Abstract
For improving the zero-voltage ride through the capability of a doubly fed induction generator in high proportion new energy grid in extreme faults, a coordinated control scheme of hardware and optimal control strategy is proposed. A high-temperature superconductive-fault current limiter suppresses stator fault current, adaptive virtual impedance control and active dynamic reactive power support control act on the back-to-back converter of wind turbines as optimal control strategies. Optimizing the control strategy without changing the controller structure is beneficial to engineering implementation. After mathematical derivation and simulation verification, the coordinated control strategy adopted in this paper can effectively avoid the rotor current and voltage exceeding the limit when the wind turbine is facing extreme faults, actively provide reactive power support for the busbar, realize zero voltage ride through and reduce the risk of high voltage failure at the point of failure. The control effect is obviously better than the traditional virtual impedance control.
1. Introduction
With the problem of the world energy crisis becoming more and more serious, wind energy, as a high-quality renewable energy, plays an extremely important role in the modern and future energy supply system [1]. Wind power generation technology has become one of the largest and fastest growing renewable energy sources in the world. In a high proportion of new energy grids, the doubly fed induction generator (DFIG) has become of the currently most widely used commercial wind turbines [2]. However, in the grid, due to the topology characteristics of the DFIG’s stator side directly connected to the power grid, the transient characteristics of DFIG during extreme faults are critical to the safe and stable operation of the power grid. Therefore, it is of great significance to improve the ability of wind turbines to cope with extreme faults, realize zero-voltage ride through (ZVRT) and facilitate the realization of projects and improve the resilience of the power grid.
At present, there is much research in the literature concerning the DFIG fault ride through, mainly on the optimization of control strategies and the design of a hardware protection circuit. In terms of control strategies, robust control performs well during voltage sags when the stator flux amplitude is assumed to be constant and the parameters are uncertain [3]. The demagnetization current control suppresses the direct current (DC) component of the DFIG stator magnetic flux to realize low-voltage ride through (LVRT) [4,5]. Model predictive control based on Q-learning is used to suppress rotor overcurrent during voltage sag [6]. Virtual impedance control (VIC) suppresses current over-limit by increasing the virtual damping of the rotor side [7,8,9]; however, the fixed virtual impedance value is difficult to adapt to the influence of uncertain disturbance, which easily causes an unsatisfactory control effect. Sliding mode control has a good application prospect for its strong robustness to system interference [10], while it increases the risk and difficulty of engineering applications due to the existence of the chattering phenomenon. In [11,12], the composite advanced control strategies were used to deal with the control problems under complex and variable working conditions, which provides a good solution for dealing with the more complex environment faced by the new energy source side in the future. Inductance-emulating control (IEC) can meet the fault condition of the 80% voltage sag to the greatest extent [13]. However, the capacity of the DFIG converter is limited, and it is difficult to guarantee the DFIG is not off grid under extreme faults when only the optimization of control strategy is used.
In the face of the deep voltage sag of DFIG, the fault ride-through scheme based on crowbar circuits and DC-chopper protection circuits are widely used in the rotor side. In [14,15], the scheme is realized. It ensures the smooth progress of fault ride-through by suppressing rotor overcurrent and maintaining bus voltage, and the cost is low, which is convenient for many engineering applications. However, the crowbar circuit is to isolate the rotor circuit from the back-to-back converter so that the generator is separated from the converter, which is not conducive to the recovery of the fault point voltage. Unreasonable resistance setting will lead to rotor overvoltage, which will adversely affect the transient process of fault ride-through in a double fed wind turbine under a weak grid. The combination of the stator damping resistance (SDR) and the former can reduce the value of the crowbar circuit resistance and the time to access the system [16,17], but the SDR needs to be monitored and controlled with the system for switching, which will increase the control delay of the system. A new type of saturated amorphous alloy core-based fault current limiter (SAAC-FCL) is used to suppress the large fault current caused by deep voltage sag [18], but the existence of the core increases the volume of the device and increases the difficulty of installation. The dynamic voltage restorer (DVR) [19] and static synchronous compensator (STATCOM) perform excellently during the fault ride-through of DFIG [20], while additional control systems and the high cost and maintenance costs are not conducive to reducing the operating costs of the wind farms.
With the aim of achieving the non-off-grid operation of DFIG under extreme faults, this paper proposes an HTS-FCL based on superconducting materials as a hardware protection. Compared with the traditional fault current limiter, the HTS-FCL has a shorter reaction time. Due to the physical characteristics of superconducting materials, it can achieve timely action when faults occur without additional control circuits. The control strategy is AVIC based on VIC and can automatically adjust the impedance value according to the different transients of wind turbines. The ADRPSC was used to reasonably control the reactive power support and avoid high-voltage faults caused by a reactive power surplus. Therefore, the control strategy runs stably, the response speed is fast and can complete the stable operation of the DFIG under extreme faults; as well, the actual project is easier to implement.
The contributions of this paper are as follows:
- Differing from [3,4,5,13], this paper makes a mathematical derivation of the transient operation process of DFIG during extreme faults and concludes that the transient deterioration of DFIG and the over-limit of rotor current are more serious under extreme faults.
- After analyzing the advantages and disadvantages of the traditional VIC [7,8,9], this paper optimizes the traditional VIC, and proposes the AVIC applied to the fault ride-through of DFIG under extreme fault. Furthermore, this paper no longer uses the traditional reactive power control strategy in [14,15], and proposes an ADRPSC strategy to ensure the reactive power support capability of DFIG during extreme faults.
- The crowbar protection circuit in [14,15] is no longer used in this paper, but the high temperature superconducting fault current limiter is used at the PCC. Compared with [16,17,18,19,20], the HTS-FCL used in this paper is more convenient to install and the controller is simpler.
- This paper proposes a ZVRT scheme in which the HTS-FCL works with the above optimized control strategy.
- The feasibility is verified by simulation, and the simulation results are analyzed. It is concluded that the scheme has the value of engineering practice.
2. Mathematical Model of DFIGs
Figure 1 shows the topology of the double fed wind farm (DFWF) discussed in the paper. The DFWF is composed of DFIGs. The HTS-FCL is connected in series to the export of the busbar of the wind farm, and the adaptive control systems are applied to the rotor side converters (RSC) and grid side converters (GSC) of each DFIG.
Figure 1.
Fundamental topology of the DFWF.
