Non-Destructive Measurement of Quality Parameters of Apple Fruit by Using Visible/Near-Infrared Spectroscopy and Multivariate Regression Analysis
Abstract
1. Introduction
2. Materials and Methods
2.1. Sample Preparation
2.2. Used Spectroscopic Equipment
2.2.1. Spectroradiometer
2.2.2. Preparation of Vis/NIR Spectra of Samples
2.3. Reference Measurements (Destructive)
- (1).
- pH measurement was based on the method of Hasanzadeh et al. (2022) [22] with digital pH meter model inolab 7110;
- (2).
- Measurement of TA was based on the method of Jalili Marandi et al., 2004, with the following formula [23]:
- (3).
- Measurement of SSC was based on the method of Hasanzadeh et al. (2022) [22] with an optical refractometer model PAL-1 manufactured by ATAGO, Japan, with an accuracy of 0.1 °Brix;
- (4).
- Measurement of total phenol (TP) was based on the method of Du et al., 2009 [24] with spectrophotometer model (Termo One C-Termo Scientific-Waltham, CA, USA).
2.4. Model Development
3. Results
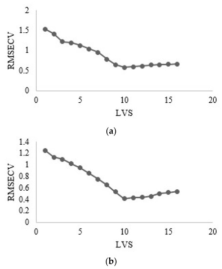
3.1. Multivariate Regression Modeling
3.2. pH Detection
3.3. Detection of Titratable Acidity (TA)
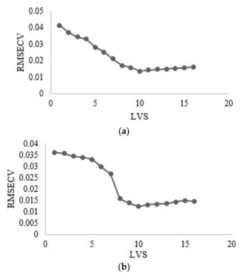
3.4. Detection of Soluble Solids Content (SSC)
3.5. Detection of Total Phenol (TP)
4. Conclusions
- The results of this research should be used in order to build a system for the diagnosis and grading of apples based on qualitative characteristics and based on radiometry;
- The non-destructive method of Vis/NIR spectroscopy should be used to detect other quality characteristics that are difficult to measure by destructive methods, including apple antioxidants, amino acids, vitamins, etc.;
- Separate calibration models should be developed for quality evaluation of other important apple cultivars.
Author Contributions
Funding
Institutional Review Board Statement
Informed Consent Statement
Data Availability Statement
Conflicts of Interest
References
- Juran, J.; Godferi, B. Juran’s Quality Handbook; Mahdavi, S.; Entesarian, F., Translators; Management and Quality Publications: Tehran, Iran, 2006. (In Farsi) [Google Scholar]
- Woodward, R. The Organisation for Economic Co-Operation and Development (OECD); Routledge: Oxfordshire, UK, 2009. [Google Scholar]
- Sharabiani, V.R.; Sabzi, S.; Pourdarbani, R.; Szymanek, M.; Michałek, S. Inner Properties Estimation of Gala Apple Using Spectral Data and Two Statistical and Artificial Intelligence Based Methods. Foods 2021, 10, 2967. [Google Scholar] [CrossRef] [PubMed]
- Lorente, D.; Blasco, J.; Serrano, A.J.; Soria-Olivas, E.; Aleixos, N.; Gómez-Sanchis, J. Comparison of ROC feature selection method for the detection of decay in citrus fruit using hyperspectral images. Food Bioprocess Technol. 2013, 6, 3613–3619. [Google Scholar] [CrossRef]
