Influence of Urea on Organic Bulk Fertilizer of Spent Coffee Grounds and Green Algae Chlorella sp. Biomass
Abstract
:1. Introduction
2. Materials and Methods
2.1. Preparation of Collected Raw Materials
2.2. Determination of Organic Matter Content
2.3. Concentration of Humic Substances
2.4. Impact of Spent Coffee Grounds on Rye (Secale cereale L.) Growth
2.5. Hygroscopicity of Spent Coffee Grounds
2.6. Count of Soil Microorganisms
2.7. Color of Spent Coffee Grounds and Soil Samples
2.8. Granulation of Fertilizers
2.9. Size Distribution of Raw Material and Granular Product Particles
2.10. pH Determination
2.11. Crushing Strength of Granules
2.12. Loose Bulk Density
2.13. Chemical Analysis
2.14. Nutrient Leaching Study
2.15. Instrumental Analysis
2.15.1. Simultaneous Thermal Analysis
2.15.2. Fourier Transform Infrared Spectroscopy (FTIR)
2.15.3. Optical Microscopy
2.16. Statistical Analysis
3. Results
3.1. Chemical Composition of Spent Coffee Grounds
3.2. Agronomic Evaluation of Spent Coffee Grounds on Rye Growth
3.3. Hygroscopicity of Spent Coffee Grounds
3.4. Impact of Spent Coffee Grounds on the Counts of Microorganisms in Soil
3.5. Color of Spent Coffee Grounds and Soil Samples
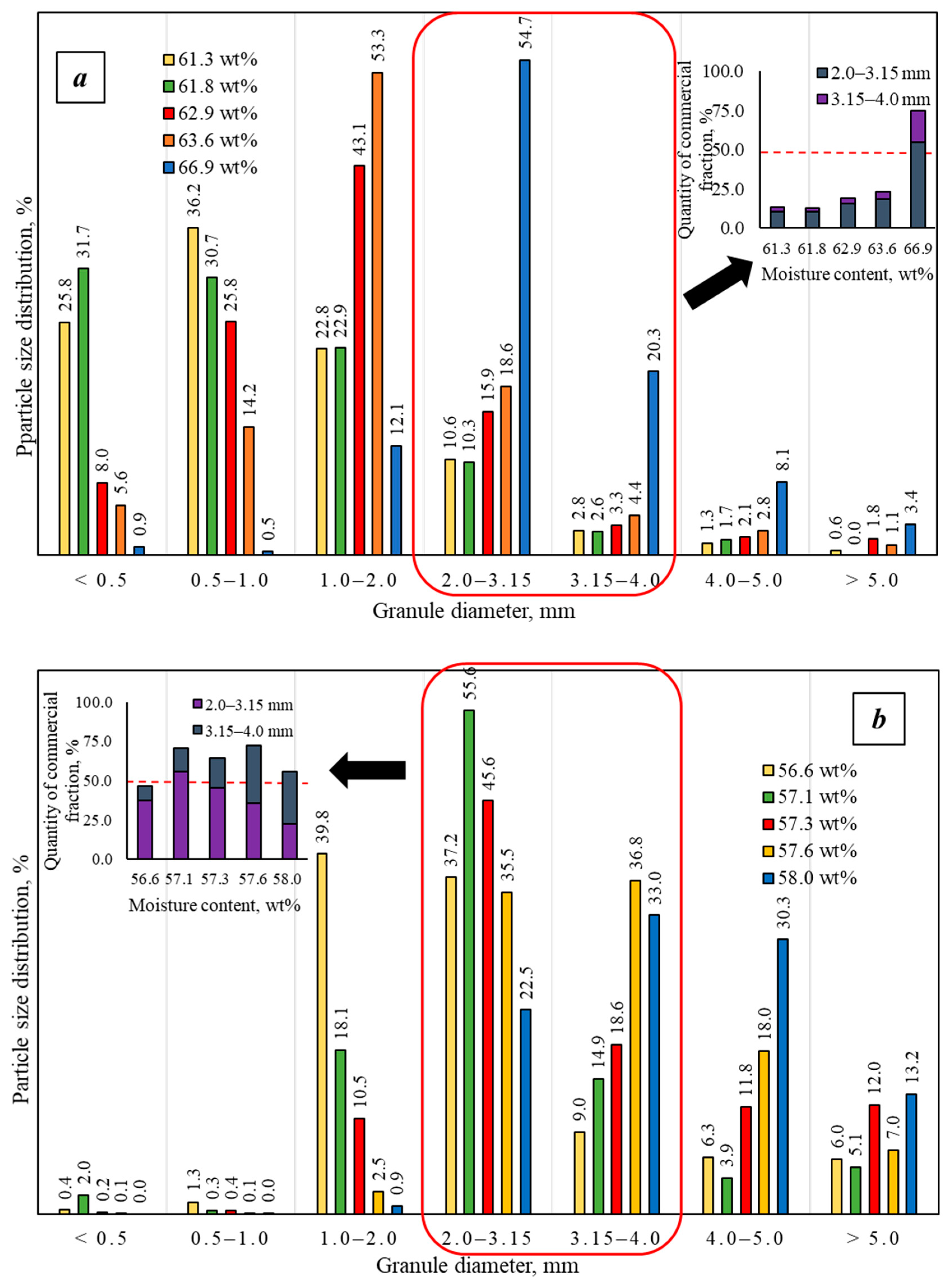
3.6. Granulation of Spent Coffee Grounds with Green Algae Chlorella sp. Biomass and Urea
3.7. Nutrient Leaching Study
3.8. Instrumental Analysis of the Raw Materials and Finished Product
4. Conclusions
Author Contributions
Funding
Institutional Review Board Statement
Informed Consent Statement
Data Availability Statement
Conflicts of Interest
References
- Singh, R.P.; Kumar, S.; Sainger, M.; Sainger, P.A.; Barnawal, D. Eco-friendly Nitrogen Fertilizers for Sustainable Agriculture. In Adaptive Soil Management: From Theory to Practices; Springer: Singapore, 2017; pp. 227–246. [Google Scholar] [CrossRef]
- Chen, J.; Lü, S.; Zhang, Z.; Zhao, X.; Li, X.; Ning, P.; Liu, M. Environmentally friendly fertilizers: A review of materials used and their effects on the environment. Sci. Total Environ. 2018, 613, 829–839. [Google Scholar] [CrossRef] [PubMed]
