Abstract
The problem of saving soil resources and their reclamation measures under current climate change conditions attracts the world community’s close attention. It is relevant in the Syr Darya River’s lowlands, where the secondary soil salinization processes have intensified. The demand for robust methods to assess soil salinity is high, and the primary purpose of this study was to develop a quantitative analysis method for soil salinity estimation. We found a correspondence between the sum of salts in a topsoil layer to the Landsat 8 data in the Tasseled cap transformation of the image values. After testing several methods, we built a prediction model. The K-nearest neighborhood (KNN) model with a coefficient of determination equal to 0.96 using selected predictors proved to be the most appropriate for soil salinity assessment. We also performed a quantitative assessment of soil salinity. A significant increase in a salt-affected area and the mean soil sum expressing an intensification of secondary soil salinization from 2018 to 2021 was found. The increasing temperature values, decreasing soil moisture, and agricultural use affect the extension of salt-affected ground areas in the study area. Thus, the soil moisture trend in the Qazaly irrigation zone is negative and declining, with the highest peaks in early spring. The maximum temperature has a mean value of 15.6 °C (minimum = −15.1 °C, maximum = 37.4 °C) with an increasing trend. These parameters are evidence of climate change that also affects soil salinization. PCA transformation of the Landsat-8 satellite images helped to remove redundant spectral information from multiband datasets and map soil salinity more precisely. This approach simultaneously extends mapping opportunities involving visible and invisible bands and results in a smaller dataset.
1. Introduction
Healthy soil maintenance is the key to effective agricultural crop production, and the decline in soil productivity is affected by land degradation. Soil salinization is one of the significant land degradation types caused by natural and human-induced effects at global and local levels [1,2,3]. About one-third of global cultivated land is affected by salinization in over 1 billion hectares in over 100 countries [4,5,6]. Climate change is often reported to be an indirect driver of soil, and groundwater salinity [7,8,9]. Long-time observations help us understand the influence of climatic fluctuations on different variables because of the ability to decompose complex time series into effects driven by different factors with methods such as the Mann–Kendall test [10,11,12,13].
In this regard, monitoring soil salinity is essential to land management. Some researchers consider soil texture mapping, while others describe mapping the soil electric conductivity measured by electromagnetic-sensitive tools [14,15,16]. However, field-based soil salinity monitoring is limited in spatial and temporal dimensions. Satellite remote sensing is a standard method to evaluate the extent and severity of soil salinity and its effects. Thus, satellite-measured information is practical for soil salinity evaluation in terms of quantity and quality [17,18].
Many studies describe the use of optical remote sensing data to assess or map soil salinity in bare soils [19,20,21,22,23,24,25,26,27,28,29,30,31,32,33,34,35]. The era of open data supplies the end-users with space images of high resolution, such as Landsat-8 and Sentinel-2, widely used in environmental research and soil salinity assessment [36,37,38,39,40,41,42,43].
Most are based on band ratios, and different soil salinity indices have been formulated, becoming a universal method to derive soil salinity information. Another approach is aggregating multiple bands using dimensionality reduction techniques, such as the principal component analysis (PCA) [44]. PCA application increases data interpretability with a minimum information loss. The Tasseled Cap Transformation (TCT) is a universal and simple yet powerful tool to analyze information on arid and semiarid lands [45].
Satellite monitoring was used as a robust method for soil salinity assessment in Kazakhstan [46,47,48]. Since proper soil salinization tracking is critical for global food security, remote sensing is essential for assessing soil salinity, primarily because of a lack of data in the Syr Darya River’s Kazakh section.
Some researchers considered aerial geologic mapping, biological variability, soil fertility, water supply, Aral crisis consequences, human health, land use, soil moisture, soil reclamation, leaching of saline land, soil salinity, and soil salinity effects on crops and natural vegetation in their soil salinity mapping projects for the Aral sea surroundings in Kazakhstan.
Problems of soil salinity in Central Asia became well-known after the breakup of the USSR [49]. Soil salinity issues became more specific, and an international topic [50,51,52,53,54]. From the 2000s, the Kazakh Institute of Soil Sciences and Agricultural Chemistry experts contributed to soil salinity studies and salinization in southern and southeastern Kazakhstan [55,56].
In the 2010s, soil salinity studies were conducted at the national level and supported by international publications reported by Issanova et al. [57]. Factors in intensifying degradation processes were identified and consisted of poor irrigation systems, losses in irrigation water, rising levels of mineralized groundwater, worsening of irrigation water, and salinity and alkalinity of soil [58].
Some of the considered publications reported using spectral indices to monitor soil salinization [59]. New studies are devoted to the driving forces in the Aral Sea region [60,61]. This study utilized the Tasseled Cap Transformed images and climate variable trends to assess the salinization of soils in the Kazakh part of the Syr Darya River basin.
2. Materials and Methods
2.1. Description of the Study Area
The Qazaly (Kazaly) irrigation zone (QIZ) is situated in the southwestern part of Kazakhstan and covers the Syr Darya (Syrdarya) River’s delta. The Syr Darya River runs through four countries of Central Asia that are in the center of Eurasia. It has an area of about 15,000 km and geographic coordinates between 45°–46.2° N and 60.8°–62.7° E (Figure 1).
Figure 1.
The Qazaly irrigation zone and sampling sites.
The study site is within the Turan lowland near the former Aral Sea. The area is mainly occupied by the Qazaly (Kazaly) irrigation zone and is surrounded by sands such as the vast Qyzylqum (Kyzylkum) Desert and the recently formed Aralqum (Aralkum) Desert. It is a flat lowland with an elevation below 100 m, with arid climatic conditions where the annual precipitation is below 200 mm [62]. The vegetation period here starts in March and ends in October [63]. Actively used croplands marked with pink areas on the map were chosen to assess soil salinity as essential for agricultural land use.
2.2. The Data and Research Methods
The research workflow consisted of significant steps illustrated in Figure 2. Work started with preprocessing the satellite images (extracting transformed indices) and checking for in situ data consistency. Then, the correlation between soil parameters and transformed indices was studied, followed by proper data selection, and a machine learning algorithm was applied to monitor the soil salinity. The derived time series were decomposed at the final stage, and soil salinization trends were calculated (detailed description follows).
Figure 2.
The workflow of the study.
- Field research was conducted once in May 2018, including soil sampling, land cover, and land use observation at 83 locations. The 93 soil samples of the topsoil layer (0–20 cm) and samples at 20–50 cm and 50–100 cm depth were collected (30 samples at each), and soil EC was measured. The coordinates (WGS-84) were measured using the Garmin T650 hand-held global positioning system and a mobile phone with an accuracy of about 10 m due to locations situated primarily in distant areas without a mobile network. The field measurement of the soil electric conductivity (Soil EC) was carried out using the STEP Combi 3000+ device (Figure 3). Pictures of landscapes and vegetation were taken at each location. The field measurements included the soil temperature and moisture measurements using the portable STEP Combi 5000 tool (Germany).
