Patterns of Influence of Parallel Rock Fractures on the Mechanical Properties of the Rock–Coal Combined Body
Abstract
1. Introduction
2. Project Background
3. Numerical Models
3.1. Fine Mechanical Parameters of Coal and Rock
3.2. PFC2D Modeling
3.3. Numerical Test Conditions
| Specimen Number | Parallel Pre-Cracks Angle θ (°) | Parallel Pre-Cracks Length L (mm) |
|---|---|---|
| 1 | The intact rock–coal combined body | |
| 2 | 0 | 30 |
| 3 | 15 | 30 |
| 4 | 30 | 30 |
| 5 | 45 | 30 |
| 6 | 60 | 30 |
| 7 | 75 | 30 |
| 8 | 90 | 30 |
| 9 | 45 | 10 |
| 10 | 45 | 15 |
| 11 | 45 | 20 |
| 12 | 45 | 25 |
| 13 | 45 | 35 |
| 14 | 45 | 40 |
4. Patterns of Influence of Parallel Rock Fractures on the Mechanical Properties of the Rock–Coal Combined Body
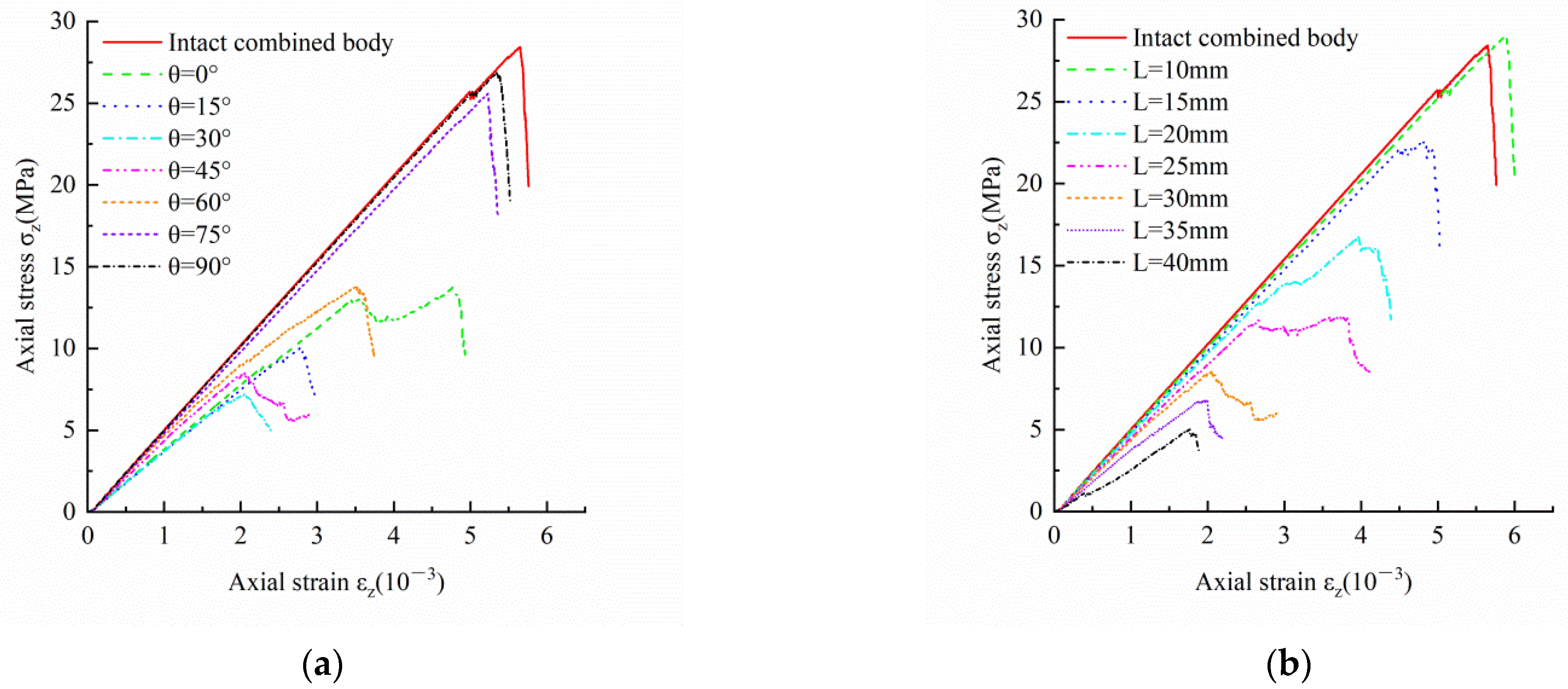
4.1. Effect of Parallel Pre-Cracks on the Stress–Strain Characteristics of the Rock–Coal Combined Body
4.2. Effect of Parallel Pre-Cracks on the Strength and Deformation Characteristics of the Rock–Coal Combined Body
4.3. Macroscopic Damage Characteristics of the Rock–Coal Combined Body by Parallel Pre-Cracks
4.4. Effect of Parallel Pre-Cracks on the Fracture Initiation Pattern of the Rock–Coal Combined Body
4.5. Effect of Parallel Pre-Cracks on Acoustic Emission Characteristics of the Rock–Coal Combined Body
5. Conclusions
Author Contributions
Funding
Institutional Review Board Statement
Informed Consent Statement
Data Availability Statement
Conflicts of Interest
References
- Chen, S.J.; Xia, Z.G.; Guo, W.J.; Shen, B.T. Research status and prospect of mining catastrophic response of rock mass under the influence of fault. Coal Sci. Technol. 2018, 46, 20–27. [Google Scholar] [CrossRef]
- Li, F.X.; Yin, D.W.; Zhu, C.; Wang, F.; Jiang, N.; Zhang, Z. Effects of Kaolin Addition on Mechanical Properties for Cemented Coal Gangue-Fly Ash Backfill under Uniaxial Loading. Energies 2021, 14, 3693. [Google Scholar] [CrossRef]
- Chen, S.J.; Zhang, J.C.; Yin, D.W.; Cheng, X.Z.; Jiang, N. Relative permeability measurem-ent of coal microchannels using advanced microchip technology. Fuel 2021, 312, 122633. [Google Scholar] [CrossRef]
- Li, X.L.; Chen, S.J.; Wang, S.; Zhao, M.; Liu, H. Study on in situ stress distribution law of the deep mine taking linyi Mining area as an example. Adv. Mater. Sci. Eng. 2021, 9, 5594181. [Google Scholar] [CrossRef]
- Deng, X.J.; Li, Y.; Wang, F.; Shi, X.M.; Yang, Y.C.; Xu, X.C.; Huang, Y.L.; Dewit, B. Experimental study on the mechanical properties and consolidation mechanism of microbial grouted backfill. Int. J. Min. Sci. Technol. 2022, 32, 271–282. [Google Scholar] [CrossRef]
