Next Article in Journal
Experimental Study on Permeability Evolution of Deep Coal Considering Temperature
Next Article in Special Issue
An Introduction to Human Resources for Development and Innovation, Science Transformation into Industry Infrastructure by China’s New Universities: A Case Study of Green Materials
Previous Article in Journal
Non-Destructive Measurement of Quality Parameters of Apple Fruit by Using Visible/Near-Infrared Spectroscopy and Multivariate Regression Analysis
 
 
Font Type:
Arial Georgia Verdana
Font Size:
Aa Aa Aa
Line Spacing:
Column Width:
Background:
Article

A Multicriteria Decision Framework for Solar Power Plant Location Selection Problem with Pythagorean Fuzzy Data: A Case Study on Green Energy in Turkey

Department of Industrial Engineering, Istanbul Aydin University, Istanbul 34295, Turkey
Sustainability 2022, 14(22), 14921; https://doi.org/10.3390/su142214921
Submission received: 26 September 2022 / Revised: 2 November 2022 / Accepted: 4 November 2022 / Published: 11 November 2022

Abstract

Turkey is one of the most suitable countries for solar power plants, owing to its ideal location in terms of receiving solar radiation; accordingly, plans are in place to expand its solar power plant system to fulfill the increasing energy demand. In this study, a combination of multicriteria decision-making and fuzzy logic was used to evaluate potential locations (cities in southern Turkey) to install new solar power plants subject to different criteria of an uncertain nature. The proposed methodology has several attractive features, which are described throughout this study. The criteria were selected based on the literature and the opinions of experts. In addition, a new criterion (capacity of existing solar power plants) was added to achieve more precise results. Ten criteria and eighteen cities were selected to form the decision matrix for the problem. First, the weight of each criterion was computed by stepwise weight assessment ratio analysis (SWARA). Then, the TOPSIS approach was extended to the Pythagorean fuzzy form in ranking the locations of the decision matrix as a new solution procedure. The results show that the best candidate city to install a new solar power plant is Antalya, followed by Karaman and Malatya as the second and third best candidates, respectively. Finally, to measure the impact of the changes in the weight of the criteria, a sensitivity analysis was conducted. Multiple scenarios were considered, and the results indicated that Antalya was the best alternative in most of the scenarios.

1. Introduction

Renewable energy is considered the best option among conventional fuel resources, especially given the current energy crisis. With the need to meet the needs associated with unavoidable population growth, energy consumption continues to increase [1]. Energy-related problems are no longer restricted to the domestic scale, i.e., restricted to specific countries, but have become globalized. According to the International Energy Agency (IEA), in 2019, more than 80% of the energy used in the world was provided by fossil-based resources, such as coal (27.1%), oil (32%), and natural gas (22.2%) [2]. Currently, as a result of the worldwide energy crisis, the identification of alternative energy resources is an important concern.
Sustainable (renewable) energy resources represent the best alternative, as they generate energy that produces no greenhouse gas emissions causing air pollution [3]. Multiple alternative renewable energy resources are available, such as solar, wind, geothermal, biomass, and hydropower sources. The importance of renewable energy systems is undeniable and is expected to continue in the medium and long term [4]. Solar energy is among the most well-known renewable energy sources. In 2018, solar photovoltage power constituted approximately 40% of the total installed renewable energy power globally [4].
Finding the best location for a solar power plant to obtain the optimal performance is a major challenge. Location selection is one of the initial applications of decision theory and operation research [5], and selecting the optimal location for a plant among potential sites is a challenging task, with several potential resource planning applications [6]. The most prevalent methodology used in recent studies for the selection of solar power plant locations is multicriteria decision making (MCDM). Many MCDM methods are available for site selection, such as the analytical hierarchy process (AHP), the technique for order performance by similarity to ideal solution (TOPSIS), preference ranking organization method for enrichment of evaluations (PROMETHEE), élimination et choix traduisant la realité (ELECTRE), and viekriterijumsko kompromisno rangiranje (VIKOR). MDCM methods have been applied in many studies to select the best alternative, whereas in other studies, a combination of two or more methods has been used for the same purpose. For instance, Akcay and Atak (2018) applied a hybrid AHP-TOPSIS method to find an optimal site for a solar power plant in Turkey [7]. In a research paper with the aim of locating an optimal site for a solar power plant in the central Anatolian region of Turkey, AHP, ELECTRE, TOPSIS, and VIKOR methods were used to compare five cities [8]. In a similar study conducted in India, researchers utilized a combination of AHP and TOPSIS to find the best location for a solar power plant [9]. In a case study conducted in Spain, researchers employed the TOPSIS-ELECTRE TRI method in order to find the optimal location for PV solar farms [10]. In a similar case study conducted in China, researchers applied MCDM to the location selection of solar–wind hybrid power stations [11]. A research study performed in a rural district of Germany involved the use of a GIS-based AHP approach to find the best location for a wind farm [12]. Another study conducted by Sozen et al. involved the use of data envelopment analysis and the TOPSIS method to evaluate 30 cities in multiple regions of Turkey in order to find the best city for the location of solar power plants [13]. Because solar energy is the most abundant source of sustainable energy, various MCDM methodologies have been used to find the best location for solar power plants. Several studies involving the application of the MCDM method for power plant site selection are presented in Table 1.
In several studies, a combination of MCDM and other supplementary methods was used to find the best alternatives [23]. For instance, a combination of geographic information systems (GIS) and the MCDM method was used to evaluate suitable locations for solar thermoelectric power plants in a study conducted in Switzerland, [24]. The GIS-AHP approach is a popular method that has been used by many scholars for location selection. For example, in a case study in Turkey, researchers determined the best suitable area for a solar power plant by combining the AHP with a GIS tool in the Ayranci region in Karaman, Turkey [25]. In a similar study that was performed in Saudi Arabia, the GIS-AHP approach was used to find the solar power plant site [16]. Some of those studies that applied MCDM methods did not consider the uncertainty of parameters. Fuzzy logic is a supplementary method which can be aggregated with MCDM methods to overcome this uncertainty. Fuzzy logic is one of the soft computing techniques adopted in energy modeling to incisively map the energy system, and it has been used extensively in recent years in site assessment [26]. For instance, Lee et al. used an integrated decision-making model (fuzzy AHP and data envelopment analysis) to find the location for a PV solar plant [27]. In one of the recent studies which was performed in the Isfahan Province of Iran, researchers used multicriteria evaluation based on AHP, GIS, fuzzy logic, and weighted the linear combination approach to determine optimal locations for a wind–solar farm site [28]. Similarly, AHP and GIS were used to determine a suitable site selection for wind–solar energy plants in four counties of Iğdır city in Turkey [29]. In a study carried out in Oman by Gharabi and Gastli, GIS-based special fuzzy multicriteria was utilized to assess the land suitability for a solar farm [26]. The fuzzy measure concept can also be used to evaluate the importance of certain criteria. In a study performed by Wu et al., fuzzy measure was used to weigh the importance degree of criteria and the MCDM method with Linguistic Choquet Integral was applied to rank the alternative sites [30]. Similarly, Gunderson et al. have presented an adopted graphical method based on fuzzy logic to determine a potential site for a solar power plant [31]. Moreover, the combination of fuzzy logic and MCDM could be employed to determine the degree of importance of certain criteria. In a novel study by Deveci et al., logarithmic additive estimation of weight coefficient (LAAW) under the fuzzy environment was proposed to compute the weight of each criterion for solar power plant site selection [32].
Furthermore, fuzzy logic can be applied to identify candidate solar power plant sites based on particular data (special data, probabilistic data, simulation data, or index data) from reliability models [26]. For instance, in a case study performed in the Markazi province of Iran, a GIS-based Boolean-fuzzy logic model was used to select the best location for a solar power plant [33]. In general, intuitionistic fuzzy set (IFS) and Pythagorean fuzzy set (PFS) are the most commonly used types of fuzzy sets. They can be used as an effective tool for describing MCDM problems under uncertainty (see Section 2). Thus, PFSs are used in this research for the case study of the decision-making problem.
Although Turkey is one of the most suitable countries due to its ideal location in terms of receiving solar radiation, the installed solar power plants in Turkey constitute less than 50% of its actual capacity. Additionally, Turkey is planning to expand its solar power plants system to fulfill increasing energy demand. Consequently, this study aims to find the best location/s (cities) for a new solar power plant in the south of Turkey.
The remaining parts of this paper were organized into six sections. Section 2 describes the Pythagorean fuzzy sets and membership grades while Section 3 represents the motivation for this study, selection criteria, and potential alternative locations in Turkey. The solution methodology is discussed in Section 4. Section 5 presents the sensitivity analysis considering various scenarios. The paper ends with Section 6 which presents some concluding remarks.

