Proprioceptive Neuromuscular Facilitation and Mirror Therapy Methods Are Comparable Methods of Rehabilitation after a First-Ever Ischemic Stroke: A Randomized Study
Abstract
1. Introduction
2. Materials and Methods
2.1. Participants and Design
2.2. Ethical Considerations
2.3. Randomization Procedure
2.4. Interventions
2.5. Measurements
2.6. Statistical Analysis
3. Results
4. Discussion
Study Limitations
5. Conclusions
Author Contributions
Funding
Institutional Review Board Statement
Informed Consent Statement
Data Availability Statement
Acknowledgments
Conflicts of Interest
References
- GBD 2019 Stroke Collaborators Global. Regional, and National Burden of Stroke and Its Risk Factors, 1990–2019: A Systematic Analysis for the Global Burden of Disease Study 2019. Lancet Neurol. 2021, 20, 795–820. [Google Scholar] [CrossRef]
- World Health Organization. Stroke, Cerebrovascular Accident; World Health Organization, Regional Office for the Eastern Mediterranean: Geneva, Switzerland, 2022. [Google Scholar]
- Członkowska, A.; Ryglewicz, D. Epidemiology of cerebral stroke in Poland. Neurol. Neurochir. Pol. 1999, 32, 99–103. [Google Scholar]
- Piechowski–Jóźwiak, B.; Truelsen, T.; Kwieciński, H. Prognosis of the Prevalence and Incidence of Stroke in Poland in the Years 2005–2025. Neurol. Neurochir. Pol. 2005, 39, 126. [Google Scholar]
- Yousufuddin, M.; Young, N. Aging and Ischemic Stroke. Aging 2019, 11, 2542–2544. [Google Scholar] [CrossRef]
- Laver, K.E.; Adey-Wakeling, Z.; Crotty, M.; Lannin, N.A.; George, S.; Sherrington, C. Telerehabilitation Services for Stroke. Cochrane Database Syst. Rev. 2020, 1, CD010255. [Google Scholar] [CrossRef]
- Kourosh-Arami, M.; Hosseini, N.; Komaki, A. Brain Is Modulated by Neuronal Plasticity during Postnatal Development. J. Physiol. Sci. 2021, 71, 34. [Google Scholar] [CrossRef]
- Citri, A.; Malenka, R.C. Synaptic Plasticity: Multiple Forms, Functions, and Mechanisms. Neuropsychopharmacol 2008, 33, 18–41. [Google Scholar] [CrossRef]
- Gauthier, L.V.; Taub, E.; Perkins, C.; Ortmann, M.; Mark, V.W.; Uswatte, G. Remodeling the Brain Plastic Structural Brain Changes Produced by Different Motor Therapies After Stroke. Stroke 2008, 39, 1520–1525. [Google Scholar] [CrossRef]
- VanGilder, J.L.; Hooyman, A.; Peterson, D.S.; Schaefer, S.Y. Post-Stroke Cognitive Impairments and Responsiveness to Motor Rehabilitation: A Review. Curr. Phys. Med. Rehabil. Rep. 2020, 8, 461–468. [Google Scholar] [CrossRef]
