land cover change in the Abuja City-Region, Nigeria: Integrating GIS and remotely sensed data to support land use planning. Sustainability 2019, 11, 1313. [Google Scholar] [CrossRef] [Green Version]
- United Nations Population Fund. World Population Dashboard Nigeria. 2021. Available online: https://www.unfpa.org/data/world-population/NG (accessed on 30 November 2021).
- Jimenez, E.; Pate, M. Reaping a dividend in Africa’s largest country: Nigeria. In Africa’s Population: In Search of a Demographic Dividend; Groth, H., May, J.F., Eds.; Springer: Dordrecht, The Netherlands, 2017; pp. 33–51. [Google Scholar]
- Etebong, P. Demography in Nigeria: Problems and prospects. Biostat. Biom. Open Access J. 2018, 5, 1–6. [Google Scholar]
- Oduwole, T. Youth unemployment and poverty in Nigeria. Int. J. Sociol. Anthropol. Res. 2015, 1, 23–39. [Google Scholar]
- Boumphery, S. World’s fastest growing cities in Asia and Africa. Euromonitor International. 2010. Available online: https://www.euromonitor.com/article/special-report-worlds-fastest-growing-cities-are-in-asia-and-africa (accessed on 3 November 2021).
- National Bureau for Statistics. Population 2006–2016. 2016. Available online: https://nigerianstat.gov.ng/elibrary?queries[search]=population (accessed on 29 October 2021).
- Abubakar, I.R. Abuja city profile. Cities 2014, 41, 81–91. [Google Scholar] [CrossRef]
- Okwu-Delunzu, V.U.; Oweifighe, W.J.; Ugochukwu, U.C. Assessment of Air Quality Levels in Heavy Traffic Areas in Enugu urban, Nigeria. In Monograph of Atmospheric Research 2018; Centre for Atmospheric Research: Anyigba, Nigeria, 2018; Available online: https://carnasrda.com/wp-content/uploads/2019/06/Okwu-et-al.pdf (accessed on 30 October 2021).
- Agu, C.C.; Ikwuka, A.; Tukur, K.; Omede, H.; Nwadike, B.K. An Assessment of Heatwave Impact in Enugu Metropolis of Enugu State. 2020. Available online: https://assets.researchsquare.com/files/rs-36863/v3/4ab6cf24-a963-451d-bb77-ec15f11fcff9.pdf?c=1631861464 (accessed on 20 November 2021).
- Metrotrends. Enugu, Nigeria Metro Area Population 1950–2020. 2020. Available online: https://www.macrotrends.net/cities/21986/enugu/population (accessed on 25 October 2021).
- Odoemena, A.; Olaoba, O. Explaining inter-ethnic harmony in Enugu city, South-eastern Nigeria, 1970–2003. Afr. J. Confl. Resolut. 2010, 10, 111–136. [Google Scholar] [CrossRef]
- Sunday, O.M. Critical factors determining public transport access level in Abuja federal capital territory of Nigeria. J. Geogr. Reg. Plan. 2017, 10, 298–308. [Google Scholar] [CrossRef] [Green Version]
- Ashara, A.; Saleh, S.; Hassan, U.; Kaura, M. Traffic Management System in Abuja City Center, using Geographic Information Systems (GIS) and Global Positioning System (GPS). A case study of FCT, Nigeria. J. Phys. Conf. Ser. 2020, 1529, 052068. [Google Scholar] [CrossRef]
- National Bureau of Statistics. Road Transport Data. 2018. Available online: https://www.nigerianstat.gov.ng/pdfuploads/Road_Transport_Data_-_Q2_2018.pdf (accessed on 28 October 2021).
- National Bureau of Statistics. Power Sector Report: Energy Generated and Sent Out and Consumed and Load Allocation. 2019. Available online: https://www.nigerianstat.gov.ng/pdfuploads/Power_Generation_-_Q4_2018.pdf (accessed on 5 November 2021).
- Kadafa, A.A. Solid Waste Management Practice of Residents in Abuja Municipalities (Nigeria). IOSR J. Environ. Sci. 2017, 11, 87–106. [Google Scholar] [CrossRef]
- Amalu, T.E.; Ajake, A.O. Appraisal of Solid Waste Management Practices in Enugu City, Nigeria. 2014, Volume 4. Available online: www.iiste.org (accessed on 20 October 2021).
