Next Article in Journal
Multi-Criteria Relationship Analysis of Knowledge, Perception, and Attitude of Stakeholders for Engagement towards Maritime Pollution at Sea, Beach, and Coastal Environments
Next Article in Special Issue
A Climate Change and Sustainability Education Movement: Networks, Open Schooling, and the ‘CARE-KNOW-DO’ Framework
Previous Article in Journal
Capital Factors Influencing Rural, Regional and Remote Women’s Entrepreneurship Development: An Australian Perspective
Previous Article in Special Issue
Subjective Social Class and the Retention Intentions of Teachers from the Publicly Funded Normal Students Program in China: The Dual Mediating Effect of Organizational and Professional Identity
 
 
Font Type:
Arial Georgia Verdana
Font Size:
Aa Aa Aa
Line Spacing:
Column Width:
Background:
Article

How to Promote Quality and Equity of Early Childhood Education for Sustainable Development in Undeveloped Rural Areas of China: An Evolutionary Game Study

1
School of Economics and Management, Wuhan University, Bayi Road, Wuchang District, Wuhan 430072, China
2
School of Computer and Information Engineering, Anyang Normal University, Anyang 455000, China
*
Author to whom correspondence should be addressed.
Sustainability 2022, 14(24), 16438; https://doi.org/10.3390/su142416438
Submission received: 31 October 2022 / Revised: 27 November 2022 / Accepted: 5 December 2022 / Published: 8 December 2022

Abstract

To promote the sustainable development of early childhood education (ECE) in undeveloped rural areas of China, it is vital to guarantee high-quality equity for all children from disadvantaged backgrounds. Focusing on analyzing the efficacy of the Chinese governments’ policy support to promote quality and equity, the study constructs a tripartite evolutionary game model of ECE providers in undeveloped rural areas, local governments, and central government, and correlates the governments’ financial investment with the regulation and supervision in ECE as strategy combination via a reward-punishment mechanism. Through the evolution process of “change-adjustment-convergence” of behavioral decisions, each party seeks optimization to achieve the ideal stable equilibrium state. The numerical simulation is used to verify the dynamic evolutionary process. The simulation results presented the governments’ subsidies and reward, regulation, and supervision have a substantive effect on the improvement of quality and equity. Consequently, the governments should strengthen the regulation and supervision of rural ECE, formulate a more reasonable reward and punishment mechanism, and adjust and optimize the policies and measures to improve the efficiency of educational funding. This study can provide reference value for the optimization of relevant policies and the practical operation of new policy-making.

1. Introduction

Early childhood education (ECE) is the starting point of lifelong education. The UN Sustainable Development Goal (SDG) 4.2 states, “By 2030, ensure that all girls and boys have access to quality early childhood development, care and pre-primary education so that they are ready for primary education [1].” Sustainability, as an interdisciplinary concept, has been considered as an integration of different dimensions of ecological, economic, and social aspects [2]. Although there is no standardized definition of sustainability in education, it can be understood as the long-term stable development of education to ensure all children have access to inclusive and equitable quality resources for building future and guaranteeing intergenerational justice [3]. It has been found that the quality of people’s long lives and sustainable development benefit from high-quality ECE [4]. Access to equitable and high-quality ECE means social welfare possibilities and social justice for all people. ECE is also fundamental to breaking the intergenerational transmission of poverty. In China, it is the vital goal to universalize puhui ECE, which refers to deliver affordable, accessible, and accountable ECE services for all needy families [5]. Puhui is a two-character word in Chinese; as stated by the Cambridge Dictionary [6], pu means universally and generally involving or relating to most or all people; hui means “beneficial”, “favorable”, and “kind” and refers to something good, helpful, and affordable. To achieve the goal of puhui ECE, China successively implemented “Phase I, II, III of Three-Year Action Plan” for a decade. The overall quantity of ECE resources has increased rapidly and the insufficient delivery of puhui ECE resources has been effectively alleviated. Subsequently, “‘the 14th Five-Year ECE Development and Improvement Action Plan” is issued and implemented. The plan targets are not only to fix weak links in the delivery of puhui ECE resources, but also to optimize the guarantee mechanism for high quality and equity so as to promote sustainable development of puhui ECE [7]. The sustainable development and equitable resource allocation of high-quality ECE is regarded as high priority during the “Fourteenth Five Year Plan” period. Moreover, the Rural Revitalization Strategy has been continuously promoted to consolidate the achievements of poverty alleviation, after eliminating absolute poverty in undeveloped rural areas. The sustainable development of rural education plays an important strategic role in fostering rural revitalization [8]. With the strategic planning of rural revitalization, a series of relevant policies and measures in ECE have been designed and implemented. The core theme of this policy portfolio is to promote the equitable and sustainable development of high-quality ECE. Hence, it is critical to eliminate the ECE disparity between developed urban and undeveloped rural areas in China.
The government’s financial input capacity, which is closely related to the regional economic development, has a direct effect on the quantity and quality of educational resource supply [9]. Generally, the level of educational development is consistent with the level of economic development in the region. The remarkable gap of economic development rooted in urban-rural dual structure between urban and rural areas [10]. Moreover, the market-oriented economic reform launched from the late 1970s expanded the imbalance of economic development in different regions and further widened the rich-poor gap. With the deepening of economic reform, the education policy of decentralization and marketization has been adopted. Under this policy orientation, the central government has decentralized the control of education to the provincial, county levels, and even to the “village” level [11]. The central government was responsible for determining major policies, principles, and general plans, while local governments were provided with other responsibilities in education governance, such as creating and implementing specific policies, rules, regulations, and plans. On the other hand, taxes were divided into central taxes, local taxes, and shared taxes between central and local governments according to “Decision of The State Council on implementing the Tax Assignment System” in 1990s [12]. By increasing central government’s tax sharing, the finance capacity of the central government had been strengthened while the finance capacity of local governments had been weakened [13]. However, local governments need to adopt the main responsibility for public investment in education [14], which resulted in the mismatch between local governments’ responsibility and capacity of financial input in education. Furthermore, ECE has not been included in the national compulsory education system of China, thus local governments decreased the fiscal input for ECE and intended to use the market force to meet public demands. The over-marketization amplified regional disparities in ECE. A great amount of high-quality ECE resources were concentrated in affluent urban areas, whereas the resources were extremely scarce in undeveloped rural, especially poverty-stricken, areas, which caused the development of rural ECE to lag greatly behind. As a result, the population in poor rural areas, mainly concentrated in ethnic minority areas, namely central and western China, are the “least beneficiary” group. These children from most disadvantaged backgrounds suffered from the most serious resource shortage and had no access to ECE. Fortunately, the situation did not deteriorate since the central government of China adjusted the policy and issued two important documents: “The Outline of China’s National Plan for Medium- and Long-term Education Reform and Development (2010–2020)” and “The State Council’s Several Opinions on the Current Development of ECE” in 2010, which planned to establish Puhui kindergartens all over the country as a national strategy [5].
Educational equality is the goal of education and an important embodiment of social equity and justice [15]. To promote sustainable development of puhui ECE, it is greatly significant to guarantee high quality and equity in disadvantaged rural areas. In China, educational equity can be divided into the equity of enrollment opportunity, the equity of educational processes, and educational outcome [16]. To enhance equal access to ECE, the governments worked to increase the quantity of puhui resource delivery. According to the statistics from the Department of Education of China [17], the national gross enrollment rate of ECE rose from 62.3 percent in 2011 to 88.1 percent in 2021 and has reached 85.2%; about 80 percent of new kindergartens nationwide were concentrated in central and western regions and about 60 percent were distributed in rural areas, where there was the fastest development of ECE; in 2021, the coverage of puhui kindergartens in rural areas reached 90.6% and the enrollment rate in poverty-stricken areas increased significantly. The gap between urban and rural areas in enrollment opportunity of ECE has been remarkably narrowed.
Educational process equity indicates that every child can equally obtain the educational resources suitable for their needs [16]. To safeguard the most educational interests of rural children who are trapped by their families and regional disadvantages, governments’ policies and resource allocation are tilted toward the “least beneficiary” group in poor rural areas [15]. The governments’ financial investment has been increasing continuously to promote equitable and sustainable development of ECE. Over the last decade, the development funds for rewards and subsidies set up by the central government was CNY 173 billion, driving local governments to increase investment and continue to strengthen support for undeveloped rural areas [18]. Using the rural local areas of Tibet as an example, the state has invested a total of CNY 7.486 billion in the construction of kindergartens, 70% of which was in rural areas. Since 2018, free ECE in rural areas has been covered by government subsidies and 100 percent of kindergartens there provide puhui services [19]. The fairness of ECE resource allocation been remarkable improved.
Educational outcome equity emphasizes that each member of society can obtain better development opportunities and achieve equal educational results. The equity of educational outcome can also be deemed to be the equity of educational quality [16]. Under preferential policy support and guidance, the regional disparity in the supply quantity of puhui resources, education investment, and educational opportunity have been greatly decreased. However, the quality differences of ECE between urban and rural areas are still prominent. ECE quality is typically conceptualized as structural and process quality [20]. Structural quality refers to foundational conditions that are related to the child-teacher ratio, class size, teacher’s educational degrees and teaching experience, teacher salary, staff stability, and physical facilities [21]. Process quality is related to children’s daily experiences through their dynamic interactions with teachers, peers, and the physical environment [22]. In disadvantaged rural areas, there can be problems in the basic facilities in kindergartens, curriculum construction, teacher’s qualifications and teaching ability, or the scale of teachers, all of which have a direct impact on the ECE quality [23]. The low structural and process quality of rural ECE caused inequality of educational outcome and further hindered the sustainable development. The core purpose of promoting the sustainable development of ECE is to guarantee equal rights to educational development and improve the quality of life for children born in poor rural areas, specifically to break the vicious cycle of poverty at last. The children from lower-income families tend to gain more from high-quality ECE than do more advantaged children [24]. Educational quality plays a decisive role in educational equity [25]. Therefore, to promote the ECE quality in undeveloped rural areas is the core of the strategy to promote high-quality equity for the sustainable development.
There is high-quality resource scarcity in undeveloped rural areas, which hinders the equitable and sustainable development of ECE. Can the sustainable government support, efficaciously enlarge, and efficiently allocate the limited educational resources to promote the quality and equity? Can the governments’ regulation and supervision on ECE effectively improve the service quality? To explore the above issues, the study develops a tripartite evolutionary game model of ECE providers in undeveloped rural areas, local governments, and central government and correlates governments’ financial support with the regulation and supervision in ECE as a strategy combination via a reward-punishment mechanism. Through the analysis of three behavioral actors’ strategy choices in the dynamic process by employing evolutionary game theory, the aim of the study is to investigate the efficacy of the policy portfolio of preferential input, regulation, supervision, and quality evaluation to improve the quality of rural ECE for equitable and sustainable development in disadvantaged areas. The presented results of this study can provide reference value for the optimization of relevant policies and the practical operation of new policy-making.
There are both qualitative and quantitative analyses of the existing literature on the quality, equity, and development of ECE in rural China. Some studies demonstrated that the insufficiency of consistent investment, the poor conditions of kindergartens, lack of teaching staff, and high mobility led to low quality and impeded the sustainable development of rural ECE [23,26]. Some studied the allocation efficiency of ECE resources [27] and adjusting the financial incentives while increasing the investment in ECE is suggested [28]. As shown by the research [29], the lack of government supervision resulted in a serious waste of ECE resources, so it is necessary to strengthen regulation and supervision for the improvement of ECE quality [30,31]. Some of the literature proposed policy recommendations on the promotion of quality and equity in the development of ECE [32,33]. In the previous literature, it was not discussed further or examined whether these policy recommendations are efficacious or not. As all levels of governments, kindergartens, and families with children pursue different benefits in the development process of ECE, this process can be regarded as the process of “change-adjustment-convergence” of behavioral decisions in a multi-agent game [34,35]. Thus, the policy effect can be studied theoretically and predicted through analyzing the behavioral strategies’ interaction in the dynamic process by using evolutionary game theory. The existing literature rarely employs evolutionary games to study issues in the education field; there is one research that analyzed the factors affecting different stakeholders’ choices of strategies and built an evolutionary game model among local governments, providers of preschool education, and families with children who needed ECE [36]. This study explores high-quality, equity, and sustainable development of ECE by using evolutionary game theory and MATLAB numerical simulation for the first time.