- Li, X.L.; Chen, S.J.; Liu, S.M.; Li, Z.H. AE waveform characteristics of rock mass under uniaxial loading based on Hilbert-Huang transform. J. Cent. South Univ. 2021, 28, 1843–1856. [Google Scholar] [CrossRef]
- Liu, J.W.; Wu, N.; Si, G.Y.; Zhao, M.X. Experimental study on mechanical properties and failure behaviour of the pre-cracked coal-rock combination. Bull Eng. Geol. Environ. 2017, 80, 2307–2321. [Google Scholar] [CrossRef]
- Kang, H.P. Seventy years development and prospects of strata control technologies for coal mine roadways in China. Chin. J. Rock Mech. Eng. 2021, 40, 1–30. [Google Scholar] [CrossRef]
- Shi, X.D.; Bai, J.W.; Feng, G.R.; Wang, K.; Cui, B.Q.; Guo, J.; Yang, X.Y.; Song, C. Crack propagation law at the interface of FRP wrapped coal-backfilling composite structure. Constr. Build. Mater. 2022, 344, 128229. [Google Scholar] [CrossRef]
- Dehghan, A.N.; Goshtasbi, K.; Ahangari, K.; Jin, Y. Experimental investigation of hydraulic fracture propagation in fractured blocks. Bull Eng. Geol. Environ. 2015, 74, 887–895. [Google Scholar] [CrossRef]
- Kang, H.P.; Feng, Y.J. Hydraulic fracturing technology and its applications in strata control in underground coal mines. Coal Sci. Technol. 2017, 45, 1–9. [Google Scholar] [CrossRef]
- Liu, J.W. Study on Change Mechanism and Control of Stress Field of Artificial Cracking Coal and Rock Mass. Ph.D. Thesis, China University of Mining, Xuzhou, China, 2021. [Google Scholar] [CrossRef]
- Chen, S.J.; Li, Z.Y.; Ren, K.Q.; Feng, F.; Xia, Z.G. Experimental study on development process of reverse fault in coal measures strata and law of stress evolution in hanging wall strata. J. Min. Saf. Eng. 2020, 37, 366–375. [Google Scholar] [CrossRef]
- Liu, C.; Zhang, D.M.; Zhao, H.G.; Li, M.H.; Song, Z.L. Experimental study on hydraulic fracturing properties of elliptical boreholes. Bull Eng. Geol. Environ. 2022, 81, 18. [Google Scholar] [CrossRef]
- Chen, S.J.; Yin, D.W.; Zhang, B.L.; Ma, H.F.; Liu, X.Q. Mechanical characteristics and progressive failure mechanism of roof-coal pillar structure. Chin. J. Rock Mech. Eng. 2017, 36, 1588–1598. [Google Scholar] [CrossRef]
- Chen, S.J.; Yin, D.W.; Jiang, N.; Wang, F.; Guo, W.J. Simulation study on effects of loading rate on uniaxial compression failure of composite rock-coal layer. Geomech. Eng. 2019, 17, 333–342. [Google Scholar] [CrossRef]
- Guo, D.M.; Zuo, J.P.; Zhang, Y.; Yang, R.S. Research on strength and failure mechanism of deep coal-rock combination bodies of different inclined angles. Rock Soil Mech. 2011, 32, 1333–1339. [Google Scholar] [CrossRef]