- Hamid, A.A.; Usman, L.A.; Elaigwu, S.E.; Zubair, M.F. Environmental and Health Risk of Bush Burning. Adv. Environ. Biol. 2010, 4, 241–249. [Google Scholar]
- Abaje, I.B.; Bello, Y.; Ahmad, S.A. A Review of Air Quality and Concentrations of Air Pollutants in Nigeria. J. Appl. Sci. Environ. Manag. 2020, 24, 373–379. [Google Scholar] [CrossRef]
- Fagbeja, M.; Olumide, O.; Rabiu, B. An Overview of AQ Monitoring and Prediction in Nigeria. 2017. Available online: https://docplayer.net/88477418-An-overview-of-aq-monitoring-and-prediction-in-nigeria.html (accessed on 7 November 2021).
- Federal Ministry of Youths and Sports. National Youth Policy. Enhancing Youth Development and Participation in the Context of Sustainable Development. 2019. Available online: https://www.prb.org/wp-content/uploads/2020/06/Nigeria-National-Youth-Policy-2019-2023.pdf (accessed on 7 November 2021).
- Wiedmaier, B. Post Hoc Tests. In The SAGE Encyclopedia of Communication Research Methods; SAGE Publications: Thousand Oaks, CA, USA, 2017. [Google Scholar] [CrossRef]
- Xia, Y. Correlation, and association analyses in microbiome study integrating multiomics in health and disease. Prog. Mol. Biol. Transl. Sci. 2020, 171, 309–491. [Google Scholar] [CrossRef]
- Oltra, C.; Sala, R. A Review of the Social Research on Public Perception and Engagement Practices in Urban Air Pollution; CIEMAT/Departamento de Medio Ambiente: Madrid, Spain, 2014. [Google Scholar]
- Bickerstaff, K.; Walker, G. Public understandings of air pollution: The ‘localisation’ of environmental risk. Glob. Environ. Chang. 2001, 11, 133–145. [Google Scholar] [CrossRef]
- Conti, C.; Guarino, M.; Bacenetti, J. Measurements techniques and models to assess odour annoyance: A review. Environ. Int. 2020, 134, 105261. [Google Scholar] [CrossRef] [PubMed]
- Bickerstaff, K. Risk perception research: Socio-cultural perspectives on the public experience of air pollution. Environ. Int. 2004, 30, 827–840. [Google Scholar] [CrossRef] [PubMed]
- Smallbone, K. Individuals’ Interpretation of Air Quality Information. 2019. Available online: https://research.brighton.ac.uk/files/336785/1210261047_Individuals_interpretation_of_air_quality_information_customer_insight_and_awareness_study.pdf (accessed on 6 October 2021).
- Cometto-Muñiz, J.; Cain, W. Part iii. Assessing irritation: Sensory irritation: Relation to indoor air pollution. Ann. N. Y. Acad. Sci. 1992, 641, 137–151. [Google Scholar] [CrossRef] [PubMed]
- Golden, R.; Holm, S. Indoor Air Quality and Asthma: Has Unrecognized Exposure to Acrolein Confounded Results of Previous Studies? Dose Response 2017, 48, 314–315. [Google Scholar] [CrossRef] [Green Version]
- Nielsen, G.D.; Wolkoff, P. Evaluation of airborne sensory irritants for setting exposure limits or guidelines: A systematic approach. Regul. Toxicol. Pharmacol. 2017, 90, 308–317. [Google Scholar] [CrossRef]
- Ancelet, T.; Davy, P.K.; Trompetter, W.J.; Markwitz, A. Sources of particulate matter pollution in a small New Zealand city. Atmos. Pollut. Res. 2014, 5, 572–580. [Google Scholar] [CrossRef] [Green Version]
- Jacobi, P.R. Households and Environment in the City of Sao-Paulo—Problems, Perceptions and Solutions. Environ. Urban. 1994, 6, 87–110. [Google Scholar] [CrossRef] [Green Version]
- Emodi, E.E. Environmental degradations, strategies and effective management practices in Enugu, Nigeria. Merit Res. J. 2017, 5, 35–45. [Google Scholar]
- Eze, C.T.; Ugwoke, J.L.; Ugwoke, J.J. Road traffic congestion and vehicular emission in Enugu urban Nigeria. Environ. Biotechnol. J. 2019, 38, 1–8. [Google Scholar]
- Ndoke, P.N.; Akpan, U.G.; Kato, M. Contributions of Vehicular Traffic to Carbon Dioxide Emissions in Kaduna and Abuja, Northern Nigeria. 2006. Available online: https://www.semanticscholar.org/paper/Contributions-of-Vehicular-Traffic-to-Carbon-in-and-Ndoke-Akpan/7b30e54f4ba1a5d2851460a0e460af583f91bd40 (accessed on 12 October 2021).
