Evaluating Shear Strength of Light-Weight and Normal-Weight Concretes through Artificial Intelligence
Abstract
:1. Introduction
2. Experimental Dataset
- Specific gravity of concrete mix (Gs = γc/γw),
- Beam width (b) in meters,
- Beam depth (d) in meters,
- Concrete cylinder compressive strength at 28 days (fc’) in MPa,
- Shear span (a/d),
- Longitudinal reinforcement ratio of steel (ρ),
- Maximum nominal size of aggregates (da) in m,
- Ultimate shear capacity (Vu) kN.
3. Models’ Development
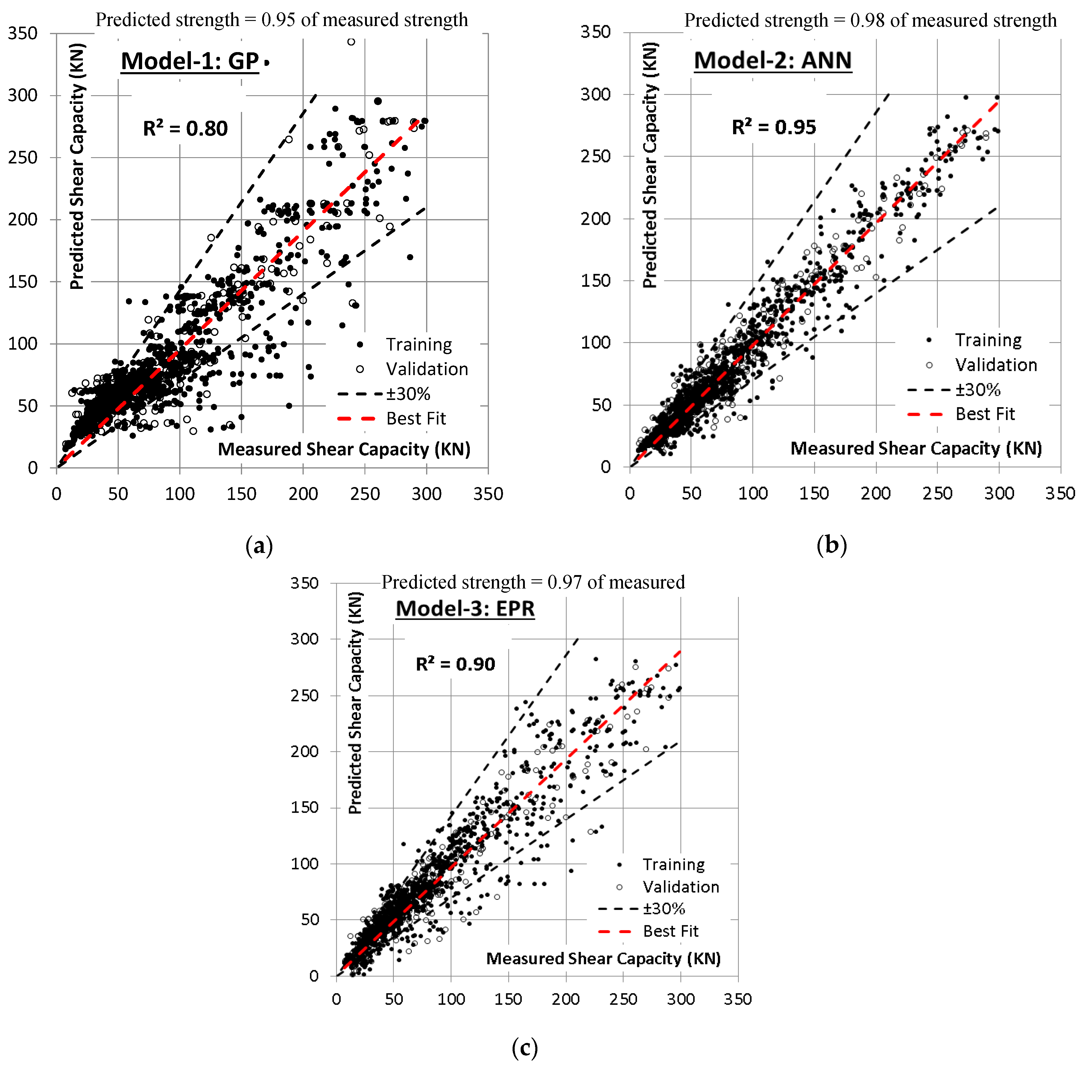
3.1. ANN Model
3.2. GP Model
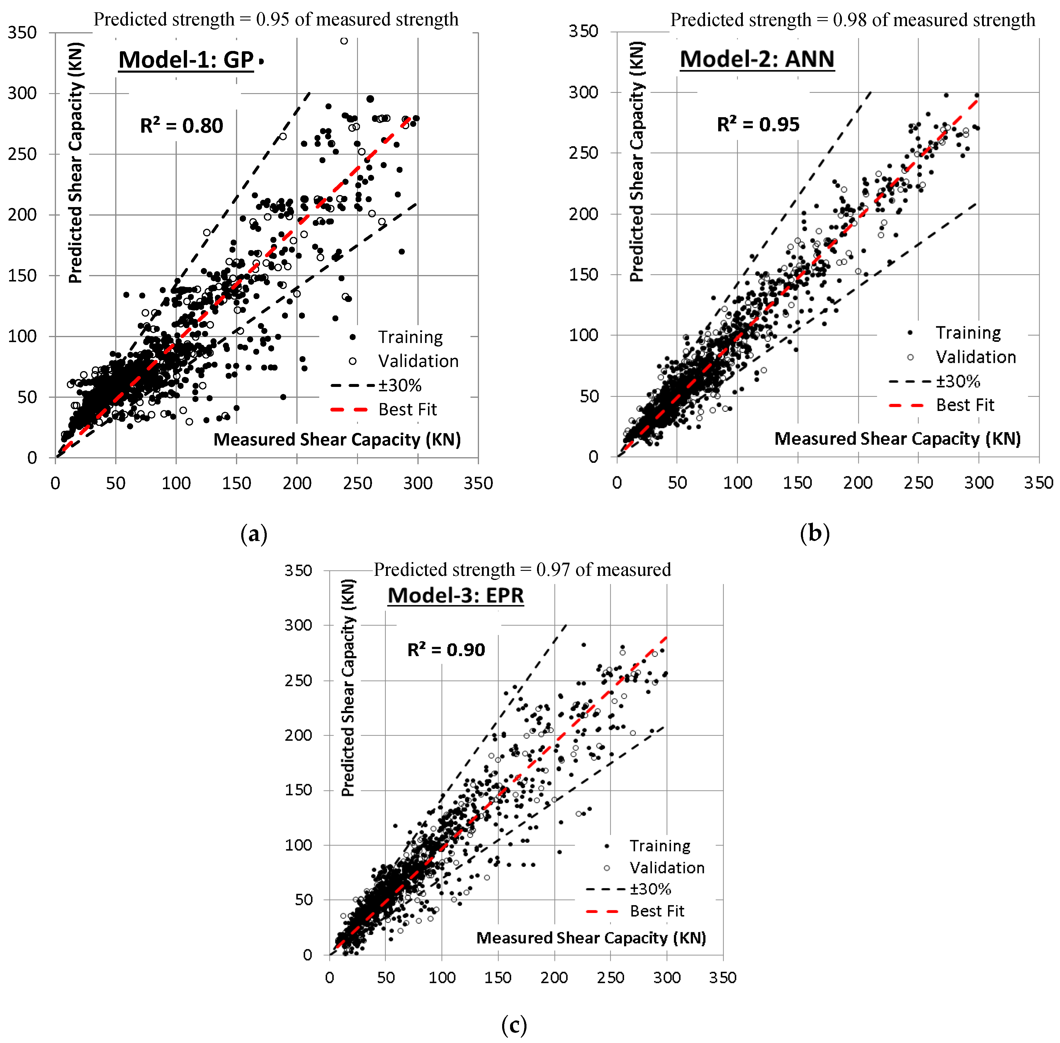
3.3. EPR Model
4. Comparison with Existing Models
4.1. Overall
4.2. Concrete Strength
4.3. Effect of Size
4.4. Flexure Reinforcement Ratio
4.5. Shear Span to Depth Ratio
4.6. Lightweight Concrete
5. Conclusions
- ANN is the most accurate and most complicated developed predictive model with an average prediction accuracy of 83.0%, the EPR model comes in the second with an average accuracy of 76.5% and finally, GP is the last with an average accuracy of 67.9%. On the other hand, the current design codes showed more conservative predictions with accuracies of 55.7%, 40.1% & 61.9% for ACI, EC2 & JSCE, respectively.
- Although ANN is more accurate than EPR, the output of EPR is closed form equations unlike the ANN matrix of weights; hence, it is recommended to implement the ANN model in computerized calculations and use the EPR for rough manual checks.
- The insignificant effect of (Gs) could be due to its limited variation, as indicated in the histogram in Figure 1.
- The GA technique successfully reduced the 330 terms of the conventional polynomial regression quadrilateral formula to only 24 terms without significant impact on its accuracy.
- Although all AI predictive models did not present a physical model or explanation for the shear failure mechanisms, they offered empirical alternatives based on actual test results.
- Like any other regression technique, the generated formulas are valid within the considered range of parameter values; beyond this range, the prediction accuracy should be verified.
Author Contributions
Funding
Informed Consent Statement
Data Availability Statement
Conflicts of Interest
Appendix A
| ID | Gs | B | d | fc’ | a/d | ρ | Da | Vu |
|---|---|---|---|---|---|---|---|---|
| 1 | 2.40 | 0.15 | 0.27 | 29.80 | 3.400 | 0.014 | 0.025 | 38.84 |
| 2 | 2.40 | 0.15 | 0.27 | 27.70 | 3.400 | 0.014 | 0.025 | 40.89 |
| 3 | 2.40 | 0.15 | 0.27 | 30.80 | 3.420 | 0.014 | 0.025 | 53.17 |
| 4 | 2.40 | 0.18 | 0.26 | 30.30 | 3.050 | 0.019 | 0.025 | 60.63 |
| 5 | 2.40 | 0.18 | 0.27 | 31.00 | 2.990 | 0.019 | 0.025 | 66.54 |
| 6 | 2.40 | 0.18 | 0.27 | 31.00 | 2.980 | 0.022 | 0.025 | 75.85 |
| 7 | 2.40 | 0.18 | 0.27 | 31.51 | 2.960 | 0.024 | 0.025 | 71.13 |
| 8 | 2.40 | 0.18 | 0.27 | 21.20 | 2.990 | 0.016 | 0.025 | 56.08 |
| 9 | 2.40 | 0.18 | 0.27 | 21.60 | 2.980 | 0.017 | 0.025 | 60.11 |
| 10 | 2.40 | 0.18 | 0.27 | 19.24 | 2.960 | 0.016 | 0.025 | 55.75 |
| 11 | 2.40 | 0.18 | 0.27 | 16.76 | 2.950 | 0.017 | 0.025 | 55.47 |
| 16 | 2.40 | 0.15 | 0.27 | 36.69 | 3.410 | 0.019 | 0.025 | 57.85 |
| 17 | 2.40 | 0.15 | 0.27 | 16.69 | 3.410 | 0.019 | 0.025 | 35.60 |
| 18 | 2.40 | 0.15 | 0.27 | 25.80 | 3.410 | 0.019 | 0.025 | 52.14 |
| 19 | 2.40 | 0.15 | 0.27 | 15.38 | 3.410 | 0.019 | 0.025 | 40.33 |
| 20 | 2.40 | 0.15 | 0.27 | 30.69 | 3.410 | 0.019 | 0.025 | 52.14 |
| 21 | 2.40 | 0.15 | 0.27 | 15.78 | 3.410 | 0.019 | 0.025 | 34.63 |
| 22 | 2.40 | 0.15 | 0.27 | 30.90 | 3.410 | 0.019 | 0.025 | 50.92 |
| 23 | 2.40 | 0.15 | 0.27 | 12.20 | 3.410 | 0.019 | 0.025 | 30.96 |
| 24 | 2.40 | 0.15 | 0.27 | 40.17 | 3.410 | 0.019 | 0.025 | 53.36 |
| 25 | 2.40 | 0.15 | 0.27 | 29.93 | 3.410 | 0.019 | 0.025 | 48.88 |
| 26 | 2.40 | 0.15 | 0.27 | 38.13 | 3.410 | 0.019 | 0.025 | 59.88 |
| 27 | 2.40 | 0.15 | 0.27 | 20.20 | 3.410 | 0.019 | 0.025 | 47.25 |
| 28 | 2.40 | 0.15 | 0.27 | 37.80 | 3.410 | 0.019 | 0.025 | 55.40 |
| 29 | 2.40 | 0.15 | 0.27 | 22.55 | 3.410 | 0.019 | 0.025 | 43.18 |
| 30 | 2.40 | 0.15 | 0.27 | 37.39 | 3.410 | 0.019 | 0.025 | 51.33 |
| 31 | 2.40 | 0.15 | 0.27 | 16.34 | 3.410 | 0.019 | 0.025 | 37.88 |
| 32 | 2.40 | 0.15 | 0.25 | 21.50 | 3.000 | 0.034 | 0.025 | 75.46 |
| 33 | 2.40 | 0.15 | 0.25 | 36.00 | 3.000 | 0.034 | 0.025 | 80.06 |
| 34 | 2.40 | 0.15 | 0.25 | 28.00 | 4.000 | 0.034 | 0.025 | 53.63 |
| 35 | 2.40 | 0.15 | 0.25 | 25.80 | 5.000 | 0.034 | 0.025 | 51.33 |
| 36 | 2.40 | 0.15 | 0.25 | 27.93 | 6.000 | 0.034 | 0.025 | 50.94 |
| 37 | 2.40 | 0.15 | 0.28 | 18.81 | 2.720 | 0.020 | 0.019 | 55.13 |
| 38 | 2.40 | 0.15 | 0.28 | 18.65 | 3.810 | 0.020 | 0.019 | 46.65 |
| 39 | 2.40 | 0.15 | 0.28 | 20.30 | 4.360 | 0.020 | 0.019 | 41.56 |
| 40 | 2.40 | 0.15 | 0.28 | 17.87 | 4.900 | 0.020 | 0.019 | 39.86 |
| 41 | 2.40 | 0.19 | 0.27 | 28.40 | 3.000 | 0.021 | 0.015 | 61.56 |
| 42 | 2.40 | 0.19 | 0.27 | 28.40 | 3.000 | 0.021 | 0.015 | 77.98 |
| 43 | 2.40 | 0.19 | 0.27 | 28.40 | 4.000 | 0.021 | 0.015 | 62.07 |
| 44 | 2.40 | 0.19 | 0.27 | 28.40 | 4.000 | 0.021 | 0.015 | 69.26 |
| 45 | 2.40 | 0.19 | 0.28 | 29.70 | 5.000 | 0.020 | 0.015 | 63.38 |
| 46 | 2.40 | 0.19 | 0.28 | 29.70 | 5.000 | 0.020 | 0.015 | 69.72 |
| 47 | 2.40 | 0.19 | 0.28 | 29.80 | 6.000 | 0.020 | 0.015 | 67.08 |
| 48 | 2.40 | 0.19 | 0.27 | 29.80 | 6.000 | 0.020 | 0.015 | 67.16 |
| 49 | 2.40 | 0.19 | 0.27 | 30.60 | 7.000 | 0.020 | 0.015 | 60.17 |
| 50 | 2.40 | 0.19 | 0.27 | 31.50 | 7.000 | 0.020 | 0.015 | 60.17 |
| 51 | 2.40 | 0.19 | 0.27 | 28.90 | 8.000 | 0.021 | 0.015 | 51.68 |
| 52 | 2.40 | 0.19 | 0.27 | 28.90 | 8.000 | 0.021 | 0.015 | 55.81 |
| 53 | 2.40 | 0.05 | 0.07 | 35.80 | 3.000 | 0.017 | 0.015 | 7.39 |
| 54 | 2.40 | 0.05 | 0.07 | 35.80 | 3.000 | 0.017 | 0.015 | 7.32 |
| 55 | 2.40 | 0.10 | 0.14 | 35.90 | 3.000 | 0.017 | 0.015 | 21.56 |
| 56 | 2.40 | 0.10 | 0.14 | 35.90 | 3.000 | 0.017 | 0.015 | 23.66 |
| 57 | 2.40 | 0.15 | 0.21 | 37.10 | 3.000 | 0.016 | 0.015 | 47.25 |
| 58 | 2.40 | 0.15 | 0.21 | 37.10 | 3.000 | 0.016 | 0.015 | 43.79 |
| 59 | 2.40 | 0.20 | 0.28 | 34.00 | 3.000 | 0.017 | 0.015 | 75.60 |
| 60 | 2.40 | 0.20 | 0.28 | 34.00 | 3.000 | 0.017 | 0.015 | 72.80 |
| 61 | 2.40 | 0.10 | 0.15 | 37.70 | 3.000 | 0.013 | 0.030 | 22.05 |
| 62 | 2.40 | 0.15 | 0.30 | 37.70 | 3.000 | 0.013 | 0.030 | 66.15 |
| 63 | 2.40 | 0.20 | 0.45 | 37.70 | 3.000 | 0.013 | 0.030 | 103.50 |
| 64 | 2.40 | 0.23 | 0.60 | 37.70 | 3.000 | 0.013 | 0.030 | 155.25 |
| 65 | 2.40 | 0.23 | 0.36 | 58.62 | 3.500 | 0.043 | 0.019 | 151.27 |
| 66 | 2.40 | 0.23 | 0.36 | 50.55 | 3.500 | 0.043 | 0.019 | 131.54 |
| 67 | 2.40 | 0.23 | 0.36 | 42.48 | 3.500 | 0.043 | 0.019 | 129.07 |
| 68 | 2.40 | 0.23 | 0.36 | 41.80 | 3.500 | 0.043 | 0.019 | 144.69 |
| 69 | 2.40 | 0.23 | 0.36 | 50.55 | 3.500 | 0.043 | 0.019 | 131.54 |
| 70 | 2.40 | 0.23 | 0.36 | 48.62 | 3.500 | 0.043 | 0.019 | 139.76 |
| 71 | 2.40 | 0.23 | 0.36 | 37.93 | 3.500 | 0.043 | 0.019 | 117.56 |
| 72 | 2.40 | 0.23 | 0.36 | 30.00 | 3.500 | 0.043 | 0.019 | 88.79 |
| 73 | 2.40 | 0.23 | 0.36 | 17.72 | 3.500 | 0.043 | 0.019 | 126.60 |
| 74 | 2.40 | 0.23 | 0.36 | 31.24 | 3.500 | 0.043 | 0.019 | 108.52 |
| 75 | 2.40 | 0.23 | 0.36 | 22.48 | 3.500 | 0.043 | 0.019 | 106.87 |
| 76 | 2.40 | 0.23 | 0.36 | 27.38 | 3.500 | 0.043 | 0.019 | 106.05 |
| 77 | 2.40 | 0.23 | 0.36 | 24.48 | 3.500 | 0.043 | 0.019 | 98.65 |
| 78 | 2.40 | 0.23 | 0.36 | 28.13 | 3.500 | 0.043 | 0.019 | 106.05 |
| 79 | 2.40 | 0.23 | 0.36 | 26.27 | 3.500 | 0.043 | 0.019 | 101.94 |
| 80 | 2.40 | 0.23 | 0.36 | 30.48 | 3.500 | 0.043 | 0.019 | 110.98 |
| 81 | 2.40 | 0.23 | 0.36 | 26.00 | 3.500 | 0.043 | 0.019 | 104.41 |
| 82 | 2.40 | 0.23 | 0.36 | 28.70 | 3.500 | 0.043 | 0.019 | 104.41 |
| 83 | 2.40 | 0.23 | 0.36 | 32.30 | 3.500 | 0.043 | 0.019 | 115.10 |
| 84 | 2.40 | 0.23 | 0.36 | 28.48 | 3.500 | 0.043 | 0.019 | 106.87 |
| 85 | 2.40 | 0.23 | 0.36 | 77.38 | 4.240 | 0.043 | 0.019 | 148.80 |
| 86 | 2.40 | 0.23 | 0.36 | 55.58 | 4.240 | 0.043 | 0.019 | 144.69 |
| 87 | 2.40 | 0.23 | 0.36 | 46.69 | 4.240 | 0.043 | 0.019 | 129.07 |
| 88 | 2.40 | 0.23 | 0.36 | 42.69 | 4.240 | 0.043 | 0.019 | 129.07 |
| 89 | 2.40 | 0.23 | 0.36 | 23.51 | 4.240 | 0.043 | 0.019 | 97.83 |
| 90 | 2.40 | 0.31 | 0.46 | 22.55 | 3.970 | 0.018 | 0.019 | 167.14 |
| 91 | 2.40 | 0.30 | 0.47 | 23.72 | 4.900 | 0.023 | 0.019 | 178.97 |
| 92 | 2.40 | 0.31 | 0.46 | 37.57 | 6.940 | 0.027 | 0.019 | 190.07 |
| 93 | 2.40 | 0.19 | 0.22 | 22.38 | 4.250 | 0.020 | 0.019 | 47.79 |
| 94 | 2.40 | 0.19 | 0.22 | 23.00 | 4.250 | 0.020 | 0.019 | 45.34 |
| 95 | 2.40 | 0.19 | 0.22 | 22.38 | 4.250 | 0.020 | 0.019 | 45.34 |
| 96 | 2.40 | 0.19 | 0.22 | 23.50 | 4.250 | 0.020 | 0.019 | 39.42 |
| 97 | 2.40 | 0.19 | 0.22 | 29.90 | 4.250 | 0.020 | 0.019 | 52.70 |
| 98 | 2.40 | 0.19 | 0.22 | 24.91 | 4.250 | 0.020 | 0.019 | 48.61 |
| 99 | 2.40 | 0.19 | 0.22 | 24.91 | 4.250 | 0.020 | 0.019 | 48.61 |
| 100 | 2.40 | 0.19 | 0.22 | 30.30 | 4.250 | 0.020 | 0.019 | 42.89 |
| 101 | 2.40 | 0.19 | 0.22 | 23.50 | 4.250 | 0.012 | 0.019 | 44.94 |
| 102 | 2.40 | 0.19 | 0.22 | 23.00 | 4.250 | 0.012 | 0.019 | 39.42 |
| 103 | 2.40 | 0.19 | 0.22 | 29.90 | 4.250 | 0.012 | 0.019 | 49.02 |
| 104 | 2.40 | 0.19 | 0.22 | 30.26 | 4.250 | 0.012 | 0.019 | 44.53 |
| 105 | 2.40 | 0.20 | 0.40 | 29.24 | 3.780 | 0.025 | 0.025 | 175.89 |
| 106 | 2.40 | 0.20 | 0.40 | 25.17 | 3.780 | 0.025 | 0.025 | 161.16 |
| 107 | 2.40 | 0.20 | 0.40 | 23.52 | 3.780 | 0.009 | 0.025 | 126.80 |
| 108 | 2.40 | 0.20 | 0.40 | 25.60 | 3.780 | 0.009 | 0.025 | 131.71 |
| 109 | 2.40 | 0.20 | 0.40 | 26.14 | 2.840 | 0.008 | 0.025 | 143.17 |
| 110 | 2.40 | 0.20 | 0.40 | 25.80 | 2.840 | 0.008 | 0.025 | 124.35 |
| 111 | 2.40 | 0.20 | 0.40 | 30.55 | 2.840 | 0.008 | 0.025 | 149.71 |
| 112 | 2.40 | 0.20 | 0.40 | 26.35 | 3.780 | 0.005 | 0.025 | 108.81 |
| 113 | 2.40 | 0.20 | 0.40 | 25.80 | 3.780 | 0.005 | 0.025 | 99.81 |
| 114 | 2.40 | 0.15 | 0.31 | 30.21 | 2.910 | 0.034 | 0.025 | 73.20 |
| 115 | 2.40 | 0.15 | 0.24 | 30.07 | 3.850 | 0.045 | 0.025 | 64.13 |
| 116 | 2.40 | 0.15 | 0.32 | 19.31 | 2.890 | 0.027 | 0.025 | 63.08 |
| 117 | 2.40 | 0.15 | 0.32 | 19.86 | 2.890 | 0.027 | 0.025 | 72.23 |
| 118 | 2.40 | 0.15 | 0.32 | 22.62 | 2.890 | 0.027 | 0.025 | 73.20 |
| 119 | 2.40 | 0.15 | 0.32 | 22.07 | 2.890 | 0.027 | 0.025 | 60.19 |
| 120 | 2.40 | 0.15 | 0.32 | 19.93 | 2.870 | 0.008 | 0.025 | 48.62 |
| 121 | 2.40 | 0.15 | 0.24 | 20.69 | 3.770 | 0.011 | 0.025 | 35.16 |
| 122 | 2.40 | 0.15 | 0.32 | 20.14 | 2.890 | 0.013 | 0.025 | 45.75 |
| 123 | 2.40 | 0.15 | 0.32 | 20.69 | 2.890 | 0.013 | 0.025 | 52.01 |
| 124 | 2.40 | 0.15 | 0.24 | 22.21 | 3.810 | 0.018 | 0.025 | 41.66 |
| 125 | 2.40 | 0.15 | 0.24 | 22.00 | 3.770 | 0.021 | 0.025 | 44.04 |
| 126 | 2.40 | 0.15 | 0.32 | 19.79 | 2.890 | 0.027 | 0.025 | 81.86 |
| 127 | 2.40 | 0.15 | 0.24 | 20.55 | 3.810 | 0.035 | 0.025 | 46.41 |
| 128 | 2.40 | 0.15 | 0.24 | 21.03 | 3.850 | 0.045 | 0.025 | 50.72 |
| 129 | 2.40 | 0.20 | 0.24 | 19.93 | 3.850 | 0.050 | 0.025 | 76.33 |
| 130 | 2.40 | 0.15 | 0.25 | 23.03 | 4.800 | 0.013 | 0.025 | 37.94 |
| 131 | 2.40 | 0.15 | 0.26 | 20.83 | 4.770 | 0.020 | 0.025 | 44.00 |
| 132 | 2.40 | 0.15 | 0.25 | 16.48 | 4.800 | 0.026 | 0.025 | 37.94 |
| 133 | 2.40 | 0.15 | 0.25 | 18.34 | 4.830 | 0.034 | 0.025 | 41.94 |
| 134 | 2.40 | 0.15 | 0.25 | 22.83 | 4.870 | 0.043 | 0.025 | 53.43 |
| 135 | 2.40 | 0.15 | 0.26 | 20.48 | 5.970 | 0.020 | 0.025 | 35.44 |
| 136 | 2.40 | 0.15 | 0.25 | 20.55 | 6.000 | 0.026 | 0.025 | 39.87 |
| 137 | 2.40 | 0.15 | 0.25 | 20.34 | 6.030 | 0.034 | 0.025 | 44.63 |
| 138 | 2.40 | 0.15 | 0.25 | 20.55 | 6.090 | 0.043 | 0.025 | 44.66 |
| 139 | 2.40 | 0.15 | 0.25 | 21.24 | 7.200 | 0.026 | 0.025 | 41.81 |
| 140 | 2.40 | 0.15 | 0.25 | 19.52 | 7.240 | 0.034 | 0.025 | 39.63 |
| 141 | 2.40 | 0.15 | 0.25 | 19.10 | 7.300 | 0.043 | 0.025 | 42.37 |
| 142 | 2.40 | 0.15 | 0.25 | 21.03 | 8.400 | 0.026 | 0.025 | 36.77 |
| 143 | 2.40 | 0.15 | 0.25 | 21.93 | 8.450 | 0.034 | 0.025 | 41.94 |
| 144 | 2.40 | 0.15 | 0.25 | 21.38 | 8.520 | 0.043 | 0.025 | 40.46 |
| 145 | 2.40 | 0.15 | 0.25 | 20.14 | 3.620 | 0.034 | 0.025 | 51.18 |
| 146 | 2.40 | 0.15 | 0.26 | 34.55 | 3.580 | 0.020 | 0.025 | 55.69 |
| 147 | 2.40 | 0.15 | 0.25 | 29.21 | 3.600 | 0.026 | 0.025 | 57.68 |
| 148 | 2.40 | 0.15 | 0.25 | 32.83 | 3.620 | 0.034 | 0.025 | 56.95 |
| 149 | 2.40 | 0.15 | 0.25 | 34.41 | 3.650 | 0.043 | 0.025 | 59.92 |
| 150 | 2.40 | 0.15 | 0.26 | 31.86 | 4.770 | 0.020 | 0.025 | 53.35 |
| 151 | 2.40 | 0.15 | 0.25 | 30.48 | 4.800 | 0.026 | 0.025 | 53.81 |
| 152 | 2.40 | 0.15 | 0.25 | 32.83 | 4.830 | 0.034 | 0.025 | 54.25 |
| 153 | 2.40 | 0.15 | 0.25 | 34.14 | 4.870 | 0.043 | 0.025 | 52.67 |
| 154 | 2.40 | 0.15 | 0.25 | 38.41 | 6.000 | 0.026 | 0.025 | 52.65 |
| 155 | 2.40 | 0.15 | 0.25 | 37.45 | 6.040 | 0.034 | 0.025 | 57.33 |
| 156 | 2.40 | 0.15 | 0.25 | 38.41 | 6.090 | 0.043 | 0.025 | 62.98 |
| 157 | 2.40 | 0.15 | 0.25 | 37.45 | 7.240 | 0.034 | 0.025 | 53.48 |
| 158 | 2.40 | 0.15 | 0.25 | 33.79 | 7.300 | 0.043 | 0.025 | 48.85 |
| 159 | 2.40 | 0.15 | 0.26 | 12.55 | 3.580 | 0.020 | 0.025 | 40.50 |
| 160 | 2.40 | 0.15 | 0.25 | 12.90 | 3.600 | 0.026 | 0.025 | 42.58 |
| 161 | 2.40 | 0.15 | 0.25 | 15.38 | 3.620 | 0.034 | 0.025 | 50.41 |
| 162 | 2.40 | 0.15 | 0.25 | 13.38 | 3.650 | 0.043 | 0.025 | 62.21 |
| 163 | 2.40 | 0.15 | 0.26 | 13.72 | 4.770 | 0.020 | 0.025 | 36.99 |
| 164 | 2.40 | 0.15 | 0.25 | 12.90 | 4.800 | 0.026 | 0.025 | 39.87 |
| 165 | 2.40 | 0.15 | 0.25 | 15.38 | 4.830 | 0.034 | 0.025 | 43.48 |
| 166 | 2.40 | 0.15 | 0.25 | 12.41 | 4.870 | 0.043 | 0.025 | 40.84 |
| 167 | 2.40 | 0.15 | 0.26 | 12.21 | 5.960 | 0.020 | 0.025 | 31.15 |
| 168 | 2.40 | 0.15 | 0.25 | 17.10 | 6.000 | 0.026 | 0.025 | 35.23 |
| 169 | 2.40 | 0.15 | 0.25 | 14.69 | 6.040 | 0.034 | 0.025 | 34.25 |
| 170 | 2.40 | 0.15 | 0.25 | 13.66 | 6.090 | 0.043 | 0.025 | 39.69 |
| 171 | 2.40 | 0.15 | 0.14 | 26.40 | 5.350 | 0.026 | 0.019 | 31.92 |
| 172 | 2.40 | 0.15 | 0.14 | 28.00 | 5.920 | 0.027 | 0.019 | 29.17 |
| 173 | 2.40 | 0.15 | 0.14 | 28.00 | 5.920 | 0.027 | 0.019 | 30.19 |
| 174 | 2.40 | 0.15 | 0.13 | 24.80 | 5.120 | 0.029 | 0.019 | 28.10 |
| 175 | 2.40 | 0.15 | 0.13 | 24.80 | 5.090 | 0.028 | 0.019 | 27.11 |
| 176 | 2.40 | 0.15 | 0.14 | 24.80 | 3.930 | 0.027 | 0.019 | 28.95 |
| 177 | 2.40 | 0.15 | 0.14 | 25.10 | 3.020 | 0.029 | 0.019 | 32.62 |
| 178 | 2.40 | 0.15 | 0.14 | 27.30 | 3.460 | 0.027 | 0.019 | 28.09 |
| 179 | 2.40 | 0.15 | 0.14 | 26.40 | 5.390 | 0.026 | 0.019 | 31.69 |
| 180 | 2.40 | 0.15 | 0.14 | 27.30 | 3.440 | 0.027 | 0.019 | 28.95 |
| 181 | 2.40 | 0.16 | 0.14 | 20.90 | 2.940 | 0.026 | 0.019 | 39.21 |
| 182 | 2.40 | 0.15 | 0.27 | 27.50 | 5.940 | 0.028 | 0.019 | 51.14 |
| 183 | 2.40 | 0.16 | 0.27 | 27.50 | 8.000 | 0.028 | 0.019 | 40.32 |
| 184 | 2.40 | 0.16 | 0.27 | 27.50 | 3.000 | 0.027 | 0.019 | 65.11 |
| 185 | 2.40 | 0.15 | 0.27 | 27.50 | 4.010 | 0.028 | 0.019 | 55.24 |
| 186 | 2.40 | 0.15 | 0.27 | 27.50 | 6.050 | 0.027 | 0.019 | 50.95 |
| 187 | 2.40 | 0.15 | 0.27 | 27.50 | 7.030 | 0.027 | 0.019 | 45.96 |
| 188 | 2.40 | 0.16 | 0.27 | 30.30 | 6.460 | 0.027 | 0.019 | 53.74 |
| 189 | 2.40 | 0.15 | 0.28 | 25.30 | 3.940 | 0.028 | 0.019 | 56.38 |
| 190 | 2.40 | 0.15 | 0.28 | 27.30 | 2.950 | 0.027 | 0.019 | 62.51 |
| 191 | 2.40 | 0.15 | 0.54 | 26.20 | 4.000 | 0.028 | 0.019 | 92.82 |
| 192 | 2.40 | 0.16 | 0.54 | 25.70 | 8.010 | 0.028 | 0.019 | 79.33 |
| 193 | 2.40 | 0.16 | 0.54 | 26.40 | 6.020 | 0.028 | 0.019 | 91.15 |
| 194 | 2.40 | 0.16 | 0.54 | 27.20 | 9.050 | 0.027 | 0.019 | 75.31 |
| 195 | 2.40 | 0.16 | 0.54 | 27.40 | 2.990 | 0.027 | 0.019 | 102.03 |
| 196 | 2.40 | 0.15 | 0.52 | 27.30 | 3.110 | 0.028 | 0.019 | 107.32 |
| 197 | 2.40 | 0.15 | 0.52 | 27.30 | 3.110 | 0.028 | 0.019 | 107.52 |
| 198 | 2.40 | 0.15 | 0.52 | 30.80 | 2.620 | 0.029 | 0.019 | 114.95 |
| 199 | 2.40 | 0.15 | 0.56 | 26.20 | 6.830 | 0.027 | 0.019 | 83.37 |
| 200 | 2.40 | 0.15 | 1.09 | 27.00 | 3.000 | 0.027 | 0.019 | 164.80 |
| 201 | 2.40 | 0.15 | 1.10 | 29.50 | 3.970 | 0.027 | 0.019 | 158.41 |
| 202 | 2.40 | 0.16 | 1.09 | 28.30 | 5.000 | 0.027 | 0.019 | 152.33 |
| 203 | 2.40 | 0.16 | 1.10 | 26.70 | 7.000 | 0.027 | 0.019 | 154.73 |
| 204 | 2.40 | 0.16 | 1.10 | 26.70 | 8.000 | 0.027 | 0.019 | 147.93 |
| 205 | 2.40 | 0.61 | 0.27 | 27.00 | 6.060 | 0.028 | 0.019 | 216.95 |
| 206 | 2.40 | 0.61 | 0.27 | 27.00 | 5.020 | 0.027 | 0.019 | 228.50 |
| 207 | 2.40 | 0.61 | 0.27 | 27.20 | 4.020 | 0.027 | 0.019 | 205.66 |
| 208 | 2.40 | 0.61 | 0.27 | 27.20 | 3.020 | 0.027 | 0.019 | 249.51 |
| 209 | 2.40 | 0.15 | 0.26 | 23.72 | 4.210 | 0.017 | 0.013 | 39.90 |
| 210 | 2.40 | 0.15 | 0.26 | 36.55 | 3.920 | 0.014 | 0.013 | 35.82 |
| 211 | 2.40 | 0.15 | 0.27 | 33.10 | 3.860 | 0.010 | 0.013 | 37.14 |
| 212 | 2.40 | 0.15 | 0.27 | 28.97 | 4.180 | 0.008 | 0.013 | 31.30 |
| 213 | 2.40 | 0.15 | 0.27 | 33.10 | 4.160 | 0.006 | 0.013 | 27.80 |
| 214 | 2.40 | 0.15 | 0.26 | 27.93 | 4.260 | 0.005 | 0.013 | 33.52 |
| 215 | 2.40 | 0.15 | 0.26 | 25.10 | 4.280 | 0.005 | 0.013 | 24.64 |
| 216 | 2.40 | 0.15 | 0.27 | 31.03 | 4.170 | 0.004 | 0.013 | 27.44 |
| 217 | 2.40 | 0.15 | 0.27 | 28.62 | 4.160 | 0.003 | 0.013 | 30.25 |
| 218 | 2.40 | 0.15 | 0.27 | 29.66 | 4.170 | 0.003 | 0.013 | 24.67 |
| 219 | 2.40 | 0.24 | 0.30 | 22.80 | 3.030 | 0.013 | 0.030 | 69.85 |
| 220 | 2.40 | 0.24 | 0.60 | 29.10 | 3.000 | 0.013 | 0.030 | 116.64 |
| 221 | 2.40 | 0.24 | 0.90 | 27.10 | 3.000 | 0.013 | 0.030 | 162.00 |
| 222 | 2.40 | 0.24 | 1.20 | 24.80 | 3.000 | 0.013 | 0.030 | 175.68 |
| 223 | 2.40 | 0.24 | 0.60 | 26.20 | 3.000 | 0.006 | 0.030 | 103.68 |
| 224 | 2.40 | 0.24 | 0.60 | 24.30 | 3.000 | 0.006 | 0.030 | 112.32 |
