Can Energy Efficiency Promote Human Development in a Developing Economy?
Abstract
1. Introduction
2. Literature Review: Energy Vis-à-Vis Human Development and Per Capita GDP
2.1. Energy Efficiency and Access to Energy: Energy Poverty and Human Development
2.1.1. Economic Growth–Energy Nexus
2.1.2. The Role of Electricity in the Indian Context
3. Data and Methodology: The Nexus between Electricity Sector and Per Capita GDP in India
3.1. Estimation Strategy
3.1.1. Basic Statistical Properties of the Data Series:
3.1.2. ARDL Modeling for Estimation
3.1.3. Novel Dynamic ARDL Simulations: An Extension
3.1.4. Frequency Domain Causality Test
4. Results and Discussion
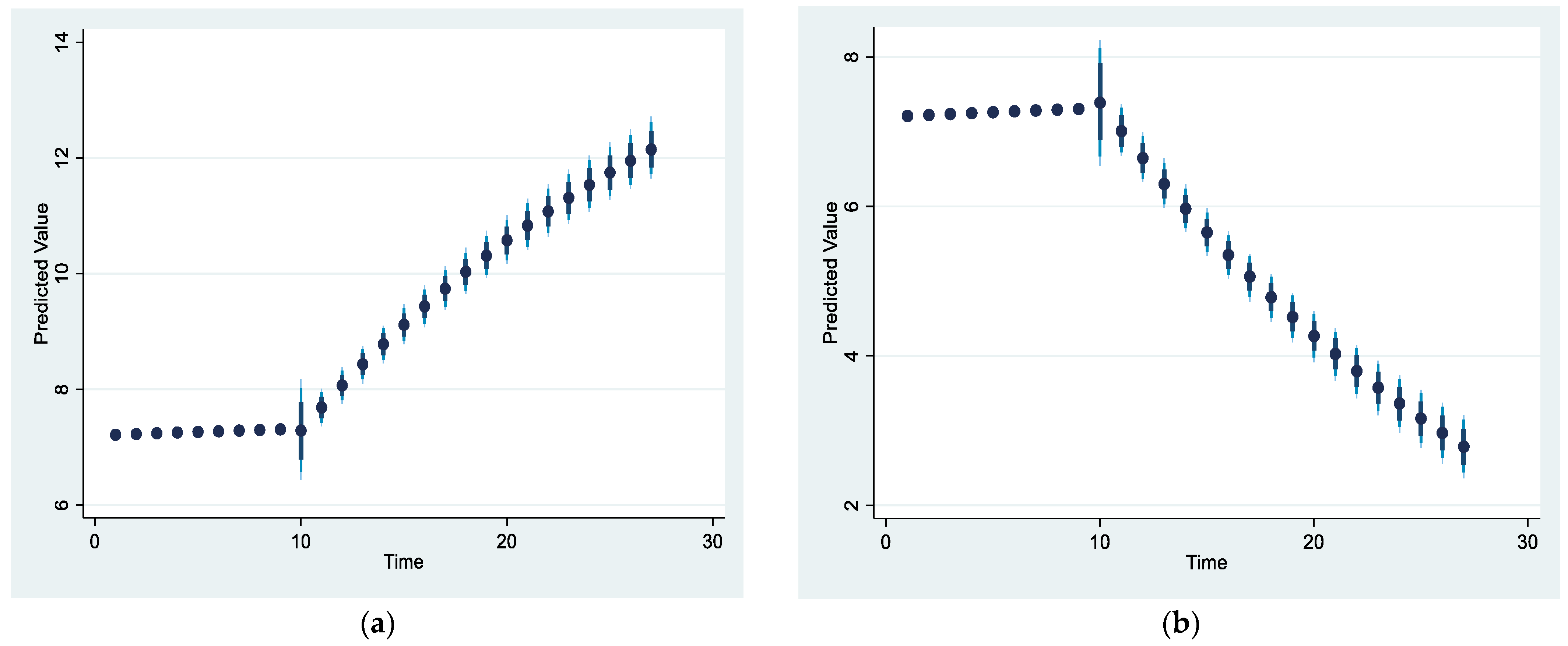
4.1. Evidence from Novel Dynamic ARDL Simulations: Discussion
4.2. Causality from Frequency Domain Analysis
5. Conclusions
- There is a long-term relationship between per capita GDP vis-à-vis energy efficiency in the electricity sector, growth in labor and capital inputs in the electricity sectors.
