Abstract
With the depletion of shallow mineral resources, the sustainable development and utilization of deep mineral resources will become a normal activity. As a type of clean energy to promote sustainable development, gas in deep coal seams has attracted wide attention. A better understanding of the permeability evolution induced by mining disturbance and the geological environment is of great importance for underground coal exploitation and gas extraction. In order to analyze the evolution of the mechanical properties and permeability of deep coal that are induced by high ground temperature, coal of the Pingdingshan Coal Mine has been investigated, and the seepage tests were carried out by keeping the confining pressure constant and loading and unloading axial stress under different temperature conditions. The effect of temperature on the peak strength and the initial elastic modulus of coal samples is analyzed. The evolution of permeability, which is estimated with the transient pulse method, based on fractional derivative and fracture connectivity, are discussed by establishing the relationship between fracture connectivity and fractional derivative. Meanwhile, the damage variable that is caused by stress and temperature is introduced and the contribution of thermal damage on coal damage accumulation is discussed. A theoretical model is proposed regarding permeability evolution with temperature and stress based on the Cui–Bustin model, which is verified by experimental data. It has been found that the strength and elastic modulus of deep coal decrease nonlinearly with increasing temperature, which demonstrates that temperature has a weakening effect on the mechanical properties of coal. The fracture connectivity and permeability evolution trends with axial strain are consistent under different temperatures, which decrease slowly in the compaction and linear elastic stages, reach the minimum at the volumetric dilation point, gradually increase in the yield stage, then have a sharp increasing trend in the post-peak stage and, finally, become steady in the residual stage. The damage induced by temperature increases with rising temperatures under different external load conditions. When the external load increases gradually, the thermal damage still accumulates, but the thermal damage variable ratio decreases. The proposed permeability model considering temperature and stress can describe the trend of the experimental data. With axial stress increasing, the influence of temperature on permeability decreases, and its leading effect is mainly reflected in the compaction stage and the linear elastic stage of coal.
1. Introduction
With the growth of energy demand, coal resources, which are the main component of fossil energy, are still the main driving force for industrial and economic development []. However, the shallow resources are exhausted, and the exploitation of deep resources has gradually been normalized. In order to achieve the efficient and sustainable development of deep coal resources, researchers have developed coal resource utilization from different perspectives. In the aspect of coal mining technology, relevant scholars have put forward new coal mining technology in order to recover the coal pillars that have been formed by traditional coal mining technology and to improve the utilization rate of coal resources []. In coal flotation, a variety of technologies have been proposed and developed in order to improve the flotation efficiency and to avoid the waste of coal resources []. Furthermore, as a type of clean energy, gas in deep coal seams is accompanied by dangers, which seriously threaten the safety of mining. Gas extraction has become an effective method to ensure mining safety, sustainable development, and to reduce global warming [,], and it is particularly important to master the rules of gas extraction. Due to this occurrence, the environment of deep coal and rock mass is characterized by high ground stress, high ground temperature, and high pore pressure [], and the mining of deep coal resources faces more and more challenges. As for one of the challenges, due to its high gas content, the efficient mining of coal resources in high gas mines has been restricted. With the increase in mining depth, the temperature rise gradient is 30 ºC/km [], which not only increases the difficulty for underground construction for workers, but also has an inevitable impact on coal deformation and gas flow. Due to the influence of higher ground temperatures, the gas migration of a deep coal seam is more complicated than that of a shallow coal seam, which increases the difficulty of gas control.
As an important parameter characterizing the law of gas migration, the permeability determines the difficulty of gas extraction [], which cannot be ignored in the study of gas extraction safety. However, with the increase in mining depth and ground temperature, the permeability of deep coal becomes lower and shows more complex evolution law. Therefore, it is of great significance for safe gas extraction to grasp the permeability evolution characteristics of deep coal with different ground temperatures.
Relevant researchers have studied the permeability evolution of coal under different temperature conditions and have obtained the influence law of temperature on permeability evolution. Xie et al. [] studied the permeability evolution of coal and rock mass with an increase in temperature from a microscopic perspective and believed that the solid particles and the pure pores were significantly affected by temperature, leading to greater changes in the pores and, thus, had a direct impact on the permeability. Li et al. [,] analyzed the coupling effect of temperature and pore pressure on permeability from theoretical and experimental perspectives, and believed that when the pore pressure is constant, the permeability of coal and rock decreases first and then increases in the process of a temperature rise. Yin et al. [] studied the influence of temperature on permeability during coalbed methane extraction and found that the change in the permeability of coalbed methane with temperature depends on the stress–strain stage; the permeability decreases with the increase in temperature during the compression stage and the elastic stage, and temperature has little effect on the permeability after the yield stage due to fracture development, which is the dominant factor. Wang et al. [] believe that permeability decreases first and then increases with the increase in gas pressure, and the influence of temperature on permeability is complex. Li et al. [] found that, with the increase in temperature, the permeability increases in the loading stage, while the permeability first increases and then decreases in the unloading stage. Xu et al. [] found that there is an exponential relationship between permeability and temperature. Huang et al. [] found that the experimental permeability of rock decreases with an increase in temperature, and the magnitude of drop decreases with an increase in temperature. Li et al. [] conducted a series of tests and found that, with an increase in temperature, permeability is stable in the linear elastic stage. In the yield stage and the post-peak failure stage, permeability first increases slowly and then increases rapidly.
Through the above research, the influence of temperature on coal permeability has been understood from experimental and theoretical perspectives. Most of the above studies are based on experimental research in the conventional triaxial compression process of shallow coal seams. They lack the permeability research in the in situ stress environment of deep coal and ignore the difference in the permeability evolution under the influence of mining disturbance and conventional compression conditions. In the mining process of deep coal seams, the adjacent coal seams are mined one by one. For the coal body of the coal seam that is to be mined, it will have experienced the stress path of cyclic loading and unloading, and the permeability characteristics of the coal body will have also changed. However, there are few studies on the mechanical behavior and seepage characteristics of deep coal undergoing cyclic loading and unloading until the residual stage. Therefore, this paper takes deep coal as the research object, adopts the stress path of cyclic loading and unloading in order to carry out seepage tests, analyzes the influence of temperature on permeability evolution in the whole experimental process under different temperatures, and it provides a certain guiding significance to master the law of gas migration and safe gas extraction under the influence of mining-induced stress.
2. Experiment Samples and Equipment
2.1. Coal Sample Preparation
The coal samples used in this experiment, which are deep coal, are taken from working face J15 of the Pingdingshan Coal Mine in Central China. The parameters of elastic modulus, Poission’s ratio, and density are shown in Table 1.