2. Basic Concepts Pythagorean Fuzzy Sets and Membership Grades

Fuzzy logic has vast applications in different areas [34]. Bellman and Zadeh introduced the theory of fuzzy set in the MCDM problem [35]. They presented only the membership degree as an alternative with respect to the criterion. Later, Atanassov introduced the concept of intuitionistic fuzzy set (IFS), which is characterized by both membership and non-membership degrees for which the sum of them is less than or equal to 1 [36]. Recently, Yager introduced the basic concept of Pythagorean fuzzy sets (PFS) and membership grades [37,38]. The advantage of proposing PFSs is that in real-life decision-making, the sum of the membership degree and non-membership degree might be bigger than 1 but their sum of the square is less than or equal to 1. In other words, the space of the Pythagorean membership degree is greater than the space of the intuitionistic membership degree. It is possible to conclude that each intuitionistic fuzzy number (IFN) is also a Pythagorean fuzzy number (PFN), but not all PFNs are IFNs. This result can be seen in Figure 1, and in this figure, intuitionistic membership grades are the points under the line a + b = 1 and the Pythagorean membership grades are the points under the line a2 + b2 = 1.
The following PFS is discussed in detail. Yager indicated that if a and b are Pythagorean fuzzy numbers (a, b), they must satisfy the following conditions:
a, b ∈ [0, 1], and a2 + b2 ≤ 1. Here, a = Pm(y), the degree of support for membership of y in P and b = Pn(y), the degree of support for non-membership of y in P. A Pythagorean membership grade is a point of the circle of radius r, which a2 + b2 = r2, a = r cos(θ), b = r sin(θ). R and θ must satisfy the conditions that r ∈ [0, 1], and θ ∈ [0, π/2], and d = π 2 θ π . Here, r is the strength of commitment and d is the direction of commitment for the point (a, b). Additionally, for any Pythagorean fuzzy set P and y, τ P ( y ) = 1 a P 2 ( y ) b P 2 ( y ) is called the degree of indeterminacy of y to P.
Yager referred to a fuzzy subset having this Pythagorean membership grade as a Pythagorean fuzzy set, and the following are the general operation on Pythagorean fuzzy sets [37].
Assume that A1 and A2 are two fuzzy subsets of S:
A1 = (a1, b1), and a 1 2 + b 1 2 = r 1 2 ≤ 1,
A2 = (a2, b2), and a 2 2 + b 2 2 = r 2 2 ≤ 1,
A = (a, b), and a2 + b2 = r2 ≤ 1.
Then, the basic operation on them can be described as follows [39]:
A1A2 = (Min(a1, a2), Max(b1, b2)).
A1A2 = (Max(a1, a2), Min(b1, b2)).
A1 ⊕ A2 = ( a 1 2 + a 2 2 a 1 2 . a 2 2   , b 1 ·   b 2 ).
A1 ⊗ A2 = (   a 1 · a 2 ,   b 1 2 + b 2 2 b 1 2 · b 2 2   ).
α A = ( 1 ( 1 a 2 ) α ,   b α ), α > 0.
A α = ( a α ,   1 ( 1 b 2 ) α ), α > 0.
Additionally, it is possible to see that there exists a natural quasi-ordering (≾) on the Pythagorean fuzzy numbers as follows:
A1A2 if and only if a1a2 and b1b2.
Let s(A) be the score function of A, and s(A) = a2b2 and s(A) ∈ [−1, 1]. Then
If s(A1) < s(A2), then A1A2
If s(A1) > s(A2), then A1A2
If s(A1) = s(A2), then A1A2
For example, consider two Pythagorean fuzzy numbers A1 = ( 3 2 , 1 2 ) and A2 = ( 2 2 , 1 2 ), then
s(A1) = (   3 2   ) 2     (   1 2   ) 2 = 1 2 , s(A2) = (   2 2   ) 2     (   1 2   ) 2 = 1 4 .
Apparently, s(A1) > s(A2), thus A1A2.
In the next section, the MCDM problem under the Pythagorean fuzzy environment will be introduced.

3. Solar Powerplant Locations Selection Problem in Turkey

The total installed electricity capacity of Turkey in 2016 was 78,498 MW, which reached 88,569 MW in 2018 [40]. That shows a 12.8 % increase in the amount of electricity capacity, and the main reasons for such a high increase in electricity demand are economic growth and the high growth rate of the population [40]. The total electricity demand in Turkey in 2018 was 304,200 GWh, of which 69% came from the electricity generation belonging to fossil fuel-based power stations [41]. Renewable energy resources such as solar energy can be a good alternative to fossil fuels.
Turkey is considered a great candidate for renewable energy resources due to its geographical location. Turkey is located between 35 and 40° N and 34 to 36° E on the meridian, which implies that it receives a good amount of solar radiation, especially during the summer, and compared to other developed countries, Turkey receives sufficent average sunshine time. According to the Turkish ministry of energy, the average sunshine duration is 2766.2 h/y, and the energy potential that can be produced from the sun is approximately 380 billion kWh [42]. Table 2 shows Turkey’s monthly average solar potential. This makes Turkey a great alternative for using solar energy if the optimal location is selected properly.
Turkey’s region with the greatest potential to benefit from solar energy is the southern region. As can be seen in Figure 2, the southern part of Turkey receives enough solar radiation, which helps to determine and choose the best alternatives. Choosing the optimal location will make the solar power plant work with high efficiency, which will provide both economic and environmental benefits.
Based on the report published in 2020, the electricity generated by solar energy at the end of 2016 was 1043 GWh. At the end of 2018, it was increased to 7799.8 GWh which indicated a high potential to generate electricity from solar energy in Turkey. Although Turkey has a higher annual average daily solar radiation when compared to Germany and the proximal regions, the currently installed power plants in Turkey represent only 40% of the number in Germany [41]. Consequently, Turkey is expected to increase the number of solar power plants (PV capacity) in the coming years. As Turkey needs to expand solar power plants for electricity generation, this study tries to identify the solar energy potential in southern cities of Turkey. Therefore, Turkey should find a way to use its solar energy potential effectively. A study by Özcan and Ersoz in 2019 demonstrated solar energy performance in three cities (Ankara, Istanbul, and Izmir) in Turkey [44]. The research describes how the photovoltaic system was implemented to evaluate the potential of solar energy in Turkey. Similar works were performed by other researchers in previously published studies [45,46]. Many other studies proved that Turkey has a high potential for PV application [7,47,48,49,50,51].
As mentioned earlier, the purpose of this study is to find the best location for a solar power plant. In order to achieve this aim, different cities in the southern province of Turkey were considered and ranked based on their perspectives in selected criteria over the past years. In the remaining parts of this section, the problem will be described by presenting the selected criteria, the candidate cities, and the decision matrix.

3.1. Criteria Selection

One of the important issues in MCDM analysis is criteria selection. The main criteria that affect solar power plant location selection are economic, geographic, environmental, technical, and social. Choosing the right criteria is crucial to correctly analyze and achieve accurate results. The following are the list of criteria that were used by different researchers to decide on solar power plant location [7,16,24,25,27,52,53,54,55,56]:
Solar radiation
Average sunshine
Average temperature
Distance from power transmission lines
Distance from the main road
Distance from population centers
Land cost
Earthquake risk
Erosion risk
Number of snowy days
Number of rainy days
Wind speed
Location selection for solar power plants needs to incorporate a wide range of criteria to optimize electricity output and at the same time protect the environment. Various studies have used different criteria for site selection problems, and the decision-making process becomes more difficult as the number of criteria increases. The first step in this study is to identify the most effective criteria concerning solar power plant location through the comprehensive literature review. In this study, criteria were selected based on past research. In addition, a new criterion was considered (C10) which has not been used before in the literature (past studies and articles) to obtain a more accurate result. The description of criteria and data source are shown in Table 3.

3.2. Candidate Locations

In this study, 18 cities in the southern province of Turkey that have the greatest potential to benefit from solar energy were considered to be assessed and ranked according to the given criteria. The list of cities is shown in Table 4.