- Hazra, G. Different Types of Eco-Friendly Fertilizers: An Overview. Sustain. Environ. 2016, 1, 54. [Google Scholar] [CrossRef] [Green Version]
- Hirel, B.; Krapp, A. Nitrogen Utilization in Plants I Biological and Agronomic Importance. In Encyclopedia of Biochemistry, 3rd ed.; Elsevier: Amsterdam, The Netherlands, 2020. [Google Scholar] [CrossRef]
- Schröder, J.J. The Position of Mineral Nitrogen Fertilizer in Efficient Use of Nitrogen and Land: A Review. Nat. Resour. 2014, 05, 936–948. [Google Scholar] [CrossRef] [Green Version]
- Ye, L.; Zhao, X.; Bao, E.; Li, J.; Zou, Z.; Cao, K. Bio-organic fertilizer with reduced rates of chemical fertilization improves soil fertility and enhances tomato yield and quality. Sci. Rep. 2020, 10, 177. [Google Scholar] [CrossRef] [PubMed] [Green Version]
- Timilsena, Y.; Adhikari, R.; Casey, P.; Muster, T.; Gill, H.; Adhikari, B. Enhanced efficiency fertilisers: A review of formulation and nutrient release patterns. J. Sci. Food Agric. 2015, 95, 1131–11422. [Google Scholar] [CrossRef] [PubMed]
- Hakeem, K.R.; Bhat, R.A.; Qadri, H. (Eds.) Bioremediation and Biotechnology; Springer: Cham, Switzerland, 2020. [Google Scholar]
- Das, J.; Jha, S.; Goyal, M.K.; Surampalli, R.Y. Challenges of Sustainability in Agricultural Management. Sustainability 2020, 4, 339–356. [Google Scholar] [CrossRef]
- Adesemoye, A.O.; Kloepper, J.W. Plant–microbes interactions in enhanced fertilizer-use efficiency. Appl. Microbiol. Biotechnol. 2009, 85, 1–12. [Google Scholar] [CrossRef] [Green Version]
- Fuentes-Ramirez, L.E.; Caballero-Mellado, J. Bacterial Biofertilizers. In PGPR: Biocontrol and Biofertilization; Springer: Dordrecht, The Netherlands, 2006; pp. 143–172. [Google Scholar] [CrossRef]
- Malusa, E.; Vassilev, N. A contribution to set a legal framework for biofertilisers. Appl. Microbiol. Biotechnol. 2014, 98, 6599–6607. [Google Scholar] [CrossRef] [Green Version]
