Study on the Spatio-Temporal Evolution of Land Use in Resource-Based Cities in Three Northeastern Provinces of China—An Analysis Based on Long-Term Series
Abstract
1. Introduction
2. Materials and Methods
2.1. Study Area
2.2. Data Sources
2.3. Research Methodology
2.3.1. Land Use Dynamic Attitude
2.3.2. Markov Transfer Matrix
2.3.3. Parametric-Optimal Geodetector Model
3. Results and Analysis
3.1. Analysis of the Spatio-Temporal Evolution of Land Use
3.1.1. Temporal Evolution of Land Use Change
3.1.2. Spatial Distribution of Land Use Change
3.2. Driving Factor Analysis
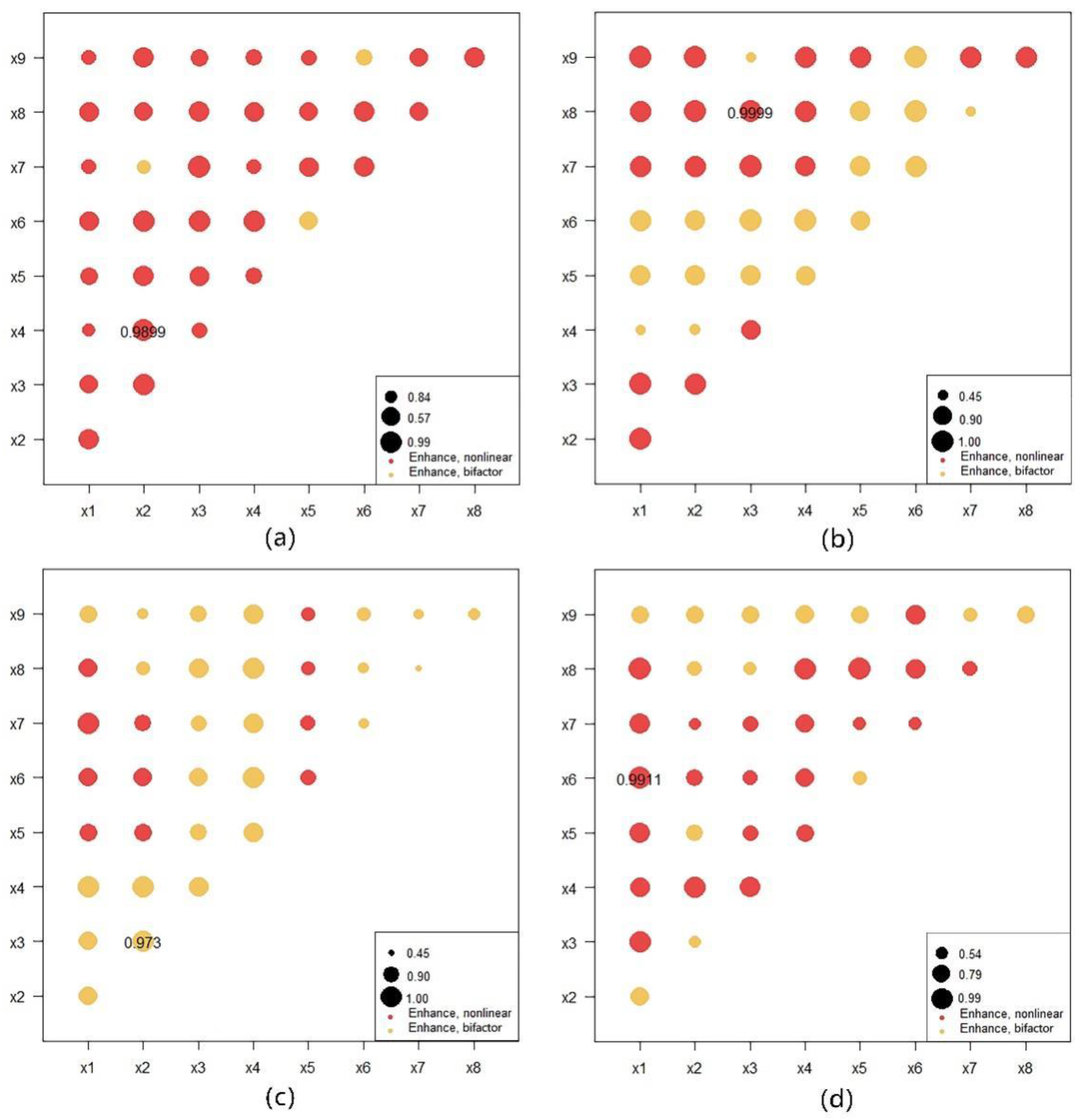
3.2.1. Driving Factor Detection
3.2.2. Driving Factor Interaction Detection
4. Conclusions and Discussion
4.1. Conclusions
4.2. Discussion
4.2.1. Compared with Other Studies in LULC
4.2.2. Implications, Limitations, and Future Study
Author Contributions
Funding
Institutional Review Board Statement
Conflicts of Interest
References
- Meng, Q.; Zhang, L.; Wei, H.; Cai, E.; Dong, X. Spatio-temporal evolution of the supply and demand risk of ecosystem services in the Yihe River Basin based on LUCC. Acta Ecol. Sin. 2022, 5, 2033–2049. [Google Scholar] [CrossRef]
- Liu, B.; Pan, L.; Qi, Y.; Guan, X.; Li, J. Land Use and Land Cover Change in the Yellow River Basin from 1980 to 2015 and Its Impact on the Ecosystem Services. Land 2021, 10, 1080–1103. [Google Scholar] [CrossRef]
- Albert, C.H.; Herve, M.; Fader, M.; Bondeau, A.; Leriche, A.; Monnet, A.C.; Cramer, W. What ecologists should know before using land use/cover change projections for biodiversity and ecosystem service assessments. Reg. Environ. Change 2020, 3, 1–12. [Google Scholar] [CrossRef]
- Vadrevu, K.; Ohara, T. Focus on land use cover changes and environmental impacts in South/Southeast Asia. Environ. Res. Lett. 2020, 15, 201–205. [Google Scholar] [CrossRef]
- Li, L.; Zhou, S.; Zhou, B.; Dai, L.; Chang, T.; Bao, G.; Zhou, H.; Zhi, L. Land use transformation and its eco-environmental response in process of the regional development: A case study of jiangsu province. Sci. Geogr. Sin. 2013, 33, 1442–1449. [Google Scholar] [CrossRef]
- Bao, J.; Gao, S.; Ge, J. Dynamic land use and its policy in response to environmental and social-economic changes in China: A case study of the Jiangsu coast (1750–2015). Land Use Policy 2019, 80, 169–180. [Google Scholar] [CrossRef]
- Li, D.; Zhou, J.; Zhan, D. Spatial and temporal changes and driving factors of cropland in Heilongjiang Province. Sci. Geogr. Sin. 2021, 41, 1266–1275. [Google Scholar] [CrossRef]
- Liu, D.; Li, L. Spatiotemporal change and driving factors of land use in the northern border transect of China,1995–2015. Resour. Sci. 2021, 43, 1208–1221. [Google Scholar] [CrossRef]
- He, C.; Zhang, J.; Liu, Z.; Huang, Q. Characteristics and progress of land use/cover change research during 1990–2018. Acta Geogr. Sin. 2021, 76, 2730–2748. [Google Scholar] [CrossRef]