- Increases (decreases) in energy efficiency in the generation of electricity increases (decreases) per capita GDP while increases (decreases) in the growth in labor and capital inputs, ceteris paribus, decrease (increase) per capita GDP.
Author Contributions
Funding
Institutional Review Board Statement
Data Availability Statement
Conflicts of Interest
Appendix A
Appendix A.1. ARDL Framework (*: Prob. labels Probability.)
| Dependent Variable: X2 | ||||
| Regressors: EFF GEL GEK LX1 | ||||
| Selected Model: ARDL(4, 4, 3, 4, 0) | ||||
| Variable | Coefficient | Std. Error | t-Statistic | Prob. * |
| X2t-1 | 0.603497 | 0.187851 | 3.212642 | 0.0063 |
| X2t-2 | –0.153736 | 0.225854 | –0.680686 | 0.5072 |
| X2t-3 | 0.160872 | 0.216136 | 0.744311 | 0.4690 |
| X2t-4 | 0.230195 | 0.172829 | 1.331924 | 0.2042 |
| EFFt | –0.017044 | 0.506318 | –0.033662 | 0.9736 |
| EFFt-1 | –0.482704 | 0.685688 | –0.703969 | 0.4930 |
| EFFt-2 | 0.782958 | 0.754942 | 1.037110 | 0.3173 |
| EFFt-3 | 0.192513 | 0.691596 | 0.278361 | 0.7848 |
| EFFt-4 | 0.529368 | 0.441430 | 1.199211 | 0.2503 |
| GELt | –0.145987 | 0.037187 | –3.925763 | 0.0015 |
| GELt-1 | 0.028081 | 0.050136 | 0.560085 | 0.5843 |
| GELt-2 | –0.028900 | 0.047127 | –0.613237 | 0.5496 |
| GELt-3 | 0.078590 | 0.036267 | 2.166951 | 0.0480 |
| GEKt | –0.017350 | 0.040497 | –0.428440 | 0.6748 |
| GEKt-1 | –0.002427 | 0.043862 | –0.055334 | 0.9567 |
| GEKt-2 | –0.052846 | 0.044827 | –1.178867 | 0.2581 |
| GEKt-3 | –0.071320 | 0.045506 | –1.567283 | 0.1394 |
| GEKt-4 | 0.053284 | 0.029512 | 1.805535 | 0.0925 |
| LX1t | 0.471149 | 0.174281 | 2.703395 | 0.0171 |
| C | –1.365483 | 0.361020 | –3.782289 | 0.0020 |
| R-squared | 0.999648 | Mean dependent var | 6.784791 | |
| Adjusted R-squared | 0.999169 | S.D. dependent var | 0.434605 | |
| S.E. of regression | 0.012527 | Akaike info criterion | –5.632638 | |
| Sum squared resid | 0.002197 | Schwarz criterion | –4.734779 | |
| Log likelihood | 115.7548 | Hannan–Quinn criter. | –5.326442 | |
| F-statistic | 2089.674 | Durbin–Watson stat | 2.008306 | |
| Prob(F-statistic) | 0.000000 | |||
Appendix A.2. Wald Test for Joint Significance of Variables
| Test Statistic | Value | df | Probability |
| F-statistic | 2089.674 | (19,14) | 0.0000 |
| Chi-square | 39,703.81 | 19 | 0.0000 |
| Test Statistic | Value | df | Probability |
| F-statistic | 26.80753 | (4,14) | 0.0000 |
| Chi-square | 107.2301 | 4 | 0.0000 |
| Test Statistic | Value | df | Probability |
| F-statistic | 2.792200 | (5,14) | 0.0594 |
| Chi-square | 13.96100 | 5 | 0.0159 |
| Test Statistic | Value | df | Probability |
| F-statistic | 6.156406 | (4,14) | 0.0045 |
| Chi-square | 24.62562 | 4 | 0.0001 |
| Test Statistic | Value | df | Probability |
| F-statistic | 2.477837 | (5,14) | 0.0830 |
| Chi-square | 12.38919 | 5 | 0.0298 |
| Test Statistic | Value | df | Probability |
| t-statistic | 2.703395 | 14 | 0.0171 |
| F-statistic | 7.308346 | (1,14) | 0.0171 |
| Chi-square | 7.308346 | 1 | 0.0069 |
References
- Sovacool, B.K. The political economy of energy poverty: A review of key challenges. Energy Sustain. Dev. 2012, 16, 272–282. [Google Scholar] [CrossRef]
- Thomson, H.; Snell, C.J.; Liddell, C. Fuel poverty in the European Union: A concept in need of definition? People Place Policy Online 2016, 10, 5–24. [Google Scholar] [CrossRef]
