Heavy Metal Concentrations of Soil, Rock, and Coal Gangue in the Geological Profile of a Large Open-Pit Coal Mine in China
Abstract
:1. Introduction
2. Materials and Methods
2.1. Study Area
2.2. Soil Sampling and Analysis
2.3. Potential Ecological Risk Analysis
2.4. Statistical Analysis
3. Results and Discussion
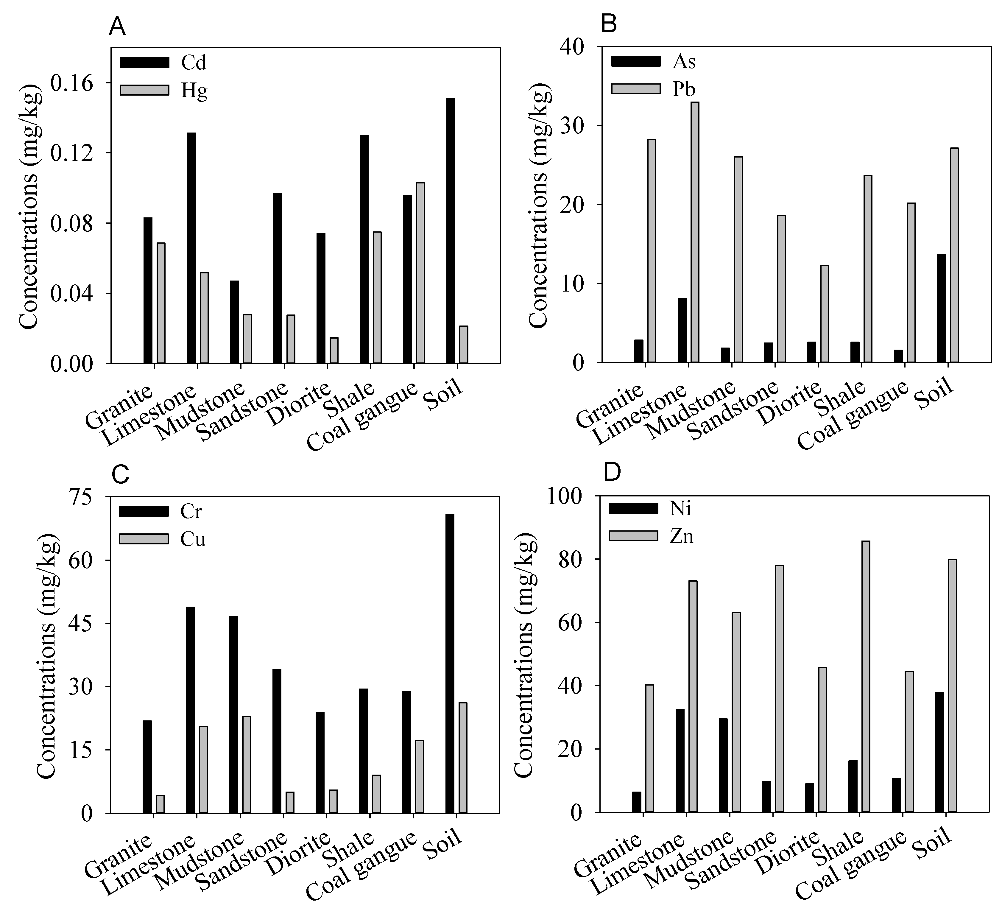
3.1. Descriptive Statistics of Heavy Metals of Soil, Rock, and Coal Gangue
3.2. Potential Ecological Risk Assessment of Soil, Rock, and Coal Gangue Samples
3.3. Changes in Heavy-Metal Concentrations in Various Samples and at Different Depths
3.4. Correlation between Heavy Metals and Soil Nutrients
3.5. Proportional Comparison of Different Heavy Metals in Various Types of Samples
4. Conclusions
Author Contributions
Funding
Acknowledgments
Conflicts of Interest
References
- Palmer, M.A.; Bernhardt, E.S.; Schlesinger, W.H.; Eshleman, K.N.; Foufoula-Georgiou, E.; Hendryx, M.S.; Lemly, A.D.; Likens, G.E.; Loucks, O.L.; Power, M.E.; et al. Science and regulation. Mountaintop mining consequences. Science 2010, 327, 148–149. [Google Scholar] [CrossRef] [Green Version]
- Li, Z.; Ma, Z.; van der Kuijp, T.J.; Yuan, Z.; Huang, L. A review of soil heavy metal pollution from mines in China: Pollution and health risk assessment. Sci. Total Environ. 2014, 468–469, 843–853. [Google Scholar] [CrossRef]
- Hardy, M.; Cornu, S. Location of natural trace elements in silty soils using particlesize fractionation. Geoderma 2006, 133, 295–308. [Google Scholar] [CrossRef]
- Li, C.; Sanchez, G.M.; Wu, Z.; Cheng, J.; Zhang, S.; Wang, Q.; Li, F.; Sun, G.; Meentemeyer, R.K. Spatiotemporal patterns and drivers of soil contamination with heavy metals during an intensive urbanization period (1989–2018) in southern China. Environ. Pollut. 2020, 260, 114075. [Google Scholar] [CrossRef]
- Wu, J.; Li, J.; Teng, Y.; Chen, H.; Wang, Y. A partition computing-based positive matrix factorization (PC-PMF) approach for the source apportionment of agricultural soil heavy metal contents and associated health risks. J. Hazard. Mater. 2020, 388, 121766. [Google Scholar] [CrossRef] [PubMed]
- He, S.; Lu, Q.; Li, W.; Ren, Z.; Zhou, Z.; Feng, X.; Zhang, Y.; Li, Y. Factors controlling cadmium and lead activities in different parent material-derived soils from the Pearl River Basin. Chemosphere 2017, 182, 509–516. [Google Scholar] [CrossRef]
- Tashakor, M.; Hochwimmer, B.; Brearley, F.Q. Geochemical assessment of metal transfer from rock and soil to water in ser-pentine areas of Sabah (Malaysia). Environ. Earth Sci. 2017, 76, 1–13. [Google Scholar] [CrossRef]