Table 1.
Mechanical and physical parameters of coal.
After the process of drilling, coring, cutting, and grinding in Liuyang, standard samples with a diameter of 50 mm and a height of 100 mm are made according to the standard rules of the rock mechanics test [], as shown in Figure 1. The deviation allowed for the diameter is less than 0.2 mm, the allowable deviation of the roughness of the two end faces is less than 0.05 mm, and the vertical deviation between the end face and the axis is no more than ±0.25°.

Figure 1.
The diagram of coal sample preparation ((a) core drilling; (b) the samples).
In order to minimize the dispersion between the coal samples, the ultrasonic pulse transmission method is used to test the wave velocity of the samples before the seepage test, and the coal samples with similar shear wave and longitudinal wave velocities are selected. All of the available coal samples are then vacuumed and soaked in water for 48 h to reach a full saturation state.
2.2. Experiment Set-Up and Procedure
The MTS815 test system of Hunan University of Science and Technology is used in this procedure (Figure 2). The maximum axial force is 4600 kN, the maximum confining pressure is 140 MPa, and the maximum pore pressure reaches 140 MPa. High temperature heating equipment can reach up to 200 °C.

Figure 2.
Experimental set-up of triaxial loading seepage of coal.
In order to study the influence of temperature on the permeability evolution of deep coal, confining pressure (15 MPa) and pore pressure (3 MPa) remain unchanged in this test. In addition, the loading and unloading axial stress are carried out to the residual stage of coal. Four temperature gradients are set in this experiment: 30 °C, 50 °C, 70 °C, and 90 °C.
In order to protect the experiment equipment, the stress control method is adopted before the axial stress reaches 80% of the estimated peak stress, and the loading rate is 20 kN/min. When the stress exceeds 80% of the estimated peak value, the loading method is changed with the displacement-controlled mode, with a rate of 0.3 mm/min. The unloading rate is 20 kN/min throughout the test. The detailed test steps are as follows (Figure 3):

Figure 3.
The diagram with loading path.
- (1)
- Heat the coal to the target temperature at a rate of 20 °C/h;
- (2)
- Load confining pressure to 15 MPa and pore pressure to 3 MPa. In addition, measure the initial permeability k0 of coal under the hydrostatic pressure state;
- (3)
- Increase the axial stress to 40% of the estimated peak strength and measure the coal permeability k1; Unload to hydrostatic pressure, measure permeability of coal k2, and complete one cycle;
- (4)
- Repeat step (3) until the residual stage of the coal sample.
3. Experimental Results and Analysis
3.1. Influence of Temperature on the Mechanical Properties of Deep Coal
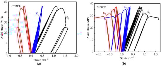
The whole stress–strain curve of the triaxial cyclic loading and unloading is shown in Figure 4. It can be seen that the stress–strain curve of the triaxial cyclic loading and unloading is consistent with the conventional triaxial test, which consists of an obvious compaction stage, a linear elastic stage, a yield stage, a failure stage, and a residual stage. At the same time, it can be observed from the loading and unloading curves that, in the same cycle, the unloading curve is always below the loading curve, indicating that there is irreversible plastic deformation inside the coal, and this deformation is especially noteworthy when the coal body enters the yield stage. The volumetric strain curve also shows an obvious dilatation phenomenon. After the volumetric dilatation point, the volumetric strain decreases gradually, and even becomes negative. Moreover, this trend is more and more obvious after coal failure.