3.3. Decision Matrix

In MCDM, problem constructing decision matrix is a critical step. Each element in the decision matrix indicates the evaluation of all alternatives with respect to each criterion. For a given MCDM problem with PFNs, let Y = {y1, y1, , ym} (m > 1) be a discrete set of m possible alternatives, C = {c1, c1, , cn} (n > 1) be a finite set of criteria, and W = {w1, w1, , wn} be the weight of all criteria, which satisfy wj ∈ [0, 1], and j = 1 n w j = 1. Let cj(yi) be the value of alternative yi (i = 1, …, m) with respect to criterion cj (j = 1, …, n), and cj(yi) = P(aij, bij). Where each of the elements is a PFN, and the degree of which the alternative yi satisfies the criterion cj is the value aij and the degree to which the alternative yi does not satisfy the criterion cj is the value bij. Therefore, the Pythagorean fuzzy decision matrix is D = (cj(yi))m×n and it can be illustrated as follows:
D = ( c j ( y i ) ) m × n = [ P   ( a 11 , b 11 ) P   ( a 1 n , b 1 n ) P   ( a m 1 , b m 1 ) P   ( a m n , b m n ) ]
For the case of this study, n = 10 and m = 18.
In order to cope with the uncertainty which can appear in real-life problems, not only considering the recent data for evaluating the cities, the values of the decision matrix of the case study are PFNs, and presented in Table 5 below.

3.4. Solution Methodology

As mentioned earlier, this study aims to find the best location for a solar power plant in the nominated cities in Turkey according to certain given criteria. In respect to the aim, the below phases were proposed for the evaluation approach.
Phase I: Weight determination. Calculating the importance weight of each criterion by Stepwise Weight Assessment Ratio Analysis (SWARA).
Phase II: Ranking Approach. Applying MCDM to evaluate the nominated cities and rank them. For this aim, the Pythagorean fuzzy TOPSIS is used as a decision approach for ranking.
The phases are explained in the rest of this section, and the flowchart of the proposed solution methodology is shown in Figure 3.

3.5. Weight Determination

Generally, the weights of the criteria are determined based on the decision maker’s (DM) point of view [23]. One of the suitable methods which allows DMs to choose their priorities and utilize the objective view rather than the compulsory scale in the ranking of the criteria is the SWARA method [57]. The SWARA method was introduced by Keršulienė et al. in 2010 [58], and in this method, the criteria are ranked from the most important weight value to the least important value by the DMs. The SWARA method is widely used in a variety of literature on different weighting problems, particularly in energy and its related researches [57]. The implementation steps of the SWARA method can be described as follows [59]:
ρ c d is the score assigned to the c criteria by d decision-maker ( c = 1 , ,   n ;   d = 1 , ,   k ; 0 ρ d c 1 ) . n is the total number of criteria and k is the number of decision-makers.
P c ¯ is the average of the important points assigned to the criteria by the decision-makers and
P c ¯ = 1 k d = 1 k ρ c d .
I c is the relative importance value of the average importance score for each criterion and indicated how important the c + 1 criterion is compared to the c criterion.
f c is the coefficient value and f c = I c + 1 . The coefficient value f c of the largest relative importance s c is equal to 1.
w c   is the corrected weight value. For the criterion in the first place of the ranking w c   = 1 and for the rest of the criteria   w c   = w c 1     f c .
W c is the final weight and W c =   w c   c = 1 n   w c   .
The application steps of the WASPS method for the case study are explained in the computation of results in Section 4.

3.6. Ranking Approach

In this section, the extension of TOPSIS to MCDM with PFS is proposed to solve the location selection problem. The TOPSIS method was proposed by Hwang and Yoon in 1981, and it is a simple and useful method to solve MCDM problems [60]. During the past years, different scholars have extended the TOPSIS method for solving MCDM problems within different fuzzy environments [61]. For instance, fuzzy number contexts [62], institutive fuzzy set contexts [63], interval fuzzy set contexts [64], hesitant fuzzy set contexts [65], and hesitant fuzzy linguistic term set contexts [66]. However, none of them were able to solve the MCDM problem with Pythagorean fuzzy information. Later, Zhang and Xu proposed an extended TOPSIS to MCDM with Pythagorean fuzzy sets [61]. This decision-making approach is described in the following section.

Pythagorean Fuzzy TOPSIS Method

The Pythagorean fuzzy TOPSIS method is based on the principle that the best alternatives should have the shortest distance from the positive ideal solution (PIS) and the farthest distance from the negative ideal solution (NIS). Therefore, in the first step, the Pythagorean fuzzy PIS and the Pythagorean fuzzy NIS must be determined. s(A) is used to identify the Pythagorean fuzzy PIS and the Pythagorean fuzzy NIS score function (see Section 2). The Pythagorean fuzzy PIS is denoted by y+ and it can be determined by Equation (1).
y + = { C j , m a x   i s ( C j ( y i ) ) |   j = 1 ,   2 ,   ,   n } = { C 1 , P ( a 1 + ,   b 1 + ) , C 2 ,   P ( a 2 + ,   b 2 + ,   ,   C n ,   P ( a n + ,   b n + }
Usually, in a real-life MCDM problem, there is no Pythagorean fuzzy PIS. Therefore, it is necessary to calculate the distance between each alternative and the Pythagorean fuzzy PIS. The distance between the alternative yi and the y+ is calculated by using Equation (2).
D ( y i ,   y + ) = j = 1 n w j   d   ( C j ( y i ) , C j ( y + ) ) = 1 2 j = 1 n w j ( | ( a i j ) 2 ( a j + ) 2 | + | ( b i j ) 2 ( b j + ) 2 | + | ( τ i j ) 2 ( τ j + ) 2 | ) ,   i = 1 ,   2 ,   ,   m
The smaller D ( y i ,   y + ) , the better the alternative yi. Therefore,
D m i n ( y i ,   y + ) = min { D ( y 1 ,   y + ) ,   D ( y 2 ,   y + ) , , D ( y m ,   y + ) }
Although the closest distance to Pythagorean fuzzy PIS is favored, this does not ensure the farthest distance from the Pythagorean fuzzy NIS. The Pythagorean fuzzy NIS is denoted by y and it can be determined by Equation (4), where the obtained value of Pythagorean fuzzy NIS under each criterion is the minimum among all the alternatives.
y = { C j , m i n   i s ( C j ( y i ) ) |   j = 1 ,   2 ,   ,   n } = { C 1 ,   P ( a 1 ,   b 1 ) ,   C 2 ,   P ( a 2 ,   b 2 ,   ,   C n ,   P ( a n ,   b n ) }
Generally, in a practical MCDM problem, the Pythagorean fuzzy NIS might not exist. In such a case, y is the worst alternative of the problem. The distance between the alternative y i and the y is calculated by using Equation (5).
D ( y i ,   y ) = j = 1 n w j   d ( C j ( y i ) , C j ( y ) ) = 1 2   j = 1 n w j ( | ( a i j ) 2 ( a j ) 2 | + | ( b i j ) 2 ( b j ) 2 | + | ( τ i j ) 2 ( τ j ) 2 | ) ,   i = 1 ,   2 ,   ,   m
The greater D ( y i ,   y ) , the better the alternative yi. Therefore,
D m a x ( y i ,   y ) = min { D ( y 1 ,   y ) ,   D ( y 2 ,   y ) , , D ( y m ,   y ) }
Generally, in a classical TOPSIS method, the relative closeness of the alternative y i concerning the y + can be calculated as follows:
R C ( y i ) = D ( y i ,   y ) D ( y i ,   y ) + D ( y i ,   y + )
Although the optimal alternative can be obtained by closeness index R C ( y i ) , Hadi-Vencheh and Mirjaberi proved that the ranking order by the relative closeness might not be optimal [67]. They pointed out that in certain situations, the relative closeness index may not indicate the best solution. Hence, the optimal alternative should have the shortest distance from the PIS and the farthest distance from the NIS simultaneously. Consequently, they proposed a new equation with revised closeness to find the optimal alternative.
S ( y i ) = D ( y i ,   y ) D m a x ( y i ,   y ) D ( y i ,   y + ) D m i n ( y i ,   y + )
As is clear in Equation (8), the bigger S ( y i ) , the better the alternative yi and the value of S ( y i ) ≤ 0 (i = 1, …, m). It is possible to conclude that if there exists the best alternative y * and it satisfies the conditions D ( y * ,   y ) = D m a x ( y i ,   y ) and D ( y * ,   y + ) = D m i n ( y i ,   y + ) , simultaneously, then S ( y i ) = 0 .

4. Computational Results

The proposed methodologies explained in Section 3 were used for analyzing the case study. After calculating the weight of each criterion using the SWARA technique, an extension of TOPSIS to MCDM with PFS was used to solve the problem and rank the alternatives (cities). All calculations were performed in MS Excel and the results were presented schematically using Origin Pro software.