2.1. Basic Model of DFIG
This section takes a single 1.5 MW DFIG as the analysis object. According to the motor convention, the d-axis and q-axis stator and rotor voltage, magnetic link and torque can be derived from synchronous reference frame as follows [21]:
In Equations (1)–(4), Vsd, Vsq, Vrd and Vrq represent the d- and q-axis stator and rotor voltages sequentially; ψsd, ψsq, ψrd and ψrq illustrate the d- and q-axis stator and rotor magnetic link; Te denotes the electromagnetic torque of DFIG; pn indicates the number of polar pairs; Rs, Ls, Lr and Rr refer to the resistance and self-inductance of the stator and rotor of the DFIG, sequentially; Lσs and Lσr denote the leakage inductance of the stator and rotor; Lm represents the mutual inductance between the stator and rotor; isd and isq illustrate the d- and q-axis stator terminal current, while ird and irq represents the d-axis and q-axis rotor terminal current; ωs denotes the angular frequency of the grid.
According to Equations (1)–(3), the following equation can be derived (the derivation is detailed in Appendix A):
where: is the rotor induced electromotive force (IEMF) caused by the stator magnetic link, and is the voltage drop generated by the impedance of rotor terminal. According to Equation (5), the equivalent circuit diagram at the rotor side can be obtained as follows:
It can be seen from Figure 2 that the current at the rotor side is affected by the following factors:
Figure 2.
Equivalent circuit diagram at the rotor side.
- (a)
- r: the rotor’s IEMF.
- (b)
- σLr: the transient inductance value during the operation of wind turbines.
- (c)
- Rr: the resistance value of the rotor itself.
2.2. Analysis of DFIG during Symmetrical Zero-Voltage Fault
Since the value of Rs is rather small and can be ignored, the Equation (5) can be simplified as follows:
Here the s represents slip; VsN is the rated voltage of the stator terminal; ωs denotes the angular frequency of the grid.
It can be inferred from Equation (6) that the amplitude of under normal working conditions is determined by VsN (the rated voltage of the stator terminal), s (slip rate) and a = Lm/Ls. Since s ∈ [−0.3, 0.3], the amplitude of will not exceed 30% of the rated voltage of the stator [22].
According to [23] (the derivation is shown in Appendix B), (the induced electromotive force during fault, IEMFF) can be obtained as follows:
Since Rs (the resistance of the stator) ≈ 0, 1/τs ≈ 0. Additionally, considering ωr = (1 − s)ωs, Equation (7) can be further simplified as:
It can be seen from Equation (8) that is composed of two parts: the AC component and the induced DC component. Since the AC component is proportional to the slip, the amplitude of the steady-state IEMFF is small. The transient-state IEMF is inversely proportional to |1 − s|, and the amplitude may be much larger than the amplitude of the IEMF during the power frequency fault. Let p = 1, Equation (8) can be simplified as:
The approximate value of slip under rated operating conditions can be derived through quantitative analysis of the relationship between Te (electromagnetic torque) and s Verification of instantaneous pressure on DFIG under extreme faults by approximate value calculation and evidence for quantitative analysis. According to [24], the relationship between Te and s is represented as follows:
where: m is the number of phases; f is the grid frequency; Zs and Zm are the stator impedance and mutual inductance impedance, respectively.
According to the analysis of Equation (10) in [25], s is −0.012 under rated torque and when the condition satisfies Equation (10). When DFIG is exposed to a symmetrical fault at the grid side without any protection device or control algorithm, the relationship between the IEMFF and the IEMF under rated working condition in theory is as follows:
Here, γ is theoretically defined as the proportional coefficient between the IEMF during faults and the IEMF under rated working condition; sfault and snor represent the slip under fault condition and rated condition, respectively. If sfault = −0.3 at the moment of fault, the amplitude will be 1.3 VsN. As mentioned previously, snor = −0.012 when DFIG works under normal conditions. Under such circumstances, γ ≈ 108.33. This is a large transient value that will create a shock to the rotor converter and busbar of DFIG and even force the rotor out of control. Obviously, the traditional single control method alone is insufficient to eliminate the influence of faults, and therefore, a hybrid control strategy is necessary for the safe and stable operation of DFIGs.
3. Modeling and Analysis of the Joint Protection Strategy
3.1. Modeling of HTS-FCL
The superconductor coating on HTS-FCL has promising applications due to its outstanding physical characteristics. However, the superconductor is subject to temperature (T), current density (J) and magnetic field strength (H). For the purpose of maintaining the superconductivity, its working condition should be within the limits of TC, JC and HC at the same time. The superconducting region can be shown as Figure 3.
Figure 3.
The superconducting region and the critical values.
It can be clearly seen from Figure 3 that once the working environment of the superconductor exceeds the restriction, it will lose superconductivity. This is exactly how HTS-FCL takes effect. Specifically, when fault occurs, the temperature will rise significantly because of an abnormally large current. As a result, the superconductor will lose superconductivity and quench into pure resistance [26].
The large current during faults can lead to repaid change in temperature and current density. According to [27], the E-J power low is as follows:
Here, Ec represents the electric field corresponding to Jc, and the value of Ec is 1μV/cm; J denotes the current flowing through the HTS-FCL; n indicates the steepness of the quenching process. The larger n is, the less time it takes for the superconducting strip to quench. The superconducting strip adopted in this paper is YBa2Cu3O7-x (referred to as YBCO, which produced by Baili Electric Co., Ltd., Tianjin, China), the second-generation superconducting strip with n ranging from 20 to 40.
From Figure 4a, we can clearly see the composition structure of a resistive HTS fault current limiter; in addition to the superconductor coating with the second-generation tape YBCO, there are other metal layers as the stabilizing layer and the protective layer, respectively, to ensure its normal operation, and its working mechanism can be seen intuitively in Figure 4b. Under normal circumstances, the working state of the high-temperature superconducting fault current limiter can be equivalent to the opening of the switch K, because in the superconducting state, the theoretical value ofresistance is zero, and the resistance of the access line at this time is the equivalent resistance Rn of its stable layer and protective layer. During the fault, a large current will cause a sharp temperature rise, resulting in superconducting quench, then this state can be equivalent to when the switch K is closed, and the equivalent resistance at this time is RYBCO//Rn. At this time, it can limit the fault current and slow down the voltage drops.
Figure 4.
Schematic diagram of HTS fault current limiter for second-generation YBCO tape: (a) hierarchical structure of the HTS-FCL of the second-generation YBCO tape; (b) equivalent diagram of high temperature superconducting fault current limiter for second-generation YBCO strip.