2. Materials and Methods

Evolutionary game theory was first proposed in the research of the biological evolution process, based on Darwin’s theory [37]. Smith and Price (1973) have introduced the concept of evolutionary stable strategy (ESS) to describe a stable state of the game [38]. Deepening the research, Smith (1982) refined the concept of the Nash equilibrium (Nash 1953) [39]. The relationship between evolutionary equilibrium and replicator dynamics was discovered by Taylor and Jonker (1978) [40]. The replicator dynamics is the dynamic adjustment mechanism of the evolutionary game [35] and can describe the evolutionary change over time to achieve the final stable equilibrium state [41]. Thus, evolutionary game theory combines game theoretic analysis with dynamic evolution [42]. In evolutionary game theory, the basic assumption of agents’ bonded rationality is used instead of complete rationality, which expanded the classic game theory. As a dynamic system, the evolutionary game model is created involving relevant parties with bonded rationality, limited information and conflicts of interest. Additionally, theoretically, the dynamic process of participants’ decision-making is described by constantly adjusting and optimizing their own strategy for ESS. To model the evolution process dynamically and flexibly can more authentically reflect the diversity and complexity of reality. Therefore, evolutionary game theory is a useful tool for discussing strategic interactions to create a stable solution among decision-making subjects [43].
According to Chinese policy to promote the sustainable and equitable development of high-quality ECE, this paper builds an evolutionary game model and, for it, puhui kindergarten in undeveloped rural areas, local governments, and central government governments are selected as game participants. As each of the three pursues different interests, each participant has its own strategic option. The study links governments’ support with regulation and supervision by using a reward-punish mechanism, thus the variables such as increasing subsidies for structural and process quality, rewards, fines as punishment, and governments’ benefitting from high-quality services are introduced into the dynamic process of behavioral actors’ interactions.
Puhui kindergartens in undeveloped rural areas are supported by preferential policy and financial funds from governments at all levels and are regulated and supervised by them. There are two strategic choices, i.e., to provide high-quality or low-quality ECE services available to puhui kindergartens. They have been facing the problem of a shortage of funds, so they might cut the cost and deliver low-quality ECE to maintain the basic balance of income and expenditure for vital interests, if the support from the governments is insufficient or the quality of their services is not supervised strictly.
Local governments have two strategic choices, i.e., actively or not actively promoting the equitable and sustainable development of high-quality ECE in undeveloped rural areas. The active strategy indicates that local governments strictly regulate puhui kindergartens’ operation behaviors and also inspect and evaluate the service quality while increasing financial investment for puhui kindergartens so as to achieve political accomplishments. The inactive strategy is contrary to that of the active strategy.
The central government has two strategic choices, i.e., actively or not actively promoting equitable and sustainable development of high-quality ECE in undeveloped rural areas. The active strategy indicates that the central government increases financial investment in ECE and, in the meantime, strictly supervises the performance of local governments and puhui kindergartens, due to it undertaking public responsibilities and maximizing public interests. The inactive strategy is contrary to that of the active strategy.