Case Study

Before applying the Pythagorean fuzzy TOPSIS method to the case study, first, the weight of the criteria must be determined by the SWARA technique.
In the first step, a questionnaire was distributed to six decision-makers who are experts in energy management. Four of them are experts in energy resources and renewable energy and have PhDs in mechanical engineering, while two of them are specialists in energy management and location selection and have PhDs in industrial engineering. They were asked to rank 10 decision criteria by giving 1 to the criteria which are the most important and 10 to the criteria which are least important for them in location selection for the solar power plant. After that, decision-makers reevaluated all criteria and assigned a score between 0 and 1 to each criterion. This ranking of the six decision-makers for the criteria is illustrated in Table 6.
Following the ranking, average importance scores ( P c ) were calculated, and the criteria were sorted accordingly from the highest to the lowest. Then, for all criteria, the relative importance value of the average ( I c ) was determined. After that, coefficient values ( f c ) and corrected weights ( w c ) were calculated. Lastly, the final weights ( W c ) were calculated in the last step. Relative importance values, coefficient values, corrected weight, and final weights of criteria are shown in Table 7.
After calculating the weights of the criteria using the SWARA method, Pythagorean fuzzy TOPSIS was used as a decision approach for ranking alternatives. The following values are considered for the parameters of this approach.
The number of potential cities (alternatives) that may be suitable for the solar power plant is 18 (m = 18).
The number of decision criteria is 10 (n = 10).
The weight vector of the criteria that was calculated in the previous section:
W = ( 0.14 ,   0.12 ,   0.11 ,   0.10 ,   0.10 ,   0.9 ,   0.9 ,   0.9 ,   0.9 ,   0.8 ) T .
The assessment values of the alternatives with respect to each criterion developed as a Pythagorean fuzzy decision matrix ( D 18 × 10 ).
In the following, the Pythagorean fuzzy TOPSIS approach was used to solve the decision problem and select the best alternative. In the first step, Equations (1) and (4) were used to determine Pythagorean fuzzy PIS ( y + ) and Pythagorean fuzzy NIS ( y ), respectively, and the results are obtained as follows:
y + = { ( 0.98 ,   0.1 ) ,   ( 0.98 ,   0.1 ) , ( 0.98 ,   0.1 ) ,   ( 0.98 ,   0.01 ) , ( 0.9 ,   0.2 ) ,   ( 0.98 ,   0.1 ) ,   ( 0.5 ,   0.62 ) ,   ( 0.9 ,   0.2 ) ,   ( 0.7 ,   0.39 ) ,   ( 0.98 ,   0.0.2 ) }
y = { ( 0.36 ,   0.79 ) , ( 0.2 ,   0.9 ) ,   ( 0.8 ,   0.3 ) , ( 0.6 ,   0.5 ) , ( 0.2 , 0.9 ) , ( 0.2 , 0.9 ) ,   ( 0.2 , 0.9 ) ,   ( 0.3 , 0.8 ) ,   ( 0.2 , 0.9 ) ,   ( 0.1 , 0.9 ) }
Then, the distance between the alternative yi and the y + , and the distance between the alternative yi and the y were calculated by Equations (2) and (5), respectively. Finally, Equation (8) was used to compute the revised closeness S ( y i ) of the alternative yi, and the results of the last two steps are shown in Table 8.
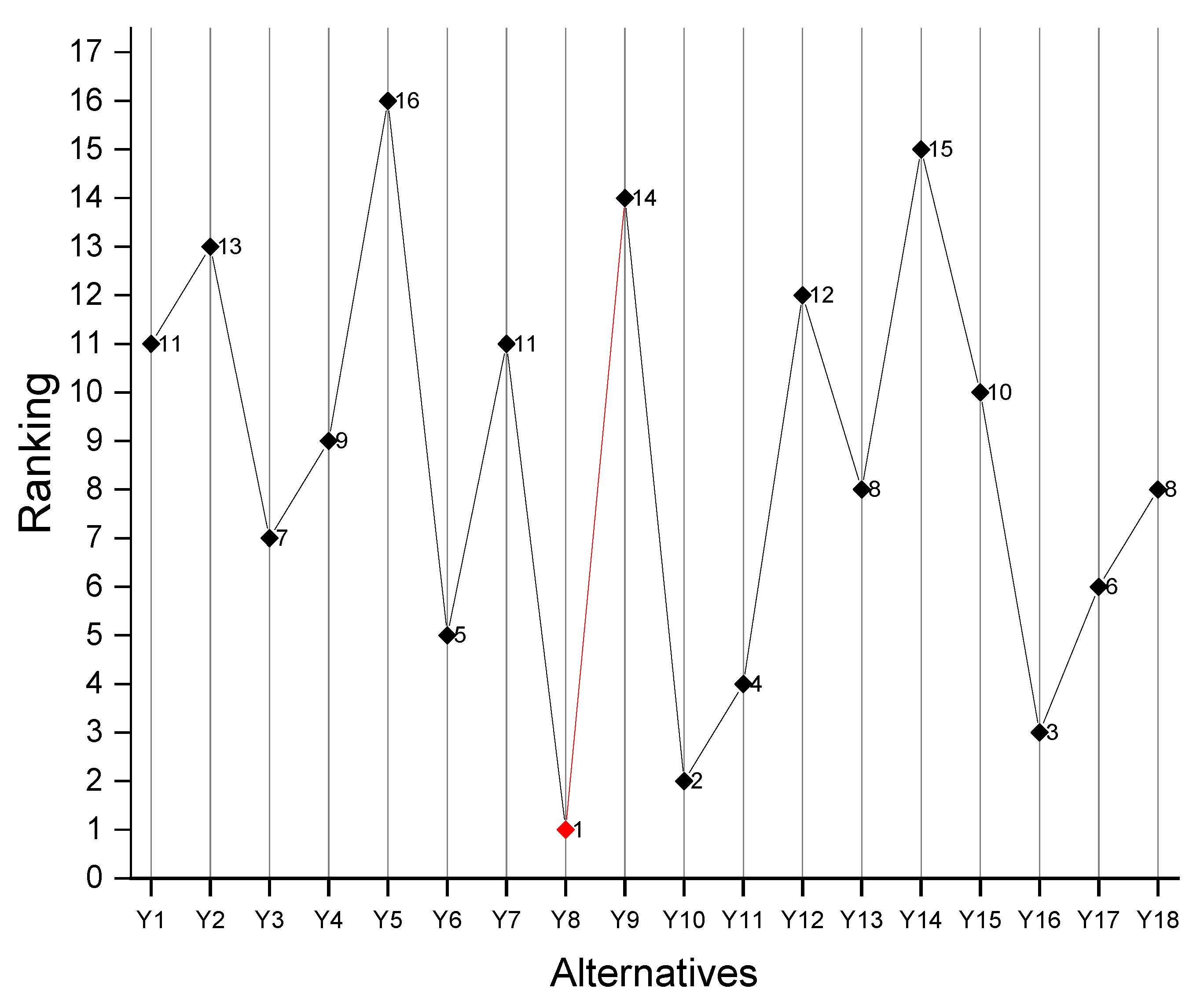
According to S ( y i ) , it is possible to obtain the ranking order of the alternatives. The optimal ranking order of the cities is y8y10y16y11y6y17y3y18y13y4y15y7y1y12y2y9y14y5, and thus the best alternative is y8, namely, Antalya.
The schematic alternatives ranking is illustrated in Figure 4. The best alternative is Antalya and the second one is Karaman. It is clear that Nigde and Aydiyamn have the same score and both have 8th position in the ranking, also Izmir and Isparta have the same ranking score and both are ranked in 11th position.

5. Sensitivity Analysis

In this section, a new approach for sensitivity analysis is considered that computes the final weight of each criterion. Although in sensitivity analysis the weight of criteria can be changed arbitrarily, the weight should not be assigned randomly. In past studies of sensitivity analysis, decision-makers tried to focus on determining the most significant criteria [6]. Consequently, various scenarios were considered in the sensitivity analysis in this study.
The steps used to find the new weights of the criteria are as follows [67]:
Step 1: Assign a new weight to criterion i (Ci) [i = 1, 2, …, n and n = 10 in the case study] from W i to W i * , which W i * = α W i , where α is a positive ratio.
Step 2: Calculate the weight of other criteria using the formulas below:
{ W 1 * = W 1 W 1 + W 2 + W 3 + + W k * + + W n W 2 * = W 2 W 1 + W 2 + W 3 + + W k * + + W n W 3 * = W 3 W 1 + W 2 + W 3 + + W k * + + W n . . . . W n * = W n W 1 + W 2 + W 3 + + W k * + + W n
Step 3: Compute the ranking order of alternatives in terms of the new criteria’s weights.
Different scenarios were considered to find out how the order of alternatives could be changed when the weights of the criteria were changed. The summaries of the sensitivity analysis are shown in Table 9 (the top three alternatives are listed).
For convenience, in the first scenario, the weights of all criteria were assumed to be equal (1/10). As demonstrated in Table 9, although there are minor changes in the closeness scores of the alternatives, there are no changes in their ranking of them. In the second scenario, the weight of the first criterion (C1) was increased from 0.14 to 0.5 to find out how the rank of alternatives would be changed if solar radiation became the most important criterion. The results indicated that the order of the second and third alternatives was changed, but the best alternative is still Antalya (Y8).
In scenario 3, the tenth criterion (C10, capacity of existing solar power plants) was assumed to be the most important factor, and the weight of the criterion was increased from 0.08 to 0.5. Interestingly, the order of the top three alternatives was changed, and the best alternative became Mugla, followed by Izmir and Adana as second and third alternatives.
In scenario 4, criteria 8 and 9 (population and land cost) were considered as the most important criteria, and their weights were increased from 0.09 to 0.25. As indicated in Table 8, the order of the second and third alternatives was changed, but the best alternative is still Antalya (Y8). Similarly, in scenario 5, criteria 1, 8, 9, and 10 were considered the most important criteria, and the results are similar to scenario 4.
Scenario 6 considers the positive criteria as the most important. The results show the best alternative is still Antalya, but the second and third alternative order was changed to Mugla and Mersin, respectively. In the last scenario, negative criteria are assumed to be the most important criteria. Based on the results, the best alternative is Karaman, followed by Malatya and Nigde as the second and third potential locations for the new solar power plant.
The graphical demonstration of revised closeness ( S ( y i ) ) for alternatives under different scenarios is shown in Figure 5 (given that the revised closeness of the alternative is close to zero, this alternative is most favored). Although there are some changes in the ranking order of alternatives under different scenarios, Antalya (Y8) was selected as the best alternative in most of the scenarios.