Figure 4.
Stress–strain curves of cyclic loading and unloading under different temperatures. (a) T = 30 °C, (b) T = 50 °C, (c) T = 70 °C, and (d) T = 90 °C.
In order to study the influence of temperature on the mechanical properties of coal, the peak strength and the initial elastic modulus at different temperature conditions are calculated. The results are shown in Table 2.

Table 2.
Mechanical properties of coal under different temperatures.
In order to visually analyze the evolution of the mechanical parameters, such as the peak strength and the elastic modulus of coal with temperature, the data in Table 2 are plotted in Figure 5.

Figure 5.
Influence of temperature on peak strength and elastic modulus.
It can be seen from Figure 5 that the peak strength of the coal decreases with the increase in the temperature. When the temperature increases from 30 °C to 50 °C, the peak intensity decreases by 15.5%, the peak decreases by 10.5% when the temperature increases from 50 °C to 70 °C, and, as the temperature rises from 70 °C to 90 °C, the peak strength is reduced by 5.9%. This indicates that rising temperature causes thermal damage to the coal, resulting in a reduction in the strength.
In order to quantitatively characterize the influence of temperature on the peak strength, the parameter CT, °C−1, which is defined as the relative change in the peak strength for every increasing 1°C in temperature, is normalized. It can be obtained with the following formula:
where σp(n) and Tn represent the peak strength and the temperature of the nth measurement point, respectively. The larger the CT is, the more significantly the peak strength is affected by the temperature. According to the formula, the parameter CT of every two adjacent data points can be calculated, which are 0.78%, 0.53%, and 0.29% °C−1, respectively. This means that a higher temperature has less effect on the peak strength.
As shown in Figure 5, the initial elastic modulus of the coal also decreases with rising temperatures. When the temperature is raised to 50 °C, the elastic modulus decreases by 9.0%. When the temperature changes from 50 °C to 70 °C, the elastic modulus decreases by 7.5%. Furthermore, as the temperature increases from 70 °C to 90 °C, it is reduced by 5.4%. This indicates that the heating at the beginning of the seepage test reduces the stiffness of the coal body and the bearing capacity of the samples.
In the same way, in order to quantitatively characterize the influence of temperature on the elastic modulus, the parameter ET, °C−1, which is defined as the relative change in the elastic modulus for every increasing 1°C in temperature, is proposed as follows:
where E(n) and Tn represent the elastic modulus and the temperature of the nth measurement point, respectively. The larger the ET is, the more significantly the elastic modulus is affected by temperature.
The temperature sensitivity coefficients of the elastic modulus of each two adjacent measuring points are calculated by the formula, and they are 0.45%, 0.38%, and 0.27%°C−1, respectively, which means that the higher the temperature, the less impact is has on the elastic modulus.
To sum up, the mechanical parameters of the coal indicate a weakening trend with an increase in temperature, which is consistent with the research results of Xu et al. [] and Shao et al. [].
3.2. Permeability Evolution at Different Temperatures
In general, there are two methods of measuring the permeability of coal: the steady-state method and the transient method. Compared with the steady-state method, the transient pressure pulse method does not require a steady flow state and it takes less time to measure the permeability. Moreover, the pressure gauge has a small range, a high precision, and the flow that is measured is more accurate, therefore, the test results are more exact. The transient pressure pulse method is suitable for the permeability measurement of tight low-permeability rocks [,,,]. In this test, the transient pressure pulse method is used to measure the permeability of coal samples with distilled water as the permeation medium.
The traditional transient method was put forward by Brace [] and then extensively studied and used by scholars [,,]. The variation trend of the pressure difference P(t) between the upper and the lower reservoirs of the sample with time t is fitted with Equation (3),
where P0 is the initial pressure difference and a is the fitting coefficient, which has the following relationship with permeability k:
The calculation formula of permeability k that is measured by the transient method can be obtained from Equations (3) and (4),
where t is the time of the permeability measurement (s); P0 and P(t) are the pressure differences (MPa) at the beginning and at the end of the measurement of the permeability process, respectively; μ is the dynamic viscosity of water (1.002 × 10−3 Pa·s); β is the compression coefficient of water (4.53 × 10−10 Pa−1); V is the volume of the hydraulic chamber of the test machine (m3); and A and L are the cross-sectional area (m2) and the height (m) of the sample, respectively.
However, considering the memory effect of rock and solid–liquid interaction, Yang et al. [] proposed a transient permeability calculation method based on a fractional derivative. In this method, the Mittag-Leffler function is used in order to fit the trend of the pressure difference with time (Equation (6)) as follows:
where, a is the fitting coefficient of the M-L function, λ is the fractional order that is obtained by fitting, , and
is the Mittag-Leffler function. In special cases, when λ = 1, Equation (6) degenerates into an exponential function, i.e., Equation (3).
Thus, the calculation formula of the coal permeability kf based on a fractional derivative can be derived as follows:
Figure 6 shows the comparison results with M-L function and the exponential function, fitting the pressure drop with time for one cycle under different temperature conditions. It can be seen that the M-L function has a better fitting presentation for the pressure drop trend over time, therefore, the fitting coefficient a that is obtained by this function is more accurate, and the permeability that is measured and calculated is closer to the actual situation. The result is also consistent with the study of Zhou et al. [] and Zhou et al. [].