| 225 | 2.40 | 0.24 | 0.90 | 26.80 | 3.000 | 0.006 | 0.030 | 133.92 |
| 226 | 2.40 | 0.24 | 0.92 | 27.30 | 2.940 | 0.006 | 0.030 | 122.98 |
| 227 | 2.40 | 0.15 | 0.25 | 17.10 | 2.740 | 0.010 | 0.019 | 36.68 |
| 228 | 2.40 | 0.15 | 0.25 | 46.90 | 2.740 | 0.010 | 0.019 | 54.82 |
| 229 | 2.40 | 0.15 | 0.25 | 18.60 | 2.740 | 0.031 | 0.019 | 55.98 |
| 230 | 2.40 | 0.15 | 0.25 | 25.90 | 5.140 | 0.010 | 0.019 | 31.27 |
| 231 | 2.40 | 0.15 | 0.25 | 18.10 | 5.140 | 0.021 | 0.019 | 35.52 |
| 232 | 2.40 | 0.15 | 0.25 | 16.20 | 5.140 | 0.031 | 0.019 | 40.15 |
| 233 | 2.40 | 0.15 | 0.25 | 29.20 | 5.140 | 0.031 | 0.019 | 52.51 |
| 234 | 2.40 | 0.15 | 0.27 | 26.21 | 3.360 | 0.010 | 0.019 | 44.73 |
| 235 | 2.40 | 0.15 | 0.27 | 26.21 | 3.360 | 0.015 | 0.019 | 47.22 |
| 236 | 2.40 | 0.15 | 0.27 | 24.83 | 3.360 | 0.015 | 0.019 | 44.73 |
| 237 | 2.40 | 0.15 | 0.27 | 28.07 | 3.360 | 0.015 | 0.019 | 54.26 |
| 238 | 2.40 | 0.15 | 0.27 | 30.34 | 3.360 | 0.015 | 0.019 | 52.60 |
| 241 | 2.40 | 0.20 | 0.47 | 27.20 | 3.000 | 0.014 | 0.038 | 104.16 |
| 242 | 2.40 | 0.20 | 0.47 | 24.90 | 3.000 | 0.014 | 0.019 | 87.42 |
| 243 | 2.40 | 0.20 | 0.47 | 32.10 | 3.000 | 0.014 | 0.010 | 85.56 |
| 244 | 2.40 | 0.10 | 0.23 | 25.60 | 3.000 | 0.014 | 0.019 | 22.50 |
| 245 | 2.40 | 0.10 | 0.23 | 25.60 | 3.000 | 0.014 | 0.010 | 23.90 |
| 246 | 2.40 | 0.10 | 0.23 | 27.50 | 3.000 | 0.014 | 0.010 | 27.61 |
| 247 | 2.40 | 0.10 | 0.23 | 20.80 | 3.000 | 0.014 | 0.010 | 22.50 |
| 248 | 2.40 | 0.10 | 0.23 | 22.40 | 3.000 | 0.014 | 0.010 | 23.90 |
| 249 | 2.40 | 0.10 | 0.23 | 28.80 | 3.000 | 0.014 | 0.003 | 27.61 |
| 250 | 2.40 | 0.06 | 0.14 | 32.00 | 3.000 | 0.014 | 0.003 | 11.59 |
| 251 | 2.40 | 0.06 | 0.14 | 32.00 | 3.000 | 0.014 | 0.003 | 12.09 |
| 252 | 2.40 | 0.06 | 0.14 | 32.00 | 3.000 | 0.014 | 0.003 | 10.59 |
| 253 | 2.40 | 0.06 | 0.14 | 32.00 | 3.000 | 0.014 | 0.003 | 11.43 |
| 254 | 2.40 | 0.20 | 0.36 | 39.50 | 3.000 | 0.017 | 0.020 | 96.12 |
| 255 | 2.40 | 0.20 | 0.36 | 39.50 | 3.000 | 0.017 | 0.020 | 96.84 |
| 256 | 2.40 | 0.20 | 0.36 | 33.30 | 3.000 | 0.017 | 0.010 | 87.44 |
| 257 | 2.40 | 0.20 | 0.36 | 33.30 | 3.000 | 0.017 | 0.010 | 94.67 |
| 258 | 2.40 | 0.20 | 0.36 | 36.20 | 3.000 | 0.017 | 0.020 | 99.73 |
| 259 | 2.40 | 0.20 | 0.36 | 36.20 | 3.000 | 0.017 | 0.020 | 96.12 |
| 260 | 2.40 | 0.10 | 0.18 | 27.60 | 3.000 | 0.018 | 0.010 | 23.72 |
| 261 | 2.40 | 0.10 | 0.18 | 27.60 | 3.000 | 0.018 | 0.010 | 23.90 |
| 262 | 2.40 | 0.10 | 0.18 | 29.40 | 3.000 | 0.018 | 0.010 | 24.43 |
| 263 | 2.40 | 0.10 | 0.18 | 29.40 | 3.000 | 0.018 | 0.010 | 25.49 |
| 264 | 2.40 | 0.10 | 0.18 | 32.10 | 3.000 | 0.018 | 0.010 | 26.55 |
| 265 | 2.40 | 0.10 | 0.18 | 32.10 | 3.000 | 0.018 | 0.010 | 23.19 |
| 266 | 2.40 | 0.10 | 0.18 | 25.30 | 3.000 | 0.018 | 0.010 | 22.13 |
| 267 | 2.40 | 0.10 | 0.18 | 25.90 | 3.000 | 0.018 | 0.010 | 23.36 |
| 268 | 2.40 | 0.10 | 0.18 | 35.80 | 3.000 | 0.018 | 0.010 | 21.42 |
| 269 | 2.40 | 0.06 | 0.11 | 24.70 | 3.000 | 0.018 | 0.005 | 9.79 |
| 270 | 2.40 | 0.06 | 0.11 | 24.70 | 3.000 | 0.018 | 0.005 | 8.71 |
| 271 | 2.40 | 0.06 | 0.11 | 24.70 | 3.000 | 0.018 | 0.005 | 9.03 |
| 272 | 2.40 | 0.06 | 0.11 | 24.70 | 3.000 | 0.018 | 0.005 | 9.73 |
| 273 | 2.40 | 0.06 | 0.11 | 41.70 | 3.000 | 0.018 | 0.005 | 11.70 |
| 274 | 2.40 | 0.06 | 0.11 | 41.70 | 3.000 | 0.018 | 0.005 | 12.27 |
| 275 | 2.40 | 0.06 | 0.11 | 41.70 | 3.000 | 0.018 | 0.005 | 9.60 |
| 276 | 2.40 | 0.06 | 0.11 | 41.70 | 3.000 | 0.018 | 0.005 | 10.49 |
| 277 | 2.40 | 0.20 | 0.17 | 32.20 | 3.000 | 0.018 | 0.010 | 47.94 |
| 278 | 2.40 | 0.20 | 0.17 | 32.20 | 3.000 | 0.018 | 0.010 | 47.94 |
| 279 | 2.40 | 0.20 | 0.17 | 31.80 | 3.000 | 0.018 | 0.020 | 55.08 |
| 280 | 2.40 | 0.20 | 0.17 | 31.80 | 3.000 | 0.018 | 0.020 | 56.10 |
| 281 | 2.40 | 0.15 | 0.30 | 20.75 | 3.600 | 0.034 | 0.010 | 64.59 |
| 282 | 2.40 | 0.15 | 0.30 | 27.14 | 3.600 | 0.023 | 0.010 | 66.86 |
| 283 | 2.40 | 0.15 | 0.30 | 37.68 | 3.600 | 0.034 | 0.010 | 82.33 |
| 284 | 2.40 | 0.15 | 0.30 | 41.63 | 3.600 | 0.034 | 0.010 | 82.78 |
| 285 | 2.40 | 0.15 | 0.30 | 74.94 | 3.600 | 0.034 | 0.010 | 89.60 |
| 286 | 2.40 | 0.15 | 0.30 | 74.66 | 3.600 | 0.034 | 0.010 | 89.60 |
| 287 | 2.40 | 0.15 | 0.30 | 81.36 | 3.600 | 0.034 | 0.010 | 93.70 |
| 288 | 2.40 | 0.15 | 0.30 | 93.70 | 3.600 | 0.034 | 0.010 | 100.06 |
| 289 | 2.40 | 0.15 | 0.30 | 91.86 | 3.600 | 0.034 | 0.010 | 97.79 |
| 290 | 2.40 | 0.18 | 0.28 | 20.69 | 4.000 | 0.006 | 0.013 | 34.77 |
| 291 | 2.40 | 0.18 | 0.28 | 20.69 | 4.000 | 0.012 | 0.013 | 45.70 |
| 292 | 2.40 | 0.18 | 0.28 | 20.69 | 4.000 | 0.025 | 0.013 | 55.64 |
| 293 | 2.40 | 0.18 | 0.28 | 40.00 | 4.000 | 0.010 | 0.013 | 47.19 |
| 294 | 2.40 | 0.18 | 0.28 | 40.00 | 4.000 | 0.012 | 0.013 | 47.69 |
| 295 | 2.40 | 0.18 | 0.28 | 40.00 | 4.000 | 0.025 | 0.013 | 66.57 |
| 296 | 2.40 | 0.18 | 0.28 | 65.52 | 4.000 | 0.012 | 0.013 | 60.11 |
| 297 | 2.40 | 0.18 | 0.28 | 65.52 | 4.000 | 0.025 | 0.013 | 68.55 |
| 298 | 2.40 | 0.18 | 0.28 | 65.52 | 4.000 | 0.033 | 0.013 | 80.48 |
| 299 | 2.40 | 0.18 | 0.28 | 79.31 | 4.000 | 0.016 | 0.013 | 65.08 |
| 300 | 2.40 | 0.18 | 0.28 | 79.31 | 4.000 | 0.025 | 0.013 | 70.05 |
| 301 | 2.40 | 0.18 | 0.28 | 63.45 | 6.000 | 0.012 | 0.013 | 44.71 |
| 302 | 2.40 | 0.18 | 0.28 | 63.45 | 6.000 | 0.025 | 0.013 | 63.59 |
| 303 | 2.40 | 0.13 | 0.20 | 60.90 | 4.000 | 0.039 | 0.013 | 57.75 |
| 304 | 2.40 | 0.13 | 0.20 | 60.90 | 3.000 | 0.039 | 0.013 | 68.84 |
| 305 | 2.40 | 0.13 | 0.20 | 60.90 | 2.700 | 0.039 | 0.013 | 68.84 |
| 306 | 2.40 | 0.13 | 0.21 | 60.90 | 4.000 | 0.018 | 0.013 | 46.76 |
| 307 | 2.40 | 0.13 | 0.21 | 60.90 | 3.000 | 0.018 | 0.013 | 48.87 |
| 308 | 2.40 | 0.13 | 0.21 | 60.90 | 2.700 | 0.018 | 0.013 | 80.04 |
| 309 | 2.40 | 0.13 | 0.20 | 67.00 | 4.000 | 0.050 | 0.013 | 51.31 |
| 310 | 2.40 | 0.13 | 0.20 | 67.00 | 3.000 | 0.050 | 0.013 | 69.01 |
| 311 | 2.40 | 0.13 | 0.20 | 67.00 | 2.700 | 0.050 | 0.013 | 143.41 |
| 312 | 2.40 | 0.13 | 0.21 | 67.00 | 4.000 | 0.023 | 0.013 | 26.42 |
| 313 | 2.40 | 0.13 | 0.21 | 67.00 | 3.000 | 0.023 | 0.013 | 46.76 |
| 314 | 2.40 | 0.13 | 0.21 | 67.00 | 2.700 | 0.023 | 0.013 | 80.04 |
| 315 | 2.40 | 0.13 | 0.18 | 64.40 | 4.000 | 0.066 | 0.013 | 54.21 |
| 316 | 2.40 | 0.13 | 0.18 | 64.40 | 3.000 | 0.066 | 0.013 | 75.48 |
| 317 | 2.40 | 0.13 | 0.18 | 64.40 | 2.700 | 0.066 | 0.013 | 68.70 |
| 318 | 2.40 | 0.13 | 0.21 | 64.40 | 4.000 | 0.033 | 0.013 | 45.26 |
| 319 | 2.40 | 0.13 | 0.21 | 64.40 | 3.000 | 0.033 | 0.013 | 44.48 |
| 320 | 2.40 | 0.13 | 0.21 | 64.40 | 2.700 | 0.033 | 0.013 | 45.26 |
| 321 | 2.40 | 0.20 | 0.36 | 40.00 | 3.000 | 0.018 | 0.020 | 84.96 |
| 322 | 2.40 | 0.20 | 0.36 | 40.00 | 3.000 | 0.018 | 0.020 | 92.88 |
| 323 | 2.40 | 0.20 | 0.36 | 40.00 | 3.000 | 0.018 | 0.020 | 97.20 |
| 324 | 2.40 | 0.20 | 0.36 | 40.00 | 3.500 | 0.018 | 0.020 | 87.84 |
| 325 | 2.40 | 0.20 | 0.36 | 40.00 | 3.500 | 0.018 | 0.020 | 93.60 |
| 326 | 2.40 | 0.20 | 0.36 | 40.00 | 3.000 | 0.018 | 0.020 | 93.60 |
| 327 | 2.40 | 0.15 | 0.22 | 54.00 | 3.000 | 0.018 | 0.016 | 58.01 |
| 328 | 2.40 | 0.15 | 0.21 | 54.00 | 4.000 | 0.032 | 0.016 | 70.48 |
| 329 | 2.40 | 0.15 | 0.21 | 54.00 | 3.000 | 0.032 | 0.016 | 82.59 |
| 330 | 2.40 | 0.15 | 0.22 | 77.78 | 3.000 | 0.018 | 0.016 | 67.96 |
| 331 | 2.40 | 0.15 | 0.21 | 77.78 | 4.000 | 0.032 | 0.016 | 77.94 |
| 332 | 2.40 | 0.15 | 0.21 | 77.78 | 3.000 | 0.032 | 0.016 | 82.59 |
| 333 | 2.40 | 0.15 | 0.22 | 58.04 | 3.000 | 0.018 | 0.016 | 97.46 |
| 334 | 2.40 | 0.15 | 0.21 | 58.04 | 4.000 | 0.032 | 0.016 | 68.00 |
| 335 | 2.40 | 0.15 | 0.21 | 58.04 | 3.000 | 0.032 | 0.016 | 82.59 |
| 336 | 2.40 | 0.15 | 0.21 | 86.44 | 4.000 | 0.032 | 0.016 | 86.01 |
| 337 | 2.40 | 0.15 | 0.21 | 86.44 | 3.000 | 0.032 | 0.016 | 107.12 |
| 338 | 2.40 | 0.15 | 0.22 | 97.70 | 3.000 | 0.018 | 0.016 | 56.02 |
| 339 | 2.40 | 0.15 | 0.21 | 97.70 | 4.000 | 0.032 | 0.016 | 76.69 |
| 340 | 2.40 | 0.15 | 0.21 | 97.70 | 3.000 | 0.032 | 0.016 | 77.63 |
| 341 | 2.40 | 0.15 | 0.44 | 77.77 | 3.000 | 0.018 | 0.016 | 90.17 |
| 342 | 2.40 | 0.15 | 0.41 | 77.77 | 4.000 | 0.032 | 0.016 | 114.89 |
| 343 | 2.40 | 0.15 | 0.41 | 77.77 | 3.000 | 0.032 | 0.016 | 119.23 |
| 344 | 2.40 | 0.17 | 0.27 | 53.70 | 3.000 | 0.020 | 0.025 | 70.69 |
| 345 | 2.40 | 0.17 | 0.27 | 53.70 | 3.000 | 0.020 | 0.025 | 71.60 |
| 346 | 2.40 | 0.17 | 0.27 | 53.70 | 3.000 | 0.010 | 0.025 | 58.26 |
| 347 | 2.40 | 0.17 | 0.27 | 53.70 | 3.000 | 0.010 | 0.025 | 56.41 |
| 348 | 2.40 | 0.17 | 0.27 | 53.70 | 3.000 | 0.030 | 0.025 | 78.07 |
| 349 | 2.40 | 0.17 | 0.27 | 53.70 | 3.000 | 0.030 | 0.025 | 78.52 |
| 350 | 2.40 | 0.17 | 0.26 | 53.70 | 3.000 | 0.050 | 0.025 | 89.73 |
| 351 | 2.40 | 0.17 | 0.26 | 53.70 | 3.000 | 0.050 | 0.025 | 95.37 |
| 352 | 2.40 | 0.17 | 0.27 | 53.70 | 4.500 | 0.020 | 0.025 | 66.56 |
| 353 | 2.40 | 0.17 | 0.27 | 53.70 | 4.500 | 0.020 | 0.025 | 63.80 |
| 354 | 2.40 | 0.17 | 0.27 | 53.70 | 6.000 | 0.020 | 0.025 | 59.21 |
| 355 | 2.40 | 0.17 | 0.27 | 53.70 | 6.000 | 0.020 | 0.025 | 61.05 |
| 356 | 2.40 | 0.17 | 0.14 | 53.70 | 3.000 | 0.020 | 0.025 | 41.04 |
| 357 | 2.40 | 0.17 | 0.14 | 53.70 | 3.000 | 0.020 | 0.025 | 39.35 |
| 358 | 2.40 | 0.17 | 0.55 | 53.70 | 3.000 | 0.030 | 0.025 | 128.10 |
| 359 | 2.40 | 0.17 | 0.55 | 53.70 | 3.000 | 0.030 | 0.025 | 121.55 |
| 360 | 2.40 | 0.30 | 0.92 | 53.70 | 3.000 | 0.020 | 0.025 | 271.76 |
| 362 | 2.40 | 0.13 | 0.22 | 39.72 | 3.000 | 0.021 | 0.019 | 36.74 |
| 363 | 2.40 | 0.13 | 0.22 | 104.21 | 3.000 | 0.021 | 0.019 | 45.79 |
| 364 | 2.40 | 0.14 | 0.20 | 23.10 | 3.000 | 0.008 | 0.019 | 34.72 |
| 365 | 2.40 | 0.14 | 0.20 | 23.10 | 3.000 | 0.008 | 0.019 | 38.36 |
| 366 | 2.40 | 0.14 | 0.20 | 27.80 | 3.000 | 0.012 | 0.019 | 33.60 |
| 367 | 2.40 | 0.14 | 0.20 | 27.80 | 3.000 | 0.012 | 0.019 | 39.76 |
| 368 | 2.40 | 0.14 | 0.20 | 22.90 | 3.500 | 0.012 | 0.019 | 28.00 |
| 369 | 2.40 | 0.14 | 0.20 | 22.90 | 3.500 | 0.012 | 0.019 | 33.88 |
| 370 | 2.40 | 0.14 | 0.20 | 23.80 | 4.000 | 0.008 | 0.019 | 26.04 |
| 371 | 2.40 | 0.14 | 0.20 | 23.80 | 4.000 | 0.008 | 0.019 | 26.32 |
| 372 | 2.40 | 0.14 | 0.20 | 24.40 | 4.000 | 0.012 | 0.019 | 31.08 |
| 373 | 2.40 | 0.14 | 0.20 | 24.40 | 4.000 | 0.012 | 0.019 | 36.12 |
| 374 | 2.40 | 0.20 | 0.35 | 21.50 | 3.000 | 0.012 | 0.019 | 72.80 |
| 375 | 2.40 | 0.20 | 0.35 | 19.20 | 3.000 | 0.012 | 0.019 | 72.80 |
| 376 | 2.40 | 0.20 | 0.18 | 23.20 | 3.000 | 0.012 | 0.019 | 50.40 |
| 377 | 2.40 | 0.20 | 0.18 | 22.30 | 3.000 | 0.012 | 0.019 | 45.50 |
| 378 | 2.40 | 0.20 | 0.28 | 10.50 | 4.000 | 0.018 | 0.019 | 56.56 |
| 379 | 2.40 | 0.20 | 0.28 | 14.10 | 4.000 | 0.018 | 0.019 | 58.24 |
| 380 | 2.40 | 0.20 | 0.28 | 17.90 | 4.000 | 0.018 | 0.019 | 69.44 |
| 381 | 2.40 | 0.20 | 0.28 | 29.00 | 4.000 | 0.018 | 0.019 | 75.04 |
| 382 | 2.40 | 0.20 | 0.28 | 45.70 | 4.000 | 0.018 | 0.019 | 70.56 |
| 383 | 2.40 | 0.20 | 0.28 | 52.60 | 4.000 | 0.018 | 0.019 | 72.24 |
| 384 | 2.40 | 0.38 | 0.66 | 36.00 | 3.280 | 0.028 | 0.020 | 245.63 |
| 385 | 2.40 | 0.38 | 0.66 | 67.00 | 3.280 | 0.028 | 0.010 | 289.84 |
| 387 | 2.40 | 0.10 | 0.25 | 19.60 | 2.500 | 0.010 | 0.020 | 68.50 |
| 388 | 2.40 | 0.10 | 0.25 | 19.60 | 3.000 | 0.010 | 0.020 | 55.50 |
| 389 | 2.40 | 0.10 | 0.25 | 19.60 | 4.000 | 0.010 | 0.020 | 55.00 |
| 390 | 2.40 | 0.10 | 0.25 | 19.60 | 2.500 | 0.020 | 0.020 | 93.50 |
| 391 | 2.40 | 0.10 | 0.25 | 19.60 | 3.000 | 0.020 | 0.020 | 62.50 |
| 392 | 2.40 | 0.10 | 0.25 | 19.60 | 4.000 | 0.020 | 0.020 | 63.50 |
| 393 | 2.40 | 0.30 | 0.93 | 36.00 | 2.920 | 0.010 | 0.010 | 224.78 |
| 394 | 2.40 | 0.30 | 0.93 | 36.00 | 2.920 | 0.010 | 0.010 | 249.75 |
| 395 | 2.40 | 0.30 | 0.93 | 98.00 | 2.920 | 0.010 | 0.010 | 194.25 |
| 396 | 2.40 | 0.30 | 0.93 | 98.00 | 2.920 | 0.010 | 0.010 | 216.45 |
| 397 | 2.40 | 0.30 | 0.93 | 39.00 | 2.920 | 0.010 | 0.010 | 222.00 |
| 398 | 2.40 | 0.30 | 0.93 | 39.00 | 2.920 | 0.010 | 0.010 | 235.88 |
| 399 | 2.40 | 0.30 | 0.93 | 39.00 | 2.920 | 0.010 | 0.010 | 205.35 |
| 400 | 2.40 | 0.30 | 0.93 | 37.20 | 2.920 | 0.008 | 0.010 | 191.48 |
| 401 | 2.40 | 0.30 | 0.45 | 37.20 | 3.000 | 0.008 | 0.010 | 132.30 |
| 402 | 2.40 | 0.30 | 0.23 | 37.20 | 3.000 | 0.009 | 0.010 | 72.90 |
| 403 | 2.40 | 0.30 | 0.11 | 37.20 | 3.070 | 0.009 | 0.010 | 39.93 |
| 404 | 2.40 | 0.30 | 0.93 | 98.80 | 2.920 | 0.008 | 0.010 | 194.25 |
| 405 | 2.40 | 0.30 | 0.45 | 98.80 | 3.000 | 0.008 | 0.010 | 132.30 |
| 406 | 2.40 | 0.30 | 0.23 | 98.80 | 3.000 | 0.009 | 0.010 | 85.05 |
| 407 | 2.40 | 0.30 | 0.93 | 94.00 | 2.920 | 0.005 | 0.010 | 163.73 |
| 408 | 2.40 | 0.30 | 0.93 | 21.00 | 2.920 | 0.010 | 0.010 | 180.38 |
| 409 | 2.40 | 0.30 | 0.93 | 32.00 | 2.920 | 0.010 | 0.010 | 185.93 |
| 410 | 2.40 | 0.30 | 0.93 | 38.00 | 2.920 | 0.010 | 0.010 | 180.38 |
| 411 | 2.40 | 0.30 | 0.93 | 65.00 | 2.920 | 0.010 | 0.010 | 185.93 |
| 412 | 2.40 | 0.30 | 0.93 | 80.00 | 2.920 | 0.010 | 0.010 | 172.05 |
| 413 | 2.40 | 0.30 | 0.93 | 32.00 | 2.920 | 0.021 | 0.010 | 258.08 |
| 414 | 2.40 | 0.30 | 0.93 | 32.00 | 2.920 | 0.005 | 0.010 | 163.73 |
| 415 | 2.40 | 0.23 | 0.43 | 35.86 | 3.000 | 0.010 | 0.019 | 172.15 |
| 416 | 2.40 | 0.20 | 0.36 | 49.90 | 3.010 | 0.022 | 0.012 | 99.80 |
| 417 | 2.40 | 0.20 | 0.36 | 60.80 | 3.010 | 0.022 | 0.012 | 108.42 |
| 418 | 2.40 | 0.20 | 0.36 | 68.90 | 3.010 | 0.022 | 0.012 | 99.80 |
| 419 | 2.40 | 0.20 | 0.36 | 87.00 | 3.010 | 0.022 | 0.012 | 117.75 |
| 420 | 2.40 | 0.15 | 0.27 | 52.74 | 2.500 | 0.006 | 0.019 | 64.22 |
| 421 | 2.40 | 0.15 | 0.27 | 49.14 | 3.000 | 0.006 | 0.019 | 41.46 |
| 422 | 2.40 | 0.15 | 0.27 | 49.08 | 3.500 | 0.006 | 0.019 | 53.25 |
| 423 | 2.40 | 0.15 | 0.27 | 47.37 | 4.000 | 0.006 | 0.019 | 34.55 |
| 424 | 2.40 | 0.15 | 0.27 | 49.68 | 4.500 | 0.006 | 0.019 | 30.48 |
| 425 | 2.40 | 0.15 | 0.27 | 46.08 | 5.000 | 0.006 | 0.019 | 30.48 |
| 426 | 2.40 | 0.15 | 0.27 | 45.38 | 5.500 | 0.006 | 0.019 | 27.64 |
| 427 | 2.40 | 0.15 | 0.27 | 48.47 | 6.000 | 0.006 | 0.019 | 24.79 |
| 428 | 2.40 | 0.15 | 0.27 | 48.32 | 2.500 | 0.009 | 0.019 | 53.25 |
| 429 | 2.40 | 0.15 | 0.27 | 49.17 | 3.000 | 0.009 | 0.019 | 53.25 |
| 430 | 2.40 | 0.15 | 0.27 | 47.69 | 3.500 | 0.009 | 0.019 | 47.55 |
| 431 | 2.40 | 0.15 | 0.27 | 47.21 | 4.000 | 0.009 | 0.019 | 47.55 |
| 432 | 2.40 | 0.15 | 0.27 | 52.78 | 4.500 | 0.009 | 0.019 | 42.27 |
| 433 | 2.40 | 0.15 | 0.27 | 50.12 | 5.000 | 0.009 | 0.019 | 42.27 |
| 434 | 2.40 | 0.15 | 0.27 | 45.43 | 5.500 | 0.009 | 0.019 | 36.58 |
| 435 | 2.40 | 0.15 | 0.27 | 49.64 | 6.000 | 0.009 | 0.019 | 36.58 |
| 436 | 2.40 | 0.15 | 0.27 | 45.25 | 2.500 | 0.011 | 0.019 | 70.32 |
| 437 | 2.40 | 0.15 | 0.27 | 48.70 | 3.000 | 0.011 | 0.019 | 58.94 |
| 438 | 2.40 | 0.15 | 0.27 | 48.09 | 3.500 | 0.011 | 0.019 | 57.72 |
| 439 | 2.40 | 0.15 | 0.27 | 48.38 | 4.000 | 0.011 | 0.019 | 48.37 |
| 440 | 2.40 | 0.15 | 0.27 | 47.92 | 4.500 | 0.011 | 0.019 | 49.18 |
| 441 | 2.40 | 0.15 | 0.27 | 44.78 | 5.000 | 0.011 | 0.019 | 42.27 |
| 442 | 2.40 | 0.15 | 0.27 | 46.35 | 5.500 | 0.011 | 0.019 | 41.05 |
| 443 | 2.40 | 0.15 | 0.27 | 49.65 | 6.000 | 0.011 | 0.019 | 41.05 |
| 444 | 2.40 | 0.20 | 0.33 | 61.30 | 2.730 | 0.020 | 0.012 | 124.74 |
| 445 | 2.40 | 0.20 | 0.31 | 61.90 | 2.950 | 0.040 | 0.012 | 170.19 |
| 446 | 2.40 | 0.23 | 0.25 | 56.54 | 3.000 | 0.003 | 0.019 | 54.63 |
| 447 | 2.40 | 0.23 | 0.25 | 56.54 | 3.500 | 0.003 | 0.019 | 50.60 |
| 448 | 2.40 | 0.23 | 0.25 | 56.54 | 4.000 | 0.003 | 0.019 | 40.25 |
| 449 | 2.40 | 0.23 | 0.25 | 56.54 | 4.500 | 0.003 | 0.019 | 32.20 |
| 450 | 2.40 | 0.23 | 0.25 | 56.54 | 5.000 | 0.003 | 0.019 | 27.60 |
| 451 | 2.40 | 0.23 | 0.25 | 56.54 | 5.500 | 0.003 | 0.019 | 23.58 |
| 452 | 2.40 | 0.23 | 0.25 | 56.54 | 6.000 | 0.003 | 0.019 | 14.38 |
| 453 | 2.40 | 0.23 | 0.25 | 56.54 | 3.000 | 0.007 | 0.019 | 54.63 |
| 454 | 2.40 | 0.23 | 0.25 | 56.54 | 3.500 | 0.007 | 0.019 | 50.60 |
| 455 | 2.40 | 0.23 | 0.25 | 56.54 | 4.000 | 0.007 | 0.019 | 46.00 |
| 456 | 2.40 | 0.23 | 0.25 | 56.54 | 4.500 | 0.007 | 0.019 | 41.98 |
| 457 | 2.40 | 0.23 | 0.25 | 56.54 | 5.000 | 0.007 | 0.019 | 37.38 |
| 458 | 2.40 | 0.23 | 0.25 | 56.54 | 5.500 | 0.007 | 0.019 | 32.78 |
| 459 | 2.40 | 0.23 | 0.25 | 56.54 | 6.000 | 0.007 | 0.019 | 23.58 |
| 460 | 2.40 | 0.23 | 0.25 | 56.54 | 3.000 | 0.010 | 0.019 | 56.93 |
| 461 | 2.40 | 0.23 | 0.25 | 56.54 | 3.500 | 0.010 | 0.019 | 55.20 |
| 462 | 2.40 | 0.23 | 0.25 | 56.54 | 4.000 | 0.010 | 0.019 | 50.60 |
| 463 | 2.40 | 0.23 | 0.25 | 56.54 | 4.500 | 0.010 | 0.019 | 46.58 |
| 464 | 2.40 | 0.23 | 0.25 | 56.54 | 5.000 | 0.010 | 0.019 | 41.98 |
| 465 | 2.40 | 0.23 | 0.25 | 56.54 | 5.500 | 0.010 | 0.019 | 37.95 |
| 466 | 2.40 | 0.23 | 0.25 | 56.54 | 6.000 | 0.010 | 0.019 | 33.35 |
| 467 | 2.40 | 0.23 | 0.25 | 56.54 | 3.000 | 0.015 | 0.019 | 106.95 |
| 468 | 2.40 | 0.23 | 0.25 | 56.54 | 3.500 | 0.015 | 0.019 | 96.60 |
| 469 | 2.40 | 0.23 | 0.25 | 56.54 | 4.000 | 0.015 | 0.019 | 93.15 |
| 470 | 2.40 | 0.23 | 0.25 | 56.54 | 4.500 | 0.015 | 0.019 | 79.93 |
| 471 | 2.40 | 0.23 | 0.25 | 56.54 | 5.000 | 0.015 | 0.019 | 75.33 |
| 472 | 2.40 | 0.23 | 0.25 | 56.54 | 5.500 | 0.015 | 0.019 | 67.28 |
| 473 | 2.40 | 0.23 | 0.25 | 56.54 | 6.000 | 0.015 | 0.019 | 62.10 |
| 474 | 2.40 | 0.23 | 0.25 | 56.54 | 3.000 | 0.020 | 0.019 | 96.60 |
| 475 | 2.40 | 0.23 | 0.25 | 56.54 | 3.500 | 0.020 | 0.019 | 91.43 |
| 476 | 2.40 | 0.23 | 0.25 | 56.54 | 4.000 | 0.020 | 0.019 | 89.13 |
| 477 | 2.40 | 0.23 | 0.25 | 56.54 | 4.500 | 0.020 | 0.019 | 78.78 |
| 478 | 2.40 | 0.23 | 0.25 | 56.54 | 5.000 | 0.020 | 0.019 | 70.73 |
| 479 | 2.40 | 0.23 | 0.25 | 56.54 | 5.500 | 0.020 | 0.019 | 66.70 |
| 480 | 2.40 | 0.23 | 0.25 | 56.54 | 6.000 | 0.020 | 0.019 | 62.10 |
