Evaluation of a Long-Term Thermal Load on the Sealing Characteristics of Potential Sediments for a Deep Radioactive Waste Disposal
Abstract
1. Introduction
2. Description of the Experiments, the Sampling and the Analytical Methods
2.1. The In Situ Experiment in the Opalinus Clay of the Mont-Terri Rock Laboratory
2.2. The Batch Experiment of the Boom Clay
2.3. The Analytical Methods
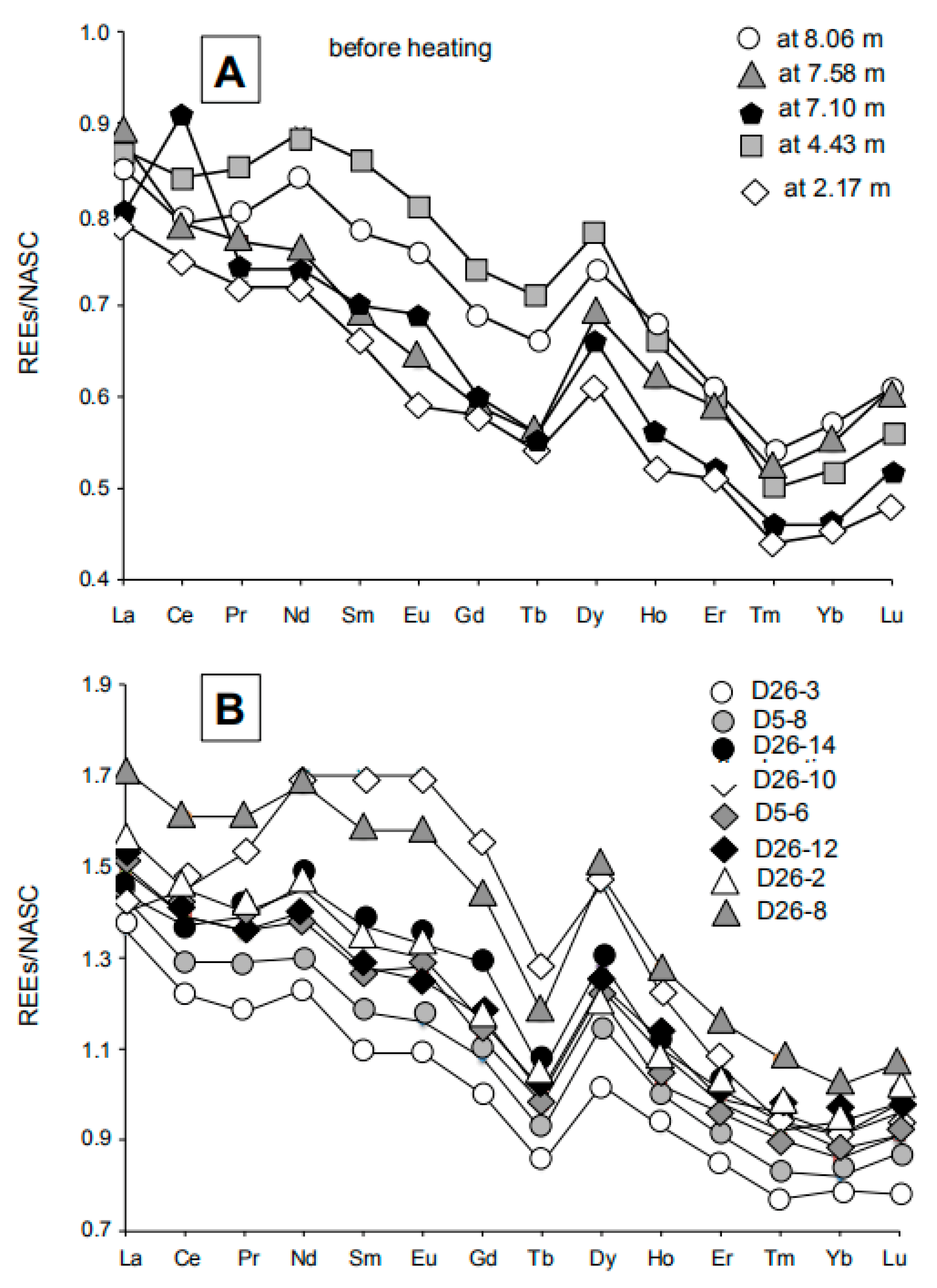
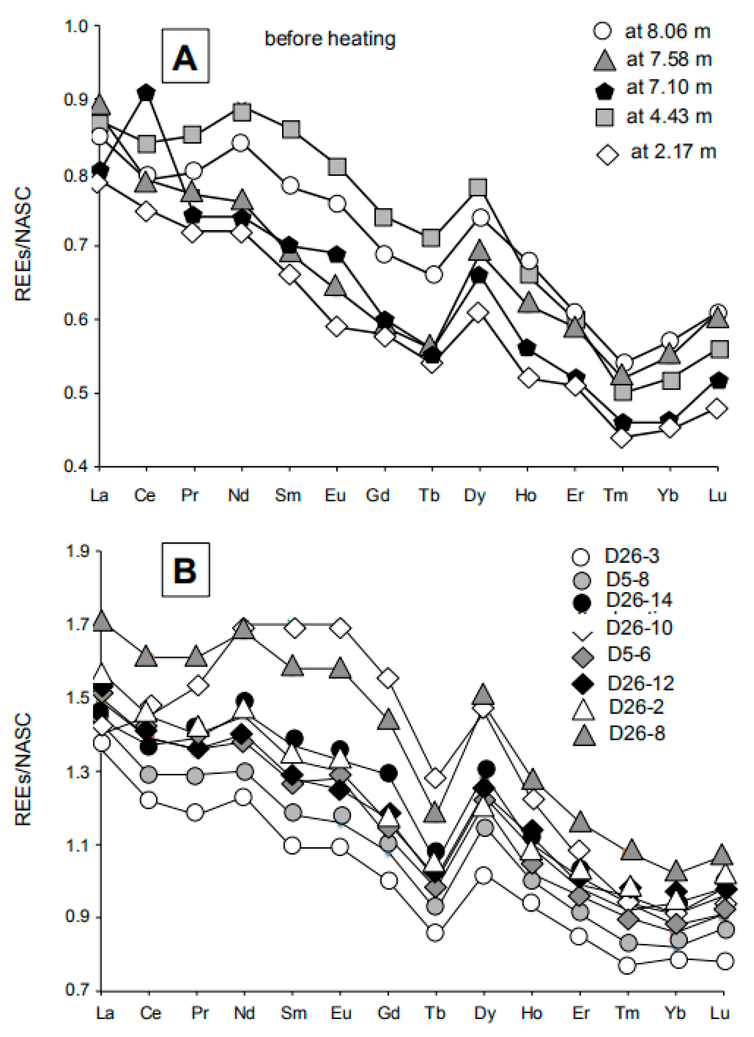
3. Results
3.1. The Characteristics of the Reference Opalinus Clay Material
3.2. The Characteristics of the Heated Opalinus Clay Formation
3.3. The Results on the Boom Clay
4. Discussion
4.1. The Changes in the Opalinus Clay
4.2. The Changes in the Boom Clay
4.3. To Which Extent Did the Artificial Temperature Impact the Studied Material?
5. Conclusions
Author Contributions
Funding
Institutional Review Board Statement
Informed Consent Statement
Data Availability Statement
Acknowledgments
Conflicts of Interest
References
- De Craen, M.; Wang, L.; Van Geet, M.; Moors, H. Geochemistry of Boom Clay pore water at the Mol site. In Scientific Report SCK-CEN, Blg 990; Waste & Disposal Department SCK-CEN: Mol, Belgium, 2004; 178p. [Google Scholar]
- Techer, I.; Clauer, N.; Liewig, N. Aging effect on the mineral and chemical composition of Opalinus Clays (Mont Terri, Switzerland) after excavation and surface storage. Appl. Geochem. 2009, 24, 2000–2014. [Google Scholar] [CrossRef]
- Anon, 2001 Anon. In Progress Report on Feasibility Studies and Research into Deep Geological Disposal of High-Level, Long-Lived Waste; Agence Nationale pour la Gestion des Déchets Radioactifs (ANDRA): Châtenay-Malabry, France, 2001.
- Bossart, P.; Meier, P.M.; Möri, A.; Trick, T. Geological and hydraulic characterisation of the excavation disturbed zone in the Opalinus Clay of the Mont Terri Rock Laboratory. Eng. Geol. 2002, 66, 19–38. [Google Scholar] [CrossRef]