- Hassan, S.; Okobia, L. Survey of ambient air quality in some parts of the Federal Capital Territory, Abuja, Nigeria. J. Geogr. Dev. 2008, 2, 3–17. [Google Scholar]
- Wambebe, N.; Xiaoli, D. Ambient Air Quality Assessment within Abuja Municipal Area, Nigeria. Environ. Epidemiol. 2019, 3, 421. [Google Scholar] [CrossRef]
- World Health Organization. Promoting Walking and Cycling. Available online: https://www.who.int/activities/promoting-walking-and-cycling (accessed on 4 December 2021).
- Ukiwo, U. Violence, Identity Mobilization and the Reimagining of Biafra. Afr. Dev. 2009, 34, 9–30. [Google Scholar] [CrossRef] [Green Version]
- Onuoha, G. The presence of the past: Youth, memory making and the politics of self-determination in Southeastern Nigeria. Ethn. Racial Stud. 2013, 36, 2182–2199. [Google Scholar] [CrossRef]
- Njoku, R. African Cultural Values; Taylor and Francis: London, UK, 2013. [Google Scholar]
- Agbaji, D.; Akhabue, G.; Duruaku, D.; Egor, F.; Ogban, K.; Pepple, U. Combating Youth Restiveness in Nigeria: Proferring Workable Solutions. Am. J. Humanit. Soc. Sci. Res. 2018, 2, 65–73. [Google Scholar]
- Bello, D.T.T. The Role of the Youth in the Electoral Process in Nigeria Politics: From Historical Appraisal. IOSR J. Humanit. Soc. Sci. IOSR-JHSS 2019, 24, 18–29. [Google Scholar] [CrossRef]
- Venter, Z.S.; Aunan, K.; Chowdhury, S.; Lelieveld, J. COVID-19 lockdowns cause global air pollution declines. Proc. Natl. Acad. Sci. USA 2020, 117, 18984–18990. [Google Scholar] [CrossRef]
- Agarwal, A.; Kaushik, A.; Kumar, S.; Mishra, R.K. Comparative study on air quality status in Indian and Chinese cities before and during the COVID-19 lockdown period. Air Qual. Atmos. Health 2020, 13, 1167–1178. [Google Scholar] [CrossRef]
- Sharma, S.; Zhang, M.; Anshika; Gao, J.; Zhang, H.; Kota, S.H. Effect of restricted emissions during COVID-19 on air quality in India. Sci. Total. Environ. 2020, 728, 138878. [Google Scholar] [CrossRef]
- Anil, I.; Alagha, O. The impact of COVID-19 lockdown on the air quality of Eastern Province, Saudi Arabia. Air Qual. Atmos. Health 2021, 14, 117–128. [Google Scholar] [CrossRef] [PubMed]
- Olusola, J.A.; Shote, A.A.; Isaifan, R.J.; Ouigmane, A. The impact of COVID-19 pandemic on nitrogen dioxide levels in Nigeria. PeerJ 2021, 9, e11387. [Google Scholar] [CrossRef] [PubMed]
- Mogaji, E. Impact of COVID-19 on transportation in Lagos, Nigeria. Transp. Res. Interdiscip. Perspect. 2020, 6, 100154. [Google Scholar] [CrossRef] [PubMed]





| Source Sector | SLCP Abatement Measures |
|---|---|
| Transport |
|
| Residential |
|
| Oil and Gas |
|
| Industry |
|
| Waste Management |
|
| Agriculture |
|
| Power (Energy) |
|
| HFCs |
|
| Organisation | Mission | Date of Establishment |
|---|---|---|
Federal Ministry of Environment
| Established to ensure environmental protection, natural resources conservation and sustainable development. These include responsibilities for environmental and air quality monitoring and regulatory activities. | FMEnv (June 1999) NESREA (30 July 2007) |
| NIMET (Nigerian Meteorological Agency). | To observe, collate, collect, process and disseminate all meteorological data and information within and outside Nigeria. | 23 May 2003 |
| State ministries of environment. | Subsidiaries of the federal ministry of environment in the 36 states including the FCT that monitor and ensure a better environment including cleaner air. | |
Research institutions.
| Research on the environment including air quality. | |
National Space Research and Development Agency (NASRDA).