- Ahmed, A.; Gasparatos, A. Multi-dimensional energy poverty patterns around industrial crop projects in Ghana: Enhancing the energy poverty alleviation potential of rural development strategies. Energy Policy 2020, 137, 111123. [Google Scholar] [CrossRef]
- Khan, H.U.R.; Zaman, K.; Yousaf, S.U.; Shoukry, A.M.; Gani, S.; Sharkawy, M.A. Socio-economic and environmental factors influenced pro-poor growth process: New development triangle. Environ. Sci. Pollut. Res. 2019, 26, 29157–29172. [Google Scholar] [CrossRef]
- Churchill, S.A.; Smyth, R.; Farrell, L. Fuel poverty and subjective wellbeing. Energy Econ. 2020, 86, 104650. [Google Scholar] [CrossRef]
- Chevallier, J. Evaluating the carbon-macroeconomy relationship: Evidence from threshold vector error-correction and Markov-switching VAR models. Econ. Model. 2011, 28, 2634–2656. [Google Scholar] [CrossRef]
- Da Silva, A.S. Growth with exhaustible resource and endogenous extraction rate. Econ. Model. 2008, 25, 1165–1174. [Google Scholar] [CrossRef]
- Gangopadhyay, P.; Jain, S. Understanding subnational conflicts in Myanmar. Indian Growth Dev. Rev. 2020, 13, 339–352. [Google Scholar] [CrossRef]
- Garrett-Peltier, H. Green versus brown: Comparing the employment impacts of energy efficiency, renewable energy, and fossil fuels using an input-output model. Econ. Model. 2017, 61, 439–447. [Google Scholar] [CrossRef]
- Dong, Y.; Whalley, J. Carbon motivated regional trade arrangements: Analytics and simulations. Econ. Model. 2011, 28, 2783–2792. [Google Scholar] [CrossRef]
- Du Can, S.D.; Pudleiner, D.; Pielli, K. Energy efficiency as a means to expand energy access: A Uganda roadmap. Energy Policy 2018, 120, 354–364. [Google Scholar] [CrossRef]
- Sarkodie, S.A.; Strezov, V.; Weldekidan, H.; Asamoah, E.F.; Owusu, P.A.; Doyi, I.N.Y. Environmental sustainability assessment using dynamic autoregressive-distributed lag simulations—Nexus between greenhouse gas emissions, biomass energy, food and economic growth. Sci. Total Environ. 2019, 668, 318–332. [Google Scholar] [CrossRef]
- Acheampong, A.O.; Erdiaw-Kwasie, M.O.; Abunyewah, M. Does energy accessibility improve human development? Evidence from energy-poor regions. Energy Econ. 2021, 96, 105165. [Google Scholar] [CrossRef]
- Apergis, N.; Polemis, M.; Soursou, S.-E. Energy poverty and education: Fresh evidence from a panel of developing countries. Energy Econ. 2022, 106, 105430. [Google Scholar] [CrossRef]
- Churchill, S.A.; Apergis, N.; Shahbaz, M. Energy Poverty: Trends and Perspectives. Announcement of a Special Issue, Energy Economics. Available online: https://www.sciencedirect.com/journal/energy-economics/special-issue/10DP7L3XWMQ (accessed on 11 August 2022).
- Churchill, S.A.; Smyth, R. Ethnic diversity, energy poverty and the mediating role of trust: Evidence from household panel data for Australia. Energy Econ. 2020, 86, 104663. [Google Scholar] [CrossRef]
- Basnett, Y.; Sen, R. What Do Empirical Studies Say about Economic Growth and Job Creation in Developing Countries? EPS PEAKS Working Paper. 2013. Available online: https://assets.publishing.service.gov.uk/media/57a08a2340f0b652dd0005a6/Growth_and_labour_absorption.pdf (accessed on 27 January 2020).
- Biermann, P.; How fuel poverty affects subjective well-being: Panel evidence from Germany. Oldenburg Discussion Papers in Economics No. V-395-16. Available online: https://www.econstor.eu/handle/10419/148230 (accessed on 5 September 2022).