- Global Land Project (GLP). Science Plan and Implementation Strategy; IGBP Secretariat: Stockholm, Sweden, 2005. [Google Scholar]
- Ferreira, I.J.M.; Bragion, G.D.; Ferreira, J.H.D.; Benedito, E.; Couto, E.V. Landscape pattern changes over 25 years across a hotspot zone in southern brazil. South. For. J. For. Sci. 2019, 1, 175–184. [Google Scholar] [CrossRef]
- Couto, E.V.; Oliveira, P.B.; Vieira, L.M.; Schmitz, M.H.; Ferreira, J.H.D. Integrating Environmental, Geographical and Social Data to Assess Sustainability in Hydrographic Basins: The ESI Approach. Sustainability 2020, 7, 3054–3072. [Google Scholar] [CrossRef]
- Faichia, C.; Tong, Z.; Zhang, J.; Liu, X.; Al-Shaibah, B. Using rs data-based ca-markov model for dynamic simulation of historical and future lucc in vientiane, laos. Sustainability 2020, 20, 8410–8419. [Google Scholar] [CrossRef]
- Meneses, B.M.; Reis, E.; Pereira, S.; Vale, M.J.; Reis, R. Understanding Driving Forces and Implications Associated with the Land Use and Land Cover Changes in Portugal. Sustainability 2017, 3, 351–370. [Google Scholar] [CrossRef]
- Lu, X.; Shi, Y.; Chen, C. Monitoring cropland transition and its impact on ecosystem services value in developed regions of China: A case study of Jiangsu Province. Land Use Policy 2017, 69, 25–40. [Google Scholar] [CrossRef]
- Li, K.M.; Feng, M.; Biswas, A.; Su, H.; Niu, Y.; Cao, J. Driving Factors and Future Prediction of Land Use and Cover Change Based on Satellite Remote Sensing Data by the LCM Model: A Case Study from Gansu Province, China. Sensors 2020, 20, 2757–2777. [Google Scholar] [CrossRef]
- Shi, G.; Ye, P.; Ding, L.; Quinones, A.; Li, Y.; Jiang, N. Spatio-Temporal Patterns of Land Use and Cover Change from 1990 to 2010: A Case Study of Jiangsu Province, China. Int. J. Environ. Res. Public Health. 2019, 16, 907–926. [Google Scholar] [CrossRef]
- Li, Y.; Yang, F.; Yang, L.; Shang, X.; Hu, G.; Jia, L. Spatial pattern changes and influencing factors of land use in Yulin City in the past 40 years. Arid Land Geogr. 2021, 44, 1011–1021. [Google Scholar] [CrossRef]
- Li, Y.; Niu, L.; Zhao, Q. Analysis of land use/cover change in Fushun mining area from 1989 to 2019. Sci. Surv. Mapp. 2021, 46, 96–104. [Google Scholar] [CrossRef]
- Huang, H.; Zhou, Y.; Qian, M.; Zeng, Z. Land Use Transition and Driving Forces in Chinese Loess Plateau: A Case Study from Pu County, Shanxi Province. Land 2021, 10, 1–15. [Google Scholar] [CrossRef]
- Guo, F.; Tong, L.; Qiu, F.; Li, Y. Spatio-temporal differentiation characteristics and influencing factors of green development in the eco-economic corridor of the Yellow River Basin. Acta Geogr. Sin. 2021, 76, 726–739. [Google Scholar] [CrossRef]
- Luan, C.; Liu, R.; Peng, S. Land-use suitability assessment for urban development using a GIS-based soft computing approach: A case study of Ili Valley, China. Ecol. Indic. 2021, 123, 107333. [Google Scholar] [CrossRef]