- Meier, P.M.; Trick, T.; Blümling, P.; Volckaert, G. Self-healing of fractures within the EDZ at the Mont Terri Rock Laboratory: Results after one year of experimental work. In Proceedings of the International Workshop on Geomechanics, Hydromechanical and Thermohydro-Mechanical Behaviour of Deep Argillaceous Rocks: Theory and Experiment, Paris, France, 11–12 October 2002; pp. 267–274. [Google Scholar]
- Alheid, H.J. Lessons learned in indurated clays. In Impact of the Excavation Disturbed or Damaged Zone (EDZ) on the Performance of Radioactive Waste Geological Repositories, Proceedings of the European Commission CLUSTER Conference, Luxembourg, 3–5 November 2003; Publications Office of the European Union: Luxembourg, 2003. [Google Scholar]
- Charpentier, D.; Cathelineau, M.; Mosser-Ruck, R.; Bruno, G. Evolution minéralogique des argillites en zone sous-saturée oxydée: Exemple des parois du tunnel de Tournemire (Aveyron, France). Earth Planet. Sci. Lett. 2001, 332, 601–607. [Google Scholar]
- Matray, M.; Savoye, S.; Cabrera, J. Desaturation and structure relationships around drifts excavated in the well-compacted Tournemire’s argillite (Aveyron, France). Eng. Geol. 2007, 90, 1–16. [Google Scholar] [CrossRef]
- Mayor, J.C.; Velasco, M.; Garcia-Sineriz, J.L. Ventilation experiment in the Mont Terri underground laboratory. Phys. Chem. Earth A/B/C 2007, 32, 616–628. [Google Scholar] [CrossRef]
- Horseman, S.T. Self-healing of fractures in argillaceous media from the geomechanical point of view. In Proceedings of the Topical Session on Self-healing, Nancy, France, 16 May 2001. [Google Scholar]
- Pepper, D.W.; Chen, Y. Heat transfer analysis of nuclear waste casks stored in the Yucca Mountain repository. Numer. Heat Transf. 2005, 47, 671–690. [Google Scholar] [CrossRef]
- Finsterle, S.; Muller, R.A.; Baltzer, R.; Payer, J.; Rector, J.W. Thermal evolution near heat-generating nuclear waste canisters disposed in horizontal drill-holes. Energies 2019, 12, 596–619. [Google Scholar] [CrossRef]
- Wileveau, Y.; Rothfuchs, T. HE-D Experiment: Test Plan. In Mont Terri Project, Technical Note 2004-20, Sept. 2003.