Figure 3. In-situ measurements in 2018: (a) STEP PNT 3000+ Combi—electric conductometer; (b) STEP Combi 5000—for soil temperature and moisture measurements; (c) soil EC measurements and soil sampling; (d) soil moisture, temperature measurements (co-authors of this article Zh. Smanov and A. Yershibul are collecting soil samples). - Data consisting of 14 parameters (sand content (%, Sa.), clay content (%, Cl.), soil organic matter (%, OM-Humus), electric conductivity (dS m, EC), soil temperature (°C, T), soil moisture (mm, Moist), a sum of salt in the soil (g kg, SoS), chlorine (Cl), sulfate (SO), calcium (Ca), magnesium (Mg), sodium (Na), and potassium (K)) were prepossessed to test possible interconnections of variables and to find predictors of the soil salinity expressed by soil electric conductivity. The soil moisture was selected as a potential predictor for the soil salinity, and its correlation with the satellite remote sensing data was tested afterward. The coefficient of determination for selected predictors in the sum of salt in the soil of the medium (20–50 cm) and the lowest (50–100 cm) soil layers did not exceed 0.6; data on the two layers were not included in further modeling. The coordinates of points were checked accurately, and data refinement resulted in a topsoil layer dataset consisting of variables on 31 points (Table 1) out of the initial 93. The sum of salts contains the sum of ions and is included in the table.
Table 1. The soil samples and measured parameters. - For the physical and chemical analysis, soil samples were transported to the U.U.Uspanov Kazakh Research Institute of Soil Science and Agrochemistry (Almaty, Kazakhstan) for further laboratory analysis. The analysis included several soil parameters: the water hood, mechanical content analysis, electric conductivity, and soil humus content. The soil electrical conductivity was measured using electrodes in an aqueous solution (with distilled water) with a 1:5 ratio (soil: water).
- The Pearson’s coefficient was calculated to characterize the connections between measured parameters according to the equation below.where n is sample size, , are the individual sample points indexed with i, , and is the sample means that is estimated as follows:where is mean value for all values of x, and the equation for y is the same.
- The, n statistical distribution was assessed using the box plot method and the observed and derived data (soil EC, temperature, moisture, and mechanical content at three horizons) [64,65].
- Soil texture was classified by soil mechanical content data derived after the laboratory analysis according to the USDA classification, and its repetition was also analyzed [66]. The open-source Python software tool Soiltexture 1.0.4 (https://pypi.org/project/soiltexture/ (accessed on 21 September 2022)) was applied for this purpose. To visualize the soil clusters for the study area, the texture triangle [67] implemented through the Python tool SoilTriangle (https://github.com/mishagrol/SoilTriangle (accessed on 21 September 2022)) was used. In the next step, the distribution of the sum of salt in the soil and other parameters within soil texture classes were checked. Soil salt chemical content analysis was also performed to describe the soil salinization.
- Tasseled cap transformation was applied to Landsat-8 bands, and 6 coefficients (placed in 6 bands) that improved reflectance of vegetation, soil, and water: greenness, wetness, and brightness, were obtained as coefficients from 4 to 6. These coefficients successfully differentiate soil from vegetation, and in this study, it was decided to apply them to obtain soil information. The values were proposed by Baig et al. [68].The single scene acquired by Landsat-8 (Collection 2 Tier 1 calibrated top-of-atmosphere (TOA) reflectance) was selected for the Qazaly cropping zone to test the possible relationships between the soil salinity and Landsat 8 bands acquired on 13 May 2018 (path 160, row 028). The Google Earth Engine (https://developers.google.com/earth-engine/guides/arrays_array_images (accessed on 20 September 2022)) web service was used to derive the Tasseled Cap Transformed coefficients. Correlation tests of derived TCT coefficients and soil salinity features of the study area were used to define best-matching predictors.
- The soil salinity prediction modeling was built after selecting its predictors. The input dataset, consisting of variables on 31 samples, was established. Due to the high variance of other measurements, the sum of salts in the soil was used. Images acquired on 13 May 2018, 16 July 2018, 2 September 2018, 18 September 2018, and 20 October 2018 were selected for modeling.Three machine learning techniques were chosen to analyze the observed sum of salt in the soil: multiple linear regression (MLR), polynomial regression, K-nearest neighborhood (KNN), and the partial least squares regression (PLSR) for this purpose [35,69,70]. Conditions of using a small yet valuable dataset were similar: the share of train and test values was 70% and 30% within 31 samples. Machine learning open-source Scikit-learn software was used for a regression [71].After this comparison, applying the K-nearest neighbor model to predict soil salinity using Landsat-8 images was decided. It is based on k nearest neighbor for input points, is calculated using the distance between values as the weight in this research, and is expressed using Equation (3):where x is an input band value, and y is the sum of salt in the soil.
- The quantitative soil salinity assessment for 2013–2021 was performed by applying the regression K-nearest neighbor model. The pixel-wise sum of salt in the soil was derived over 42 periods and calculated for the study area’s croplands. Then, the areas affected by soil salinity were measured and added to the table. Data on the sum of salt in the soil was organized as a set of time series. Trends and seasonal variations of derived parameters were calculated using an additive decomposition model via Python Statsmodel tool (https://www.statsmodels.org/stable/index.html (accessed on 27 September 2022)). The additive model can be described by Equation (4).where is an average value, —increasing/decreasing value, —short-term cycle in the series, —is a random variation, and their summary y is a model of time series.The primary purpose of this study was to set up the proper method and data to quantify soil salinity for the Qazaly irrigation zone using commonly applied satellite image data, and the results are described in the next part.
- To monitor the difference in climate change trends, we considered the soil moisture and maximum temperature data by TerraClimate between July 2002 and December 2021 [72]. TerraClimate is a global dataset of the monthly surface climate and water balance. It uses the interpolation method to calculate the data. Thus, we applied the Mann–Kendall test to derive the trends in the soil moisture and maximum temperature at 2 different points for comparison: the first located at the study area (N45.591, E61.9065) and the second at the upper part down to the southern region in the border zone between Kazakhstan and Uzbekistan (N40.88593, E68.092595). Points were selected due to the soil salinity conditions based on the field studies in 2018. We applied the results on the salt-affected soil areas from the previous part to compare the climatic parameters and found several concurrences for the Qazaly irrigation zone.
3. Results
3.1. Statistic Processing of the Field Data
Laboratory analysis of the soil samples conducted at the U.U.Uspanov Kazakh Research Institute of Soil Science and geochemistry and field observations (2018) resulted in the table with 14 parameters at 3 depths: sand content (%, Sa.), clay content (%, Cl.), soil organic matter (%, OM-Humus), electric conductivity (dS m, EC), soil temperature (°C, T), soil moisture (mm, Moist), a sum of salt in the soil (g kg, SoS), chlorine (Cl), sulfate (SO), calcium (Ca), magnesium (Mg), sodium (Na), and potassium (K).
The correlation coefficients were calculated from the input field data and plotted using the “heat” map method (Figure 4).
Figure 4.
The correlation matrix for the different soil parameters at the study area.
A valuable strong positive correlation was observed between the soil electric conductivity (EC, dS m) and soil moisture (Moist.,%).
The soil texture classes, including sand, clay, and silt, strongly correlate negatively. The chemical composition of soils demonstrated a high positive correlation between the sum of salt in the soil (SoS, g kg), chlorine (Cl), g kg (0.81), sulfates-SO, g kg (0.78), calcium-Ca, g kg (0.81), magnesium (Mg), g kg (0.73), and sodium-Na, g kg (0.82) as shown in the right corner of the plot.
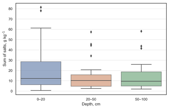
The correlation between soil chemical content and other parameters was insufficient, so a correlation between field-observed soil electric conductivity and soil moisture was examined. Though it showed a strong relationship, no correlation between them and TCT-image pixel values was found to compare these two parameters and Landsat 8 Tasseled Cap Transformed data. Furthermore, collected data on the sum of salt in the soil were considered to assess the soil salinity as the most proper. Then, a statistical distribution was plotted for the sum of salt in the soil (Figure 5).