The detailed model of the high-temperature superconducting coating was linearized to make the simulation easier. The time-varying model of the chosen superconducting strip is as follows [28]:
In Equation (13), Rs represents the resistance of the strip in the superconducting state; Rq−max represents the maximum value of the resistance after the superconductor quenches; tfault and tclear refers to the fault start time and fault clearing time, respectively; Tq and Tc represent the time constant for quenching and for the recovering of superconductivity, respectively (Tc is related to the cooler of the entire system).
3.2. Design of Control Strategy
For keeping the rotor current and voltage under control during zero-voltage faults, and to provide sufficient reactive power support for the fault point, a control strategy combining AVIC and ADRPSC is proposed in the paper.
This section focuses on the effectiveness of the virtual impedance control (VIC) strategy when applied to the rotor-side. According to Equations (1) and (2), the state equation of the rotor side current is as follows:
In Equation (14), p =d/dt, Lk1 = σLr, and Lk = Lm/σLsLr. The characteristic equation can be inferred as follows from Equation (14):
The following equation can be further derived from Equation (15):
where: ξ represents the damping coefficient, and ωn is the natural oscillation frequency. Since the resistance value of the stator winding is small, the stator side is underdamped. Therefore, when gird voltage dips suddenly, oscillation will occur at the rotor side. It can be seen from Equation (16) that increasing the resistance at the rotor side is equivalent to increasing the damping coefficient. Additionally, since σ = 1 − (Lm)2//LmLr and LK1 = σLr, increasing the equivalent inductance at the rotor side can increase the damping coefficient as well, thus improving the stability of the entire system. However, the rotor side voltage will go up with the rise of rotor-side damping, which will affect the response process of the DFIG during faults. As such, the value of the virtual impedance cannot be increased indefinitely, and it is essential to define a reasonable range for the virtual impedance.
3.2.1. Analysis of VIC Strategy
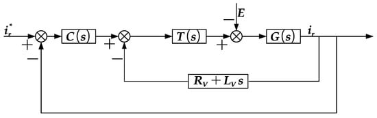
The virtual-impedance-based control block diagram of the inner current loop is presented in Figure 5.
Figure 5.
The virtual-impedance-based control block diagram of the inner current loop.
Here, Rv and Lv in Figure 5 represent virtual resistance and virtual inductance, respectively, and C(s) represents the transfer function of the current loop under PI regulator. When delay is ignored, T(s) can be regarded as Kt (the gain) because of high switching frequency. G(s) refers to the transfer function of the inner loop. E, which represents back IEMF, is introduced into the system as a disturbance. When the virtual impedance is absent from the control block diagram, the transfer function between the back IEMF and the rotor current can be deduced as follows:
In Equation (17), Kg = 1/[Rr + Rs(Lm)2/(Ls)2] and Tg = σLr/[(Rr + R(Lm)2/(Ls)2] where Kc represents the bandwidth of the inner current loop.
When virtual resistance is introduced into the system, Equation (17) will change as follows:
Similarly, when pure virtual inductance is added into the system, Equation (17) will change into:
The bode plots of Equations (17)–(19) are presented in the Figure 6 as follows:
Figure 6.
Bode plots of the system.
When the entire virtual impedance module is applied to the system, the transfer function will become:
The above analysis proves that introducing virtual impedance can effectively enhance the stability of the system. However, traditional virtual impedance control (VIC) does not perform well when the system is dynamic, so it is necessary to design a novel VIC strategy that can adapt to the change of the IEMFF.
3.2.2. Design of ADRPSC Strategy
The value of the virtual impedance during faults can be obtained by the following equation:
The following equation can be obtained by substituting Equation (21) into Equation (5):
Here, ZV-RSC = RV + jLV, so Equation (22) can be rewritten as:
The equivalent circuit diagram of Equation (23) is as follows:
The resistance on the rotor side is so small that it can be ignored. According to Equations (21)–(23) and Figure 7, Equation (5) can be written as follows:
Figure 7.
Equivalent circuit diagram of rotor side under AVIC strategy.
Though it does not exist in reality, the virtual impedance in the controller can suppress the IEMFF. Since ZV-RSC = RV + jLV, Equation (24) can be rewritten as follows:
Assuming that the virtual impedance can adapt well to the change of back IEMF and achieve excellent suppression effect, the following Equation can be obtained in combination with Figure 7:
It can be clearly seen from Equations (25) and (26) that with the VIC applied, the amplitude of rotor current and IEMFF will be effectively suppressed as the value of the impedance increases.
Theoretically, the larger the value of virtual impedance is, the better it is at suppressing the IEMFF. However, large impedance on the rotor side may endanger safe and stable operation of the entire wind turbine. Therefore, it is vital to define a reasonable range for the value of virtual impedance.
To protect the rotor side converter, the current passing through the rotor side cannot exceed the maximum allowable value during faults. The relation equation regarding the allowable current can be derived as follows from Equation (24):
Here, the amplitude of Ir−max, which represents maximum allowable current in Equation (27), is 2.0, and the symbol | | represents the vector module. According to the Equation (27), the minimum value of the virtual impedance can be deduced as follows:
Ψs−max in Equation (28) represents the maximum amplitude of the stator magnetic link during faults.
Similarly, the rotor voltage cannot exceed the maximum allowable value (Vr−max) during faults. The value of Vr−max can be regarded as the maximum output voltage allowed for safe operation of the rotor side and is determined by the voltage on the DC bus. To meet the above requirements, the value of ZV−RSC (the virtual impedance) needs to satisfy the following relation equation:
The relation equation regarding ZV−RSC−max can be derived from Equation (29) as follows:
According to Euler’s formula, , the dq components of in Equation (23) during faults can be further decoupled as follows (with the resistance of the rotor itself ignored):
Here, can be represented as A, and can be denoted as B. This way, Equation (31) can be further written as follows:
The d-axis and q-axis components of can be decomposed into real and imaginary parts by mathematical methods. Here, the values of resistance and inductance are dynamically adjusted according to the changes of the real and imaginary parts. This way, Equation (32) can be further simplified as follows:
The adaptive equation is further designed here; it can be seen from the above analysis that the virtual resistance is better at suppressing disturbance in the low frequency part, while the virtual inductance fares better in the high frequency part, especially in suppressing the DC component of the IEMFF. Therefore, the distinction between the real part and the imaginary part can be used to derive the value of the virtual resistance and virtual inductance, respectively. Figure 8 is a visual representation of how virtual impedance suppresses back IEMF, whereas E represents the disturbance of the IEMFF to the system.