| 481 | 2.40 | 0.30 | 1.40 | 38.40 | 2.900 | 0.008 | 0.010 | 264.60 |
| 482 | 2.40 | 0.30 | 1.40 | 40.30 | 2.900 | 0.008 | 0.010 | 243.60 |
| 483 | 2.40 | 0.30 | 1.40 | 73.60 | 2.900 | 0.008 | 0.010 | 239.40 |
| 484 | 2.40 | 0.30 | 1.40 | 31.40 | 2.900 | 0.008 | 0.019 | 264.60 |
| 485 | 2.40 | 0.30 | 1.40 | 33.20 | 2.900 | 0.008 | 0.019 | 264.60 |
| 486 | 2.40 | 0.30 | 1.40 | 28.10 | 2.900 | 0.008 | 0.038 | 243.60 |
| 487 | 2.40 | 0.30 | 1.40 | 28.50 | 2.900 | 0.008 | 0.038 | 289.80 |
| 488 | 2.40 | 0.30 | 1.40 | 41.00 | 2.900 | 0.008 | 0.051 | 273.00 |
| 489 | 2.40 | 0.30 | 1.40 | 40.10 | 2.900 | 0.008 | 0.051 | 298.20 |
| 491 | 2.40 | 0.12 | 0.28 | 41.90 | 2.900 | 0.008 | 0.010 | 36.55 |
| 492 | 2.40 | 0.12 | 0.28 | 41.90 | 2.900 | 0.008 | 0.010 | 38.26 |
| 493 | 2.40 | 0.12 | 0.28 | 77.30 | 2.900 | 0.008 | 0.010 | 37.58 |
| 494 | 2.40 | 0.12 | 0.28 | 39.20 | 2.900 | 0.008 | 0.019 | 39.28 |
| 495 | 2.40 | 0.12 | 0.28 | 38.10 | 2.900 | 0.008 | 0.019 | 38.26 |
| 496 | 2.40 | 0.12 | 0.28 | 29.10 | 2.900 | 0.008 | 0.038 | 41.68 |
| 497 | 2.40 | 0.12 | 0.28 | 29.10 | 2.900 | 0.008 | 0.038 | 34.84 |
| 498 | 2.40 | 0.12 | 0.28 | 43.50 | 2.900 | 0.008 | 0.051 | 38.60 |
| 499 | 2.40 | 0.12 | 0.28 | 43.50 | 2.900 | 0.008 | 0.051 | 40.65 |
| 500 | 2.40 | 0.40 | 0.10 | 45.00 | 2.500 | 0.010 | 0.010 | 73.80 |
| 501 | 2.40 | 0.40 | 0.10 | 47.00 | 2.500 | 0.010 | 0.010 | 77.00 |
| 502 | 2.40 | 0.40 | 0.10 | 45.00 | 2.500 | 0.020 | 0.010 | 81.20 |
| 503 | 2.40 | 0.40 | 0.10 | 47.00 | 2.500 | 0.020 | 0.010 | 84.00 |
| 504 | 2.40 | 0.40 | 0.20 | 45.00 | 2.500 | 0.010 | 0.010 | 115.83 |
| 505 | 2.40 | 0.40 | 0.20 | 47.00 | 2.500 | 0.010 | 0.010 | 121.50 |
| 506 | 2.40 | 0.40 | 0.20 | 45.00 | 2.500 | 0.020 | 0.010 | 127.98 |
| 507 | 2.40 | 0.40 | 0.20 | 47.00 | 2.500 | 0.020 | 0.010 | 134.50 |
| 508 | 2.40 | 0.40 | 0.31 | 45.00 | 2.500 | 0.010 | 0.010 | 152.77 |
| 509 | 2.40 | 0.40 | 0.31 | 47.00 | 2.500 | 0.010 | 0.010 | 155.00 |
| 510 | 2.40 | 0.40 | 0.31 | 45.00 | 2.500 | 0.020 | 0.010 | 166.19 |
| 511 | 2.40 | 0.40 | 0.31 | 47.00 | 2.500 | 0.020 | 0.010 | 174.50 |
| 512 | 2.40 | 0.40 | 0.45 | 45.00 | 2.500 | 0.010 | 0.010 | 180.79 |
| 513 | 2.40 | 0.40 | 0.45 | 47.00 | 2.500 | 0.010 | 0.010 | 201.50 |
| 514 | 2.40 | 0.40 | 0.44 | 45.00 | 2.500 | 0.020 | 0.010 | 226.56 |
| 515 | 2.40 | 0.40 | 0.44 | 47.00 | 2.500 | 0.020 | 0.010 | 228.00 |
| 516 | 2.40 | 0.40 | 0.67 | 45.00 | 2.500 | 0.010 | 0.010 | 250.98 |
| 517 | 2.40 | 0.40 | 0.67 | 47.00 | 2.500 | 0.010 | 0.010 | 283.50 |
| 520 | 2.40 | 0.35 | 0.41 | 40.80 | 3.000 | 0.018 | 0.025 | 192.29 |
| 521 | 2.40 | 0.35 | 0.40 | 40.80 | 3.000 | 0.032 | 0.025 | 221.20 |
| 522 | 2.40 | 0.35 | 0.39 | 40.80 | 3.000 | 0.048 | 0.025 | 220.99 |
| 523 | 2.40 | 0.35 | 0.28 | 30.50 | 3.000 | 0.009 | 0.025 | 70.56 |
| 524 | 2.40 | 0.35 | 0.28 | 30.50 | 3.000 | 0.019 | 0.025 | 92.12 |
| 525 | 2.40 | 0.35 | 0.26 | 30.50 | 3.000 | 0.028 | 0.025 | 101.01 |
| 526 | 2.40 | 0.35 | 0.41 | 40.80 | 3.000 | 0.022 | 0.025 | 177.94 |
| 527 | 2.40 | 0.35 | 0.41 | 40.80 | 4.000 | 0.022 | 0.025 | 167.90 |
| 528 | 2.40 | 0.35 | 0.28 | 30.50 | 3.000 | 0.014 | 0.025 | 85.26 |
| 529 | 2.40 | 0.35 | 0.28 | 30.50 | 4.000 | 0.014 | 0.025 | 82.32 |
| 530 | 2.40 | 0.35 | 0.28 | 30.50 | 5.000 | 0.014 | 0.025 | 74.48 |
| 531 | 2.40 | 0.20 | 0.31 | 36.90 | 2.590 | 0.010 | 0.019 | 71.07 |
| 532 | 2.40 | 0.20 | 0.31 | 38.00 | 2.590 | 0.010 | 0.019 | 90.85 |
| 533 | 2.40 | 0.20 | 0.31 | 35.00 | 2.590 | 0.010 | 0.019 | 148.32 |
| 534 | 2.40 | 0.31 | 0.23 | 66.10 | 3.010 | 0.012 | 0.010 | 130.91 |
| 535 | 2.40 | 0.31 | 0.53 | 66.10 | 2.980 | 0.013 | 0.010 | 139.47 |
| 536 | 2.40 | 0.31 | 0.68 | 65.00 | 2.980 | 0.012 | 0.010 | 147.47 |
| 537 | 2.40 | 0.31 | 0.82 | 74.80 | 3.000 | 0.013 | 0.010 | 168.53 |
| 538 | 2.40 | 0.20 | 0.23 | 68.60 | 2.990 | 0.013 | 0.010 | 57.23 |
| 539 | 2.40 | 0.41 | 0.53 | 64.80 | 2.990 | 0.012 | 0.010 | 155.40 |
| 540 | 2.40 | 0.51 | 0.68 | 68.10 | 2.970 | 0.013 | 0.010 | 260.60 |
| 542 | 2.40 | 0.10 | 0.13 | 60.70 | 2.500 | 0.012 | 0.008 | 23.96 |
| 543 | 2.40 | 0.10 | 0.13 | 60.70 | 3.000 | 0.012 | 0.008 | 22.35 |
| 544 | 2.40 | 0.10 | 0.13 | 55.80 | 2.500 | 0.012 | 0.008 | 21.20 |
| 545 | 2.40 | 0.10 | 0.13 | 55.80 | 3.000 | 0.012 | 0.008 | 20.31 |
| 546 | 2.40 | 0.30 | 0.52 | 33.30 | 4.000 | 0.029 | 0.025 | 187.20 |
| 547 | 2.40 | 0.30 | 0.52 | 33.30 | 4.000 | 0.029 | 0.025 | 205.92 |
| 548 | 2.40 | 0.30 | 0.37 | 38.20 | 2.760 | 0.047 | 0.025 | 175.77 |
| 549 | 2.40 | 0.30 | 0.37 | 50.30 | 2.760 | 0.047 | 0.020 | 186.83 |
| 550 | 2.40 | 0.30 | 0.37 | 81.40 | 2.760 | 0.047 | 0.020 | 262.00 |
| 551 | 2.40 | 0.10 | 0.14 | 75.00 | 2.590 | 0.012 | 0.019 | 23.63 |
| 552 | 2.40 | 0.10 | 0.13 | 75.00 | 2.610 | 0.017 | 0.019 | 25.19 |
| 553 | 2.40 | 0.10 | 0.14 | 56.00 | 2.590 | 0.012 | 0.019 | 17.96 |
| 554 | 2.40 | 0.10 | 0.13 | 56.00 | 2.610 | 0.017 | 0.019 | 20.77 |
| 555 | 2.40 | 0.10 | 0.14 | 64.00 | 2.590 | 0.012 | 0.019 | 19.85 |
| 556 | 2.40 | 0.10 | 0.13 | 64.00 | 2.610 | 0.017 | 0.019 | 21.84 |
| 557 | 2.40 | 0.10 | 0.14 | 47.00 | 2.590 | 0.012 | 0.019 | 16.20 |
| 558 | 2.40 | 0.10 | 0.13 | 47.00 | 2.610 | 0.017 | 0.019 | 17.42 |
| 559 | 2.40 | 0.10 | 0.14 | 53.00 | 2.590 | 0.012 | 0.019 | 19.31 |
| 560 | 2.40 | 0.10 | 0.13 | 53.00 | 2.610 | 0.017 | 0.019 | 23.72 |
| 561 | 2.40 | 0.10 | 0.14 | 37.00 | 2.590 | 0.012 | 0.019 | 21.20 |
| 562 | 2.40 | 0.10 | 0.13 | 37.00 | 2.610 | 0.017 | 0.019 | 22.51 |
| 563 | 2.40 | 0.10 | 0.14 | 55.00 | 2.590 | 0.012 | 0.019 | 18.90 |
| 564 | 2.40 | 0.10 | 0.13 | 55.00 | 2.610 | 0.017 | 0.019 | 22.38 |
| 565 | 2.40 | 0.10 | 0.14 | 37.00 | 2.590 | 0.012 | 0.019 | 18.23 |
| 566 | 2.40 | 0.10 | 0.13 | 37.00 | 2.610 | 0.017 | 0.019 | 18.89 |
| 567 | 2.40 | 0.10 | 0.14 | 51.00 | 2.590 | 0.012 | 0.019 | 19.58 |
| 568 | 2.40 | 0.10 | 0.13 | 51.00 | 2.610 | 0.017 | 0.019 | 22.51 |
| 569 | 2.40 | 0.10 | 0.14 | 33.00 | 2.590 | 0.012 | 0.019 | 14.72 |
| 570 | 2.40 | 0.10 | 0.13 | 33.00 | 2.610 | 0.017 | 0.019 | 18.76 |
| 571 | 2.40 | 0.10 | 0.14 | 48.00 | 2.590 | 0.012 | 0.019 | 21.60 |
| 572 | 2.40 | 0.10 | 0.13 | 48.00 | 2.610 | 0.017 | 0.019 | 22.11 |
| 573 | 2.40 | 0.10 | 0.14 | 30.00 | 2.590 | 0.012 | 0.019 | 18.90 |
| 574 | 2.40 | 0.10 | 0.13 | 30.00 | 2.610 | 0.017 | 0.019 | 20.10 |
| 575 | 2.40 | 0.10 | 0.14 | 41.00 | 2.590 | 0.012 | 0.019 | 15.12 |
| 576 | 2.40 | 0.10 | 0.13 | 41.00 | 2.610 | 0.017 | 0.019 | 19.70 |
| 577 | 2.40 | 0.10 | 0.14 | 26.00 | 2.590 | 0.012 | 0.019 | 19.44 |
| 578 | 2.40 | 0.10 | 0.13 | 26.00 | 2.610 | 0.017 | 0.019 | 16.75 |
| 579 | 2.40 | 0.10 | 0.13 | 54.56 | 2.500 | 0.010 | 0.016 | 23.92 |
| 580 | 2.40 | 0.10 | 0.13 | 54.56 | 3.000 | 0.010 | 0.016 | 22.36 |
| 581 | 2.40 | 0.10 | 0.13 | 48.00 | 2.500 | 0.015 | 0.016 | 23.66 |
| 582 | 2.40 | 0.10 | 0.13 | 48.00 | 2.500 | 0.020 | 0.016 | 23.40 |
| 583 | 2.40 | 0.10 | 0.13 | 48.00 | 3.000 | 0.015 | 0.016 | 24.05 |
| 584 | 2.40 | 0.10 | 0.13 | 48.00 | 3.000 | 0.020 | 0.016 | 24.31 |
| 585 | 2.40 | 0.10 | 0.13 | 48.00 | 2.500 | 0.010 | 0.016 | 21.19 |
| 586 | 2.40 | 0.10 | 0.13 | 48.00 | 3.000 | 0.010 | 0.016 | 20.28 |
| 587 | 2.40 | 0.10 | 0.13 | 54.80 | 2.500 | 0.010 | 0.016 | 23.27 |
| 588 | 2.40 | 0.10 | 0.13 | 54.80 | 3.000 | 0.010 | 0.016 | 19.50 |
| 589 | 2.40 | 0.10 | 0.13 | 52.72 | 2.500 | 0.010 | 0.008 | 23.01 |
| 590 | 2.40 | 0.10 | 0.13 | 52.72 | 3.000 | 0.010 | 0.008 | 22.88 |
| 591 | 2.40 | 0.20 | 0.25 | 38.00 | 3.000 | 0.030 | 0.019 | 75.00 |
| 592 | 2.40 | 0.20 | 0.25 | 38.00 | 3.500 | 0.030 | 0.019 | 78.00 |
| 593 | 2.40 | 0.20 | 0.25 | 36.00 | 4.000 | 0.030 | 0.019 | 76.50 |
| 594 | 2.40 | 0.20 | 0.25 | 133.00 | 3.000 | 0.030 | 0.019 | 142.00 |
| 595 | 2.40 | 0.20 | 0.25 | 116.00 | 3.500 | 0.030 | 0.019 | 93.00 |
| 596 | 2.40 | 0.20 | 0.25 | 114.00 | 4.000 | 0.030 | 0.019 | 85.00 |
| 597 | 2.40 | 0.20 | 0.25 | 138.00 | 4.000 | 0.030 | 0.019 | 82.50 |
| 598 | 2.40 | 0.20 | 0.25 | 165.00 | 3.000 | 0.030 | 0.019 | 226.00 |
| 599 | 2.40 | 0.20 | 0.25 | 194.00 | 3.500 | 0.030 | 0.019 | 80.00 |
| 600 | 2.40 | 0.20 | 0.25 | 183.00 | 4.000 | 0.030 | 0.019 | 105.50 |
| 601 | 2.40 | 0.20 | 0.25 | 155.00 | 4.000 | 0.030 | 0.019 | 120.50 |
| 602 | 2.40 | 0.20 | 0.25 | 175.00 | 4.000 | 0.030 | 0.019 | 153.00 |
| 603 | 2.40 | 0.17 | 0.26 | 42.64 | 2.500 | 0.009 | 0.015 | 51.71 |
| 604 | 2.40 | 0.17 | 0.26 | 42.64 | 2.500 | 0.009 | 0.015 | 49.06 |
| 605 | 2.40 | 0.17 | 0.26 | 42.64 | 3.500 | 0.009 | 0.015 | 47.29 |
| 606 | 2.40 | 0.17 | 0.26 | 42.64 | 3.500 | 0.009 | 0.015 | 53.92 |
| 607 | 2.40 | 0.17 | 0.26 | 42.64 | 4.000 | 0.009 | 0.015 | 34.03 |
| 608 | 2.40 | 0.17 | 0.26 | 42.64 | 4.000 | 0.009 | 0.015 | 47.74 |
| 609 | 2.40 | 0.20 | 0.16 | 35.00 | 3.000 | 0.010 | 0.032 | 95.36 |
| 610 | 2.40 | 0.20 | 0.16 | 35.00 | 3.000 | 0.010 | 0.032 | 88.64 |
| 611 | 2.40 | 0.20 | 0.16 | 35.00 | 3.000 | 0.010 | 0.032 | 91.20 |
| 612 | 2.40 | 0.20 | 0.36 | 35.00 | 3.000 | 0.010 | 0.032 | 159.84 |
| 613 | 2.40 | 0.20 | 0.36 | 35.00 | 3.000 | 0.010 | 0.032 | 172.80 |
| 614 | 2.40 | 0.20 | 0.36 | 35.00 | 3.000 | 0.010 | 0.032 | 181.44 |
| 616 | 2.40 | 0.20 | 0.72 | 35.00 | 3.125 | 0.010 | 0.032 | 231.84 |
| 618 | 2.40 | 0.15 | 0.20 | 43.60 | 3.875 | 0.013 | 0.019 | 44.00 |
| 619 | 2.40 | 0.15 | 0.20 | 43.60 | 3.875 | 0.013 | 0.019 | 39.10 |
| 620 | 2.40 | 0.15 | 0.20 | 40.20 | 3.875 | 0.013 | 0.019 | 43.70 |
| 621 | 2.40 | 0.15 | 0.20 | 40.20 | 3.875 | 0.013 | 0.019 | 41.20 |
| 622 | 2.40 | 0.15 | 0.20 | 41.40 | 3.875 | 0.013 | 0.019 | 36.40 |
| 623 | 2.40 | 0.15 | 0.20 | 41.40 | 3.875 | 0.013 | 0.019 | 38.00 |
| 624 | 2.40 | 0.15 | 0.20 | 35.70 | 3.875 | 0.013 | 0.019 | 39.90 |
| 625 | 2.40 | 0.15 | 0.20 | 35.70 | 3.875 | 0.013 | 0.019 | 36.10 |
| 629 | 2.40 | 0.30 | 0.41 | 37.24 | 3.000 | 0.013 | 0.025 | 120.58 |
| 630 | 2.40 | 0.30 | 0.41 | 34.14 | 3.000 | 0.013 | 0.025 | 130.33 |
| 631 | 2.40 | 0.30 | 0.38 | 37.24 | 3.200 | 0.020 | 0.025 | 143.64 |
| 632 | 2.40 | 0.30 | 0.38 | 34.14 | 3.200 | 0.020 | 0.025 | 166.44 |
| 633 | 2.40 | 0.30 | 0.38 | 37.24 | 3.200 | 0.027 | 0.025 | 173.28 |
| 634 | 2.40 | 0.30 | 0.38 | 34.14 | 3.200 | 0.027 | 0.025 | 171.00 |
| 635 | 2.40 | 0.30 | 0.41 | 32.03 | 3.000 | 0.013 | 0.025 | 116.93 |
| 636 | 2.40 | 0.30 | 0.41 | 35.52 | 3.000 | 0.013 | 0.025 | 112.06 |
| 637 | 2.40 | 0.30 | 0.38 | 32.03 | 3.200 | 0.020 | 0.025 | 151.62 |
| 638 | 2.40 | 0.30 | 0.38 | 35.52 | 3.200 | 0.020 | 0.025 | 148.20 |
| 639 | 2.40 | 0.30 | 0.38 | 32.03 | 3.200 | 0.027 | 0.025 | 172.14 |
| 640 | 2.40 | 0.30 | 0.38 | 35.52 | 3.200 | 0.027 | 0.025 | 168.72 |
| 641 | 2.40 | 0.30 | 0.41 | 30.00 | 3.000 | 0.013 | 0.025 | 114.49 |
| 642 | 2.40 | 0.30 | 0.41 | 34.14 | 3.000 | 0.013 | 0.025 | 113.27 |
| 643 | 2.40 | 0.30 | 0.38 | 30.00 | 3.200 | 0.020 | 0.025 | 143.64 |
| 644 | 2.40 | 0.30 | 0.38 | 34.14 | 3.200 | 0.020 | 0.025 | 124.26 |
| 645 | 2.40 | 0.30 | 0.38 | 30.00 | 3.200 | 0.027 | 0.025 | 131.10 |
| 646 | 2.40 | 0.30 | 0.38 | 34.14 | 3.200 | 0.027 | 0.025 | 140.22 |
| 647 | 2.40 | 0.21 | 0.27 | 28.30 | 3.000 | 0.020 | 0.020 | 52.80 |
| 648 | 2.40 | 0.21 | 0.27 | 25.20 | 3.000 | 0.020 | 0.020 | 49.50 |
| 649 | 2.40 | 0.21 | 0.27 | 23.20 | 3.000 | 0.020 | 0.020 | 46.75 |
| 650 | 2.40 | 0.21 | 0.27 | 28.05 | 3.000 | 0.020 | 0.020 | 55.00 |
| 651 | 2.40 | 0.21 | 0.27 | 26.60 | 3.000 | 0.020 | 0.020 | 55.00 |
| 652 | 2.40 | 0.15 | 0.27 | 33.00 | 2.500 | 0.010 | 0.020 | 43.25 |
| 653 | 2.40 | 0.15 | 0.27 | 43.75 | 2.500 | 0.010 | 0.020 | 68.89 |
| 654 | 2.40 | 0.15 | 0.27 | 27.95 | 2.500 | 0.010 | 0.020 | 54.87 |
| 655 | 2.40 | 0.15 | 0.27 | 35.55 | 2.500 | 0.010 | 0.020 | 55.67 |
| 656 | 2.40 | 0.15 | 0.27 | 31.85 | 2.500 | 0.010 | 0.020 | 46.86 |
| 657 | 2.40 | 0.15 | 0.27 | 38.70 | 2.500 | 0.010 | 0.020 | 56.47 |
| 658 | 2.40 | 0.15 | 0.39 | 30.16 | 2.990 | 0.008 | 0.019 | 55.06 |
| 659 | 2.40 | 0.15 | 0.39 | 28.64 | 2.990 | 0.008 | 0.019 | 43.07 |
| 660 | 2.40 | 0.15 | 0.39 | 29.28 | 2.990 | 0.008 | 0.019 | 45.05 |
| 661 | 2.40 | 0.15 | 0.39 | 28.00 | 2.990 | 0.008 | 0.019 | 40.62 |
| 662 | 2.40 | 0.15 | 0.39 | 28.24 | 2.990 | 0.008 | 0.019 | 49.47 |
| 663 | 2.40 | 0.15 | 0.39 | 28.24 | 2.990 | 0.008 | 0.019 | 45.63 |
| 664 | 2.40 | 0.15 | 0.39 | 30.48 | 2.990 | 0.008 | 0.019 | 47.49 |
| 665 | 2.40 | 0.15 | 0.39 | 29.28 | 2.990 | 0.008 | 0.019 | 47.96 |
| 666 | 2.40 | 0.15 | 0.39 | 29.92 | 2.990 | 0.008 | 0.019 | 56.57 |
| 667 | 2.40 | 0.15 | 0.39 | 27.84 | 2.990 | 0.008 | 0.019 | 53.08 |
| 668 | 2.40 | 0.15 | 0.39 | 28.32 | 2.990 | 0.008 | 0.019 | 54.77 |
| 669 | 2.40 | 0.15 | 0.39 | 27.20 | 2.990 | 0.008 | 0.019 | 47.78 |
| 670 | 2.40 | 0.15 | 0.39 | 28.08 | 2.990 | 0.008 | 0.019 | 43.07 |
| 671 | 2.40 | 0.25 | 0.27 | 36.40 | 2.600 | 0.024 | 0.010 | 116.10 |
| 672 | 2.40 | 0.25 | 0.27 | 37.30 | 2.600 | 0.024 | 0.020 | 184.28 |
| 673 | 2.40 | 0.20 | 0.24 | 41.80 | 4.200 | 0.025 | 0.032 | 106.15 |
| 674 | 2.40 | 0.20 | 0.24 | 46.30 | 4.200 | 0.025 | 0.032 | 91.87 |
| 675 | 2.40 | 0.20 | 0.24 | 42.40 | 4.200 | 0.025 | 0.032 | 104.72 |
| 676 | 2.40 | 0.21 | 0.11 | 40.40 | 2.500 | 0.014 | 0.016 | 26.00 |
| 677 | 2.40 | 0.21 | 0.21 | 40.40 | 2.500 | 0.014 | 0.016 | 64.00 |
| 678 | 2.40 | 0.21 | 0.32 | 40.40 | 2.500 | 0.014 | 0.016 | 97.00 |
| 679 | 2.40 | 0.21 | 0.42 | 40.40 | 2.500 | 0.014 | 0.016 | 157.00 |
| 680 | 2.40 | 0.21 | 0.53 | 40.40 | 2.500 | 0.014 | 0.016 | 173.00 |
| 681 | 2.40 | 0.21 | 0.63 | 40.40 | 2.500 | 0.014 | 0.016 | 204.00 |
| 682 | 2.40 | 0.21 | 0.74 | 40.40 | 2.500 | 0.014 | 0.016 | 242.00 |
| 683 | 2.40 | 0.21 | 0.11 | 40.40 | 2.500 | 0.014 | 0.016 | 28.00 |
| 684 | 2.40 | 0.21 | 0.21 | 40.40 | 2.500 | 0.014 | 0.016 | 53.00 |
| 685 | 2.40 | 0.21 | 0.32 | 40.40 | 2.500 | 0.014 | 0.016 | 89.00 |
| 686 | 2.40 | 0.21 | 0.42 | 40.40 | 2.500 | 0.014 | 0.016 | 121.00 |
| 687 | 2.40 | 0.21 | 0.53 | 40.40 | 2.500 | 0.014 | 0.016 | 153.00 |
| 688 | 2.40 | 0.21 | 0.63 | 40.40 | 2.500 | 0.014 | 0.016 | 204.00 |
| 689 | 2.40 | 0.21 | 0.74 | 40.40 | 2.500 | 0.014 | 0.016 | 243.00 |
| 690 | 2.40 | 0.21 | 0.32 | 40.40 | 2.500 | 0.014 | 0.016 | 102.00 |
| 691 | 2.40 | 0.21 | 0.63 | 40.40 | 2.500 | 0.014 | 0.016 | 190.00 |
| 692 | 2.40 | 0.21 | 0.74 | 40.40 | 2.500 | 0.015 | 0.016 | 240.00 |
| 693 | 2.40 | 0.40 | 0.53 | 23.20 | 2.500 | 0.019 | 0.020 | 259.35 |
| 694 | 2.40 | 0.40 | 0.53 | 23.20 | 3.000 | 0.019 | 0.020 | 227.11 |
| 695 | 2.40 | 0.40 | 0.53 | 23.20 | 3.000 | 0.019 | 0.020 | 239.02 |
| 696 | 2.40 | 0.40 | 0.53 | 23.20 | 4.000 | 0.019 | 0.020 | 250.91 |
| 697 | 2.40 | 0.40 | 0.53 | 23.20 | 4.000 | 0.019 | 0.020 | 216.98 |
| 698 | 2.40 | 0.40 | 0.53 | 27.20 | 5.000 | 0.019 | 0.020 | 235.45 |
| 699 | 2.40 | 0.40 | 0.53 | 27.20 | 5.000 | 0.019 | 0.020 | 239.22 |
| 700 | 2.40 | 0.40 | 0.53 | 25.60 | 5.000 | 0.019 | 0.020 | 205.91 |
| 701 | 2.40 | 0.40 | 0.53 | 25.60 | 5.000 | 0.019 | 0.020 | 206.09 |
| 702 | 2.40 | 0.40 | 0.53 | 23.20 | 5.000 | 0.019 | 0.020 | 206.52 |
| 703 | 2.40 | 0.40 | 0.53 | 23.20 | 5.000 | 0.019 | 0.020 | 219.31 |
| 704 | 2.40 | 0.31 | 0.41 | 53.50 | 3.000 | 0.017 | 0.010 | 149.20 |
| 705 | 2.40 | 0.31 | 0.41 | 53.50 | 3.000 | 0.020 | 0.010 | 143.80 |
| 706 | 2.40 | 0.31 | 0.41 | 53.50 | 3.000 | 0.027 | 0.010 | 144.00 |
| 707 | 2.40 | 0.31 | 0.41 | 45.90 | 3.000 | 0.017 | 0.010 | 142.50 |
| 708 | 2.40 | 0.31 | 0.41 | 45.90 | 3.000 | 0.020 | 0.010 | 175.00 |
| 709 | 2.40 | 0.31 | 0.41 | 45.90 | 3.000 | 0.027 | 0.010 | 150.00 |
| 710 | 2.40 | 0.31 | 0.41 | 52.90 | 3.000 | 0.017 | 0.010 | 146.00 |
| 711 | 2.40 | 0.31 | 0.41 | 52.90 | 3.000 | 0.020 | 0.010 | 162.00 |
| 712 | 2.40 | 0.31 | 0.41 | 52.90 | 3.000 | 0.027 | 0.010 | 154.00 |
| 717 | 2.40 | 0.20 | 0.27 | 42.82 | 2.600 | 0.008 | 0.020 | 81.10 |
| 718 | 2.40 | 0.20 | 0.27 | 42.82 | 2.600 | 0.008 | 0.020 | 81.30 |
| 719 | 2.40 | 0.20 | 0.27 | 42.82 | 2.600 | 0.013 | 0.020 | 92.30 |
| 720 | 2.40 | 0.36 | 0.28 | 49.88 | 2.920 | 0.016 | 0.016 | 128.61 |
| 721 | 2.40 | 0.36 | 0.28 | 49.88 | 2.920 | 0.016 | 0.016 | 119.76 |
| 722 | 2.40 | 0.29 | 0.28 | 46.84 | 2.920 | 0.019 | 0.016 | 108.60 |
| 723 | 2.40 | 0.29 | 0.18 | 48.93 | 4.560 | 0.030 | 0.016 | 75.70 |
| 724 | 2.40 | 0.29 | 0.28 | 55.96 | 2.920 | 0.010 | 0.016 | 90.76 |
| 725 | 2.40 | 0.13 | 0.20 | 59.27 | 4.000 | 0.039 | 0.016 | 58.30 |
| 726 | 2.40 | 0.13 | 0.20 | 59.27 | 3.000 | 0.039 | 0.016 | 69.34 |
| 727 | 2.40 | 0.13 | 0.20 | 59.27 | 2.700 | 0.039 | 0.016 | 69.31 |
| 728 | 2.40 | 0.13 | 0.21 | 59.27 | 4.000 | 0.018 | 0.016 | 47.18 |
| 729 | 2.40 | 0.13 | 0.21 | 59.27 | 3.000 | 0.018 | 0.016 | 49.33 |
| 730 | 2.40 | 0.13 | 0.20 | 65.27 | 4.000 | 0.050 | 0.016 | 51.68 |
| 731 | 2.40 | 0.13 | 0.20 | 65.27 | 3.000 | 0.050 | 0.016 | 69.34 |
| 732 | 2.40 | 0.13 | 0.20 | 65.27 | 2.700 | 0.050 | 0.016 | 100.45 |
| 733 | 2.40 | 0.13 | 0.21 | 65.27 | 4.000 | 0.022 | 0.016 | 44.96 |
| 734 | 2.40 | 0.13 | 0.21 | 65.27 | 3.000 | 0.022 | 0.016 | 47.10 |
| 735 | 2.40 | 0.13 | 0.21 | 65.27 | 2.700 | 0.022 | 0.016 | 80.44 |
| 736 | 2.40 | 0.13 | 0.18 | 62.67 | 4.000 | 0.066 | 0.016 | 54.71 |
| 737 | 2.40 | 0.13 | 0.18 | 62.67 | 3.000 | 0.066 | 0.016 | 75.99 |
| 738 | 2.40 | 0.13 | 0.18 | 62.67 | 2.700 | 0.066 | 0.016 | 69.29 |
| 739 | 2.40 | 0.13 | 0.21 | 62.67 | 4.000 | 0.033 | 0.016 | 45.85 |
| 740 | 2.40 | 0.13 | 0.21 | 62.67 | 3.000 | 0.033 | 0.016 | 44.88 |
| 741 | 2.40 | 0.13 | 0.21 | 62.67 | 2.700 | 0.033 | 0.016 | 45.74 |
| 742 | 2.40 | 0.10 | 0.18 | 41.45 | 3.700 | 0.014 | 0.016 | 26.97 |
| 743 | 2.40 | 0.10 | 0.18 | 74.18 | 3.700 | 0.014 | 0.016 | 27.15 |
| 744 | 2.40 | 0.10 | 0.18 | 76.80 | 3.700 | 0.014 | 0.016 | 27.15 |