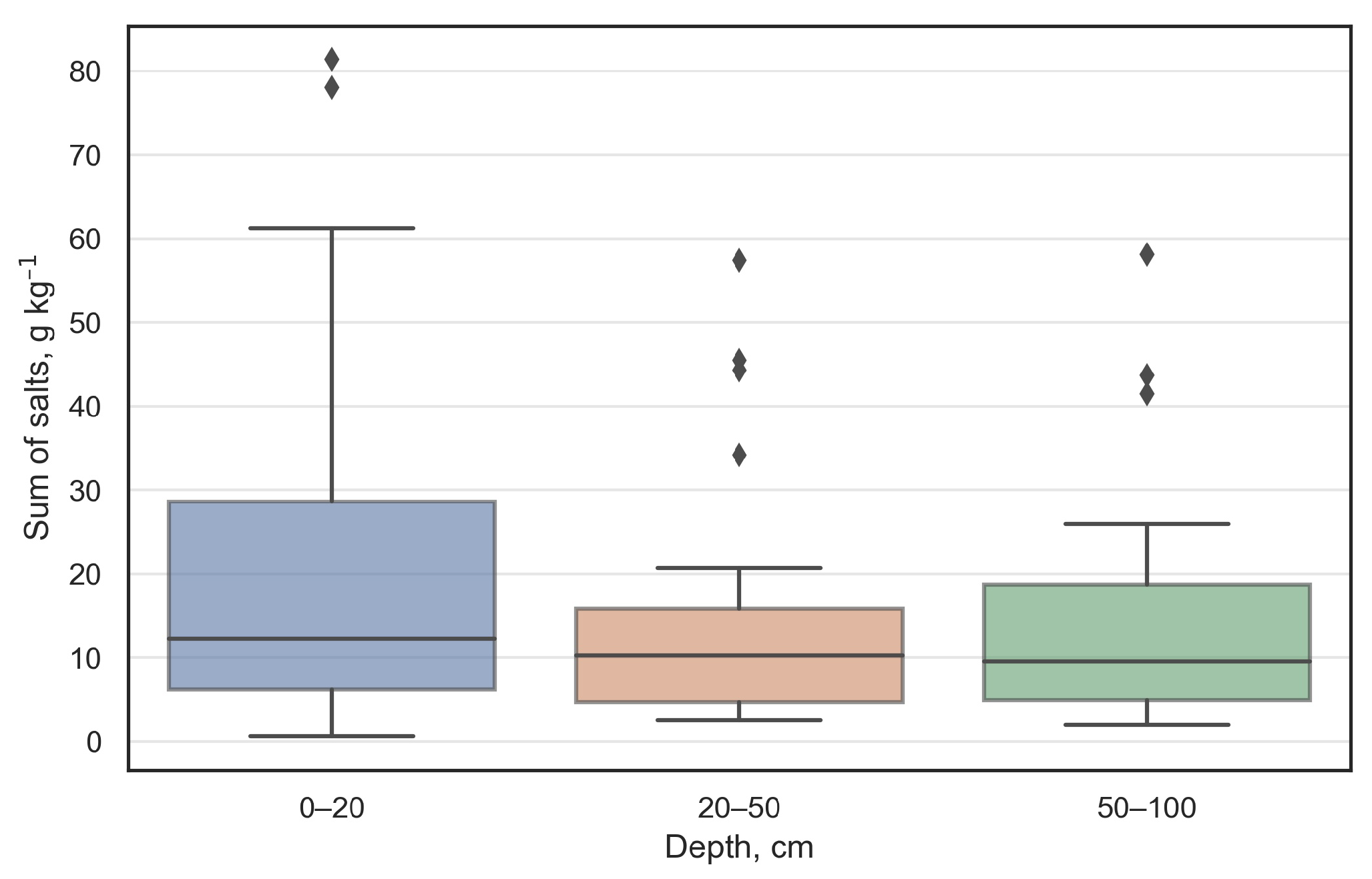
Figure 5.
The statistical distribution of the sum of salt in the soil (g kg) at 3 soil layers.
The box visualized the distribution of salts at the topsoil layer starting from minimum values above 0, then with a median of 15.71 g kg, Q2 of 29.6 g kg reaching 62.89 g kg at the highest value. In addition, some outlier values were observed with high values (67.77–79.32 g kg). The sum of salt in the soil decreased at the medium layer and ranged between 2.49 and 21 g kg with a median of 10.28 g kg. Its sum increased within a range of 1.95–17.54 g kg and a median of 9.55 g kg. We could notice that the principal sum of salt in the soil is concentrated on the soil surface.
3.2. Distribution of Soil Texture and Salt Chemical Composition
The soil data were classified according to USDA classification by soil texture [66], and its repetition was also analyzed. It was found that most soil samples at three horizons mostly contain clay (23–79%) represented by 54 samples for the topsoil layer and by 15 samples at the medium one and 20 at the underneath layer according to Table 2.
Table 2.
Number of samples by soil classes according to USDA soil texture classification.
Clay content demonstrated the maximum between 14–95% (with a median clay content at 49.5%) at the topsoil layer (0–20 cm) and decreased at the medium soil layer (20–50 cm) with values from 19% to 92%, while the lowest values of 23–92% were observed at the soil layer between 50–100 cm. The soil moisture was distributed in the reverse direction with 0.12–29.9% values at the top layer followed by 4.1–37.02% at the medium layer and increasing in the lowest layer (4.74–40.17%).
The sandy clay loam follows clay (contains 45–72.5% of sand), sandy clay (contains 45.5–56% of sand), sandy loam (contains 66–79.5% of sand), clay loam (contains 35–39.5% of clay) and loamy sand (contains 85.5% of sand), and silty clay (contains 41% of silt) from top to down layers. The sand, silt, and clay share were plotted on the soil texture triangle to analyze their distribution graphically (Figure 6).
Figure 6.
The soil texture triangles for 3 soil layers: (a) 0–20 cm; (b) 20–50 cm; (c) 50–100 cm; dot size—soil moisture; dot color—soil EC.
The dots are positioned due to the share of particles, while their size is a gradient of soil moisture, and their color expresses the range of soil electric conductivity measured in situ. The distribution of particles by soil texture classes demonstrates the concentration of the clay in the upper part of the triangle for all layers. The soil moisture has the lowest values at the topsoil layer (0.12–29.87%) compared to the other two layers. At the medium soil layer, moisture has a higher range with values between 4.1% and 37.02%, while the layer underneath its variation is within 4.74–40.17%.
The plot shows that the noticeable sum of salt in the soil mostly corresponds to the highest values in a clay zone at three layers in the upper part of the triangles. The common property for three soil layers was revealed; they were mostly higher in the 10–30% silt-containing samples. The relationship between soil texture and soil salinity was not found in the images during this study.
Therefore, the soil salt chemical content was also considered in parallel with soil texture data. The distribution of major anions and cations by soil layers was also analyzed according to Table 3.
Table 3.
Total share salt chemical composition (major ions) for 3 soil layers.
Thus, the topsoil layer contained mostly Ca (63 samples), SO (89 samples), less Na (30 samples), and Cl (4 samples). Na and SO prevailed in two underlying layers. There were other ions, including Mg and K, their quantity was not negligible. Thus, according to the salt chemical content analysis, the significant sum of salt in the soil in the study area mainly consists of calcium sulfate (CaSO, dry gypsum) and sodium sulfate (NaSO, Glauber’s salt) and a few samples contained sodium chloride (NaCl, table salt).