- Wang, Z.; Bui, Q.; Zhang, B. The relationship between biomass energy consumption and human development: Empiri-cal evidence from BRICS countries. Energy 2020, 194, 116906. [Google Scholar]
- Wang, Z.; Danish, Z.B.; Wang, B. Renewable energy consumption, economic growth, and human development index in Pakistan: Evidence form a simultaneous equation model. J. Clean. Prod. 2018, 184, 1081–1090. [Google Scholar] [CrossRef]
- Ng, S.; Perron, P. LAG Length Selection and the Construction of Unit Root Tests with Good Size and Power. Econometrica 2001, 69, 1519–1554. [Google Scholar] [CrossRef]
- Breitung, J.; Candelon, B. Testing for Short and Long-Run Causality: A Frequency Domain Approach. J. Econom. 2006, 132, 363–378. [Google Scholar] [CrossRef]
- Apergis, N.; Payne, J.E. A dynamic panel study of economic development and the electricity consumption-growth nexus. Energy Econ. 2011, 33, 770–781. [Google Scholar] [CrossRef]
- Forbes, K.J. A Reassessment of the Relationship between Inequality and Growth. Am. Econ. Rev. 2000, 90, 869–887. [Google Scholar] [CrossRef]
- Acheampong, A.O. Economic growth, CO2 emissions and energy consumption: What causes what and where? Energy Econ. 2018, 74, 677–692. [Google Scholar] [CrossRef]
- Ranis, G.; Stewart, F.; Ramirez, A. Economic Growth and Human Development. World Dev. 2000, 28, 197–219. [Google Scholar] [CrossRef]
- Suri, T.; Boozer, M.A.; Ranis, G.; Stewart, F. Paths to Success: The Relationship between Human Development and Economic Growth. World Dev. 2011, 39, 506–522. [Google Scholar] [CrossRef]
- Rao, N.; Pachauri, S. Energy access and living standards: Some observations on recent trends. Environ. Res. Lett. 2017, 12, e25011. [Google Scholar] [CrossRef]
- WHO. Burning Opportunity: Clean Household Energy for Health. Sustainable Development, and Wellbeing of Women and Children; Report: 9241563233; World Health Organization: Geneva, Switzerland, 2016. [Google Scholar]
- Ayaburi, J.; Bazilian, M.; Kincer, J.; Moss, T. Measuring “Reasonably Reliable” access to electricity services. Electr. J. 2020, 33, 106828. [Google Scholar] [CrossRef]
- International Energy Agency (IEA). World Energy Outlook; OECD/IEA: Paris, France, 2016. [Google Scholar]
- Kern, F.; Kivimaa, P.; Martiskainen, M. Policy packaging or policy patching? The development of complex energy efficiency policy mixes. Energy Res. Soc. Sci. 2017, 23, 11–25. [Google Scholar] [CrossRef]
- Li, M.-J.; Tao, W.-Q. Review of methodologies and polices for evaluation of energy efficiency in high energy-consuming industry. Appl. Energy 2017, 187, 203–215. [Google Scholar] [CrossRef]
- Craig, C.A.; Feng, S. Exploring utility organization electricity generation, residential electricity consump-tion, and energy efficiency: A climatic approach. Appl. Energy 2017, 185, 779–790. [Google Scholar] [CrossRef]
- Atmanli, A.; İleri, E.; Yüksel, B. Experimental investigation of engine performance and exhaust emissions of a diesel engine fueled with diesel–n-butanol–vegetable oil blends. Energy Convers Manag. 2014, 81, 312–321. [Google Scholar] [CrossRef]
- Sanstad, A.H.; McMenamin, S.; Sukenik, A.; Barbose, G.L.; Goldman, C.A. Modeling an aggressive energy-efficiency scenario in long-range load forecasting for electric power transmission planning. Appl. Energy 2014, 128, 265–276. [Google Scholar] [CrossRef]
- Trianni, A.; Cagno, E.; Farné, S. Barriers, drivers and decisionmaking process for industrial energy efficiency: A broad study among manufacturing small and medium-sized enterprises. Appl. Energy 2016, 162, 1537–1551. [Google Scholar] [CrossRef]
- Amin, A.; Liu, Y.; Yu, J.; Chandio, A.A.; Rasool, S.F.; Luo, J.; Zaman, S. How does energy poverty affect economic development? A panel data analysis of South Asian countries. Environ. Sci. Pollut. Res. 2020, 27, 31623–31635. [Google Scholar] [CrossRef] [PubMed]
- Abbasi, K.R.; Shahbaz, M.; Jiao, Z.; Tufail, M. How energy consumption, industrial growth, urbanization, and CO2 emissions affect economic growth in Pakistan? A novel dynamic ARDL simulations approach. Energy 2021, 221, 119793. [Google Scholar] [CrossRef]
- Bhatia, M.; Angelou, N. Beyond connections: Energy access redefined. Sustain. Energy. 2015. Available online: https://www.worldbank.org/content/dam/Worldbank/Topics/Energy%20and%20Extract/Beyond_Connections_Energy_Access_Redefined_Exec_ESMAP_2015.pdf (accessed on 28 February 2020).