- Wu, D.; Sun, D.-W. Advanced applications of hyperspectral imaging technology for food quality and safety analysis and assessment: A review—Part I: Fundamentals. Innov. Food Sci. Emerg. Technol. 2013, 19, 1–14. [Google Scholar] [CrossRef]
- Khodabakhshian, R.; Emadi, B.; Khojastehpour, M.; Golzarian, M.R.; Sazgarnia, A. Quick quality evaluation of pomegranate arils using NIR spectroscopy. Innov. Food Technol. 2015, 2, 103–114. [Google Scholar]
- Bagherpour, H.; Minaei, S.; Noghbi, M.A.; Fardavani, M.E.K. A development of a real time sugar beet yield monitoring system and mapping product quality and quantity. In Proceedings of the 8th National Congress on Agr. Machinery Eng. (Biosystem) & Mechanization, Mashhad, Iran, 29–31 January 2013. (In Farsi). [Google Scholar]
- Walsh, K.B.; Blasco, J.; Zude-Sasse, M.; Sun, X. Visible-NIR ‘point’spectroscopy in postharvest fruit and vegetable assessment: The science behind three decades of commercial use. Postharvest Biol. Technol. 2020, 168, 111246. [Google Scholar] [CrossRef]
- Masilamani, P.; Venkatesan, S.; Janaki, P.; Eevera, T.; Sundareswaran, S.; Rajkumar, P. Role of near-infrared spectroscopy in seed quality evaluation: A review. Agric. Rev. 2020, 41, 106–115. [Google Scholar] [CrossRef]
- Lan, W.; Jaillais, B.; Leca, A.; Renard, C.M.; Bureau, S. A new application of NIR spectroscopy to describe and predict purees quality from the non-destructive apple measurements. Food Chem. 2020, 310, 125944. [Google Scholar] [CrossRef]
- Li, X.; Zhang, L.; Zhang, Y.; Wang, D.; Wang, X.; Yu, L.; Zhang, W.; Li, P. Review of NIR spectroscopy methods for nondestructive quality analysis of oilseeds and edible oils. Trends Food Sci. Technol. 2020, 101, 172–181. [Google Scholar] [CrossRef]
- Cen, H.; He, Y. Theory and application of near infrared reflectance spectroscopy in determination of food quality. Trends Food Sci. Technol. 2007, 18, 72–83. [Google Scholar] [CrossRef]
- Huang, L.; Meng, L.; Zhu, N.; Wu, D. A primary study on forecasting the days before decay of peach fruit using near-infrared spectroscopy and electronic nose techniques. Postharvest Biol. Technol. 2017, 133, 104–112. [Google Scholar] [CrossRef]
- Nazarloo, A.; Sharabiani, V.; Gilandeh, Y.; Taghinezhad, E.; Szymanek, M. Evaluation of Different Models for Non-Destructive Detection of Tomato Pesticide Residues Based on Near-Infrared Spectroscopy. Sensors 2021, 21, 3032. [Google Scholar] [CrossRef] [PubMed]
- Munawar, A.A.; Meilina, H.; Pawelzik, E. Near infrared spectroscopy as a fast and non-destructive technique for total acidity prediction of intact mango: Comparison among regression approaches. Comput. Electron. Agric. 2022, 193, 106657. [Google Scholar] [CrossRef]