- Ramos-Lima, M.J.M.; Brasileiro, I.d.C.; de Lima, T.L.; Braga-Neto, P. Quality of Life after Stroke: Impact of Clinical and Sociodemographic Factors. Clinics (Sao Paulo) 2018, 73, e418. [Google Scholar] [CrossRef]
- Szczepańska-Gieracha, J.; Mazurek, J. The Role of Self-Efficacy in the Recovery Process of Stroke Survivors. Psychol. Res. Behav. Manag. 2020, 13, 897–906. [Google Scholar] [CrossRef]
- Deng, Z.; Chen, W.; Jin, J.; Zhao, J.; Xu, H. The Neuroprotection Effect of Oxygen Therapy: A Systematic Review and Meta-Analysis. Niger. J. Clin. Pract. 2018, 21, 401–416. [Google Scholar] [CrossRef]
- Saccaro, L.F.; Aimo, A.; Emdin, M.; Pico, F. Remote Ischemic Conditioning in Ischemic Stroke and Myocardial Infarction: Similarities and Differences. Front Neurol. 2021, 12, 716316. [Google Scholar] [CrossRef]
- Rodrigo, R.; Fernández-Gajardo, R.; Gutiérrez, R.; Matamala, J.M.; Carrasco, R.; Miranda-Merchak, A.; Feuerhake, W. Oxidative Stress and Pathophysiology of Ischemic Stroke: Novel Therapeutic Opportunities. CNS Neurol. Disord Drug. Targets 2013, 12, 698–714. [Google Scholar] [CrossRef]
- Zhang, P.; Ilagan, R.; Bai, Y.; Zhang, X.; Deng, Y.; Ding, Y. Editorial: Plasticity and Reconstruction of Neural Network in Brain Injury. Front Cell Neurosci. 2021, 15, 710499. [Google Scholar] [CrossRef]
- Rejdak, K.; Słowik, A. Patogeneza udaru niedokrwiennego mózgu—możliwości neuroprotekcji i stymulowania plastyczności mózgu. Pol. Neurol. Rev. 2018, 14, 230–239. [Google Scholar]
- Segura, C.; Eraso, M.; Bonilla, J.; Mendivil, C.O.; Santiago, G.; Useche, N.; Bernal-Pacheco, O.; Monsalve, G.; Sanchez, L.; Hernández, E.; et al. Effect of a High-Intensity Tandem Bicycle Exercise Program on Clinical Severity, Functional Magnetic Resonance Imaging, and Plasma Biomarkers in Parkinson’s Disease. Front Neurol. 2020, 11, 656. [Google Scholar] [CrossRef]
- Nguyen, P.T.; Chou, L.-W.; Hsieh, Y.-L. Proprioceptive Neuromuscular Facilitation-Based Physical Therapy on the Improvement of Balance and Gait in Patients with Chronic Stroke: A Systematic Review and Meta-Analysis. Life 2022, 12, 882. [Google Scholar] [CrossRef]
- Yang, Y.-R.; Chen, Y.-H.; Chang, H.-C.; Chan, R.-C.; Wei, S.-H.; Wang, R.-Y. Effects of Interactive Visual Feedback Training on Post-Stroke Pusher Syndrome: A Pilot Randomized Controlled Study. Clin. Rehabil. 2015, 29, 987–993. [Google Scholar] [CrossRef]
- Seo, K.; Park, S.H.; Park, K. The Effects of Stair Gait Training Using Proprioceptive Neuromuscular Facilitation on Stroke Patients’ Dynamic Balance Ability. J. Phys. Ther. Sci. 2015, 27, 1459–1462. [Google Scholar] [CrossRef]