6. Concluding Remarks

Since Turkey needs to expand its solar power plants to generate electricity, this study attempts to find the optimal potential location for solar energy in southern Turkish cities.
Finding the optimal location for a solar power plant is considered one of the most important issues. Accordingly, in this study, a two-phase combined methodology of SWARA and Pythagorean fuzzy TOPSIS is proposed to find the best location for a new solar power plant in the south region of Turkey. The proposed methodology has several attractive features and it can also be modified and applied by the decision-makers in different case studies or data sets. It includes fuzzy decision matrix, expert’s weights, and alternative ranking function, in which all of these features are expressed by PFS.
In the proposed procedure, first, the important criteria were selected. Additionally, one new criterion C10 (capacity of existing solar power plants) which has not been considered in other studies, was added to data sets. Then, the criteria were weighted with the help of six decision-makers using the SWARA technique. Finally, the Pythagorean fuzzy TOPSIS method used the data obtained from the case study, and ranked the selected alternatives (cities) from the best to the worse. The best city in which to install a solar power plant was Antalya followed by Karaman and Malatya as second and third candidates, respectively. In addition, sensitivity analysis was conducted to find the changes in the ranking order of alternatives as the weight of different criteria changed. Although the results showed some shifts in the ranking order of alternatives in different scenarios, Antalya remained the best alternative in most cases.
In the future, it will be possible to perform analysis using different criteria or add new criteria to the model. Likewise, the same dataset can be solved by using other MCDM methods such as intuitionistic fuzzy TOPSIS or neutrosophic fuzzy TOPSIS.

Funding

This research received no specific grant from any funding agency in the public, commercial, or not-for-profit sectors.

Institutional Review Board Statement

Not applicable.

Informed Consent Statement

Not applicable.

Data Availability Statement

The data that support the findings of this study are available on request from the corresponding author.

Conflicts of Interest

The author declares no conflict of interest.

