Effect of Mooring Parameters on Dynamic Responses of a Semi-Submersible Floating Offshore Wind Turbine
Abstract
:1. Introduction
2. Methodology
2.1. Aerodynamic Loads
2.2. Wave Loads
2.3. Current Loads
2.4. Mooring Loads
2.5. Equation of Motion in the Time Domain
3. Description of the New-Type Semi-Submersible FOWT
3.1. The Semi-Submersible Floating Platform
3.2. The Mooring System
3.3. The Wind Turbine
4. Results and Discussion
4.1. Static Stiffness Characteristics of the Mooring System
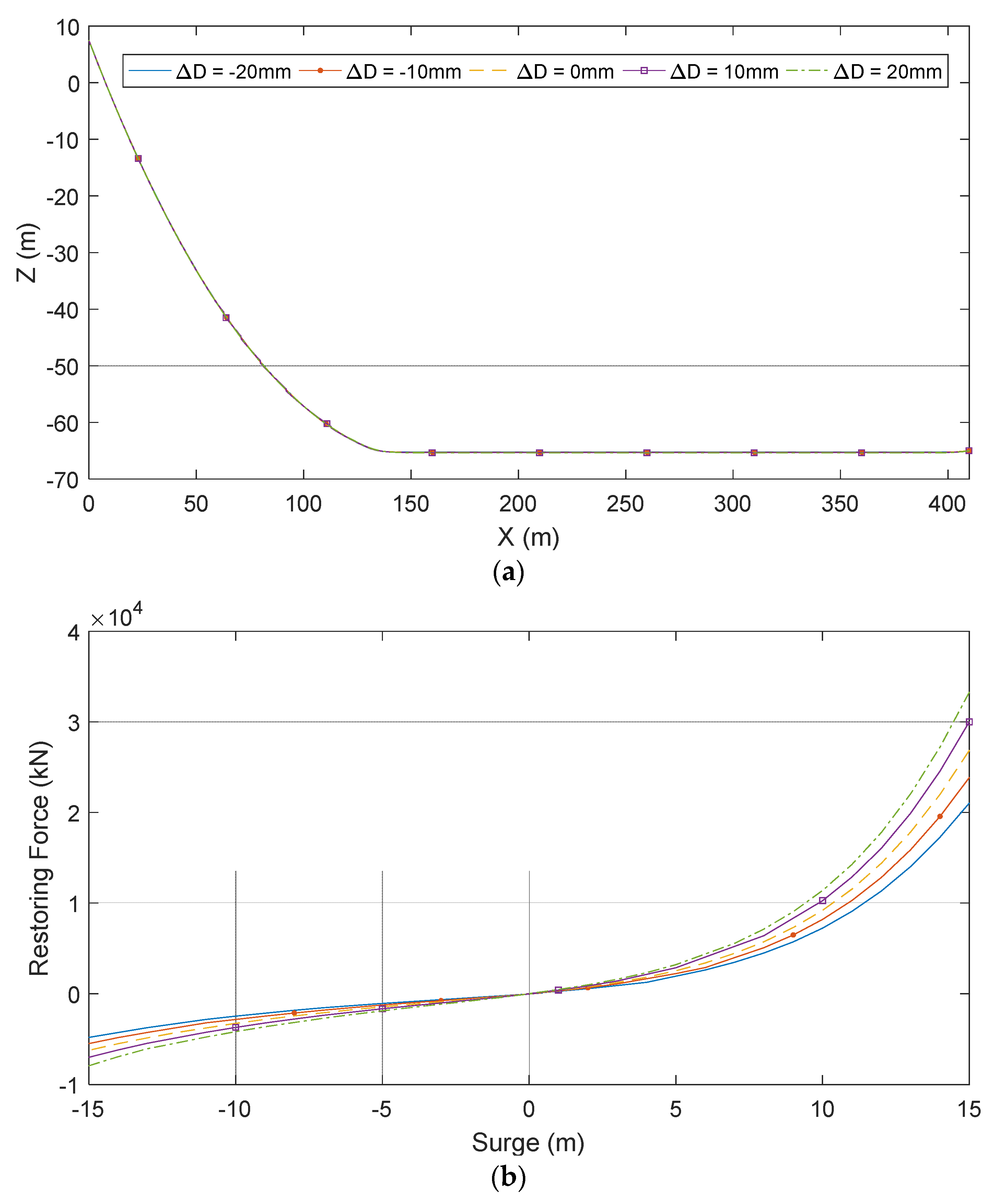
4.1.1. Effect of Mooring Line Diameter on Mooring Stiffness
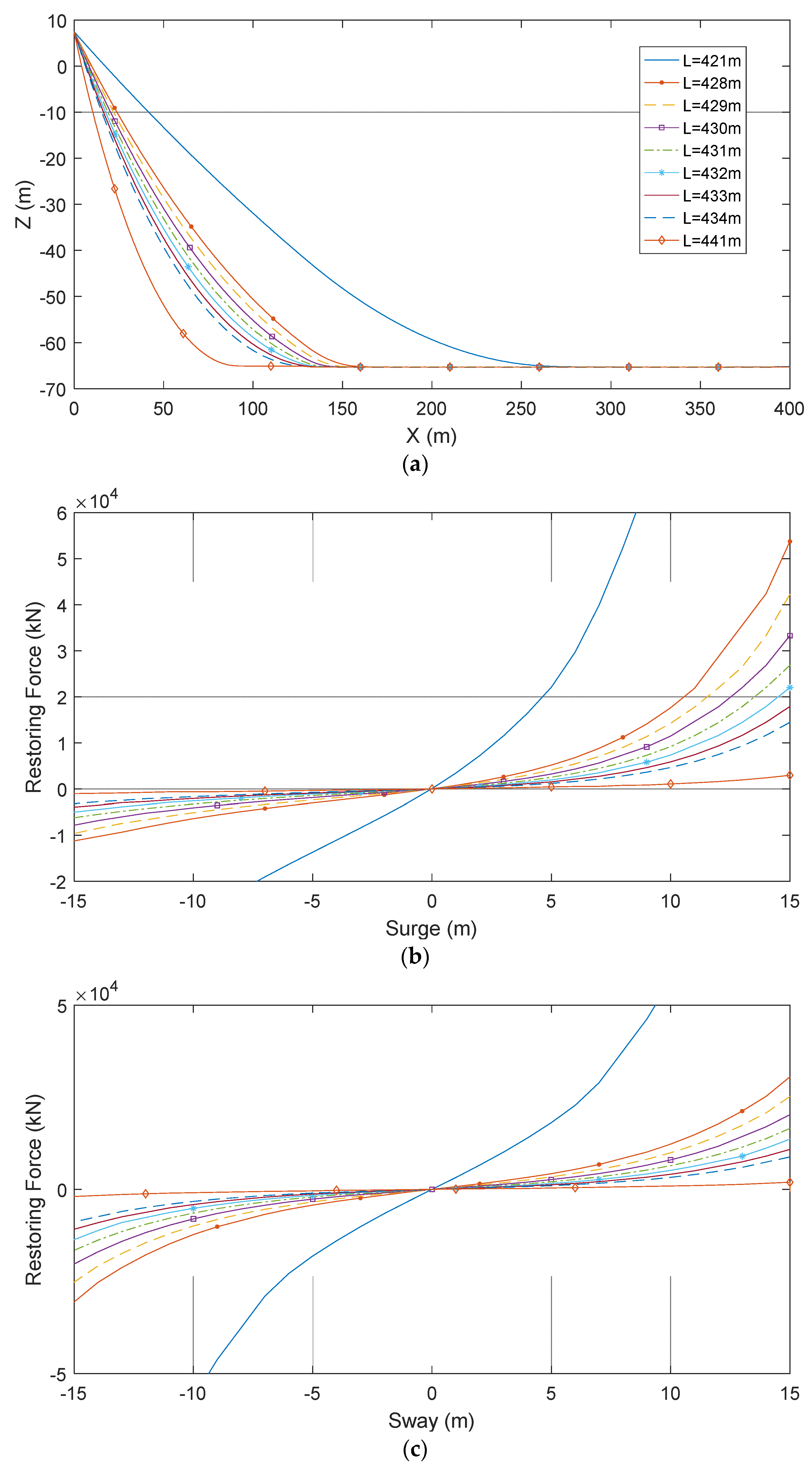
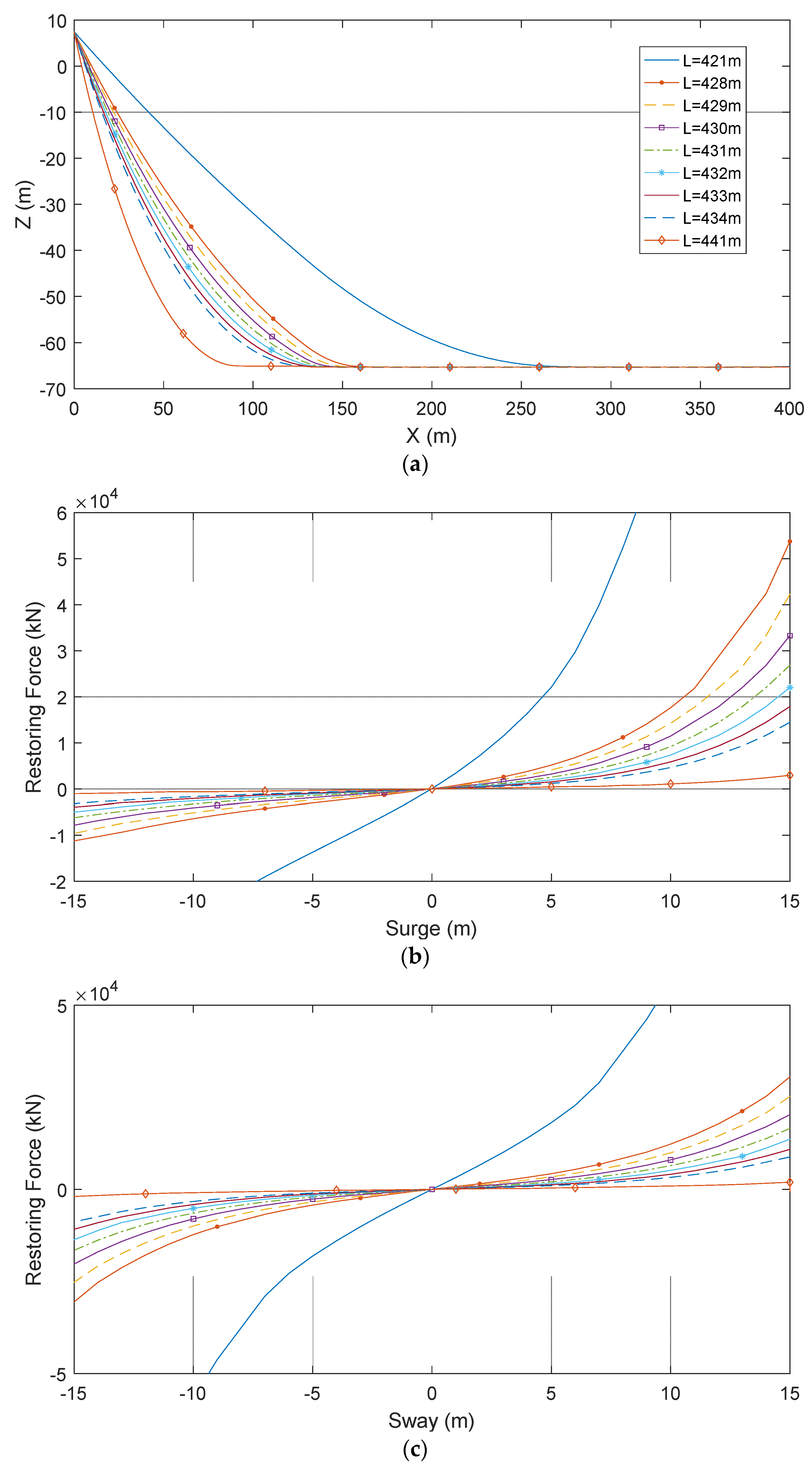
4.1.2. Effect of Mooring Line Length on Mooring Stiffness
4.2. Dynamic Response Analysis of the Wind Turbine System
4.2.1. Free Decay Tests
4.2.2. Environmental Conditions and Simulation Results
4.2.3. Effect of Mooring line Diameter on Dynamic Response
4.2.4. Effect of Mooring Line Length on Dynamic Response
5. Conclusions
Author Contributions
Funding
Institutional Review Board Statement
Informed Consent Statement
Data Availability Statement
Conflicts of Interest
References
- Zhang, Y.; Zhang, Z.; Zheng, J.; Zhang, J.; Zheng, Y.; Zang, W.; Lin, X.; Fernandez-Rodriguez, E. Experimental investigation into effects of boundary proximity and blockage on horizontal-axis tidal turbine wake. Ocean Eng. 2021, 225, 108829. [Google Scholar] [CrossRef]
- Zhang, Y.; Zhang, J.; Lin, X.; Wang, R.; Zhang, C.; Zhao, J. Experimental investigation into downstream field of a horizontal axis tidal stream turbine supported by a mono pile. Appl. Ocean. Res. 2020, 101, 102257. [Google Scholar] [CrossRef]