- Radajewska, A.; Opara, J.; Biliński, G.; Kaczorowska, A.; Nawrat-Szołtysik, A.; Kucińska, A.; Lepsy, E. Effectiveness of Mirror Therapy for Subacute Stroke in Relation to Chosen Factors. Rehabil. Nurs. 2017, 42, 223–229. [Google Scholar] [CrossRef]
- Wang, J.-S.; Lee, S.-B.; Moon, S.-H. The Immediate Effect of PNF Pattern on Muscle Tone and Muscle Stiffness in Chronic Stroke Patient. J. Phys. Ther. Sci. 2016, 28, 967–970. [Google Scholar] [CrossRef]
- Hindle, K.B.; Whitcomb, T.J.; Briggs, W.O.; Hong, J. Proprioceptive Neuromuscular Facilitation (PNF): Its Mechanisms and Effects on Range of Motion and Muscular Function. J. Hum. Kinet. 2012, 31, 105–113. [Google Scholar] [CrossRef]
- Park, S.-J. The Immediate Effects of Proprioceptive Neuromuscular Facilitation with Taping on Gait Parameters in Patients with Chronic Stroke. J. Phys. Ther. Sci. 2017, 29, 2018–2021. [Google Scholar] [CrossRef][Green Version]
- Sharma, V.; Kaur, J. Effect of Core Strengthening with Pelvic Proprioceptive Neuromuscular Facilitation on Trunk, Balance, Gait, and Function in Chronic Stroke. J. Exerc. Rehabil. 2017, 13, 200–205. [Google Scholar] [CrossRef]
- Gandhi, D.B.; Sterba, A.; Khatter, H.; Pandian, J.D. Mirror Therapy in Stroke Rehabilitation: Current Perspectives. Ther. Clin. Risk Manag. 2020, 16, 75–85. [Google Scholar] [CrossRef]
- Thieme, H.; Morkisch, N.; Mehrholz, J.; Pohl, M.; Behrens, J.; Borgetto, B.; Dohle, C. Mirror Therapy for Improving Motor Function after Stroke. Cochrane Database Syst. Rev. 2018, 7, CD008449. [Google Scholar] [CrossRef]
- Jaafar, N.; Che Daud, A.Z.; Ahmad Roslan, N.F.; Mansor, W. Mirror Therapy Rehabilitation in Stroke: A Scoping Review of Upper Limb Recovery and Brain Activities. Rehabil. Res. Pract. 2021, 2021, 9487319. [Google Scholar] [CrossRef]
- Quinn, T.J.; Langhorne, P.; Stott, D.J. Barthel Index for Stroke Trials: Development, Properties, and Application. Stroke 2011, 42, 1146–1151. [Google Scholar] [CrossRef]
- Lee, Y.-C.; Yu, W.-H.; Hsueh, I.-P.; Chen, S.-S.; Hsieh, C.-L. Test-Retest Reliability and Responsiveness of the Barthel Index-Based Supplementary Scales in Patients with Stroke. Eur. J. Phys. Rehabil. Med. 2017, 53, 710–718. [Google Scholar] [CrossRef]
- Banks, J.L.; Marotta, C.A. Outcomes Validity and Reliability of the Modified Rankin Scale: Implications for Stroke Clinical Trials: A Literature Review and Synthesis. Stroke 2007, 38, 1091–1096. [Google Scholar] [CrossRef]
- de Havenon, A.; Tirschwell, D.L.; Heitsch, L.; Cramer, S.C.; Braun, R.; Cole, J.; Reddy, V.; Majersik, J.J.; Lindgren, A.; Worrall, B.B. Variability of the Modified Rankin Scale Score Between Day 90 and 1 Year After Ischemic Stroke. Neurol. Clin. Pract. 2021, 11, e239–e244. [Google Scholar] [CrossRef]