| 745 | 2.40 | 0.08 | 0.13 | 23.91 | 2.500 | 0.026 | 0.016 | 27.14 |
| 746 | 2.40 | 0.08 | 0.13 | 27.19 | 3.400 | 0.026 | 0.016 | 17.58 |
| 747 | 2.40 | 0.08 | 0.13 | 26.49 | 3.400 | 0.015 | 0.016 | 14.61 |
| 748 | 2.40 | 0.08 | 0.13 | 27.78 | 3.400 | 0.026 | 0.016 | 24.26 |
| 749 | 2.40 | 0.08 | 0.13 | 23.98 | 4.000 | 0.026 | 0.016 | 17.45 |
| 750 | 2.40 | 0.08 | 0.13 | 27.19 | 4.000 | 0.026 | 0.016 | 14.92 |
| 751 | 2.40 | 0.08 | 0.13 | 25.22 | 4.000 | 0.015 | 0.016 | 14.11 |
| 752 | 2.40 | 0.08 | 0.13 | 27.29 | 4.000 | 0.026 | 0.016 | 17.20 |
| 753 | 2.40 | 0.08 | 0.13 | 25.55 | 4.500 | 0.026 | 0.016 | 14.24 |
| 754 | 2.40 | 0.08 | 0.13 | 24.18 | 4.500 | 0.026 | 0.016 | 13.77 |
| 755 | 2.40 | 0.08 | 0.13 | 27.06 | 4.500 | 0.026 | 0.016 | 15.64 |
| 756 | 2.40 | 0.08 | 0.13 | 26.73 | 4.500 | 0.026 | 0.016 | 15.07 |
| 757 | 2.40 | 0.08 | 0.13 | 28.11 | 5.500 | 0.026 | 0.016 | 14.09 |
| 758 | 2.40 | 0.08 | 0.13 | 24.96 | 5.500 | 0.026 | 0.016 | 13.68 |
| 759 | 2.40 | 0.08 | 0.13 | 29.09 | 5.500 | 0.041 | 0.016 | 14.27 |
| 760 | 2.40 | 0.08 | 0.13 | 24.70 | 5.500 | 0.026 | 0.016 | 13.80 |
| 761 | 2.40 | 0.08 | 0.13 | 30.14 | 6.500 | 0.026 | 0.016 | 14.41 |
| 764 | 2.40 | 0.30 | 0.92 | 30.40 | 2.880 | 0.005 | 0.016 | 167.86 |
| 765 | 2.40 | 0.30 | 0.92 | 19.95 | 2.880 | 0.010 | 0.016 | 181.86 |
| 766 | 2.40 | 0.30 | 0.92 | 30.40 | 2.880 | 0.010 | 0.016 | 187.86 |
| 767 | 2.40 | 0.30 | 0.92 | 36.10 | 2.880 | 0.010 | 0.016 | 182.86 |
| 768 | 2.40 | 0.30 | 0.92 | 61.75 | 2.880 | 0.010 | 0.016 | 187.86 |
| 769 | 2.40 | 0.30 | 0.92 | 76.00 | 2.880 | 0.010 | 0.016 | 174.86 |
| 770 | 2.40 | 0.30 | 0.90 | 30.40 | 2.970 | 0.021 | 0.016 | 259.86 |
| 771 | 2.40 | 1.00 | 0.25 | 25.96 | 3.680 | 0.006 | 0.016 | 226.11 |
| 772 | 2.40 | 1.00 | 0.25 | 25.57 | 3.680 | 0.006 | 0.016 | 221.57 |
| 773 | 2.40 | 1.00 | 0.25 | 25.96 | 3.680 | 0.009 | 0.016 | 226.11 |
| 774 | 2.40 | 1.00 | 0.50 | 23.35 | 3.650 | 0.005 | 0.016 | 279.70 |
| 779 | 2.40 | 0.25 | 0.44 | 35.82 | 2.890 | 0.009 | 0.016 | 116.76 |
| 780 | 2.40 | 0.25 | 0.44 | 36.58 | 2.870 | 0.009 | 0.016 | 113.67 |
| 784 | 2.40 | 0.70 | 0.31 | 35.63 | 3.260 | 0.009 | 0.016 | 240.16 |
| 785 | 2.40 | 0.71 | 0.31 | 35.25 | 3.270 | 0.009 | 0.016 | 261.33 |
| 786 | 2.40 | 0.70 | 0.31 | 35.91 | 3.270 | 0.009 | 0.016 | 256.42 |
| 787 | 2.40 | 0.71 | 0.31 | 35.25 | 3.260 | 0.009 | 0.016 | 252.27 |
| 788 | 2.40 | 0.10 | 0.17 | 27.66 | 4.170 | 0.011 | 0.016 | 21.53 |
| 789 | 2.40 | 0.10 | 0.17 | 27.66 | 4.170 | 0.012 | 0.016 | 24.08 |
| 790 | 2.40 | 0.10 | 0.17 | 26.19 | 4.170 | 0.010 | 0.016 | 20.15 |
| 791 | 2.40 | 0.10 | 0.17 | 27.66 | 4.170 | 0.011 | 0.016 | 21.92 |
| 792 | 2.40 | 0.10 | 0.17 | 27.66 | 4.170 | 0.012 | 0.016 | 21.33 |
| 793 | 2.40 | 0.10 | 0.17 | 26.19 | 4.170 | 0.010 | 0.016 | 17.60 |
| 794 | 2.40 | 0.15 | 0.16 | 78.00 | 2.520 | 0.026 | 0.016 | 95.77 |
| 795 | 2.40 | 0.15 | 0.16 | 78.00 | 2.520 | 0.026 | 0.016 | 115.77 |
| 796 | 2.40 | 0.15 | 0.16 | 78.00 | 3.460 | 0.053 | 0.016 | 80.72 |
| 797 | 2.40 | 0.15 | 0.16 | 78.00 | 3.460 | 0.053 | 0.016 | 65.72 |
| 798 | 2.40 | 0.15 | 0.16 | 92.25 | 3.460 | 0.053 | 0.016 | 68.72 |
| 799 | 2.40 | 0.24 | 0.30 | 22.02 | 2.940 | 0.013 | 0.016 | 70.99 |
| 800 | 2.40 | 0.24 | 0.60 | 28.12 | 2.940 | 0.013 | 0.016 | 119.48 |
| 801 | 2.40 | 0.24 | 0.90 | 26.11 | 2.940 | 0.013 | 0.016 | 166.38 |
| 802 | 2.40 | 0.24 | 1.20 | 23.95 | 2.940 | 0.013 | 0.016 | 187.10 |
| 803 | 2.40 | 0.24 | 0.60 | 25.26 | 2.940 | 0.006 | 0.016 | 106.90 |
| 804 | 2.40 | 0.24 | 0.60 | 23.49 | 2.940 | 0.006 | 0.016 | 115.38 |
| 805 | 2.40 | 0.24 | 0.90 | 25.88 | 2.940 | 0.006 | 0.016 | 140.05 |
| 806 | 2.40 | 0.24 | 0.90 | 26.34 | 2.940 | 0.006 | 0.016 | 127.63 |
| 807 | 2.40 | 0.31 | 0.46 | 21.42 | 3.800 | 0.018 | 0.016 | 170.74 |
| 808 | 2.40 | 0.30 | 0.47 | 22.54 | 4.740 | 0.023 | 0.016 | 184.37 |
| 809 | 2.40 | 0.31 | 0.46 | 35.71 | 6.770 | 0.027 | 0.016 | 195.76 |
| 810 | 2.40 | 0.20 | 0.36 | 47.41 | 2.900 | 0.022 | 0.016 | 100.76 |
| 811 | 2.40 | 0.20 | 0.36 | 47.41 | 2.900 | 0.022 | 0.016 | 178.67 |
| 812 | 2.40 | 0.20 | 0.36 | 57.76 | 2.900 | 0.022 | 0.016 | 109.21 |
| 813 | 2.40 | 0.20 | 0.36 | 65.46 | 2.900 | 0.022 | 0.016 | 101.00 |
| 814 | 2.40 | 0.20 | 0.36 | 82.65 | 2.900 | 0.022 | 0.016 | 118.92 |
| 815 | 2.40 | 0.20 | 0.36 | 82.65 | 2.900 | 0.022 | 0.016 | 141.16 |
| 817 | 2.40 | 0.30 | 1.92 | 28.55 | 2.770 | 0.004 | 0.016 | 238.92 |
| 818 | 2.40 | 0.14 | 0.23 | 27.81 | 3.420 | 0.011 | 0.016 | 42.13 |
| 819 | 2.40 | 0.20 | 0.36 | 36.98 | 3.000 | 0.017 | 0.016 | 97.10 |
| 820 | 2.40 | 0.20 | 0.36 | 31.20 | 3.000 | 0.017 | 0.016 | 87.40 |
| 821 | 2.40 | 0.20 | 0.36 | 31.20 | 3.000 | 0.017 | 0.016 | 94.40 |
| 822 | 2.40 | 0.20 | 0.36 | 33.90 | 3.000 | 0.017 | 0.016 | 99.40 |
| 823 | 2.40 | 0.20 | 0.36 | 33.90 | 3.000 | 0.017 | 0.016 | 96.40 |
| 824 | 2.40 | 0.10 | 0.18 | 23.29 | 3.000 | 0.018 | 0.016 | 23.80 |
| 825 | 2.40 | 0.10 | 0.18 | 23.29 | 3.000 | 0.018 | 0.016 | 23.90 |
| 826 | 2.40 | 0.10 | 0.18 | 24.84 | 3.000 | 0.018 | 0.016 | 24.50 |
| 827 | 2.40 | 0.10 | 0.18 | 24.84 | 3.000 | 0.018 | 0.016 | 25.50 |
| 828 | 2.40 | 0.10 | 0.18 | 27.07 | 3.000 | 0.018 | 0.016 | 26.50 |
| 829 | 2.40 | 0.10 | 0.18 | 27.07 | 3.000 | 0.018 | 0.016 | 23.20 |
| 830 | 2.40 | 0.10 | 0.18 | 21.33 | 3.000 | 0.018 | 0.016 | 22.10 |
| 831 | 2.40 | 0.10 | 0.18 | 21.87 | 3.000 | 0.018 | 0.016 | 23.40 |
| 832 | 2.40 | 0.10 | 0.18 | 30.17 | 3.000 | 0.018 | 0.016 | 21.40 |
| 833 | 2.40 | 0.06 | 0.11 | 19.78 | 3.000 | 0.018 | 0.016 | 9.82 |
| 834 | 2.40 | 0.06 | 0.11 | 19.78 | 3.000 | 0.018 | 0.016 | 8.65 |
| 835 | 2.40 | 0.06 | 0.11 | 19.78 | 3.000 | 0.018 | 0.016 | 8.97 |
| 836 | 2.40 | 0.06 | 0.11 | 19.78 | 3.000 | 0.018 | 0.016 | 9.71 |
| 837 | 2.40 | 0.06 | 0.11 | 33.41 | 3.000 | 0.018 | 0.016 | 11.70 |
| 838 | 2.40 | 0.06 | 0.11 | 33.41 | 3.000 | 0.018 | 0.016 | 12.35 |
| 839 | 2.40 | 0.06 | 0.11 | 33.41 | 3.000 | 0.018 | 0.016 | 9.62 |
| 840 | 2.40 | 0.06 | 0.11 | 33.41 | 3.000 | 0.018 | 0.016 | 10.47 |
| 841 | 2.40 | 0.10 | 0.14 | 26.21 | 4.090 | 0.029 | 0.016 | 20.00 |
| 842 | 2.40 | 0.10 | 0.14 | 26.21 | 2.600 | 0.019 | 0.016 | 19.65 |
| 843 | 2.40 | 0.10 | 0.14 | 26.21 | 3.350 | 0.024 | 0.016 | 19.71 |
| 844 | 2.40 | 0.10 | 0.14 | 26.21 | 3.350 | 0.024 | 0.016 | 17.89 |
| 845 | 2.40 | 0.10 | 0.14 | 16.77 | 4.090 | 0.024 | 0.016 | 16.70 |
| 846 | 2.40 | 0.10 | 0.14 | 16.77 | 2.600 | 0.029 | 0.016 | 17.87 |
| 847 | 2.40 | 0.10 | 0.14 | 36.69 | 3.720 | 0.019 | 0.016 | 21.19 |
| 848 | 2.40 | 0.10 | 0.14 | 30.27 | 3.720 | 0.019 | 0.016 | 21.54 |
| 849 | 2.40 | 0.10 | 0.14 | 30.60 | 3.720 | 0.019 | 0.016 | 21.72 |
| 850 | 2.40 | 0.10 | 0.14 | 30.60 | 3.720 | 0.029 | 0.016 | 28.97 |
| 851 | 2.40 | 0.10 | 0.14 | 30.60 | 3.720 | 0.029 | 0.016 | 27.59 |
| 852 | 2.40 | 0.10 | 0.14 | 29.61 | 3.720 | 0.029 | 0.016 | 22.52 |
| 853 | 2.40 | 0.10 | 0.14 | 29.61 | 3.720 | 0.029 | 0.016 | 26.04 |
| 854 | 2.40 | 0.10 | 0.14 | 30.47 | 3.720 | 0.029 | 0.016 | 24.61 |
| 855 | 2.40 | 0.10 | 0.14 | 30.47 | 3.720 | 0.029 | 0.016 | 23.46 |
| 856 | 2.40 | 0.30 | 0.92 | 34.20 | 2.880 | 0.010 | 0.016 | 227.86 |
| 857 | 2.40 | 0.30 | 0.92 | 93.10 | 2.880 | 0.010 | 0.016 | 193.00 |
| 858 | 2.40 | 0.30 | 0.92 | 37.05 | 2.880 | 0.010 | 0.016 | 206.86 |
| 859 | 2.40 | 0.30 | 0.92 | 37.05 | 2.880 | 0.010 | 0.016 | 225.86 |
| 860 | 2.40 | 0.30 | 0.92 | 34.20 | 2.880 | 0.010 | 0.016 | 251.86 |
| 861 | 2.40 | 0.30 | 0.92 | 93.10 | 2.880 | 0.010 | 0.016 | 219.86 |
| 862 | 2.40 | 0.30 | 0.92 | 37.05 | 2.880 | 0.010 | 0.016 | 237.86 |
| 863 | 2.40 | 0.15 | 0.25 | 29.94 | 3.300 | 0.010 | 0.016 | 42.36 |
| 864 | 2.40 | 0.15 | 0.25 | 18.48 | 4.300 | 0.010 | 0.016 | 34.94 |
| 865 | 2.40 | 0.15 | 0.25 | 25.36 | 3.300 | 0.033 | 0.016 | 59.49 |
| 866 | 2.40 | 0.15 | 0.25 | 21.03 | 4.300 | 0.033 | 0.016 | 47.62 |
| 867 | 2.40 | 0.15 | 0.25 | 26.14 | 5.300 | 0.033 | 0.016 | 55.55 |
| 868 | 2.40 | 0.15 | 0.22 | 51.30 | 3.000 | 0.018 | 0.016 | 58.86 |
| 869 | 2.40 | 0.15 | 0.21 | 51.30 | 4.000 | 0.032 | 0.016 | 71.12 |
| 870 | 2.40 | 0.15 | 0.21 | 51.30 | 3.000 | 0.032 | 0.016 | 83.39 |
| 871 | 2.40 | 0.15 | 0.22 | 73.89 | 3.000 | 0.018 | 0.016 | 68.67 |
| 872 | 2.40 | 0.15 | 0.21 | 73.89 | 4.000 | 0.032 | 0.016 | 78.48 |
| 873 | 2.40 | 0.15 | 0.21 | 73.89 | 3.000 | 0.032 | 0.016 | 83.39 |
| 874 | 2.40 | 0.15 | 0.21 | 82.12 | 4.000 | 0.032 | 0.016 | 86.82 |
| 875 | 2.40 | 0.15 | 0.21 | 82.12 | 3.000 | 0.032 | 0.016 | 107.91 |
| 876 | 2.40 | 0.15 | 0.22 | 92.82 | 3.000 | 0.018 | 0.016 | 56.90 |
| 877 | 2.40 | 0.15 | 0.21 | 92.82 | 4.000 | 0.032 | 0.016 | 77.50 |
| 878 | 2.40 | 0.15 | 0.21 | 92.82 | 3.000 | 0.032 | 0.016 | 78.48 |
| 879 | 2.40 | 0.30 | 0.44 | 73.88 | 3.000 | 0.018 | 0.016 | 186.18 |
| 880 | 2.40 | 0.30 | 0.41 | 73.88 | 4.000 | 0.032 | 0.016 | 234.73 |
| 881 | 2.40 | 0.30 | 0.41 | 73.88 | 3.000 | 0.032 | 0.016 | 286.72 |
| 882 | 2.40 | 0.18 | 0.27 | 19.66 | 4.000 | 0.012 | 0.016 | 45.13 |
| 883 | 2.40 | 0.18 | 0.27 | 19.66 | 4.000 | 0.024 | 0.016 | 54.33 |
| 884 | 2.40 | 0.18 | 0.27 | 38.00 | 4.000 | 0.009 | 0.016 | 46.12 |
| 885 | 2.40 | 0.18 | 0.27 | 38.00 | 4.000 | 0.012 | 0.016 | 49.00 |
| 886 | 2.40 | 0.18 | 0.27 | 38.00 | 4.000 | 0.024 | 0.016 | 64.78 |
| 887 | 2.40 | 0.18 | 0.27 | 62.24 | 4.000 | 0.012 | 0.016 | 58.75 |
| 888 | 2.40 | 0.18 | 0.27 | 62.24 | 4.000 | 0.024 | 0.016 | 66.99 |
| 889 | 2.40 | 0.18 | 0.27 | 62.24 | 4.000 | 0.032 | 0.016 | 76.25 |
| 890 | 2.40 | 0.18 | 0.27 | 75.34 | 4.000 | 0.016 | 0.016 | 63.67 |
| 891 | 2.40 | 0.18 | 0.27 | 75.34 | 4.000 | 0.024 | 0.016 | 67.67 |
| 892 | 2.40 | 0.18 | 0.27 | 60.28 | 6.000 | 0.024 | 0.016 | 62.14 |
| 893 | 2.40 | 0.15 | 0.25 | 20.44 | 3.020 | 0.034 | 0.016 | 76.37 |
| 894 | 2.40 | 0.15 | 0.25 | 34.86 | 3.020 | 0.034 | 0.016 | 80.87 |
| 895 | 2.40 | 0.15 | 0.25 | 26.60 | 4.020 | 0.033 | 0.016 | 54.30 |
| 896 | 2.40 | 0.15 | 0.25 | 24.50 | 5.030 | 0.034 | 0.016 | 52.03 |
| 897 | 2.40 | 0.15 | 0.25 | 26.53 | 6.040 | 0.034 | 0.016 | 52.21 |
| 898 | 2.40 | 0.15 | 0.25 | 20.44 | 2.870 | 0.034 | 0.016 | 74.81 |
| 899 | 2.40 | 0.15 | 0.25 | 34.86 | 2.870 | 0.034 | 0.016 | 92.96 |
| 900 | 2.40 | 0.15 | 0.25 | 26.60 | 3.870 | 0.033 | 0.016 | 62.41 |
| 901 | 2.40 | 0.10 | 0.21 | 28.24 | 3.390 | 0.048 | 0.016 | 29.45 |
| 902 | 2.40 | 0.10 | 0.21 | 25.94 | 3.390 | 0.048 | 0.016 | 27.36 |
| 903 | 2.40 | 0.10 | 0.21 | 33.35 | 3.390 | 0.048 | 0.016 | 34.03 |
| 904 | 2.40 | 0.10 | 0.21 | 33.22 | 3.390 | 0.048 | 0.016 | 32.03 |
| 905 | 2.40 | 0.10 | 0.21 | 43.11 | 3.390 | 0.048 | 0.016 | 34.26 |
| 906 | 2.40 | 0.10 | 0.21 | 36.76 | 3.390 | 0.048 | 0.016 | 35.99 |
| 907 | 2.40 | 0.18 | 0.21 | 29.74 | 3.390 | 0.027 | 0.016 | 49.28 |
| 908 | 2.40 | 0.18 | 0.21 | 28.11 | 3.390 | 0.027 | 0.016 | 52.62 |
| 909 | 2.40 | 0.11 | 0.18 | 19.66 | 4.000 | 0.030 | 0.016 | 24.35 |
| 910 | 2.40 | 0.11 | 0.18 | 19.59 | 4.000 | 0.030 | 0.016 | 24.52 |
| 911 | 2.40 | 0.11 | 0.18 | 16.64 | 4.000 | 0.030 | 0.016 | 22.08 |
| 912 | 2.40 | 0.11 | 0.11 | 20.64 | 6.220 | 0.046 | 0.016 | 15.79 |
| 913 | 2.40 | 0.11 | 0.11 | 20.77 | 6.220 | 0.046 | 0.016 | 17.56 |
| 914 | 2.40 | 0.10 | 0.21 | 33.91 | 3.390 | 0.048 | 0.016 | 35.46 |
| 915 | 2.40 | 0.10 | 0.21 | 31.84 | 3.390 | 0.048 | 0.016 | 31.59 |
| 916 | 2.40 | 0.10 | 0.21 | 38.00 | 3.390 | 0.048 | 0.016 | 39.41 |
| 917 | 2.40 | 0.10 | 0.21 | 41.21 | 3.390 | 0.048 | 0.016 | 43.85 |
| 918 | 2.40 | 0.10 | 0.21 | 38.98 | 3.390 | 0.048 | 0.016 | 38.29 |
| 919 | 2.40 | 0.10 | 0.21 | 31.84 | 3.390 | 0.048 | 0.016 | 50.13 |
| 920 | 2.40 | 0.10 | 0.21 | 31.84 | 3.390 | 0.048 | 0.016 | 38.79 |
| 921 | 2.40 | 0.11 | 0.16 | 20.64 | 4.480 | 0.033 | 0.016 | 27.35 |
| 922 | 2.40 | 0.11 | 0.16 | 21.49 | 4.480 | 0.033 | 0.016 | 29.80 |
| 923 | 2.40 | 0.11 | 0.16 | 21.10 | 4.480 | 0.033 | 0.016 | 27.35 |
| 924 | 2.40 | 0.10 | 0.19 | 27.84 | 3.230 | 0.021 | 0.016 | 22.25 |
| 925 | 2.40 | 0.20 | 0.26 | 130.15 | 4.230 | 0.031 | 0.016 | 107.97 |
| 926 | 2.40 | 0.20 | 0.20 | 132.05 | 4.000 | 0.030 | 0.016 | 109.11 |
| 927 | 2.40 | 0.20 | 0.20 | 118.75 | 4.000 | 0.040 | 0.016 | 102.16 |
| 928 | 2.40 | 0.20 | 0.20 | 102.60 | 4.000 | 0.040 | 0.016 | 109.66 |
| 929 | 2.40 | 0.40 | 0.13 | 32.48 | 2.500 | 0.020 | 0.016 | 111.90 |
| 930 | 2.40 | 0.40 | 0.13 | 32.48 | 2.500 | 0.012 | 0.016 | 84.58 |
| 931 | 2.40 | 0.40 | 0.19 | 32.48 | 2.500 | 0.020 | 0.016 | 122.70 |
| 932 | 2.40 | 0.40 | 0.19 | 32.48 | 2.500 | 0.012 | 0.016 | 103.62 |
| 933 | 2.40 | 0.40 | 0.31 | 32.48 | 2.500 | 0.020 | 0.016 | 178.63 |
| 934 | 2.40 | 0.40 | 0.31 | 32.48 | 2.500 | 0.012 | 0.016 | 158.03 |
| 935 | 2.40 | 0.40 | 0.44 | 32.48 | 2.500 | 0.020 | 0.016 | 215.42 |
| 936 | 2.40 | 0.40 | 0.44 | 32.48 | 2.500 | 0.012 | 0.016 | 187.57 |
| 939 | 2.40 | 0.40 | 0.07 | 55.62 | 2.500 | 0.019 | 0.016 | 77.41 |
| 940 | 2.40 | 0.40 | 0.07 | 55.62 | 2.500 | 0.012 | 0.016 | 52.10 |
| 941 | 2.40 | 0.40 | 0.13 | 55.62 | 2.500 | 0.020 | 0.016 | 104.98 |
| 942 | 2.40 | 0.40 | 0.13 | 55.62 | 2.500 | 0.012 | 0.016 | 76.67 |
| 943 | 2.40 | 0.40 | 0.19 | 55.62 | 2.500 | 0.020 | 0.016 | 135.26 |
| 944 | 2.40 | 0.40 | 0.19 | 55.62 | 2.500 | 0.012 | 0.016 | 105.94 |
| 945 | 2.40 | 0.40 | 0.31 | 55.62 | 2.500 | 0.020 | 0.016 | 189.64 |
| 946 | 2.40 | 0.40 | 0.31 | 55.62 | 2.500 | 0.012 | 0.016 | 157.28 |
| 947 | 2.40 | 0.40 | 0.44 | 55.62 | 2.500 | 0.020 | 0.016 | 219.20 |
| 948 | 2.40 | 0.40 | 0.44 | 55.62 | 2.500 | 0.012 | 0.016 | 219.20 |
| 951 | 2.40 | 0.30 | 0.15 | 85.60 | 3.730 | 0.013 | 0.016 | 70.23 |
| 952 | 2.40 | 0.30 | 0.15 | 86.64 | 3.750 | 0.022 | 0.016 | 75.24 |
| 953 | 2.40 | 0.30 | 0.15 | 89.02 | 3.900 | 0.042 | 0.016 | 98.56 |
| 954 | 2.40 | 0.30 | 0.15 | 89.02 | 3.900 | 0.042 | 0.016 | 99.26 |
| 955 | 2.40 | 0.30 | 0.35 | 86.69 | 3.530 | 0.019 | 0.016 | 193.98 |
| 956 | 2.40 | 0.30 | 0.33 | 89.40 | 3.750 | 0.038 | 0.016 | 233.15 |
| 957 | 2.40 | 0.30 | 0.72 | 89.04 | 3.660 | 0.017 | 0.016 | 270.25 |
| 958 | 2.40 | 0.30 | 0.75 | 89.68 | 3.530 | 0.008 | 0.016 | 215.06 |
| 960 | 2.40 | 0.30 | 0.15 | 105.36 | 3.730 | 0.013 | 0.016 | 75.02 |
| 961 | 2.40 | 0.30 | 0.15 | 105.36 | 3.750 | 0.022 | 0.016 | 90.97 |
| 962 | 2.40 | 0.30 | 0.15 | 105.36 | 3.900 | 0.042 | 0.016 | 123.01 |
| 963 | 2.40 | 0.18 | 0.38 | 28.01 | 2.500 | 0.038 | 0.016 | 118.22 |
| 964 | 2.40 | 0.18 | 0.38 | 24.63 | 4.250 | 0.038 | 0.016 | 89.81 |
| 965 | 2.40 | 0.18 | 0.38 | 13.23 | 2.500 | 0.038 | 0.016 | 100.94 |
| 966 | 2.40 | 0.18 | 0.38 | 24.37 | 2.500 | 0.038 | 0.016 | 123.82 |
| 967 | 2.40 | 0.16 | 0.19 | 31.16 | 3.660 | 0.023 | 0.016 | 56.56 |
| 968 | 2.40 | 0.16 | 0.19 | 31.16 | 3.610 | 0.022 | 0.016 | 54.07 |
| 969 | 2.40 | 0.16 | 0.19 | 29.55 | 3.650 | 0.023 | 0.016 | 49.57 |
| 970 | 2.40 | 0.16 | 0.19 | 29.55 | 3.630 | 0.022 | 0.016 | 54.07 |
| 971 | 2.40 | 0.16 | 0.19 | 81.89 | 3.650 | 0.022 | 0.016 | 83.09 |
| 972 | 2.40 | 0.16 | 0.19 | 81.89 | 3.610 | 0.022 | 0.016 | 77.08 |
| 973 | 2.40 | 0.16 | 0.19 | 42.66 | 3.660 | 0.023 | 0.016 | 59.57 |
| 974 | 2.40 | 0.16 | 0.19 | 42.66 | 3.610 | 0.023 | 0.016 | 63.57 |
| 975 | 2.40 | 0.16 | 0.19 | 80.37 | 3.610 | 0.023 | 0.016 | 69.57 |
| 976 | 2.40 | 0.16 | 0.19 | 80.37 | 3.630 | 0.022 | 0.016 | 76.08 |
| 977 | 2.40 | 0.16 | 0.19 | 58.71 | 3.630 | 0.023 | 0.016 | 71.57 |
| 978 | 2.40 | 0.16 | 0.20 | 58.71 | 3.570 | 0.022 | 0.016 | 70.07 |
| 979 | 2.40 | 0.16 | 0.19 | 65.65 | 3.610 | 0.023 | 0.016 | 77.07 |
| 980 | 2.40 | 0.16 | 0.19 | 65.65 | 3.590 | 0.022 | 0.016 | 74.57 |
| 981 | 2.40 | 0.16 | 0.19 | 57.76 | 3.610 | 0.040 | 0.016 | 89.10 |
| 982 | 2.40 | 0.16 | 0.19 | 57.76 | 3.590 | 0.040 | 0.016 | 90.52 |
| 983 | 2.40 | 0.16 | 0.19 | 62.42 | 3.590 | 0.040 | 0.016 | 82.10 |
| 984 | 2.40 | 0.16 | 0.19 | 62.42 | 3.590 | 0.040 | 0.016 | 79.60 |
| 985 | 2.40 | 0.16 | 0.20 | 55.39 | 3.580 | 0.040 | 0.016 | 78.53 |
| 986 | 2.40 | 0.15 | 0.20 | 55.39 | 3.580 | 0.041 | 0.016 | 83.06 |
| 987 | 2.40 | 0.26 | 0.21 | 87.78 | 2.640 | 0.007 | 0.016 | 76.10 |
| 988 | 2.40 | 0.28 | 0.21 | 86.74 | 2.610 | 0.011 | 0.016 | 104.15 |
| 989 | 2.40 | 0.34 | 0.21 | 80.75 | 2.640 | 0.006 | 0.016 | 89.28 |
| 990 | 2.40 | 0.10 | 0.37 | 28.82 | 3.390 | 0.017 | 0.016 | 44.97 |
| 991 | 2.40 | 0.10 | 0.37 | 22.34 | 3.370 | 0.011 | 0.016 | 41.42 |
| 992 | 2.40 | 0.10 | 0.37 | 20.86 | 5.900 | 0.011 | 0.016 | 30.97 |
| 993 | 2.40 | 0.10 | 0.37 | 19.91 | 3.440 | 0.011 | 0.016 | 38.87 |
| 994 | 2.40 | 0.15 | 0.27 | 24.24 | 2.480 | 0.025 | 0.016 | 81.16 |
| 995 | 2.40 | 0.15 | 0.27 | 26.34 | 2.480 | 0.025 | 0.016 | 58.45 |
| 996 | 2.40 | 0.15 | 0.27 | 35.25 | 2.480 | 0.025 | 0.016 | 91.12 |
| 997 | 2.40 | 0.15 | 0.27 | 55.10 | 2.480 | 0.050 | 0.016 | 128.04 |
| 998 | 2.40 | 0.15 | 0.27 | 69.97 | 2.480 | 0.050 | 0.016 | 166.20 |
| 999 | 2.40 | 0.15 | 0.27 | 19.85 | 4.950 | 0.012 | 0.016 | 34.77 |
| 1000 | 2.40 | 0.15 | 0.27 | 29.42 | 4.950 | 0.012 | 0.016 | 43.77 |
| 1001 | 2.40 | 0.15 | 0.27 | 28.17 | 4.950 | 0.012 | 0.016 | 40.99 |
| 1002 | 2.40 | 0.15 | 0.27 | 29.29 | 4.950 | 0.035 | 0.016 | 53.36 |
| 1003 | 2.40 | 0.15 | 0.27 | 28.63 | 2.480 | 0.012 | 0.016 | 46.77 |
| 1004 | 2.40 | 0.15 | 0.27 | 18.90 | 4.950 | 0.012 | 0.016 | 34.51 |
| 1005 | 2.40 | 0.15 | 0.27 | 27.98 | 4.950 | 0.012 | 0.016 | 43.51 |
| 1006 | 2.40 | 0.15 | 0.27 | 26.78 | 4.950 | 0.012 | 0.016 | 40.71 |
| 1007 | 2.40 | 0.15 | 0.27 | 27.83 | 4.950 | 0.022 | 0.016 | 53.11 |
| 1008 | 2.40 | 0.15 | 0.20 | 79.14 | 3.940 | 0.032 | 0.016 | 65.63 |
| 1009 | 2.40 | 0.15 | 0.20 | 68.59 | 3.940 | 0.032 | 0.016 | 58.63 |
| 1010 | 2.40 | 0.15 | 0.21 | 48.26 | 3.860 | 0.020 | 0.016 | 46.13 |