- Zhang, Y.; Zang, W.; Zheng, J.; Cappietti, L.; Zhang, J.; Zheng, Y.; Fernandez-Rodriguez, E. The influence of waves propagating with the current on the wake of a tidal stream turbine. Appl. Energy 2021, 290, 116729. [Google Scholar] [CrossRef]
- Mirsane, R.S.; Farschad, T. An innovative method of investigating the wind turbine’s inflow speed in a wind farm due to the multiple wake effect issue. Energy Convers. Manag. 2022, 269, 116077. [Google Scholar] [CrossRef]
- De Cillis, G.; Cherubini, S.; Semeraro, O.; Leonardi, S.; De Palma, P. The influence of incoming turbulence on the dynamic modes of an NREL-5MW wind turbine wake. Renew. Energy 2022, 183, 601–616. [Google Scholar] [CrossRef]
- Qu, X.; Li, Y.; Tang, Y.; Hu, Z.; Zhang, P.; Yin, T. Dynamic response of spar-type floating offshore wind turbine in freak wave considering the wave-current interaction effect. Appl. Ocean Res. 2020, 100, 102178. [Google Scholar] [CrossRef]
- Li, H.; Bachynski-Polić, E.E. Validation and application of nonlinear hydrodynamics from CFD in an engineering model of a semi-submersible floating wind turbine. Mar. Struct. 2021, 79, 103054. [Google Scholar] [CrossRef]
- Jiang, Z.; Wen, B.; Chen, G.; Xiao, L.; Li, J.; Peng, Z.; Tian, X. Feasibility studies of a novel spar-type floating wind turbine for moderate water depths: Hydrodynamic perspective with model test. Ocean Eng. 2021, 233, 109070. [Google Scholar] [CrossRef]
- Zhang, J.; Li, Y.; Tang, Y.; Qu, X.; Huang, J. Analysis on dynamic response of new type reduced draft floating foundation wind turbine. Acta Energ. Sol. Sin. 2021, 42, 378–383. (In Chinese) [Google Scholar]
- El Beshbichi, O.; Xing, Y.; Ong, M.C. Dynamic analysis of two-rotor wind turbine on spar-type floating platform. Ocean Eng. 2021, 236, 109441. [Google Scholar] [CrossRef]