- Zuo, J.P.; Chen, Y.; Cui, F. Investigation on mechanical properties and rock burst tendency of differernt coal-rock combined bodies. J. China Univ. Min. Technol. 2018, 47, 81–87. [Google Scholar] [CrossRef]
- Zhang, Z.T.; Liu, J.F.; Wang, L.; Liu, Z.J.; Yang, X.C. Effects of combination mode on mechanical properties and failure characteristics of the coal-rock combinations. J. China Coal Soc. 2012, 37, 841–847. [Google Scholar] [CrossRef]
- Bai, J.W.; Feng, G.R.; Wang, Z.H.; Wang, S.Y.; Qi, T.Y.; Wang, P.F. Experimental Investigations on the Progressive Failure Characteristics of a Sandwiched Coal-Rock System Under Uniaxial Compression. Appl. Sci. 2019, 9, 1195. [Google Scholar] [CrossRef]
- Zhao, D.C.; Xia, Y.J.; Zhang, C.Q.; Zhou, H.; Tang, C.A.; Liu, N.; Chen, J.; Wang, P.; Wang, C.l. Laboratory test and numerical simulations for 3D printed irregular columnar jointed rock masses under biaxial compression. Bull Eng. Geol. Environ. 2022, 81, 124. [Google Scholar] [CrossRef]
- Xia, Y.J.; Liu, B.C.; Zhang, C.Q.; Liu, N.; Zhou, H.; Chen, J.; Tang, C.A.; Gao, Y.; Zhao, D.C.; Meng, Q.K. Investigations of mechanical and failure properties of 3D printed columnar jointed rock mass under true triaxial compression with one free face. Geomech. Geophys. Geo-Energ. Geo-Resour. 2022, 8, 26. [Google Scholar] [CrossRef]
- Xia, Y.J.; Zhang, C.Q.; Zhou, H.; Hou, J.; Su, G.S.; Gao, Y.; Liu, N.; Singh, H.K. Mechanical behavior of structurally reconstructed irregular columnar jointed rock mass using 3D printing. Eng. Geol. 2020, 268, 105509. [Google Scholar] [CrossRef]
- Reyes, O.; Einstein, H.H. Failure mechanisms of fractu-red rock: A fracture coalescence model. Isrm Congr. 1991, V1, 333–340. [Google Scholar]
- Zhang, X.P.; Wong, L.N.Y. Cracking processes in rock-like material containing a single flaw under uniaxial compression: A numerical study based on parallel bonded-particle model approach. Rock Mech. Rock Eng. 2012, 45, 711–737. [Google Scholar] [CrossRef]
- Tang, Q.; Li, Y.A. Particle Flow Simulation on the Influence of Confinement on Crack Propagation in pre-cracked rock. J. Yangtze River Sci. Res. Inst. 2015, 32, 81–85. [Google Scholar]
- Yin, D.W.; Chen, S.J.; Liu, X.Q.; Wang, G.; Ma, H.F.; Shen, B.T. Particle Flow Simulation of Effects of Joint Characteristics on Crack Initiation Stress and Crack Damage Stress of Jointed Granite. J. Basic Sci. Eng. 2018, 26, 808–820. [Google Scholar] [CrossRef]