| 1011 | 2.40 | 0.15 | 0.21 | 32.68 | 3.900 | 0.032 | 0.016 | 55.63 |
| 1012 | 2.40 | 0.15 | 0.21 | 25.27 | 3.860 | 0.020 | 0.016 | 48.13 |
| 1013 | 2.40 | 0.30 | 0.54 | 53.07 | 3.100 | 0.025 | 0.016 | 197.03 |
| 1014 | 2.40 | 0.15 | 0.14 | 25.09 | 5.350 | 0.026 | 0.016 | 32.00 |
| 1015 | 2.40 | 0.15 | 0.14 | 25.88 | 2.410 | 0.026 | 0.016 | 51.45 |
| 1016 | 2.40 | 0.15 | 0.14 | 26.60 | 5.930 | 0.027 | 0.016 | 29.11 |
| 1017 | 2.40 | 0.15 | 0.13 | 23.52 | 5.130 | 0.028 | 0.016 | 28.18 |
| 1018 | 2.40 | 0.15 | 0.13 | 23.52 | 5.090 | 0.028 | 0.016 | 27.12 |
| 1019 | 2.40 | 0.15 | 0.14 | 23.59 | 3.930 | 0.027 | 0.016 | 28.88 |
| 1020 | 2.40 | 0.15 | 0.13 | 23.85 | 3.020 | 0.028 | 0.016 | 32.58 |
| 1021 | 2.40 | 0.15 | 0.14 | 25.88 | 3.460 | 0.027 | 0.016 | 27.99 |
| 1022 | 2.40 | 0.15 | 0.14 | 25.09 | 5.390 | 0.026 | 0.016 | 31.55 |
| 1023 | 2.40 | 0.15 | 0.14 | 25.88 | 3.440 | 0.027 | 0.016 | 28.90 |
| 1024 | 2.40 | 0.15 | 0.14 | 25.29 | 2.670 | 0.026 | 0.016 | 50.14 |
| 1025 | 2.40 | 0.15 | 0.14 | 25.42 | 2.930 | 0.026 | 0.016 | 39.29 |
| 1026 | 2.40 | 0.15 | 0.27 | 26.14 | 5.930 | 0.028 | 0.016 | 51.14 |
| 1027 | 2.40 | 0.16 | 0.27 | 26.08 | 3.000 | 0.027 | 0.016 | 64.96 |
| 1028 | 2.40 | 0.15 | 0.27 | 26.08 | 4.000 | 0.028 | 0.016 | 55.37 |
| 1029 | 2.40 | 0.15 | 0.27 | 26.08 | 6.060 | 0.027 | 0.016 | 50.96 |
| 1030 | 2.40 | 0.15 | 0.27 | 28.76 | 6.460 | 0.027 | 0.016 | 53.77 |
| 1031 | 2.40 | 0.15 | 0.27 | 24.04 | 2.470 | 0.028 | 0.016 | 72.74 |
| 1032 | 2.40 | 0.15 | 0.28 | 24.04 | 3.940 | 0.028 | 0.016 | 56.26 |
| 1033 | 2.40 | 0.15 | 0.28 | 25.88 | 2.950 | 0.027 | 0.016 | 62.50 |
| 1034 | 2.40 | 0.15 | 0.28 | 24.90 | 2.470 | 0.027 | 0.016 | 76.27 |
| 1035 | 2.40 | 0.15 | 0.27 | 24.90 | 2.500 | 0.027 | 0.016 | 77.18 |
| 1036 | 2.40 | 0.15 | 0.54 | 24.90 | 4.000 | 0.028 | 0.016 | 93.20 |
| 1037 | 2.40 | 0.16 | 0.54 | 24.44 | 8.030 | 0.028 | 0.016 | 78.97 |
| 1038 | 2.40 | 0.15 | 0.55 | 25.62 | 2.460 | 0.028 | 0.016 | 112.33 |
| 1039 | 2.40 | 0.16 | 0.54 | 25.09 | 6.010 | 0.027 | 0.016 | 90.77 |
| 1040 | 2.40 | 0.15 | 0.54 | 26.01 | 2.990 | 0.027 | 0.016 | 102.10 |
| 1041 | 2.40 | 0.15 | 0.52 | 25.88 | 3.120 | 0.028 | 0.016 | 107.66 |
| 1042 | 2.40 | 0.15 | 0.52 | 25.94 | 3.110 | 0.028 | 0.016 | 107.84 |
| 1043 | 2.40 | 0.15 | 0.52 | 29.22 | 2.630 | 0.029 | 0.016 | 114.79 |
| 1044 | 2.40 | 0.15 | 0.56 | 24.83 | 6.840 | 0.027 | 0.016 | 83.62 |
| 1045 | 2.40 | 0.15 | 1.09 | 25.09 | 2.500 | 0.027 | 0.016 | 236.86 |
| 1046 | 2.40 | 0.15 | 1.09 | 25.62 | 3.000 | 0.027 | 0.016 | 164.97 |
| 1047 | 2.40 | 0.15 | 1.10 | 28.04 | 3.980 | 0.027 | 0.016 | 158.95 |
| 1048 | 2.40 | 0.15 | 1.09 | 26.86 | 5.000 | 0.027 | 0.016 | 152.41 |
| 1049 | 2.40 | 0.15 | 1.10 | 25.36 | 7.000 | 0.027 | 0.016 | 154.06 |
| 1050 | 2.40 | 0.15 | 1.09 | 25.36 | 8.000 | 0.027 | 0.016 | 147.04 |
| 1051 | 2.40 | 0.61 | 0.27 | 25.62 | 6.070 | 0.027 | 0.016 | 217.12 |
| 1052 | 2.40 | 0.61 | 0.27 | 25.62 | 5.020 | 0.027 | 0.016 | 227.80 |
| 1053 | 2.40 | 0.61 | 0.27 | 25.81 | 4.010 | 0.027 | 0.016 | 206.04 |
| 1054 | 2.40 | 0.61 | 0.27 | 25.81 | 3.020 | 0.027 | 0.016 | 250.13 |
| 1055 | 2.40 | 0.15 | 0.27 | 17.17 | 2.480 | 0.005 | 0.016 | 32.48 |
| 1056 | 2.40 | 0.15 | 0.27 | 19.66 | 3.530 | 0.005 | 0.016 | 24.47 |
| 1057 | 2.40 | 0.15 | 0.28 | 19.07 | 2.960 | 0.005 | 0.016 | 27.20 |
| 1058 | 2.40 | 0.15 | 0.27 | 26.21 | 3.470 | 0.005 | 0.016 | 25.35 |
| 1059 | 2.40 | 0.15 | 0.28 | 26.21 | 2.410 | 0.005 | 0.016 | 37.14 |
| 1060 | 2.40 | 0.15 | 0.26 | 30.73 | 2.570 | 0.005 | 0.016 | 33.57 |
| 1061 | 2.40 | 0.15 | 0.27 | 32.76 | 3.530 | 0.005 | 0.016 | 24.91 |
| 1062 | 2.40 | 0.15 | 0.27 | 16.77 | 3.960 | 0.007 | 0.016 | 30.22 |
| 1063 | 2.40 | 0.15 | 0.27 | 17.10 | 2.500 | 0.008 | 0.016 | 43.67 |
| 1064 | 2.40 | 0.15 | 0.27 | 17.10 | 2.480 | 0.008 | 0.016 | 46.17 |
| 1065 | 2.40 | 0.15 | 0.27 | 18.34 | 2.490 | 0.008 | 0.016 | 35.61 |
| 1066 | 2.40 | 0.15 | 0.27 | 18.67 | 3.020 | 0.008 | 0.016 | 32.47 |
| 1067 | 2.40 | 0.15 | 0.27 | 18.67 | 2.990 | 0.008 | 0.016 | 32.82 |
| 1068 | 2.40 | 0.16 | 0.27 | 27.98 | 2.970 | 0.007 | 0.016 | 38.80 |
| 1069 | 2.40 | 0.15 | 0.27 | 24.90 | 2.500 | 0.008 | 0.016 | 41.53 |
| 1070 | 2.40 | 0.15 | 0.27 | 27.32 | 2.530 | 0.008 | 0.016 | 44.62 |
| 1071 | 2.40 | 0.15 | 0.27 | 25.22 | 5.080 | 0.008 | 0.016 | 25.64 |
| 1072 | 2.40 | 0.15 | 0.27 | 25.68 | 2.490 | 0.008 | 0.016 | 43.29 |
| 1073 | 2.40 | 0.15 | 0.27 | 25.68 | 2.480 | 0.008 | 0.016 | 39.38 |
| 1074 | 2.40 | 0.15 | 0.27 | 24.90 | 2.500 | 0.008 | 0.016 | 45.30 |
| 1075 | 2.40 | 0.15 | 0.27 | 25.09 | 3.010 | 0.008 | 0.016 | 39.27 |
| 1076 | 2.40 | 0.16 | 0.27 | 33.61 | 2.490 | 0.008 | 0.016 | 40.73 |
| 1077 | 2.40 | 0.15 | 0.27 | 33.61 | 2.500 | 0.008 | 0.016 | 40.63 |
| 1078 | 2.40 | 0.15 | 0.27 | 33.61 | 3.010 | 0.008 | 0.016 | 40.24 |
| 1079 | 2.40 | 0.15 | 0.27 | 33.61 | 2.970 | 0.008 | 0.016 | 38.24 |
| 1080 | 2.40 | 0.15 | 0.27 | 19.33 | 2.990 | 0.018 | 0.016 | 48.94 |
| 1081 | 2.40 | 0.15 | 0.28 | 18.87 | 3.940 | 0.018 | 0.016 | 38.81 |
| 1082 | 2.40 | 0.16 | 0.27 | 14.61 | 4.000 | 0.018 | 0.016 | 37.79 |
| 1083 | 2.40 | 0.15 | 0.27 | 14.61 | 5.000 | 0.018 | 0.016 | 32.04 |
| 1084 | 2.40 | 0.16 | 0.27 | 15.46 | 2.990 | 0.018 | 0.016 | 42.72 |
| 1085 | 2.40 | 0.15 | 0.28 | 17.10 | 5.410 | 0.018 | 0.016 | 40.03 |
| 1086 | 2.40 | 0.15 | 0.27 | 17.23 | 2.480 | 0.019 | 0.016 | 49.56 |
| 1087 | 2.40 | 0.15 | 0.27 | 17.56 | 2.510 | 0.018 | 0.016 | 51.96 |
| 1088 | 2.40 | 0.15 | 0.27 | 18.87 | 4.970 | 0.018 | 0.016 | 38.51 |
| 1089 | 2.40 | 0.15 | 0.27 | 28.30 | 2.500 | 0.019 | 0.016 | 51.39 |
| 1090 | 2.40 | 0.15 | 0.27 | 27.71 | 2.500 | 0.019 | 0.016 | 54.25 |
| 1091 | 2.40 | 0.15 | 0.27 | 23.32 | 4.500 | 0.019 | 0.016 | 42.92 |
| 1092 | 2.40 | 0.15 | 0.27 | 23.91 | 4.500 | 0.019 | 0.016 | 46.27 |
| 1093 | 2.40 | 0.16 | 0.27 | 24.77 | 3.530 | 0.018 | 0.016 | 44.92 |
| 1094 | 2.40 | 0.15 | 0.27 | 24.77 | 3.490 | 0.018 | 0.016 | 51.59 |
| 1095 | 2.40 | 0.15 | 0.27 | 32.23 | 5.050 | 0.018 | 0.016 | 48.76 |
| 1096 | 2.40 | 0.15 | 0.27 | 33.35 | 3.990 | 0.018 | 0.016 | 55.38 |
| 1097 | 2.40 | 0.15 | 0.28 | 32.30 | 2.960 | 0.018 | 0.016 | 53.13 |
| 1098 | 2.40 | 0.15 | 0.28 | 32.89 | 2.440 | 0.018 | 0.016 | 56.69 |
| 1099 | 2.40 | 0.15 | 0.28 | 32.89 | 2.930 | 0.018 | 0.016 | 51.17 |
| 1100 | 2.40 | 0.15 | 0.28 | 32.89 | 3.940 | 0.018 | 0.016 | 47.27 |
| 1101 | 2.40 | 0.15 | 0.27 | 34.20 | 2.480 | 0.018 | 0.016 | 53.38 |
| 1102 | 2.40 | 0.15 | 0.27 | 32.23 | 5.970 | 0.027 | 0.016 | 49.88 |
| 1103 | 2.40 | 0.15 | 0.27 | 33.41 | 2.510 | 0.027 | 0.016 | 100.29 |
| 1104 | 2.40 | 0.16 | 0.27 | 33.94 | 4.440 | 0.027 | 0.016 | 60.05 |
| 1105 | 2.40 | 0.15 | 0.27 | 33.41 | 2.500 | 0.027 | 0.016 | 78.94 |
| 1106 | 2.40 | 0.15 | 0.27 | 33.41 | 3.020 | 0.027 | 0.016 | 57.15 |
| 1107 | 2.40 | 0.16 | 0.27 | 33.41 | 2.980 | 0.027 | 0.016 | 60.50 |
| 1108 | 2.40 | 0.15 | 0.28 | 34.86 | 4.440 | 0.027 | 0.016 | 57.37 |
| 1109 | 2.40 | 0.15 | 0.27 | 34.20 | 2.500 | 0.027 | 0.016 | 81.85 |
| 1110 | 2.40 | 0.15 | 0.27 | 34.20 | 2.480 | 0.027 | 0.016 | 65.84 |
| 1111 | 2.40 | 0.15 | 0.28 | 25.49 | 4.870 | 0.027 | 0.016 | 52.03 |
| 1112 | 2.40 | 0.15 | 0.28 | 27.84 | 2.950 | 0.027 | 0.016 | 63.41 |
| 1113 | 2.40 | 0.15 | 0.28 | 25.29 | 2.950 | 0.027 | 0.016 | 56.70 |
| 1114 | 2.40 | 0.15 | 0.28 | 25.22 | 4.850 | 0.027 | 0.016 | 54.27 |
| 1115 | 2.40 | 0.15 | 0.27 | 33.15 | 5.020 | 0.028 | 0.016 | 54.50 |
| 1116 | 2.40 | 0.15 | 0.27 | 34.72 | 5.050 | 0.028 | 0.016 | 52.48 |
| 1117 | 2.40 | 0.15 | 0.27 | 29.48 | 5.060 | 0.028 | 0.016 | 53.15 |
| 1118 | 2.40 | 0.15 | 0.29 | 24.11 | 2.830 | 0.026 | 0.016 | 49.60 |
| 1119 | 2.40 | 0.15 | 0.27 | 24.90 | 2.980 | 0.028 | 0.016 | 62.07 |
| 1120 | 2.40 | 0.11 | 0.30 | 23.56 | 3.000 | 0.013 | 0.016 | 34.05 |
| 1121 | 2.40 | 0.11 | 0.30 | 23.56 | 3.000 | 0.013 | 0.016 | 30.03 |
| 1122 | 2.40 | 0.18 | 0.50 | 25.94 | 3.000 | 0.014 | 0.016 | 85.03 |
| 1123 | 2.40 | 0.18 | 0.50 | 25.94 | 3.000 | 0.014 | 0.016 | 104.03 |
| 1124 | 2.40 | 0.35 | 0.95 | 19.67 | 3.000 | 0.012 | 0.016 | 232.10 |
| 1125 | 2.40 | 0.35 | 0.95 | 19.57 | 3.000 | 0.012 | 0.016 | 253.60 |
| 1128 | 2.40 | 0.17 | 0.27 | 49.40 | 3.000 | 0.019 | 0.016 | 71.35 |
| 1129 | 2.40 | 0.17 | 0.27 | 49.40 | 3.000 | 0.019 | 0.016 | 72.26 |
| 1130 | 2.40 | 0.17 | 0.27 | 49.40 | 3.000 | 0.010 | 0.016 | 58.93 |
| 1131 | 2.40 | 0.17 | 0.27 | 49.40 | 3.000 | 0.010 | 0.016 | 57.08 |
| 1132 | 2.40 | 0.17 | 0.27 | 49.40 | 3.000 | 0.033 | 0.016 | 78.72 |
| 1133 | 2.40 | 0.17 | 0.27 | 49.40 | 3.000 | 0.033 | 0.016 | 79.18 |
| 1134 | 2.40 | 0.17 | 0.26 | 49.40 | 3.000 | 0.047 | 0.016 | 90.36 |
| 1135 | 2.40 | 0.17 | 0.26 | 49.40 | 3.000 | 0.047 | 0.016 | 95.99 |
| 1136 | 2.40 | 0.17 | 0.27 | 49.40 | 4.500 | 0.019 | 0.016 | 67.46 |
| 1137 | 2.40 | 0.17 | 0.27 | 49.40 | 4.500 | 0.019 | 0.016 | 64.71 |
| 1138 | 2.40 | 0.17 | 0.27 | 49.40 | 6.000 | 0.019 | 0.016 | 60.37 |
| 1139 | 2.40 | 0.17 | 0.27 | 49.40 | 6.000 | 0.019 | 0.016 | 62.20 |
| 1140 | 2.40 | 0.17 | 0.14 | 49.40 | 3.000 | 0.019 | 0.016 | 41.23 |
| 1141 | 2.40 | 0.17 | 0.14 | 49.40 | 3.000 | 0.019 | 0.016 | 39.55 |
| 1142 | 2.40 | 0.30 | 0.55 | 49.40 | 3.000 | 0.019 | 0.016 | 230.96 |
| 1143 | 2.40 | 0.30 | 0.55 | 49.40 | 3.000 | 0.019 | 0.016 | 219.41 |
| 1144 | 2.40 | 0.30 | 0.92 | 49.40 | 3.000 | 0.019 | 0.016 | 284.93 |
| 1146 | 2.40 | 0.15 | 0.31 | 28.70 | 2.710 | 0.033 | 0.016 | 74.38 |
| 1147 | 2.40 | 0.15 | 0.24 | 28.57 | 3.580 | 0.044 | 0.016 | 64.72 |
| 1148 | 2.40 | 0.15 | 0.32 | 18.34 | 2.690 | 0.027 | 0.016 | 63.98 |
| 1149 | 2.40 | 0.15 | 0.32 | 18.87 | 2.690 | 0.027 | 0.016 | 72.98 |
| 1150 | 2.40 | 0.15 | 0.32 | 21.49 | 2.690 | 0.027 | 0.016 | 73.91 |
| 1151 | 2.40 | 0.15 | 0.32 | 20.97 | 2.690 | 0.027 | 0.016 | 60.88 |
| 1152 | 2.40 | 0.15 | 0.32 | 18.93 | 2.670 | 0.008 | 0.016 | 49.23 |
| 1153 | 2.40 | 0.15 | 0.24 | 19.66 | 3.500 | 0.010 | 0.016 | 35.78 |
| 1154 | 2.40 | 0.15 | 0.32 | 19.13 | 2.690 | 0.013 | 0.016 | 46.47 |
| 1155 | 2.40 | 0.15 | 0.32 | 19.66 | 2.690 | 0.013 | 0.016 | 52.75 |
| 1156 | 2.40 | 0.15 | 0.24 | 21.10 | 3.550 | 0.018 | 0.016 | 42.52 |
| 1157 | 2.40 | 0.15 | 0.24 | 20.90 | 3.500 | 0.021 | 0.016 | 44.63 |
| 1158 | 2.40 | 0.15 | 0.32 | 18.80 | 2.690 | 0.027 | 0.016 | 82.64 |
| 1159 | 2.40 | 0.15 | 0.24 | 19.52 | 3.550 | 0.035 | 0.016 | 46.81 |
| 1160 | 2.40 | 0.15 | 0.24 | 19.98 | 3.580 | 0.044 | 0.016 | 51.33 |
| 1161 | 2.40 | 0.20 | 0.24 | 18.93 | 3.580 | 0.049 | 0.016 | 77.20 |
| 1162 | 2.40 | 0.15 | 0.25 | 21.88 | 4.550 | 0.013 | 0.016 | 38.35 |
| 1163 | 2.40 | 0.15 | 0.26 | 19.79 | 4.520 | 0.020 | 0.016 | 45.10 |
| 1164 | 2.40 | 0.15 | 0.25 | 15.66 | 4.550 | 0.026 | 0.016 | 38.36 |
| 1165 | 2.40 | 0.15 | 0.25 | 17.43 | 4.580 | 0.033 | 0.016 | 42.75 |
| 1166 | 2.40 | 0.15 | 0.25 | 21.69 | 4.610 | 0.041 | 0.016 | 54.35 |
| 1167 | 2.40 | 0.15 | 0.26 | 19.46 | 5.720 | 0.020 | 0.016 | 36.52 |
| 1168 | 2.40 | 0.15 | 0.25 | 19.52 | 5.750 | 0.026 | 0.016 | 40.95 |
| 1169 | 2.40 | 0.15 | 0.25 | 19.33 | 5.780 | 0.033 | 0.016 | 45.81 |
| 1170 | 2.40 | 0.15 | 0.26 | 21.33 | 8.100 | 0.020 | 0.016 | 32.81 |
| 1171 | 2.40 | 0.15 | 0.25 | 19.13 | 3.370 | 0.033 | 0.016 | 51.89 |
| 1172 | 2.40 | 0.15 | 0.26 | 32.82 | 3.330 | 0.020 | 0.016 | 56.41 |
| 1173 | 2.40 | 0.15 | 0.25 | 27.75 | 3.350 | 0.026 | 0.016 | 58.52 |
| 1174 | 2.40 | 0.15 | 0.25 | 31.19 | 3.370 | 0.033 | 0.016 | 57.59 |
| 1175 | 2.40 | 0.15 | 0.25 | 32.69 | 3.400 | 0.042 | 0.016 | 60.70 |
| 1176 | 2.40 | 0.15 | 0.26 | 30.27 | 4.520 | 0.020 | 0.016 | 54.14 |
| 1177 | 2.40 | 0.15 | 0.25 | 28.96 | 4.550 | 0.026 | 0.016 | 54.81 |
| 1178 | 2.40 | 0.15 | 0.25 | 31.19 | 4.580 | 0.033 | 0.016 | 55.29 |
| 1179 | 2.40 | 0.15 | 0.25 | 32.43 | 4.610 | 0.041 | 0.016 | 59.92 |
| 1180 | 2.40 | 0.15 | 0.25 | 36.49 | 5.750 | 0.026 | 0.016 | 53.70 |
| 1181 | 2.40 | 0.15 | 0.25 | 35.58 | 5.780 | 0.033 | 0.016 | 58.14 |
| 1182 | 2.40 | 0.15 | 0.25 | 36.49 | 5.830 | 0.041 | 0.016 | 63.76 |
| 1183 | 2.40 | 0.15 | 0.25 | 35.58 | 6.990 | 0.033 | 0.016 | 53.87 |
| 1184 | 2.40 | 0.15 | 0.25 | 32.10 | 7.050 | 0.041 | 0.016 | 49.98 |
| 1185 | 2.40 | 0.15 | 0.25 | 12.25 | 3.350 | 0.026 | 0.016 | 43.18 |
| 1186 | 2.40 | 0.15 | 0.25 | 14.61 | 3.370 | 0.033 | 0.016 | 51.03 |
| 1187 | 2.40 | 0.15 | 0.26 | 13.04 | 4.520 | 0.020 | 0.016 | 37.47 |
| 1188 | 2.40 | 0.15 | 0.25 | 16.25 | 5.750 | 0.026 | 0.016 | 35.79 |
| 1189 | 2.40 | 0.20 | 0.48 | 15.92 | 3.030 | 0.016 | 0.016 | 86.82 |
| 1190 | 2.40 | 0.15 | 0.25 | 34.46 | 7.050 | 0.041 | 0.016 | 53.94 |
| 1191 | 2.40 | 0.15 | 0.25 | 34.46 | 7.050 | 0.041 | 0.016 | 53.94 |
| 1192 | 2.40 | 0.15 | 0.25 | 33.94 | 5.750 | 0.026 | 0.016 | 49.08 |
| 1193 | 2.40 | 0.15 | 0.25 | 37.08 | 5.750 | 0.026 | 0.016 | 53.05 |
| 1194 | 2.40 | 0.25 | 0.46 | 36.36 | 3.870 | 0.022 | 0.016 | 149.97 |
| 1195 | 2.40 | 0.25 | 0.46 | 36.36 | 3.870 | 0.022 | 0.016 | 137.29 |
| 1196 | 2.40 | 0.14 | 0.20 | 18.85 | 2.500 | 0.004 | 0.016 | 20.74 |
| 1197 | 2.40 | 0.14 | 0.20 | 18.62 | 2.500 | 0.006 | 0.016 | 26.87 |
| 1198 | 2.40 | 0.14 | 0.20 | 18.15 | 2.500 | 0.008 | 0.016 | 30.85 |
| 1199 | 2.40 | 0.14 | 0.20 | 17.92 | 2.500 | 0.011 | 0.016 | 43.40 |
| 1200 | 2.40 | 0.14 | 0.20 | 17.46 | 2.500 | 0.018 | 0.016 | 54.34 |
| 1201 | 2.40 | 0.14 | 0.20 | 20.60 | 2.500 | 0.008 | 0.016 | 43.26 |
| 1202 | 2.40 | 0.14 | 0.20 | 18.93 | 2.500 | 0.011 | 0.016 | 40.80 |
| 1203 | 2.40 | 0.40 | 0.25 | 47.12 | 2.860 | 0.016 | 0.016 | 199.95 |
| 1204 | 2.40 | 0.40 | 0.25 | 47.12 | 4.860 | 0.016 | 0.016 | 148.34 |
| 1205 | 2.40 | 0.40 | 0.25 | 45.22 | 2.860 | 0.019 | 0.016 | 188.45 |
| 1206 | 2.40 | 0.40 | 0.25 | 45.22 | 4.860 | 0.019 | 0.016 | 151.67 |
| 1207 | 2.40 | 0.40 | 0.25 | 41.27 | 3.860 | 0.016 | 0.016 | 139.70 |
| 1208 | 2.40 | 0.40 | 0.25 | 42.09 | 3.860 | 0.016 | 0.016 | 139.96 |
| 1209 | 2.40 | 0.10 | 0.15 | 38.55 | 5.000 | 0.014 | 0.016 | 19.72 |
| 1210 | 2.40 | 0.10 | 0.15 | 41.40 | 4.500 | 0.014 | 0.016 | 23.24 |
| 1211 | 2.40 | 0.10 | 0.15 | 39.56 | 4.000 | 0.014 | 0.016 | 22.83 |
| 1212 | 2.40 | 0.10 | 0.15 | 41.40 | 3.500 | 0.014 | 0.016 | 24.39 |
| 1213 | 2.40 | 0.15 | 0.27 | 25.55 | 4.820 | 0.021 | 0.016 | 43.18 |
| 1214 | 2.40 | 0.15 | 0.26 | 30.73 | 4.890 | 0.025 | 0.016 | 53.83 |
| 1215 | 2.40 | 0.15 | 0.26 | 29.29 | 4.920 | 0.032 | 0.016 | 56.30 |
| 1216 | 2.40 | 0.15 | 0.26 | 28.37 | 4.950 | 0.040 | 0.016 | 50.52 |
| 1217 | 2.40 | 0.15 | 0.27 | 14.02 | 4.850 | 0.019 | 0.016 | 34.53 |
| 1218 | 2.40 | 0.15 | 0.26 | 24.90 | 4.950 | 0.040 | 0.016 | 50.52 |
| 1219 | 2.40 | 0.50 | 0.14 | 12.67 | 3.380 | 0.014 | 0.016 | 99.10 |
| 1220 | 2.40 | 0.19 | 0.27 | 28.89 | 2.480 | 0.021 | 0.016 | 81.16 |
| 1221 | 2.40 | 0.19 | 0.27 | 28.89 | 2.480 | 0.021 | 0.016 | 86.56 |
| 1222 | 2.40 | 0.19 | 0.27 | 28.89 | 3.000 | 0.021 | 0.016 | 59.76 |
| 1223 | 2.40 | 0.19 | 0.27 | 28.89 | 3.000 | 0.021 | 0.016 | 75.81 |
| 1224 | 2.40 | 0.19 | 0.27 | 28.89 | 4.070 | 0.021 | 0.016 | 59.69 |
| 1225 | 2.40 | 0.19 | 0.27 | 28.89 | 4.070 | 0.021 | 0.016 | 67.23 |
| 1226 | 2.40 | 0.19 | 0.28 | 28.61 | 4.860 | 0.020 | 0.016 | 60.85 |
| 1227 | 2.40 | 0.19 | 0.28 | 28.61 | 4.860 | 0.020 | 0.016 | 67.00 |
| 1228 | 2.40 | 0.19 | 0.28 | 31.87 | 5.830 | 0.020 | 0.016 | 63.99 |
| 1229 | 2.40 | 0.19 | 0.27 | 31.87 | 5.910 | 0.020 | 0.016 | 64.23 |
| 1230 | 2.40 | 0.19 | 0.27 | 19.39 | 2.780 | 0.022 | 0.016 | 59.22 |
| 1231 | 2.40 | 0.19 | 0.27 | 19.39 | 2.780 | 0.018 | 0.016 | 75.46 |
| 1232 | 2.40 | 0.05 | 0.07 | 28.06 | 3.000 | 0.016 | 0.016 | 7.32 |
| 1233 | 2.40 | 0.05 | 0.07 | 28.06 | 3.000 | 0.016 | 0.016 | 7.23 |
| 1234 | 2.40 | 0.10 | 0.14 | 29.73 | 3.000 | 0.016 | 0.016 | 21.31 |
| 1235 | 2.40 | 0.10 | 0.14 | 29.73 | 3.000 | 0.016 | 0.016 | 23.36 |
| 1236 | 2.40 | 0.15 | 0.21 | 32.09 | 3.000 | 0.016 | 0.016 | 46.80 |
| 1237 | 2.40 | 0.15 | 0.21 | 32.09 | 3.000 | 0.016 | 0.016 | 41.60 |
| 1238 | 2.40 | 0.15 | 0.21 | 32.09 | 3.000 | 0.016 | 0.016 | 44.91 |
| 1239 | 2.40 | 0.20 | 0.28 | 32.83 | 3.000 | 0.017 | 0.016 | 75.08 |
| 1240 | 2.40 | 0.20 | 0.28 | 32.83 | 3.000 | 0.017 | 0.016 | 75.02 |
| 1241 | 2.40 | 0.20 | 0.28 | 32.83 | 3.000 | 0.017 | 0.016 | 69.62 |
| 1242 | 2.40 | 0.10 | 0.15 | 36.39 | 3.000 | 0.013 | 0.016 | 21.70 |
| 1243 | 2.40 | 0.15 | 0.30 | 36.39 | 3.000 | 0.013 | 0.016 | 65.46 |
| 1244 | 2.40 | 0.20 | 0.45 | 36.39 | 3.000 | 0.013 | 0.016 | 100.48 |
| 1245 | 2.40 | 0.23 | 0.60 | 36.39 | 3.000 | 0.013 | 0.016 | 150.77 |
| 1246 | 2.40 | 0.19 | 0.27 | 26.88 | 2.780 | 0.024 | 0.016 | 92.01 |
| 1247 | 2.40 | 0.40 | 0.17 | 27.86 | 3.830 | 0.018 | 0.016 | 113.35 |
| 1248 | 2.40 | 0.40 | 0.17 | 28.06 | 3.830 | 0.014 | 0.016 | 98.64 |
| 1249 | 2.40 | 0.20 | 0.40 | 27.78 | 3.780 | 0.025 | 0.016 | 90.45 |
| 1250 | 2.40 | 0.20 | 0.40 | 23.91 | 3.780 | 0.025 | 0.016 | 83.11 |
| 1251 | 2.40 | 0.20 | 0.40 | 22.34 | 3.780 | 0.009 | 0.016 | 65.65 |
| 1252 | 2.40 | 0.20 | 0.40 | 24.31 | 3.780 | 0.009 | 0.016 | 68.32 |
| 1253 | 2.40 | 0.20 | 0.40 | 24.83 | 2.840 | 0.008 | 0.016 | 73.34 |
| 1254 | 2.40 | 0.20 | 0.40 | 24.50 | 2.840 | 0.008 | 0.016 | 64.34 |
| 1255 | 2.40 | 0.20 | 0.40 | 29.02 | 2.840 | 0.008 | 0.016 | 77.01 |
| 1256 | 2.40 | 0.20 | 0.40 | 25.03 | 3.780 | 0.005 | 0.016 | 56.87 |
| 1257 | 2.40 | 0.20 | 0.40 | 24.50 | 3.780 | 0.005 | 0.016 | 52.31 |
| 1258 | 2.40 | 0.15 | 0.28 | 41.80 | 3.500 | 0.019 | 0.016 | 70.85 |
| 1259 | 2.40 | 0.18 | 0.26 | 28.83 | 2.960 | 0.022 | 0.016 | 60.58 |
| 1260 | 2.40 | 0.18 | 0.27 | 29.48 | 2.900 | 0.021 | 0.016 | 67.26 |
| 1261 | 2.40 | 0.18 | 0.27 | 29.48 | 2.890 | 0.022 | 0.016 | 76.15 |