- Zhang, C.-L.; Rothfuchs, T.; Su, K.; Hoteit, N. Experimental study of the thermo-hydro-mechanical behaviour of indurated Clays. In Proceedings of the 2nd International Meeting of Clays in Natural & Engineered Barriers for Radioactive Waste Confinement, Tours, France, 14–18 March 2005. [Google Scholar]
- Lorant, F.; Largeau, C.; Behar, F.; De Cannière, P. Improved kinetic modeling of the early generation of CO2 from the Boom Clay kerogen. Implications for simulation of CO2 production upon disposal of high activity nuclear waste. Org. Geochem. 2008, 39, 1294–1301. [Google Scholar] [CrossRef]
- Deniau, I.; Behar, F.; Largeau, C.; De Canniere, P.; Beaucaire, C.; Pitsch, H. Determination of kinetic parameters and simulation of early CO2 production from the Boom Clay kerogen under low thermal stress. Appl. Geochem. 2005, 20, 2097–2107. [Google Scholar] [CrossRef]
- Deniau, I.; Derenne, S.; Beaucaire, C.; Pitsch, H.; Largeau, C. Simulation of thermal stress influence on the Boom Clay kerogen (Oligocene, Belgium) in relation to long-term storage of high activity nuclear waste—I. Study of generated soluble compounds. Appl. Geochem. 2005, 20, 587–597. [Google Scholar] [CrossRef]
- Doebelin, N.; Kleeberg, R. Profex: A graphical user interface for the Rietveld refinement program BGMN. J. Appl. Crystallogr. 2015, 48, 1573–1580. [Google Scholar] [CrossRef] [PubMed]
- Zeelmaekers, E.; Honty, M.; Derkowski, A.; Środoń, J.; De Craen, M.; Vandenberghe, N.; Adriaens, R.; Ufer, K.; Wouters, L. Qualitative and quantitative mineralogical composition of the Rupelian Boom Clay in Belgium. Clay Miner. 2015, 50, 249–272. [Google Scholar] [CrossRef]
- Frederickx, L.; Honty, M.; De Craen, M.; Elsen, J. Evaluating the quantification of the clay mineralogy of the Rupelian Boom Clay in Belgium by a detailed study of size fractions. Appl. Clay Sci. 2021, 201, 105954. [Google Scholar] [CrossRef]
- Samuel, J.; Rouault, R.; Besnus, Y. Analyse multi-élémentaire standardisée des matériaux géologiques en spectrométrie d’émission par plasma à couplage inductif. Analusis 1985, 13, 312–317. [Google Scholar]
- Bonhomme, M.; Thuizat, R.; Pinault, Y.; Clauer, N.; Wendling, R.; Winkler, R. Méthode de Datation Potassium-Argon. Appareillage et Techniques. Note Technique de l’Institut de Géologie de Strasbourg 3; Institut de Géologie de Strasbourg: Strasbourg, France, 1978; 53p. [Google Scholar]
- Odin, G.S.; 35 collaborators. Interlaboratory standards for dating purposes. In Numerical Dating in Stratigraphy; Odin, G.S., Ed.; John Wiley & Sons: Chichester, UK, 1982; pp. 123–148. [Google Scholar]
- Lee, J.Y.; Marti, K.; Severinghaus, J.P.; Kawamura, K.; Yoo, H.S.; Lee, J.B.; Kim, J.S. A redetermination of the isotopic abundances of atmospheric Ar. Geochim. Cosmochim. Acta 2006, 70, 4507–4512. [Google Scholar] [CrossRef]