- Chen, H.; Gangopadhyay, P.; Singh, B.; Shankar, S. Measuring preferences for energy efficiency in ACI and EU nations and uncovering their impacts on energy conservation. Renew. Sustain. Energy Rev. 2022, 156, 111944. [Google Scholar] [CrossRef]
- Kapsos, S. The Employment Intensity of Growth: Trends and Macroeconomic Determinants; Employment Strategy Paper 2005/12; International Labour Office (ILO): Geneva, Switzerland, 2005. [Google Scholar]
- Rodriguez-Alvarez, A.; Orea, L.; Jamasb, T. Fuel poverty and Well-Being:A consumer theory and stochastic frontier approach. Energy Policy 2019, 131, 22–32. [Google Scholar] [CrossRef]
- Apergis, N.; Tang, C.F. Is the energy-led growth hypothesis valid? New evidence from a sample of 85 countries. Energy Econ. 2013, 38, 24–31. [Google Scholar] [CrossRef]
- Ghosh, S. Electricity consumption and economic growth in India. Energy Policy 2002, 30, 125–129. [Google Scholar] [CrossRef]
- Gupta, G.; Sahu., N.C. Causality between Electricity Consumption and Economic Growth: Empirical Evidence from India. Munich Pers. RePEc Arch. 2009. Available online: https://www.google.com.hk/url?sa=t&rct=j&q=&esrc=s&source=web&cd=&cad=rja&uact=8&ved=2ahUKEwjv3Pr7ppH7AhUmtlYBHdR9CfIQFnoECBIQAQ&url=https%3A%2F%2Fmpra.ub.uni-muenchen.de%2F22942%2F1%2FUnit_root_test_2_pdf&usg=AOvVaw0nQLigQP4v4AsTmf4Tc8pX (accessed on 5 September 2022).
- Paul, S.; Bhattacharya, R.N. Causality between Energy Consumption and Economic Growth in India: A Note on Con-flicting Results. Energy Econ. 2004, 26, 977–983. [Google Scholar] [CrossRef]
- Ang, J.B. CO2 emissions, energy consumption, and output in France. Energy Policy 2007, 35, 4772–4778. [Google Scholar] [CrossRef]
- Apergis, N.; Payne, J.E. Renewable energy consumption and economic growth: Evidence from a panel of OECD countries. Energy Policy 2010, 38, 656–660. [Google Scholar] [CrossRef]
- Mishra, V.; Smyth, R.; Sharma, S. The energy-GDP nexus: Evidence from a panel of Pacific Island countries. Resour. Energy Econ. 2009, 31, 210–220. [Google Scholar] [CrossRef]
- Payne, J.E. Survey of the international evidence on the causal relationship between energy consumption and growth. J. Econ. Stud. 2010, 37, 53–95. [Google Scholar] [CrossRef]
- Stern, D.I. Energy and economic growth in the USA: A multivariate approach. Energy Econ. 1993, 15, 137–150. [Google Scholar] [CrossRef]
- Cheng, B.S.; Lai, T.W. An investigation of co-integration and causality between energy consumption and economic activity in Taiwan. Energy Econ. 1997, 19, 435–444. [Google Scholar] [CrossRef]
- Karanfil, F. How many times again will we examine the energy-income nexus using a limited range of traditional econometric tools? Energy Policy 2009, 37, 1191–1194. [Google Scholar] [CrossRef]
- Payne, J.E. On the dynamics of energy consumption and output in the US. Appl. Energy 2009, 86, 575–577. [Google Scholar] [CrossRef]
- Yu, E.S.; Jin, J.C. Cointegration tests of energy consumption, income, and employment. Resour. Energy 1992, 14, 259–266. [Google Scholar] [CrossRef]
- Abbas, F.; Choudhury, N. Electricity Consumption-Economic Growth Nexus: An Aggregated and Disaggregated Causality Analysis in India and Pakistan. J. Policy Model. 2013, 35, 538–553. [Google Scholar] [CrossRef]