| 1262 | 2.40 | 0.18 | 0.27 | 29.94 | 2.870 | 0.024 | 0.016 | 71.70 |
| 1263 | 2.40 | 0.18 | 0.27 | 20.11 | 2.900 | 0.016 | 0.016 | 56.80 |
| 1264 | 2.40 | 0.18 | 0.27 | 20.51 | 2.890 | 0.016 | 0.016 | 60.58 |
| 1265 | 2.40 | 0.18 | 0.27 | 18.28 | 2.870 | 0.016 | 0.016 | 56.14 |
| 1266 | 2.40 | 0.18 | 0.27 | 15.92 | 2.850 | 0.016 | 0.016 | 56.14 |
| 1267 | 2.40 | 0.15 | 0.27 | 34.86 | 3.410 | 0.019 | 0.016 | 58.84 |
| 1268 | 2.40 | 0.15 | 0.27 | 15.86 | 3.410 | 0.019 | 0.016 | 36.60 |
| 1269 | 2.40 | 0.15 | 0.27 | 24.50 | 3.410 | 0.019 | 0.016 | 53.28 |
| 1270 | 2.40 | 0.15 | 0.27 | 14.61 | 3.410 | 0.019 | 0.016 | 41.50 |
| 1271 | 2.40 | 0.15 | 0.27 | 29.16 | 3.410 | 0.019 | 0.016 | 53.06 |
| 1272 | 2.40 | 0.15 | 0.27 | 15.00 | 3.410 | 0.019 | 0.016 | 35.49 |
| 1273 | 2.40 | 0.15 | 0.27 | 29.35 | 3.410 | 0.019 | 0.016 | 52.17 |
| 1274 | 2.40 | 0.15 | 0.27 | 39.11 | 3.410 | 0.019 | 0.016 | 54.40 |
| 1275 | 2.40 | 0.15 | 0.27 | 22.73 | 3.410 | 0.019 | 0.016 | 49.95 |
| 1276 | 2.40 | 0.15 | 0.27 | 36.23 | 3.410 | 0.019 | 0.016 | 61.07 |
| 1277 | 2.40 | 0.15 | 0.27 | 19.20 | 3.410 | 0.019 | 0.016 | 48.17 |
| 1278 | 2.40 | 0.15 | 0.27 | 35.90 | 3.410 | 0.019 | 0.016 | 56.62 |
| 1279 | 2.40 | 0.15 | 0.27 | 21.42 | 3.410 | 0.019 | 0.016 | 44.17 |
| 1280 | 2.40 | 0.15 | 0.27 | 35.51 | 3.410 | 0.019 | 0.016 | 52.17 |
| 1281 | 2.40 | 0.15 | 0.27 | 15.53 | 3.410 | 0.019 | 0.016 | 38.83 |
| 1282 | 2.40 | 0.30 | 0.37 | 33.02 | 3.000 | 0.019 | 0.016 | 157.59 |
| 1283 | 2.40 | 0.30 | 0.37 | 13.96 | 4.100 | 0.019 | 0.016 | 102.62 |
| 1284 | 2.40 | 0.30 | 0.38 | 23.72 | 4.030 | 0.025 | 0.016 | 140.40 |
| 1285 | 2.40 | 0.30 | 0.37 | 25.88 | 4.100 | 0.019 | 0.016 | 124.83 |
| 1286 | 2.40 | 0.30 | 0.37 | 26.99 | 4.100 | 0.013 | 0.016 | 111.49 |
| 1287 | 2.40 | 0.31 | 0.36 | 37.87 | 4.250 | 0.039 | 0.016 | 180.46 |
| 1288 | 2.40 | 0.30 | 0.37 | 43.44 | 4.070 | 0.019 | 0.016 | 139.29 |
| 1289 | 2.40 | 0.30 | 0.37 | 15.53 | 5.110 | 0.019 | 0.016 | 92.00 |
| 1290 | 2.40 | 0.30 | 0.37 | 25.88 | 5.070 | 0.025 | 0.016 | 135.37 |
| 1291 | 2.40 | 0.30 | 0.36 | 42.72 | 5.250 | 0.039 | 0.016 | 180.96 |
| 1292 | 2.40 | 0.30 | 0.36 | 25.88 | 6.110 | 0.019 | 0.016 | 114.77 |
| 1293 | 2.40 | 0.30 | 0.37 | 30.99 | 8.100 | 0.019 | 0.016 | 108.97 |
| 1294 | 2.40 | 0.15 | 0.30 | 20.23 | 3.490 | 0.033 | 0.016 | 65.27 |
| 1295 | 2.40 | 0.15 | 0.30 | 26.44 | 3.490 | 0.023 | 0.016 | 67.47 |
| 1296 | 2.40 | 0.15 | 0.30 | 36.70 | 3.490 | 0.033 | 0.016 | 82.83 |
| 1297 | 2.40 | 0.15 | 0.30 | 40.56 | 3.490 | 0.033 | 0.016 | 83.46 |
| 1298 | 2.40 | 0.15 | 0.30 | 73.01 | 3.490 | 0.033 | 0.016 | 90.36 |
| 1299 | 2.40 | 0.15 | 0.30 | 72.72 | 3.490 | 0.033 | 0.016 | 90.04 |
| 1300 | 2.40 | 0.15 | 0.30 | 79.26 | 3.490 | 0.033 | 0.016 | 94.12 |
| 1301 | 2.40 | 0.15 | 0.30 | 91.28 | 3.490 | 0.033 | 0.016 | 100.71 |
| 1302 | 2.40 | 0.15 | 0.30 | 89.48 | 3.490 | 0.033 | 0.016 | 98.51 |
| 1303 | 2.40 | 0.15 | 0.30 | 20.06 | 2.410 | 0.033 | 0.016 | 78.24 |
| 1304 | 2.40 | 0.15 | 0.30 | 44.00 | 2.410 | 0.033 | 0.016 | 118.38 |
| 1305 | 2.40 | 0.15 | 0.30 | 77.25 | 2.410 | 0.033 | 0.016 | 111.80 |
| 1306 | 2.40 | 0.15 | 0.30 | 81.61 | 2.410 | 0.033 | 0.016 | 178.28 |
| 1307 | 2.40 | 0.15 | 0.30 | 67.62 | 2.410 | 0.033 | 0.016 | 206.19 |
| 1310 | 2.40 | 0.30 | 1.00 | 23.37 | 2.980 | 0.001 | 0.016 | 125.44 |
| 1311 | 2.40 | 0.30 | 0.92 | 89.30 | 2.880 | 0.005 | 0.016 | 165.62 |
| 1313 | 2.40 | 0.30 | 0.92 | 35.15 | 2.880 | 0.008 | 0.016 | 193.61 |
| 1314 | 2.40 | 0.30 | 0.92 | 94.05 | 2.880 | 0.008 | 0.016 | 195.04 |
| 1315 | 2.40 | 0.30 | 0.45 | 35.15 | 2.920 | 0.008 | 0.016 | 132.38 |
| 1316 | 2.40 | 0.30 | 0.45 | 94.05 | 2.920 | 0.008 | 0.016 | 132.03 |
| 1317 | 2.40 | 0.30 | 0.22 | 35.15 | 2.950 | 0.009 | 0.016 | 73.01 |
| 1318 | 2.40 | 0.30 | 0.22 | 94.05 | 2.950 | 0.009 | 0.016 | 85.17 |
| 1319 | 2.40 | 0.15 | 0.26 | 22.54 | 4.220 | 0.017 | 0.016 | 40.84 |
| 1320 | 2.40 | 0.15 | 0.26 | 34.72 | 3.930 | 0.014 | 0.016 | 36.34 |
| 1321 | 2.40 | 0.15 | 0.27 | 31.45 | 3.830 | 0.010 | 0.016 | 38.12 |
| 1322 | 2.40 | 0.15 | 0.27 | 27.52 | 4.190 | 0.008 | 0.016 | 31.90 |
| 1323 | 2.40 | 0.15 | 0.27 | 31.45 | 4.170 | 0.006 | 0.016 | 28.83 |
| 1324 | 2.40 | 0.15 | 0.26 | 26.53 | 4.270 | 0.005 | 0.016 | 34.39 |
| 1325 | 2.40 | 0.15 | 0.26 | 23.85 | 4.270 | 0.005 | 0.016 | 25.27 |
| 1326 | 2.40 | 0.15 | 0.27 | 29.48 | 4.180 | 0.003 | 0.016 | 28.16 |
| 1327 | 2.40 | 0.15 | 0.27 | 27.19 | 4.170 | 0.003 | 0.016 | 30.83 |
| 1328 | 2.40 | 0.15 | 0.27 | 28.17 | 4.160 | 0.003 | 0.016 | 25.41 |
| 1329 | 2.40 | 0.15 | 0.27 | 24.60 | 3.270 | 0.015 | 0.016 | 46.52 |
| 1330 | 2.40 | 0.15 | 0.27 | 24.60 | 3.270 | 0.015 | 0.016 | 48.52 |
| 1331 | 2.40 | 0.15 | 0.27 | 23.25 | 3.270 | 0.015 | 0.016 | 46.52 |
| 1332 | 2.40 | 0.15 | 0.27 | 26.40 | 3.270 | 0.015 | 0.016 | 56.52 |
| 1333 | 2.40 | 0.15 | 0.27 | 28.43 | 3.270 | 0.015 | 0.016 | 54.52 |
| 1334 | 2.40 | 0.15 | 0.27 | 31.05 | 6.630 | 0.039 | 0.016 | 63.80 |
| 1337 | 2.40 | 0.50 | 0.23 | 23.39 | 2.500 | 0.014 | 0.016 | 142.41 |
| 1338 | 2.40 | 0.50 | 0.23 | 24.49 | 3.500 | 0.008 | 0.016 | 104.06 |
| 1339 | 2.40 | 0.15 | 0.17 | 80.82 | 3.060 | 0.019 | 0.016 | 48.20 |
| 1340 | 2.40 | 0.15 | 0.17 | 80.82 | 4.000 | 0.019 | 0.016 | 46.71 |
| 1341 | 2.40 | 0.15 | 0.16 | 80.27 | 3.060 | 0.041 | 0.016 | 60.42 |
| 1342 | 2.40 | 0.15 | 0.16 | 80.27 | 4.000 | 0.041 | 0.016 | 58.00 |
| 1343 | 2.40 | 0.20 | 0.26 | 41.25 | 3.370 | 0.036 | 0.016 | 91.17 |
| 1344 | 2.40 | 0.20 | 0.26 | 37.61 | 2.480 | 0.012 | 0.016 | 79.69 |
| 1345 | 2.40 | 0.20 | 0.26 | 37.61 | 2.400 | 0.018 | 0.016 | 121.12 |
| 1346 | 2.40 | 0.20 | 0.26 | 38.28 | 3.940 | 0.018 | 0.016 | 75.88 |
| 1347 | 2.40 | 0.09 | 0.11 | 21.86 | 3.600 | 0.027 | 0.016 | 14.74 |
| 1348 | 2.40 | 0.12 | 0.20 | 21.86 | 3.600 | 0.027 | 0.016 | 30.62 |
| 1349 | 2.40 | 0.18 | 0.26 | 23.02 | 3.620 | 0.026 | 0.016 | 56.05 |
| 1350 | 2.40 | 0.10 | 0.17 | 52.03 | 2.590 | 0.015 | 0.016 | 26.91 |
| 1351 | 2.40 | 0.10 | 0.17 | 50.38 | 3.630 | 0.015 | 0.016 | 22.06 |
| 1352 | 2.40 | 0.10 | 0.17 | 64.72 | 2.590 | 0.015 | 0.016 | 30.02 |
| 1353 | 2.40 | 0.10 | 0.17 | 66.62 | 3.630 | 0.015 | 0.016 | 20.28 |
| 1354 | 2.40 | 0.20 | 0.37 | 76.57 | 3.000 | 0.008 | 0.016 | 85.29 |
| 1355 | 2.40 | 0.20 | 0.37 | 80.28 | 3.000 | 0.020 | 0.016 | 127.30 |
| 1356 | 2.40 | 0.20 | 0.37 | 80.28 | 4.000 | 0.020 | 0.016 | 111.95 |
| 1357 | 2.40 | 0.20 | 0.37 | 79.71 | 3.000 | 0.034 | 0.016 | 123.31 |
| 1358 | 2.40 | 0.20 | 0.37 | 79.71 | 4.000 | 0.034 | 0.016 | 107.95 |
| 1359 | 2.40 | 0.20 | 0.36 | 91.96 | 3.000 | 0.019 | 0.016 | 123.32 |
| 1360 | 2.40 | 0.20 | 0.36 | 91.96 | 4.000 | 0.019 | 0.016 | 122.97 |
| 1361 | 2.40 | 0.13 | 0.21 | 49.40 | 2.450 | 0.038 | 0.016 | 56.59 |
| 1362 | 2.40 | 0.13 | 0.21 | 69.35 | 2.450 | 0.038 | 0.016 | 85.02 |
| 1363 | 2.40 | 0.15 | 0.17 | 20.95 | 3.000 | 0.044 | 0.016 | 81.85 |
| 1364 | 2.40 | 0.15 | 0.17 | 27.93 | 3.000 | 0.044 | 0.016 | 86.68 |
| 1365 | 2.40 | 0.15 | 0.17 | 29.05 | 3.000 | 0.044 | 0.016 | 78.61 |
| 1366 | 2.40 | 0.15 | 0.17 | 26.44 | 3.000 | 0.044 | 0.016 | 82.04 |
| 1367 | 2.40 | 0.08 | 0.09 | 29.05 | 3.010 | 0.044 | 0.016 | 26.46 |
| 1368 | 2.40 | 0.08 | 0.09 | 30.07 | 3.010 | 0.044 | 0.016 | 22.42 |
| 1369 | 2.40 | 0.08 | 0.09 | 29.33 | 3.010 | 0.044 | 0.016 | 22.51 |
| 1370 | 2.40 | 0.08 | 0.09 | 27.70 | 3.010 | 0.044 | 0.016 | 22.85 |
| 1371 | 2.40 | 0.05 | 0.06 | 29.33 | 3.000 | 0.044 | 0.016 | 13.11 |
| 1372 | 2.40 | 0.05 | 0.06 | 28.40 | 3.000 | 0.044 | 0.016 | 11.40 |
| 1373 | 2.40 | 0.05 | 0.06 | 27.70 | 3.000 | 0.044 | 0.016 | 9.46 |
| 1374 | 2.40 | 0.15 | 0.17 | 30.72 | 8.000 | 0.044 | 0.016 | 48.62 |
| 1375 | 2.40 | 0.15 | 0.17 | 29.05 | 4.000 | 0.044 | 0.016 | 66.15 |
| 1376 | 2.40 | 0.08 | 0.09 | 27.93 | 4.010 | 0.044 | 0.016 | 17.71 |
| 1377 | 2.40 | 0.05 | 0.06 | 28.16 | 4.000 | 0.044 | 0.016 | 7.79 |
| 1378 | 2.40 | 0.20 | 0.37 | 27.41 | 3.020 | 0.010 | 0.016 | 61.83 |
| 1379 | 2.40 | 0.20 | 0.37 | 31.55 | 3.020 | 0.015 | 0.016 | 91.60 |
| 1380 | 2.40 | 0.20 | 0.37 | 28.45 | 2.470 | 0.010 | 0.016 | 80.52 |
| 1381 | 2.40 | 0.20 | 0.37 | 27.41 | 3.020 | 0.010 | 0.016 | 75.64 |
| 1382 | 2.40 | 0.20 | 0.37 | 31.55 | 3.020 | 0.015 | 0.016 | 100.54 |
| 1383 | 2.40 | 0.20 | 0.37 | 30.00 | 3.020 | 0.010 | 0.016 | 76.06 |
| 1384 | 2.40 | 0.20 | 0.37 | 28.45 | 2.470 | 0.010 | 0.016 | 80.52 |
| 1385 | 2.40 | 0.20 | 0.37 | 26.38 | 3.500 | 0.010 | 0.016 | 77.85 |
| 1388 | 2.40 | 0.20 | 0.47 | 25.50 | 3.010 | 0.014 | 0.016 | 104.25 |
| 1389 | 2.40 | 0.20 | 0.47 | 20.93 | 3.010 | 0.014 | 0.016 | 87.25 |
| 1390 | 2.40 | 0.20 | 0.47 | 27.00 | 3.010 | 0.014 | 0.016 | 85.25 |
| 1391 | 2.40 | 0.20 | 0.13 | 22.90 | 3.000 | 0.008 | 0.016 | 29.78 |
| 1392 | 2.40 | 0.20 | 0.42 | 22.90 | 3.000 | 0.007 | 0.016 | 70.59 |
| 1393 | 2.40 | 0.20 | 0.72 | 23.20 | 3.000 | 0.008 | 0.016 | 100.78 |
| 1394 | 2.40 | 0.13 | 0.22 | 36.55 | 2.930 | 0.021 | 0.016 | 36.92 |
| 1395 | 2.40 | 0.13 | 0.22 | 95.87 | 2.930 | 0.021 | 0.016 | 46.00 |
| 1396 | 2.40 | 0.38 | 0.65 | 34.20 | 3.230 | 0.029 | 0.016 | 249.01 |
| 1397 | 2.40 | 0.38 | 0.65 | 63.65 | 3.230 | 0.029 | 0.016 | 296.09 |
| 1399 | 2.40 | 0.30 | 1.89 | 31.92 | 2.820 | 0.007 | 0.016 | 255.12 |
| 1403 | 2.40 | 0.70 | 0.29 | 38.95 | 3.480 | 0.017 | 0.016 | 282.46 |
| 1404 | 2.40 | 0.70 | 0.29 | 38.95 | 3.490 | 0.010 | 0.016 | 250.60 |
| 1405 | 2.40 | 0.71 | 0.29 | 38.95 | 3.470 | 0.017 | 0.016 | 272.06 |
| 1406 | 2.40 | 0.25 | 0.43 | 38.67 | 2.910 | 0.003 | 0.016 | 85.20 |
| 1407 | 2.40 | 0.30 | 1.40 | 36.48 | 2.870 | 0.008 | 0.016 | 270.38 |
| 1408 | 2.40 | 0.30 | 1.40 | 38.29 | 2.870 | 0.008 | 0.016 | 247.79 |
| 1409 | 2.40 | 0.30 | 1.40 | 69.92 | 2.870 | 0.008 | 0.016 | 240.48 |
| 1410 | 2.40 | 0.30 | 1.40 | 29.83 | 2.870 | 0.008 | 0.016 | 268.60 |
| 1411 | 2.40 | 0.30 | 1.40 | 31.54 | 2.870 | 0.008 | 0.016 | 272.55 |
| 1412 | 2.40 | 0.30 | 1.40 | 26.70 | 2.870 | 0.008 | 0.016 | 245.07 |
| 1413 | 2.40 | 0.30 | 1.40 | 27.08 | 2.870 | 0.008 | 0.016 | 290.66 |
| 1414 | 2.40 | 0.30 | 1.40 | 38.95 | 2.870 | 0.008 | 0.016 | 274.28 |
| 1415 | 2.40 | 0.30 | 1.40 | 38.10 | 2.870 | 0.008 | 0.016 | 299.12 |
| 1417 | 2.40 | 0.12 | 0.28 | 39.81 | 2.780 | 0.008 | 0.016 | 36.72 |
| 1418 | 2.40 | 0.12 | 0.28 | 39.81 | 2.780 | 0.008 | 0.016 | 38.34 |
| 1419 | 2.40 | 0.12 | 0.28 | 73.44 | 2.780 | 0.008 | 0.016 | 37.73 |
| 1420 | 2.40 | 0.12 | 0.28 | 37.24 | 2.780 | 0.008 | 0.016 | 39.16 |
| 1421 | 2.40 | 0.12 | 0.28 | 36.20 | 2.780 | 0.008 | 0.016 | 38.26 |
| 1422 | 2.40 | 0.12 | 0.28 | 27.65 | 2.780 | 0.008 | 0.016 | 41.74 |
| 1423 | 2.40 | 0.12 | 0.28 | 27.65 | 2.780 | 0.008 | 0.016 | 34.86 |
| 1424 | 2.40 | 0.12 | 0.28 | 41.33 | 2.780 | 0.008 | 0.016 | 38.50 |
| 1425 | 2.40 | 0.12 | 0.28 | 41.33 | 2.780 | 0.008 | 0.016 | 40.58 |
| 1426 | 2.40 | 0.30 | 1.45 | 33.63 | 2.770 | 0.003 | 0.016 | 188.43 |
| 1427 | 2.40 | 0.30 | 1.45 | 33.63 | 2.770 | 0.003 | 0.016 | 225.78 |
| 1428 | 2.40 | 0.40 | 0.25 | 24.32 | 4.150 | 0.009 | 0.016 | 107.39 |
| 1429 | 2.40 | 0.40 | 0.30 | 23.40 | 3.470 | 0.014 | 0.016 | 130.86 |
| 1430 | 2.40 | 0.40 | 0.17 | 39.68 | 4.970 | 0.024 | 0.016 | 112.23 |
| 1431 | 2.40 | 0.40 | 0.22 | 40.35 | 3.820 | 0.019 | 0.016 | 127.84 |
| 1432 | 2.40 | 0.40 | 0.17 | 39.68 | 4.970 | 0.024 | 0.016 | 102.35 |
| 1433 | 2.40 | 0.15 | 0.16 | 47.88 | 2.880 | 0.025 | 0.016 | 56.18 |
| 1434 | 2.40 | 0.15 | 0.34 | 55.58 | 2.950 | 0.023 | 0.016 | 120.76 |
| 1435 | 2.40 | 0.15 | 0.54 | 55.58 | 2.970 | 0.031 | 0.016 | 171.76 |
| 1436 | 2.40 | 0.15 | 0.20 | 33.35 | 3.910 | 0.012 | 0.016 | 41.98 |
| 1437 | 2.40 | 0.15 | 0.30 | 33.35 | 3.920 | 0.012 | 0.016 | 52.43 |
| 1438 | 2.40 | 0.23 | 0.45 | 33.35 | 3.930 | 0.012 | 0.016 | 93.36 |
| 1439 | 2.40 | 0.30 | 0.60 | 33.35 | 3.940 | 0.012 | 0.016 | 165.67 |
| 1441 | 2.40 | 0.20 | 0.26 | 41.25 | 3.370 | 0.007 | 0.016 | 50.63 |
| 1442 | 2.40 | 0.20 | 0.26 | 41.25 | 3.370 | 0.036 | 0.016 | 91.07 |
| 1443 | 2.40 | 0.46 | 0.36 | 38.85 | 3.280 | 0.010 | 0.016 | 179.12 |
| 1444 | 2.40 | 0.46 | 0.36 | 39.31 | 3.280 | 0.019 | 0.016 | 202.95 |
| 1445 | 2.40 | 0.46 | 0.36 | 41.47 | 3.280 | 0.004 | 0.016 | 134.44 |
| 1446 | 2.40 | 0.10 | 0.08 | 33.82 | 2.800 | 0.016 | 0.016 | 14.48 |
| 1447 | 2.40 | 0.11 | 0.08 | 33.82 | 2.800 | 0.016 | 0.016 | 18.53 |
| 1448 | 2.40 | 0.10 | 0.08 | 33.82 | 2.800 | 0.016 | 0.016 | 14.98 |
| 1449 | 2.40 | 0.11 | 0.17 | 32.59 | 2.870 | 0.016 | 0.016 | 28.89 |
| 1450 | 2.40 | 0.11 | 0.17 | 32.59 | 2.870 | 0.016 | 0.016 | 30.58 |
| 1451 | 2.40 | 0.11 | 0.17 | 32.59 | 2.910 | 0.016 | 0.016 | 29.85 |
| 1452 | 2.40 | 0.11 | 0.33 | 34.30 | 2.940 | 0.016 | 0.016 | 42.52 |
| 1453 | 2.40 | 0.10 | 0.33 | 34.30 | 2.940 | 0.016 | 0.016 | 41.03 |
| 1454 | 2.40 | 0.10 | 0.33 | 34.30 | 2.940 | 0.016 | 0.016 | 43.30 |
| 1456 | 2.40 | 0.30 | 0.23 | 62.77 | 2.910 | 0.012 | 0.016 | 131.06 |
| 1457 | 2.40 | 0.31 | 0.53 | 62.77 | 2.890 | 0.012 | 0.016 | 139.32 |
| 1458 | 2.40 | 0.30 | 0.68 | 61.78 | 2.890 | 0.012 | 0.016 | 146.52 |
| 1459 | 2.40 | 0.31 | 0.82 | 71.02 | 2.890 | 0.016 | 0.016 | 165.19 |
| 1460 | 2.40 | 0.20 | 0.24 | 65.12 | 2.890 | 0.012 | 0.016 | 57.34 |
| 1461 | 2.40 | 0.41 | 0.53 | 61.59 | 2.920 | 0.012 | 0.016 | 155.00 |
| 1462 | 2.40 | 0.51 | 0.68 | 64.73 | 2.870 | 0.013 | 0.016 | 260.79 |
| 1464 | 2.40 | 0.15 | 0.25 | 29.29 | 2.770 | 0.034 | 0.016 | 60.09 |
| 1465 | 2.40 | 0.15 | 0.25 | 36.62 | 2.770 | 0.034 | 0.016 | 71.33 |
| 1466 | 2.40 | 0.15 | 0.25 | 31.58 | 3.320 | 0.034 | 0.016 | 56.95 |
| 1467 | 2.40 | 0.15 | 0.25 | 22.60 | 2.770 | 0.034 | 0.016 | 61.69 |
| 1468 | 2.40 | 0.15 | 0.25 | 20.11 | 2.400 | 0.013 | 0.016 | 44.10 |
| 1469 | 2.40 | 0.15 | 0.25 | 16.97 | 2.400 | 0.026 | 0.016 | 52.38 |
| 1470 | 2.40 | 0.15 | 0.25 | 19.59 | 2.410 | 0.033 | 0.016 | 63.59 |
| 1471 | 2.40 | 0.15 | 0.25 | 19.79 | 3.000 | 0.013 | 0.016 | 33.92 |
| 1472 | 2.40 | 0.15 | 0.26 | 19.46 | 2.980 | 0.020 | 0.016 | 43.93 |
| 1473 | 2.40 | 0.15 | 0.25 | 19.52 | 3.000 | 0.026 | 0.016 | 49.19 |
| 1474 | 2.40 | 0.15 | 0.25 | 19.39 | 3.020 | 0.034 | 0.016 | 50.99 |
| 1475 | 2.40 | 0.15 | 0.25 | 19.52 | 3.040 | 0.043 | 0.016 | 48.32 |
| 1476 | 2.40 | 0.15 | 0.26 | 16.71 | 3.580 | 0.020 | 0.016 | 42.68 |
| 1477 | 2.40 | 0.15 | 0.25 | 19.23 | 3.600 | 0.026 | 0.016 | 50.40 |
| 1478 | 2.40 | 0.15 | 0.26 | 21.49 | 4.170 | 0.020 | 0.016 | 44.08 |
| 1479 | 2.40 | 0.15 | 0.25 | 20.21 | 4.230 | 0.034 | 0.016 | 49.16 |
| 1480 | 2.40 | 0.15 | 0.26 | 21.10 | 4.770 | 0.020 | 0.016 | 38.55 |
| 1481 | 2.40 | 0.15 | 0.25 | 30.07 | 2.400 | 0.026 | 0.016 | 67.59 |
| 1482 | 2.40 | 0.15 | 0.25 | 30.07 | 2.410 | 0.033 | 0.016 | 76.25 |
| 1483 | 2.40 | 0.15 | 0.25 | 32.43 | 2.430 | 0.043 | 0.016 | 89.01 |
| 1484 | 2.40 | 0.15 | 0.25 | 30.66 | 3.000 | 0.026 | 0.016 | 59.91 |
| 1485 | 2.40 | 0.15 | 0.25 | 30.66 | 3.020 | 0.034 | 0.016 | 58.69 |
| 1486 | 2.40 | 0.15 | 0.25 | 34.99 | 3.040 | 0.043 | 0.016 | 66.52 |
| 1487 | 2.40 | 0.15 | 0.25 | 16.25 | 3.000 | 0.026 | 0.016 | 43.50 |
| 1488 | 2.40 | 0.15 | 0.25 | 13.56 | 3.600 | 0.026 | 0.016 | 35.20 |
| 1489 | 2.40 | 0.19 | 0.27 | 30.67 | 2.750 | 0.020 | 0.016 | 63.64 |
| 1490 | 2.40 | 0.19 | 0.27 | 30.67 | 2.750 | 0.020 | 0.016 | 62.62 |
| 1491 | 2.40 | 0.19 | 0.27 | 34.95 | 3.680 | 0.021 | 0.016 | 61.47 |
| 1492 | 2.40 | 0.19 | 0.27 | 34.95 | 3.660 | 0.021 | 0.016 | 67.54 |
| 1493 | 2.40 | 0.19 | 0.27 | 32.62 | 4.580 | 0.020 | 0.016 | 67.80 |
| 1494 | 2.40 | 0.19 | 0.27 | 32.62 | 4.560 | 0.020 | 0.016 | 70.12 |
| 1495 | 2.40 | 0.15 | 0.26 | 33.23 | 3.180 | 0.030 | 0.016 | 63.91 |
| 1496 | 2.40 | 0.30 | 0.20 | 19.10 | 2.500 | 0.013 | 0.016 | 47.46 |
| 1497 | 2.40 | 0.30 | 0.60 | 20.05 | 3.000 | 0.004 | 0.016 | 71.96 |
| 1498 | 2.40 | 0.50 | 1.00 | 25.84 | 3.000 | 0.004 | 0.016 | 156.98 |
| 1499 | 2.40 | 0.50 | 1.00 | 20.81 | 3.000 | 0.004 | 0.016 | 170.00 |
| 1502 | 2.40 | 0.30 | 0.60 | 25.94 | 3.000 | 0.004 | 0.016 | 58.80 |
| 1504 | 1.55 | 0.19 | 0.22 | 20.50 | 3.910 | 0.019 | 0.010 | 38.00 |
| 1505 | 1.55 | 0.19 | 0.22 | 20.39 | 3.910 | 0.019 | 0.010 | 38.00 |
| 1506 | 1.55 | 0.19 | 0.22 | 20.50 | 3.910 | 0.019 | 0.010 | 37.00 |
| 1507 | 1.55 | 0.19 | 0.22 | 23.15 | 3.910 | 0.019 | 0.010 | 39.50 |
| 1508 | 1.55 | 0.19 | 0.22 | 29.27 | 3.910 | 0.019 | 0.010 | 42.50 |
| 1509 | 1.55 | 0.19 | 0.22 | 27.45 | 3.910 | 0.019 | 0.010 | 47.50 |
| 1510 | 1.55 | 0.19 | 0.22 | 27.45 | 3.910 | 0.019 | 0.010 | 38.00 |
| 1511 | 1.55 | 0.19 | 0.22 | 30.87 | 3.910 | 0.019 | 0.010 | 40.00 |
| 1512 | 1.55 | 0.19 | 0.22 | 23.15 | 3.910 | 0.012 | 0.010 | 34.50 |
| 1513 | 1.55 | 0.19 | 0.22 | 20.39 | 3.910 | 0.012 | 0.010 | 36.00 |
| 1514 | 1.55 | 0.19 | 0.22 | 29.27 | 3.910 | 0.012 | 0.010 | 35.50 |
| 1515 | 1.55 | 0.19 | 0.22 | 30.87 | 3.910 | 0.012 | 0.010 | 38.50 |
| 1516 | 1.63 | 0.19 | 0.22 | 21.55 | 3.910 | 0.019 | 0.010 | 37.50 |
| 1517 | 1.63 | 0.19 | 0.22 | 22.10 | 3.910 | 0.019 | 0.010 | 42.00 |
| 1518 | 1.63 | 0.19 | 0.22 | 21.55 | 3.910 | 0.019 | 0.010 | 42.50 |
| 1519 | 1.63 | 0.19 | 0.22 | 22.76 | 3.910 | 0.019 | 0.010 | 42.00 |
| 1520 | 1.63 | 0.19 | 0.22 | 26.95 | 3.910 | 0.019 | 0.010 | 47.00 |
| 1521 | 1.63 | 0.19 | 0.22 | 31.20 | 3.910 | 0.019 | 0.010 | 51.50 |
| 1522 | 1.63 | 0.19 | 0.22 | 31.20 | 3.910 | 0.019 | 0.010 | 46.50 |
| 1523 | 1.63 | 0.19 | 0.22 | 27.89 | 3.910 | 0.019 | 0.010 | 46.00 |
| 1524 | 1.63 | 0.19 | 0.22 | 22.76 | 3.910 | 0.012 | 0.010 | 37.50 |
| 1525 | 1.63 | 0.19 | 0.22 | 22.10 | 3.910 | 0.012 | 0.010 | 36.50 |
| 1526 | 1.63 | 0.19 | 0.22 | 26.95 | 3.910 | 0.012 | 0.010 | 39.50 |
| 1527 | 1.63 | 0.19 | 0.22 | 27.89 | 3.910 | 0.012 | 0.010 | 42.00 |