2.1. Model Construction

This paper hypothesized that all the parties are of bounded rationality due to information asymmetry.
Hypothesis 1.
A puhui kindergarten in an undeveloped rural area has received policy support and financial funds from the central government and local governments and can obtain basic income as R. The probability of a puhui kindergarten adopting high-quality and low-quality service strategy is denoted as x and 1 − x, respectively. When the kindergarten adopts a high-quality service strategy, the cost is set as Ch; when it adopts a low-quality service strategy, the cost is set as Cl.
Under the active strategy of local government and central government, the local government and central government will provide the kindergarten with M1 and M2 rewards for high-quality services, respectively. Simultaneously, the local government and central government will punish them with U1 and U2 fines for low-quality services, respectively.
Hypothesis 2.
The probability of the local government adopting “actively and not actively promoting equitable and sustainable development of puhui ECE strategy” is denoted as y and 1 − y, respectively. The increasing subsidy in puhui kindergartens’ human resources is set as ΔS1 and the increasing subsidy in other hardware materials and capitals is set as ΔT1.
In addition, the local government’s basic income is V1 and the cost of strict regulation is Gs, the cost of lax regulation is Gl. Under the strict supervision of the central government, the local government will be rewarded with W, if the local government actively promotes the sustainable development of ECE and strictly regulates puhui kindergartens for high-quality service; the local government will be punished with F fines for complaints about low-quality service if they are not actively promoting the development of ECE.
Hypothesis 3.
The probability of the central government adopting “actively and not actively promoting equitable and sustainable development of puhui ECE” strategy is denoted as z and 1 − z, respectively. The increasing subsidy in puhui kindergartens’ human resources is set as ΔS2 and the increasing subsidy in other hardware materials and capitals is set as ΔT2.
In addition, the central government’s basic income is V2, the cost of strict supervision is Ds, and the cost of lax supervision is Dl. When the central government actively promotes the sustainable development of high-quality ECE, the potential benefit obtained is B. Conversely, the potential loss caused by low quality service is L owing to the inactive strategy.
Based on the above model hypotheses, this paper constructs a three-party payoff matrix of the puhui kindergarten, local government, and central government, as shown in Table 1.

2.2. Model Analysis

The replicator dynamics equations describe the evolution of each party’s strategy over time in the three-dimensional dynamic system. According to the above hypotheses and the pay-off matrix, the replicator dynamics equations of the puhui kindergarten, local government, and central government are established.

2.2.1. Replication Dynamic Equation and Evolutionary Stability Strategies of Puhui Kindergarten

The expected payoffs of puhui kindergarten’s high-quality and low-quality service strategy are symbolized as E11 and E12, respectively, and the overall expected payoff is denoted by E 1 ¯ .
E 11 = yz ( R Ch + Δ S 1 + Δ T 1 + Δ S 2 + Δ T 2 + M 1 + M 2 ) + ( 1 y ) z [ R Ch + Δ S 2 + Δ T 2 + M 2 ]            + y ( 1 z ) ( R Ch + Δ S 1 + Δ T 1 + M 1 ) + ( 1 y ) ( 1 z ) ( R Ch )
E 12 = yz ( R Cl + Δ S 1 + Δ T 1 + Δ S 2 + Δ T 2 U 1 U 2 ) + ( 1 y ) z [ R Cl + Δ S 2 + Δ T 2 U 2 ]            + y ( 1 z ) ( R Cl + Δ S 1 + Δ T 1 U 1 ) + ( 1 y ) ( 1 z ) ( R Cl )
E 1 ¯ = xE 11 + ( 1 x ) E 12
Then, the replication dynamics equation and first-order derivative are as follows:
F ( x ) = dx / dt = x ( E 11 E 1 ¯ ) = x ( 1 x ) [ z ( M 1 + U 1 ) + y ( M 2 + U 2 ) + Cl Ch ]
d F ( x ) d x = ( 1 2 x ) [ z ( M 1 + U 1 ) + y ( M 2 + U 2 ) + Cl Ch ]
According to the differential equation stability theorem, if the probability of puhui kindergarten choosing the high-quality service strategy is stable, the following conditions should be satisfied: F(x) = 0 and dF ( x ) / dx < 0;
When G ( y ) = z ( M 1 + U 1 ) + y ( M 2 + U 2 ) + Cl Ch , G(y) is an increasing function with respect to y due to G(y)/ y > 0.
Thus, when y = Ch − Cl − z(M1 + U1)/(M2 + U2) = y*, G(y) = 0, then dF ( x ) / dx ≡ 0, the puhui kindergarten’s stable strategy is not confirmed; when y < y*, G(y) < 0, then dF(x)/dx|x = 0 < 0, x = 0 is the puhui kindergarten’s evolutionary stable strategy (ESS); otherwise, when y > y*, G(y) > 0, then dF(x)/dx|x = 1 < 0, x = 1 is ESS.

2.2.2. Replication Dynamic Equation and Evolutionary Stability Strategies of Local Government

The expected payoffs of local government’s active and inactive strategy are symbolized as E21 and E22, respectively, and the overall expected payoff is denoted by E 2 ¯ .
E 21 = xz ( V 1 Gs Δ S 1 Δ T 1 M 1 + W ) + x ( 1 z ) ( V 1 Gs Δ S 1 Δ T 1 M 1 ) +            ( 1 x ) z ( V 1 Gs Δ S 1 Δ T 1 + U 1 ) + ( 1 x ) ( 1 z ) ( V 1 Gs Δ S 1 Δ T 1 + U 1 )
E 22 = xz ( V 1 Gl ) + x ( 1 z ) ( V 1 Gl ) + ( 1 x ) z ( V 1 Gl F )            + ( 1 x ) ( 1 z ) ( V 1 Gl )
E 2 ¯ = yE 21 + ( 1 y ) E 22
Then, the replication dynamics equation and first-order derivative are as follows:
F ( y ) = dy / dt = x ( E 21 E 2 ¯ ) = y ( 1 y ) [ xz ( W F ) + zF x ( M 1 + U 1 ) + Gl Gs Δ S 1 Δ T 1 + U 1 ]
d F ( y ) d y = ( 1 2 y ) [ xz ( W F ) + zF x ( M 1 + U 1 ) + Gl Gs Δ S 1 Δ T 1 + U 1 ]
If the probability of local government choosing active strategy is stable, the following conditions should be satisfied: F(y) = 0 and dF ( y ) / dy < 0; when J ( z ) = xz ( W F ) + zF x ( M 1 + U 1 ) + Gl Gs Δ S 1 Δ T 1 + U 1 , J(z) is an increasing function with respect to z due to J(z)/ J > 0.
Thus, when z = x(M1 + U1) + Gs − Gl + ΔS1 + ΔT1 − U1/x(W − F) + F = z*, J(z) = 0, then d F ( y ) / d y ≡ 0, the local government’s stable strategy is not confirmed; when z < z*, J(z) < 0, then dF(y)/dy|y = 0 < 0, y = 0 is the local government’s evolutionary stable strategy (ESS); otherwise, y = 1 is ESS.