References

  1. Nowzari, R.; Saygin, H.; Aldabbagh, L.B.Y. Evaluating the Performance of a Modified Solar Air Heater With Pierced Cover and Packed Mesh Layers. J. Sol. Energy Eng. 2021, 143, 011006. [Google Scholar] [CrossRef]
  2. Kleidon, A. Energy Balance. Encycl. Ecol. 2018, pp. 50–63. Available online: https://ec.europa.eu/eurostat/documents/3217494/9172750/KS-EN-18-001-EN-N.pdf (accessed on 25 September 2022).
  3. Nowzari, R. Numerical Analysis of a Photovoltaic Module Integrated with Various Water Cooling Systems. Trans. FAMENA 2019, 43, 19–30. [Google Scholar] [CrossRef]
  4. B.P. Outlook. The Energy Outlook explores the forces shaping the global energy transition out to 2040 and the key uncertainties surrounding that transition. In BP Energy Outlook: 2019 Edition; BP P.L.C.: London, UK, 2019. [Google Scholar]
  5. Nowzari, R.; Mirzaei, N.; Parham, K. Selecting the Optimal Configuration for a Solar Air Heater Using the Grey–Taguchi Method. Processes 2020, 8, 317. [Google Scholar] [CrossRef]
  6. Mirzaei, N.; Testik, Ö.M. Ideal location selection for new stone crusher machine and landfill using FAHP and TOPSIS method: A case study in a copper mine. Düzce Üniv. Bilim Ve Teknol. Derg. 2021, 9, 1592–1609. [Google Scholar] [CrossRef]
  7. Akçay, M.; Atak, M. Optimal Site Selection for a Solar Power Plant in Turkey Using a Hybrid AHP-TOPSIS Method. Celal Bayar Üniv. Fen Bilim. Derg. 2018, 14, 413–420. [Google Scholar] [CrossRef]
  8. Akkas, O.P.; Erten, M.Y.; Cam, E.; Inanc, N. Optimal Site Selection for a Solar Power Plant in the Central Anatolian Region of Turkey. Int. J. Photoenergy 2017, 2017, 7452715. [Google Scholar] [CrossRef]
  9. Sindhu, S.; Nehra, V.; Luthra, S. Investigation of feasibility study of solar farms deployment using hybrid AHP-TOPSIS analysis: Case study of India. Renew. Sustain. Energy Rev. 2017, 73, 496–511. [Google Scholar] [CrossRef]
  10. Sánchez-Lozano, J.M.; García-Cascales, M.S.; Lamata, M.T. Comparative TOPSIS-ELECTRE TRI methods for optimal sites for photovoltaic solar farms. Case study in Spain. J. Clean. Prod. 2016, 127, 387–398. [Google Scholar] [CrossRef]
  11. Yunna, W.; Geng, S. Multi-criteria decision making on selection of solar–wind hybrid power station location: A case of China. Energy Convers. Manag. 2014, 81, 527–533. [Google Scholar] [CrossRef]
  12. Höfer, T.; Sunak, Y.; Siddique, H.; Madlener, R. Wind farm siting using a spatial Analytic Hierarchy Process approach: A case study of the Städteregion Aachen. Appl. Energy 2016, 163, 222–243. [Google Scholar] [CrossRef]
  13. Sozen, A.; Mirzapour, A.; Çakir, M.T. Selection of the best location for solar plants in Turkey. J. Energy S. Afr. 2017, 26, 52. [Google Scholar] [CrossRef]
  14. Khanlari, A.; Nazari, M.A. A review on the applications of multi-criteria decision-making approaches for power plant site selection. J. Therm. Anal. Calorim. 2022, 147, 4473–4489. [Google Scholar] [CrossRef]
  15. Tahri, M.; Hakdaoui, M.; Maanan, M. The evaluation of solar farm locations applying Geographic Information System and Multi-Criteria Decision-Making methods: Case study in southern Morocco. Renew. Sustain. Energy Rev. 2015, 51, 1354–1362. [Google Scholar] [CrossRef]
  16. al Garni, H.Z.; Awasthi, A. Solar PV power plant site selection using a GIS-AHP based approach with application in Saudi Arabia. Appl. Energy 2017, 206, 1225–1240. [Google Scholar] [CrossRef]
  17. Moradi, S.; Yousefi, H.; Noorollahi, Y.; Rosso, D. Multi-criteria decision support system for wind farm site selection and sensitivity analysis: Case study of Alborz Province, Iran. Energy Strateg. Rev. 2020, 29, 100478. [Google Scholar] [CrossRef]
  18. Vagiona, D.G.; Tzekakis, G.; Loukogeorgaki, E.; Karanikolas, N. Site Selection of Offshore Solar Farm Deployment in the Aegean Sea, Greece. J. Mar. Sci. Eng. 2022, 10, 224. [Google Scholar] [CrossRef]
  19. Rehman, A.U.; Abidi, M.H.; Umer, U.; Usmani, Y.S. Multi-Criteria Decision-Making Approach for Selecting Wind Energy Power Plant Locations. Sustainability 2019, 11, 6112. [Google Scholar] [CrossRef]
  20. Silva, S.; Alçada-Almeida, L.; Dias, L.C. Biogas plants site selection integrating Multicriteria Decision Aid methods and GIS techniques: A case study in a Portuguese region. Biomass Bioenergy 2014, 71, 58–68. [Google Scholar] [CrossRef]
  21. Sánchez-Lozano, J.M.; Teruel-Solano, J.; Soto-Elvira, P.L.; García-Cascales, M.S. Geographical Information Systems (GIS) and Multi-Criteria Decision Making (MCDM) methods for the evaluation of solar farms locations: Case study in south-eastern Spain. Renew. Sustain. Energy Rev. 2013, 24, 544–556. [Google Scholar] [CrossRef]
  22. Rediske, G.; Siluk, J.C.M.; Michels, L.; Rigo, P.D.; Rosa, C.B.; Cugler, G. Multi-criteria decision-making model for assessment of large photovoltaic farms in Brazil. Energy 2020, 197, 117167. [Google Scholar] [CrossRef]
  23. No, R.K.G.; Niroomand, S.; Didehkhani, H.; Mahmoodirad, A. Modified interval EDAS approach for the multi-criteria ranking problem in banking sector of Iran. J. Ambient Intell. Humaniz. Comput. 2020, 12, 8129–8148. [Google Scholar] [CrossRef]
  24. Sánchez-Lozano, J.M.; García-Cascales, M.S.; Lamata, M.T. Evaluation of suitable locations for the installation of solar thermoelectric power plants. Comput. Ind. Eng. 2015, 87, 343–355. [Google Scholar] [CrossRef]
  25. Uyan, M. Optimal site selection for solar power plants using multi-criteria evaluation: A case study from the Ayranci region in Karaman, Turkey. Clean Technol. Environ. Policy 2017, 19, 2231–2244. [Google Scholar] [CrossRef]
  26. Suganthi, L.; Iniyan, S.; Samuel, A.A. Applications of fuzzy logic in renewable energy systems—A review. Renew. Sustain. Energy Rev. 2015, 48, 585–607. [Google Scholar] [CrossRef]
  27. Lee, A.H.I.; Kang, H.Y.; Lin, C.Y.; Shen, K.C. An integrated decision-making model for the location of a PV solar plant. Sustainability 2015, 7, 13522–13541. [Google Scholar] [CrossRef]
  28. Barzehkar, M.; Parnell, K.E.; Dinan, N.M.; Brodie, G. Decision support tools for wind and solar farm site selection in Isfahan Province, Iran. Clean Technol. Environ. Policy 2020, 23, 1179–1195. [Google Scholar] [CrossRef]
  29. Koc, A.; Turk, S.; Şahin, G. Multi-criteria of wind-solar site selection problem using a GIS-AHP-based approach with an application in Igdir Province/Turkey. Environ. Sci. Pollut. Res. 2019, 26, 32298–32310. [Google Scholar] [CrossRef]
  30. Wu, Y.; Geng, S.; Zhang, H.; Gao, M. Decision framework of solar thermal power plant site selection based on linguistic Choquet operator. Appl. Energy 2014, 136, 303–311. [Google Scholar] [CrossRef]
  31. Gunderson, I.; Goyette, S.; Gago-Silva, A.; Quiquerez, L.; Lehmann, A. Climate and land-use change impacts on potential solar photovoltaic power generation in the Black Sea region. Environ. Sci. Policy 2015, 46, 70–81. [Google Scholar] [CrossRef]
  32. Deveci, M.; Cali, U.; Pamucar, D. Evaluation of criteria for site selection of solar photovoltaic (PV) projects using fuzzy logarithmic additive estimation of weight coefficients. Energy Rep. 2021, 7, 8805–8824. [Google Scholar] [CrossRef]
  33. Yousefi, H.; Hafeznia, H.; Yousefi-Sahzabi, A. Spatial Site Selection for Solar Power Plants Using a GIS-Based Boolean-Fuzzy Logic Model: A Case Study of Markazi Province, Iran. Energies 2018, 11, 1648. [Google Scholar] [CrossRef]
  34. Mirzaei, N.; Mahmoodirad, A.; Niroomand, S. An Uncertain Multi-objective Assembly Line Balancing Problem: A Credibility-Based Fuzzy Modeling Approach. Int. J. Fuzzy Syst. 2019, 21, 2392–2404. [Google Scholar] [CrossRef]
  35. Bellman, R.E.; Zadeh, L.A. Decision-Making in a Fuzzy Environment. Manag. Sci. 1970, 17, B141–B164. [Google Scholar] [CrossRef]
  36. Atanassov, K.T. Intuitionistic Fuzzy Sets; Physica Heidelberg: Heidelberg, Germany, 1999; pp. 1–137. [Google Scholar]
  37. Yager, R.R. Pythagorean membership grades in multicriteria decision making. IEEE Trans. Fuzzy Syst. 2014, 22, 958–965. [Google Scholar] [CrossRef]
  38. Yager, R.R.; Abbasov, A.M. Pythagorean Membership Grades, Complex Numbers, and Decision Making. Int. J. Intell. Syst. 2013, 28, 436–452. [Google Scholar] [CrossRef]
  39. de Tre, G.; Hallez, A.; Bronselaer, A. Performance optimization of object comparison. Int. J. Intell. Syst. 2014, 29, 495–524. [Google Scholar]
  40. TMMOB. Türkiye’ Nin Enerji Görünümü 2018; Tmmob Makina Mühendisleri Odasi: Ankara, Turkey, 2018. [Google Scholar]
  41. Celik, A.N.; Özgür, E. Review of Turkey’s photovoltaic energy status: Legal structure, existing installed power and comparative analysis. Renew. Sustain. Energy Rev. 2020, 134, 110344. [Google Scholar] [CrossRef]
  42. Republic of Turkey Ministry of Energy and Natural Resources. Info Bank, Solar. 2021. Available online: https://enerji.gov.tr/bilgi-merkezi-enerji-gunes-en (accessed on 17 January 2021).
  43. Turkey Average Global Solar Radiation. 2018. Available online: https://www.mgm.gov.tr/kurumici/radyasyon_iller.aspx (accessed on 18 January 2021).
  44. Ozcan, O.; Ersoz, F. Project and cost-based evaluation of solar energy performance in three different geographical regions of Turkey: Investment analysis application. Eng. Sci. Technol. Int. J. 2019, 22, 1098–1106. [Google Scholar] [CrossRef]
  45. Nowzari, R.; Mirzaei, N.; Aldabbagh, L.B.Y. Finding the best configuration for a solar air heater by design and analysis of experiment. Energy Convers. Manag. 2015, 100, 131–137. [Google Scholar] [CrossRef]
  46. Saygin, H.; Nowzari, R.; Mirzaei, N.; Aldabbagh, L.B.Y. Performance evaluation of a modified PV/T solar collector: A case study in design and analysis of experiment. Sol. Energy 2017, 141, 210–221. [Google Scholar] [CrossRef]
  47. Mirzaei, N. Solar Collector Performance Analysis Using ANOVA Method. Trans. FAMENA 2022, 45, 29–41. [Google Scholar] [CrossRef]
  48. Bakirci, K. General models for optimum tilt angles of solar panels: Turkey case study. Renew. Sustain. Energy Rev. 2012, 16, 6149–6159. [Google Scholar] [CrossRef]
  49. Yilmaz, S.; Ozcalik, H.R.; Kesler, S.; Dincer, F.; Yelmen, B. The analysis of different PV power systems for the determination of optimal PV panels and system installation—A case study in Kahramanmaras, Turkey. Renew. Sustain. Energy Rev. 2015, 52, 1015–1024. [Google Scholar] [CrossRef]
  50. Yilmaz, S.; Dincer, F. Optimal design of hybrid PV-Diesel-Battery systems for isolated lands: A case study for Kilis, Turkey. Renew. Sustain. Energy Rev. 2015, 77, 344–352. [Google Scholar] [CrossRef]
  51. Abuşka, M. Energy and exergy analysis of solar air heater having new design absorber plate with conical surface. Appl. Therm. Eng. 2018, 131, 115–124. [Google Scholar] [CrossRef]
  52. Solangi, Y.A.; Shah, S.A.A.; Zameer, H.; Ikram, M.; Saracoglu, B.O. Assessing the solar PV power project site selection in Pakistan: Based on AHP-fuzzy VIKOR approach. Environ. Sci. Pollut. Res. 2019, 26, 30286–30302. [Google Scholar] [CrossRef]
  53. Mensour, O.N.; el Ghazzani, B.; Hlimi, B.; Ihlal, A. A geographical information system-based multi-criteria method for the evaluation of solar farms locations: A case study in Souss-Massa area, southern Morocco. Energy 2019, 182, 900–919. [Google Scholar] [CrossRef]