- Zahid, A. Energy-GDP Relationship: A Causal Analysis for the Five Countries of South Asia. Appl. Econom. Int. Dev. 2008, 8, 167–180. [Google Scholar]
- Belloumi, M. Energy consumption and GDP in Tunisia: Cointegration and causality analysis. Energy Policy 2009, 37, 2745–2753. [Google Scholar] [CrossRef]
- Jumbe, C.B. Cointegration and causality between electricity consumption and GDP: Empirical evidence from Malawi. Energy Econ. 2004, 26, 61–68. [Google Scholar] [CrossRef]
- Squalli, J. Electricity consumption and economic growth: Bounds and causality analyses of OPEC members. Energy Econ. 2007, 29, 1192–1205. [Google Scholar] [CrossRef]
- Kraft, J.; Kraft, A. On the relationship between energy and GNP. J. Energy Dev. 1978, 3, 401–403. [Google Scholar]
- Burns, D.K.; Jones, A.P.; Goryakin, Y.; Suhrcke, M. Is foreign direct investment good for health in low and middle income countries? An instrumental variable approach. Soc. Sci. Methods 2017, 181, 74–82. [Google Scholar] [CrossRef] [PubMed]
- Gygli, S.; Haelg, F.; Potrafke, N.; Sturm, J.-E. The KOF Globalisation Index—Revisited. Rev. Int. Organ. 2019, 14, 543–574. [Google Scholar] [CrossRef]
- Pesaran, M.H.; Shin, Y.; Smith, R.J. Bounds testing approaches to the analysis of level relationships. J. Appl. Econom. 2001, 16, 289–326. [Google Scholar] [CrossRef]
- Engle, R.F.; Granger, C.W.J. Co-Integration and Error Correction: Representation, Estimation, and Testing. Econometrica 1987, 55, 251–276. [Google Scholar] [CrossRef]
- Gangopadhyay, P.; Nilakantan, R. Estimating the Effects of Climate Shocks on Collective Violence: ARDL Evidence from India. J. Dev. Stud. 2017, 54, 441–456. [Google Scholar] [CrossRef]
- Herzer, D.; Strulik, H. Religiosity and income: A panel cointegration and causality analysis. Appl. Econ. 2016, 49, 2922–2938. [Google Scholar] [CrossRef]
- Jordan, S.; Philips, A.Q. Cointegration testing and dynamic simulations of autoregressive distributed lag models. Stata J. 2018, 18, 902–923. [Google Scholar] [CrossRef]
- Brown, R.L.; Durbin, J.; Evans, J. Techniques for Testing the Constancy of Regression Relationships over Time. J. R. Stat. Soc. Ser. B 1975, 37, 149–192. [Google Scholar] [CrossRef]
- Goulder, L.H.; Schneider, S.H. Induced technological change and the attractiveness of CO2 abatement policies. Resour. Energy Econ. 1999, 21, 211–253. [Google Scholar] [CrossRef]
- Rajbhandari, A.; Zhang, F. Does energy efficiency promote economic growth? Evidence from a multicountry and multisectoral panel dataset. Energy Econ. 2018, 69, 128–139. [Google Scholar] [CrossRef]
- Zhang, F. The energy transition of the transition economies: An empirical analysis. Energy Econ. 2013, 40, 679–686. [Google Scholar] [CrossRef]
- Goulder, L.H. Environmental taxation and the double dividend: A reader’s guide. Int. Tax Public Financ. 1995, 2, 157–183. [Google Scholar] [CrossRef]
- Goulder, L.H.; Mathai, K. Optimal CO2 Abatement in the Presence of Induced Technological Change. J. Environ. Econ. Manag. 2000, 39, 1–38. [Google Scholar] [CrossRef]







| Tests | X2 | EFF | GEL | GEK | LX1 |