2.2.3. Replication Dynamic Equation and Evolutionary Stability Strategies of Central Government

The expected payoffs of local government’s active and inactive strategy are symbolized as E31 and E32, respectively, and the overall expected payoff is denoted by E 3 ¯ .
E 31 = xy [ V 2 Ds + B Δ S 2 Δ T 2 M 2 W ] + x ( 1 y ) [ V 2 Ds Δ S 2 Δ T 2 M 2 ]            + ( 1 x ) y [ V 2 Ds Δ S 2 Δ T 2 + U 2 + F ] + ( 1 x ) ( 1 y ) [ V 2 Ds Δ S 2 Δ T 2 + U 2 + F ]
E 32 = xy ( V 2 Dl ) + x ( 1 y ) ( V 2 Dl ) + ( 1 x ) y ( V 2 Dl L )            + ( 1 x ) ( 1 y ) ( V 2 Dl L )
E 3 ¯ = zE 31 + ( 1 z ) E 32
Then, the replication dynamics equation and first-order derivative are as follows:
F ( z ) = d z / d t = x ( E 3 E 3 ¯ ) = z ( 1 z ) [ x ( Dl Ds + B Δ S 2 Δ T 2 M 2 ) xyW            y ( Dl Ds Δ S 2 Δ T 2 + L + U 2 + F ) + Dl Ds + L Δ S 2 Δ T 2 + U 2 + F ]
d F ( z ) d z =   ( 1 2 z ) [ x ( Dl Ds   +   B Δ S 2 Δ T 2 M 2 ) xyW y ( Dl Ds Δ S 2 Δ T 2   +   U 2   +   F   +   L )            +   Dl Ds Δ S 2 Δ T 2   +   U 2   +   F   +   L ]
If the probability of central government choosing active strategy is stable, the following conditions should be satisfied: F(z) = 0 and dF ( z ) / dz < 0; when K(y) = x(Dl-Ds + B − ΔS2 − ΔT2 − M2) − xyW − y(Dl − Ds − ΔS2 − ΔT2 + L+U2 + F) + Dl − Ds − ΔS2 − ΔT2 + U2 + F+L, K(y) is a decreasing function with respect to y due to K(y)/ y > 0.
Thus, when y = x(Dl − Ds + B − ΔS2 − ΔT2 − M2) + Dl − Ds − ΔS2 − ΔT2 + U2 + F + L/xW + Dl − Ds − ΔS2 − ΔT2 + U2 + F+L = y*, K(y) = 0, then d F ( z ) / d z ≡ 0, the central government’s stable strategy is not confirmed; when y < y*, K(y) > 0, then dF(z)/dz|z = 1 < 0, z = 1 is the central government’s evolutionary stable strategy (ESS); otherwise, z = 0 is ESS.

2.3. Stability Analysis of Equilibrium Points in tripartite Evolutionary Game System

When F(x) = 0, F(y) = 0, F(z) = 0, the equilibrium points are obtained: E1(0,0,0), E2(1,0,0), E3(0,1,0), E4(0,0,1), E5(1,1,0), E6(1,0,1), E7(0,1,1), and E8(1,1,1). The game system’s Jacobian matrix is as follows:
J   = [ F ( x ) / x F ( x ) / y F ( x ) / z F ( y ) / x F ( y ) / y F ( y ) / z F ( z ) / x F ( z ) / y F ( z ) / z ]
F(x)/x = (1 − 2x)[z(M1 + U1) + y(M2 + U2) + Cl − Ch]
F(x)/y = x(1 − x)(M2 + U2)
F(x)/z = x(1 − x)(M1 + U1)
F(y)/x = y(1 − y)[z(W − F) − M1 − U1]
F(y)/y = (1 − 2y)[xz(W − F) − x(M1 + U1) + zF + Gl − Gs − ΔS1 − ΔT1 + U1]
F(y)/z = y(1 − y)x(W − F)
F(z)/x = z(1 − z)[y(F − W) + B − M2 − U2 − F − L]
F(z)/y = z(1 − z)[x(F − W) − F]
F(z)/z = (1 − 2z)[xy(F − W) + x(B − M2 − U2 − F − L) − yF + Dl − Ds − ΔS2 − ΔT2 + U2 + F + L]
Using Lyapunov’s first judgement method: if all eigenvalues of the Jacobian matrix have negative real parts, then the equilibrium point is asymptotically stable. If the eigenvalue of the Jacobian matrix has at least one positive real part, the equilibrium point is an unstable point. Except for the eigenvalues that contain zero real parts, other eigenvalues of the Jacobian matrix have negative real parts, so the equilibrium point is in a critical state and the stability cannot be determined by the sign of the eigenvalues [44]. Thus, the eigenvalues are obtained by the matrix and the stability analysis of evolutionary equilibrium points is shown in Table 2.
As shown in Table 2, both E2(1,0,0) and E5(1,1,0) are unstable points of the system, which indicated that the strategy combination (kindergarten choosing high-quality service, inactive behavior choices of local government and central government) cannot achieve an ESS, the same as the strategy combination (kindergarten choosing high-quality service, local government’s active behavior choice, and central government’s inactive behavior choice).
When conditions ① Gl − Gs − ΔS1 − ΔT1 + U1 < 0, Dl − Ds − ΔS2 − ΔT2 + U2 + F + L < 0 are met, E1(0,0,0) can be a stable equilibrium point of the system since Cl − Ch < 0 is certain. A stable strategy combination (kindergarten choosing low-quality service, not actively promoting behavior choices of local government and central government) evolves when: (1) the sum of the cost difference between strict and lax regulation by the local government and the increasing subsidy to puhui kindergarten is greater than the fines for a kindergarten’s low-quality service delivery and (2) the sum of the cost difference between strict and lax supervision by the central government and the increasing subsidy is also greater than the fine for the kindergarten and local government as well as the potential loss. In order to avoid the combination of the strategies, the local government and the central government should increase the penalty for low-quality service.
When conditions ② M2 + U2 + Cl − Ch < 0, Gs − Gl + ΔS1 + ΔT1 − U1 < 0, Dl − Ds − ΔS2 − ΔT2 + U2 + F < 0 are met, E3(0,1,0) can be a stable equilibrium point of the system. However, if the central government’s reward for high-quality service and penalty for low-quality service are greater than the cost difference between puhui kindergarten’s high-quality and low-quality service delivery, that is M2 + U2 > Ch − Cl, then E3(0,1,0) would be an unstable point.
When conditions ③ M1 + U1 + Cl − Ch < 0, Gl − Gs − ΔS1 − ΔT1 + U1 + F < 0, Ds − Dl + ΔS2 + ΔT2 − U2 − L − F < 0, E4(0,0,1) can be a stable equilibrium point of the system. However, if the local government’s reward for high-quality service and penalty for low-quality service are greater than the cost difference between Puhui kindergarten’s high-quality and low-quality service delivery, that is M2 + U2 > Ch − Cl, then E4(0,0,1) would be an unstable point.
When conditions ④ Ch − Cl − M1 − U1 < 0, Gl − Gs − ΔS1 − ΔT1 − M1 + W < 0, Ds − Dl + ΔS2 + ΔT2 + M2 − B < 0 are met, E6(1,0,1) can be a stable point of the system. However, if the central government’s reward for the local government’s active strategy is greater than the sum of the cost difference between the local government’s strict and lax regulation, the increasing subsidy and reward offered to puhui kindergarten, that is W > Gs − Gl + ΔS1 + ΔT1 + M1, then E6(1,0,1) would be an unstable point.
When conditions ⑤ M1 + U1 + M2 + U2 + Cl − Ch < 0, Gs − Gl + ΔS1 + ΔT1 − U1 − F < 0, Ds − Dl + ΔS2 + ΔT2 − U2 − L + F < 0 are met, E7(0,1,1) can be a stable point. However, based on the actual situation, the local government and central government’s reward for high-quality service and penalty for low-quality service are greater than the cost difference between puhui kindergarten’s high-quality and low-quality service delivery, that is M1 + U1 + M2 + U2 > Ch − Cl, so E7(0,1,1) should be an unstable point of the system.
When conditions ⑥ −(M1 + U1 + M2 + U2 + Cl − Ch) < 0, Gs − Gl + ΔS1 + ΔT1 + M1 − W < 0, Ds − Dl + ΔS2 + ΔT2 + W + M2 − B < 0 are met, E8(1,1,1) can be a stable equilibrium point of the system. The system gradually evolves into an ideal equilibrium state when: (1) the local government and central government’s reward for high-quality service and penalty for low-quality service are greater than the cost difference between Puhui kindergarten’s high-quality and low-quality service delivery, (2) the reward for local government’s active strategy is greater than the sum of the cost difference between strict and lax regulation, and (3) the increasing subsidy and reward offered to puhui kindergarten and the potential benefit directly brought by the central government’s active strategy are greater than the sum of the difference between strict and lax supervision costs and the increasing subsidies as well as the reward offered to the kindergarten and local government. Therefore, the central government and local governments benefit from actively promoting high-quality ECE and the penalty for low-quality service are adequate for providing the role of the reward-punishment mechanism; ultimately, the three parties of the system tend to achieve optimal ESS.