- Zhang, X.L. Research on Crack Initiation and Propagation Characteristics of Disc Specimens Containing a Parallel Prefabricated Double Cracks. Master’s Thesis, Henan Polytechnic University, Jiaozuo, China, 2020. [Google Scholar] [CrossRef]
- Yang, S.Q. Crack coalescence behavior of brittle sandstone samples containing two coplanar fissures in the process of deformation failure. Eng. Fract. Mech. 2011, 78, 3059–3081. [Google Scholar] [CrossRef]
- Yang, S.Q.; Wen, S.; Li, L.Q. Experimental study on deformation and strength properties of coarse marble with discontinuous pre-existing cracks under different confining pressures. Chin. J. Rock Mech. Eng. 2007, 26, 1572–1587. [Google Scholar]
- Yang, S.Q.; Dai, Y.H.; Han, L.J.; He, Y.N.; Li, Y.S. Uniaxial compression experimental research on deformation and failure properties of brittle marble specimen with pre-existing fissures. Chin. J. Rock Mech. Eng. 2009, 28, 2391–2404. [Google Scholar]
- Yang, S.Q.; Huang, Y.H.; Wen, S. Experimental study of mechanical behavior of red sandstone with two non-coplanar fissures after high temperature heating. Chin. J. Rock Mech. Eng. 2015, 34, 440–451. [Google Scholar] [CrossRef]
- Xie, L.F.; Zhu, Q.Y.; Qin, Y.J.; Wang, J.H.; Qian, J.G. Study on evolutionary characteristics of toppling deformation of anti-dip bank slope based on energy field. Sustainability 2020, 12, 7544. [Google Scholar] [CrossRef]
- Chen, S.J.; Ge, Y.; Yin, D.W.; Yang, H.S. An experimental study of the uniaxial failure behaviour of rock-coal composite samples with pre-existing cracks in the coal. Adv. Civ. Eng. 2019, 2019, 8397598. [Google Scholar] [CrossRef]
- Zhang, X.P.; Wong, L.N.Y. Crack initiation propagation and coalescence in rock-like material containing two flaws: A numerical study based on bonded-particle model approach. Rock Mech. Rock Eng. 2013, 46, 1001–1021. [Google Scholar] [CrossRef]
- Kong, X.G.; He, D.; Liu, X.F.; Wang, E.Y.; Li, S.G.; Liu, T.; Ji, P.F.; Deng, D.Y.; Yang, S.R. Strain characteristics and energy dissipation laws of gas-bearing coal during impact fracture process. Energy 2022, 242, 123038. [Google Scholar] [CrossRef]
- Shen, J.Y.; Zhan, S.X.; Karakus, M.; Zuo, J.P. Effects of flaw width on cracking behavior of single-flawed rock specimens. Bull Eng. Geol. Environ. 2021, 80, 1701–1711. [Google Scholar] [CrossRef]
- Ma, J.B.; Jiang, N.; Wang, X.J.; Jia, X.D.; Yao, D.H. Numerical study of the strength and characteristics of sandstone samples with combined double hole and double fissure defects. Sustainability 2021, 13, 7090. [Google Scholar] [CrossRef]