- Abbruzzese, G.; Trompetto, C.; Mori, L.; Pelosin, E. Proprioceptive Rehabilitation of Upper Limb Dysfunction in Movement Disorders: A Clinical Perspective. Front Hum. Neurosci. 2014, 8, 961. [Google Scholar] [CrossRef][Green Version]
- Chen, J.-C.; Shaw, F.-Z. Progress in Sensorimotor Rehabilitative Physical Therapy Programs for Stroke Patients. World J. Clin. Cases 2014, 2, 316–326. [Google Scholar] [CrossRef]
- Rynkiewicz, M.; Rogulska, U.; Czernicki, J. Evaluation of Changes in Functional Capacity of People in the Early Period after Stroke. Med. J. Rzeszow Univ. Nat. Med. Inst. Warsaw 2011, 2, 325–339. [Google Scholar]
- Starosta, M.; Niwald, M.; Miller, E. The effectiveness of comprehensive rehabilitation after a first episode of ischemic stroke. Pol. Merkur. Lekarski. 2015, 38, 254–257. [Google Scholar]
- Przysada, G.; Guzik, A.; Wolan-Nieroda, A.; Walicka-Cupryś, K.; Drużbicki, M. Wybrane Metody w Ocenie Efektów Rehabilitacji u Pacjentów Po Udarze Mózgu Leczonych w Oddziale Rehabilitacji Chosen Assessment Methods of Physiotherapy Effects in Patients after Cerebral Stroke Treated at a Rehabilitation Ward. Med. J. Rzeszow Univ. Nat. Med. Inst. Warsaw 2015, 13, 212–222. [Google Scholar] [CrossRef]
- Wolny, T.; Saulicz, E.; Gnat, R. Efficacy of the PNF Method in Rehabilitation for Activities of Daily Living in Late Post-Stroke Patients. Pol. J. Physiother. 2009, 9, 51–60. [Google Scholar]
- Towfighi, A.; Ovbiagele, B.; El Husseini, N.; Hackett, M.L.; Jorge, R.E.; Kissela, B.M.; Mitchell, P.H.; Skolarus, L.E.; Whooley, M.A.; Williams, L.S.; et al. Poststroke Depression: A Scientific Statement for Healthcare Professionals From the American Heart Association/American Stroke Association. Stroke 2017, 48, e30–e43. [Google Scholar] [CrossRef]
- Mosiejczuk, H.; Dębowska, H.; Ptak, M.; Tomska, N.; Mikołajczyk, A.; Rotter, I. The Impact of Proprioceptive Neuromuscular Facilitation (PNF) Methods to Improve the Functionality of Patients after Ischemic Stroke Neurology Ward. Med. Health Sci. Rev. 2016, 2, 72–80. [Google Scholar]
- Kaniewski, O.; Suszyński, K.; Górka, D.; Kania, D.; Szefler, J.; Dudek, J.; Doroniewicz, I.; Opala, G.; Kwiek, S.J. Effect of PNF-therapy on recovery in patients after ischemic stroke located in left hemisphere in acute rehabilitation. Ann. Acad Med. Siles 2014, 68, 294–301. [Google Scholar]