- Thomas, S.K.; Parameswaranpillai, J.; Krishnasamy, S.; Begum, P.S.; Nandi, D.; Siengchin, S.; George, J.J.; Hameed, N.; Salim, N.; Sienkiewicz, N. A comprehensive review on cellulose, chitin, and starch as fillers in natural rubber biocomposites. Carbohydr. Polym. Technol. Appl. 2021, 2, 100095. [Google Scholar] [CrossRef]
- Fryczkowska, B.; Gabryś, T. Preparing and Using Cellulose Granules as Biodegradable and Long-Lasting Carriers for Artificial Fertilizers. J. Ecol. Eng. 2018, 19, 111–122. [Google Scholar] [CrossRef]
- Lu, P.; Zhang, M.; Li, Q.; Xu, Y. Structure and Properties of Controlled Release Fertilizers Coated with Thermosetting Resin. Polym. Technol. Eng. 2013, 52, 381–386. [Google Scholar] [CrossRef]
- Wu, L.; Liu, M.; Liang, R. Preparation and properties of a double-coated slow-release NPK compound fertilizer with superabsorbent and water-retention. Bioresour. Technol. 2008, 99, 547–554. [Google Scholar] [CrossRef] [PubMed]
- Shaviv, A. Advances in controlled-release fertilizers. Adv. Agron. 2001, 71, 1–49. [Google Scholar] [CrossRef]
- Hazra, G.; Das, T. A Review on Controlled Release Advanced Glassy Fertilizer. Glob. J. Sci. Front. Res. B Chem. 2014, 14, 33–44. [Google Scholar]
- The Food and Agriculture Organization of the United Nations (FAO). Food Wastage Footprint. Impact on Natural Resources. Available online: https://www.fao.org/3/i3347e/i3347e.pdf (accessed on 15 November 2021).
- Vivek, V.; Bermúdez, S.; Larrea, C. Global Market Report: Coffee; The International Institute for Sustainable Development: Winnipeg, MB, Canada, 2019. [Google Scholar]
- Belitz, H.D.; Grosch, W.; Schieberle, P. Food Chemistry, 4th ed.; Springer: Berlin/Heidelberg, Germany, 2009; p. 1070. [Google Scholar]
- Defernez, M.; Wren, E.; Watson, A.D.; Gunning, Y.; Colquhoun, I.J.; Le Gall, G.; Williamson, D.; Kemsley, E.K. Low-field 1H NMR spectroscopy for distinguishing between arabica and robusta ground roast coffees. Food Chem. 2017, 216, 106–113. [Google Scholar] [CrossRef] [PubMed] [Green Version]
- International Coffee Organization. Coffee Market Report 2021. Available online: http://www.ico.org/prices/po-production.pdf (accessed on 18 September 2021).