According to the degree of soil salinization (non-saline soil: <1 g kg; mildly saline soil: 1–6 g kg; moderately saline soil: 6–10 g kg; severely saline soil: 10–20 g kg, and saline soil: >20 g kg) a preliminary evaluation of salinization was made. Based on the analysis results, the soils at 83 sampling sites demonstrated different degrees of salinity: saline (39%), severely saline (25%), moderately saline (19%), mildly saline (16%), and non-saline (1%).
3.3. Selection of Predictors for Soil Salinity Assessment
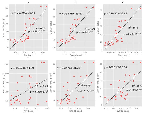
The preliminary analysis of the spatial distribution of topsoil salts was performed on the image acquired on 13 May 2018. It was used because of date correspondence for site visiting and image acquisition. The Landsat 8 RGB image was considered, revealing a significant positive relationship between red and blue bands and the sum of salt in the soil according to Figure 7. For these bands, the coefficient of determination is equal to 0.77 and 0.79, followed by the blue band (0.74). The NIR band demonstrated a relatively weak coefficient (0.43), while SWIR 1 and SWIR 2 bands were significantly correlated with the sum of salt in the soil (0.7 each).
Figure 7.
Linear the fit of the sum of salt in the soil and the Landsat-8 RGB values at the topsoil layer: (a) red band; (b) green band; (c) blue band; (d) NIR band; (e) SWIR 1 band; (f) SWIR 2 band.
Then, the satellite image bands were processed by applying TCT coefficients (Table 4), as explained in the Section 2.
Table 4.
TCT coefficients for Landsat 8 at-satellite reflectance.
It was found that topsoil bare salts corresponded to pixels with the highest values in the brightness band of the TCT image (Tasseled Cap Transformed image). The sum of salt in the soil was selected as a variable directly indicating the soil salinity, among other variables derived after the field sampling. Some observation sites were covered with white crusts of salts lying on the top of the soil, as shown in the image (Figure 8).
Figure 8.
An example of a site with a saline crust and its reflection on Google maps, Landsat-8 RGB image (13 May 2018), and on-site photography (23 May 2018). Coordinates of the point: N45.61574, E61.96481.
Therefore, they were selected to analyze a relationship between spectral reflectance at sampling points and values at bare soil pixels of a TCT image. Some were excluded from analysis due to their inconsistency due to different wetness conditions that affected their spectral reflectance; on the other hand, a sampling distance of 30 m concerning the positioning of points led to the planimetric shifting of pixels reflecting salt. The standard variance contributed to the GPS’s positioning accuracy around 5–10 m [73].
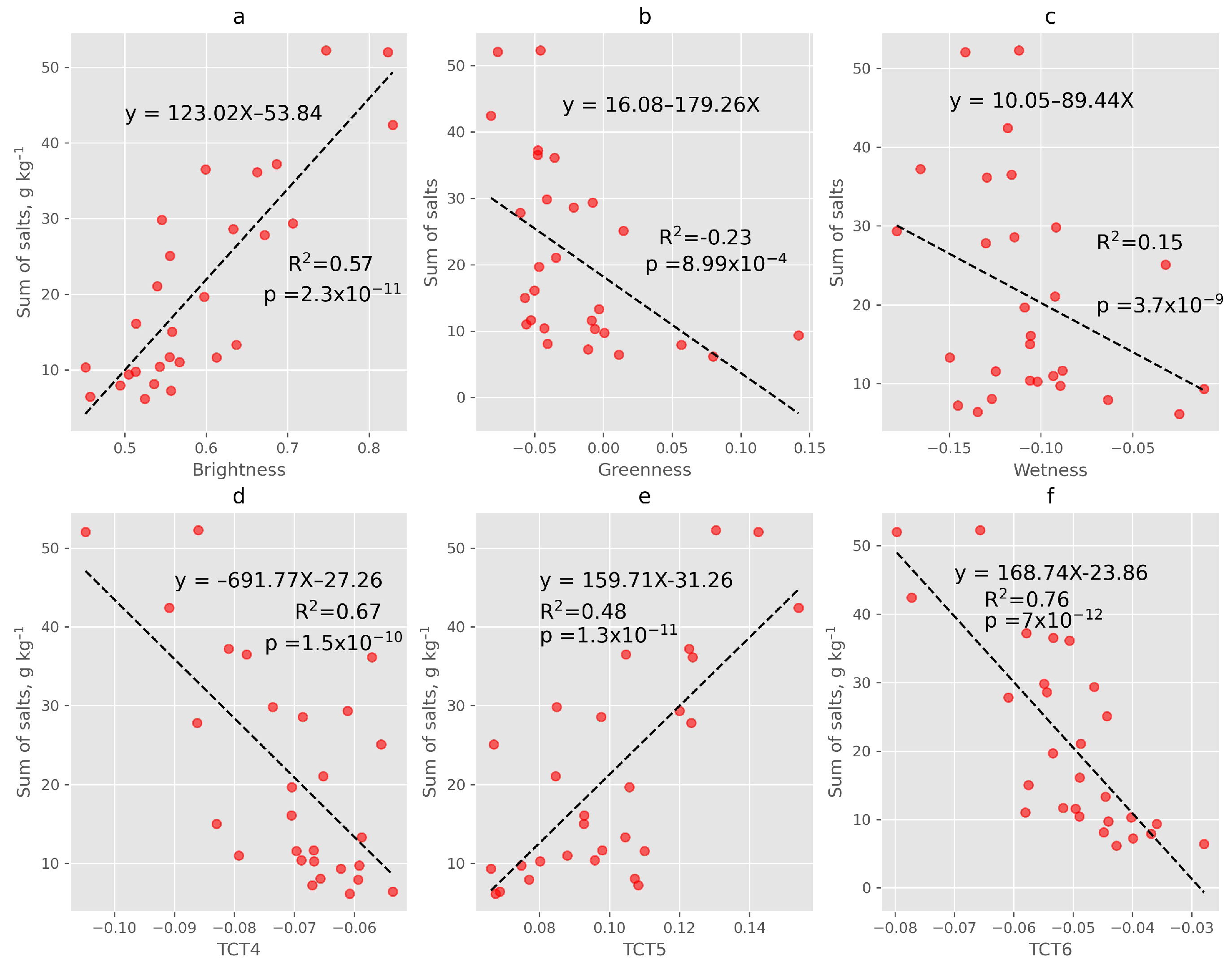
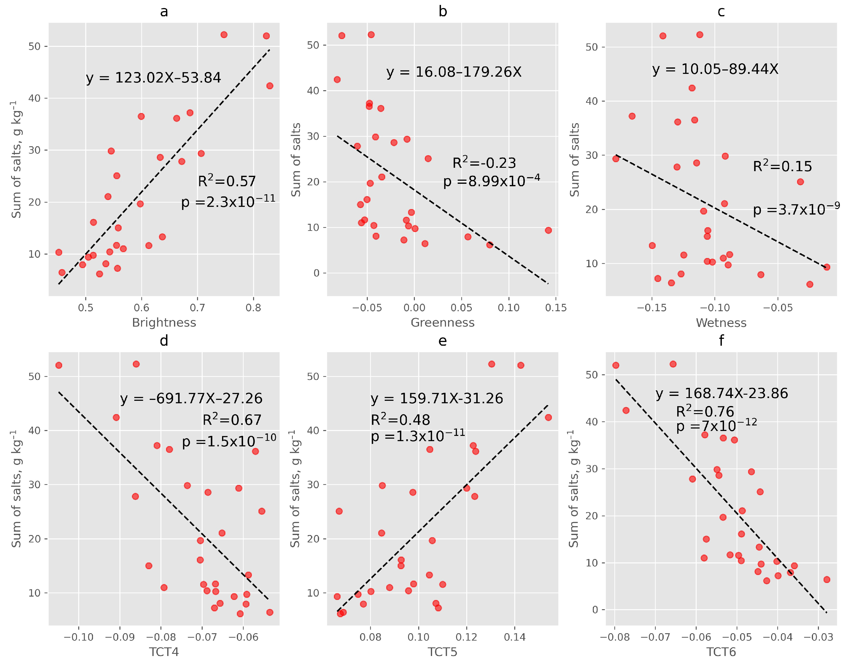
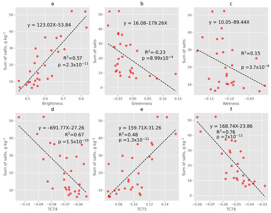
The linear models were developed to check the relationships between the sum of salt in the soil (dependent variable) and predictors for 31 points according to Table 1: brightness, greenness, wetness, TCT4, TCT5, and TCT6 and plotted (Figure 9).