- Steiger, R.H.; Jager, E. Subcommission on geochronology: Convention on the use of decay constants in geo- and cosmochronology. Earth Planet. Sci. Lett. 1977, 36, 359–362. [Google Scholar] [CrossRef]
- Thury, M.; Bossart, P. The Mont Terri rock laboratory, a new international research project in a Mesozoic shale formation, in Switzerland. Eng. Geol. 1999, 52, 347–359. [Google Scholar] [CrossRef]
- Thury, M.; Bossart, P. Results of the hydrogeological, geochemical and geotechnical experiments performed in the Opalinus Clay (1996–1997). Chapter 6.4: Organic Matter Characterisation of Rocks and Pore Waters. In Geological Report No. 23; Swiss Geological Survey: Bern, Switzerland, 1999. [Google Scholar]
- Janots, E.; Brunet, F.; Goffé, B.; Poinssot, C. Thermochemistry of monazite-(La) and dissakisite-(La): Implications for monazite and allanite stability in metapelites. Contrib. Mineral. Petrol. 2007, 154, 1–14. [Google Scholar] [CrossRef]
- Piper, D.Z.; Bau, M. Normalized rare earth elements in water, sediments, and wine: Identifying sources and environmental redox conditions. Am. J. Anal. Chem. 2013, 4, 69–83. [Google Scholar] [CrossRef]
- Taylor, S.; McLennan, S. The Continental Crust: Its Composition and Evolution; Blackwell: Oxford, UK, 1985; p. 312. [Google Scholar]
- Clauer, N.; Chaudhuri, S. Clays in Crustal Environments: Isotope Dating and Tracing; Springer: Heidelberg/Berlin, Germany; New York, NY, USA, 1995; 359p. [Google Scholar]
- Mazurek, M.; Hurford, A.J.; Leu, W. Unravelling the multi-stage burial history of the Swiss Molasse Basin: Integration of apatite fission track, vitrinite reflectance and biomarker isomerisation analysis. Basin Res. 2006, 18, 27–50. [Google Scholar] [CrossRef]









| Sample IDs | Place/MI Niche | SiO2 | Al2O3 | MgO | CaO | Fe2O3 | Mn3O4 | TiO2 | Na2O | K2O | P2O5 | LOI | Total | Sr | Ba | Rb | Pb | Th | U |
|---|---|---|---|---|---|---|---|---|---|---|---|---|---|---|---|---|---|---|---|
| (m) | (%) | (%) | (%) | (%) | (%) | (%) | (%) | (%) | (%) | (%) | (%) | (%) | (mg/g) | (mg/g) | (mg/g) | (mg/g) | (mg/g) | (mg/g) | |
| initial | |||||||||||||||||||
| BHE-D5 0 | 8.00 | 50.7 | 20.6 | 2.27 | 3.47 | 6.54 | 0.052 | 1.01 | 0.79 | 3.06 | 0.24 | 11.32 | 100.1 | 201 | 302 | 133 | 23.9 | 13.9 | 3.00 |
| BHE-D5 5 | 7.96–8.15 | 52.0 | 18.8 | 2.10 | 4.30 | 5.94 | 0.054 | 0.96 | 0.46 | 2.63 | 0.23 | 11.56 | 99.12 | 216 | 291 | 65.4 | 14.6 | 8.46 | 1.85 |
| BHE-D5 4 | 7.50–7.66 | 49.9 | 20.4 | 2.05 | 4.84 | 5.56 | 0.054 | 0.95 | 0.46 | 2.81 | 0.18 | 12.08 | 99.28 | 217 | 282 | 68.8 | 14.5 | 8.50 | 1.94 |
| BHE-D5 3 | 7.00–7.21 | 47.4 | 21.0 | 2.27 | 4.79 | 6.63 | 0.060 | 0.94 | 0.49 | 2.87 | 0.22 | 12.79 | 99.52 | 239 | 306 | 74.8 | 13.8 | 8.37 | 1.87 |
| BHE-D5 2 | 4.36–4.50 | 46.8 | 20.5 | 2.24 | 5.83 | 6.31 | 0.059 | 0.92 | 0.47 | 2.92 | 0.29 | 12.91 | 99.31 | 282 | 281 | 76.2 | 13.6 | 8.32 | 1.83 |
| BHE-D5 1 | 2.10–2.24 | 42.5 | 19.5 | 2.11 | 9.52 | 6.59 | 0.068 | 0.87 | 0.44 | 2.76 | 0.20 | 14.72 | 99.24 | 282 | 267 | 70.4 | 12.1 | 7.30 | 1.64 |