- Fernandez-Nogueira, D.; Corbelle-Rico, E. Land Use Changes in Iberian Peninsula 1990-2012. Land 2018, 7, 99–111. [Google Scholar] [CrossRef]
- Chen, C.; Bi, L.; Zhu, K. Study on Spatial-Temporal Change of Urban Green Space in Yangtze River Economic Belt and Its Driving Mechanism. Int. J. Environ. Res. Public Health 2021, 18, 12498–12518. [Google Scholar] [CrossRef] [PubMed]
- Zhang, G.; Liu, J.; Zhang, Z. Spatial-temporal Changes of Cropland in China for the Past 10 Years Based on Remote Sensing. Acta Geogr. Sin. 2003, 3, 323–332. [Google Scholar] [CrossRef]
- Wang, W.; Cao, Y.; Su, R.; Song, L.; Zhuang, Y.; Zhou, W. Driving Forces of cropland Change in China-Driving factors and Driving Mechanism. Chin. J. Agric. Res. Reg. Plan. 2020, 41, 21–30. [Google Scholar] [CrossRef]
- Zhang, R.; Liu, W.; Song, Z. Spatio-temporal evolution and driving factors of national development zones of China based on geodetectors. J. Nat. Resour. 2021, 36, 2672–2683. [Google Scholar] [CrossRef]
- Han, H.; Wang, X.; Niu, L.; Liang, X.; Jiang, X.; Tan, Z. The land-use and land-cover change characteristics and driving forces of cropland in Central Asian countries from 1992 to 2015. Chin. J. Eco-Agric. 2021, 29, 325–339. [Google Scholar] [CrossRef]
- Tian, J.; Wang, B.; Wang, S. Land Use Transition in Northeast China: Features Measurement and Mechanism Exploration. Econ. Geogr. 2020, 40, 184–195. [Google Scholar] [CrossRef]
- Wang, M.; Shi, W. Spatial-Temporal Changes of Newly cropland in Northern China and Its Zoning Based on Driving Factors. Sci. Agric. Sin. 2020, 53, 2435–2449. [Google Scholar] [CrossRef]
- Li, J.; Dong, S.; Li, Y.; Yang, Y. The pattern and driving factors of land use change in the China-Mongolia-Russia economic corridor. Geogr. Res. 2021, 40, 3073–3091. [Google Scholar] [CrossRef]
- Cui, D.; Bu, X.; Xu, Z.; Li, G.; Wu, D. Comprehensive evaluation and impact mechanism of high-quality development of China’s resource-based cities. Acta Geogr. Sin. 2021, 76, 2489–2503. [Google Scholar] [CrossRef]
- Zhao, Y. A Research Review and Prospect on the Transformation and Development. On Econ. Probl. 2021, 11, 17–25. [Google Scholar] [CrossRef]
- Che, X.; Li, C. Spatial Distribution Characteristics of Land Intensive Use and Driving Factors of Resource-based Cities in Northeast China. Resour. Dev. Mark. 2014, 30, 1320–1323. [Google Scholar] [CrossRef]
- Huang, Y.; Fang, Y.; Gu, G.; Liu, J. The Evolution and Differentiation of Economic Convergence of Resource-based Cities in Northeast China. Chin. Geogr. Sci. 2018, 28, 495–504. [Google Scholar] [CrossRef]
- Wang, Y. Development characteristics, influencing mechanism and coping strategies of resource-based cities in developing countries: A case study of urban agglomeration in Northeast China. Environ. Sci. Pollut. Res. 2022, 29, 25336–25348. [Google Scholar] [CrossRef]