- Zinn, Y.L.; Faria, J.A.D.; Araujo, M.A.D.; Skorupa, A.L.A. Soil parent material is the main control on heavy metal concentrations in tropical highlands of Brazil. Catena 2020, 185, 104319. [Google Scholar] [CrossRef]
- Kobielska, P.A.; Howarth, A.J.; Farha, O.K.; Nayak, S. Metal–organic frameworks for heavy metal removal from water. Coordin. Chem. Rev. 2018, 358, 92–107. [Google Scholar] [CrossRef]
- Anda, M. Cation imbalance and heavy metal content of seven Indonesian soils as affected by elemental compositions of parent rocks. Geoderma 2012, 189–190, 388–396. [Google Scholar] [CrossRef]
- Sun, R.; Sonke, J.E.; Liu, G.; Zheng, L.; Wu, D. Variations in the stable isotope composition of mercury in coal-bearing sequences: Indications for its provenance and geochemical processes. Int. J. Coal Geol. 2014, 133, 13–23. [Google Scholar] [CrossRef]
- Tang, Q.; Li, L.; Zhang, S.; Zheng, L.; Miao, C. Characterization of heavy metals in coal gangue-reclaimed soils from a coal mining area. J. Geochem. Explor. 2018, 186, 1–11. [Google Scholar] [CrossRef]
- Zhou, Y.; Aamir, M.; Liu, K.; Yang, F.; Liu, W. Status of mercury accumulation in agricultural soil across China: Spatial dis-tribution, temporal trend, influencing factor and risk assessment. Environ. Pollut. 2018, 240, 116–124. [Google Scholar] [CrossRef]
- Kumar, A.; Pinto, M.C.; Candeias, C.; Dinis, P.A. Baseline maps of potentially toxic elements in the soils of Garhwal Himalayas, India: Assessment of their eco-environmental and human health risks. Land Degrad. Dev. 2021, 32, 3856–3869. [Google Scholar] [CrossRef]
- Kumar, A.; Jigyasu, D.K.; Kumar, A.; Subrahmanyam, G.; Mondal, R.; Shabnam, A.A.; Cabral-Pinto, M.; Malyan, S.K.; Cha-turvedi, A.K.; Gupta, D.K.; et al. Nickel in terrestrial biota: Comprehensive review on contamination, toxicity, tolerance and its remediation approaches. Chemosphere 2021, 275, 129996. [Google Scholar] [CrossRef] [PubMed]
- Lu, R.K. Analytical Methods of Soil Agro-Chemistry; China Agriculture Science Technology Press: Beijing, China, 2000; pp. 146–203. [Google Scholar]
- Liu, X.; Shi, H.; Bai, Z.; Zhou, W.; Liu, K.; Wang, M.; He, Y. Heavy metal concentrations of soils near the large opencast coal mine pits in China. Chemosphere 2020, 244, 125360. [Google Scholar] [CrossRef] [PubMed]
- Hakanson, L. An ecological risk index for aquatic pollution control. A sedimentological approach. Water Res. 1980, 14, 975–1001. [Google Scholar] [CrossRef]
- Li, F.; Zhang, J.; Liu, C.; Xiao, M.; Wu, Z. Distribution, bioavailability andprobabilistic integrated ecological risk assessment of heavy metals in sedimentsfrom Honghu Lake, China. Process. Saf. Environ. Prot. 2018, 116, 169–179. [Google Scholar] [CrossRef]