| 1528 | 1.75 | 0.15 | 0.27 | 31.00 | 2.000 | 0.013 | 0.013 | 100.65 |
| 1529 | 1.70 | 0.15 | 0.27 | 31.00 | 3.330 | 0.013 | 0.013 | 38.96 |
| 1530 | 1.71 | 0.15 | 0.27 | 32.30 | 4.950 | 0.013 | 0.013 | 33.28 |
| 1531 | 1.70 | 0.15 | 0.27 | 27.90 | 3.330 | 0.010 | 0.013 | 36.12 |
| 1532 | 1.70 | 0.15 | 0.27 | 28.80 | 3.330 | 0.013 | 0.013 | 37.34 |
| 1533 | 1.70 | 0.15 | 0.27 | 28.70 | 3.330 | 0.015 | 0.013 | 40.99 |
| 1534 | 2.00 | 0.15 | 0.27 | 25.70 | 3.330 | 0.010 | 0.013 | 34.09 |
| 1535 | 2.02 | 0.15 | 0.27 | 26.70 | 3.330 | 0.013 | 0.013 | 39.37 |
| 1536 | 2.00 | 0.15 | 0.27 | 28.00 | 3.330 | 0.015 | 0.013 | 39.37 |
| 1537 | 1.57 | 0.15 | 0.27 | 23.20 | 2.000 | 0.013 | 0.013 | 38.96 |
| 1538 | 1.59 | 0.15 | 0.27 | 25.60 | 3.330 | 0.013 | 0.013 | 27.60 |
| 1539 | 1.60 | 0.15 | 0.27 | 23.60 | 4.950 | 0.013 | 0.013 | 33.68 |
| 1540 | 1.73 | 0.11 | 0.19 | 24.60 | 3.330 | 0.013 | 0.013 | 18.27 |
| 1541 | 1.73 | 0.15 | 0.27 | 29.60 | 3.330 | 0.013 | 0.013 | 37.74 |
| 1542 | 1.73 | 0.19 | 0.33 | 26.30 | 3.330 | 0.013 | 0.013 | 54.06 |
| 1543 | 1.73 | 0.23 | 0.40 | 25.90 | 3.330 | 0.013 | 0.013 | 109.32 |
| 1544 | 1.54 | 0.15 | 0.27 | 20.90 | 2.000 | 0.010 | 0.013 | 62.50 |
| 1545 | 1.54 | 0.15 | 0.27 | 20.40 | 2.000 | 0.013 | 0.013 | 62.09 |
| 1546 | 1.54 | 0.15 | 0.27 | 22.40 | 2.000 | 0.015 | 0.013 | 83.60 |
| 1547 | 1.51 | 0.15 | 0.27 | 20.80 | 2.000 | 0.021 | 0.013 | 54.38 |
| 1548 | 1.51 | 0.15 | 0.27 | 22.60 | 3.000 | 0.021 | 0.013 | 54.38 |
| 1549 | 1.51 | 0.15 | 0.27 | 22.10 | 4.000 | 0.021 | 0.013 | 38.15 |
| 1550 | 1.51 | 0.15 | 0.27 | 19.20 | 4.950 | 0.021 | 0.013 | 39.77 |
| 1551 | 1.73 | 0.15 | 0.27 | 21.60 | 3.330 | 0.010 | 0.013 | 33.68 |
| 1552 | 1.71 | 0.15 | 0.27 | 19.20 | 3.330 | 0.013 | 0.013 | 39.37 |
| 1553 | 1.70 | 0.15 | 0.27 | 26.60 | 3.330 | 0.015 | 0.013 | 39.77 |
| 1554 | 1.96 | 0.10 | 0.17 | 54.89 | 0.520 | 0.014 | 0.013 | 135.66 |
| 1555 | 1.96 | 0.10 | 0.17 | 56.55 | 1.560 | 0.014 | 0.013 | 75.62 |
| 1556 | 1.96 | 0.10 | 0.17 | 56.49 | 2.590 | 0.014 | 0.013 | 26.69 |
| 1557 | 1.96 | 0.10 | 0.17 | 54.76 | 3.630 | 0.014 | 0.013 | 21.80 |
| 1558 | 1.96 | 0.10 | 0.17 | 70.34 | 0.520 | 0.014 | 0.013 | 142.34 |
| 1559 | 1.96 | 0.10 | 0.17 | 71.72 | 1.560 | 0.014 | 0.013 | 72.50 |
| 1560 | 1.96 | 0.10 | 0.17 | 70.34 | 2.590 | 0.014 | 0.013 | 29.80 |
| 1561 | 1.96 | 0.10 | 0.17 | 72.41 | 3.630 | 0.014 | 0.013 | 20.02 |
| 1562 | 1.55 | 0.15 | 0.27 | 47.66 | 3.630 | 0.050 | 0.005 | 112.98 |
| 1563 | 1.55 | 0.15 | 0.27 | 25.38 | 2.470 | 0.025 | 0.005 | 82.29 |
| 1564 | 1.55 | 0.15 | 0.27 | 36.90 | 2.470 | 0.025 | 0.005 | 96.12 |
| 1565 | 1.55 | 0.15 | 0.27 | 22.83 | 2.470 | 0.025 | 0.005 | 44.04 |
| 1566 | 1.55 | 0.15 | 0.27 | 28.21 | 2.470 | 0.025 | 0.005 | 48.93 |
| 1567 | 1.55 | 0.15 | 0.27 | 20.55 | 2.470 | 0.025 | 0.005 | 54.96 |
| 1568 | 1.55 | 0.15 | 0.27 | 33.72 | 2.470 | 0.025 | 0.005 | 88.07 |
| 1569 | 1.55 | 0.15 | 0.27 | 48.28 | 2.470 | 0.050 | 0.005 | 109.20 |
| 1570 | 1.55 | 0.15 | 0.27 | 56.28 | 2.470 | 0.050 | 0.005 | 118.98 |
| 1571 | 1.55 | 0.15 | 0.27 | 24.07 | 2.470 | 0.025 | 0.005 | 48.28 |
| 1572 | 1.55 | 0.15 | 0.27 | 33.03 | 2.470 | 0.025 | 0.005 | 48.71 |
| 1573 | 1.55 | 0.15 | 0.27 | 25.31 | 2.470 | 0.020 | 0.005 | 44.59 |
| 1574 | 1.55 | 0.15 | 0.27 | 33.59 | 2.470 | 0.025 | 0.005 | 70.17 |
| 1575 | 1.55 | 0.15 | 0.27 | 22.14 | 2.470 | 0.025 | 0.005 | 56.62 |
| 1576 | 1.55 | 0.15 | 0.27 | 29.24 | 2.470 | 0.025 | 0.005 | 88.40 |
| 1577 | 1.55 | 0.15 | 0.27 | 35.86 | 2.470 | 0.025 | 0.005 | 87.63 |
| 1578 | 1.55 | 0.15 | 0.27 | 25.52 | 2.470 | 0.025 | 0.005 | 80.42 |
| 1579 | 1.55 | 0.15 | 0.27 | 27.72 | 2.470 | 0.025 | 0.005 | 57.71 |
| 1580 | 1.55 | 0.15 | 0.27 | 37.10 | 2.470 | 0.025 | 0.005 | 90.38 |
| 1581 | 1.55 | 0.15 | 0.27 | 58.00 | 2.470 | 0.050 | 0.005 | 127.30 |
| 1583 | 1.88 | 0.30 | 0.11 | 42.60 | 3.500 | 0.006 | 0.008 | 67.00 |
| 1584 | 1.88 | 0.30 | 0.11 | 42.60 | 1.500 | 0.006 | 0.008 | 43.70 |
| 1585 | 1.88 | 0.30 | 0.11 | 42.60 | 2.000 | 0.006 | 0.008 | 36.10 |
| 1586 | 1.88 | 0.30 | 0.11 | 42.60 | 3.000 | 0.006 | 0.008 | 28.30 |
| 1587 | 1.93 | 0.30 | 0.11 | 47.00 | 3.500 | 0.006 | 0.008 | 74.00 |
| 1588 | 1.93 | 0.30 | 0.11 | 47.00 | 1.500 | 0.006 | 0.008 | 56.70 |
| 1589 | 1.93 | 0.30 | 0.11 | 47.00 | 2.000 | 0.006 | 0.008 | 30.30 |
| 1591 | 1.93 | 0.30 | 0.11 | 50.50 | 3.000 | 0.008 | 0.008 | 37.80 |
| 1592 | 1.88 | 0.30 | 0.11 | 69.80 | 3.000 | 0.006 | 0.008 | 35.30 |
| 1593 | 1.88 | 0.30 | 0.11 | 69.80 | 3.000 | 0.006 | 0.008 | 57.20 |
| 1594 | 1.95 | 0.30 | 0.11 | 53.00 | 3.500 | 0.006 | 0.009 | 39.40 |
| 1595 | 1.90 | 0.30 | 0.11 | 57.00 | 3.000 | 0.006 | 0.005 | 31.40 |
| 1596 | 1.50 | 0.30 | 0.11 | 41.00 | 3.000 | 0.006 | 0.016 | 52.50 |
| 1597 | 1.50 | 0.30 | 0.11 | 41.00 | 1.500 | 0.006 | 0.016 | 40.00 |
| 1598 | 1.50 | 0.30 | 0.11 | 41.00 | 2.000 | 0.006 | 0.016 | 29.00 |
| 1599 | 1.50 | 0.30 | 0.11 | 41.00 | 3.000 | 0.006 | 0.016 | 19.20 |
| 1600 | 1.40 | 0.30 | 0.11 | 36.00 | 3.500 | 0.006 | 0.016 | 68.60 |
| 1601 | 1.40 | 0.30 | 0.11 | 36.00 | 1.500 | 0.006 | 0.016 | 49.70 |
| 1602 | 1.40 | 0.30 | 0.11 | 36.00 | 2.000 | 0.006 | 0.016 | 25.20 |
| 1603 | 1.40 | 0.30 | 0.11 | 36.00 | 3.000 | 0.006 | 0.016 | 19.30 |
| 1604 | 1.50 | 0.30 | 0.11 | 25.00 | 3.500 | 0.006 | 0.016 | 40.30 |
| 1605 | 1.50 | 0.30 | 0.11 | 25.00 | 1.500 | 0.006 | 0.016 | 36.90 |
| 1606 | 1.50 | 0.30 | 0.11 | 25.00 | 2.000 | 0.006 | 0.016 | 20.80 |
| 1607 | 1.50 | 0.30 | 0.11 | 25.00 | 3.000 | 0.006 | 0.016 | 12.60 |
| 1608 | 1.50 | 0.13 | 0.18 | 21.00 | 3.500 | 0.011 | 0.008 | 17.20 |
| 1609 | 1.50 | 0.13 | 0.18 | 21.00 | 3.000 | 0.016 | 0.008 | 20.70 |
| 1610 | 1.50 | 0.13 | 0.18 | 21.00 | 3.000 | 0.025 | 0.008 | 25.70 |
| 1611 | 1.50 | 0.13 | 0.18 | 50.00 | 3.000 | 0.011 | 0.012 | 23.60 |
| 1612 | 1.50 | 0.13 | 0.18 | 50.00 | 3.000 | 0.016 | 0.012 | 26.60 |
| 1613 | 1.50 | 0.13 | 0.18 | 50.00 | 3.000 | 0.025 | 0.012 | 28.20 |
| 1614 | 1.50 | 0.13 | 0.18 | 50.00 | 3.000 | 0.039 | 0.012 | 48.20 |
| 1615 | 1.50 | 0.13 | 0.18 | 37.00 | 3.000 | 0.011 | 0.012 | 21.20 |
| 1616 | 1.50 | 0.13 | 0.18 | 37.00 | 3.000 | 0.016 | 0.012 | 24.30 |
| 1617 | 1.50 | 0.13 | 0.18 | 37.00 | 3.000 | 0.025 | 0.012 | 41.00 |
| 1618 | 1.80 | 0.13 | 0.22 | 33.79 | 1.000 | 0.009 | 0.013 | 105.82 |
| 1619 | 1.80 | 0.13 | 0.22 | 44.83 | 2.000 | 0.009 | 0.013 | 33.36 |
| 1620 | 1.80 | 0.13 | 0.22 | 40.34 | 3.000 | 0.009 | 0.013 | 22.94 |
| 1621 | 1.80 | 0.13 | 0.22 | 86.90 | 1.000 | 0.021 | 0.013 | 188.52 |
| 1622 | 1.80 | 0.13 | 0.22 | 85.45 | 2.000 | 0.021 | 0.013 | 85.41 |
| 1623 | 1.80 | 0.13 | 0.22 | 89.17 | 3.000 | 0.021 | 0.013 | 43.39 |
| 1624 | 1.85 | 0.10 | 0.17 | 48.80 | 3.000 | 0.019 | 0.016 | 35.20 |
| 1625 | 1.89 | 0.10 | 0.17 | 53.80 | 3.000 | 0.019 | 0.016 | 24.80 |
| 1626 | 1.88 | 0.10 | 0.17 | 60.40 | 3.000 | 0.019 | 0.016 | 25.00 |
| 1627 | 1.75 | 0.10 | 0.17 | 23.60 | 3.000 | 0.019 | 0.016 | 18.80 |
| 1628 | 1.75 | 0.10 | 0.17 | 23.60 | 3.000 | 0.019 | 0.016 | 20.30 |
| 1629 | 1.88 | 0.10 | 0.17 | 57.80 | 3.000 | 0.027 | 0.016 | 28.30 |
| 1630 | 1.83 | 0.10 | 0.17 | 54.60 | 3.000 | 0.027 | 0.016 | 28.80 |
| 1631 | 1.88 | 0.10 | 0.17 | 53.30 | 3.000 | 0.019 | 0.016 | 24.00 |
| 1632 | 1.87 | 0.10 | 0.17 | 50.70 | 3.000 | 0.019 | 0.016 | 24.30 |
| 1633 | 2.05 | 0.10 | 0.17 | 50.10 | 3.000 | 0.019 | 0.016 | 25.00 |
| 1634 | 1.98 | 0.10 | 0.17 | 39.90 | 3.000 | 0.019 | 0.016 | 23.60 |
| 1635 | 1.95 | 0.10 | 0.17 | 40.10 | 3.000 | 0.019 | 0.016 | 20.00 |
| 1636 | 1.99 | 0.10 | 0.17 | 43.50 | 3.000 | 0.019 | 0.016 | 35.60 |
| 1637 | 1.99 | 0.10 | 0.17 | 46.20 | 3.000 | 0.027 | 0.016 | 24.80 |
| 1638 | 1.98 | 0.10 | 0.17 | 42.90 | 3.000 | 0.027 | 0.016 | 25.00 |
| 1639 | 1.70 | 0.10 | 0.17 | 28.90 | 3.000 | 0.019 | 0.016 | 25.80 |
| 1640 | 1.76 | 0.10 | 0.17 | 34.30 | 3.000 | 0.019 | 0.016 | 27.50 |
| 1641 | 1.74 | 0.10 | 0.17 | 31.60 | 3.000 | 0.027 | 0.016 | 28.50 |
| 1642 | 1.67 | 0.10 | 0.17 | 27.90 | 3.000 | 0.019 | 0.016 | 21.20 |
| 1643 | 1.70 | 0.10 | 0.17 | 31.50 | 3.000 | 0.027 | 0.016 | 29.30 |
| 1644 | 1.51 | 0.20 | 0.36 | 31.20 | 3.000 | 0.016 | 0.004 | 204.60 |
| 1652 | 1.76 | 0.12 | 0.16 | 24.10 | 2.500 | 0.013 | 0.013 | 67.60 |
| 1653 | 1.76 | 0.12 | 0.16 | 24.10 | 1.500 | 0.013 | 0.013 | 49.50 |
| 1654 | 1.76 | 0.12 | 0.16 | 24.10 | 2.000 | 0.013 | 0.013 | 34.50 |
| 1655 | 1.76 | 0.12 | 0.16 | 24.10 | 2.500 | 0.013 | 0.013 | 21.00 |
| 1656 | 1.83 | 0.12 | 0.16 | 43.50 | 3.000 | 0.013 | 0.013 | 79.50 |
| 1657 | 1.83 | 0.12 | 0.16 | 43.50 | 1.500 | 0.013 | 0.013 | 57.20 |
| 1658 | 1.83 | 0.12 | 0.16 | 43.50 | 2.000 | 0.013 | 0.013 | 41.80 |
| 1659 | 1.83 | 0.12 | 0.16 | 43.50 | 2.500 | 0.013 | 0.013 | 30.90 |
| 1660 | 1.90 | 0.12 | 0.16 | 52.00 | 3.000 | 0.013 | 0.013 | 90.00 |
| 1661 | 1.90 | 0.12 | 0.16 | 52.00 | 1.500 | 0.013 | 0.013 | 70.70 |
| 1662 | 1.90 | 0.12 | 0.16 | 52.00 | 2.000 | 0.013 | 0.013 | 49.80 |
| 1663 | 1.90 | 0.12 | 0.16 | 52.00 | 2.500 | 0.013 | 0.013 | 41.20 |
| 1664 | 1.67 | 0.15 | 0.17 | 40.50 | 3.000 | 0.035 | 0.015 | 116.10 |
| 1665 | 1.66 | 0.15 | 0.17 | 40.30 | 2.120 | 0.035 | 0.015 | 46.80 |
| 1666 | 1.60 | 0.15 | 0.17 | 32.60 | 3.030 | 0.016 | 0.015 | 50.20 |
| 1667 | 1.56 | 0.15 | 0.17 | 37.50 | 2.120 | 0.016 | 0.015 | 28.50 |
| 1668 | 1.74 | 0.15 | 0.17 | 44.80 | 3.030 | 0.035 | 0.015 | 75.70 |
| 1669 | 1.68 | 0.15 | 0.17 | 41.90 | 2.120 | 0.016 | 0.015 | 70.00 |
| 1670 | 1.82 | 0.15 | 0.17 | 40.40 | 2.120 | 0.035 | 0.015 | 103.70 |
| 1671 | 1.87 | 0.15 | 0.17 | 41.00 | 2.120 | 0.035 | 0.015 | 55.70 |
| 1672 | 1.82 | 0.15 | 0.17 | 39.30 | 3.030 | 0.016 | 0.015 | 35.60 |
| 1673 | 1.86 | 0.15 | 0.17 | 42.70 | 2.120 | 0.016 | 0.015 | 41.10 |
| 1674 | 1.97 | 0.15 | 0.17 | 42.70 | 3.030 | 0.035 | 0.015 | 122.00 |
| 1675 | 1.97 | 0.15 | 0.17 | 43.90 | 2.120 | 0.035 | 0.015 | 41.30 |
| 1676 | 2.00 | 0.15 | 0.17 | 50.30 | 3.030 | 0.016 | 0.015 | 84.60 |
| 1677 | 1.99 | 0.15 | 0.17 | 51.00 | 2.120 | 0.016 | 0.015 | 36.90 |
| 1678 | 1.86 | 0.15 | 0.28 | 33.30 | 3.030 | 0.008 | 0.010 | 115.85 |
| 1679 | 1.86 | 0.15 | 0.28 | 40.80 | 1.200 | 0.008 | 0.010 | 127.65 |
| 1680 | 1.55 | 0.15 | 0.27 | 22.40 | 1.200 | 0.015 | 0.013 | 221.70 |
| 1681 | 1.54 | 0.15 | 0.27 | 20.86 | 2.000 | 0.010 | 0.013 | 49.90 |
| 1682 | 1.54 | 0.15 | 0.27 | 20.43 | 2.000 | 0.013 | 0.013 | 62.65 |
| 1683 | 1.51 | 0.15 | 0.27 | 22.57 | 2.000 | 0.021 | 0.013 | 54.32 |
| 1684 | 1.51 | 0.15 | 0.27 | 20.75 | 3.000 | 0.021 | 0.013 | 83.81 |
| 1685 | 1.51 | 0.15 | 0.27 | 20.64 | 2.000 | 0.021 | 0.013 | 39.78 |
| 1686 | 1.51 | 0.15 | 0.27 | 21.26 | 5.000 | 0.021 | 0.013 | 38.40 |
| 1687 | 2.02 | 0.15 | 0.27 | 27.99 | 4.000 | 0.013 | 0.013 | 42.65 |
| 1688 | 2.00 | 0.15 | 0.27 | 25.75 | 3.330 | 0.015 | 0.013 | 39.77 |
| 1689 | 2.00 | 0.15 | 0.27 | 26.66 | 3.330 | 0.010 | 0.013 | 37.53 |
| 1690 | 1.71 | 0.15 | 0.27 | 19.19 | 3.330 | 0.013 | 0.013 | 39.25 |
| 1691 | 1.73 | 0.15 | 0.27 | 21.55 | 3.330 | 0.010 | 0.013 | 33.58 |
| 1692 | 1.70 | 0.15 | 0.27 | 26.64 | 3.330 | 0.015 | 0.013 | 39.81 |
| 1693 | 1.55 | 0.15 | 0.27 | 26.55 | 3.330 | 0.012 | 0.005 | 26.69 |
| 1694 | 1.60 | 0.15 | 0.27 | 21.38 | 5.000 | 0.012 | 0.005 | 26.02 |
| 1695 | 1.43 | 0.15 | 0.27 | 22.55 | 5.000 | 0.012 | 0.005 | 28.69 |
| 1696 | 1.44 | 0.15 | 0.27 | 34.07 | 5.000 | 0.012 | 0.005 | 25.58 |
| 1697 | 1.55 | 0.15 | 0.27 | 30.34 | 5.000 | 0.012 | 0.005 | 25.69 |
| 1698 | 1.60 | 0.15 | 0.27 | 35.31 | 5.000 | 0.012 | 0.005 | 29.25 |
| 1699 | 1.63 | 0.15 | 0.27 | 34.55 | 5.000 | 0.012 | 0.005 | 30.69 |
| 1700 | 1.69 | 0.15 | 0.27 | 33.45 | 5.000 | 0.012 | 0.005 | 28.91 |
| 1701 | 1.63 | 0.15 | 0.27 | 33.52 | 5.000 | 0.012 | 0.005 | 33.58 |
| 1702 | 1.43 | 0.15 | 0.27 | 33.45 | 5.000 | 0.012 | 0.005 | 27.58 |
| 1703 | 1.51 | 0.15 | 0.27 | 35.52 | 5.000 | 0.012 | 0.005 | 29.36 |
| 1704 | 1.43 | 0.15 | 0.27 | 29.66 | 5.000 | 0.012 | 0.005 | 25.80 |
| 1705 | 1.55 | 0.15 | 0.27 | 33.66 | 5.000 | 0.025 | 0.005 | 33.36 |
| 1706 | 1.55 | 0.15 | 0.27 | 31.31 | 5.000 | 0.025 | 0.005 | 35.59 |
| 1707 | 1.60 | 0.15 | 0.27 | 35.17 | 5.000 | 0.025 | 0.005 | 35.59 |
| 1708 | 1.57 | 0.15 | 0.27 | 34.00 | 5.000 | 0.025 | 0.005 | 42.26 |
| 1709 | 1.69 | 0.15 | 0.27 | 34.48 | 5.000 | 0.025 | 0.005 | 37.81 |
| 1710 | 1.63 | 0.15 | 0.27 | 34.21 | 5.000 | 0.025 | 0.005 | 48.93 |
| 1711 | 1.43 | 0.15 | 0.27 | 30.55 | 5.000 | 0.025 | 0.005 | 35.59 |
| 1712 | 1.51 | 0.15 | 0.27 | 34.90 | 5.000 | 0.025 | 0.005 | 37.81 |
| 1713 | 1.44 | 0.15 | 0.27 | 32.97 | 5.000 | 0.012 | 0.005 | 59.94 |
| 1714 | 1.55 | 0.15 | 0.27 | 28.76 | 2.500 | 0.012 | 0.005 | 66.77 |
| 1715 | 1.60 | 0.15 | 0.27 | 34.62 | 2.500 | 0.012 | 0.005 | 66.06 |
| 1716 | 1.57 | 0.15 | 0.27 | 33.79 | 2.500 | 0.012 | 0.005 | 66.06 |
| 1717 | 1.69 | 0.15 | 0.27 | 33.24 | 2.500 | 0.012 | 0.005 | 42.26 |
| 1718 | 1.63 | 0.15 | 0.27 | 33.59 | 2.500 | 0.012 | 0.005 | 55.60 |
| 1719 | 1.43 | 0.15 | 0.27 | 34.62 | 2.500 | 0.012 | 0.005 | 69.84 |
| 1720 | 1.51 | 0.15 | 0.27 | 35.86 | 2.500 | 0.012 | 0.005 | 57.83 |
| 1721 | 1.44 | 0.15 | 0.27 | 25.38 | 2.500 | 0.025 | 0.005 | 82.29 |
| 1722 | 1.55 | 0.15 | 0.27 | 22.83 | 2.500 | 0.025 | 0.005 | 44.04 |
| 1723 | 1.60 | 0.15 | 0.27 | 20.55 | 2.500 | 0.025 | 0.005 | 54.96 |
| 1724 | 1.57 | 0.15 | 0.27 | 24.07 | 2.500 | 0.025 | 0.005 | 48.29 |
| 1725 | 1.69 | 0.15 | 0.27 | 25.31 | 2.500 | 0.025 | 0.005 | 44.59 |
| 1726 | 1.63 | 0.15 | 0.27 | 22.14 | 2.500 | 0.025 | 0.005 | 56.63 |
| 1727 | 1.63 | 0.15 | 0.27 | 29.24 | 2.500 | 0.025 | 0.005 | 88.41 |
| 1728 | 2.28 | 0.15 | 0.27 | 27.72 | 2.500 | 0.025 | 0.005 | 57.72 |
| 1729 | 1.44 | 0.15 | 0.27 | 36.90 | 2.500 | 0.025 | 0.005 | 96.13 |
| 1730 | 1.55 | 0.15 | 0.27 | 28.21 | 2.500 | 0.025 | 0.005 | 48.93 |
| 1731 | 1.60 | 0.15 | 0.27 | 33.72 | 2.500 | 0.025 | 0.005 | 83.83 |
| 1732 | 1.57 | 0.15 | 0.27 | 33.03 | 2.500 | 0.025 | 0.005 | 48.71 |
| 1733 | 1.69 | 0.15 | 0.27 | 33.59 | 2.500 | 0.025 | 0.005 | 70.17 |
| 1734 | 1.63 | 0.15 | 0.27 | 32.28 | 2.500 | 0.025 | 0.005 | 78.96 |
| 1735 | 1.63 | 0.15 | 0.27 | 35.86 | 2.500 | 0.025 | 0.005 | 87.63 |
| 1736 | 1.43 | 0.15 | 0.27 | 33.52 | 2.500 | 0.025 | 0.005 | 95.64 |
| 1737 | 1.51 | 0.15 | 0.27 | 34.07 | 2.500 | 0.025 | 0.005 | 88.74 |
| 1738 | 1.51 | 0.15 | 0.27 | 47.66 | 2.500 | 0.050 | 0.005 | 112.98 |
| 1739 | 1.60 | 0.15 | 0.27 | 48.28 | 2.500 | 0.050 | 0.005 | 109.20 |
| 1740 | 2.28 | 0.15 | 0.27 | 58.00 | 2.500 | 0.050 | 0.005 | 127.31 |
| 1741 | 1.60 | 0.15 | 0.27 | 56.28 | 2.500 | 0.050 | 0.005 | 118.99 |
| 1742 | 1.87 | 0.10 | 0.22 | 34.00 | 1.500 | 0.030 | 0.014 | 150.00 |
| 1743 | 1.87 | 0.10 | 0.22 | 32.30 | 3.000 | 0.030 | 0.014 | 65.00 |
| 1744 | 1.87 | 0.10 | 0.22 | 31.88 | 4.500 | 0.030 | 0.014 | 37.00 |
| 1745 | 1.87 | 0.10 | 0.22 | 35.70 | 6.000 | 0.030 | 0.014 | 37.50 |
| 1746 | 1.87 | 0.10 | 0.20 | 33.58 | 1.500 | 0.019 | 0.014 | 140.50 |
| 1747 | 1.87 | 0.10 | 0.20 | 40.80 | 3.000 | 0.019 | 0.014 | 55.50 |
| 1748 | 1.87 | 0.10 | 0.20 | 39.95 | 4.500 | 0.019 | 0.014 | 32.50 |
| 1749 | 1.87 | 0.10 | 0.20 | 35.28 | 6.000 | 0.019 | 0.014 | 29.90 |
| 1750 | 1.87 | 0.10 | 0.19 | 39.10 | 1.500 | 0.011 | 0.014 | 125.00 |
| 1751 | 1.87 | 0.10 | 0.19 | 39.10 | 3.000 | 0.011 | 0.014 | 45.00 |
| 1752 | 1.87 | 0.10 | 0.19 | 40.80 | 4.500 | 0.011 | 0.014 | 27.50 |
| 1753 | 1.87 | 0.10 | 0.19 | 38.68 | 6.000 | 0.011 | 0.014 | 26.40 |
| 1754 | 1.87 | 0.10 | 0.20 | 40.38 | 3.000 | 0.007 | 0.014 | 32.50 |
| 1755 | 1.87 | 0.10 | 0.20 | 39.95 | 4.500 | 0.007 | 0.014 | 26.90 |
| 1756 | 1.87 | 0.10 | 0.20 | 25.50 | 1.500 | 0.019 | 0.014 | 97.50 |
| 1757 | 1.87 | 0.10 | 0.20 | 26.35 | 3.000 | 0.019 | 0.014 | 52.50 |
| 1758 | 1.87 | 0.10 | 0.20 | 25.84 | 4.500 | 0.019 | 0.014 | 31.00 |
| 1759 | 1.87 | 0.10 | 0.20 | 24.65 | 6.000 | 0.019 | 0.014 | 26.50 |
| 1760 | 1.87 | 0.10 | 0.19 | 23.38 | 1.500 | 0.011 | 0.014 | 110.80 |
| 1761 | 1.87 | 0.10 | 0.19 | 21.68 | 3.000 | 0.011 | 0.014 | 36.30 |
| 1762 | 1.87 | 0.10 | 0.19 | 25.08 | 4.500 | 0.011 | 0.014 | 26.50 |
| 1763 | 1.87 | 0.10 | 0.19 | 27.63 | 6.000 | 0.011 | 0.014 | 24.00 |
| 1764 | 1.87 | 0.10 | 0.19 | 26.78 | 1.500 | 0.003 | 0.014 | 61.80 |
| 1765 | 1.87 | 0.10 | 0.19 | 27.20 | 3.000 | 0.003 | 0.014 | 29.30 |
| 1766 | 1.87 | 0.10 | 0.20 | 25.93 | 3.000 | 0.006 | 0.014 | 28.00 |
| 1767 | 1.87 | 0.10 | 0.20 | 26.78 | 4.500 | 0.006 | 0.014 | 25.00 |
| 1768 | 1.87 | 0.10 | 0.19 | 19.98 | 3.000 | 0.003 | 0.014 | 19.70 |
| 1770 | 1.80 | 0.20 | 0.42 | 32.00 | 3.000 | 0.004 | 0.016 | 59.90 |
| 1771 | 1.80 | 0.20 | 0.13 | 33.30 | 3.000 | 0.006 | 0.016 | 36.40 |
| 1772 | 1.80 | 0.20 | 0.41 | 33.30 | 3.110 | 0.012 | 0.016 | 90.90 |
| 1773 | 1.80 | 0.20 | 0.70 | 30.70 | 3.090 | 0.014 | 0.016 | 122.90 |
References
- Meng, J.; Xu, Z.; Liu, Z.; Chen, S.; Wang, C.; Zhao, B.; Zhou, A. Experimental Study on the Mechanics, and Impact Resistance of Multiphase Lightweight Aggregate Concrete. Sustainability 2022, 14, 9606. [Google Scholar] [CrossRef]
- Bari, H.; Safiuddin, M.; Salam, M.A. Microstructure of Structural Lightweight Concrete Incorporating Coconut Shell as a Partial Replacement of Brick Aggregate, and Its Influence on Compressive Strength. Sustainability 2021, 13, 7157. [Google Scholar] [CrossRef]
- Kwek, S.Y.; Awang, H. Utilisation of Recycled Silt from Water Treatment and Palm Oil Fuel Ash as Geopolymer Artificial Lightweight Aggregate. Sustainability 2021, 13, 6091. [Google Scholar] [CrossRef]
- Alqahtani, F.K.; Abotaleb, I.S.; Harb, S. LEED Study of Green Lightweight Aggregates in Construction. Sustainability 2021, 13, 1395. [Google Scholar] [CrossRef]