Figure 6.
Pressure drop with time for one cycle under different temperature conditions. (a) 30 °C, (b) 50 °C, (c) 70 °C, and (d) 90 °C.
An et al. [] introduced parameter C to characterize the connectivity degree of the fractures inside of the coal. The larger the C is, the higher the fracture connectivity degree will be. In addition, it is considered that there is a complementary relationship between the fracture connectivity C and the fractional order λ, namely,
The fracture connectivity C of every cycle during the loading and unloading process can be obtained with Equation (9). Meanwhile, in order to compare the permeability k that is calculated by the traditional transient method and the permeability kf that is based on the fractional derivative, the permeability of the same loading cycle is calculated by both methods. The permeability k and kf of each cycle at different temperatures and the fracture connectivity C with axial strain are plotted in Figure 7.

Figure 7.
Permeability and connectivity evolution curves under different temperatures (I is the compressive and elastic stage; II is the yield stage; III is the destruction and residual stage). (a) 30 °C, (b) 50 °C, (c) 70 °C, and (d) 90 °C.
Figure 7 indicates that, under different temperature conditions, the evolution trends of the permeability and the fracture connectivity of the coal are basically the same, which can be divided into three stages. (I) In the compaction stage and the linear elastic stage, because the original microporous fractures in the coal sample are compressed, the fracture connectivity decreases, the effective seepage channel is blocked to a certain extent, and the permeability decreases and reaches the minimum value at the volume dilation point. (II) In the yield stage, both the permeability and the fracture connectivity increase slightly, which is because coal cracks develop, new micro-cracks gradually emerge, the connectivity among the fractures increases, and the sample changes from the volume compression state to expansion. (III) When the axial stress exceeds the peak strength, the coal enters the failure stage. The internal structure of the coal is gradually destroyed, the fractures develop rapidly, and they even penetrate each other in order to form a macroscopic fracture surface. The fracture connectivity rises significantly, and more seepage channels are formed, causing the permeability to increase sharply. In the residual stage, the fracture connectivity and the permeability tend to be stable, due to confining pressure.
By establishing the relationship between the fracture connectivity and the fractional order, the mathematical parameters λ are endowed with physical meaning and provide more basis for permeability evolution. The evolution of fracture connectivity is the internal cause of the permeability evolution, and the permeability evolution can be regarded as an immediate result of the fracture connectivity evolution.
Moreover, it can be seen from Figure 7 that, compared to the permeability k that is calculated by the traditional transient method, the permeability kf that is calculated by the method based on the fractional derivative is larger, by even more than one order of magnitude, hence, the difference cannot be ignored and the transient method based on the fractional order should be adopted in order to calculate the permeability of deep coal.
3.3. Damage Behavior of Coal under the Combined Effects of Stress and Temperature
The permeability evolution and the internal fracture connectivity changes in coal under different temperatures are studied in the above experiments. It has been found that permeability value varies under different temperatures, the reason for which is that the different degrees of damage accumulation and structure evolution occur inside of the coal with the comprehensive influence of temperature and stress. In order to quantify the influence of temperature and stress on the internal structure evolution and damage of the coal, the damage variable is defined in this paper considering the influence of the mechanics and the temperature based on the mechanics of continuous media theory and the Weibull distribution theory [,].
where D represents the damage of coal that is caused by stress and temperature. is the increment of the axial strain of a micro unit, which can be obtained with Equation (11). m0 is the shape parameter (m0 > 0), and it has a relationship with temperature. is the scale parameter ().
where is the increment of the axial stress, MPa; and are the increment of radial stress, MPa (the two are equal in the traditional triaxial compression experiment); is the Poisson’s ratio; E is the elastic modulus, GPa; is the thermal expansion coefficient, K−1; is the change in the temperature; and is the initial temperature. p and q are parameters that are related to m0.
Substituting Equations (11) and (12) into Equation (10) with , the damage variable can be deduced by
Equation (13) degrades into Equation (14) when the stress of the coal remains unchanged under hydrostatic pressure,
In fact, the Equation (14) is a theoretical model of a damage variable that is caused by temperature, which is expressed by DT. From the perspective of this experiment, DT can be obtained with the decay of the elastic modulus, i.e.,
where ET and E0 are the elastic modulus at increasing temperatures and the initial elastic modulus, respectively.
Combined with the experimental data of the elastic modulus at different temperature conditions in Section 3.1, the damage variable that is induced by temperature DT can be calculated with Equation (15). Furthermore, parameters p and q can be obtained with Equation (14).
By substituting the two parameters p and q into Equation (13), the model formula of damage evolution is obtained, i.e.,
In order to demonstrate the influence of stress and temperature on coal damage more intuitively, the evolution trend of the coal damage with temperature under different external load conditions is analyzed in this section, combined with Equation (16), in order to characterize the internal damage of the coal, as shown in Figure 8.