- Yu, R.; Hu, G.; Wang, L. Speciation and ecological risk of heavy metals in intertidal sediments of Quanzhou Bay, China. Environ. Monit. Assess. 2010, 163, 241–252. [Google Scholar] [CrossRef]
- Suresh, G.; Ramasamy, V.; Meenakshisundaram, V.; Venkatachalapathy, R.; Ponnusamy, V. Influence of mineralogical and heavy metal composition on natural radionuclide concentrations in the river sediments. Appl. Radiat. Isotopes 2011, 69, 1466–1474. [Google Scholar] [CrossRef] [PubMed]
- Wang, X.; Zhou, Q.; Ren, L. Agricultural Products Quality in Mineral Area and Behaviors of Heavy Metals in Soil—Rock In-terface. J. Agro-Environ. Sci. 2004, 23, 459–463. [Google Scholar]
- Ge, G. Trace elements in coal rock in Shanxi and their impact on the environment. Coal Geol. China 1996, 8, 58–62. [Google Scholar]
- Bini, C.; Sartori, G.; Wahsha, M.; Fontana, S. Background levels of trace elements and soil geochemistry at regional level in NE Italy. J. Geochem. Explor. 2011, 109, 125–133. [Google Scholar] [CrossRef]
- Melo, V.F.; Buschle, B.; Souza, L.C.P.; Bonfleur, E.J. Reference values for potentially harmful elements in soils from Atlantic Rainforest, Brazil. J. Geochem. Explor. 2017, 181, 138–147. [Google Scholar] [CrossRef]
- Huang, J.; Peng, S.; Mao, X.; Li, F.; Guo, S.; Shi, L.; Shi, Y.; Yu, H.; Zeng, G. Source apportionment and spatial and quantitative ecological risk assessment of heavy metals in soils from a typical Chinese agricultural county. Process. Saf. Environ. 2019, 126, 339–347. [Google Scholar] [CrossRef]
- Ni, S.Q.; Ju, Y.W.; Hou, Q.L.; Wang, S.J.; Xiao, L.L.; Liu, Q.; Wu, Y.D. The comparison of the role of iron oxides in the migration and weathering of heavy metal elements and the enrichment of heavy metal elements in carbonate rocks. Prog. Nat. Sci. 2009, 61–68. [Google Scholar]
- Jiang, X.; Lu, W.X.; Zhao, H.Q.; Yang, Q.C.; Yang, Z.P. Potential ecological risk assessment and prediction of soil heavy-metal pollution around coal gangue dump. Nat. Hazard. Earth Sys. 2014, 14, 1599. [Google Scholar] [CrossRef] [Green Version]
- Kumar, V.; Sharma, A.; Kaur, P.; Singh Sidhu, G.P.; Bali, A.S.; Bhardwaj, R.; Thukral, A.K.; Cerda, A. Pollution assessment of heavy metals in soils of India and ecological risk assessment: A state-of-the-art. Chemosphere 2019, 216, 449–462. [Google Scholar] [CrossRef] [PubMed]
- Lin, W.; Wu, K.; Lao, Z.; Hu, W.; Lin, B.; Li, Y.; Fan, H.; Hu, J. Assessment of trace metal contamination and ecological risk in the forest ecosystem of dexing mining area in northeast Jiangxi Province, China. Ecotoxicol. Environ. Saf. 2019, 167, 76–82. [Google Scholar] [CrossRef]