Figure 8.
Equivalent diagrams of virtual impedance suppressing back IEMF.
Based on Figure 8 and Equations (25) and (33), the following adaptive equation is designed:
3.2.3. Design of ADRPSC Strategy
First, the maximum reactive power output of the rotor-side converter and grid-side converter is analyzed. Because of the special structure of DFIG, the reactive power output on the stator side is controlled and adjusted by the q-axis component of the rotor current. Therefore, the maximum reactive current on the stator side should be as follows:
Since this paper adopts a stator voltage-oriented control strategy, the relationship between active power and reactive power of DFIG is as follows:
By substituting Equations (35) and (36), the maximum reactive power output on the stator side can be derived as follows:
From the relationship between Equations (36) and (37), the following equation can be deduced:
The maximum reactive current support the grid-side converter can provide is still limited by the maximum current allowed for safe operation, so the relationship is as:
Since Pg = (−3/2)Vgigd = (−3/2)Vsigd (the relationship between output power and current), the maximum reactive current output of the grid-side converter can be obtained as follows:
All in all, the maximum reactive current support DFIG can provide during faults is as follows:
According to China’s wind turbine test code, the wind turbine should be able to provide dynamic capacitive reactive current support and the response time should be no more than 75ms when a three-phase symmetrical voltage sag occurs at the point of common coupling (PCC). Therefore, the dynamic reactive current support needed for the fault point is as follows [29]:
ITC in Equation (42) represents the effective value of the dynamic reactive current support; UT represents the normalized value of the DFIG terminal voltage, and In represents the rated current of the wind turbine. Based on the above analysis, it is obvious that optimizing the traditional reactive power support control strategy is necessary to meet the requirements.
The fact that the control bandwidth of the grid-side converter is significantly higher than that of the rotor-side converter further proves that the grid-side converter can respond faster in providing reactive power output to during PCC faults [30].
The rationale behind the proposed ADRPSC in the paper is as follows: during faults, the grid side will be the first to provide dynamic reactive power support. As the voltage further dips, the amount of reactive power support needed will increase. At this point, the rotor-side converter will come into effect to provide the reactive power support. This means both the grid-side and rotor-side converters are working to provide as much reactive power support as possible to raise the voltage. Equation (42) presents the dynamic reactive current support required according to different depths of voltage sag during faults. But in fact, during faults, the faster the converters can respond in providing support, the greater the reactive power output will be, and the faster the fault point voltage will recover. The dynamic equation of the reactive current support during faults is as follows:
Here, IQ-ref represents the reference current for the reactive power support; k1 and k2 represent the dynamic adjustment coefficient. The larger the two coefficients are, the faster the fault-point voltage can recover. However, to ensure the DFIG operates safely, the reactive power output provided cannot exceed the maximum allowable value. Here, k1 > k2, Vmin represents the minimum value the stator side voltage can fall to, and Vswitch represents the switchable voltage. When Vswitch = (Vmin + 0.9)/2, the reactive power support to the fault point will be within reasonable range and will not cause high-voltage faults. To allocate the reactive power effectively, it is necessary to update the value of the reference current in a real-time manner. Combining Equation (42), the flow chart for calculating the real-time value of the reference current can be obtained in the Figure 9 as follows:
Figure 9.
Flow chart for calculating the reference value of ADRPSC system.
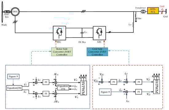
Figure 10 is at the core of this paper, which illustrates the schematic diagram of the collaborative control strategy for ZVRT during faults: the HTS-FCL (hardware protection scheme) is used to buffer DFIG against the impacts of deep voltage drops. The back-to-back converters during the FRT are controlled by AVIC and ADRPSC, which can improve the DFIG’s ZVRT and reactive power support capability during faults.
Figure 10.
Block diagram of the proposed control strategy.
4. Simulation and Discussion
In this paper, the model of a 6 × 1.5 MW DFIG is built on MATLAB/Simulink to verify the correctness and effectiveness of the theoretical analysis. The DFIG parameters are listed in Table 1.
Table 1.
Parameters of DFIG.
The fault conditions are set as follows: The fault occurs at the busbar of the DFIG as shown in Figure 1. It starts at the 4 s when the fault-point voltage drops to 0 instantly. The fault clears in 4.43 s, lasting 430 ms [31,32]. The simulation will compare the performance of the following 3 groups:
- Case A
- HTS-FCL with traditional control strategy.
- Case B
- HTS-FCL with VIC and traditional reactive power control collaborative control strategy.
- Case C
- HTS-FCL with AVIC and ADRPSC.
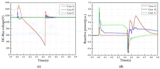
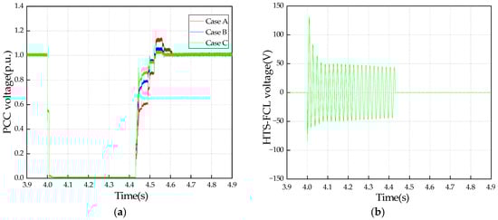
As Figure 11a shown in the diagram, due to the particularity of the topology structure of the grid-connected operation of the DFIG, when the extreme fault occurs, the grid voltage will quickly drop to zero, which will cause great adverse effects on the operation of the DFIG. When the value of current passing through HTS-FCL exceeds the preset threshold during the fault, the HTS-FCL will quench into resistance elements to cushion the impact of the voltage sag on the terminal voltage of the DFIG. Figure 11b shows the HTS-FCL voltage after the action.
Figure 11.
The performance of DFIG in 100% voltage drop fault: (a) PCC voltage; (b) HTS−FCL voltage.