Figure 8.
Evolution of damage variable with temperature increment.
The key parameters p and q have been determined by the cyclic loading and unloading experimental data at different temperatures. The influence of the temperature on the damage process of the coal is emphatically analyzed, as shown in Figure 8. When the external mechanical load has not acted on the coal, the damage to the coal is mainly caused by the change in the temperature. The larger the temperature increment, the greater the damage and failure degree of the coal. When the external load is gradually applied to the coal body, the damage process of the coal is affected by both the temperature and the external load. Under different external loads, the evolution law of the coal damage with temperature is also different. In order to further analyze the contribution degree of the temperature to coal damage under different external loads, the thermal damage variable ratio W is defined,
where D is the damage that is induced by stress and temperature and DT is the damage that is caused by temperature.
The thermal damage variable ratio with temperature under different external loads is shown in Figure 9. Under the same external load, the higher the temperature, the greater the contribution of the temperature to the damage W. As the external load increases gradually, the thermal damage still accumulates, but the thermal damage variable ratio W decreases. The above damage evolution law not only reflects that the damage accumulation of deep coal is a combined result of stress and temperature, but it also reveals the mutual influence between them, especially the restriction of the external load on the coal deterioration that is induced by temperature.

Figure 9.
Evolution of damage variable ratio with temperature increment.
4. Discussion
As an important part of deep coal resources, gas has gradually changed from a threat to the safe mining of coal resources to a sustainable clean energy. Both in terms of experimental research and theoretical modeling, the study of gas migration is developing gradually [,,]. Silva et al. [] and Huang et al. [] respectively analyzed the permeability evolution of shale and sandstone with temperature from the perspective of experiments and found that, under the same effective stress and temperature below 100 °C, the permeability decreased with an increase in temperature. In order to study the evolution law of permeability with temperature in deep coal under cyclic load, the theoretical model of permeability evolution with stress and temperature is firstly established in this section, then the experimental data is fitted and analyzed, and the conclusion is drawn.
Cui and Bustin [] considered the influence of the average effective stress on coal permeability and deduced the coal permeability model by using the porous elastic constitutive equation (Equation (18)), namely the C–B model,
where cf is the compression coefficient of the fracture, MPa−1, and Δσe is the average effective stress change, MPa.
Assuming that the coal expansion is isotropic, the volumetric strain of thermal expansion that is caused by temperature is
where is the volumetric strain that is caused by thermal expansion, ΔT is the change relative to the initial temperature °C, and η represents the thermal expansion coefficient.
Considering the influence of stress and temperature on the permeability evolution comprehensively, the permeability evolution model of coal can be expressed as
Under the same effective stress state, the permeability evolution model with temperature can be obtained, and Equation (20) can be simplified into Equation (21),
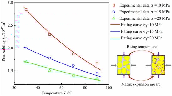
The experimental data under the effective stress state of 10, 15, and 20 MPa (in the linear elastic stage and the compaction stage) are respectively taken as examples, and the fitting analysis is carried out by using Equation (21). The fitting coefficient is shown in Table 3, and Figure 10 is the fitting curve of the permeability with the temperature under three different stress conditions.

Table 3.
The fitting results on experimental data of permeability with temperature.