- Feng, Y.; Bao, Q.; Yunpeng, C.; Lizi, Z.; Xiao, X. Stochastic potential ecological risk model for heavy metal contamination in sediment. Ecol. Indic. 2019, 102, 246–251. [Google Scholar] [CrossRef]
- Zhu, A.; Liu, J.; Qiao, S.; Zhang, H. Distribution and assessment of heavy metals in surface sediments from the Bohai Sea of China. Mar. Pollut. Bull. 2020, 153, 110901. [Google Scholar] [CrossRef]
- Cheng, H.; Li, M.; Zhao, C.; Yang, K.; Li, K.; Peng, M.; Yang, Z.; Liu, F.; Liu, Y.; Bai, R.; et al. Concentrations of toxic metals and ecological risk assessment for sediments of major freshwater lakes in China. J. Geochem. Explor. 2015, 157, 15–26. [Google Scholar] [CrossRef]
- Lin, Q.; Liu, E.; Zhang, E.; Li, K.; Shen, J. Spatial distribution, contamination and ecological risk assessment of heavy metals in surface sediments of Erhai Lake, a large eutrophic plateau lake in southwest China. Catena 2016, 145, 193–203. [Google Scholar] [CrossRef]
- Deng, M.; Yang, X.; Dai, X.; Zhang, Q.; Malik, A.; Sadeghpour, A. Heavy metal pollution risk assessments and their transportation in sediment and overlay water for the typical Chinese reservoirs. Ecol. Indic. 2020, 112, 106166. [Google Scholar] [CrossRef]
- Zhao, F.; Ma, Y.; Zhu, Y.; Tang, Z.; McGrath, S.P. Soil Contamination in China: Current Status and Mitigation Strategies. Environ. Sci. Technol. 2015, 49, 750–759. [Google Scholar] [CrossRef]
- He, T.B.; Dong, L.L.; Liu, Y.S.; Shu, Y.G.; Luo, H.B.; Liu, F. Change of physical-chemical properties and heavy mental element in soil from different parent material/rock. J. Soil Water Conserv. 2006, 6, 157–162. [Google Scholar]
- Zhu, H.; Bing, H.; Wu, Y.; Zhou, J.; Sun, H.; Wang, J.; Wang, X. The spatial and vertical distribution of heavy metal contamination in sediments of the Three Gorges Reservoir determined by anti-seasonal flow regulation. Sci. Total Environ. 2019, 664, 79–88. [Google Scholar] [CrossRef] [PubMed]
- Niu, X.; Guo, S.; Gao, L.; Cao, Y.; Wei, X. Mercury Release during Thermal Treatment of Two Coal Gangues and Two Coal Slimes under N2 and in Air. Energy Fuel 2017, 31, 8648–8654. [Google Scholar] [CrossRef]
- Oyeyemi, K.D.; Aizebeokhai, A.P.; Okagbue, H.I. Geostatistical exploration of dataset assessing the heavy metal contamination in Ewekoro limestone, Southwestern Nigeria. Data Brief 2017, 14, 110–117. [Google Scholar] [CrossRef] [PubMed]