- Ren, Y.; Venugopal, V.; Shi, W. Dynamic analysis of a multi-column TLP floating offshore wind turbine with tendon failure scenarios. Ocean Eng. 2022, 245, 110472. [Google Scholar] [CrossRef]
- Hsu, W.; Thiagarajan, K.P.; Manuel, L. Extreme mooring tensions due to snap loads on a floating offshore wind turbine system. Mar. Struct. 2017, 55, 182–199. [Google Scholar] [CrossRef]
- Bae, Y.H.; Kim, M.H.; Kim, H.C. Performance changes of a floating offshore windturbine with broken mooring line. Renew. Energy 2017, 101, 364–375. [Google Scholar] [CrossRef]
- Li, Y.; Zhu, Q.; Liu, L. Transient response of a SPAR-type floating offshore wind turbine with fractured mooring lines. Renew. Energy 2018, 122, 576–588. [Google Scholar] [CrossRef]
- Yang, Y.; Bashir, M.; Michailides, C.; Mei, X.; Wang, J.; Li, C. Coupled analysis of a 10 MW multi-body floating offshore wind turbine subjected to tendon failures. Renew. Energy 2021, 176, 89–105. [Google Scholar] [CrossRef]
- Ferri, G.; Marino, E.; Bruschi, N.; Borri, C. Platform and mooring system optimization of a 10 MW semisubmersible offshore wind turbine. Renew. Energy 2022, 182, 1152–1170. [Google Scholar] [CrossRef]
- Ghafari, H.; Dardel, M. Parametric study of catenary mooring system on the dynamic response of the semi-submersible platform. Ocean Eng. 2018, 153, 319–332. [Google Scholar] [CrossRef]
- Wu, J.T.; Chen, J.H.; Hsin, C.Y.; Chiu, F.C. Dynamics of the FKT system with different mooring lines. Pol. Marit. Res. 2019, 26, 20–29. [Google Scholar] [CrossRef] [Green Version]
- Ali, M.O.A.; Ja’e, I.A.; Hwa, M.G.Z. Effects of water depth, mooring line diameter and hydrodynamic coefficients on the behaviour of deepwater FPSOs. Ain Shams Eng. J. 2020, 11, 727–739. [Google Scholar]
- Huang, W.H.; Yang, R.Y. Water depth variation influence on the mooring line design for FOWT within shallow water region. J. Mar. Sci. Eng. 2021, 9, 409. [Google Scholar] [CrossRef]