- Murthy, P.S.; Naidu, M.M. Sustainable management of coffee industry by-products and value addition—A review. Resour. Conserv. Recycl. 2012, 66, 45–58. [Google Scholar] [CrossRef]
- Blinová, L.; Sirotiak, M.; Bartošová, A.; Soldán, M. Review: Utilization of Waste From Coffee Production. Res. Pap. Fac. Mater. Sci. Technol. Slovak Univ. Technol. 2017, 25, 91–101. [Google Scholar] [CrossRef] [Green Version]
- Fernandes, A.; e Mello, F.D.V.C.; Filho, S.T.; Carpes, R.; Honório, J.; Marques, M.; Felzenszwalb, I.; Ferraz, E. Impacts of discarded coffee waste on human and environmental health. Ecotoxicol. Environ. Saf. 2017, 141, 30–36. [Google Scholar] [CrossRef] [PubMed]
- Mitraka, G.-C.; Kontogiannopoulos, K.; Batsioula, M.; Banias, G.; Assimopoulou, A. Spent Coffee Grounds’ Valorization towards the Recovery of Caffeine and Chlorogenic Acid: A Response Surface Methodology Approach. Sustainability 2021, 13, 8818. [Google Scholar] [CrossRef]
- Sharma, H. A Detail Chemistry of Coffee and Its Analysis. In Coffee—Production and Research; IntechOpen: London, UK, 2020. [Google Scholar] [CrossRef] [Green Version]
- Atabani, A.; Mercimek, S.; Arvindnarayan, S.; Shobana, S.; Kumar, G.; Cadir, M.; Al-Muhatseb, A.H. Valorization of spent coffee grounds recycling as a potential alternative fuel resource in Turkey: An experimental study. J. Air Waste Manag. Assoc. 2018, 68, 196–214. [Google Scholar] [CrossRef] [Green Version]
- Silva, M.A.; Nebra, S.A.; Machado Silva, M.J.; Sanchez, C.G. The Use of Biomass Residues in the Brazilian Soluble Coffee Industry. Biomass Bioenergy 1998, 14, 457–467. [Google Scholar] [CrossRef]
- Nosek, R.; Tun, M.M.; Juchelkova, D. Energy Utilization of Spent Coffee Grounds in the Form of Pellets. Energies 2020, 13, 1235. [Google Scholar] [CrossRef] [Green Version]
- Campos-Vega, R.; Loarca-Piña, G.; Vergara-Castañeda, H.A.; Oomah, B.D. Spent coffee grounds: A review on current research and future prospects. Trends Food Sci. Technol. 2015, 45, 24–36. [Google Scholar] [CrossRef]
- Yamane, K.; Kono, M.; Fukunaga, T.; Iwai, K.; Sekine, R.; Watanabe, Y.; Iijima, M. Field Evaluation of Coffee Grounds Application for Crop Growth Enhancement, Weed Control, and Soil Improvement. Plant Prod. Sci. 2014, 17, 93–102. [Google Scholar] [CrossRef]
- Romanowska-Duda, Z.; Szufa, S.; Grzesik, M.; Piotrowski, K.; Janas, R. The Promotive Effect of Cyanobacteria and Chlorella sp. Foliar Biofertilization on Growth and Metabolic Activities of Willow (Salix viminalis L.) Plants as Feedstock Production, Solid Biofuel and Biochar as C Carrier for Fertilizers via Torrefaction Process. Energies 2021, 14, 5262. [Google Scholar] [CrossRef]
- UNE EN 13039:2012; Soil Improvers and Growing Media—Determination of Organic Matter Content and Ash. Available online: https://www.en-standard.eu/une-en-13039-2012-soil-improvers-and-growing-media-determination-of-organic-matter-content-and-ash/ (accessed on 28 October 2021).
- Liaudanskiene, I.; Slepetiene, A.; Velykis, A.; Satkus, A. Distribution of organic carbon in humic and granulodensimetric fractions of soil as influenced by tillage and crop rotation. Estonian J. Ecol. 2013, 62, 53. [Google Scholar] [CrossRef] [Green Version]
- Paleckienė, R.; Sviklas, A.M.; Šlinkšienė, R.; Štreimikis, V. Processing of rape straw ash into compound fertilizers using sugar factory waste. Pol. J. Environ. Stud. 2012, 21, 993–999. [Google Scholar]
- ISO 10390:2005; Soil Quality—Determination of pH. Available online: https://www.iso.org/standard/40879.html (accessed on 1 November 2021).