- Wen, B.; Pan, Y.H.; Zhang, Y.; Liu, J.; Xia, M. Does the Exhaustion of Resources Drive Land Use Changes? Evidence from the Influence of Coal Resources-Exhaustion on Coal Resources-Based Industry Land Use Changes. Sustainability 2018, 10, 2698–2711. [Google Scholar] [CrossRef]
- Song, Y.; Wang, J.; Ge, Y. An optimal parameters-based geographical detector model enhances geographic characteristics of explanatory variables for spatial heterogeneity analysis: Cases with different types of spatial data. GIS Sci. Remote Sens. 2020, 57, 593–610. [Google Scholar] [CrossRef]
- Zhang, R.; Chen, Y.; Zhang, X.; Fang, X.; Ma, Q.; Ren, L. Spatial-temporal Pattern and Driving Factors of Flash Flood Disasters in Jiangxi Province Analyzed by Optimal Parameters-Based Geographical Detector. Geogr. Geo-Inform. Sci. 2021, 37, 72–80. [Google Scholar] [CrossRef]
- Wang, J.; Xu, C. Geodetector: Principle and prospective. Acta Geogr. Sin. 2017, 72, 116–134. [Google Scholar] [CrossRef]
- Document of the State Council the notice of the State Council on the Issuance of the National Sustainable Development Plan for Resource-based Cities (2013–2020). Available online: http://www.gov.cn/zfwj/2013-12/03/content_2540070.htm (accessed on 15 April 2022).





| Province | Prefectural Districts |
|---|---|
| Liaoning Province | Fuxin City, Fushun City, Benxi City, Anshan City, Panjin City, Huludao City |
| Jilin Province | Songyuan City, Jilin City, Liaoyuan City, Tonghua City, Baishan City, Yanbian Korean Autonomous Prefecture |
| Heilongjiang Province | Heihe City, Daqing City, Yichun City, Hegang City, Shuangyashan City, Qitaihe City, Jixi City, Mudanjiang City, Daxinganling Area |
| Year | Land Use Type | ||||||
|---|---|---|---|---|---|---|---|
| CL | FL | GL | WB | BL | UL | ||
| 1980 | Area(km2) | 105,888 | 283,900 | 35,320 | 11,285 | 8317 | 24,429 |
| Percentage% | 22.57 | 60.52 | 7.53 | 2.41 | 1.77 | 5.21 | |
| 2020 | Area(km2) | 129,588 | 262,579 | 19,840 | 9676 | 11,780 | 35,676 |
| Percentage% | 27.62 | 55.97 | 4.23 | 2.06 | 2.51 | 7.60 | |
| Single land use dynamic attitude/% | 0.56 | −0.19 | −1.10 | −0.36 | 1.04 | 1.15 | |
| Year/ Land Use Type km2 | 2020 | |||||||
|---|---|---|---|---|---|---|---|---|
| CL | FL | GL | WB | BL | UL | Total | ||
| 1980 | CL | 76,684 | 15,560 | 2309 | 1722 | 6504 | 3109 | 105,888 |
| FL | 26,736 | 229,177 | 10,008 | 1408 | 1742 | 14,829 | 283,900 | |
| GL | 9648 | 12,813 | 5273 | 525 | 527 | 6534 | 35,320 | |
| WB | 2078 | 1088 | 450 | 4887 | 291 | 2491 | 11,285 | |
| BL | 4541 | 888 | 166 | 185 | 2306 | 231 | 8317 | |
| UL | 9901 | 3053 | 1634 | 949 | 410 | 8482 | 24,429 | |
| Total | 129,588 | 262,579 | 19,840 | 9676 | 11,780 | 35,676 | 469,139 | |
| Land Use Change | Transfer-Out | Change Area/hm2 | Percentage | Land Use Change | Transfer-in | Change Area/hm2 | Percentage |
|---|---|---|---|---|---|---|---|
| Forest land transfer-out | CL | 26,736 | 5.70 | cropland transfer-in | FL | 27,636 | 5.70 |