- Ja’e, I.A.; Ali, M.O.A.; Yenduri, A.; Nizamani, Z.; Nakayama, A. Optimisation of mooring line parameters for offshore floating structures: A review paper. Ocean Eng. 2022, 247, 110644. [Google Scholar]
- China Classification Society. Guidance Notes of the Floating Offshore Wind Turbine Platform; GD29-2021; China Classification Society: Beijing, China, 2021. (In Chinese) [Google Scholar]
- Li, H.; Zhang, K.; Dong, Y. Sensitivity analysis of dynamic response parameters of offshore floating wind turbine. Hydropower New Energy 2022, 36, 23–29. (In Chinese) [Google Scholar]
- Zhao, Z.; Fan, L.; Kuang, X.; Zhou, S.; Cheng, H. Experimental research on coupling dynamic response of semi-submersible floating offshore wind turbine. Shipbuild. China 2022, 63, 198–206. (In Chinese) [Google Scholar]
- Jonkman, J.; Butterfield, S.; Musial, W.; Scott, G. Definition of a 5-MW Reference Wind Turbine for Offshore System Development; No. NREL/TP-500-38060; National Renewable Energy Lab. (NREL): Golden, CO, USA, 2009. [Google Scholar]
- Zhang, P.; Li, Y.; Tang, Y.; Zhang, R.; Qu, X. Study on the Dynamic Behaviours of an Articulated Offshore Wind Turbine under the Severe Sea State. In Proceedings of the 9th Conference on Computational Methods in Marine Engineering (Marine 2021), Online, 2–4 June 2021. [Google Scholar]
- Xu, S. Mooring Design and Analysis for Offshore Platforms and Wave Energy Converters. Ph.D. Thesis, University of Lisbon, Lisbon, Portugal, 2021. [Google Scholar]
















| Parameter | Value |
|---|---|
| Total length | 71.96 m |
| Total width | 80.0 m |
| Molded depth | 33.0 m |
| Column diameter/spacing | 13.0 m/60.0 m |
| Pontoon width/height | 14.0 m/3.5 m |