- LST CR 1233:2006. Fertilizers–Crushing Strength Determination on Fertilizer Grains; Lithuanian Standards Board: Vilnius, Lithuania, 2006.
- UNE EN ISO 7837:2001 Fertilizers; Determination of Bulk Density (Loose) of Fine-Grained Fertilizers. Available online: https://www.en-standard.eu/une-en-iso-7837-2001-fertilizers-determination-of-bulk-density-loose-of-fine-grained-fertilizers-iso-7837-1992/ (accessed on 1 November 2021).
- Gupta, A.P.; Neue, H.U.; Singh, V.P. Phosphorus determination in rice plants containing variable manganese content by the phospho-molybdo-vanadate (yellow) and phosphomolybdate (blue) colorimetric methods. Commun. Soil Sci. Plant Anal. 1993, 24, 1309–1318. [Google Scholar] [CrossRef]
- Wang, X.; Lim, L.-T. Effect of roasting conditions on carbon dioxide degassing behavior in coffee. Food Res. Int. 2014, 61, 144–151. [Google Scholar] [CrossRef]
- Kitou, M.; Okuno, S. Decomposition of coffee residue in soil. Soil Sci. Plant Nutr. 1999, 45, 981–985. [Google Scholar] [CrossRef]
- Cruz-Lopez, L.; Domingos, I.; Ferreira, J.; Esteves, B. A new way of using spent coffee ground. J. Int. Sci. Publ. 2017, 5, 85–93. [Google Scholar]
- Gomes, T.; Pereira, J.A.; Ramalhosa, E.; Casal, S.; Baptisa, P. Effect of fresh and composted spent coffee grounds on lettuce growth, photosynthetic pigments and mineral composition. In VII Congreso Ibérico de Agroingenieria y Ciencias Horticolas; SECH e SEAgIng: Madrid, Spain, 2013. [Google Scholar]
- Ronga, D.; Pane, C.; Zaccardelli, M.; Pecchioni, N. Use of Spent Coffee Ground Compost in Peat-Based Growing Media for the Production of Basil and Tomato Potting Plants. Commun. Soil Sci. Plant Anal. 2016, 47, 356–368. [Google Scholar] [CrossRef]
- Kim, M.-S.; Kim, J.-G. Adsorption Characteristics of Spent Coffee Grounds as an Alternative Adsorbent for Cadmium in Solution. Environments 2020, 7, 24. [Google Scholar] [CrossRef] [Green Version]
- Kovalcik, A.; Obruca, S.; Marova, I. Valorization of spent coffee grounds: A review. Food Bioprod. Process. 2018, 110, 104–119. [Google Scholar] [CrossRef]
- Gryndler, M.; Hršelová, H.; Klír, J.; Kubát, J.; Votruba, J. Long-term fertilization affects the abundance of saprotrophic microfungi degrading resistant forms of soil organic matter. Folia Microbiol. 2003, 48, 76–82. [Google Scholar] [CrossRef] [PubMed]
- Vodyanitskii, Y.; Savichev, A. The influence of organic matter on soil color using the regression equations of optical parameters in the system CIE- L*a*b*. Ann. Agrar. Sci. 2017, 15, 380–385. [Google Scholar] [CrossRef]