  54. Soydan, O. Solar power plants site selection for sustainable ecological development in Nigde, Turkey. SN Appl. Sci. 2021, 3, 41. [Google Scholar] [CrossRef]
  55. Moharram, N.A.; Bayoumi, S.; Hanafy, A.A.; El-Maghlany, W.M. Techno-economic analysis of a combined concentrated solar power and water desalination plant. Energy Convers. Manag. 2021, 228, 113629. [Google Scholar] [CrossRef]
  56. Arias, I.; Zarza, E.; Valenzuela, L.; Pérez-García, M.; Ramos, J.A.R.; Escobar, R. Modeling and Hourly Time-Scale Characterization of the Main Energy Parameters of Parabolic-Trough Solar Thermal Power Plants Using a Simplified Quasi-Dynamic Model. Energies 2021, 14, 221. [Google Scholar] [CrossRef]
  57. Yücenur, G.N.; Ipekçi, A. SWARA/WASPAS methods for a marine current energy plant location selection problem. Renew. Energy 2021, 163, 1287–1298. [Google Scholar] [CrossRef]
  58. Keršulienė, V.; Zavadskas, E.K.; Turskis, Z. Selection of Rational Dispute Resolution Method By Applying New Step-Wise Weight Assessment Ratio Analysis (Swara). J. Bus. Econ. Manag. 2010, 11, 243–258. [Google Scholar] [CrossRef]
  59. Zolfani, S.H.; Saparauskas, J. New Application of SWARA Method in Prioritizing Sustainability Assessment Indicators of Energy System. Eng. Econ. 2014, 24, 408–414. [Google Scholar] [CrossRef]
  60. Hwang, C.-L.; Yoon, K. Multiple Attribute Decision Making; Springer: Berlin/Heidelberg, Germany, 1981; Volume 186. [Google Scholar]
  61. Zhang, X.; Xu, Z. Extension of TOPSIS to Multiple Criteria Decision Making with Pythagorean Fuzzy Sets. Int. J. Intell. Syst. 2014, 29, 1061–1078. [Google Scholar] [CrossRef]
  62. Chen, C.-T. Extensions of the TOPSIS for group decision-making under fuzzy environment. Fuzzy Sets Syst. 2000, 114, 1–9. [Google Scholar] [CrossRef]
  63. Boran, F.E.; Genç, S.; Kurt, M.; Akay, D. A multi-criteria intuitionistic fuzzy group decision making for supplier selection with TOPSIS method. Expert Syst. Appl. 2009, 36, 11363–11368. [Google Scholar] [CrossRef]
  64. Chen, T.-Y.; Tsao, C.-Y. The interval-valued fuzzy TOPSIS method and experimental analysis. Fuzzy Sets Syst. 2008, 159, 1410–1428. [Google Scholar] [CrossRef]
  65. Xu, Z.; Zhang, X. Hesitant fuzzy multi-attribute decision making based on TOPSIS with incomplete weight information. Knowl.-Based Syst. 2013, 52, 53–64. [Google Scholar] [CrossRef]
  66. Beg, I.; Rashid, T. TOPSIS for Hesitant Fuzzy Linguistic Term Sets. Int. J. Intell. Syst. 2013, 28, 1162–1171. [Google Scholar] [CrossRef]
  67. Li, P.; Qian, H.; Wu, J.; Chen, J. Sensitivity analysis of TOPSIS method in water quality assessment: I. Sensitivity to the parameter weights. Environ. Monit. Assess. 2013, 185, 2453–2461. [Google Scholar] [CrossRef]
Figure 1. Comparison of space of the intuitionistic membership grades and the Pythagorean membership grades.
Figure 1. Comparison of space of the intuitionistic membership grades and the Pythagorean membership grades.
Sustainability 14 14921 g001
Figure 2. Average yearly (2004–2018) solar radiation in Turkey [43].
Figure 2. Average yearly (2004–2018) solar radiation in Turkey [43].
Sustainability 14 14921 g002
Figure 3. The flowchart of the proposed solution methodology.
Figure 3. The flowchart of the proposed solution methodology.
Sustainability 14 14921 g003
Figure 4. Alternatives and their ranking.
Figure 4. Alternatives and their ranking.
Sustainability 14 14921 g004
Figure 5. The revised closeness of alternatives under different scenarios.
Figure 5. The revised closeness of alternatives under different scenarios.
Sustainability 14 14921 g005
Table 1. Summary of the previous studies involving the use of single or multiple MCDM methods for renewable resource site selection.
Table 1. Summary of the previous studies involving the use of single or multiple MCDM methods for renewable resource site selection.
MethodologyRenewable ResourcesRegionReferences
AHPSolar energyTurkeyOzdemir et al. [14]
AHPSolar/wind energyChinaWu et al. [11]
AHPSolar energyMoroccoTahri et al. [15]
AHPSolar energySaudi ArabiaAl Garni et al. [16]
AHPWind energyGermanyHofer et al. [12]
AHPWind energyIranMoradi et al. [17]
TOPSISSolar energyTurkeySozen et al. [13]
TOPSISSolar energyIranNazari et al. [18]
PROMETHEEWind energyGulf regionRehman et al. [19]
ELECTRE TRIBioenergyPortugalSilva et al. [20]
AHP-TOPSISSolar energyTurkeyAkcay and Atak [7]
AHP-TOPSISSolar energyIndiaSindhu et al. [9]
AHP-TOPSISSolar energySpainLozano et al. [21]
AHP-TOPSISSolar energyBrazilRediske et al. [22]
Table 2. Turkey’s monthly average solar potential [42].
Table 2. Turkey’s monthly average solar potential [42].
MonthsMonthly Total Sun EnergySunshine Time
(kcal/cm2)(kWh/m2)(Hours)
January4.4551.75103
February5.4463.27115
March8.3196.65165
April10.51122.23197
May13.23153.86273
June14.51168.75325
July15.08175.38365
August13.62158.4343
September10.6123.28280
October7.7389.9214
November5.2360.82157
December4.0346.87103
Total112.7413112640
Table 3. Criteria and available data source for Turkey.
Table 3. Criteria and available data source for Turkey.
Criteria CodeDescriptionTypeData Source (Accessed on 1 June 2020)
C1Solar radiation (kWh/m2/year)Positivehttps://www.mgm.gov.tr
C2Temperature (°C)Negativehttps://www.mgm.gov.tr
C3Sunshine duration (h/year)Positivehttps://www.mgm.gov.tr
C4Number of snowy days (days/month)Negativehttps://www.mgm.gov.tr
C5Earthquake riskNegativehttps://www.afad.gov.tr
C6Flooding riskNegativehttps://www.afad.gov.tr
C7Number of rainy days (days/month)Negativehttps://www.mgm.gov.tr
C8PopulationPositivehttps://www.nufusu.com
C9Land cost (TL)Negativehttps://www.gib.gov.tr
C10Capacity of existing solar power plants (kWh)Negativehttps://www.enerjiatlasi.com
Table 4. The list of potential locations for solar power plant system.
Table 4. The list of potential locations for solar power plant system.
Alternative CodeCityAlternative CodeCity
Y1IZMIRY10KARAMAN
Y2AYDINY11MERSIN
Y3MUGLAY12ADANA
Y4DENIZLIY13NIGDE
Y5AFYON KARAHISARY14KAYSERI
Y6BURDURY15KARAMANMARAS
Y7ISPARTAY16MALATYA
Y8ANTALYAY17GAZIYANTEP
Y9KONYAY18AYDIYAMAN
Table 5. The Pythagorean fuzzy decision matrix of the case study.
Table 5. The Pythagorean fuzzy decision matrix of the case study.
Criteria
C1C2C3C4C5C6C7C8C9C10
AlternativesY1(0.35, 0.79)(0.4, 0.6)(0.8, 0.3)(0.9, 0.15)(0.2, 0.9)(0.8, 0.26)(0.5, 0.63)(0.9, 0.2)(0.4, 0.72)(0.98, 0.02)
Y2(0.59, 0.55)(0.35, 0.7)(0.8, 0.2)(0.9, 0.15)(0.2, 0.9)(0.9, 0.18)(0.3, 0.82)(0.6, 0.5)(0.6, 0.5)(0.9, 0.1)
Y3(0.96, 0.18)(0.5, 0.65)(0.85, 0.2)(0.93, 0.22)(0.2, 0.9)(0.9, 0.15)(0.3, 0.79)(0.6, 0.5)(0.2, 0.89)(0.95, 0.02)
Y4(0.58, 0.56)(0.65, 0.5)(0.85, 0.2)(0.91, 0.2)(0.2, 0.9)(0.9, 0.23)(0.3, 0.78)(0.6, 0.5)(0.7, 0.42)(0.8, 0.2)
Y5(0.38, 0.76)(0.9, 0.25)(0.8, 0.2)(0.6, 0.5)(0.4, 0.7)(0.6, 0.54)(0.35, 0.84)(0.55, 0.5)(0.65, 0.43)(0.7, 0.4)
Y6(0.78, 0.36)(0.85, 0.3)(0.85, 0.2)(0.8, 0.3)(0.2, 0.9)(0.95, 0.16)(0.3, 0.78)(0.3, 0.7)(0.7, 0.38)(0.8, 0.3)
Y7(0.63, 0.51)(0.75, 0.4)(0.8, 0.3)(0.76, 0.4)(0.2, 0.9)(0.95, 0.11)(0.3, 0.81)(0.3, 0.7)(0.6, 0.55)(0.85, 0.2)
Y8(0.97, 0.1)(0.3, 0.7)(0.85, 0.2)(0.97, 0.02)(0.4, 0.7)(0.95, 0.12)(0.4, 0.67)(0.8, 0.3)(0.5, 0.6)(0.78, 0.4)
Y9(0.57, 0.57)(0.75, 0.3)(0.85, 0.2)(0.7, 0.4)(0.6, 0.5)(0.7, 0.38)(0.3, 0.79)(0.8, 0.3)(0.6, 0.44)(0.1, 0.9)
Y10(0.78, 0.36)(0.7, 0.4)(0.85, 0.2)(0.74, 0.45)(0.9, 0.2)(0.98, 0.09)(0.4, 0.69)(0.3, 0.8)(0.6, 0.43)(0.83, 0.3)
Y11(0.75, 0.39)(0.36, 0.7)(0.85, 0.2)(0.95, 0.05)(0.8, 0.3)(0.7, 0.4)(0.3, 0.84)(0.7, 0.4)(0.6, 0.43)(0.84, 0.3)
Y12(0.64, 0.5)(0.2, 0.9)(0.84, 0.2)(0.98, 0.01)(0.6, 0.5)(0.2, 0.89)(0.3, 0.81)(0.7, 0.4)(0.6, 0.44)(0.98, 0.03)
Y13(0.63, 0.51)(0.98, 0.1)(0.85, 0.2)(0.63, 0.5)(0.8, 0.3)(0.9, 0.23)(0.3, 0.78)(0.3, 0.8)(0.5, 0.57)(0.65, 0.5)
Y14(0.52, 0.62)(0.97, 0.2)(0.8, 0.3)(0.9, 0.15)(0.6, 0.6)(0.2, 0.9)(0.2, 0.9)(0.6, 0.5)(0.6, 0.49)(0.3, 0.8)
Y15(0.73, 0.41)(0.6, 0.4)(0.9, 0.1)(0.62, 0.5)(0.5, 0.6)(0.3, 0.79)(0.5, 0.61)(0.6, 0.5)(0.6, 0.49)(0.87, 0.3)
Y16(0.71, 0.43)(0.85, 0.3)(0.86, 0.2)(0.8, 0.3)(0.5, 0.6)(0.8, 0.28)(0.4, 0.69)(0.55, 0.5)(0.6, 0.5)(0.85, 0.3)
Y17(0.78, 0.36)(0.4, 0.6)(0.8, 0.3)(0.86, 0.2)(0.6, 0.4)(0.8, 0.25)(0.4, 0.66)(0.7, 0.4)(0.6, 0.53)(0.8, 0.3)
Y18(0.79, 0.35)(0.55, 0.6)(0.85, 0.3)(0.9, 0.2)(0.3, 0.8)(0.6, 0.4)(0.4, 0.7)(0.55, 0.6)(0.7, 0.4)(0.9, 0.1)
Table 6. Criteria ranking by decision-makers.
Table 6. Criteria ranking by decision-makers.
Criteria CodeTanking Criteria by Decision Makers Reevaluating   Criteria   by   Decision   Makers   ( ρ c d ) Average   Importance   Scores   ( P c ¯ )
DM1DM2DM3DM4DM5DM6DM1DM2DM3DM4DM5DM6
C1112111110.91110.98
C25233230.60.90.80.80.90.80.80
C34362620.70.80.50.90.50.90.72
C48784850.40.450.40.70.40.60.49
C5795101070.450.350.60.30.30.450.41
C661049960.50.30.70.350.350.50.45
C79875740.350.40.450.60.450.70.49
C810597490.30.60.350.450.70.350.46
C92618580.90.510.40.60.40.63
C1034563100.80.70.60.50.80.30.62
Table 7. Relative importance values, coefficient values, corrected weight, and final weights of criteria.
Table 7. Relative importance values, coefficient values, corrected weight, and final weights of criteria.
Criteria Code Sorted   P c ¯ from   High   to   Low Relative   Importance   Values   ( I c ) Coefficient   Values   ( f c ) Corrected   Weights   ( w c ) Final   Weights   ( W c )
C10.98-1.001.000.14
C20.800.181.180.850.12
C30.720.081.080.780.11
C90.630.081.080.720.10
C100.620.021.020.710.10
C40.490.131.130.630.09
C70.490.001.000.630.09
C80.460.031.030.610.09
C60.450.011.010.600.09
C50.410.041.040.580.08
Table 8. The results of Pythagorean fuzzy TOPSIS approach.
Table 8. The results of Pythagorean fuzzy TOPSIS approach.
CitiesAlternatives D ( y i ,   y + ) D ( y i ,   y ) S ( y i ) Ranking
IZMIRY10.380.38−0.7311
AYDINY20.390.38−0.7913
MUGLAY30.320.42−0.417
DENIZLIY40.350.42−0.529
AFYON KARAHISARY50.440.35−1.0316
BURDURY60.310.43−0.335
ISPARTAY70.380.38−0.7311
ANTALYAY80.260.510.001
KONYAY90.410.39−0.8414
KARAMANY100.260.49−0.062
MERSINY110.320.47−0.324
ADANAY120.390.38−0.7512
NIGDEY130.330.43−0.438
KAYSERIY140.430.33−1.0215
KARAMANMARASY150.380.43−0.6510
MALATYAY160.300.48−0.203
GAZIYANTEPY170.330.48−0.346
AYDIYAMANY180.340.45−0.438
Table 9. Sensitivity analysis.
Table 9. Sensitivity analysis.
WeightsScenario
Initial Weight1234567
W 1 0.140.100.5000.0770.0850.2000.2000.010
W 2 0.120.100.0690.0650.0720.0400.0710.140
W 3 0.110.100.0640.0600.0660.0370.2000.008
W 4 0.100.100.0590.0550.0610.0340.0610.140
W 5 0.100.100.0580.0540.0600.0330.0600.140
W 6 0.090.100.0520.0480.0530.0290.0530.140
W 7 0.090.100.0520.0480.0530.0290.0530.140
W 8 0.090.100.0500.0470.2500.2000.2000.006
W 9 0.090.100.0490.0460.2500.2000.0510.140
W 10 0.080.100.0470.5000.0490.2000.0490.140
OrderAlternatives with Final Score S ( y i )
1stY8 = 0Y8 = 0Y8 = 0Y3 =0Y8 = 0Y8 = 0Y8 = 0Y10 = 0
2ndY10 = −0.06Y10 = −0.05Y3 = −0.41Y1 = −0.057Y11 = −0.20Y11 = −0.39Y3 = −0.60Y16 = −0.46
3rdY16 = −0.20Y16 = −0.22Y10 = −1.20Y12 = −0.060Y17 = −0.27Y18 = −0.40Y11 = −0.70Y13 = −0.49
Publisher’s Note: MDPI stays neutral with regard to jurisdictional claims in published maps and institutional affiliations.