| Heave plate diameter/height | 20.0 m/3.5 m |
| Square cross brace length/width/height | 47 m/3.5 m/3.5 m |
| Draft | 18 m |
| Weight | 5621.066 t |
| Component | S1 (Lowest) | S2 (Middle) | S3 (Upper) |
|---|---|---|---|
| Level | M2 | R3 | R3S |
| Nominal Diameter (mm) | 208 | 122 | 122 |
| Length (m) | 280 | 131 | 20 |
| Dry weight (kg/m) | 861 | 296.2 | 296.2 |
| Minimum broken tension (kN) | 24,140 | 11,365 | 12,690 |
| Axial stiffness (N) | 3.69 × 109 | 1.27 × 109 | 1.27 × 109 |
| DOF | Natural Period (s) |
|---|---|
| Surge | 53.33 |
| Heave | 24.25 |
| Pitch | 26.43 |
Publisher’s Note: MDPI stays neutral with regard to jurisdictional claims in published maps and institutional affiliations. |
© 2022 by the authors. Licensee MDPI, Basel, Switzerland. This article is an open access article distributed under the terms and conditions of the Creative Commons Attribution (CC BY) license (https://creativecommons.org/licenses/by/4.0/).
Share and Cite
Liu, B.; Yu, J. Effect of Mooring Parameters on Dynamic Responses of a Semi-Submersible Floating Offshore Wind Turbine. Sustainability 2022, 14, 14012. https://doi.org/10.3390/su142114012
Liu B, Yu J. Effect of Mooring Parameters on Dynamic Responses of a Semi-Submersible Floating Offshore Wind Turbine. Sustainability. 2022; 14(21):14012. https://doi.org/10.3390/su142114012
Chicago/Turabian StyleLiu, Baolong, and Jianxing Yu. 2022. "Effect of Mooring Parameters on Dynamic Responses of a Semi-Submersible Floating Offshore Wind Turbine" Sustainability 14, no. 21: 14012. https://doi.org/10.3390/su142114012
APA StyleLiu, B., & Yu, J. (2022). Effect of Mooring Parameters on Dynamic Responses of a Semi-Submersible Floating Offshore Wind Turbine. Sustainability, 14(21), 14012. https://doi.org/10.3390/su142114012