Figure 9.
Linear fit of the sum of salt in the soil and the Landsat-8 Tasseled Cap Transformed image bands values at the topsoil layer: (a) brightness; (b) greenness; (c) wetness; (d) TCT4; (e) TCT5; (f) TCT6.
The sum of salt in the soil is considered a dependent variable. Coefficients of determination expressing the relationship between predictors and a soil sum of salt were derived. It demonstrates a significantly strong correlation between the sum of salt in the soil and brightness (positive), TCT4 (negative), and TCT6 (negative), while greenness, wetness, and TCT5 have little hostile relation to it.
Considering the results of this analysis, red bands, green bands, TCT4 bands, and TCT 6 bands highly correlated to the salinity were selected for further modeling and building a prediction model for the sum of salt in the soil.
3.4. The Soil Salinity Modeling
After selecting soil salinity predictors, the dataset consisting of 31 point samples with variables on the sum of salt in the soil was used to build models for soil salinity prediction on the satellite image. Conditions of using a small yet valuable dataset were similar: the train and test values share was 70% and 30% in 31 samples. Predictive modeling results can be described by regression scores given in Table 5.
Table 5.
The soil salinity prediction modeling scores.
The highest correlation value was derived by KNN modeling, the lowest by PLSR, the medium by MLR, and the lowest root means squared error of 7.73 g kg is obtained for the KNN modeling. The last one is the best-matching one among the three applied models. The predicted sum of salt in the soil and the initial salt amount derived after the laboratory analysis are also visualized graphically by plotting for better understanding (Figure 10).
Figure 10.
Linear fit of the soil salinity prediction modeling results for the topsoil layer: (a) PLSR; (b) KNN; (c) MLR.
The highest variation is observed in PLSR-predicted data; MLR-modeled data has a higher correlation, while the best linear fit was found in the plot of the KNN model. After this comparison, the K-nearest neighbor model was used to predict soil salinity using Landsat-8 images. It is based on k nearest neighbor for input points and is calculated using the distance between values as the weight in this research and is expressed using Equation (3):
where x is an input band value, and y is sum of salt in the soil.
3.5. The Soil Salinization at Croplands
The sum of salt in the soil was predicted for croplands in the study area using cloudless Landsat-8 images (path 160, row 028) acquired on 42 periods from 2013 to 2021, covering spring, summer, and autumn. The soil salinity maps were plotted for start and end spring observation dates to demonstrate the spatial extents according to Figure 11.
Figure 11.
Soil salinity in 2 periods for the topsoil layer in the study area.
The sample croplands demonstrated a large saline hot spot area on 13 April 2013 and its significantly shrunk extent on 18 March 2021 with extremely high values (>20 g kg ). The smaller number of pixels with salt-affected soils in an older image and its increase in the recent image can be noticed.
All pixels with a derived value over 6 g kg were considered salt-affected soils. Then, the dynamics of the calculated sum of salt in the soil (Figure 12a) and salt-affected soils (Figure 12b) with their trends were plotted to make conclusions on the soil salinization for the study area.
Figure 12.
Dynamics of the sum of salt in the soil in croplands for the topsoil layer: (a) salt-affected croplands (km); (b) mean sum of salt in the soil (g kg).
Figure 12 shows the seasonal variance of the salt-affected soils from 2013 to 2021. The maximum amounts of salt registered the two highest peaks for each year in spring (April–May) and autumn (October–November), with a range between 31 km (26 November 2014) and 47 km (18 March 2016). The lowest peaks were recorded in summer (July–August), with a range between 13 km (11 August 2014) and 30.5 km (11 July 2013). Its trend demonstrates a decrease in the area from 26.5 km (16 April 2014) to 24 km (26 September 2015) and an increase up to 33.1 km (4 August 2019).
Figure 12b shows the temporal variance of the mean sum of salt in the soil from 2013 to 2021. The maximum amounts of salt were registered in spring with a range between 9.6 and 18.3 g kg. There are two highest peaks on the plot corresponding to 15 May 2013 (18.3 g kg) and 6 June 2015 (14.9 g kg). The lowest sum of salt in the soil was observed on 18 March 2015 (10.3 g kg) and 11 August 2019 (9.6 g kg). A straight increase is recorded up to 15.11 g kg on 18 March 2021.
3.6. Soil Salinity and Climate Change
The Mann–Kendall test derived the trends in soil moisture and maximum temperature (Figure 13). The linear trend of the soil moisture trend at the Qazaly irrigation zone (Point 1 according to the Materials and Methods part of this paper) is negative, and it is declining, despite the short-term increase. As for the values of soil moisture, they were below 20 mm per day, with the highest peaks in March (minimum = 0.9 mm, mean = 3.6 mm, maximum = 18.1 mm). Point 2 in the upper lowlands of Syr Darya demonstrated a maximum of 89.4 mm (minimum = 4.8 mm, mean = 29.3 mm), which is much higher related to water supply conditions. We can conclude that in our study area, the water scarcity is higher; and therefore, it also affects the salinization due to declination of the soil moisture long-term trend.
Figure 13.
Dynamics of the soil moisture and the maximum temperature at Qazaly irrigation zone.
We could see an increase in the trend line regarding the maximum temperature. At the study area (Point 1) mean value for maximum temperature was 15.6 °C (minimum = −15.1 °C, maximum = 37.4 °C). At Point 2, temperature shows higher values with peaks in July and August. The mean value for maximum temperature was 21.8 °C (minimum = −3.6 °C, maximum = 38.8 °C). Therefore, we observe the heating in dry lands that also affects other aspects, including soil salinization. We considered the relationship between climate heating and salt-affected soil areas according to the figure (Figure 14).
Figure 14.
Dynamics of the soil moisture, temperature and salt-affected areas in QIZ.
Similarities between the soil moisture, temperature, and salt-affected ground area patterns are shown in the plot. We conclude that the relationship between soil salinization and climate change is vital.
4. Discussion
It was indicated in this paper that the correlation between soil chemical content and other parameters needed to be increased. In contrast, the soil electric conductivity and soil moisture were the most correlated field data. The correlation between soil texture and salinity did not guarantee the correlation between soil texture and image bands due to its coverage by salts at sampling points applied for the analysis.
Though researchers often report proving connections between soil electric conductivity and image bands, no correlation was found between soil electric conductivity and spectral band records in this study. PCA-like transformed images helped reveal a significant correlation between the sum of salt in the soil and Landsat TCT-corrected band images. It can be explained by the correspondence of selected in situ data to areas with significant salt amounts on the surface. Yet “Tasseled Cap” images combined with normal Landsat 8 bands helped separate bare ground at some areas and salt though they had high values in the brightness TCT-band. Same time soil salinity is not necessarily directly reflected in spectral bands in wet and veobtainated lands.