3. Simulation Analysis

According to the above analysis of the evolutionary game model, numerical simulation is employed through Matlab programming to explore the evolution of strategic interaction in the three-dimensional dynamic system. At first, the initial value of the variable group is set referring to the practical situation as follows: Ch = 60, Cl = 35, Ds = 20, Dl = 10, Gs = 25, Gl = 15, ΔS1 = 10, ΔT1 = 20, ΔS2 = 15, ΔT2 = 25, M1 = 25, U1 = 30, M2 = 35, U2= 25, W = 70, F = 75, B = 160, and L = 150. Based on the variable settings, the impact of the main variable changes on the evolution of three parties’ strategic interaction is analyzed.

3.1. Simulation Analysis of the Increasing Subsidies on the Participants’ Strategy Choices

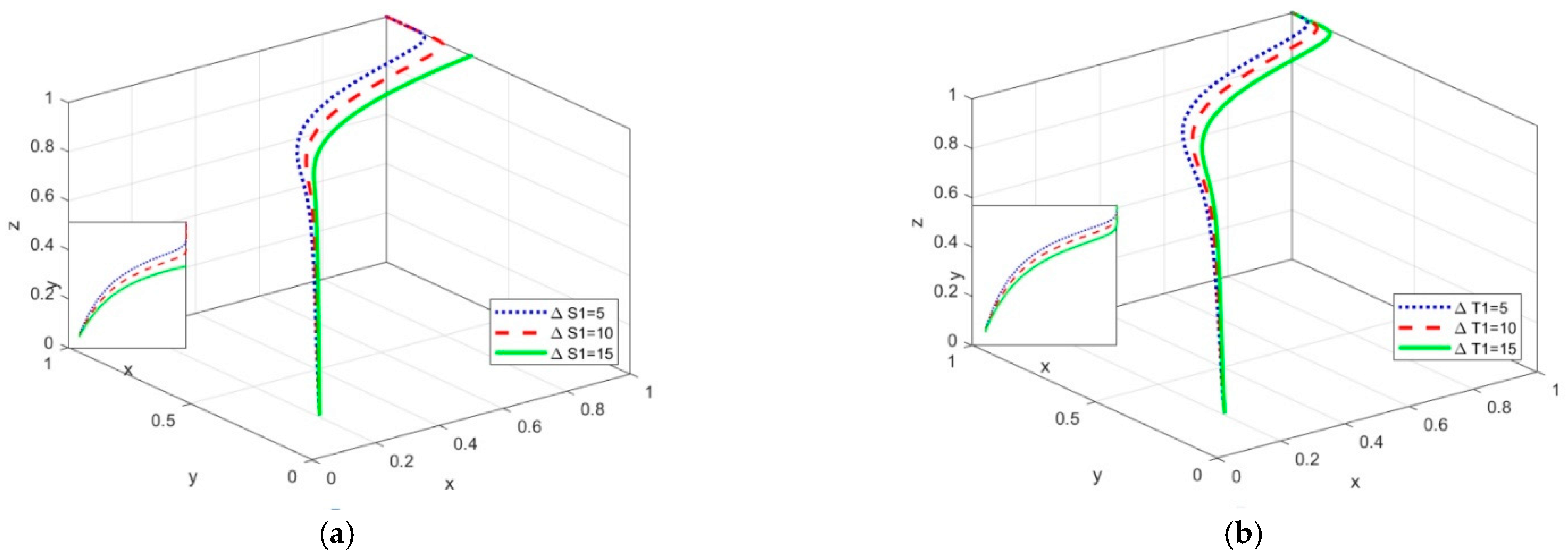
This section examines the effect of changes in the number of increasing subsidies on the participants’ strategy choices in the dynamic process of system evolution. As presented in Figure 1a,b, with the increasing subsidies, the ΔS1 and ΔT1 offered by local governments are greater in amount, the probability of puhui kindergarten choosing high-quality ECE service gradually rises, and the strategy eventually reaches evolutionary stability. However, the probability of local government’s actively promoting strategy initially declines then rises until the active strategy can be stable, when ΔS1 is less; on the contrary, it cannot. Additionally, Figure 1b shows the active strategy can be stable whether ΔT1 is less or more.
As presented in Figure 2a,b, with the increasing subsidies ΔS2 and ΔT2 offered by the central government greater in amount, the probability of puhui kindergarten choosing high-quality ECE service does not change. Nevertheless, the strategy can reach evolutionary stability; either are the local governments and central government’s active-promoting strategies. Ultimately, the system evolves into an ideal equilibrium state.

3.2. Simulation Analysis of the Reward for High-Quality Service and Penalties for Low-Quality Service on the Participants’ Strategy Choices

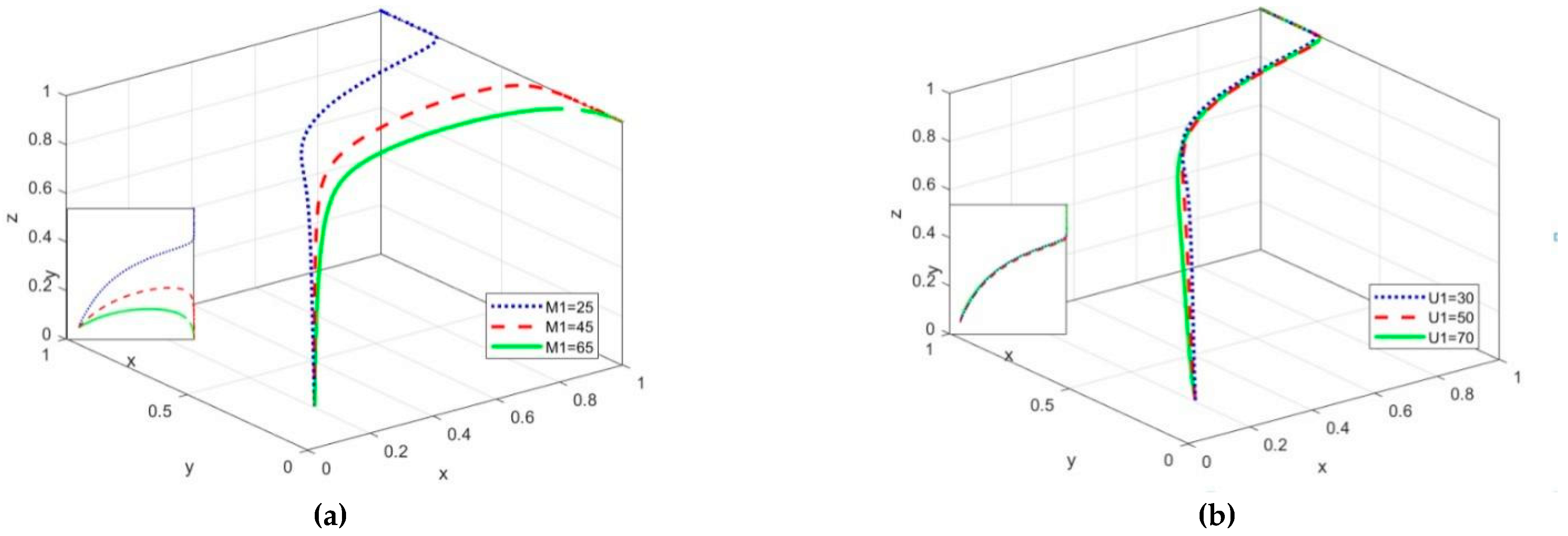
This section analyzes the effect of local governments and central government’s rewards for high-quality service and penalties for low-quality service on the participants’ strategy choices. Figure 3a shows that, as the local government’s reward M1 for high-quality service increases, the probability of puhui kindergarten choosing high-quality ECE service is higher; the strategy eventually reaches evolutionary stability. However, the probability of local government’s active strategy choice initially declines then rises up until the strategic choice can be stable when M1 is less. In contrast, this will evolve into inactive strategy when M1 is more.
As shown in Figure 3b, with the local government’s penalty U1 for low-quality service increasing, the probability of puhui kindergarten choosing high-quality ECE service barely changes. Nevertheless, the strategy can reach evolutionary stability, either are the local governments and central government’s active strategies.
Additionally, Figure 4a,b shows that, with the central government’s reward M2 for high-quality service and penalty U1 for low-quality service increasing, the probability of a puhui kindergarten choosing high-quality ECE service is higher; eventually, the system evolves into an ideal equilibrium state.