- Fang, X.; Peng, B.; Wang, X.; Song, Z.; Zhou, D.; Wang, Q.; Qin, Z.; Tan, C. Distribution, contamination and source identification of heavy metals in bed sediments from the lower reaches of the Xiangjiang River in Hunan province, China. Sci. Total Environ. 2019, 689, 557–570. [Google Scholar] [CrossRef]
- Zhang, J.; Yang, R.; Li, Y.C.; Peng, Y.; Wen, X.; Ni, X. Distribution, accumulation, and potential risks of heavy metals in soil and tea leaves from geologically different plantations. Ecotoxicol. Environ. Saf. 2020, 195, 110475. [Google Scholar] [CrossRef]
- Qiao, J.; Zhu, Y.; Jia, X.; Shao, M.; Niu, X.; Liu, J. Distributions of arsenic and other heavy metals, and health risk assessments for groundwater in the Guanzhong Plain region of China. Environ. Res. 2020, 181, 108957. [Google Scholar] [CrossRef] [PubMed]
- Bian, F.; Zhong, Z.; Zhang, X.; Yang, C. Phytoremediation potential of moso bamboo (Phyllostachys pubescens) intercropped with Sedum plumbizincicola in metal-contaminated soil. Environ. Sci. Pollut. Res. Int. 2017, 24, 27244–27253. [Google Scholar] [CrossRef] [PubMed]
- Zhao, K.; Zhang, L.; Dong, J.; Wu, J.; Ye, Z.; Zhao, W.; Ding, L.; Fu, W. Risk assessment, spatial patterns and source apportionment of soil heavy metals in a typical Chinese hickory plantation region of southeastern China. Geoderma 2020, 360, 114011. [Google Scholar] [CrossRef]
- Zaharescu, D.G.; Hooda, P.S.; Soler, A.P.; Fernandez, J.; Burghelea, C.I. Trace metals and their source in the catchment of the high altitude Lake Respomuso, Central Pyrenees. Sci. Total Environ. 2009, 407, 3546–3553. [Google Scholar] [CrossRef] [PubMed]
- Ma, Y.; Wang, Y.; Chen, Q.; Li, Y.; Guo, D.; Nie, X.; Peng, X. Assessment of heavy metal pollution and the effect on bacterial community in acidic and neutral soils. Ecol. Indic. 2020, 117, 106626. [Google Scholar] [CrossRef]
- Sun, L.; Guo, D.; Liu, K.; Meng, H.; Zheng, Y.; Yuan, F.; Zhu, G. Levels, sources, and spatial distribution of heavy metals in soils from a typical coal industrial city of Tangshan, China. Catena 2019, 175, 101–109. [Google Scholar] [CrossRef]
- Liang, J.; Feng, C.; Zeng, G.; Gao, X.; Zhong, M.; Li, X.; Li, X.; He, X.; Fang, Y. Spatial distribution and source identification of heavy metals in surface soils in a typical coal mine city, Lianyuan, China. Environ. Pollut. 2017, 225, 681–690. [Google Scholar] [CrossRef]





| Risk Classification | RI | Risk Classification | |
|---|---|---|---|
| <40 | Low risk | <150 | Low risk |
| 40–80 | Moderate risk | 150–300 | Moderate risk |
| 80–160 | Considerable risk | 300–600 | Considerable risk |
| 160–320 | High risk | ≥600 | High risk |
| ≥320 | Very high risk |