| BHE-D5 8 | 5.50–5.60 | 48.7 | 20.5 | 2.13 | 4.72 | 6.00 | 0.056 | 0.89 | 0.53 | 2.83 | 0.22 | 12.17 | 98.79 | 209 | 367 | 129 | 28.3 | 12.8 | 2.82 |
| BHE-D5 6 | 2.45–2.60 | 46.4 | 21.2 | 2.15 | 5.56 | 5.43 | 0.055 | 0.89 | 0.63 | 2.88 | 0.20 | 13.38 | 98.78 | 258 | 349 | 133 | 36.6 | 13.2 | 2.87 |
| after heating | |||||||||||||||||||
| BHE-D26 2 | 5.70 | 49.7 | 21.2 | 2.15 | 3.50 | 5.42 | 0.046 | 0.93 | 0.53 | 3.04 | 0.20 | 11.48 | 98.22 | 222 | 287 | 153 | 46.4 | 15.6 | 3.47 |
| BHE-D26 3 | 3.30 | 44.9 | 19.2 | 2.13 | 8.70 | 5.82 | 0.069 | 0.86 | 0.46 | 2.30 | 0.23 | 13.92 | 98.62 | 258 | 271 | 123 | 34.1 | 12.4 | 2.70 |
| BHE-D26 8 | 0.75 | 50.7 | 19.7 | 2.15 | 3.57 | 6.40 | 0.056 | 0.92 | 0.51 | 2.62 | 0.30 | 11.54 | 98.41 | 198 | 279 | 136 | 43.2 | 16.1 | 3.29 |
| BHE-D26 14 | 0.40 | 53.3 | 19.5 | 2.10 | 3.20 | 5.69 | 0.041 | 0.98 | 0.53 | 2.95 | 0.25 | 10.80 | 99.32 | 198 | 290 | 124 | 48.0 | 14.2 | 2.93 |
| BHE-D26 10 | 0.27 | 49.0 | 19.0 | 2.42 | 4.00 | 8.20 | 0.070 | 0.89 | 0.49 | 2.14 | 0.46 | 12.21 | 98.95 | 205 | 261 | 108 | 38.8 | 12.5 | 2.64 |
| BHE-D26 12 | 0.10 | 52.7 | 19.0 | 2.20 | 3.50 | 5.88 | 0.050 | 0.97 | 0.47 | 2.63 | 0.29 | 11.26 | 98.94 | 193 | 284 | 117 | 37.8 | 13.5 | 2.75 |
| Sample IDs | Place/MI Niche | Si | Al | Mg | Ca | Fe | Na | K | P | Sr | Ba | Rb | Th | U |
|---|---|---|---|---|---|---|---|---|---|---|---|---|---|---|
| (m) | (μg/g) | (μg/g) | (μg/g) | (μg/g) | (μg/g) | (μg/g) | (μg/g) | (μg/g) | (μg/g) | (μg/g) | (μg/g) | (μg/g) | (μg/g) | |
| initial | ||||||||||||||
| BHE D5 5B | 7.96–8.15 | 7.27 | 15.1 | 9.05 | 374 | 6.45 | 29.6 | 15.5 | 0.29 | 1.17 | 0.04 | 13.8 | 8.12 | 1.43 |
| BHE D5 4B | 7.50–7.66 | 8.25 | 16.4 | 9.62 | 429 | 7.10 | 31.5 | 16.8 | 0.10 | 1.28 | 0.05 | 15.0 | 8.41 | 1.48 |
| BHE D5 3B | 7.00–7.21 | 7.79 | 13.4 | 9.29 | 403 | 6.15 | 33.3 | 16.7 | 0.31 | 1.41 | 0.05 | 15.9 | 9.93 | 1.97 |
| BHE D5 2B | 4.36–4.50 | 7.69 | 13.8 | 11.2 | 557 | 7.94 | 37.9 | 18.2 | 0.38 | 2.02 | 0.06 | 16.1 | 11.9 | 2.43 |
| BHE D5 1B | 2.10–2.24 | 1.26 | 2.54 | 9.32 | 691 | 7.44 | 34.9 | 6.25 | 0.25 | 1.67 | 0.02 | 6.23 | 11.1 | 2.09 |
| after heating | ||||||||||||||
| BHE D5-8 | 5.50–5.60 | 1.29 | 2.61 | 7.69 | 282 | 3.11 | 25.7 | 4.40 | 0.29 | 0.88 | 0.02 | 3.91 | 6.52 | 1.00 |
| BHE D5-6 | 2.45–2.60 | 0.97 | 2.24 | 7.25 | 282 | 3.09 | 21.8 | 3.85 | 0.16 | 0.96 | 0.01 | 4.12 | 5.00 | 0.94 |
| BHE D5-7 | 1.90–2.00 | 0.46 | 1.24 | 5.54 | 310 | 3.22 | 15.7 | 2.44 | 0.05 | 0.66 | 0.01 | 2.57 | 6.60 | 1.11 |
| Sample IDs | Location/ Probe (m) | La (μg/g) | Ce (μg/g) | Pr (μg/g) | Nd (μg/g) | Sm (μg/g) | Eu (μg/g) | Gd (μg/g) | Tb (μg/g) | Dy (μg/g) | Ho (μg/g) | Er (μg/g) | Tm (μg/g) | Yb (μg/g) | Lu (μg/g) | Total (μg/g) |
|---|---|---|---|---|---|---|---|---|---|---|---|---|---|---|---|---|
| initial | ||||||||||||||||
| BHE-D5/5 | 7.96–8.15 | 26.4 | 52.5 | 6.16 | 22.9 | 4.36 | 0.90 | 3.40 | 0.56 | 3.09 | 0.69 | 1.74 | 0.26 | 1.74 | 0.28 | 125.0 |