3.3. Simulation Analysis of the Reward for Local Government’s Active Strategy and Penalty for Inactive Strategy on the Participants’ Strategy Choices

This section examines the effect of the central government’s reward for the local governments actively promoting active behavior and penalties for inactive behavior on the participants’ strategy choices. As Figure 5 illustrated, with the central government’s reward W for the local governments actively promoting increasing, the probability of puhui kindergarten choosing high-quality ECE service declines and rises until the high-quality strategy can be stable. However, the probability of local government choosing active strategy rises and eventually the strategy reaches evolutionary stability when W is more; in contrast, this will evolve into inactive strategy when W is less.
As Figure 6 illustrated, when the central government’s penalty F for the local government’s inactive strategy increases, the probability of local government’s active strategy rises while the probability of puhui kindergarten choosing high-quality ECE service declines and rises. Eventually, the system evolves into an ideal equilibrium state.
In addition, the variable group meets the condition ⑥: −(M1 + U1 + M2 + U2 + Cl − Ch) < 0, Gs − Gl + ΔS1 + ΔT1 + M1-W < 0, Ds − Dl + ΔS2 + ΔT2 + W + M2 − B < 0, the variable group has evolved 50 times over time from different initial strategy combinations and Figure 7 shows that the strategy combination (1,1,1) can achieve an ideal ESS of the system.

4. Discussion

This paper uses evolutionary game theory to analyze the effect of the increasing subsidies, the reward and penalty on the decision-making behavior of puhui kindergartens in undeveloped rural areas, local governments, and central government. Additionally, the numerical simulation is used to verify the dynamic evolutionary process. The simulation results presented that the change in local governments’ increasing subsidies has a positive effect on improving the quality of rural ECE, but the changes of central governments’ subsidy incentives have little effect. This is in accordance with the policy of fund management that requires the local government in provincial level planning as a whole [45], so the local government has more direct management in subsidies. Additionally, the results confirm the policy suggestion to reinforce the role of overall planning and coordination at the provincial level [46].
Meanwhile, teachers’ professional abilities are the key factor affecting the process quality of ECE [47]. The results showed that local governments’ inputs in human resources can effectively improve the quality of rural ECE, which provide strong support for the research recommendations on the localization of rural teacher training [48].
Moreover, the rewards by local governments and central government can promote quality improvement of puhui kindergartens. However, local governments cannot change the kindergartens’ low-quality strategy using punishment measures while central government can. This can be reasonably explained by the central government’s greater authority in supervision and evaluation of ECE, as well as in the charge of final verification and audit of quality assessment results [49]. In reality, local governments are more likely to have rent-seeking behavior, corruption, dereliction of duty, and irresponsibility, which might cause ineffective punishment.
Under the reward-punishment mechanism, the central government’s reward incentive is great enough to urge local governments’ active support and strict regulation. Additionally, punishment measures by the central governments can alter local governments’ inactive strategies. With different variable interactions in the evolutionary system, each party chooses among alternative strategies whose payoff depends on the choices of others [43] and seeks optimization until no party can improve its payoff by following strategies other than ESS [50]. This evolves into an ideal equilibrium state in which there is win-win situation and mutual benefits are achieved. Ultimately, puhui kindergartens can improve the quality and local governments and the central government can actively promote quality and equity by strictly incorporating regulation and supervision into sustainable policy support for rural ECE. The simulation results confirm that the governments have a dominant role in promoting the quality and equity of ECE in China, which is consistent with the consensus of major countries and regions in the world [51].

5. Conclusions

This paper uses evolutionary game theory and numerical simulation to study the optimal strategy option process of the three parties via the reward-punishment mechanism. The study analyzes the complexity of the real situation through the dynamic evolutionary process and the results demonstrate that the governments’ subsidies and reward, regulation, and supervision have a substantive effect on the quality improvement of rural ECE. The central government have a dominant position in rewards and punishment for ECE providers and local governments, while local governments have a direct influence on the increasing subsidies for software and hardware construction in rural kindergartens. In general, the government should strengthen the regulation and supervision of ECE and formulate a more optimized and reasonable reward and punishment mechanism. Additionally, it is important to adjust and optimize the policies and measures to improve the efficiency of the educational funding system for equitable and sustainable development of high-quality ECE in disadvantaged rural areas.
This study has some limitations as follows. First, the governments’ corruption and seeking behavior could influence their strategy options. Additionally, the development of the regional economy has a direct and indirect impact on local governments’ fiscal budgets and the sustainability and stability of financial investment to ECE. Thus, these influencing factors, which were neglected here, could be considered into an analytical framework in future research. Secondly, evolutionary game theory emphasizes the dynamic evolution process of behavioral decisions and the numerical simulation is only used to verify the equilibrium solutions of a tripartite game, which limits the analytical precision in companion with the method of econometric models. In future work, the field experiment could be designed and conducted in some undeveloped rural areas of China. Through field investigation and econometric analysis, the real data would be collected and the simulation results would be checked.

Author Contributions

Conceptualization, Z.Z.; methodology, Z.Z. and A.F.; software, A.F.; validation, Z.Z. and A.F.; formal analysis, Z.Z.; investigation, Z.Z.; resources, Z.Z.; data curation, Z.Z. and A.F.; writing—original draft preparation, Z.Z.; writing, Z.Z.; review and editing, Z.Z. and A.F.; visualization, Z.Z. and A.F.; supervision, Z.Z. and A.F. All authors have read and agreed to the published version of the manuscript.

Funding

This research received no external funding.

Institutional Review Board Statement

Not applicable.

Informed Consent Statement

Not applicable.

Data Availability Statement

The data used to support the findings of this study are included within the article.

Conflicts of Interest

The authors declare no conflict of interest.