- Olak, K.; Kłoda, M.; Szlufik, S.; Smolis-Bąk, E. Evaluation of Health Restoring Progress in Ischemic Stroke Patients within Acute and Subacute Period Applied with PNF Therapy Components. Adv. Rehabil. 2015, 4, 19–25. [Google Scholar]
- Jankowska, A.; Hadław-Klimaszewska, O.; Krukowska, S.; Klimkiewicz, P.; Limkiewicz, R.K.; Kubsik-Gidlewska, A.; Janczewska, K.; Widłak, P.; Laskowska, J.; Szlaska, N.; et al. An assessment of the effectiveness of comprehensive neurorehabilitation in patients after ischemic stroke. Wiad. Lek. 2018, 71, 1701–1706. [Google Scholar] [PubMed]

| Variable | MT (n = 24) | PNF (n = 26) | p-Value | ||||||||||||
|---|---|---|---|---|---|---|---|---|---|---|---|---|---|---|---|
| Me | Min | Max | Q1 | Q3 | SD | Me | Min | Max | Q1 | Q3 | SD | ||||
| Age [years] | 65.5 | 68.1 | 48.1 | 82.0 | 59.7 | 72.3 | 9.4 | 66.9 | 65.5 | 53.2 | 82.0 | 60.2 | 75.3 | 8.7 | 0.590 a |
| Body height [cm] | 169.0 | 171.0 | 150.0 | 180.0 | 163.5 | 175.5 | 8.0 | 166.8 | 168.0 | 150.0 | 186.0 | 161.0 | 172.0 | 9.3 | 0.371 a |
| Body mass [kg] | 74.1 | 73.5 | 46.0 | 108.0 | 57.5 | 88.0 | 17.6 | 73.4 | 73.5 | 50.0 | 92.0 | 67.0 | 82.0 | 11.0 | 0.853 a |
| BMI [kg/m2] | 25.9 | 26.0 | 16.3 | 35.4 | 21.6 | 29.0 | 5.2 | 26.3 | 26.2 | 20.5 | 31.2 | 23.7 | 29.7 | 3.2 | 0.669 a |
| Stroke onset (days) | 23.6 | 22.5 | 19.0 | 29.0 | 22.0 | 25.0 | 2.55 | 24.1 | 24.0 | 18.0 | 30.0 | 22.0 | 25.0 | 2.97 | 0.636 a |
| NIHSS score (pts.) | 17.0 | 17.0 | 16.0 | 19.0 | 16.0 | 18.0 | 1.04 | 17.2 | 17.0 | 16.0 | 19.0 | 16.0 | 18.0 | 1.12 | 0.546 a |
| Sex | F–n = 8; 33.3% M–n = 16; 66.7% | F–n = 8; 30.8% M–n = 18; 69.2% | 0.846 b | ||||||||||||
| Tabaco smoke | No–n = 15; 62.5% Yes–n = 9; 37.5% | No–n = 16; 61.5% Yes–n = 10; 38.5% | 0.944 b | ||||||||||||
| Diabetes mellitus | No–n = 16; 66.7% Yes–n = 8; 33.3% | No–n = 16; 61.5% Yes–n = 10; 38.5% | 0.706 b | ||||||||||||
| Hypertension | No–n = 5; 20.8% Yes–n = 19; 79.2% | No–n = 7; 26.9% Yes–n = 19; 73.1% | 0.614 b | ||||||||||||
| Hypolipidemic drugs (Atorvasterol) | 40 mg–n = 22; 91.7% 60 mg–n = 2; 8.3% | 40 mg–n = 24; 92.3% 60 mg–n = 2; 7.7% | 0.933 a | ||||||||||||
| Anticoagulant drugs (Clexane) | 40 mg/0.4 mL–n = 22; 91.7% 60 mg/0.6 mL–n = 2; 8.3% | 40 mg/0.4 mL–n = 24; 92.3% 60 mg/0.6 mL–n = 2; 7.7% | 0.933 a | ||||||||||||
| Variable | M | MT (n = 24) | PNF (n = 26) | ||||||||||||
|---|---|---|---|---|---|---|---|---|---|---|---|---|---|---|---|
| Me | Min | Max | Q1 | Q3 | SD | Me | Min | Max | Q1 | Q3 | SD | ||||
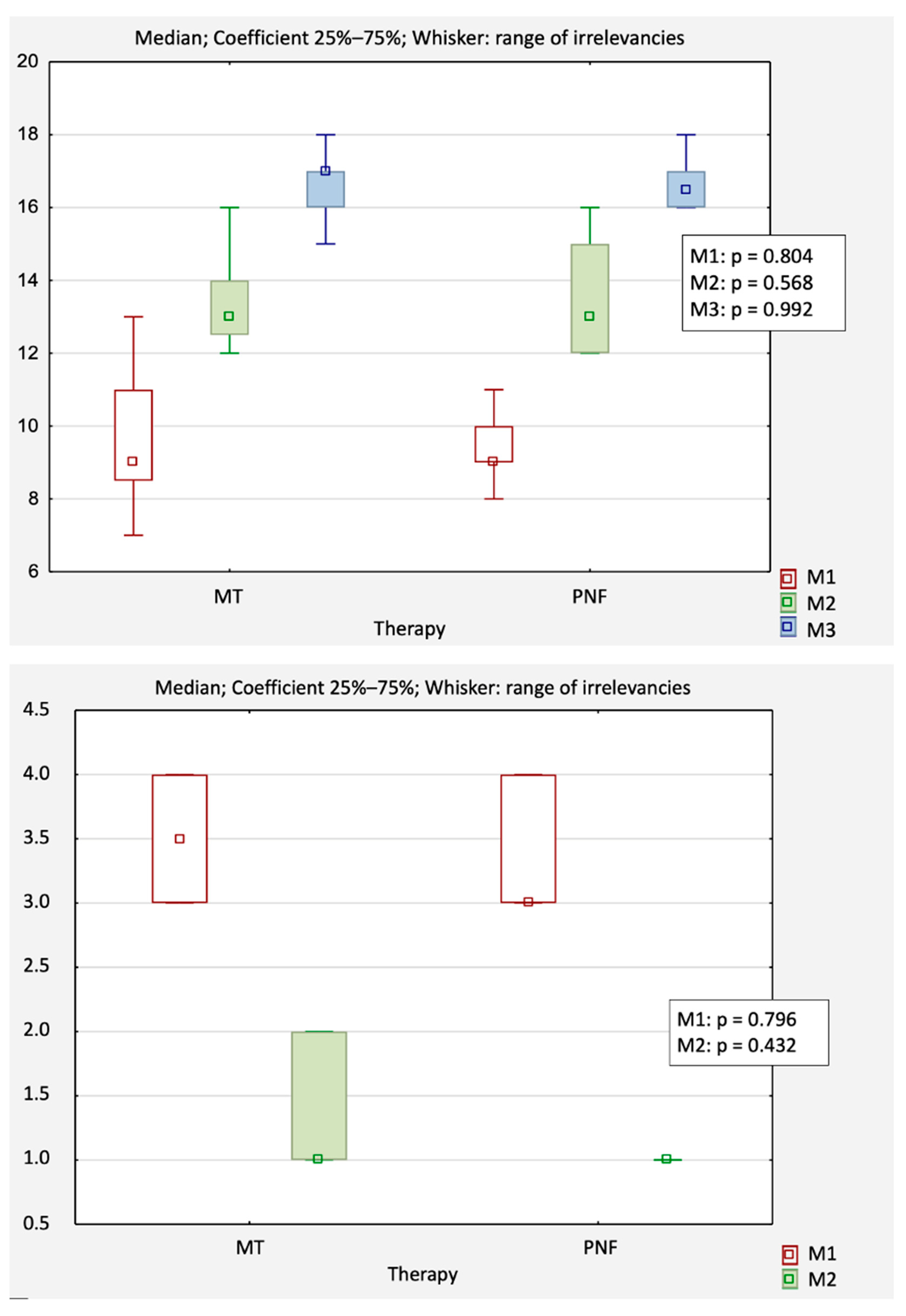
| BI | M1 | 9.7 | 9.0 | 7.0 | 13.0 | 8.5 | 11.0 | 1.6 | 9.5 | 9.0 | 7.0 | 13.0 | 9.0 | 10.0 | 1.6 |