Figure 10.
Fitting results of permeability evolution with temperature.
It can be seen from Table 3 and Figure 10 that the fitting result of this model for the experimental data is perfect. When the effective stress remains constant, the permeability is reduced with the temperature in exponential form. This is because, under the same low stress state, with the increase in the temperature, the matrix solid particles swell, and due to the constraints of the confining pressure, the coal matrix expand only inward, which makes the initial pores and fractures compressed, resulting in the permeability decreasing.
In addition, it can also be observed from Table 3 that, with the increase in stress, the parameter η decreases, indicating that with the rising axial load, the influence of the temperature on the permeability decreases. For the whole loading process, the influence of the temperature on the permeability is more significant in the compaction stage and the linear elastic stage.
Similarly, when the temperature remains unchanged, Equation (20) can be simplified to Equation (18). The results are obtained by fitting the experimental data (Table 4 and Figure 11).

Table 4.
The fitting results on experimental data under the same temperature and different stress.

Figure 11.
Fitting results of permeability evolution with axial stress.
As can be seen from Table 4 and Figure 11, the model fits well. Under the same temperature conditions, the permeability decreases with the increase in stress in a negative exponential form. This is because, in the state of low stress, the coal body is in the compaction stage or the linear elastic stage, the original pores and fractures are compressed, the permeability channel is compressed, and, finally, the permeability decreases.
On the other hand, as shown in Table 4, the fracture compression coefficient cf decreases with an increase in temperature, suggesting that, under a low stress state, the higher the temperature, the greater the expansion degree of the coal, and the stronger its ability to resist compression deformation, resulting in a higher compression difficulty of coal under external stress.
5. Conclusions
For the sustainable development of deep coal resources, the migration law of gas, which is an important part of coal resources, has been deeply studied. Taking the Pingdingshan Coal Mine as the research background, a cyclic loading and unloading experiment and a seepage test have been carried out under different temperatures. The method to calculate the permeability was obtained by using the fractional derivative. In order to study the influence of temperature on the mechanical properties and the permeability characteristics of coal, the evolution theory model of damage and permeability with the temperature and stress was proposed. The following conclusions have been drawn:
- (1)
- With the increase in temperature, the mechanical parameters of coal all decrease nonlinearly, and the higher the temperature, the less impact it has on the peak strength and the elastic modulus;
- (2)
- The trend of the fracture connectivity that is obtained from fractional order is consistent with permeability, which decreases in the compaction and the linear elastic stage, and increases after the yield stage;
- (3)
- The thermal damage increases with rising temperatures. When the external load increases gradually, the thermal damage still accumulates, but the thermal damage variable ratio decreases;
- (4)
- The proposed permeability model considering temperature and stress can describe the trend of the experimental data. The leading effect of temperature is mainly reflected in the compaction stage and the linear elastic stage of coal.
Author Contributions
Conceptualization, X.W.; methodology, L.Z.; validation, X.W. and L.Z.; formal analysis, X.W. and L.Z.; writing—original draft preparation, X.W.; writing—review and editing, L.Z. All authors have read and agreed to the published version of the manuscript.
Funding
The present work is funded by the National Natural Science Foundation of China (51827901, 52121003, 52142302).
Institutional Review Board Statement
Not applicable.
Informed Consent Statement
Not applicable.
Data Availability Statement
All data and models generated or used during the study appear in the submitted article.
Conflicts of Interest
The authors declare no conflict of interest.
References