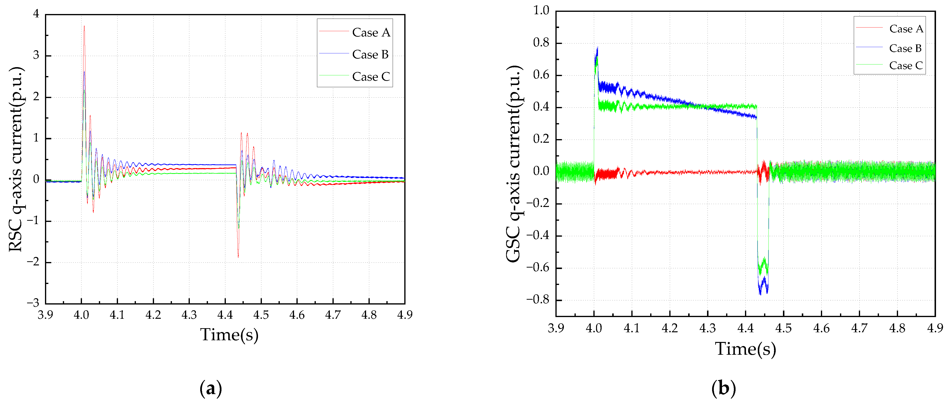
The optimized control scheme provides the preconditions to realize FRT by stopping the terminal voltage of the DFIG from further drops. The simulation results in Figure 11a shows that the recovery of fault-point voltage is faster and better in Case C than in both Case A and Case B.
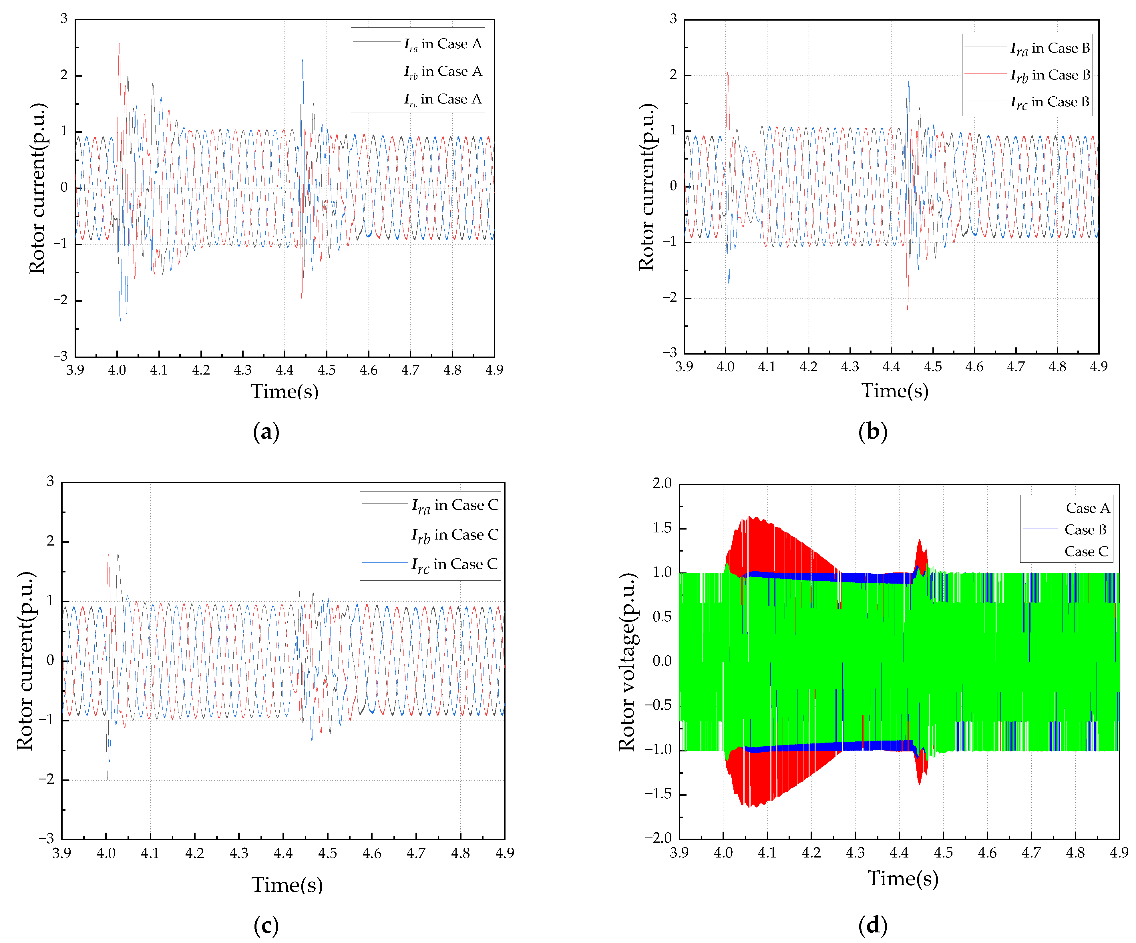
Figure 12 illustrates the rotor current and rotor voltage in Case A, Case B and Case C. In Figure 12a,c, during the fault occurrence stage, the effect of suppressing rotor current in Figure 12c using the joint control strategy of AVIC and ADRPSC is higher than that in Figure 12a,b; and in the continuous phase of the fault, since the AVIC can follow the transient process of the system well, the suppression of the rotor current is just right, and the control effect is obviously better than the traditional VIC. Figure 12b is better than Figure 12a using the traditional control strategy; in the recovery stage of the system after fault removal, since Figure 12a,b do not adopt the ADRPSC, therefore, causing the rotor current to rise sharply in the fault recovery stage, endangering the safe operation of the rotor. The control strategy proposed in the article in Figure 12c can easily avoid such events. Figure 12d can easily reflect the situation of the rotor voltage in the fault occurrence stage, the fault continuation stage and the system recovery stage after the fault is removed. Case C using the control strategy proposed in the article can easily avoid the over-limit behavior of the rotor voltage to protect the safety of the rotor.
Figure 12.
The performance of DFIG in 100% voltage drop fault: (a) Rotor current in Case A; (b) Rotor current in Case B; (c) Rotor current in Case C; (d) Rotor voltage.