- Skorupka, M.; Nosalewicz, A. Ammonia Volatilization from Fertilizer Urea—A New Challenge for Agriculture and Industry in View of Growing Global Demand for Food and Energy Crops. Agriculture 2021, 11, 822. [Google Scholar] [CrossRef]
- Konrad, A.; Billiy, B.; Regenbogen, P.; Bol, R.; Lang, F.; Klumpp, E.; Siemens, J. Forest Soil Colloids Enhance Delivery of Phosphorus Into a Diffusive Gradient in Thin Films (DGT) Sink. Front. For. Glob. Chang. 2021, 3, 577364. [Google Scholar] [CrossRef]
- Gibertini, E.; Liberale, F.; Dossi, C.; Binda, G.; Mattioli, B.; Bettinetti, R.; Maspero, A.; Fiore, M.; Ruffo, R.; Magagnin, L. Algae-derived hard carbon anodes for Na-ion batteries. J. Appl. Electrochem. 2021, 51, 1665–1673. [Google Scholar] [CrossRef]
- Adamakis, I.-D.; Lazaridis, P.A.; Terzopoulou, E.; Torofias, S.; Valari, M.; Kalaitzi, P.; Rousonikolos, V.; Gkoutzikostas, D.; Zouboulis, A.; Zalidis, G.; et al. Cultivation, characterization, and properties of Chlorella vulgaris microalgae with different lipid contents and effect on fast pyrolysis oil composition. Environ. Sci. Pollut. Res. 2018, 25, 23018–23032. [Google Scholar] [CrossRef]
- Polat, S.; Sayan, P. Assessment of the thermal pyrolysis characteristics and kinetic parameters of spent coffee waste: A TGA-MS study. Energy Sources Part A Recovery Util. Environ. Eff. 2020, 8, 1–14. [Google Scholar] [CrossRef]
- Jones, J.M.; Rollinson, A.N. Thermogravimetric evolved gas analysis of urea and urea solutions with nickel alumina catalyst. Thermochim. Acta 2013, 565, 39–45. [Google Scholar] [CrossRef] [Green Version]
- Hao, L.; Wang, P.; Valiyaveettil, S. Successive extraction of As(V), Cu(II) and P(V) ions from water using spent coffee powder as renewable bioadsorbents. Sci. Rep. 2017, 7, 42881. [Google Scholar] [CrossRef] [PubMed] [Green Version]
- Essabir, H.; Raji, M.; Laaziz, S.A.; Rodrique, D.; Bouhfid, R.; Qaiss, A. Thermo-mechanical performances of polypropylene biocomposites based on untreated, treated and compatibilized spent coffee grounds. Compos. Part B Eng. 2018, 149, 1–11. [Google Scholar] [CrossRef]
- Jena, J.; Pradhan, N.; Dash, B.P.; Sukla, L.B.; Panda, P.K. Biosynthesis and Characterization of silver nanoparticles using microalga Chlorococcum humicola and its antibacterial activity. Int. J. Nanomater. Biostruct. 2013, 3, 1–8. [Google Scholar]









| Distribution of Particles by Diameter, wt% | ||||
|---|---|---|---|---|
| >2 mm | 1–2 mm | 500–1000 µm | 200–500 µm | <200 µm |
| Topsoil | ||||
| 9 | 38 | 22 | 15 | 16 |
| SCG | ||||