- Medunić, G.; Mondol, D.; Rađenović, A.; Nazir, S. Review of the latest research on coal, environment, and clean technologies. Rud.-Geološko-Naft. Zb. 2018, 33, 13–21. [Google Scholar] [CrossRef]
- Wang, Q.; He, M.C.; Li, S.C.; Jiang, Z.H.; Wang, Y.; Qin, Q.; Jiang, B. Comparative study of model tests on automatically formed roadway and gob-side entry driving in deep coal mines. Int. J. Min. Sci. Technol. 2021, 31, 591–601. [Google Scholar] [CrossRef]
- Wang, S.W.; Xia, Q.; Xu, F. Investigation of collector mixtures on the flotation dynamics of low-rank coal. Fuel 2022, 327, 125171. [Google Scholar] [CrossRef]
- Xie, H.P.; Zhou, H.W.; Xue, D.J.; Wang, H.W.; Zhang, R.; Gao, F. Research and consideration on deep coal mining and critical mining depth. J. China Coal Soc. 2012, 37, 535–542. (In Chinese) [Google Scholar]
- Hungerford, F.; Ren, T.; Aziz, N. Evolution and application of in-seam drilling for gas drainage. Int. J. Min. Sci. Technol. 2013, 23, 543–553. [Google Scholar]
- Karacan, C.Ö.; Diamond, W.P.; Schatzel, S.J. Numerical analysis of the influence of in-seam horizontal methane drainage boreholes on longwall face emission rates. Int. J. Coal Geol. 2007, 72, 15–32. [Google Scholar] [CrossRef]
- He, M.C.; Xie, H.P.; Peng, S.P.; Jiang, Y.D. Study on rock mechanics in deep mining engineering. Chin. J. Rock Mech. Eng. 2005, 24, 2803–2813. (In Chinese) [Google Scholar]
- Cheng, Y.P.; Liu, H.Y.; Guo, P.K.; Pan, R.K.; Wang, L. A theoretical model and evolution characteristic of mining-enhanced permeability in deeper gassy coal seam. J. China Coal Soc. 2014, 39, 1650–1658. (In Chinese) [Google Scholar]
- Xie, J.L.; Zhao, Y.S. Meso-mechanism of permeability decrease or fluctuation of coal and rock with the temperature increase. Chin. J. Rock Mech. Eng. 2017, 36, 543–551. (In Chinese) [Google Scholar]
- Li, B.B.; Gao, Z.; Yang, K.; Li, J.H.; Ren, C.H.; Yuan, M.; Wang, H. Analysis of coal permeability evolution mechanism considering the effect of temperature and pore pressure. J. China Coal Soc. 2020, 45, 626–632. (In Chinese) [Google Scholar]
- Li, B.B.; Wang, B.; Yang, K.; Li, J.H.; Ren, C.H.; Xu, J. Coal seepage mechanism effected by stress and temperature. J. China Uni. Min. Technol. 2020, 49, 844–855. (In Chinese) [Google Scholar]
- Yin, G.Z.; Jiang, C.B.; Wang, J.G.; Xu, J. Combined effect of stress, pore pressure and temperature on methane permeability in anthracite coal: An experimental study. Transp. Porous Med. 2013, 100, 1–16. [Google Scholar] [CrossRef]
- Wang, K.; Du, F.; Wang, G.D. Investigation of gas pressure and temperature effects on the permeability and steady-state time of Chinese anthracite coal: An experimental study. J. Nat. Gas Sci. Eng. 2017, 40, 179–188. [Google Scholar] [CrossRef]
- Li, B.B.; Yang, K.; Xu, P.; Xu, J.; Yuan, M.; Zhang, M. An experimental study on permeability characteristics of coal with slippage and temperature effects. J. Pet. Sci. Eng. 2019, 175, 294–302. [Google Scholar] [CrossRef]
- Xu, P.; Yang, S.Q. Influence of stress and high-temperature treatment on the permeability evolution behavior of sandstone. Acta Mech. Sin. 2019, 35, 419–432. [Google Scholar] [CrossRef]
- Huang, Y.H.; Yang, S.Q.; Teng, S.Y. Temperature dependence of the permeability of sandstone under loading and unloading conditions of confining pressure. Math. Geosci. 2021, 53, 551–570. [Google Scholar] [CrossRef]
- Li, B.B.; Ren, C.H.; Wang, Z.H.; Li, J.H.; Yang, K.; Xu, J. Experimental study on damage and the permeability evolution process of methane-containing coal under different temperature conditions. J. Pet. Sci. Eng. 2020, 184, 106509. [Google Scholar] [CrossRef]
- Kovari, K. Suggested methods for determining the strength of rock materials in triaxial compression. Int. J. Rock Mech. Min. Sci. Geomech. Abstr. 1978, 15, 47–51. [Google Scholar]
- Xu, J.; Zhang, D.D.; Peng, S.J.; Liu, D.; Wang, L. Experimental research on influence of temperature on mechanical properties of coal containing methane. Chin. J. Rock Mech. Eng. 2011, 30, 2730–2735. (In Chinese) [Google Scholar]
- Shao, J.X.; Hu, Y.Q.; Meng, T.; Song, S.; Jin, P.H.; Feng, G. Effect of temperature on permeability and mechanical characteristics of lignite. Adv. Mater. Sci. Eng. 2016, 1430641, 1430641. [Google Scholar] [CrossRef]
- Zhang, M.; Takahashi, M.; Morin, R.H.; Esaki, T. Evaluation and application of the transient-pulse technique for determining the hydraulic properties of low-permeability rocks—Part 1: Theoretical evaluation. Geotech. Test. J. 2000, 23, 83–90. [Google Scholar]