| BHE-D5/4 | 7.50–7.66 | 27.5 | 52.4 | 5.96 | 20.7 | 3.83 | 0.75 | 2.88 | 0.48 | 2.87 | 0.63 | 1.68 | 0.25 | 1.69 | 0.27 | 121.9 |
| BHE-D5/3 | 7.00–7.21 | 25.0 | 47.9 | 5.69 | 20.2 | 3.90 | 0.81 | 2.92 | 0.48 | 2.75 | 0.57 | 1.48 | 0.22 | 1.42 | 0.24 | 113.6 |
| BHE-D5/2 | 4.36–4.50 | 27.1 | 55.8 | 6.57 | 24.4 | 4.81 | 0.95 | 3.65 | 0.60 | 3.25 | 0.67 | 1.70 | 0.24 | 1.59 | 0.26 | 131.6 |
| BHE-D5/1 | 2.10–2.24 | 24.5 | 49.8 | 5.53 | 19.8 | 3.68 | 0.70 | 2.83 | 0.46 | 2.55 | 0.53 | 1.44 | 0.21 | 1.39 | 0.22 | 113.6 |
| after heating | ||||||||||||||||
| BHE-D5/8 | 5.50–5.60 | 44.4 | 86.2 | 9.95 | 36.0 | 6.62 | 1.37 | 5.29 | 0.78 | 4.78 | 1.02 | 2.58 | 0.40 | 2.50 | 0.40 | 202.3 |
| BHE-D5/6 | 2.45–2.60 | 46.3 | 93.0 | 10.5 | 37.7 | 7.11 | 1.51 | 5.48 | 0.84 | 5.04 | 1.04 | 2.74 | 0.43 | 2.62 | 0.42 | 214.7 |
| BHE D26-14 | 0.4 | 46.6 | 92.7 | 10.5 | 38.3 | 7.16 | 1.48 | 5.78 | 0.85 | 5.16 | 1.10 | 2.79 | 0.44 | 2.86 | 0.45 | 216.2 |
| BHE D26-12 | 0.1 | 44.7 | 91.2 | 10.7 | 39.7 | 7.68 | 1.57 | 6.38 | 0.89 | 5.39 | 1.11 | 2.89 | 0.45 | 2.78 | 0.44 | 215.9 |
| BHE D26-10 | 0.27 | 43.4 | 96.3 | 11.8 | 46.3 | 9.51 | 2.01 | 7.63 | 1.09 | 6.10 | 1.23 | 3.01 | 0.45 | 2.67 | 0.42 | 231.9 |
| BHE D26-8 | 0.75 | 53.0 | 107 | 12.4 | 45.8 | 8.83 | 1.86 | 7.10 | 1.00 | 6.19 | 1.29 | 3.32 | 0.52 | 3.11 | 0.49 | 251.9 |
| BHE D26-3 | 3.3 | 42.1 | 81.4 | 9.12 | 33.6 | 6.10 | 1.29 | 4.94 | 0.72 | 4.28 | 0.94 | 2.43 | 0.37 | 2.42 | 0.36 | 190.1 |
| BHE D26-2 | 5.7 | 48.7 | 96.2 | 10.8 | 39.4 | 7.46 | 1.53 | 5.71 | 0.86 | 5.18 | 1.13 | 2.81 | 0.46 | 2.78 | 0.45 | 223.5 |
| Sample IDs | Place/MI Niche | K2O | Rad. 40Ar | Rad. 40Ar | Age |
|---|---|---|---|---|---|
| (m) | (%) | (%) | (10−6 cc/g) | (Ma +/− 2σ) | |
| Initial | |||||
| BHE-D5 0 | 8.00 | 3.06 | 73.86 | 34.57 | 320.2 (10.0) |
| BHE D5 5B | 7.96–8.15 | 2.63 | 26.46 | 30.88 | 331.7 (11.0) |
| BHE D5 4B | 7.50–7.66 | 2.81 | 22.08 | 31.13 | 314.5 (10.2) |
| BHE D5 3B | 7.00–7.21 | 2.87 | 22.47 | 31.27 | 309.7 (9.9) |
| BHE D5 2B | 4.36–4.50 | 2.92 | 18.12 | 30.01 | 293.5 (9.3) |
| BHE D5 1B | 2.10–2.24 | 2.76 | 25.77 | 30.32 | 312.0 (10.2) |
| BHE D5 7B | 1.97 | 2.59 | 48.85 | 30.58 | 333.3 (11.1) |
| after heating | |||||
| BHE D5-3 | 7.00–7.21 | 2.69 | 51.70 | 30.57 | 345.0 (11.6) |
| BHE-D5 8 | 5.50–5.60 | 2.84 | 57.73 | 35.13 | 347.9 (11.2) |
| BHE-D5 6 | 2.45–2.60 | 2.88 | 32.10 | 33.70 | 330.7 (10.6) |
| BHE D5-1 | 2.10–2.24 | 2.65 | 37.10 | 32.96 | 326.1 (11.1) |
| Sample IDs | Location/ Probe (m) | La (μg/g) | Ce (μg/g) | Pr (μg/g) | Nd (μg/g) | Sm (μg/g) | Eu (μg/g) | Gd (μg/g) | Tb (μg/g) | Dy (μg/g) | Ho (μg/g) | Er (μg/g) | Tm (μg/g) | Yb (μg/g) | Lu (μg/g) | Total (μg/g) |
|---|---|---|---|---|---|---|---|---|---|---|---|---|---|---|---|---|
| initial | ||||||||||||||||
| BHE-D5-8 | 5.50–5.60 | 1.21 | 1.25 | 1.26 | 1.24 | 1.25 | 1.28 | 1.32 | 1.28 | 1.30 | 1.28 | 1.28 | 1.27 | 1.35 | 1.28 | 17.85 |