References

  1. UNESCO. The UN Sustainable Development Goal (SDG) 4.2. Available online: https://sdgs.un.org/goals/goal4 (accessed on 25 September 2015.).
  2. Soini, K.; Dessein, J. Culture-sustainability relation: Towards a conceptual framework. Sustainability 2016, 8, 167. [Google Scholar] [CrossRef]
  3. Vogt, M.; Weber, C. Current challenges to the concept of sustainability. Global Sustain. 2019, 2, E4. [Google Scholar] [CrossRef]
  4. Samuelsson, I.P. Why We Should Begin Early with ESD: The Role of Early Childhood Education. Int. J. Early Child. 2011, 43, 103–118. [Google Scholar] [CrossRef]
  5. Zhou, Y.; Jiang, Y.; Zheng, C.; Li, H. Is puhui kindergarten a panacea for the ‘3A’ problems of early childhood education in China? Evidence from a national validation study. Child. Youth Serv. Rev. 2020, 119, 105702. [Google Scholar] [CrossRef]
  6. Cambridge Dictionary. Available online: https://dictionary.cambridge.org/ (accessed on 1 January 2021).
  7. Ministry of Education of the People’s Republic of China Website. Available online: http://www.moe.gov.cn/srcsite/A06/s7053/202112/t20211216_587718.html (accessed on 9 December 2021).
  8. Xue, E.Y.; Li, J.; Li, X.C. Sustainable Development of Education in Rural Areas for Rural Revitalization in China: A Comprehensive Policy Circle Analysis. Sustainability 2021, 13, 13101. [Google Scholar] [CrossRef]
  9. Zhang, X.Y.; Lian, S.; Tian, Z.L. An Empirical Study on the Effects of the Government Financing on the Regional Development of Early Childhood Education. Res. Educ. Dev. 2012, 20, 6–11. [Google Scholar]
  10. Wang, H.Y. On the Unfair of Preschool Education. Stud. Presch. Educ. 2011, 8, 10–16. [Google Scholar]
  11. Ngok, K. Chinese education policy in the context of decentralization and marketization: Evolution and implications. Asia Pac. Educ. Rev. 2007, 8, 142–157. [Google Scholar] [CrossRef]
  12. Gazette of the State Council of the People’s Republic of China. Available online: http://app.ceweekly.cn/?app=article&controller=article&action=show&contentid=237909 (accessed on 15 December 1993).
  13. Gu, J.F. Spatial dynamics and determinants of county-level education expenditure in China. Asia Pac. Educ. Rev. 2012, 13, 617–634. [Google Scholar] [CrossRef]
  14. Tao, Y. Towards network governance: Educational reforms and governance changes in China (1985–2020). Asia Pac. Educ. Rev. 2021, 23, 375–388. [Google Scholar] [CrossRef]
  15. Xue, E.Y.; Li, J. Unpacking the Policies, Historical Stages, and Themes of the Education Equality for Educational Sustainable Development: Evidence from China. Sustainability 2022, 14, 10522. [Google Scholar]
  16. Xue, E.Y.; Li, J. Educational Equity Policy in China: Concept and Practice, 1st ed.; Springer: Berlin/Heidelberg, Germany, 2021. [Google Scholar]
  17. Ministry of Education of the People’s Republic of China Website. Available online: http://www.moe.gov.cn/fbh/live/2022/54405/mtbd/202204/t20220426_622063.html (accessed on 26 April 2022).
  18. State Council of the People’s Republic of China Website. Available online: http://www.gov.cn/xinwen/2022-05/14/content_5690394.htm (accessed on 14 May 2022).
  19. China’s Tibet Web. Available online: http://ttt.tibet.cn/cn/news/zx/202012/t20201227_6927267.html (accessed on 27 December 2020).
  20. Cassidy, D.J.; Hestenes, L.L.; Hansen, J.K.; Hegde, A.; Shim, J. Revisiting the two faces of quality: Structure and process. Early Educ. Dev. 2005, 16, 505–520. [Google Scholar] [CrossRef]
  21. Phillipsen, L.C.; Burchinal, M.R.; Howes, C.; Cryer, D. The prediction of process quality from structural features of child care. Early Child. Res. Q. 1997, 12, 281–303. [Google Scholar] [CrossRef]
  22. Phillips, D.; Mekos, D.; Scarr, S.; McCartney, K.; Abbott-Shim, M. Within and beyond the classroom door: Assessing quality in child care centers. Early Child. Res. Q. 2000, 15, 475–496. [Google Scholar] [CrossRef]
  23. Li, L.; Yang, L.J. Bottlenecks and Rescue: Basic Quality Assurance of Preschool Education in Poor Rural Areas in the Midwest of China. Acad. Explor. 2019, 5, 150–156. [Google Scholar]
  24. Barnett, W.S. Benefit-cost analysis of preschool education: Findings from a 25-year follow-up. Am. J. Orthopsychiatry 1993, 63, 500–508. [Google Scholar] [CrossRef]
  25. Yang, J.Q. The Dual Structure of “Fair and Quality Education” and the Shift of Policy Focus. Educational Research. J. Name 2018, 11, 42–49. [Google Scholar]
  26. Gong, X.; Li, Z.Y. Predicament and Breakthrough Strategy of Preschool Education Development in Poor Rural Areas—Based on Investigation of 41 Rural Kindergartens. Reform Adm. 2019, 6, 28–34. [Google Scholar]
  27. Li, J.J.; Hua, Z. Current Situation of Resource Allocation Efficiency of Preschool Education in China and Its Countermeasures. J. Sch. Stud. 2020, 17, 47–58. [Google Scholar]
  28. Qiu, Z.H.; Zhang, L.; Hu, X.N. Achievements, Problems and Countermeasures of Constructing Pubic Service System for Preschool Education in Rural Areas—Based on Investigation of N City in Central Region. Educ. Res. 2016, 6, 58–63. [Google Scholar]
  29. Cui, S.Q.; Yuan, L.S.; Tian, Z.L. On the Role of the Government in the Development of Preschool Education—Based on the analysis of economic theory and practical experience. Stud. Presch. Educ. 2011, 5, 3–8. [Google Scholar]
  30. Li, K.Q.; Zheng, Z. A County-level Evaluation Model of Preschool Resource Allocation. Stud. Early Child. Educ. 2014, 10, 23–29. [Google Scholar]
  31. Wang, J.; Xie, Y.C. The High-quality of Rural Preschool Education: Connotation, Logic and Long-term Mechanism. J. Northeast. Norm. Univ. 2022, 2, 29–37. [Google Scholar]
  32. Zhou, Y.; Yang, R.H. An Analysis of The System Factors of Influencing Preschool Education Equality and Balanced Development Between Urban and Rural Areas—Taking Guangdong province as a case study. Stud. Presch. Educ. 2010, 5, 12–19. [Google Scholar]
  33. Huang, J.; Xiong, C.C. Quality Preschool Education in China: Development Connotation and Realization Approach. Educ. Sci. 2021, 3, 33–47. [Google Scholar]
  34. Friedman, D. Evolutionary games in economics. Econometrica 1991, 59, 637–666. [Google Scholar] [CrossRef]
  35. Weibull, J.W. Evolutionary Game Theory; MIT Press: Cambridge, MA, USA, 1997. [Google Scholar]
  36. Xu, L.; Wang, J.X.; Li, X.P. The Multi-evolutionary Game Model of Inclusive Preschool Education from the Perspective of Government Procurement of Public Service. Oper. Res. Manag. Sci. 2018, 27, 85–93. [Google Scholar]
  37. Smith, J.M. Evolution and the Theory of Games: In situations characterized by conflict of interest, the best strategy to adopt depends on what others are doing. American Scientist 1976, 64, 41–45. [Google Scholar]
  38. Smith, J.M.; Price, G.R. The logic of animal conflict. Nature 1973, 246, 15–18. [Google Scholar] [CrossRef]
  39. Nash, J. Two-person cooperative games. Econometrica 1953, 21, 128–140. [Google Scholar] [CrossRef]
  40. McNamara, J.M.; Weissing, F.J. Evolutionary Game Theory; Springer: Berlin/Heidelberg, Germany, 2010. [Google Scholar]
  41. Tuyls, K.; Parsons, S. What evolutionary game theory tells us about multiagent learning. Artif. Intell. 2007, 7, 406–416. [Google Scholar] [CrossRef]
  42. Samuelson, L. Evolution and Game Theory. J. Econ. Perspect. 2002, 16, 47–66. [Google Scholar] [CrossRef]
  43. Parsapour-Moghaddam, P.; Abed-Elmdoust, A.; Kerachian, R. A Heuristic Evolutionary Game Theoretic Methodology for Conjunctive Use of Surface and Groundwater Resources. Water Resour. Manag. 2015, 29, 5–18. [Google Scholar] [CrossRef]
  44. Lyapunov, A.M. The general problem of the stability of motion. Int. J. Control. 1992, 55, 531–773. [Google Scholar] [CrossRef]
  45. Ministry of Education of the People’s Republic of China Website. Available online: http://www.moe.gov.cn/jyb_xwfb/s5147/202007/t20200716_473087.html (accessed on 15 July 2020).
  46. Song, L.Q. The Construction of Public Service System of Inclusive Pre-School Education: Dilemma and Breakthrough Path. Res. Mod. Basic Educ. 2021, 43, 101–106. [Google Scholar]
  47. Yao, W.L.; Xu, Z.C. A Study of the International Trend of the Construction of Preschool Education Quality Assurance System. J. Northeast. Norm. Univ. 2019, 2, 148–153. [Google Scholar]
  48. Peng, Z.P.; Huang, Y.L. The Localization Training of Rural Teachers from the Perspective of Rural Revitalization Strategy: Connotation, Value and Practice Path. Mod. Educ. Manag. 2021, 8, 65–70. [Google Scholar]
  49. State Council of the People’s Republic of China Website. Available online: http://www.gov.cn/xinwen/2020-03/02/content_5485800.htm (accessed on 2 March 2020).
  50. Friedman, D. On economic applications of evolutionary game theory. J. Evol. Econ. 1998, 8, 15–43. [Google Scholar] [CrossRef]
  51. Wang, Z.M.; Wei, J.D. Statistically Based Assessment and Decision-Making in Preschool Education. Math. Probl. Eng. 2022, 2022, 7447246. [Google Scholar] [CrossRef]
Figure 1. Impact of the increasing subsidy (a) puhui kindergartens’ human resources, (b) other hardware materials and capitals offered by the local government on the participants’ strategy choices.
Figure 1. Impact of the increasing subsidy (a) puhui kindergartens’ human resources, (b) other hardware materials and capitals offered by the local government on the participants’ strategy choices.
Sustainability 14 16438 g001
Figure 2. Impact of the increasing subsidies (a) puhui kindergartens’ human resources, (b) other hardware materials and capitals offered by the central government on the participants’ strategy choices.
Figure 2. Impact of the increasing subsidies (a) puhui kindergartens’ human resources, (b) other hardware materials and capitals offered by the central government on the participants’ strategy choices.
Sustainability 14 16438 g002
Figure 3. (a) Impact of the local government ‘s reward for high-quality service, (b) penalty for low-quality service on the participants’ strategy choices.
Figure 3. (a) Impact of the local government ‘s reward for high-quality service, (b) penalty for low-quality service on the participants’ strategy choices.
Sustainability 14 16438 g003
Figure 4. (a) Impact of the central government’s reward for high-quality service, (b) penalty for low-quality service on the participants’ strategy choices.
Figure 4. (a) Impact of the central government’s reward for high-quality service, (b) penalty for low-quality service on the participants’ strategy choices.
Sustainability 14 16438 g004
Figure 5. Impact of the central government’s reward for the local governments actively promoting the participants’ strategy choices.
Figure 5. Impact of the central government’s reward for the local governments actively promoting the participants’ strategy choices.
Sustainability 14 16438 g005
Figure 6. Impact of the central government’s penalty for the local governments’ inactive behaviors on the participants’ strategy choices.
Figure 6. Impact of the central government’s penalty for the local governments’ inactive behaviors on the participants’ strategy choices.
Sustainability 14 16438 g006
Figure 7. Result of variable group evolving 50 times.
Figure 7. Result of variable group evolving 50 times.
Sustainability 14 16438 g007
Table 1. Game payoff matrix.
Table 1. Game payoff matrix.
Local GovernmentCentral Government
Actively Promoting (z)Not Actively Promoting (1 − z)
Puhui kinder-gartenHigh-
quality
ECE
service
(x)
Actively promoting (y)R − Ch + △S1 + △T1 + △S2 + △T2 + M1 + M2;
V1 − Gs − △S1 − △T1 − M1 + W;
V2 + B − Ds − △S2 − △T2 − M2 − W
R − Ch + △S1 + △T1 + M1; −
V1 − Gs − △S1-△T1 − M1;
V2 − Dl
Not actively promoting (1 − y)R − Ch + △S2 + △T2 + M2;
V1 − Gl;
V2 + B − Ds △S2-△T2-M2
R − Ch;
V1 − Gl;
V2 − Dl
Low-
quality
ECE
serv
(1 − x)
Actively promoting (y)R-Cl + △S1 + △T1 + △S2 + △T2 − U1 − U2;
V1 − Gs − △S1 − △T1 + U1;
V2 − Ds − △S2 − △T2+ U2
R − Cl + △S1 + △T1 − U1;
V1 − Gs − △S1 − △T1+ U1;
V2 − Dl − L
Not actively promoting (1 − y)R − Cl + △S2 + △T2 − U2;
V1 − Gl − F;
V2 − Ds − △S2 − △T2+ U2 + F
R − Cl;
V1 − Gl;
V2 − Dl − L
Table 2. Stability analysis of equilibrium points.
Table 2. Stability analysis of equilibrium points.
Equilibrium PointEigenvalue λ1, λ2, λ3SighStabilityConditions
E1(0,0,0)Cl − Ch, Gl − Gs − ΔS1 − ΔT1 + U1,
Dl − Ds − ΔS2 − ΔT2 + U2 + F +L
−, ×, ×Conditional
E2(1,0,0)Ch − Cl, Gl − Gs − ΔS1 − ΔT1 − M1,
Dl − Ds − ΔS2 − ΔT2 − M2 + B
+, ×, ×Unstable
E3(0,1,0)M2 + U2 + Cl − Ch,
Gs − Gl + ΔS1 + ΔT1 − U1,
Dl − Ds − ΔS2 − ΔT2 + U2 + F
×, ×, ×Conditional
E4(0,0,1)M1 + U1 + Cl − Ch,
Gl − Gs − ΔS1-ΔT1 + U1 + F,
Ds − Dl + ΔS2 + ΔT2 − U2 − L − F
×, ×, ×Conditional
E5(1,1,0)Ch − Cl − M2 − U2,
Gs − Gl + ΔS1 + ΔT1 + M1,
Dl − Ds − ΔS2 − ΔT2 − M2 − W + B
×, +, ×Unstable
E6(1,0,1)Ch − Cl − M1 − U1,
Gl − Gs − ΔS1 − ΔT1 − M1 + W,
Ds − Dl + ΔS2 + ΔT2 + M2 − B
×, ×, ×Conditional
E7(0,1,1)M1 + U1 + M2 + U2 + Cl − Ch,
Gs − Gl + △S1 + △T1 − U1 − F,
Ds − Dl + △S2 + △T2 − U2 − L + F
×, ×, ×Conditional
E8(1,1,1)−(M1 + U1 + M2 + U2 + Cl − Ch),
Gs-Gl +ΔS1 + ΔT1 + M1 − W,
Ds − Dl +ΔS2 + ΔT2 + W + M2 − B
×, ×, ×Conditional
Note: × represents uncertainty. If the conditions are met, it can be a stable point; if not, it can be an unstable point.
Publisher’s Note: MDPI stays neutral with regard to jurisdictional claims in published maps and institutional affiliations.