Share and Cite

MDPI and ACS Style

Mirzaei, N. A Multicriteria Decision Framework for Solar Power Plant Location Selection Problem with Pythagorean Fuzzy Data: A Case Study on Green Energy in Turkey. Sustainability 2022, 14, 14921. https://doi.org/10.3390/su142214921

AMA Style

Mirzaei N. A Multicriteria Decision Framework for Solar Power Plant Location Selection Problem with Pythagorean Fuzzy Data: A Case Study on Green Energy in Turkey. Sustainability. 2022; 14(22):14921. https://doi.org/10.3390/su142214921

Chicago/Turabian Style

Mirzaei, Nima. 2022. "A Multicriteria Decision Framework for Solar Power Plant Location Selection Problem with Pythagorean Fuzzy Data: A Case Study on Green Energy in Turkey" Sustainability 14, no. 22: 14921. https://doi.org/10.3390/su142214921

APA Style

Mirzaei, N. (2022). A Multicriteria Decision Framework for Solar Power Plant Location Selection Problem with Pythagorean Fuzzy Data: A Case Study on Green Energy in Turkey. Sustainability, 14(22), 14921. https://doi.org/10.3390/su142214921

Note that from the first issue of 2016, this journal uses article numbers instead of page numbers. See further details here.

Article Metrics

Back to TopTop