| BHE-D5-6 | 2.45–2.60 | 1.02 | 1.03 | 1.03 | 1.02 | 1.03 | 1.03 | 1.04 | 1.04 | 1.04 | 1.05 | 0.77 | 0.75 | 0.82 | 0.78 | 14.49 |
| BHE-D5-7 | 1.90–2.00 | 0.95 | 0.94 | 0.92 | 0.92 | 0.91 | 0.89 | 0.91 | 0.89 | 0.90 | 0.91 | 0.91 | 0.97 | 0.97 | 0.94 | 12.93 |
| after heating | ||||||||||||||||
| BHE D26-14 | 0.40 | 0.96 | 0.96 | 0.98 | 0.97 | 0.97 | 0.90 | 0.94 | 0.98 | 1.00 | 0.96 | 1.05 | 1.02 | 1.02 | 1.00 | 13.71 |
| BHE D26-12 | 0.10 | 0.99 | 1.00 | 1.02 | 1.02 | 1.01 | 0.99 | 0.98 | 1.08 | 1.05 | 1.03 | 1.07 | 1.04 | 1.11 | 1.05 | 14.44 |
| BHE D26-10 | 0.27 | 1.03 | 1.04 | 1.05 | 1.06 | 1.04 | 0.97 | 1.03 | 1.10 | 1.10 | 1.07 | 1.09 | 1.07 | 1.15 | 1.07 | 13.77 |
| BHE D26-8 | 0.75 | 0.89 | 0.90 | 0.91 | 0.90 | 0.89 | 0.83 | 0.89 | 0.95 | 0.91 | 0.89 | 0.91 | 0.90 | 1.00 | 0.94 | 12.71 |
| BHE D26-3 | 3.30 | 1.00 | 1.01 | 1.06 | 1.03 | 1.03 | 0.75 | 1.01 | 1.06 | 1.07 | 0.99 | 1.03 | 1.08 | 1.05 | 1.08 | 14.25 |
| BHE D26-2 | 5.70 | 0.92 | 1.05 | 1.01 | 1.01 | 1.00 | 0.98 | 0.99 | 1.00 | 1.05 | 1.04 | 1.09 | 1.19 | 1.17 | 1.20 | 14.70 |
| Minerals | Initial | After 830 | After 1799 | After 2529 |
|---|---|---|---|---|
| Contents (%) | Days (%) | Days (%) | Days (%) | |
| Quartz | 23 | 16 | 12 | 23 |
| Albite | 7 | 6 | 6 | 6 |
| K-feldspar | 8 | 5 | 7 | 8 |
| Calcite | 4 | 2 | 1 | 3 |
| Dolomite | 0.6 | 0.7 | 0.0 | 0.1 |
| Pyrite | 4 | 2 | 2 | 3 |
| Anatase | 1 | 0.6 | 0.8 | 1 |
| 2:1 clay minerals | 41 | 54 | 58 | 42 |
| Smectite | 12 | 14 | 15 | 12 |
| Illite/Smectite | 18 | 27 | 27 | 21 |
| Illite | 11 | 11 | 14 | 10 |
| Kaolinite | 4 | 5 | 2 | 2 |
| KaoliniteSmectite | 5 | 8 | 9 | 8 |
| Chlorite | 3 | 3 | 4 | 3 |
| Sample | SiO2 | Al2O3 | MgO | CaO | Fe2O3 | Mn3O4 | TiO2 | Na2O | K2O | P2O5 | LOI | Total |
|---|---|---|---|---|---|---|---|---|---|---|---|---|
| Description | (%) | (%) | (%) | (%) | (%) | (%) | (%) | (%) | (%) | (%) | (%) | (%) |
| initial bulk | 60.3 | 16.1 | 1.93 | 0.72 | 5.37 | 0.02 | 0.85 | 0.58 | 3.15 | 0.08 | 10.27 | 99.36 |
| initial < 2 μm | 52.2 | 24.4 | 2.55 | 0.21 | 5.64 | 0.02 | 0.84 | 0.93 | 3.51 | 0.10 | 9.56 | 99.96 |
| Heat1 bulk (830 d) | 58.9 | 17.6 | 2.00 | 0.65 | 5.53 | 0.02 | 1.04 | 0.49 | 3.38 | 0.11 | 10.33 | 100.09 |
| Heat1 < 2 μm | 50.5 | 24.5 | 2.45 | 0.94 | 5.50 | 0.02 | 0.76 | 0.17 | 3.40 | 0.07 | 10.79 | 99.15 |
| Heat3 bulk (1799 d) | 55.0 | 19.2 | 2.19 | 0.67 | 5.60 | 0.02 | 0.93 | 0.46 | 3.36 | 0.09 | 11.27 | |
| Heat2 bulk (2529 d) | 54.2 | 19.8 | 2.27 | 0.67 | 5.60 | 0.04 | 0.84 | 0.58 | 3.47 | 0.13 | 11.71 | 99.34 |
| Sample | Si | Al | Mg | Ca | Fe | Mn | Ti | Na | K | P |
|---|---|---|---|---|---|---|---|---|---|---|
| Description | (μg/g) | (μg/g) | (μg/g) | (μg/g) | (μg/g) | (μg/g) | (μg/g) | (μg/g) | (μg/g) | (μg/g) |
| initial bulk | 2.2 | 1.44 | 9.64 | 36.4 | 2.69 | 0.07 | 0.04 | 27.1 | 13.1 | 2.30 |
| initial < 2 μm | 0.8 | 0.26 | 0.21 | 1.30 | 0.42 | bdl | 0.01 | 50.7 | 2.56 | 0.63 |