- Parra, C.; Sánchez, E.M.; Miñano, I.; Benito, F.; Hidalgo, P. Recycled Plastic and Cork Waste for Structural Lightweight Concrete Production. Sustainability 2019, 11, 1876. [Google Scholar] [CrossRef] [Green Version]
- Solak, A.M.; Tenza-Abril, A.J.; Saval, J.M.; García-Vera, V.E. Effects of Multiple Supplementary Cementitious Materials on Workability and Segregation Resistance of Lightweight Aggregate Concrete. Sustainability 2018, 10, 4304. [Google Scholar] [CrossRef] [Green Version]
- Chen, H.-J.; Wu, K.-C.; Tang, C.-W.; Huang, C.-H. Engineering Properties of Self-Consolidating Lightweight Aggregate Concrete and Its Application in Prestressed Concrete Members. Sustainability 2018, 10, 142. [Google Scholar] [CrossRef] [Green Version]
- Kuchma, D.A.; Wei, S.; Sanders, D.H.; Belarbi, A.; Novak, L.C. Development of One-Way Shear Design Provisions of ACI 318–19 for Reinforced Concrete. ACI Struct. J. 2019, 116, 285–295. [Google Scholar] [CrossRef]
- Deifalla, A.F.; Mukhtar, F.M. Shear strength of lightweight and normal-weight concrete slender beams and slabs: An appraisal of design codes. Adv. Struct. Eng. 2022, 25, 13694332221098869. [Google Scholar] [CrossRef]
- Deifalla, A.; Awad, A.; AbdElrahman, A.A.; Seleem, H. Investigating the Behavior of Lightweight Foamed Concrete T-Beams under Torsion, shear, and Flexure. Eng. Struct. 2020, 219, 110741. [Google Scholar] [CrossRef]
- Deifalla, A.; Awad, A.; Seleem, H.; AbdElrahman, A. Experimental and numerical investigation of the behavior of LWFC L-girders under combined torsion and shear. Structures 2020, 26, 362–377. [Google Scholar] [CrossRef]
- ACI 213R–03; Guide for Structural Lightweight-Aggregate Concrete. ACI Committee 213 2014, American Concrete Institute: Farmington Hills, MI, USA, 2014.
- Deifalla, A. A strength and deformation model for prestressed lightweight concrete slabs under two-way shear. Adv. Struct. Eng. 2021, 24, 3144–3155. [Google Scholar] [CrossRef]
- Deifalla, A. Design of lightweight concrete slabs under two-way shear without shear reinforcements: A comparative study and a new model. Eng. Struct. 2020, 222, 111076. [Google Scholar] [CrossRef]
- Deifalla, A. Strength and Ductility of Lightweight Reinforced Concrete Slabs under Punching Shear. Structures 2020, 27, 2329–2345. [Google Scholar] [CrossRef]
- Deifalla, A. Torsion Design of Lightweight Concrete Beams without or with Fibers: A comparative study and a refined cracking torque formula. Structures 2020, 28, 786–802. [Google Scholar] [CrossRef]
- Alkhatib, S.; Deifalla, A. Reliability-based assessment and optimization for the two-way shear design of lightweight reinforced concrete slabs using the ACI and EC2. Case Stud. Constr. Mater. 2022, 17, e01209. [Google Scholar] [CrossRef]
- Kumar, A.; Arora, H.C.; Kapoor, N.R.; Mohammed, M.A.; Kumar, K.; Majumdar, A.; Thinnukool, O. Compressive Strength Prediction of Lightweight Concrete: Machine Learning Models. Sustainability 2022, 14, 2404. [Google Scholar] [CrossRef]
- Li, Y.; Zhang, Q.; KamiÑski, P.; Deifalla, A.; Sufian, M.; Dyczko, A.; Kahla, N.; Atig, M. Compressive Strength of Steel Fiber-Reinforced Concrete Employing Supervised Machine Learning Techniques. Materials 2022, 15, 4209. [Google Scholar] [CrossRef]
- Al-Zaidaneen, H.; Murad, Y.; Jaber, M.T.A.; Shatarat, N. Shear Strength of Light-Weight Reinforced Concrete Beams with Continuous Rectangular Spiral Reinforcement. Int. J. Civ. Eng. 2022, 20, 291–303. [Google Scholar] [CrossRef]
- Sarkhani Benemaran, R.; Esmaeili-Falak, M.; Javadi, A. Predicting resilient modulus of flexible pavement foundation using extreme gradient boosting based optimised models. Int. J. Pavement Eng. 2022, 9, 1–20. [Google Scholar] [CrossRef]
- Elhegazy, H.; Chakraborty, D.; Elzarka, H.; Ebid, A.M.; Mahdi, I.M.; Aboul Haggag, S.Y.; Abdel Rashid, I. Artificial Intelligence for Developing Accurate Preliminary Cost Estimates for Composite Flooring Systems of Multi-Storey Buildings. J. Asian Archit. Build. Eng. 2022, 21, 120–132. [Google Scholar] [CrossRef]
- Saberi-Movahed, F.; Najafzadeh, M.; Mehrpooya, A. Receiving More Accurate Predictions for Longitudinal Dispersion Coefficients in Water Pipelines: Training Group Method of Data Handling Using Extreme Learning Machine Conceptions. Water Resour. Manag. 2020, 34, 529–561. [Google Scholar] [CrossRef]
- Baltacıoğlu, A.K.; Öztürk, B.A.K.İ.; Civalek, Ö.M.E.R.; Akgöz, B.E.K.İ.R. Is artificial neural network suitable for damage level determination of rc-structures? Int. J. Eng. Appl. Sci. 2010, 2, 71–81. [Google Scholar]
- Baltacıoğlu, A.K.; Yavaş, A.; Civalek, Ö.; Öztürk, B.; Akgöz, B. Using of Fuzzy Logic Based Expert Systems for Fast Damage Determination of Structures After Earthquake. J. Balıkesir Univ. Inst. Sci. 2010, 12, 65–74. [Google Scholar]
- Khan, M.A.; Aslam, F.; Javed, M.F. New prediction models for the compressive strength and dry-thermal conductivity of bio-composites using novel machine learning algorithms. J. Clean. Prod. 2022, 350, 131364, ISSN 0959-6526. [Google Scholar] [CrossRef]
- Salem, N.M.; Deifalla, A. Evaluation of the Strength of Slab-Column Connections with FRPs Using Machine Learning Algorithms. Polymers 2022, 14, 1517. [Google Scholar] [CrossRef]
- Shen, Z.; Deifalla, A.F.; Kamiński, P.; Dyczko, A. Compressive Strength Evaluation of Ultra-High-Strength Concrete by Machine Learning. Materials 2022, 15, 3523. [Google Scholar] [CrossRef]
- Deifalla, A.; Salem, N. A Machine Learning Model for Torsion Strength of Externally Bonded FRP-Reinforced Concrete Beams. Polymers 2022, 14, 1824. [Google Scholar] [CrossRef]
- Ebid, A.; Deifalla, A. Using Artificial Intelligence Techniques to Predict Punching Shear Capacity of Lightweight Concrete Slabs. Materials 2022, 15, 2732. [Google Scholar] [CrossRef]
- Ebid, A.M.; Deifalla, A. Prediction of Shear Strength of FRP Reinforced Beams with and without Stirrups Using (GP) Technique. Ain Shams Eng. J. 2021, 12, 2493–2510. [Google Scholar] [CrossRef]
- Ahmad, S.; Bhargava, P. Shear Strength Models for Reinforced Concrete Slender Beams: A Comparative Study. Structures 2018, 16, 119–128. [Google Scholar] [CrossRef]
- Ahmad, S.H.; Xie, Y.; Yu, T. Shear Ductility of Reinforced Lightweight Concrete Beams of Normal Strength and High Strength Concrete. Cem. Concr. Compos. 1995, 17, 147–159. [Google Scholar] [CrossRef]
- Chung, S.Y.; Abd Elrahman, M.; Kim, J.S.; Han, T.S.; Stephan, D.; Sikora, P. Comparison of lightweight aggregate and foamed concrete with the same density level using image-based characterizations. Constr. Build. Mater. 2019, 211, 988–999. [Google Scholar] [CrossRef]
- Clarke, J.L. Shear strength of lightweight aggregate concrete beams: Design to BS 8l10. Mag. Concr. Res. 1987, 39, 205–213. [Google Scholar] [CrossRef]
- Don, L.L.; Buth, E. Shear Capacity of Lightweight Concrete Beams. ACI J. Proc. 1967, 64, 634–643. [Google Scholar]
- Greene, G.; Graybeal, B.A. Lightweight Concrete: Development of Mild Steel in Tension. Technical Brief No. FHWA-HRT-14-030; Federal Highway Administration: Washington, DC, USA, 2014.
- Greene, G.; Graybeal, B. Lightweight Concrete: Mechanical Properties. Report No. FHWA-HRT-13-062; Federal Highway Administration: Washington, DC, USA, 2013.
- Greene, G.; Graybeal, B. Lightweight Concrete: Shear Performance,” Report No. FHWA-HRT-15-022; Federal Highway Administration: Washington, DC, USA, 2015.
- Hanson, J.A. Shear strength of lightweight reinforced concrete beams. J. Proc. 1958, 55, 387–403. [Google Scholar]
- Hanson, J.W. Tensile strength and diagonal tension resistance of structural lightweight concrete. J. Proc. 1961, 58, 1–40. [Google Scholar]
- Huang, C.H.; Chen, L.H.; Kan, Y.C.; Wu, C.H.; Yen, T. Shear Behavior of Full Size Reinforced Lightweight Concrete Beam. Ph.D. Thesis, Dahan Institute of Technology, Hualien, Taiwan, 2011; 4p. Available online: http://ir.lib.cyut.edu.tw:8080/bitstream/310901800/10896/1/18.pdf (accessed on 2 September 2022).
- Juan, K.Y. Cracking Mode and Shear Strength of Lightweight Concrete Beams. Ph.D. Thesis, National University of Singapore, Singapore, 2011. [Google Scholar]
- Kang, T.H.; Kim, W.; Kwak, Y.K.; Hong, S.G. Shear testing of steel fiber-reinforced lightweight concrete beams without web reinforcement. ACI Struct. J. 2011, 108, 553. [Google Scholar]
- Kassem, W. Non-linear analysis of shear-critical reinforced concrete beams using the softened membrane model. Struct. Concr. 2015, 16, 524–536. [Google Scholar] [CrossRef]
- Khafaga, M.A. Shear Behavior of Reduced Weight Reinforced Concrete Beams. J. Eng. Sci. 2012, 40, 121–146. [Google Scholar] [CrossRef]
- Kum, Y.J.; Wee, T.H.; Mansur, M.A. Shear Strength of Lightweight Concrete One-Way Slabs. In Proceedings of the 32nd Conference on Our World In Concrete & Structures, Singapore, 28–29 August 2007. [Google Scholar]
- Nawaz, W.; Abdalla, J.A.; Hawileh, R.A.; Alajmani, H.S.; Abuzayed, I.H.; Ataya, H.; Mohamed, H.A. Experimental study on the shear strength of reinforced concrete beams cast with Lava lightweight aggregates. Arch. Civ. Mech. 2019, 19, 981–996. [Google Scholar] [CrossRef]
- Ragab, A.; Helal, K.; Elwan, S.; Khalil, A. Shear Behavior of Structural Lightweight Concrete Beams. Al-Azhar Univ. Civ. Eng. Res. Mag. 2017, 39, 1. [Google Scholar]
- Ramirez, J.; Olek, J.; Rolle, E.; Malone, B. Performance of Bridge Decks and Girders with Lightweight Aggregate Concrete, v 1 of 2. Publication FHWA/IN/JTRP-98/17; Joint Transportation Research Program: Indiana Department of Transportation and Purdue University: West Lafayette, IN, USA, 2000. [Google Scholar] [CrossRef] [Green Version]
- Ramirez, J.A.; Olek, J.; Rolle, E.J.; Malone, B.J. Performance of Bridge Decks and Girders with Lightweight Aggregate Concrete, v. 2 of 2. Publication FHWA/IN/JTRP-98/17-2; Joint Transportation Research Program: Indiana Department of Transportation and Purdue University: West Lafayette, IN, USA, 2000. [Google Scholar] [CrossRef] [Green Version]
- Rashid, K.H. Diagonal Tension Resistance of Structural Lightweight Aggregate Concrete Beams. Ph.D. Thesis, Texas A&M University, College Station, TX, USA, 1966. [Google Scholar]
- Ritthichauy, W. Shear tests on reinforced lightweight aggregate concrete beams without web reinforcement. Concr. J. 2001, 23, 937–942. [Google Scholar]
- Sagaseta, J. The influence of aggregate fracture on the shear strength of reinforced concrete beams: An experimental and analytical research project. Struct. Concr. 2013, 14, 401–414. [Google Scholar] [CrossRef]
- Salandra, M.A.; Ahmad, S.H. Shear capacity of reinforced lightweight high-strength concrete beams. Struct. J. 1989, 86, 697–704. [Google Scholar]
- Shoaib, A.; Lubell, A.S.; Bindiganavile, V.S. Shear response of lightweight steel fiber reinforced concrete members without stirrups. Mater. Struct. 2015, 48, 3141–3157. [Google Scholar] [CrossRef]
- Ahmad, S.H.; Rafeeqi, S.F.A.; Fareed, S. Shear strength of normal and light weight reinforced concrete slender beams without web reinforcement. J. Emerg. Trends Eng. Appl. Sci. 2011, 2, 967–971. [Google Scholar] [CrossRef]
- Swamy, R.N.; Jones, R.; Chiam, A.T. Influence of steel fibers on the shear resistance of lightweight concrete I-beams. ACI Struct. J. 1993, 90, 103–114. [Google Scholar]
- Tang, C.W.; Yen, T.; Chen, H.J. Shear behavior of reinforced concrete beams made with sedimentary lightweight aggregate without shear reinforcement. J. Mater. Civ. Eng. 2009, 21, 730–739. [Google Scholar] [CrossRef]
- Vakilia, S.E.; Homamia, P.; Reza Esfahanib, R.M. Effect of fibers and hybrid fibers on the shear strength of lightweight concrete beams reinforced with GFRP bars. Structures 2019, 20, 290–297. [Google Scholar] [CrossRef]
- Walraven, J.; Belletti, B.; Esposito, R. Shear capacity of normal, lightweight & high-strength concrete beams according to MC2010: Part, I. J. Struct. Eng. 2013, 139, 1593–1599. [Google Scholar] [CrossRef]
- Walraven, J.; Belletti, B.; Esposito, R. Shear capacity of normal, lightweight & high-strength concrete beams according to MC2010: Part II. J. Struct. Eng. 2013, 139, 1600–1607. [Google Scholar] [CrossRef]
- Wessam, A.M. Shear of Structural Lightweight Concrete Beams. Master’s Thesis, Ain Shams University, Cairo, Egypt, 2012. [Google Scholar]
- Yang, K.-H.; Sim, J.; Choi, B.; Lee, E. Effect of Aggregate Size on Shear Behavior of Lightweight Concrete Continuous Slender Beams. ACI Mater. J. 2011, 108, 501. [Google Scholar]
- Zaher, A.H.; Montaser, W.M.; Elshenawy, A.K. Shear Behavior of Light Weight Concrete T –Beams. Int. J. Emerg. Technol. Adv. Eng. 2015, 5, 12. [Google Scholar]
- Chakraborty, D.; Elzarka, H. Advanced machine learning techniques for building performance simulation: A comparative analysis. J. Build. Perform. Simulationthis 2019, 12, 193–207. [Google Scholar] [CrossRef]













| Gs | B | d | fc’ | a/d | ρ | da | Vu | |
|---|---|---|---|---|---|---|---|---|
| – | (m) | (m) | (MPa) | – | – | (m) | (kN) | |
| The First Set for Training | ||||||||
| Minimum | 1.40 | 0.05 | 0.06 | 6.00 | 0.52 | 0.00 | 0.00 | 7.23 |
| Maximum | 2.40 | 1.00 | 1.89 | 194.00 | 9.05 | 0.07 | 0.05 | 299.12 |
| Average | 2.30 | 0.19 | 0.30 | 38.16 | 3.48 | 0.02 | 0.02 | 76.93 |
| Standard Deviation | 0.26 | 0.10 | 0.21 | 20.50 | 1.05 | 0.01 | 0.01 | 58.58 |
| Coefficient of Variation | 11% | 53% | 69% | 54% | 30% | 53% | 32% | 76% |
| The Second Set for Validation | ||||||||
| Minimum | 1.40 | 0.05 | 0.06 | 12.90 | 1.00 | 0.00 | 0.00 | 7.79 |
| Maximum | 2.40 | 0.61 | 1.92 | 116.00 | 8.10 | 0.07 | 0.04 | 289.84 |
| Average | 2.28 | 0.18 | 0.31 | 38.58 | 3.53 | 0.02 | 0.02 | 78.11 |
| Standard Deviation | 0.28 | 0.08 | 0.22 | 16.85 | 1.14 | 0.01 | 0.00 | 59.24 |
| Coefficient of Variation | 12% | 44% | 73% | 44% | 32% | 56% | 29% | 76% |
| Gs | b | d | fc’ | a/d | ρ | Da | Vu | |
|---|---|---|---|---|---|---|---|---|
| Gs | 1.00 | |||||||
| B | 0.12 | 1.00 | ||||||
| D | 0.16 | 0.35 | 1.00 | |||||
| fc’ | 0.09 | 0.09 | 0.00 | 1.00 | ||||
| a/d | 0.15 | −0.03 | −0.04 | −0.11 | 1.00 | |||
| ρ | 0.09 | −0.18 | −0.19 | 0.11 | 0.20 | 1.00 | ||
| da | 0.48 | 0.05 | 0.12 | −0.09 | 0.15 | 0.02 | 1.00 | |
| Vu | 0.17 | 0.71 | 0.71 | 0.21 | −0.15 | 0.01 | 0.09 | 1.00 |
| Technique | SSE | Avg. Error % | R2 |
|---|---|---|---|
| GP-model | 1,050,431 | 32.1 | 0.80 |
| ANN-model | 295,776 | 17.0 | 0.95 |
| EPR-model | 562,609 | 23.5 | 0.90 |
| ACI | 1,997,503 | 44.3 | 0.83 |
| EC2 | 3,652,703 | 59.9 | 0.84 |
| JSCE | 1,477,730 | 38.1 | 0.85 |
| Input | Hidden | Output. | |||||||
|---|---|---|---|---|---|---|---|---|---|
| (Bias) | Gs | b | d | fc’ | a/d | ρ | da | Vu | |
| −0.48 | −0.09 | −0.01 | −0.34 | 0.05 | 0.06 | 0.24 | −0.02 | H(1:1) | −2.22 |
| −1.09 | −0.13 | 1.13 | −0.12 | 0.43 | −0.86 | −1.01 | −0.06 | H(1:2) | 0.55 |
| −0.92 | 1.46 | −0.69 | 0.22 | −0.87 | −2.76 | −0.13 | −0.18 | H(1:3) | 1.29 |
| −0.12 | −0.84 | −0.11 | 0.90 | −0.79 | 0.53 | −0.51 | −0.21 | H(1:4) | 0.32 |
| −0.45 | 2.44 | 0.40 | 0.34 | 0.79 | 2.74 | 0.07 | 0.13 | H(1:5) | 2.14 |
| 2.39 | 0.18 | −0.53 | −0.61 | −0.38 | 1.03 | −0.32 | −0.21 | H(1:6) | −0.59 |
| 0.83 | −1.51 | 0.65 | −0.31 | 0.76 | 3.08 | 0.02 | 0.45 | H(1:7) | 1.12 |
| 0.27 | −0.06 | 0.17 | −0.43 | −0.24 | 0.08 | −0.21 | 0.23 | H(1:8) | 0.90 |
| −0.23 | −0.10 | 0.02 | −0.08 | −0.01 | 0.13 | 0.36 | −0.31 | H(1:9) | 2.04 |
| 0.25 | −0.08 | 0.25 | 0.24 | 0.21 | −0.19 | 0.22 | 0.14 | H(1:10) | 1.84 |
| −3.64 | −2.17 | 0.63 | 0.49 | −0.06 | −0.17 | −0.54 | 0.74 | H(1:11) | −0.55 |
| −0.15 | 1.61 | 0.35 | 0.41 | 0.70 | 2.73 | 0.04 | 0.30 | H(1:12) | −2.01 |
| 1.11 | −1.37 | −0.35 | −0.76 | 0.79 | 0.06 | −0.21 | 0.07 | H(1:13) | 0.38 |
| −0.13 | 2.04 | 0.16 | −0.27 | 0.48 | −0.49 | −1.35 | 1.46 | H(1:14) | 0.27 |
| −0.96 | 0.34 | 0.74 | −0.24 | 0.19 | −0.36 | −0.64 | −0.15 | H(1:15) | −0.93 |
| (Bias) | −2.00 | ||||||||
| Measure | ANN | GP | EPR | ACI | EC2 | JSCE |
|---|---|---|---|---|---|---|
| Minimum | 0.41 | 0.21 | 0.36 | 0.34 | 0.54 | 0.36 |
| Mean | 1.01 | 0.96 | 1.03 | 1.56 | 2.07 | 1.45 |
| Maximum | 3.12 | 4.27 | 17.28 | 9.93 | 12.67 | 9.55 |
| Cofficient of Variation | 23% | 40% | 57% | 45% | 51% | 52% |
| 95% Lower Limit | 1.00 | 0.94 | 1.00 | 1.53 | 2.02 | 1.41 |
Publisher’s Note: MDPI stays neutral with regard to jurisdictional claims in published maps and institutional affiliations. |
© 2022 by the authors. Licensee MDPI, Basel, Switzerland. This article is an open access article distributed under the terms and conditions of the Creative Commons Attribution (CC BY) license (https://creativecommons.org/licenses/by/4.0/).
Share and Cite
Ebid, A.M.; Deifalla, A.F.; Mahdi, H.A. Evaluating Shear Strength of Light-Weight and Normal-Weight Concretes through Artificial Intelligence. Sustainability 2022, 14, 14010. https://doi.org/10.3390/su142114010
Ebid AM, Deifalla AF, Mahdi HA. Evaluating Shear Strength of Light-Weight and Normal-Weight Concretes through Artificial Intelligence. Sustainability. 2022; 14(21):14010. https://doi.org/10.3390/su142114010
Chicago/Turabian StyleEbid, Ahmed M., Ahmed Farouk Deifalla, and Hisham A. Mahdi. 2022. "Evaluating Shear Strength of Light-Weight and Normal-Weight Concretes through Artificial Intelligence" Sustainability 14, no. 21: 14010. https://doi.org/10.3390/su142114010
APA StyleEbid, A. M., Deifalla, A. F., & Mahdi, H. A. (2022). Evaluating Shear Strength of Light-Weight and Normal-Weight Concretes through Artificial Intelligence. Sustainability, 14(21), 14010. https://doi.org/10.3390/su142114010