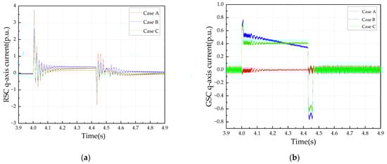
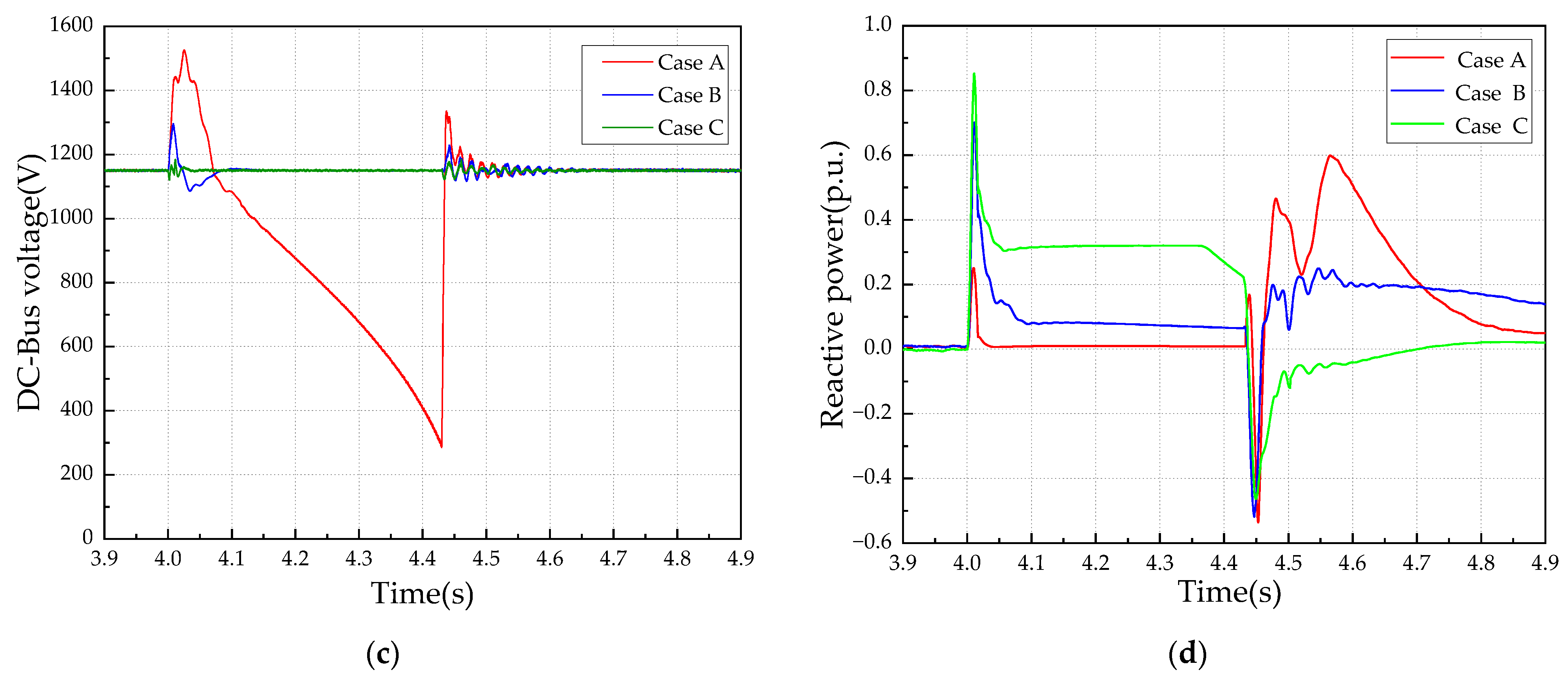
Figure 13 shows the rotor-side q-axis current, grid-side q-axis current, DC bus voltage and reactive power of the DFIG. In Figure 13a,b, the curve of Case C represents the simulation effect of the control strategy proposed in the article. Using the low delay characteristics of the reactive power support of the grid-side converter, the DFIG can send out reactivefast and timely. Because the grid-side converter begins to generate reactive power during the fault occurrence stage, which reduces the pressure on the reactive power support on the rotor side, the q-axis current of Case C on the rotor side will be smaller than the q-axis current of Case A and Case B, which can reduce the risk of the rotor current exceeding the limit. The fluctuation of the DC-Bus voltage curve of Case C in Figure 13c is much smaller than the DC-Bus voltage curve of Case A and better than the DC-Bus voltage curve of Case B in the whole fault ride-through stage, which proves that the control strategy proposed in this paper can effectively reduce the fluctuation of the DC bus and maintain the transient stability of the system during the fault ride-through period. Figure 13d more intuitively proves that the curve of Case C is significantly better than the curve of Case A and better than the curve of Case B in terms of the active reactive power support capability of the control strategy proposed in this paper, which proves the effectiveness of the control strategy proposed in this paper.

Figure 13.
The performance of DFIG in 100% voltage drop fault: (a) RSC q-axis current; (b) GSC q-axis current; (c) DC-Bus voltage.; (d) the reactive power of DFIG.
Overall, simulation results validate that despite HTS-FCL being applied to the system as hardware protection in all three cases, Case C using a collaborative control strategy composed of AVIC and ADRPSC fares better than the groups using traditional VIC with fixed-value virtual impedance in suppressing IEMFF, rotor over-current and over-voltage and DC bus voltage fluctuation, as well as continuously providing reactive power support.
Although this paper conducts simulation research from theory, the equipment state of DFIG tends to be ideal, but the zero-voltage ride-through scheme proposed in this paper has practical application value and prospects. Therefore, the field application will be further studied later.
5. Conclusions
In this paper, the transient operation state of DFIG when the grid voltage drops to zero due to extreme fault is studied based on the mathematical model of DFIG. This paper focuses on maintaining voltage at the export of wind turbines, suppressing stator and rotor fault over-current, and providing dynamic reactive power support. Based on the analysis, the paper proposes a collaborative control strategy that can improve ZVRT capabilities. According to analysis and simulation, the following conclusion can be drawn:
- (1)
- Since ZVRT is a special case of LVRT, extra hardware protection devices are necessary for DFIGs to achieve ZVRT, for example, the HTS-FCL adopted in the paper, or such a hardware device called a superconducting magnetic energy storage-fault current limiter (SMES-FCL) with composite functions.
- (2)
- AVIC can respond faster, more accurately and works better in suppressing FIMEF and fault current of rotor converter than a traditional VIC with fixed parameters. Additionally, the constraints included in the AVIC strategy can avoid over-voltage of the rotor converter.
- (3)
- To achieve ZVRT, DFIGs needs to provide as much reactive power support as possible to the fault point. AC can coordinate and control the reactive power output of both rotor-side and grid-side converters while traditional methods focus on rotor-side converter alone to control the reactive power output. In comparison, ADRPSC is better at improving reactive power support capabilities of wind turbines than the traditional method.
- (4)
- In this paper, improved control strategies and novel hardware protection circuits are studied. However, the topic on how to coordinate the strategy and protection circuit awaits further research.
Author Contributions
Conceptualization, Y.Y. and L.Z.; methodology, Y.Y.; software, Z.Y.; validation, J.H. and H.Y.; formal analysis, Y.Y.; writing—original draft preparation, Y.Y.; writing—review and editing, L.Z. and Y.Y.; funding acquisition, L.Z. All authors have read and agreed to the published version of the manuscript.