| Heat1 bulk (830 d) | 1.6 | 1.28 | 7.41 | 27.2 | 1.93 | 0.08 | 0.01 | 19.1 | 10.8 | 3.53 |
| Heat1 < 2 μm | 4.0 | 1.52 | 1.11 | 31.4 | 1.26 | 0.01 | 0.06 | 1.24 | 6.50 | 0.36 |
| Sample | La | Ce | Pr | Nd | Sm | Eu | Gd | Tb | Dy | Ho | Er | Tm | Yb | Lu | Total |
|---|---|---|---|---|---|---|---|---|---|---|---|---|---|---|---|
| Description | (μg/g) | (μg/g) | (μg/g) | (μg/g) | (μg/g) | (μg/g) | (μg/g) | (μg/g) | (μg/g) | (μg/g) | (μg/g) | (μg/g) | (μg/g) | (μg/g) | (μg/g) |
| initial bulk | 34.5 | 70.1 | 8.46 | 31.4 | 6.03 | 1.23 | 4.98 | 0.77 | 4.29 | 0.91 | 2.40 | 0.39 | 2.47 | 0.36 | 168.3 |
| initial < 2 μm | 45.7 | 93.2 | 10.4 | 37.2 | 6.70 | 1.38 | 5.01 | 0.73 | 4.00 | 0.84 | 2.19 | 0.35 | 2.21 | 0.33 | 210.2 |
| Heat1 bulk (830 d) | 41.6 | 87.7 | 10.3 | 38.2 | 7.23 | 1.51 | 5.88 | 0.89 | 4.89 | 1.04 | 2.68 | 0.42 | 2.68 | 0.39 | 205.4 |
| Heat1 < 2 μm | 36.7 | 69.3 | 7.86 | 27.5 | 4.66 | 0.92 | 3.30 | 0.48 | 2.59 | 0.56 | 1.52 | 0.25 | 1.64 | 0.24 | 157.5 |
| Sample Description | K (%) | rad 40Ar (10−9 mol/g) | 40Ar (%) | Age (±2σ) Ma |
|---|---|---|---|---|
| initial bulk | 2.62 | 1.26 | 37.82 | 258.3 (7.3) |
| initial < 2 µm | 2.91 | 1.20 | 82.80 | 223.5 (5.1) |
| Heat1 bulk (830 d) | 2.81 | 1.34 | 15.65 | 256.0 13.3) |
| Heat1 < 2 µm | 2.82 | 1.18 | 26.32 | 226.2 (7.1) |
| Heat2 bulk (2529 d) | 2.74 | 1.30 | 27.56 | 254.4 (8.0) |
| Heat2 < 2 µm | 2.84 | 1.27 | 30.22 | 240.3 (7.4) |
Publisher’s Note: MDPI stays neutral with regard to jurisdictional claims in published maps and institutional affiliations. |
© 2022 by the authors. Licensee MDPI, Basel, Switzerland. This article is an open access article distributed under the terms and conditions of the Creative Commons Attribution (CC BY) license (https://creativecommons.org/licenses/by/4.0/).
Share and Cite
Clauer, N.; Honty, M.; Frederickx, L.; Nussbaum, C. Evaluation of a Long-Term Thermal Load on the Sealing Characteristics of Potential Sediments for a Deep Radioactive Waste Disposal. Sustainability 2022, 14, 14004. https://doi.org/10.3390/su142114004
Clauer N, Honty M, Frederickx L, Nussbaum C. Evaluation of a Long-Term Thermal Load on the Sealing Characteristics of Potential Sediments for a Deep Radioactive Waste Disposal. Sustainability. 2022; 14(21):14004. https://doi.org/10.3390/su142114004
Chicago/Turabian StyleClauer, Norbert, Miroslav Honty, Lander Frederickx, and Christophe Nussbaum. 2022. "Evaluation of a Long-Term Thermal Load on the Sealing Characteristics of Potential Sediments for a Deep Radioactive Waste Disposal" Sustainability 14, no. 21: 14004. https://doi.org/10.3390/su142114004
APA StyleClauer, N., Honty, M., Frederickx, L., & Nussbaum, C. (2022). Evaluation of a Long-Term Thermal Load on the Sealing Characteristics of Potential Sediments for a Deep Radioactive Waste Disposal. Sustainability, 14(21), 14004. https://doi.org/10.3390/su142114004