- Xu, S.; Lu, H.; Ference, C.; Qiu, G.; Liang, X. Rapid nondestructive detection of water content and granulation in postharvest “shatian” pomelo using visible/near-infrared spectroscopy. Biosensors 2020, 10, 41. [Google Scholar] [CrossRef]
- Amuah, C.L.; Teye, E.; Lamptey, F.P.; Nyandey, K.; Opoku-Ansah, J.; Adueming, P.O. Feasibility study of the use of handheld NIR spectrometer for simultaneous authentication and quantification of quality parameters in intact pineapple fruits. J. Spectrosc. 2019, 2019, 5975461. [Google Scholar] [CrossRef]
- Castrignanò, A.; Buttafuoco, G.; Malegori, C.; Genorini, E.; Iorio, R.; Stipic, M.; Girone, G.; Venezia, A. Assessing the feasibility of a miniaturized near-infrared spectrometer in determining quality attributes of san marzano tomato. Food Anal. Methods 2019, 12, 1497–1510. [Google Scholar] [CrossRef]
- Shao, Y.; Xuan, G.; Hu, Z.; Gao, Z.; Liu, L. Determination of the bruise degree for cherry using Vis-NIR reflection spectroscopy coupled with multivariate analysis. PLoS ONE 2019, 14, e0222633. [Google Scholar] [CrossRef]
- Pourdarbani, R.; Sabzi, S.; Kalantari, D.; Karimzadeh, R.; Ilbeygi, E.; Arribas, J.I. Automatic non-destructive video estimation of maturation levels in Fuji apple (Malus Malus pumila) fruit in orchard based on colour (Vis) and spectral (NIR) data. Biosyst. Eng. 2020, 195, 136–151. [Google Scholar] [CrossRef]
- Bian, H.; Sheng, L.; Yao, H.; Ji, R.; Yu, Y.; Chen, R.; Wei, D.; Han, Y. Application of fluorescence spectroscopy in classifying apple juice according to the variety. Optik 2021, 231, 166361. [Google Scholar] [CrossRef]
- Hasanzadeh, B.; Abbaspour-Gilandeh, Y.; Soltani-Nazarloo, A.; Hernández-Hernández, M.; Gallardo-Bernal, I.; Hernández-Hernández, J.L. Non-Destructive Detection of Fruit Quality Parameters Using Hyperspectral Imaging, Multiple Regression Analysis and Artificial Intelligence. Horticulturae 2022, 8, 598. [Google Scholar] [CrossRef]
- Marandi, R.J. Postharvest Physiology (Handling and Storage of Fruits, Vegetables and Ornamental Plants); Publishers Jihad Urmia University: Urmia, Iran, 2004; p. 276. [Google Scholar]
- Du, G.; Li, M.; Ma, F.; Liang, D. Antioxidant capacity and the relationship with polyphenol and vitamin C in Actinidia fruits. Food Chem. 2009, 113, 557–562. [Google Scholar] [CrossRef]
- Moons, E.; Sinnaeve, G.; Dardenne, P. Non destructive visible and NIR spectroscopy measurement for the determination of apple internal quality. In Proceedings of the XXV International Horticultural Congress, Part 7: Quality of Horticultural Products, Brussels, Belgium, 2–7 August 1998. [Google Scholar]
- Nturambirwe, J.F.I.; Nieuwoudt, H.H.; Perold, W.J.; Opara, U.L. Non-destructive measurement of internal quality of apple fruit by a contactless NIR spectrometer with genetic algorithm model optimization. Sci. Afr. 2019, 3, e00051. [Google Scholar] [CrossRef]