Funding
This research was financially supported by the Science and Technology Research Program of Chongqing Municipal Education Commission (KJQN202201103 &KJQN202001144).
Conflicts of Interest
The authors declare no conflict of interest.
Appendix A
According to Equations (A1)–(A3), the respective voltage and magnetic link on the stator side and rotor side can be obtained. Here, ωr = sωs, s represents the slip of DFIG, and s = (ωs − ωr)/ωs. The expression is as follows:
By using the Park model to convert the steady-state equations of DFIG to the rotor side, Equation (A1) can be expressed as follows:
In Equation (A2), the r in superscript represents the reference rotor system, and the r and s in subscript represent the rotor and stator of the DFIG, respectively.
According to Equations (A2) and (A3), the equivalent circuit diagram with the Park model as a reference is shown as follows. Here, Lσs and Lσr represent the leakage inductance of the stator and rotor, respectively.
Figure A1.
Equivalent circuit diagram of DFIG with the Park model.
According to Equation (A3), the magnetic link of the rotor is as follows
Here, σ = 1 − (Lm)2//LmLr.
Then, the following equation can be derived:
Appendix B
By returning to the stator reference frame to find the law of the change of the stator magnetic link, the expression of (the space vector of the stator voltage) can be first obtained as follows:
In Equation (A6), the s in superscript means the DFIG stator reference frame is applied. In this case, , , and indicate the voltage, resistance, current and the space vector of magnetic link at the stator terminal. According to the theory of symmetrical components in Reference [17], the stator voltage vector during grid faults can be divided into positive-sequence, negative-sequence and zero-sequence components. Since DFIG is connected to the grid via delta-wye (Δ − Υ) converters, there is no zero-sequence component at the stator terminal theoretically. Additionally, considering that this chapter focuses on the transient state of DFIG under severe symmetrical faults, the negative-sequence component can be ignored. Therefore, Equation (A6) can be expressed as follows with only the positive-sequence component considered:
Here, Vp represents the positive-sequence component. Since the stator resistance is so small that it can be ignored, the following equation can be derived according to Equations (A6) and (A7):
Here, the depth of voltage sag at PCC is represented as p. Then, the positive-sequence voltage component during faults can be rewritten as Vp = (1 – p)VsN. Since the magnetic link during faults is continuous, the transient voltage vector of the magnetic link during faults is denoted as Vpf = pVsN, in which the f in subscript represents a variable under the fault state. According to the previous inference, the relational expression of the vector of the stator magnetic link during the fault can be obtained as follows:
where and refer to the space vector of stator flux linkage under normal and fault conditions, respectively; τs is the flux attenuation constant on the stator side during faults and τs = Ls/Rs. Since and s = (ωs − ωr)/ωs, it can be deduced that ωr = (1 − s)ωs and .
According to Equations (A6) and (A10), the expression of IEMF can be obtained as follows:
References
- McKenna, R.; Pfenninger, S.; Heinrichs, H.; Schmidt, J.; Staffell, I.; Bauer, C.; Gruber, K.; Hahmann, A.N.; Jansen, M.; Klingler, M.; et al. High-resolution large-scale onshore wind energy assessments: A review of potential definitions, methodologies and future research needs. Renew. Energy 2022, 182, 659–684. [Google Scholar] [CrossRef]
- Din, Z.; Zhang, J.; Xu, Z.; Zhang, Y.; Milyani, A.H.; Cheema, K.M.; Nawaz, A.; Song, Y. Recent development and future trends of resonance in doubly fed induction generator system under weak grid. IET Renew. Power Gener. 2022, 16, 807–834. [Google Scholar] [CrossRef]
- Sid, A.E.M.A.; Mouloud, D.; Mohamed, A. A robust power control strategy to enhance LVRT capability of grid-connected DFIG-based wind energy systems. Wind Energy 2019, 6, 834–847. [Google Scholar]
- Senapati, M.K.; Pradhan, C.; Nayak, P.K.; Padmanaban, S.; Gjengedal, T. Modified demagnetisation control strategy for low-voltage ride-through enhancement in DFIG-based wind systems. IET Renew. Power Gener. 2020, 17, 3487–3499. [Google Scholar] [CrossRef]
- Gholizadeh, M.; Tohidi, S.; Oraee, A.; Oraee, H. Appropriate crowbar protection for improvement of brushless DFIG LVRT during asymmetrical voltage dips. Int. J. Electr. Power Energy Syst. 2018, 95, 1–10. [Google Scholar] [CrossRef]
- Song, Y.; Wang, Y.; Zeng, Q.; Zheng, Z.; Liao, J.; Liao, Y. A Q-learning based robust MPC method for DFIG to suppress the rotor overcurrent. Int. J. Electr. Power Energy Syst. 2022, 141, 108106. [Google Scholar] [CrossRef]
- Sun, P.; Yao, J.; Huang, S.; Luo, Y.; Fang, X. Dynamic Stability Analysis and Improved Control Strategy of DFIG System during LVRT. In Proceedings of the IEEE 5th Conference on Energy Internet and Energy System Integration (EI2), Taiyuan, China, 22–24 October 2021. [Google Scholar] [CrossRef]
- Wang, T.; Nian, H.; Zhu, Z. Hybrid virtual impedance-based control strategy for DFIG in hybrid wind farm to disperse negative sequence current during network unbalance. IET Renew. Power Gener. 2020, 14, 2268–2277. [Google Scholar] [CrossRef]
- Latif, S.; Savier, J. Natural Current Regulation in DFIG under severe Asymmetrical Fault using Virtual Impedance Enhanced Phase Shifted DVR. In Proceedings of the 2020 IEEE International Conference on Power Electronics, Smart Grid and Renewable Energy (PESGRE2020), Cochin, India, 2–4 January 2020. [Google Scholar] [CrossRef]