|---|---|---|---|---|---|
| Mean | 6.711728 | 0.814003 | 0.356346 | 0.423923 | 3.712708 |
| Median | 6.663949 | 0.814159 | 0.417855 | 0.434673 | 3.621348 |
| Maximum | 7.594553 | 0.895847 | 0.704378 | 0.699802 | 4.131051 |
| Minimum | 6.047145 | 0.771561 | 0 | 0 | 3.430381 |
| Std. Dev | 0.463878 | 0.030415 | 0.256177 | 0.165195 | 0.265169 |
| Skewness | 0.311098 | 0.561938 | –0.28758 | –0.20378 | 0.398794 |
| Kurtosis | 1.87854 | 2.834384 | 1.525773 | 2.492414 | 1.515318 |
| ADF Test Results | ||||||||
|---|---|---|---|---|---|---|---|---|
| Variables | Intercept | Trend and Intercept | ||||||
| I (0) | I (1) | I (0) | I (1) | |||||
| t-Value | Prob. | t-Value | Prob. | t-Value | Prob. | t-Value | Prob. | |
| X2 | 3.549883 | 1.0000 | –4.637527 | 0.0007 | 0.620532 | 0.9717 | –5.271436 | 0.0012 |
| EFF | –1.780784 | 0.3835 | –4.066172 | 0.0032 | –1.122112 | 0.9114 | –4.592234 | 0.0041 |
| GEL | –1.912871 | 0.3230 | –7.406791 | 0.0000 | –1.880689 | 0.6443 | –7.524634 | 0.0000 |
| GEK | –3.595382 | 0.0107 | –10.83325 | 0.0000 | –3.876973 | 0.0233 | –10.42670 | 0.0000 |
| LX1 | 1.120773 | 0.9970 | –3.703450 | 0.0082 | –2.530046 | 0.3128 | –3.996790 | 0.0178 |
| PP Test Results | ||||||||
| X2 | 15.93985 | 1.0000 | –4.637527 | 0.0007 | 0.727703 | 0.9995 | –15.13879 | 0.0000 |
| EFF | –2.874343 | 0.0581 | –4.051137 | 0.0033 | –1.420426 | 0.8381 | –4.590645 | 0.0041 |
| GEL | –2.285087 | 0.1819 | –7.195004 | 0.0000 | –2.266149 | 0.4410 | –7.575756 | 0.0000 |
| GEK | –3.909380 | 0.0047 | –10.83352 | 0.0000 | –4.212910 | 0.0104 | –10.42670 | 0.0000 |
| LX1 | 0.625066 | 0.9886 | –3.750291 | 0.0073 | –1.833926 | 0.6678 | –4.068937 | 0.0150 |
| ARDL Model | F-Statistics | CV 1% | CV 5% | |||
|---|---|---|---|---|---|---|
| I(0) | I(1) | I(0) | I(1) | |||
| X2, EFF, GEL, GEK, LX1 | (4,4,3,4,0) | 9.1915024 | 3.29 | 4.37 | 2.56 | 3.49 |
| Diagnostic Test | Chi2 (p-Value) | Result |
|---|---|---|
| Breusch–Godfrey LM | 0.8934 | Serial correlation problem is not found |
| Breusch–Pagan–Godfrey | 0.8728 | Heteroscedasticity problem is not found |
| Ramsey RESET Test | 0.7605 | Correct model specification |
| Jarque–Bera Normality Test | 0.9326 | Normal distribution of the residual |
| ECM Regression | ||||
|---|---|---|---|---|
| Restricted Constant and No Trend | ||||
| Variable | Coefficient | Std. Error | t-Statistic | Prob. |
| ∆X2t-1 | –0.237332 | 0.143138 | –1.658061 | 0.1195 |
| ∆X2t-2 | –0.391068 | 0.129973 | –3.008834 | 0.0094 |
| ∆X2t-3 | –0.230195 | 0.105675 | –2.178330 | 0.0470 |
| ∆EFFt | –0.017044 | 0.351853 | –0.048440 | 0.9621 |
| ∆EFFt-1 | –1.504839 | 0.380388 | –3.956058 | 0.0014 |
| ∆EFFt-2 | –0.721881 | 0.341624 | –2.113087 | 0.0530 |
| ∆EFFt-3 | –0.529368 | 0.339985 | –1.557035 | 0.1418 |
| ∆GELt | –0.145987 | 0.023160 | –6.303292 | 0.0000 |
| ∆GELt-1 | –0.049690 | 0.027333 | –1.817951 | 0.0905 |
| ∆GELt-2 | –0.078590 | 0.026600 | –2.954483 | 0.0105 |
| ∆GEKt | –0.017350 | 0.028731 | –0.603891 | 0.5556 |
| ∆GEKt-1 | 0.070881 | 0.026647 | 2.660030 | 0.0187 |
| ∆GEKt-2 | 0.018036 | 0.027107 | 0.665367 | 0.5166 |
| ∆GEKt-3 | –0.053284 | 0.018434 | –2.890580 | 0.0119 |