- Xiaobo, Z.; Jiewen, Z.; Xingyi, H.; Yanxiao, L. Use of FT-NIR spectrometry in non-invasive measurements of soluble solid contents (SSC) of ‘Fuji’apple based on different PLS models. Chemom. Intell. Lab. Syst. 2007, 87, 43–51. [Google Scholar] [CrossRef]
- McGlone, V.A.; Kawano, S. Firmness, dry-matter and soluble-solids assessment of postharvest kiwifruit by NIR spectroscopy. Postharvest Biol. Technol. 1998, 13, 131–141. [Google Scholar] [CrossRef]
- Fan, S.; Wang, Q.; Tian, X.; Yang, G.; Xia, Y.; Li, J.; Huang, W. Non-destructive evaluation of soluble solids content of apples using a developed portable Vis/NIR device. Biosyst. Eng. 2020, 193, 138–148. [Google Scholar] [CrossRef]
- Tian, X.; Li, J.; Yi, S.; Jin, G.; Qiu, X.; Li, Y. Nondestructive determining the soluble solids content of citrus using near infrared transmittance technology combined with the variable selection algorithm. Artif. Intell. Agric. 2020, 4, 48–57. [Google Scholar] [CrossRef]
- Pissard, A.; Pierna, J.A.F.; Baeten, V.; Sinnaeve, G.; Lognay, G.; Mouteau, A.; Dupont, P.; Rondia, A.; Lateur, M. Non-destructive measurement of vitamin C, total polyphenol and sugar content in apples using near-infrared spectroscopy. J. Sci. Food Agric. 2013, 93, 238–244. [Google Scholar] [CrossRef] [PubMed]
- Bureau, S.; Ścibisz, I.; Le Bourvellec, C.; Renard, C.M. Effect of sample preparation on the measurement of sugars, organic acids, and polyphenols in apple fruit by mid-infrared spectroscopy. J. Agric. Food Chem. 2012, 60, 3551–3563. [Google Scholar] [CrossRef] [PubMed]











| Cultivars | Preprocessing | Optimal LVs | Rc | RMSEC | Rcv | RMSECV | SDR |
|---|---|---|---|---|---|---|---|
| Red Delicious | No preprocessing | 11 | 0.936 | 0.019 | 0.900 | 0.031 | 2.49 |
| Gaussian filter | 11 | 0.962 | 0.019 | 0.891 | 0.033 | 2.34 | |
| Smoothing S.G | 11 | 0.936 | 0.024 | 0.838 | 0.040 | 1.93 | |
| 1stDerivatives | 10 | 0.990 | 0.009 | 0.969 | 0.017 | 2.54 | |
| 2stDerivatives | 9 | 0.991 | 0.009 | 0.979 | 0.014 | 2.51 | |
| Normalize | 11 | 0.977 | 0.015 | 0.929 | 0.026 | 2.97 | |
| SNV | 11 | 0.976 | 0.015 | 0.912 | 0.030 | 2.57 | |
| MSC | 11 | 0.983 | 0.013 | 0.948 | 0.022 | 3.35 | |
| MSC + SNV | 9 | 0.977 | 0.005 | 0.973 | 0.005 | 3.45 | |
| Golden Delicious | No preprocessing | 11 | 0.997 | 0.008 | 0.993 | 0.014 | 2.69 |
| Gaussian filter | 11 | 0.996 | 0.010 | 0.988 | 0.018 | 2.53 | |
| Smoothing S.G | 11 | 0.977 | 0.025 | 0.933 | 0.044 | 3.08 | |
| 1stDerivatives | 11 | 0.998 | 0.006 | 0.997 | 0.009 | 3.07 | |
| 2stDerivatives | 7 | 0.997 | 0.007 | 0.996 | 0.010 | 3.65 | |
| Normalize | 11 | 0.998 | 0.007 | 0.995 | 0.012 | 2.30 | |
| SNV | 10 | 0.997 | 0.009 | 0.992 | 0.015 | 2.04 | |
| MSC | 11 | 0.998 | 0.005 | 0.996 | 0.010 | 2.56 | |
| MSC + SNV | 10 | 0.997 | 0.009 | 0.992 | 0.015 | 2.04 |