| Monitoring the environment using satellite. CAR is the Research and Development activity Centre of NASRDA that is committed to research and capacity building in atmospheric sciences. | 5 May 1999 |
| Characteristics | Abuja (N = 137) | Enugu (N = 125) |
|---|---|---|
| Gender of respondents | ||
| Male | 76 (55%) | 63 (50%) |
| Female | 61 (45%) | 62 (50%) |
| Age of respondents (cohort) | ||
| 18–34 | 61 (45%) | 60 (45%) |
| 35 and over | 76 (55%) | 65 (55%) |
| Average monthly income (₦) of respondents | ||
| No income | 12 (9%) | 13 (10%) |
| Under 10,000 | 7 (5%) | 5 (4%) |
| 11,000–30,000 | 15 (11%) | 21 (17%) |
| 31,000–50,000 | 23 (17%) | 29 (23%) |
| 51,000–100,000 | 24 (18%) | 39 (31%) |
| Over 100,000 | 56 (40%) | 18 (15%) |
| Highest education qualification of respondents | ||
| None | 0 (0%) | 0 (0%) |
| Primary | 1 (1%) | 0 (0%) |
| Secondary | 27 (20%) | 25 (20%) |
| Bachelor/Diploma or equivalent | 59 (43%) | 78 (62%) |
| Master or equivalent | 48 (35%) | 18 (15%) |
| PhD or equivalent | 2 (1%) | 4 (3%) |
| Main occupation of respondents | ||
| Student | 15 (1%) | 13 (10%) |
| Unemployed | 4 (3%) | 7 (6%) |
| Employed (daily wage) | 7 (5%) | 2 (2%) |
| Employed (weekly wage) | 2 (1%) | 1 (1%) |
| Employed (monthly wage) | 84 (63%) | 76 (60%) |
| Self-employed | 17 (12%) | 25 (20%) |
| Housewife | 5 (3%) | 0 (0%) |
| Retired | 3 (2%) | 1 (1%) |
| Main modes of transportation used by respondents | ||
| Walking | 16 (12%) | 5 (4%) |
| Bicycle | 2 (1%) | 0 (0%) |
| Motorcycle | 11 (8%) | 2 (2%) |
| Car taxi | 31 (23%) | 10 (8%) |
| Tricycle taxi (Keke) | 6 (4%) | 33 (26%) |
| Motorcycle taxi (Okada) | 7 (5%) | 1 (1%) |
| Public bus | 8 (6%) | 52 (41%) |
| Train | 0 (0%) | 0 (0%) |
| Personal car | 56 (41%) | 22 (18%) |
| Likert Scale Scores | |||||
|---|---|---|---|---|---|
| Questions | 1 | 2 | 3 | 4 | 5 |
| Perceived Indicators of PAQ | most used | used | neutral | rarely used | least used |
| Sources of PAQ | strongly agree | agree | neutral | disagree | strongly disagree |
| Effectiveness of control measures for PAQ | extremely effective | very effective | moderately effective | slightly effective | least effective |
| Organisation/group who should take primary responsibility for controlling PAQ | strongly agree | agree | neutral | disagree | strongly disagree |
| Perceptual Indicators | Sample Demographic Characteristics | ||||||
|---|---|---|---|---|---|---|---|
| Cities | Gender | Age | Income | Education | Occupation | Transportation | |
| Visibility | Abuja | 0.15 ns | 7.29 ns | 4.24 ns | 5.15 ns | 13.70 ns | 4.27 ns |
| Enugu | 0.27 ns | 10.22 ns | 5.53 ns | 4.75 ns | 4.96 ns | 6.02 ns | |
| Smell/odour | Abuja | 0.06 ns | 5.76 ns | 16.30 ** | 9.10 ns | 7.50 ns | 6.16 ns |
| Enugu | 0.83 ns | 7.85 ns | 4.12 ns | 1.66 ns | 5.97 ns | 3.51 ns | |
| Dust particles in the air | Abuja | 1.17 ns | 4.16 ns | 13.07 * | 7.16 ns | 5.33 ns | 6.98 ns |
| Enugu | 0.00 ns | 10.22 ns | 5.94 ns | 5.74 ns | 7.48 ns | 5.07 ns | |
| Dirt on skin/clothes | Abuja | 1.28 ns | 8.04 ns | 5.61 ns | 4.42 ns | 8.63 ns | 4.09 ns |