| 3 | 6 | 17 | 69 | 5 |
| SCG Content in the Mixture, wt% | I Experiment | II Experiment | ||||
|---|---|---|---|---|---|---|
| Physical and Chemical Properties of Secale cereale L. | ||||||
| Stem Weight, g | Number of Leaves, pcs | Mineral Content, wt% | Stem Weight, g | Number of Leaves, pcs | Mineral Content, wt% | |
| Control | 0.11 ± 0.04 | 2.41 ± 0.64 | 19.41 ± 0.003 | 0.09 ± 0.02 | 2.00 ± 0.00 | 16.21 ± 0.002 |
| 4 | 0.09 ± 0.03 | 1.77 ± 0.42 | 14.78 ± 0.002 | 0.07 ± 0.03 | 1.90 ± 0.32 | 12.96 ± 0.001 |
| 8 | 0.08 ± 0.09 | 1.77 ± 0.42 | 13.32 ± 0.002 | 0.06 ± 0.02 | 1.91 ± 0.28 | 9.99 ± 0.001 |
| 12 | 0.07 ± 0.02 | 1.80 ± 0.40 | 11.60 ± 0.003 | 0.06 ± 0.02 | 1.92 ± 0.28 | 9.29 ± 0.003 |
| 16 | 0.07 ± 0.02 | 1.81 ± 0.39 | 10.59 ± 0.002 | 0.05 ± 0.03 | 1.81 ± 0.40 | 10.50 ± 0.001 |
| SCG Content in the Mixture, wt% | Ammonifying Bacteria (AB) CFU/g Soil | Mineral Nitrogen Assimilating Bacteria CFU/g | |||
|---|---|---|---|---|---|
| Spore-Forming Bacteria | Actinomycetes | Total Bacteria Count (TBC) | pHKCl | ||
| Control | <103 | 3.0 × 106 | 1.2 × 107 | 5.0 × 105 | 6.95 ± 0.07 |
| 4 | 4 × 104 | 1.8 × 106 | 9.2 × 107 | 6.0 × 106 | 6.95 ± 0.00 |
| 8 | 3 × 104 | 2.6 × 106 | 1.2 × 108 | 5.6 × 106 | 6.83 ± 0.04 |
| 12 | <103 | 4.6 × 106 | 2.0 × 108 | 1.5 × 107 | 6.70 ±0.00 |
| 16 | <103 | 4.0 × 105 | 8.0 × 107 | 5.0 × 107 | 6.70 ± 0.00 |
| Color | Sample | |||||
|---|---|---|---|---|---|---|
| SCG | Topsoil | Growing Medium with Different Amounts of SCG, wt% | ||||
| 4 | 8 | 12 | 16 | |||
| Characteristics | Value | |||||
| L* | 31.30 ± 0.88 | 39.55 ± 1.78 | 40.79 ± 1.66 | 37.96 ± 1.18 | 37.40 ± 0.28 | 35.79 ± 0.12 |
| a* | 7.00 ± 0.11 | 3.13 ± 0.06 | 3.48 ± 0.07 | 3.43 ± 0.08 | 3.42 ± 0.09 | 3.63 ± 0.10 |
| b* | 4.80 ± 0.69 | 5.94 ± 0.61 | 4.83 ± 0.52 | 5.13 ± 0.27 | 5.82 ± 0.13 | 5.60 ± 0.14 |
| h | 0.60 ± 0.06 | 1.08 ± 0.04 | 0.94 ± 0.06 | 0.98 ± 0.02 | 1.04 ± 0.02 | 1.00 ± 0.01 |
| C | 8.50 ± 0.46 | 6.72 ± 0.56 | 5.96 ± 0.40 | 6.18 ± 0.26 | 6.75 ± 0.08 | 6.67 ± 0.15 |
| Mixture Composition | Primary Nutrient | Fertilizer Grade | ||
|---|---|---|---|---|
| Nitrogen (N) | Phosphorus (P2O5) | Potassium (K2O) | ||
| Concentration, % | ||||
| SCG and GACh | 2.82 ± 0.09 | 0.70 ± 0.02 | 0.63 ± 0.02 | 3–1–1+MN |
| SCG, GACh, and urea | 12.85 ± 0.38 | 0.49 ± 0.05 | 0.39 ± 0.00 | 13–1–0+MN |
| Moisture Content of Raw Materials Mixture, wt% | Physical and Chemical Properties of Obtained Granules | ||||||
|---|---|---|---|---|---|---|---|
| Moisture Content, wt% | Loose Bulk Density, kg/m3 | pH Value of 10% Solution | Crushing Strength, N/Granule | ||||