Derived soil salinity fluctuations for the study area with an intensification of soil salinization from 2018 to 2021 could be caused by changes in soil water content that influence seasonal soil salinity values. Coinciding increases in a salt-affected area and the soil sum of salt values can demonstrate a significant increasing trend of the soil secondary salinization in the study area.
5. Conclusions
The results of this research work are essential and may be applied to maintain soil health and agricultural production balance. Therefore, the study’s primary purpose was to establish a quantitative analysis method for soil salinity estimation and to have a sense of soil salinization in the study area. The technique used open satellite data to make it applicable to analog sites.
Coinciding increases in a salt-affected area and the mean soil sum of salt demonstrated a significant trend of soil secondary salinization in the study area from 2018 to 2021. This leads to more stressful conditions for agricultural production and ecologic equilibrium. Therefore, it is necessary to develop an environmental management plan.
The increasing temperature with decreasing soil moisture, along with the agricultural use, leads to an extension of salt-affected ground areas in the study area. This can be a topic for further research. The study’s results can contribute to solving the problem of soil resource conservation and reclamation under the current climate change conditions.
Author Contributions
Conceptualization, K.S. and J.A.; methodology, K.S., A.S., Y.G., W.L. and L.M.; software, K.S.; validation, K.S., A.S., W.L. and Z.S. (Zhassulan Smanov); formal analysis, G.A. and A.Y.; investigation, Z.S. (Zhassulan Sadykov); resources, J.A.; data curation, J.A.; writing—original draft preparation, K.S.; writing—review and editing, J.A., A.S. and L.M.; visualization, K.S. and Z.S. (Zhassulan Smanov); supervision, J.A.; project administration, L.M. and Y.G.; funding acquisition, L.M. and Y.G. All authors have read and agreed to the published version of the manuscript.
Funding
This research was funded by the Regional Collaborative Innovation Project of Xinjiang Uygur Autonomous Region of China (2020E01013); the LU JIAXI International team program supported by the K.C. Wong Education Foundation (GJTD-2020-14), and the High-Level Training Project of Xinjiang Institute of Ecology and Geography, Chinese Academy of Sciences (E050030101).
Institutional Review Board Statement
Not applicable.
Informed Consent Statement
Not applicable.
Data Availability Statement
Not applicable.
Acknowledgments
We thank the anonymous reviewers for their valuable comments and suggestions.
Conflicts of Interest
The authors declare no conflict of interest.
References
- Blaikie, P.; Brookfield, H. Land Degradation and Society; Routledge: London, UK, 2015. [Google Scholar]
- Metternicht, G.I.; Zinck, J.A. Remote sensing of soil salinity: Potentials and constraints. Remote Sens. Environ. 2003, 85, 1–20. [Google Scholar] [CrossRef]
- Montanarella, L.; Pennock, D.J.; McKenzie, N.; Badraoui, M.; Chude, V.; Baptista, I.; Mamo, T.; Yemefack, M.; Aulakh, M.S.; Yagi, K.; et al. World’s soils are under threat. Soil 2016, 2, 79–82. [Google Scholar] [CrossRef]
- Hussain, Z.; Khattak, R.A.; Fareed, I.; Irshad, M.; Mahmood, Q. Interaction of Phosphorus and Potassium on Maize (Zea mays L.) in Saline-Sodic Soil. J. Agric. Sci. 2015, 7, 66–78. [Google Scholar] [CrossRef]
- Ivushkin, K.; Bartholomeus, H.; Bregt, A.K.; Pulatov, A.; Kempen, B.; de Sousa, L. Global mapping of soil salinity change. Remote Sens. Environ. 2019, 231, 111260. [Google Scholar] [CrossRef]
- Singh, A. Soil salinity: A global threat to sustainable development. Soil Use Manag. 2022, 38, 39–67. [Google Scholar] [CrossRef]
- Mukhopadhyay, R.; Sarkar, B.; Jat, H.S.; Sharma, P.C.; Bolan, N.S. Soil salinity under climate change: Challenges for sustainable agriculture and food security. J. Environ. Manag. 2021, 280, 111736. [Google Scholar] [CrossRef]
- Bissenbayeva, S.; Abuduwaili, J.; Saparova, A.; Ahmed, T. Long-term variations in runoff of the Syr Darya River Basin under climate change and human activities. J. Arid. Land 2021, 13, 56–70. [Google Scholar] [CrossRef]
- Eswar, D.; Karuppusamy, R.; Chellamuthu, S. Drivers of soil salinity and their correlation with climate change. Curr. Opin. Environ. Sustain. 2021, 50, 310–318. [Google Scholar] [CrossRef]
- Niedrist, G.H.; Psenner, R.; Sommaruga, R. Climate warming increases vertical and seasonal water temperature differences and inter-annual variability in a mountain lake. Clim. Chang. 2018, 151, 473–490. [Google Scholar] [CrossRef]
- Qi, X.; Jia, J.; Liu, H.; Lin, Z. Relative importance of climate change and human activities for veobtaination changes on China’s silk road economic belt over multiple timescales. Catena 2019, 180, 224–237. [Google Scholar] [CrossRef]
- Venkatesh, K.; John, R.; Chen, J.; Jarchow, M.; Amirkhiz, R.G.; Giannico, V.; Saraf, S.; Jain, K.; Kussainova, M.; Yuan, J. Untangling the impacts of socioeconomic and climatic changes on veobtaination greenness and productivity in Kazakhstan. Environ. Res. Lett. 2022, 17, 095007. [Google Scholar] [CrossRef]
- Halsch, C.A.; Shapiro, A.M.; Fordyce, J.A.; Nice, C.C.; Thorne, J.H.; Waetjen, D.P.; Forister, M.L. Insects and recent climate change. Proc. Natl. Acad. Sci. USA 2021, 118, e2002543117. [Google Scholar] [CrossRef] [PubMed]
- Zare, E.; Huang, J.; Santos, F.M.; Triantafilis, J. Mapping salinity in three dimensions using a DUALEM-421 and electromagnetic inversion software. Soil Sci. Soc. Am. J. 2015, 79, 1729–1740. [Google Scholar] [CrossRef]
- Zhao, D.; Li, N.; Zare, E.; Wang, J.; Triantafilis, J. Mapping cation exchange capacity using a quasi-3d joint inversion of EM38 and EM31 data. Soil Tillage Res. 2020, 200, 104618. [Google Scholar] [CrossRef]
- Zhao, D.; Wang, J.; Zhao, X.; Triantafilis, J. Clay content mapping and uncertainty estimation using weighted model averaging. Catena 2022, 209, 105791. [Google Scholar] [CrossRef]
- Allbed, A.; Kumar, L. Soil salinity mapping and monitoring in arid and semi-arid regions using remote sensing technology: A review. Adv. Remote. Sens. 2013, 2013, 41262. [Google Scholar] [CrossRef]