| Enugu | 5.13 * | 8.89 ns | 4.64 ns | 0.88 ns | 5.16 ns | 13.57 * | |
| Dirt on surfaces e.g., cars, buildings | Abuja | 1.51 ns | 3.77 ns | 5.40 ns | 8.02 ns | 12.09 ns | 11.97 ns |
| Enugu | 2.96 ns | 8.99 ns | 5.93 ns | 1.80 ns | 5.01 ns | 10.98 ns | |
| Smoke | Abuja | 0.85 ns | 4.85 ns | 8.27 ns | 4.76 ns | 11.87 ns | 7.48 ns |
| Enugu | 0.58 ns | 7.37 ns | 3.58 ns | 0.88 ns | 9.02 ns | 10.94 ns | |
| Sneezing/coughing | Abuja | 1.22 ns | 8.48 ns | 4.26 ns | 5.69 ns | 3.21 ns | 2.64 ns |
| Enugu | 0.02 ns | 7.69 ns | 2.91 ns | 3.83 ns | 10.85 ns | 4.83 ns | |
| Skin irritation | Abuja | 0.29 ns | 2.577 ns | 3.38 ns | 2.82 ns | 3.93 ns | 4.45 ns |
| Enugu | 1.35 ns | 8.04 ns | 1.41 ns | 1.39 ns | 7.20 ns | 7.49 ns | |
| Watery and itching eyes | Abuja | 1.58 ns | 11.01 ns | 3.97 ns | 3.35 ns | 3.27 ns | 8.27 ns |
| Enugu | 2.93 ns | 3.99 ns | 1.16 ns | 4.62 ns | 3.02 ns | 6.57 ns | |
| Sources of PAQ | Cities | Gender | Age | Income | Education | Occupation | Transportation |
|---|---|---|---|---|---|---|---|
| Air transportation | Abuja | 3.37 ns | 1.486 ns | 6.211 ns | 5.772 ns | 7.701 ns | 7.729 ns |
| Enugu | 2.580 ns | 2.725 ns | 15.887 ** | 8.347 * | 2.816 ns | 9.393 ns | |
| Cars | Abuja | 1.172 ns | 6.804 ns | 3.696 ns | 1.042 ns | 6.092 ns | 8.464 ns |
| Enugu | 8.415 ** | 5.942 ns | 7.383 ns | 2.622 ns | 5.661 ns | 8.512 ns | |
| Buses | Abuja | 0.784 ns | 14.992 * | 4.543 ns | 0.569 ns | 4.785 ns | 9.180 ns |
| Enugu | 6.435 * | 8.372 ns | 5.905 ns | 3.03 ns | 3.278 ns | 3.411 ns | |
| Trucks | Abuja | 0.326 ns | 9.128 ns | 2.618 ns | 1.831 ns | 7.196 ns | 9.918 ns |
| Enugu | 4.969 * | 5.478 ns | 8.516 ns | 0.964 ns | 5.805 ns | 4.305 ns | |
| Motorcycles | Abuja | 0.192 ns | 3.657 ns | 6.692 ns | 2.292 ns | 7.038 ns | 1.840 ns |
| Enugu | 10.004 ** | 12.842 * | 9.582 ns | 1.892 ns | 3.548 ns | 4.956 ns | |
| Tricycles | Abuja | 0.053 ns | 7.858 ns | 4.389 ns | 2.778 ns | 10.196 ns | 9.880 ns |
| Enugu | 2.597 ns | 3.992 ns | 6.332 ns | 1.456 ns | 6.177 ns | 5.031 ns | |
| Power/energy generators | Abuja | 5.548 * | 6.094 ns | 3.895 ns | 3.084 ns | 6.045 ns | 9.459 ns |
| Enugu | 1.174 ns | 4.327 ns | 12.426 * | 7.020 ns | 11.955 ns | 3.104 ns | |
| Petrol/gas stations | Abuja | 0.052 ns | 5.209 ns | 1.728 ns | 2.991 ns | 3.52 ns | 10.863 ns |
| Enugu | 0.196 ns | 7.732 ns | 5.163 ns | 1.783 ns | 7.238 ns | 8.532 ns | |
| Manufacturing industries | Abuja | 1.923 ns | 4.004 ns | 0.652 ns | 3.201 ns | 9.514 ns | 5.253 ns |
| Enugu | 8.842 ** | 12.591 * | 1.298 ns | 0.703 ns | 12.646 * | 8.785 ns | |
| Oil production | Abuja | 1.217 ns | 7.143 ns | 0.414 ns | 4.204 ns | 9.684 ns | 7.362 ns |
| Enugu | 3.961 ns | 7.358 ns | 11.003 ns | 5.628 ns | 8.559 ns | 6.575 ns | |
| Cooking | Abuja | 0.042 ns | 5.513 ns | 5.451 ns | 4.255 ns | 8.049 ns | 3.760 ns |
| Enugu | 0.142 ns | 16.798 ** | 5.734 ns | 3.808 ns | 5.831 ns | 5.482 ns | |
| Bush fire | Abuja | 0.069 ns | 5.754 ns | 4.258 ns | 1.796 ns | 4.529 ns | 8.672 ns |
| Enugu | 3.014 ns | 10.147 ns | 14.971 * | 6.488 ns | 9.348 ns | 6.603 ns | |