- Morshed, M.J.; Fekih, A. A new fault ride-through control for DFIG-based wind energy systems. Electr. Power Syst. 2017, 146, 258–269. [Google Scholar] [CrossRef]
- Liu, K.; Wang, R.; Wang, X.; Wang, X. Anti-saturation adaptive finite-time neural network based fault-tolerant tracking control for a quadrotor UAV with external disturbances. Aerosp. Sci. Technol. 2021, 115, 106790. [Google Scholar] [CrossRef]
- Liu, K.; Wang, Y.; Ji, H.; Wang, S. Adaptive saturated tracking control for spacecraft proximity operations via integral terminal sliding mode technique. Int. J. Robust Nonlinear Control 2021, 31, 9372–9396. [Google Scholar] [CrossRef]
- Zhu, D.; Zou, X.; Deng, L.; Huang, Q.; Zhou, S.; Kang, Y. Inductance-Emulating Control for DFIG-Based Wind Turbine to Ride-Through Grid Faults. IEEE Trans. Power Electron. 2017, 32, 8514–8525. [Google Scholar] [CrossRef]
- Qu, Y.; Gao, L.; Ma, G.; Song, H.; Wang, S. Crowbar resistance value-switching scheme conjoint analysis based on statistical sampling for LVRT of DFIG. J. Mod. Power Syst. Clean Energy 2019, 3, 558–567. [Google Scholar] [CrossRef]
- Saeed, M.A.; Hafiz, M.K.; Arslan, A.; Suhail, A.Q. Analyzing effectiveness of LVRT techniques for DFIG wind turbine system and implementation of hybrid combination with control schemes. Renew. Sustain. Energy Rev. 2018, 81, 2487–2501. [Google Scholar] [CrossRef]
- Pereira, R.; Pereira, A.J.C.; Ferreira, C.M.; Barbosa, F.P.M. Influence of Crowbar and Chopper Protection on DFIG during Low Voltage Ride Through. Energies 2018, 11, 885. [Google Scholar] [CrossRef]
- Qin, B.; Li, H.; Zhou, X.; Li, J.; Liu, W. Low-Voltage Ride-Through Techniques in DFIG-Based Wind Turbines: A Review. Appl. Sci. 2020, 10, 2154. [Google Scholar] [CrossRef]
- Islam, M.; Muttaqi, K.M.; Sutanto, D. A Novel Saturated Amorphous Alloy Core Based Fault Current Limiter for Improving the Low Voltage Ride Through Capability of Doubly-Fed Induction Generator Based Wind Turbines. IEEE Trans. Ind. Appl. 2021, 3, 2023–2034. [Google Scholar] [CrossRef]
- Bouaziz, F.; Abdelkafi, A.; Masmoudi, A.; Krichen, L. Improved LVRT/HVRT Capability of DFIG Wind Turbine Using DVR. In Proceedings of the 2022 5th International Conference on Advanced Systems and Emergent Technologies (IC_ASET), Hammamet, Tunisia, 22–25 March 2022. [Google Scholar] [CrossRef]
- Naeem, M.S.H.; Ananth, D.V.N.; Muhamad, N.B.H.; Chowdary, P.S.R.; Chakravarthy, V.V.S.S.S.; Sivashankar, K.; Satapathy, S.C. A Common Capacitor Based Three Level STATCOM and Design of DFIG Converter for a Zero-Voltage Fault Ride-Through Capability. IEEE Access 2021, 9, 105153–105179. [Google Scholar] [CrossRef]
- Akanto, J.M.; Hazari, M.R.; Mannan, M.A. LVRT and Stability Enhancement of Grid-Tied Wind Farm Using DFIG-Based Wind Turbine. Appl. Syst. Innov. 2021, 4, 33. [Google Scholar] [CrossRef]
- Oliveira, R.A.D.; Bollen, M.H.J. Magnification of Transients at the Voltage Dips Starting and its Impacts on DFIG-based Wind Power Plants. Electr. Power Syst. Res. 2022, 211, 108244. [Google Scholar] [CrossRef]
- Yunus, A.M.S.; Abu-Siada, A.; Masoum, M.A.S.; El-Naggar, M.F.; Jin, J.X. Enhancement of DFIG LVRT Capability During Extreme Short-Wind Gust Events Using SMES Technology. IEEE Access 2020, 8, 47264–47271. [Google Scholar] [CrossRef]
- Ye, H.Z. Wind Generator’s Montioring and Control; Machine Press: Beijing, China, 2018. [Google Scholar]
- Bianchi, F.D.; De Battista, H.; Mantz, R.J. Wind Turbine Control Systems Principles, Modelling and Gain Scheduling Design; Springer: Berlin, Germany, 2006. [Google Scholar]
- Nakajima, R.; Midorikawa, N. Topic extraction to provide an overview of research activities: The case of the high-temperature superconductor and simulation and modelling. J. Inf. Sci. 2020, 47, 590–608. [Google Scholar] [CrossRef]
- Zhang, H.; Chen, H.; Jiang, Z.; Yang, T.; Xin, Y.; Mueller, M.; Li, Q. A full-range formulation for dynamic loss of high-temperature superconductor coated conductors. Supercond. Sci. Technol. 2020, 33, 05LT01. [Google Scholar] [CrossRef]
- Moheb, A.M.; El-Hay, E.A.; El-Fergany, A.A. Comprehensive Review on Fault Ride-Through Requirements of Renewable Hybrid Microgrids. Energies 2022, 18, 6785. [Google Scholar] [CrossRef]
- Khan, S.H.; Mallik, S.K. R-SFCL and RRCOCS-TVC Based Cooperative Control for Enhancing LVRT Capability of DFIG System. Trends Sci. 2022, 19, 5823. [Google Scholar] [CrossRef]
- GB/T 36995—2018[S]; State Administration for Market Regulation, Standardization Administration. Wind Turbines—Test Procedure of Voltage Fault Ride through Capability. Standards Press of China: Beijing, China, 2019.
- Peng, X.; Chen, R.; Zhou, J.; Qin, S.; Bi, R.; Sun, H. Research on Mechanism and Damping Control Strategy of DFIG-Based Wind Farm Grid-Connected System SSR Based on the Complex Torque Method. Electronics 2021, 14, 1640. [Google Scholar] [CrossRef]
- Cai, E.; Liao, X.; Dong, L.; Li, Y.; Jiao, C. Analysis, simulation and testing of the ZVRT capability of a wind turbine with a doubly fed induction generator. IET Renew. Power Gener. 2020, 14, 2738–2749. [Google Scholar] [CrossRef]
Publisher’s Note: MDPI stays neutral with regard to jurisdictional claims in published maps and institutional affiliations. |
© 2022 by the authors. Licensee MDPI, Basel, Switzerland. This article is an open access article distributed under the terms and conditions of the Creative Commons Attribution (CC BY) license (https://creativecommons.org/licenses/by/4.0/).