| M2 | 13.3 | 13.0 | 12.0 | 16.0 | 12.5 | 14.0 | 1.2 | 13.6 | 13.0 | 12.0 | 16.0 | 12.0 | 15.0 | 1.4 | |
| M3 | 16.6 | 17.0 | 15.0 | 18.0 | 16.0 | 17.0 | 1.0 | 16.7 | 16.5 | 14.0 | 19.0 | 16.0 | 17.0 | 1.3 | |
| p-value (main effect) a | <0.001 | <0.001 | |||||||||||||
| p-value (multiple comparisons) b | M1 vs. M2: p < 0.001 M1 vs. M3: p < 0.001 M2 vs. M3: p < 0.001 | M1 vs. M2: p < 0.001 M1 vs. M3: p < 0.001 M2 vs. M3: p < 0.001 | |||||||||||||
| Variable | M | MT (n = 24) | PNF (n = 26) | ||||||||||||
|---|---|---|---|---|---|---|---|---|---|---|---|---|---|---|---|
| Me | Min | Max | Q1 | Q3 | SD | Me | Min | Max | Q1 | Q3 | SD | ||||
| mRS | M1 | 3.5 | 3.5 | 3.0 | 4.0 | 3.0 | 4.0 | 0.5 | 3.5 | 3.0 | 3.0 | 4.0 | 3.0 | 4.0 | 0.5 |
| M2 | 1.3 | 1.0 | 1.0 | 2.0 | 1.0 | 2.0 | 0.5 | 1.2 | 1.0 | 1.0 | 2.0 | 1.0 | 1.0 | 0.4 | |
| p-value (main effect) a | <0.001 | <0.001 | |||||||||||||
Publisher’s Note: MDPI stays neutral with regard to jurisdictional claims in published maps and institutional affiliations. |
© 2022 by the authors. Licensee MDPI, Basel, Switzerland. This article is an open access article distributed under the terms and conditions of the Creative Commons Attribution (CC BY) license (https://creativecommons.org/licenses/by/4.0/).
Share and Cite
Borowicz, W.; Ptaszkowski, K.; Murawska-Ciałowicz, E.; Rosińczuk, J. Proprioceptive Neuromuscular Facilitation and Mirror Therapy Methods Are Comparable Methods of Rehabilitation after a First-Ever Ischemic Stroke: A Randomized Study. Sustainability 2022, 14, 15246. https://doi.org/10.3390/su142215246
Borowicz W, Ptaszkowski K, Murawska-Ciałowicz E, Rosińczuk J. Proprioceptive Neuromuscular Facilitation and Mirror Therapy Methods Are Comparable Methods of Rehabilitation after a First-Ever Ischemic Stroke: A Randomized Study. Sustainability. 2022; 14(22):15246. https://doi.org/10.3390/su142215246
Chicago/Turabian StyleBorowicz, Wojciech, Kuba Ptaszkowski, Eugenia Murawska-Ciałowicz, and Joanna Rosińczuk. 2022. "Proprioceptive Neuromuscular Facilitation and Mirror Therapy Methods Are Comparable Methods of Rehabilitation after a First-Ever Ischemic Stroke: A Randomized Study" Sustainability 14, no. 22: 15246. https://doi.org/10.3390/su142215246
APA StyleBorowicz, W., Ptaszkowski, K., Murawska-Ciałowicz, E., & Rosińczuk, J. (2022). Proprioceptive Neuromuscular Facilitation and Mirror Therapy Methods Are Comparable Methods of Rehabilitation after a First-Ever Ischemic Stroke: A Randomized Study. Sustainability, 14(22), 15246. https://doi.org/10.3390/su142215246