| Building/road construction | Abuja | 0.460 ns | 3.784 ns | 8.784 ns | 2.194 ns | 7.106 ns | 6.427 ns |
| Enugu | 2.947 ns | 2.398 ns | 5.125 ns | 0.477 ns | 5.651 ns | 9.623 ns | |
| Rail transportation | Abuja | 0.186 ns | 5.172 ns | 4.188 ns | 2.658 ns | 3.129 ns | 9.384 ns |
| Enugu | 0.419 ns | 6.26 ns | 2.373 | 1.618 ns | 5.192 ns | 1.525 ns | |
| Dry-cleaning facilities | Abuja | 0.186 ns | 4.060 ns | 11.903 * | 6.455 ns | 3.003 ns | 9.071 ns |
| Enugu | 0.065 ns | 5.908 ns | 4.246 ns | 4.859 ns | 9.94 ns | 4.023 ns | |
| Waste disposal | Abuja | 4.075 * | 2.288 ns | 5.368 ns | 1.205 ns | 7.069 ns | 8.680 ns |
| Enugu | 2.196 ns | 10.184 ns | 11.774 * | 5.894 ns | 12.964 * | 11.843 ns | |
| Waste burning | Abuja | 0.017 ns | 1.294 ns | 7.369 ns | 2.010 ns | 6.665 ns | 7.659 ns |
| Enugu | 3.752 ns | 14.999 * | 7.77 ns | 7.741 ns | 5.406 ns | 7.089 ns |
| Control Measures | Cities | Gender | Income | Education | Occupation | Transportation |
|---|---|---|---|---|---|---|
| Energy saving | Abuja | 0.299 ns | 6.566 ns | 5.074 ns | 6.995 ns | 10.885 ns |
| Enugu | 2.112 ns | 6.602 ns | 4.835 ns | 10.895 ns | 10.423 ns | |
| Reduce car use | Abuja | 1.952 ns | 1.142 ns | 3.751 ns | 4.192 ns | 3.629 ns |
| Enugu | 0.265 ns | 4.649 ns | 0.354 ns | 10.072 ns | 8.017 ns | |
| Reduce motorcycle use | Abuja | 4.036 * | 3.686 ns | 2.598 ns | 3.653 ns | 5.439 ns |
| Enugu | 0.042 ns | 5.043 ns | 3.620 ns | 8.645 ns | 5.590 ns | |
| Walking/cycling | Abuja | 0.177 ns | 6.784 ns | 5.129 ns | 6.717 ns | 3.126 ns |
| Enugu | 2.943 ns | 1.342 ns | 3.679 ns | 11.063 ns | 13.105 ns | |
| Use of energy efficient products | Abuja | 1.216 ns | 1.233 ns | 5.194 ns | 4.173 ns | 4.704 ns |
| Enugu | 1.918 ns | 4.914 ns | 3.098 ns | 9.263 ns | 10.778 ns | |
| Use of clean energy | Abuja | 0.075 ns | 4.486 ns | 3.104 ns | 13.864 ns | 7.393 ns |
| Enugu | 0.298 ns | 7.016 ns | 6.427 ns | 14.945 * | 4.433 ns | |
| Proper waste management | Abuja | 0.454 ns | 0.788 ns | 1.285 ns | 11.049 ns | 2.279 ns |
| Enugu | 0.935 ns | 5.103 ns | 4.491 ns | 5.690 ns | 7.665 ns | |
| Regulations | Abuja | 0.098 ns | 2.038 ns | 2.402 ns | 11.884 ns | 1.066 ns |
| Enugu | 0.368 ns | 3.053 ns | 4.570 ns | 8.901 ns | 2.414 ns | |
| Monitoring of AQ | Abuja | 0.017 ns | 4.404 ns | 4.760 ns | 9.775 ns | 3.155 ns |
| Enugu | 0.325 ns | 11.348 * | 4.600 ns | 13.385 * | 5.264 ns | |
| Public awareness | Abuja | 0.243 ns | 1.811 ns | 5.776 ns | 12.98 ns | 3.540 ns |
| Enugu | 0.528 ns | 9.076 ns | 1.392 ns | 8.918 ns | 3.127 ns | |
| Reduce and reuse products | Abuja | 1.862 ns | 0.494 ns | 2.878 ns | 5.870 ns | 2.753 ns |
| Enugu | 0.888 ns | 3.896 ns | 9.302 * | 7.678 ns | 4.824 ns | |
| Avoid bush burning | Abuja | 0.000 ns | 1.839 ns | 2.184 ns | 6.182 ns | 5.183 ns |
| Enugu | 0.618 ns | 1.544 ns | 5.605 ns | 4.307 ns | 7.631 ns | |
| Tolls for vehicles | Abuja | 0.058 ns | 0.655 ns | 0.145 ns | 5.690 ns | 1.762 ns |
| Enugu | 0.052 ns | 5.218 ns | 4.074 ns | 7.213 ns | 5.203 ns | |
| Parking charge for vehicles | Abuja | 2.360 ns | 12.883 * | 1.354 ns | 3.600 ns | 5.639 ns |