| GL | 10,008 | 2.13 | GL | 9648 | 2.06 | ||
| WB | 1408 | 0.30 | WB | 2078 | 0.44 | ||
| BL | 1742 | 0.37 | BL | 4541 | 0.97 | ||
| UL | 14,829 | 3.16 | UL | 9901 | 2.11 |
| Land Use Type | 1980–1990 | 1990–2000 | 2000–2010 | 2010–2020 | ||||
|---|---|---|---|---|---|---|---|---|
| Area Change /hm2 | Single- Motion Attitude/% | Area Change /hm2 | Single- Motion Attitude/% | Area Change /hm2 | Single- Motion Attitude/% | Area Change /hm2 | Single- Motion Attitude/% | |
| CL | 6145 | 0.58 | 1385 | 1.11 | 1586 | 0.13 | 3587 | 0.28 |
| FL | −1929 | −0.07 | −4045 | −0.25 | −1170 | −0.04 | −11,185 | −0.41 |
| GL | −2606 | −0.74 | −4652 | −1.42 | 1083 | 0.39 | −9304 | −3.19 |
| WB | 256 | 0.23 | −432 | −0.37 | −238 | −0.21 | −1199 | −1.10 |
| BL | 585 | 0.70 | 1337 | 1.50 | −862 | −0.84 | 2403 | 2.56 |
| UL | −2461 | −1.01 | −1593 | −0.72 | −399 | −0.20 | 15,698 | 7.86 |
| Period | Explanation Value | Physical Geographic Drivers | Socio-Economic Drivers | |||||||
|---|---|---|---|---|---|---|---|---|---|---|
| X1 | X2 | X3 | X4 | X5 | X6 | X7 | X8 | X9 | ||
| 1980–1990 | q | 0.146 | 0.408 | 0.337 | 0.188 | 0.437 | 0.521 | 0.357 | 0.288 | 0.270 |
| 1990–2000 | q | 0.366 | 0.333 | 0.354 | 0.173 | 0.821 | 0.882 | 0.177 | 0.316 | 0.132 |
| 2000–2010 | q | 0.523 | 0.464 | 0.675 | 0.849 | 0.126 | 0.279 | 0.190 | 0.247 | 0.379 |
| 2010–2020 | q | 0.460 | 0.406 | 0.218 | 0.334 | 0.393 | 0.281 | 0.130 | 0.418 | 0.569 |
Publisher’s Note: MDPI stays neutral with regard to jurisdictional claims in published maps and institutional affiliations. |
© 2022 by the authors. Licensee MDPI, Basel, Switzerland. This article is an open access article distributed under the terms and conditions of the Creative Commons Attribution (CC BY) license (https://creativecommons.org/licenses/by/4.0/).
Share and Cite
Li, Q.; Pu, Y.; Zhang, Y. Study on the Spatio-Temporal Evolution of Land Use in Resource-Based Cities in Three Northeastern Provinces of China—An Analysis Based on Long-Term Series. Sustainability 2022, 14, 13683. https://doi.org/10.3390/su142013683
Li Q, Pu Y, Zhang Y. Study on the Spatio-Temporal Evolution of Land Use in Resource-Based Cities in Three Northeastern Provinces of China—An Analysis Based on Long-Term Series. Sustainability. 2022; 14(20):13683. https://doi.org/10.3390/su142013683
Chicago/Turabian StyleLi, Qiang, Yuchi Pu, and Yang Zhang. 2022. "Study on the Spatio-Temporal Evolution of Land Use in Resource-Based Cities in Three Northeastern Provinces of China—An Analysis Based on Long-Term Series" Sustainability 14, no. 20: 13683. https://doi.org/10.3390/su142013683
APA StyleLi, Q., Pu, Y., & Zhang, Y. (2022). Study on the Spatio-Temporal Evolution of Land Use in Resource-Based Cities in Three Northeastern Provinces of China—An Analysis Based on Long-Term Series. Sustainability, 14(20), 13683. https://doi.org/10.3390/su142013683