- Gorji, T.; Sertel, E.; Tanik, A. Monitoring soil salinity via remote sensing technology under data scarce conditions: A case study from Turkey. Ecol. Indic. 2017, 74, 384–391. [Google Scholar] [CrossRef]
- Ben-Dor, E. Quantitative remote sensing of soil properties. Adv. Agron. 2002, 75, 173–243. [Google Scholar] [CrossRef]
- Dehaan, R.; Taylor, G. Image-derived spectral endmembers as indicators of salinisation. Int. J. Remote. Sens. 2003, 24, 775–794. [Google Scholar] [CrossRef]
- Howari, F. The use of remote sensing data to extract information from agricultural land with emphasis on soil salinity. Soil Res. 2003, 41, 1243–1253. [Google Scholar] [CrossRef]
- Farifteh, J.; Farshad, A.; George, R. Assessing salt-affected soils using remote sensing, solute modeling, and geophysics. Geoderma 2006, 130, 191–206. [Google Scholar] [CrossRef]
- Farifteh, J.; Van der Meer, F.; Atzberger, C.; Carranza, E. Quantitative analysis of salt-affected soil reflectance spectra: A comparison of two adaptive methods (PLSR and ANN). Remote Sens. Environ. 2007, 110, 59–78. [Google Scholar] [CrossRef]
- Wang, L.; Qu, J.J. NMDI: A normalized multi-band drought index for monitoring soil and veobtaination moisture with satellite remote sensing. Geophys. Res. Lett. 2007, 34. [Google Scholar] [CrossRef]
- Metternicht, G.; Zinck, A. Remote Sensing of Soil Salinization: Impact on Land Management; CRC Press: Boca Raton, FL, USA, 2008. [Google Scholar]
- Ben-Dor, E.; Chabrillat, S.; Demattê, J.A.M.; Taylor, G.; Hill, J.; Whiting, M.; Sommer, S. Using imaging spectroscopy to study soil properties. Remote Sens. Environ. 2009, 113, S38–S55. [Google Scholar] [CrossRef]
- Ozdogan, M.; Yang, Y.; Allez, G.; Cervantes, C. Remote sensing of irrigated agriculture: Opportunities and challenges. Remote Sens. 2010, 2, 2274–2304. [Google Scholar] [CrossRef]
- Sidike, A.; Zhao, S.; Wen, Y. Estimating soil salinity in Pingluo County of China using QuickBird data and soil reflectance spectra. Int. J. Appl. Earth Obs. Geoinf. 2014, 26, 156–175. [Google Scholar] [CrossRef]
- Bai, L.; Wang, C.; Zang, S.; Zhang, Y.; Hao, Q.; Wu, Y. Remote sensing of soil alkalinity and salinity in the Wuyu’er-Shuangyang river basin, Northeast China. Remote Sens. 2016, 8, 163. [Google Scholar] [CrossRef]
- Bannari, A.; El-Battay, A.; Bannari, R.; Rhinane, H. Sentinel-MSI VNIR and SWIR bands sensitivity analysis for soil salinity discrimination in an arid landscape. Remote Sens. 2018, 10, 855. [Google Scholar] [CrossRef]
- Jiang, H.; Shu, H. Optical remote-sensing data based research on detecting soil salinity at different depth in an arid-area oasis, Xinjiang, China. Earth Sci. Inform. 2019, 12, 43–56. [Google Scholar] [CrossRef]
- Goehring, N.; Verburg, P.; Saito, L.; Jeong, J.; Meki, M.N. Improving modeling of quinoa growth under saline conditions using the enhanced agricultural policy environmental extender model. Agronomy 2019, 9, 592. [Google Scholar] [CrossRef]
- Abuelgasim, A.; Ammad, R. Mapping soil salinity in arid and semi-arid regions using Landsat 8 OLI satellite data. Remote Sens. Appl. Soc. Environ. 2019, 13, 415–425. [Google Scholar] [CrossRef]
- Nguyen, K.A.; Liou, Y.A.; Tran, H.P.; Hoang, P.P.; Nguyen, T.H. Soil salinity assessment by using near-infrared channel and Veobtaination Soil Salinity Index derived from Landsat 8 OLI data: A case study in the Tra Vinh Province, Mekong Delta, Vietnam. Prog. Earth Planet. Sci. 2020, 7, 1. [Google Scholar] [CrossRef]
- Wang, J.; Peng, J.; Li, H.; Yin, C.; Liu, W.; Wang, T.; Zhang, H. Soil Salinity Mapping Using Machine Learning Algorithms with the Sentinel-2 MSI in Arid Areas, China. Remote Sens. 2021, 13, 305. [Google Scholar] [CrossRef]
- Drusch, M.; Del Bello, U.; Carlier, S.; Colin, O.; Fernandez, V.; Gascon, F.; Hoersch, B.; Isola, C.; Laberinti, P.; Martimort, P.; et al. Sentinel-2: ESA’s Optical High-Resolution Mission for GMES Operational Services. Remote Sens. Environ. 2012, 120, 25–36. [Google Scholar] [CrossRef]
- Irons, J.R.; Dwyer, J.L.; Barsi, J.A. The next Landsat satellite: The Landsat Data Continuity Mission. Remote Sens. Environ. 2012, 122, 11–21. [Google Scholar] [CrossRef]
- Crétaux, J.F.; Biancamaria, S.; Arsen, A.; Bergé Nguyen, M.; Becker, M. Global surveys of reservoirs and lakes from satellites and regional application to the Syrdarya river basin. Environ. Res. Lett. 2015, 10, 015002. [Google Scholar] [CrossRef]
- Beck, R.; Xu, M.; Zhan, S.; Liu, H.; Johansen, R.A.; Tong, S.; Yang, B.; Shu, S.; Wu, Q.; Wang, S.; et al. Comparison of satellite reflectance algorithms for estimating phycocyanin values and cyanobacterial total biovolume in a temperate reservoir using coincident hyperspectral aircraft imagery and dense coincident surface observations. Remote Sens. 2017, 9, 538. [Google Scholar] [CrossRef]
- Kussul, N.; Mykola, L.; Shelestov, A.; Skakun, S. Crop inventory at regional scale in Ukraine: Developing in season and end of season crop maps with multi-temporal optical and SAR satellite imagery. Eur. J. Remote. Sens. 2018, 51, 627–636. [Google Scholar] [CrossRef]
- Morgan, R.S.; El-Hady, M.A.; Rahim, I.S. Soil salinity mapping utilizing sentinel-2 and neural networks. Indian J. Agric. Res. 2018, 52, 524–529. [Google Scholar] [CrossRef]
- Hihi, S.; Rabah, Z.B.; Bouaziz, M.; Chtourou, M.Y.; Bouaziz, S. Prediction of Soil Salinity Using Remote Sensing Tools and Linear Regression Model. Adv. Remote Sens. 2019, 08, 77–88. [Google Scholar] [CrossRef]
- Bannari, A.; Al-Ali, Z.M. Assessing climate change impact on soil salinity dynamics between 1987–2017 in arid landscape using Landsat TM, ETM+ and OLI data. Remote Sens. 2020, 12, 2794. [Google Scholar] [CrossRef]
- Jollife, I.T.; Cadima, J. Principal component analysis: A review and recent developments. Philos. Trans. R. Soc. Math. Phys. Eng. Sci. 2016, 374, 20150202. [Google Scholar] [CrossRef] [PubMed]
- Lamqadem, A.A.; Saber, H.; Pradhan, B. Quantitative assessment of desertification in an arid oasis using remote sensing data and spectral index techniques. Remote Sens. 2018, 10, 1862. [Google Scholar] [CrossRef]
- Löw, F.; Conrad, C.; Michel, U. Decision fusion and non-parametric classifiers for land use mapping using multi-temporal RapidEye data. Isprs J. Photogramm. Remote Sens. 2015, 108, 191–204. [Google Scholar] [CrossRef]