| Enugu | 2.185 ns | 1.569 ns | 0.581 ns | 8.760 ns | 5.690 ns | |
| Reduce air travel | Abuja | 4.142 * | 5.454 ns | 1.132 ns | 4.347 ns | 8.723 ns |
| Enugu | 0.710 ns | 3.391 ns | 1.784 ns | 11.287 ns | 7.437 ns | |
| Use mass transit | Abuja | 1.125 ns | 3.532 ns | 2.369 ns | 3.807 ns | 3.562 ns |
| Enugu | 1.696 ns | 6.984 ns | 3.119 ns | 9.053 ns | 15.114 * | |
| Better vehicle maintenance | Abuja | 0.057 ns | 6.039 ns | 3.876 ns | 9.342 ns | 8.324 ns |
| Enugu | 0.153 ns | 4.984 ns | 2.354 ns | 8.542 ns | 5.742 ns |
| Abuja | Enugu | ||||
|---|---|---|---|---|---|
| Control Measures | Age Group | Mean (SD) | KW | Mean (SD) | KW |
| Energy saving | 18–34 years | 3.16 (2.88) | 2.44 ns | 2.63 (1.24) | 13.04 *** |
| 35 years and above | 4.04 (3.57) | 3.49 (1.30) | |||
| Reduce car use | 18–34 years | 4.28 (3.18) | 0.91 ns | 2.95 (1.14) | 8.19 ** |
| 35 years and above | 4.04 (3.17) | 3.58 (1.07) | |||
| Reduce motorcycle use | 18–34 years | 3.44 (2.56) | 0.00 ns | 2.78 (1.17) | 11.89 *** |
| 35 years and above | 3.68 (3.03) | 3.54 (1.15) | |||
| Walking/cycling | 18–34 years | 3.79 (2.82) | 1.12 ns | 2.90 (1.37) | 4.54 * |
| 35 years and above | 3.47 (2.71) | 3.42 (1.40) | |||
| Use of Energy efficient products | 18–34 years | 3.43 (3.14) | 2.10 ns | 2.20 (1.27) | 20.12 *** |
| 35 years and above | 2.71 (2.38) | 3.18 (1.14) | |||
| Use of clean energy | 18–34 years | 2.75 (2.60) | 0.25 ns | 1.95 (1.13) | 14.77 *** |
| 35 years and above | 2.72 (2.71) | 2.80 (1.29) | |||
| Proper waste management | 18–34 years | 2.31 (2.34) | 0.20 ns | 1.72 (1.11) | 14.66 *** |
| 35 years and above | 2.09 (2.08) | 2.32 (1.09) | |||
| Regulations | 18–34 years | 2.56 (2.31) | 0.61 ns | 2.10 (1.18) | 4.87 * |
| 35 years and above | 2.86 (2.69) | 2.54 (1.21) | |||
| Monitoring of AQ | 18–34 years | 2.93 (2.93) | 0.00 ns | 1.88 (1.17) | 18.72 *** |
| 35 years and above | 3.01 (2.99) | 2.95 (1.45) | |||
| Public awareness | 18–34 years | 2.69 (2.67) | 0.15 ns | 1.85 (1.10) | 6.58 ** |
| 35 years and above | 2.97 (3.00) | 2.22 (1.07) | |||
| Reduce and reuse products | 18–34 years | 3.07 (2.93) | 1.12 ns | 2.18 (1.14) | 5.16 * |
| 35 years and above | 3.14 (2.64) | 2.71 (1.31) | |||
| Avoid bush burning | 18–34 years | 2.03 (1.75) | 0.45 ns | 1.77 (1.05) | 7.07 ** |
| 35 years and above | 2.75 (3.03) | 2.25 (1.15) | |||
| Tolls for vehicles | 18–34 years | 4.15 (3.71) | 0.08 ns | 2.62 (1.30) | 5.71 * |
| 35 years and above | 4.32 (3.80) | 3.15 (1.28) | |||
| Parking charge for vehicles | 18–34 years | 3.59 (3.12) | 0.23 ns | 3.02 (1.28) | 0.87 ns |
| 35 years and above | 3.68 (3.02) | 3.18 (1.21) | |||
| Reduce air travel | 18–34 years | 4.48 (3.39) | 0.06 ns | 3.32 (1.19) | 3.54 ns |
| 35 years and above | 4.41 (3.42) | 3.71 (1.09) | |||
| Use mass transit | 18–34 years | 3.93 (3.30) | 1.32 ns | 3.05 (1.19) | 7.57 ** |
| 35 years and above | 3.58 (3.21) | 3.62 (0.96) | |||
| Better vehicle maintenance | 18–34 years | 2.98 (2.91) | 1.18 ns | 1.95 (1.17) | 6.30 * |
| 35 years and above | 2.79 (2.69) | 2.38 (1.16) | |||