| Cultivars | Preprocessing | Optimal LVs | Rc | RMSEC | Rcv | RMSECV | SDR |
|---|---|---|---|---|---|---|---|
| Red Delicious | No preprocessing | 11 | 0.985 | 0.006 | 0.953 | 0.012 | 3.54 |
| Gaussian filter | 11 | 0.958 | 0.437 | 0.872 | 0.787 | 1.75 | |
| Smoothing S.G | 11 | 0.964 | 0.010 | 0.884 | 0.019 | 2.24 | |
| 1stDerivatives | 10 | 0.996 | 0.003 | 0.989 | 0.005 | 2.51 | |
| 2stDerivatives | 11 | 0.993 | 0.004 | 0.980 | 0.008 | 3.32 | |
| Normalize | 11 | 0.991 | 0.005 | 0.973 | 0.009 | 2.79 | |
| SNV | 11 | 0.990 | 0.005 | 0.970 | 0.009 | 2.72 | |
| MSC | 11 | 0.993 | 0.004 | 0.979 | 0.008 | 3.32 | |
| MSC + SNV | 11 | 0.990 | 0.005 | 0.970 | 0.009 | 2.72 | |
| Golden Delicious | No preprocessing | 11 | 0.997 | 0.002 | 0.991 | 0.004 | 2.90 |
| Gaussian filter | 11 | 0.993 | 0.004 | 0.979 | 0.007 | 2.66 | |
| Smoothing S.G | 11 | 0.953 | 0.010 | 0.861 | 0.018 | 2.2 | |
| 1stDerivatives | 11 | 0.998 | 0.002 | 0.996 | 0.003 | 2.3 | |
| 2stDerivatives | 6 | 0.996 | 0.003 | 0.993 | 0.004 | 3.90 | |
| Normalize | 10 | 0.997 | 0.002 | 0.992 | 0.004 | 3.90 | |
| SNV | 10 | 0.998 | 0.001 | 0.996 | 0.002 | 2.81 | |
| MSC | 9 | 0.997 | 0.002 | 0.994 | 0.003 | 2.81 | |
| MSC + SNV | 10 | 0.998 | 0.001 | 0.996 | 0.002 | 2.81 |
| Cultivars | Preprocessing | Optimal LVs | Rc | RMSEC | Rcv | RMSECV | SDR |
|---|---|---|---|---|---|---|---|
| Red Delicious | No preprocessing | 11 | 0.967 | 0.389 | 0.900 | 0.684 | 2.53 |
| Gaussian filter | 11 | 0.958 | 0.437 | 0.872 | 0.787 | 2.20 | |
| Smoothing S.G | 11 | 0.892 | 0.691 | 0.638 | 0.285 | 1.35 | |
| 1stDerivatives | 10 | 0.988 | 0.228 | 0.970 | 0.370 | 2.69 | |
| 2stDerivatives | 10 | 0.990 | 0.209 | 0.972 | 0.360 | 2.82 | |
| Normalize | 11 | 0.986 | 0.248 | 0.956 | 0.453 | 2.83 | |
| SNV | 11 | 0.984 | 0.267 | 0.950 | 0.481 | 2.60 | |
| MSC | 11 | 0.985 | 0.255 | 0.961 | 0.424 | 2.09 | |
| MSC + SNV | 11 | 0.984 | 0.267 | 0.950 | 0.481 | 2.60 | |
| Golden Delicious | No preprocessing | 11 | 0.998 | 0.065 | 0.995 | 0.117 | 2.86 |
| Gaussian filter | 11 | 0.997 | 0.089 | 0.990 | 0.168 | 3.56 | |
| Smoothing S.G | 11 | 0.986 | 0.206 | 0.954 | 0.377 | 3.37 | |
| 1stDerivatives | 7 | 0.997 | 0.093 | 0.994 | 0.132 | 2.63 | |
| 2stDerivatives | 7 | 0.998 | 0.075 | 0.996 | 0.107 | 2.88 | |
| Normalize | 10 | 0.997 | 0.088 | 0.993 | 0.145 | 2.77 | |
| SNV | 9 | 0.996 | 0.103 | 0.991 | 0.161 | 2.89 | |
| MSC | 10 | 0.999 | 0.054 | 0.997 | 0.093 | 2.67 | |
| MSC + SNV | 9 | 0.996 | 0.103 | 0.991 | 0.161 | 2.89 |
| Cultivars | Preprocessing | Optimal LVs | Rc | RMSEC | Rcv | RMSECV | SDR |
|---|---|---|---|---|---|---|---|
| Red Delicious | No preprocessing | 11 | 0.976 | 4.161 | 0.925 | 7.312 | 2.73 |
| Gaussian filter | 11 | 0.971 | 4.538 | 0.911 | 8.027 | 2.49 | |