- Zhang, M.; Takahashi, M.; Morin, R.H.; Esaki, T. Evaluation and application of the transient-pulse technique for determining the hydraulic properties of low-permeability rocks—Part 2: Experimental application. Geotech. Test. J. 2000, 23, 91–106. [Google Scholar]
- Li, X.C.; Takahashi, M.; Wu, Z.S.; Koide, H. Transient pulse technique and its application to conventional triaxial compressive tests. Chin. J. Rock Mech. Eng. 2001, 20, 1725–1733. (In Chinese) [Google Scholar]
- Sun, J.C.; Yang, Z.M.; Guo, H.K.; Xiao, Q.H.; Hao, M.X.; Xu, X. Comparative study of tight reservoir permeability using steady-state and unsteady-state methods. Rock Soil Mech. 2013, 34, 1009–1016. (In Chinese) [Google Scholar]
- Brace, W.F.; Walsh, J.B.; Frangos, W.T. Permeability of granite under high pressure. J. Geophys. Res. 1968, 73, 2225–2236. [Google Scholar] [CrossRef]
- Wang, X.Y.; Zhou, H.W.; Zhong, J.C.; Zhang, L.; Wang, C.S.; An, L. Study on energy evolution and permeability characteristics of deep coal damage under triaxial cyclic loading and unloading conditions. Chin. J. Rock Mech. Eng. 2018, 37, 2676–2684. (In Chinese) [Google Scholar]
- Ren, W.G.; Zhou, H.W.; Xue, D.J.; Wang, L.J.; Rong, T.L.; Liu, J.F. Mechanical behavior and permeability of coal and rock under strong mining disturbance in protected coal seam mining. J. China Coal Soc. 2019, 44, 1473–1481. (In Chinese) [Google Scholar]
- Zhao, Y.; Zhou, H.W.; Ren, W.G.; Zhong, J.C.; Liu, D. Permeability evolution of roof sandstone at deep coal seam working face under cyclic loading. J. China Coal Soc. 2019, 44, 1495–1507. (In Chinese) [Google Scholar]
- Yang, S.; Zhou, H.W.; Zhang, S.Q.; Ren, W.G. A fractional derivative perspective on transient pulse test for determining the permeability of rocks. Int. J. Rock Mech. Min. Sci. 2019, 113, 92–98. [Google Scholar] [CrossRef]
- Zhou, H.W.; Wang, X.Y.; Zhang, L.; Zhong, J.C.; Wang, Z.H.; Rong, T.L. Permeability evolution of deep coal samples subjected to energy-based damage variable. J. Nat. Gas Sci. Eng. 2020, 73, 103070. [Google Scholar] [CrossRef]
- Zhou, H.W.; Zhang, L.; Wang, X.Y.; Rong, T.L.; Wang, L.J. Effects of matrix-fracture interaction and creep deformation on permeability evolution of deep coal. Int. J. Rock Mech. Min. Sci. 2020, 127, 104236. [Google Scholar] [CrossRef]
- An, L.; Zhou, H.W.; Yang, S.; Sun, X.T.; Wang, L.; Che, J. Fractional derivative permeability modeling approach to the influence of temperature on granite. Chin. J. Rock Mech. Eng. 2019, 10, 3672–3679. (In Chinese) [Google Scholar]
- Feng, Y.Y.; Yang, X.J.; Liu, J.G.; Chen, Z.Q. A new fractional Nishihara-type model with creep damage considering thermal effect. Eng. Fract. Mech. 2021, 242, 107451. [Google Scholar] [CrossRef]
- Xu, X.L.; Karakus, M. A coupled thermo-mechanical damage model for granite. Int. J. Rock Mech. Min. Sci. 2018, 103, 195–204. [Google Scholar] [CrossRef]
- Wang, X.Y.; Zhou, H.W.; Zhang, L.; Preusse, A.; Xie, S.L.; Hou, W. Research on damage-based coal permeability evolution for the whole stress–strain process considering temperature and pore pressure. Geomech. Geophys. Geo-Energ. Geo-Resour. 2022, 8, 149. [Google Scholar] [CrossRef]
- Tolmachev, O.; Urunov, A.; Muminova, S.; Dvoichenkova, G.; Davydov, I. Review of unconventional hydrocarbon resources: Production technologies and opportunities for development. Min. Miner. Deposits. 2020, 14, 113–121. [Google Scholar] [CrossRef]
- Zhang, B.A.; Li, X.M.; Zhang, D.M. Study on mechanical and permeability characteristics of containing gas coal-rock under conventional triaxial compression. Geotech. Geol. Eng. 2021, 39, 5775–5786. [Google Scholar] [CrossRef]
- De Silva, G.P.D.; Ranjith, P.G.; Perera, M.S.A.; Dai, Z.X.; Yang, S.Q. An experimental evaluation of unique CO2, flow behaviour in loosely held fine particles rich sandstone under deep reservoir conditions and influencing factors. Energy 2017, 119, 121–137. [Google Scholar] [CrossRef]
- Cui, X.J.; Bustin, R.M.; Chikatamarla, L. Adsorption-induced coal swelling and stress: Implications for methane production and acid gas sequestration into coal seams. J. Geophys. Res. 2007, 112, B10202. [Google Scholar] [CrossRef]
Publisher’s Note: MDPI stays neutral with regard to jurisdictional claims in published maps and institutional affiliations. |
© 2022 by the authors. Licensee MDPI, Basel, Switzerland. This article is an open access article distributed under the terms and conditions of the Creative Commons Attribution (CC BY) license (https://creativecommons.org/licenses/by/4.0/).