| Organization | Cities | Gender | Income | Education | Occupation | Transportation |
|---|---|---|---|---|---|---|
| Federal Government | Abuja | 0.246 ns | 7.196 ns | 3.722 ns | 3.863 ns | 9.402 ns |
| Enugu | 0.252 ns | 11.970 * | 3.666 ns | 8.915 ns | 3.183 ns | |
| FCT/State Government | Abuja | 0.973 ns | 5.817 ns | 4.729 ns | 9.587 ns | 8.261 ns |
| Enugu | 0.392 ns | 5.895 ns | 1.166 ns | 4.647 ns | 4.221 ns | |
| Local Area Council/Government | Abuja | 2.112 ns | 5.378 ns | 0.702 ns | 4.949 ns | 5.164 ns |
| Enugu | 0.114 ns | 8.754 ns | 4.918 ns | 8.668 ns | 6.470 ns | |
| Non-governmental Organizations | Abuja | 0.000 ns | 3.842 ns | 2.947 ns | 2.730 ns | 6.532 ns |
| Enugu | 1.094 ns | 9.305 ns | 0.656 ns | 7.415 ns | 7.611 ns | |
| Members of the Public | Abuja | 0.816 ns | 4.025 ns | 9.836 * | 15.573 * | 3.882 ns |
| Enugu | 0.173 ns | 2.399 ns | 7.763 ns | 9.107 ns | 7.970 ns |
| Abuja | Enugu | ||||
|---|---|---|---|---|---|
| Organisation/Agency | Age Groups | Mean (SD) | KW | Mean (SD) | KW |
| Federal Government | 18–34 years | 1.56 (0.79) | 0.37 ns | 2.02 (1.13) | 14.94 *** |
| 35 years and above | 1.49 (0.72) | 2.85 (1.16) | |||
| FCT/State Government | 18–34 years | 1.62 (0.76) | 0.70 ns | 1.57 (0.93) | 10.86 *** |
| 35 years and above | 1.49 (0.60) | 2.08 (0.94) | |||
| Local Area Council/Government | 18–34 years | 1.67 (0.77) | 0.30 ns | 1.72 (0.90) | 12.93 *** |
| 35 years and above | 1.74 (0.82) | 2.31 (0.97) | |||
| Non–governmental Organizations | 18–34 years | 2.20 (1.09) | 0.12 ns | 1.98 (0.98) | 19.47 *** |
| 35 years and above | 2.24 (1.02) | 2.78 (0.99) | |||
| Members of the Public | 18–34 years | 2.02 (1.20) | 0.08 ns | 1.68 (0.97) | 1.11 ns |
| 35 years and above | 1.96 (1.16) | 1.97 (1.25) | |||
Publisher’s Note: MDPI stays neutral with regard to jurisdictional claims in published maps and institutional affiliations. |
© 2022 by the authors. Licensee MDPI, Basel, Switzerland. This article is an open access article distributed under the terms and conditions of the Creative Commons Attribution (CC BY) license (https://creativecommons.org/licenses/by/4.0/).
Share and Cite
Chukwu, T.M.; Morse, S.; Murphy, R. Poor Air Quality in Urban Settings: A Comparison of Perceptual Indicators, Causes and Management in Two Cities. Sustainability 2022, 14, 1438. https://doi.org/10.3390/su14031438
Chukwu TM, Morse S, Murphy R. Poor Air Quality in Urban Settings: A Comparison of Perceptual Indicators, Causes and Management in Two Cities. Sustainability. 2022; 14(3):1438. https://doi.org/10.3390/su14031438
Chicago/Turabian StyleChukwu, Timothy M., Stephen Morse, and Richard Murphy. 2022. "Poor Air Quality in Urban Settings: A Comparison of Perceptual Indicators, Causes and Management in Two Cities" Sustainability 14, no. 3: 1438. https://doi.org/10.3390/su14031438
APA StyleChukwu, T. M., Morse, S., & Murphy, R. (2022). Poor Air Quality in Urban Settings: A Comparison of Perceptual Indicators, Causes and Management in Two Cities. Sustainability, 14(3), 1438. https://doi.org/10.3390/su14031438