| Smoothing S.G | 11 | 0.947 | 6.119 | 0.841 | 10.738 | 1.86 | |
| 1stDerivatives | 11 | 0.988 | 2.865 | 0.965 | 4.970 | 2.02 | |
| 2stDerivatives | 11 | 0.989 | 2.752 | 0.966 | 4.931 | 2.05 | |
| Normalize | 10 | 0.965 | 5.015 | 0.904 | 8.342 | 2.39 | |
| SNV | 11 | 0.980 | 3.797 | 0.926 | 7.525 | 2.65 | |
| MSC | 11 | 0.985 | 3.282 | 0.949 | 6.225 | 3.21 | |
| MSC + SNV | 11 | 0.980 | 3.797 | 0.926 | 7.525 | 2.65 | |
| Golden Delicious | No preprocessing | 11 | 0.997 | 2.067 | 0.993 | 3.548 | 3.03 |
| Gaussian filter | 11 | 0.995 | 2.889 | 0.987 | 4.943 | 2.09 | |
| Smoothing S.G | 11 | 0.981 | 5.968 | 0.938 | 11.027 | 2.76 | |
| 1stDerivatives | 7 | 0.995 | 2.812 | 0.992 | 3.941 | 2.93 | |
| 2stDerivatives | 7 | 0.998 | 1.767 | 0.996 | 2.462 | 3.30 | |
| Normalize | 11 | 0.998 | 1.739 | 0.994 | 3.251 | 2.94 | |
| SNV | 11 | 0.998 | 1.457 | 0.997 | 2.360 | 1.61 | |
| MSC | 10 | 0.998 | 1.941 | 0.994 | 3.198 | 1.32 | |
| MSC + SNV | 11 | 0.998 | 1.457 | 0.997 | 2.360 | 1.61 |
Publisher’s Note: MDPI stays neutral with regard to jurisdictional claims in published maps and institutional affiliations. |
© 2022 by the authors. Licensee MDPI, Basel, Switzerland. This article is an open access article distributed under the terms and conditions of the Creative Commons Attribution (CC BY) license (https://creativecommons.org/licenses/by/4.0/).
Share and Cite
Hasanzadeh, B.; Abbaspour-Gilandeh, Y.; Soltani-Nazarloo, A.; Cruz-Gámez, E.D.L.; Hernández-Hernández, J.L.; Martínez-Arroyo, M. Non-Destructive Measurement of Quality Parameters of Apple Fruit by Using Visible/Near-Infrared Spectroscopy and Multivariate Regression Analysis. Sustainability 2022, 14, 14918. https://doi.org/10.3390/su142214918
Hasanzadeh B, Abbaspour-Gilandeh Y, Soltani-Nazarloo A, Cruz-Gámez EDL, Hernández-Hernández JL, Martínez-Arroyo M. Non-Destructive Measurement of Quality Parameters of Apple Fruit by Using Visible/Near-Infrared Spectroscopy and Multivariate Regression Analysis. Sustainability. 2022; 14(22):14918. https://doi.org/10.3390/su142214918
Chicago/Turabian StyleHasanzadeh, Behzad, Yousef Abbaspour-Gilandeh, Araz Soltani-Nazarloo, Eduardo De La Cruz-Gámez, José Luis Hernández-Hernández, and Miriam Martínez-Arroyo. 2022. "Non-Destructive Measurement of Quality Parameters of Apple Fruit by Using Visible/Near-Infrared Spectroscopy and Multivariate Regression Analysis" Sustainability 14, no. 22: 14918. https://doi.org/10.3390/su142214918
APA StyleHasanzadeh, B., Abbaspour-Gilandeh, Y., Soltani-Nazarloo, A., Cruz-Gámez, E. D. L., Hernández-Hernández, J. L., & Martínez-Arroyo, M. (2022). Non-Destructive Measurement of Quality Parameters of Apple Fruit by Using Visible/Near-Infrared Spectroscopy and Multivariate Regression Analysis. Sustainability, 14(22), 14918. https://doi.org/10.3390/su142214918