- Kong, X.G.; Li, S.G.; Wang, E.Y.; Wang, X.; Zhou, Y.X.; Ji, P.F.; Shuang, H.Q.; Li, S.R.; Wei, Z.Y. Experimental and numerical investigations on dynamic mechanical responses and failure process of gas-bearing coal under impact load. Soil Dyn. Earthq. Eng. 2021, 142, 106579. [Google Scholar] [CrossRef]
- Liu, J.W.; Liu, C.Y.; Yao, Q.L.; Si, G.Y. The position of hydraulic fracturing to initiate vertical fractures in hard hanging roof for stress relief. Int. J. Rock Mech. Min. Sci. 2020, 132, 104328. [Google Scholar] [CrossRef]
















| Peak Strength (MPa) | Peak Strain | Modulus of Elasticity | |
|---|---|---|---|
| Simulated test pieces | 28.438 | 0.00565 | 4.595 |
| Test specimens | 28.352 | 0.00537 | 4.666 |
| Error | 0.086 | 0.00028 | −0.071 |
| Parameters | Rock | Coal | Parameters | Rock | Coal |
|---|---|---|---|---|---|
| Minimum particle size (mm) | 0.2 | Parallel bond elastic modulus (Gpa) | 12 | 4 | |
| Particle size ratio | 1.5 | Parallel bond normal strength (Mpa) | 45 | 15 | |
| Density (kg/m3) | 2533 | 1800 | Parallel bond tangential strength (Mpa) | 45 | 15 |
| Contact modulus of the particle (Gpa) | 12 | 4 | Parallel bond normal stiffnes/tangential stiffnes | 2.5 | |
| Parallel bond radius multiplier | 1 | Normal stiffnes/tangential stiffnes | 2.5 | ||
| Coefficient of friction | 0.577 | ||||
Publisher’s Note: MDPI stays neutral with regard to jurisdictional claims in published maps and institutional affiliations. |
© 2022 by the authors. Licensee MDPI, Basel, Switzerland. This article is an open access article distributed under the terms and conditions of the Creative Commons Attribution (CC BY) license (https://creativecommons.org/licenses/by/4.0/).
Share and Cite
Li, Y.; Liu, J.; Yu, Q. Patterns of Influence of Parallel Rock Fractures on the Mechanical Properties of the Rock–Coal Combined Body. Sustainability 2022, 14, 13555. https://doi.org/10.3390/su142013555
Li Y, Liu J, Yu Q. Patterns of Influence of Parallel Rock Fractures on the Mechanical Properties of the Rock–Coal Combined Body. Sustainability. 2022; 14(20):13555. https://doi.org/10.3390/su142013555
Chicago/Turabian StyleLi, Yakang, Jiangwei Liu, and Qian Yu. 2022. "Patterns of Influence of Parallel Rock Fractures on the Mechanical Properties of the Rock–Coal Combined Body" Sustainability 14, no. 20: 13555. https://doi.org/10.3390/su142013555
APA StyleLi, Y., Liu, J., & Yu, Q. (2022). Patterns of Influence of Parallel Rock Fractures on the Mechanical Properties of the Rock–Coal Combined Body. Sustainability, 14(20), 13555. https://doi.org/10.3390/su142013555