| ECT/CointEqt-1 * | –0.159171 | 0.018398 | –8.651306 | 0.0000 |
| R-squared | 0.837222 | Mean dependent var | 0.042773 | |
| Adjusted R-squared | 0.717280 | S.D. dependent var | 0.020224 | |
| S.E. of regression | 0.010753 | Akaike info criterion | –5.926756 | |
| Sum squared resid | 0.002197 | Schwarz criterion | –5.253361 | |
| Log likelihood | 115.7548 | Hannan–Quinn criter. | –5.697109 | |
| Durbin–Watson stat | 2.008306 | |||
| Levels Equation Dependent Variable (X2) | ||||
|---|---|---|---|---|
| Restricted Constant and No Trend | ||||
| Variable | Coefficient | Std. Error | t-Statistic | Prob. |
| EFF | 6.314552 | 2.434584 | 2.593689 | 0.0212 |
| GEL | –0.428576 | 0.161478 | –2.654089 | 0.0189 |
| GEK | –0.569571 | 0.329425 | –1.728984 | 0.1058 |
| LX1 | 2.960027 | 0.708177 | 4.179784 | 0.0009 |
| C | –8.578739 | 4.005812 | –2.141573 | 0.0503 |
| EC = X2 − (6.3146 × EFF − 0.4286 × GEL − 0.5696 × GEK + 2.9600 × LX1 − 8.5787) | ||||
| ∆X2 | Coef. | Std. Err. | T | p > t |
|---|---|---|---|---|
| ECT^ | –0.18 | 0.08 | –2.25 ** | 0.04 |
| L1_X2 | –0.04542 | 0.050588 | –0.9 | 0.377 |
| ∆_EFF | –0.0547 | 0.437537 | –0.13 | 0.901 |
| L1_EFF | 0.391297 | 0.166946 | 2.34 ** | 0.027 |
| ∆_GEL | –0.12877 | 0.035345 | –3.64 *** | 0.001 |
| ∆_GEK | 0.018681 | 0.032272 | 0.58 | 0.567 |
| ∆_LX1 | 0.435469 | 0.157616 | 2.76 ** | 0.01 |
| L1_GEL | –0.01679 | 0.023562 | –0.71 | 0.482 |
| L1_GEK | –0.04934 | 0.029101 | –1.7 | 0.102 |
| L1_LX1 | 0.147595 | 0.096101 | 1.54 | 0.136 |
| _cons | –0.49854 | 0.178583 | –2.79 ** | 0.01 |
| R-Squared | 0.5593 | F | 3.81 | |
| Adj. R-Squared | 0.4124 | Prob>F | 0.0033 | |
| Number of Obs. | 37 | Simulations | 1000 | |
| Direction of Causality | Very Long Term | Long Term | Medium Term | Short Term | Very Short Term |
|---|---|---|---|---|---|
| ω = 0.05 | ω = 0.85 | ω = 1.65 | ω = 2.45 | ω = 3.14 | |
| EFF => X2 | 2.8490 (0.2406) | 6.1981 (0.0451) ** | 2.3144 (0.3144) | 0.9292 (0.6284) | 1.5618 (0.4580) |
| X2 => EFF | 0.3577 (0.8362) | 0.6555 (0.7206) | 3.6247 (0.1633) | 2.1802 (0.3362) | 1.9703 (0.3734) |
Publisher’s Note: MDPI stays neutral with regard to jurisdictional claims in published maps and institutional affiliations. |
© 2022 by the authors. Licensee MDPI, Basel, Switzerland. This article is an open access article distributed under the terms and conditions of the Creative Commons Attribution (CC BY) license (https://creativecommons.org/licenses/by/4.0/).
Share and Cite
Gangopadhyay, P.; Das, N. Can Energy Efficiency Promote Human Development in a Developing Economy? Sustainability 2022, 14, 14634. https://doi.org/10.3390/su142114634
Gangopadhyay P, Das N. Can Energy Efficiency Promote Human Development in a Developing Economy? Sustainability. 2022; 14(21):14634. https://doi.org/10.3390/su142114634
Chicago/Turabian StyleGangopadhyay, Partha, and Narasingha Das. 2022. "Can Energy Efficiency Promote Human Development in a Developing Economy?" Sustainability 14, no. 21: 14634. https://doi.org/10.3390/su142114634
APA StyleGangopadhyay, P., & Das, N. (2022). Can Energy Efficiency Promote Human Development in a Developing Economy? Sustainability, 14(21), 14634. https://doi.org/10.3390/su142114634