| 2.0–3.15 mm | 3.15–4.0 mm | 2.0–3.15 mm | 3.15–4.0 mm | 2.0–3.15 mm | 3.15–4.0 mm | ||
| Mixture of SCG and GACh (3–1–1+MN grade) | |||||||
| 61.3 | 5.58 ± 0.05 | 5.86 ± 0.01 | 317.2 ± 0.3 | 314.1 ± 0.0 | 6.28 ± 0.04 | 6.9 ± 1.5 | 6.9 ± 1.8 |
| 61.8 | 5.44 ± 0.64 | 6.10 ± 0.05 | 343.2 ± 0.3 | 315.0 ± 1.2 | 6.40 ± 0.00 | 6.3 ± 1.3 | 5.7 ± 0.4 |
| 62.9 | 5.70 ± 0.14 | 5.97 ± 0.04 | 351.0 ± 1.1 | 326.0 ± 0.0 | 6.23 ± 0.04 | 6.2 ± 0.8 | 7.1 ± 1.0 |
| 63.6 | 5.57 ± 0.05 | 6.17 ± 0.15 | 342.4 ± 8.6 | 343.1 ± 0.2 | 6.38 ± 0.04 | 8.0 ± 2.2 | 7.3 ± 1.6 |
| 66.9 | 5.93 ± 0.20 | 6.26 ± 0.23 | 370.9 ± 7.8 | 335.8 ± 4.3 | 6.43 ± 0.14 | 6.7 ± 1.0 | 8.0 ± 2.1 |
| Mixture of SCG, GACh and urea (13–1–0+MN grade) | |||||||
| 56.6 | 4.40 ± 0.02 | 5.39 ± 0.09 | 358.3 ± 5.2 | 359.3 ± 0.0 | 6.88 ± 0.04 | 9.1 ± 3.3 | 6.2 ± 0.5 |
| 57.1 | 3.97 ± 0.04 | 5.11 ± 0.18 | 359.4 ± 4.3 | 348.7 ± 0.0 | 6.85 ± 0.00 | 10.3 ± 1.8 | 10.3 ± 0.1 |
| 57.3 | 4.19 ± 0.17 | 5.53 ± 0.38 | 378.3 ± 2.6 | 338.3 ± 0.4 | 6.93 ± 0.04 | 9.0 ± 1.4 | 10.0 ± 1.3 |
| 57.6 | 5.00 ± 0.47 | 4.90 ± 0.32 | 423.1 ± 4.0 | 420.3 ± 2.2 | 7.05 ± 0.00 | 10.7 ± 1.7 | 10.1 ± 1.3 |
| 58.0 | 4.99 ± 0.01 | 4.99 ± 0.26 | 417.4 ± 5.8 | 411.0 ± 2.5 | 7.00 ± 0.00 | 11.4 ± 1.4 | 12.6 ± 1.9 |
Publisher’s Note: MDPI stays neutral with regard to jurisdictional claims in published maps and institutional affiliations. |
© 2022 by the authors. Licensee MDPI, Basel, Switzerland. This article is an open access article distributed under the terms and conditions of the Creative Commons Attribution (CC BY) license (https://creativecommons.org/licenses/by/4.0/).
Share and Cite
Ragauskaitė, D.; Šlinkšienė, R. Influence of Urea on Organic Bulk Fertilizer of Spent Coffee Grounds and Green Algae Chlorella sp. Biomass. Sustainability 2022, 14, 1261. https://doi.org/10.3390/su14031261
Ragauskaitė D, Šlinkšienė R. Influence of Urea on Organic Bulk Fertilizer of Spent Coffee Grounds and Green Algae Chlorella sp. Biomass. Sustainability. 2022; 14(3):1261. https://doi.org/10.3390/su14031261
Chicago/Turabian StyleRagauskaitė, Dovilė, and Rasa Šlinkšienė. 2022. "Influence of Urea on Organic Bulk Fertilizer of Spent Coffee Grounds and Green Algae Chlorella sp. Biomass" Sustainability 14, no. 3: 1261. https://doi.org/10.3390/su14031261
APA StyleRagauskaitė, D., & Šlinkšienė, R. (2022). Influence of Urea on Organic Bulk Fertilizer of Spent Coffee Grounds and Green Algae Chlorella sp. Biomass. Sustainability, 14(3), 1261. https://doi.org/10.3390/su14031261