Share and Cite

MDPI and ACS Style

Zhan, Z.; Fan, A. How to Promote Quality and Equity of Early Childhood Education for Sustainable Development in Undeveloped Rural Areas of China: An Evolutionary Game Study. Sustainability 2022, 14, 16438. https://doi.org/10.3390/su142416438

AMA Style

Zhan Z, Fan A. How to Promote Quality and Equity of Early Childhood Education for Sustainable Development in Undeveloped Rural Areas of China: An Evolutionary Game Study. Sustainability. 2022; 14(24):16438. https://doi.org/10.3390/su142416438

Chicago/Turabian Style

Zhan, Zhe, and Anjing Fan. 2022. "How to Promote Quality and Equity of Early Childhood Education for Sustainable Development in Undeveloped Rural Areas of China: An Evolutionary Game Study" Sustainability 14, no. 24: 16438. https://doi.org/10.3390/su142416438

APA Style

Zhan, Z., & Fan, A. (2022). How to Promote Quality and Equity of Early Childhood Education for Sustainable Development in Undeveloped Rural Areas of China: An Evolutionary Game Study. Sustainability, 14(24), 16438. https://doi.org/10.3390/su142416438

Note that from the first issue of 2016, this journal uses article numbers instead of page numbers. See further details here.

Article Metrics

Back to TopTop