- Ivushkin, K.; Bartholomeus, H.; Bregt, A.K.; Pulatov, A. Satellite thermography for soil salinity assessment of cropped areas in Uzbekistan. Land Degrad. Dev. 2017, 28, 870–877. [Google Scholar] [CrossRef]
- Vyrakhmanova, A.; Otarov, A.; Saparov, A.; Suska-Malavska, M.; Duisekov, S.; Poshanov, M.; Tanirbergenov, S. The ecological status of irrigated saline soils of the Shaulder massif of the Turkestan region. Eurasian J. Biosci. 2020, 14, 347–354. [Google Scholar]
- Kotlyakov, V.M. The Aral Sea basin: A critical environmental zone. Environ. Sci. Policy Sustain. Dev. 1991, 33, 4–38. [Google Scholar] [CrossRef]
- Kosaki, T.; Suzuki, R.; Ishida, N.; Funakawa, S. Salt-Affected Soils under Large-Scale Irrigation Agriculture in Kazakhstan. In Forum on the Caspian, Aral and Dead Seas: Perspectives of Water Environment Management and Politics. Symposium onthe Aral Sea and Surrounding Region; UNEP International Environmental Technology Centre: Osaka, Japan, 1995; Volume 4, p. 136. [Google Scholar]
- Tsutsui, H.; Ogino, Y. Irrigation management for paddy-based agriculture in the deltas of the Aral Sea Basin. J. Irrig. Eng. Rural. Plan. 1995, 1995, 42–51. [Google Scholar]
- Funakawa, S.; Suzuki, R.; Karbozova, E.; Kosaki, T.; Ishida, N. Salt-affected soils under rice-based irrigation agriculture in southern Kazakhstan. Geoderma 2000, 97, 61–85. [Google Scholar] [CrossRef]
- Sugimori, Y.; Funakawa, S.; Pachikin, K.; Ishida, N.; Kosaki, T. Soil salinity dynamics in irrigated fields and its effects on paddy-based rotation systems in southern Kazakhstan. Land Degrad. Dev. 2008, 19, 305–320. [Google Scholar] [CrossRef]
- Pachikin, K.; Erokhina, O.; Funakawa, S. Properties and distribution pattern of soils in Kazakhstan. Pedologist 2009, 53, 30–37. [Google Scholar]
- Saparov, A. Soil resources of the Republic of Kazakhstan: Current status, problems and solutions. In Novel Measurement and Assessment Tools for Monitoring and Management of Land and Water Resources in Agricultural Landscapes of Central Asia; Springer: Berlin/Heidelberg, Germany, 2014; pp. 61–73. [Google Scholar]
- Umbetaev, I.; Bigaraev, O.; Baimakhanov, K. Effect of soil salinity on the yield of cotton in Kazakhstan. Russ. Agric. Sci. 2015, 41, 222–224. [Google Scholar] [CrossRef]
- Issanova, G.T.; Abuduwaili, J.; Mamutov, Z.U.; Kaldybaev, A.A.; Saparov, G.A.; Bazarbaeva, T.A. Saline soils and identification of salt accumulation provinces in Kazakhstan. Arid Ecosyst. 2017, 7, 243–250. [Google Scholar] [CrossRef]
- Bekbayev, R.; Balgabayev, N.; Zhaparkulova, Y.; Karlihanov, O.; Musin, Z. Factors that intensify soil degradation in the Kazakhstan part of the Golodnostepsky irrigation massif. Life Sci. J. 2015, 97, 194–200. [Google Scholar]
- Laiskhanov, S.U.; Otarov, A.; Savin, I.Y.; Tanirbergenov, S.I.; Mamutov, Z.U.; Duisekov, S.N.; Zhogolev, A. Dynamics of soil salinity in irrigation areas in South Kazakhstan. Polish J. Environ. Stud. 2016, 25, 2469–2476. [Google Scholar] [CrossRef]
- Duan, Y.; Ma, L.; Abuduwaili, J.; Liu, W.; Saparov, G. Driving Factor Identification for the Spatial Distribution of Soil Salinity in the Irrigation Area of the Syr Darya River, Kazakhstan. Agronomy 2022, 12, 1912. [Google Scholar] [CrossRef]
- Liu, W.; Ma, L.; Smanov, Z.; Samarkhanov, K.; Abuduwaili, J. Clarifying Soil Texture and Salinity Using Local Spatial Statistics (Getis-Ord Gi* and Moran’s I) in Kazakh–Uzbekistan Border Area, Central Asia. Agronomy 2022, 12, 332. [Google Scholar] [CrossRef]
- Jin, Q.; Wei, J.; Yang, Z.L.; Lin, P. Irrigation-Induced Environmental Changes around the Aral Sea: An Integrated View from Multiple Satellite Observations. Remote Sens. 2017, 9, 900. [Google Scholar] [CrossRef]
- Jiang, L.; Jiapaer, G.; Bao, A.; Guo, H.; Ndayisaba, F. Veobtaination dynamics and responses to climate change and human activities in Central Asia. Sci. Total Environ. 2017, 599–600, 967–980. [Google Scholar] [CrossRef]
- Tukey, J.W. Exploratory Data Analysis; Pearson: Reading, MA, USA, 1977; Volume 2. [Google Scholar]
- Dawson, R. How significant is a boxplot outlier? J. Stat. Educ. 2011, 19. [Google Scholar] [CrossRef]
- Yang, J.; Guan, X.; Luo, M.; Wang, T. Cross-system legacy data applied to digital soil mapping: A case study of Second National Soil Survey data in China. Geoderma Reg. 2022, 28, e00489. [Google Scholar] [CrossRef]
- Groenendyk, D.G.; Ferré, T.P.; Thorp, K.R.; Rice, A.K. Hydrologic-process-based soil texture classifications for improved visualization of landscape function. PLoS ONE 2015, 10, e131299. [Google Scholar] [CrossRef] [PubMed]
- Baig, M.H.A.; Zhang, L.; Shuai, T.; Tong, Q. Derivation of a tasselled cap transformation based on Landsat 8 at-satellite reflectance. Remote Sens. Lett. 2014, 5, 423–431. [Google Scholar] [CrossRef]
- Azabdaftari, A.; Sunar, F. Soil salinity mapping using multitemporal landsat data. Int. Arch. Photogramm. Remote. Sens. Spat. Inf. Sci. ISPRS Arch. 2016, 41, 3–9. [Google Scholar] [CrossRef]
- Yan, J.; Han, L.; Qian, Y.; Zhou, W.; Li, W. Comparing Machine Learning Classifiers for Object-Based Land Cover Classification Using Very High Resolution Imagery. Remote Sens. 2014, 7, 153–168. [Google Scholar] [CrossRef]
- Hakim. Clustering a Satellite Image with Scikit-Learn. 2018. Available online: https://medium.com/@h4k1m0u/clustering-a-satellite-image-with-scikit-learn-14adb2ca3790 (accessed on 22 September 2022).
- Abatzoglou, J.T.; Dobrowski, S.Z.; Parks, S.A.; Hegewisch, K.C. TerraClimate, a high-resolution global dataset of monthly climate and climatic water balance from 1958–2015. Sci. Data 2018, 5, 1–12. [Google Scholar] [CrossRef]
- Yang, Y.; Shen, Q.; Li, J.; Deng, Z.; Wang, H.; Gao, X. Position and attitude estimation method integrating visual odometer and GPS. Sensors 2020, 20, 2121. [Google Scholar] [CrossRef]
Publisher’s Note: MDPI stays neutral with regard to jurisdictional claims in published maps and institutional affiliations. |
© 2022 by the authors. Licensee MDPI, Basel, Switzerland. This article is an open access article distributed under the terms and conditions of the Creative Commons Attribution (CC BY) license (https://creativecommons.org/licenses/by/4.0/).