| Samples | Heavy Metals | Mean (mg/kg) | Min. (mg/kg) | Max. (mg/kg) | Std. | CV | Kurtosis | Skewness |
|---|---|---|---|---|---|---|---|---|
| Soils (N = 8) | Cd | 0.15 | 0.11 | 0.30 | 0.06 | 40.00% | 6.86 | 2.56 |
| Hg | 0.02 | 0.01 | 0.04 | 0.01 | 50.00% | −1.02 | 0.84 | |
| As | 13.70 | 10.26 | 16.77 | 2.17 | 15.84% | −0.06 | −0.69 | |
| Pb | 27.12 | 19.45 | 43.97 | 7.51 | 27.69% | 4.34 | 1.82 | |
| Cr | 70.89 | 59.99 | 87.96 | 9.61 | 13.56% | 0.08 | 1.06 | |
| Cu | 26.10 | 21.59 | 33.87 | 5.28 | 20.23% | −1.64 | 0.72 | |
| Ni | 37.68 | 28.13 | 46.47 | 6.54 | 17.36% | −1.23 | 0.01 | |
| Zn | 79.88 | 64.49 | 95.95 | 10.48 | 13.12% | −0.66 | 0.06 | |
| Rocks (N = 27) | Cd | 0.10 | 0.01 | 0.32 | 0.07 | 70.00% | 1.78 | 1.37 |
| Hg | 0.05 | 0.01 | 0.25 | 0.05 | 100.00% | 7.63 | 2.67 | |
| As | 3.10 | 0.85 | 18.15 | 3.24 | 104.52% | 19.27 | 4.16 | |
| Pb | 22.10 | 8.05 | 54.85 | 9.63 | 43.57% | 3.96 | 1.39 | |
| Cr | 33.46 | 10.04 | 89.44 | 17.77 | 53.11% | 3.22 | 1.76 | |
| Cu | 9.41 | 2.73 | 28.72 | 7.48 | 79.49% | 1.01 | 1.52 | |
| Ni | 15.66 | 5.61 | 40.15 | 9.13 | 58.30% | 0.45 | 1.02 | |
| Zn | 73.96 | 11.10 | 124.50 | 29.58 | 39.99% | −0.39 | −0.05 | |
| Coal gangues (N = 4) | Cd | 0.10 | 0.04 | 0.16 | 0.06 | 60.00% | −5.18 | 0.13 |
| Hg | 0.10 | 0.02 | 0.27 | 0.11 | 110.00% | 1.84 | 1.48 | |
| As | 1.56 | 1.05 | 2.17 | 0.46 | 29.49% | 1.72 | 0.64 | |
| Pb | 20.19 | 5.39 | 31.48 | 12.85 | 63.65% | −4.09 | −0.33 | |
| Cr | 28.72 | 5.83 | 48.83 | 22.55 | 78.52% | −5.49 | −0.08 | |
| Cu | 17.17 | 10.01 | 25.01 | 8.28 | 48.22% | −5.86 | 0.02 | |
| Ni | 10.59 | 2.99 | 17.81 | 8.04 | 75.92% | −5.84 | −0.02 | |
| Zn | 44.54 | 15.03 | 69.79 | 26.64 | 59.81% | −4.44 | −0.20 |
| Cd | Hg | As | Pb | Cr | Cu | Ni | Zn | |
|---|---|---|---|---|---|---|---|---|
| Cd | 1 | |||||||
| Hg | 0.16 | 1 | ||||||
| As | 0.38 * | −0.04 | 1 | |||||
| Pb | 0.30 | 0.00 | 0.09 | 1 | ||||
| Cr | 0.10 | −0.33 | 0.58 ** | 0.41 * | 1 | |||
| Cu | 0.28 | −0.25 | 0.63 ** | 0.58 ** | 0.75 ** | 1 | ||
| Ni | 0.32 | −0.18 | 0.82 ** | 0.38 * | 0.74 ** | 0.87 ** | 1 | |
| Zn | 0.56 ** | −0.01 | −0.06 | 0.52 ** | 0.33 | 0.25 | 0.15 | 1 |
| pH | 0.22 | −0.09 | 0.26 | 0.30 | 0.22 | 0.32 | 0.35 * | 0.28 |
| SOM | 0.28 | 0.18 | 0.16 | 0.04 | −0.08 | 0.09 | 0.23 | −0.04 |
| N | 0.30 | 0.08 | 0.46 ** | 0.14 | 0.16 | 0.36 * | 0.56 ** | −0.07 |
| P | 0.26 | −0.27 | 0.51 ** | 0.17 | 0.49 ** | 0.49 ** | 0.53 ** | 0.14 |
| K | −0.08 | −0.46 ** | 0.03 | 0.33 | 0.38 * | 0.30 | 0.27 | 0.38 * |
Publisher’s Note: MDPI stays neutral with regard to jurisdictional claims in published maps and institutional affiliations. |
© 2022 by the authors. Licensee MDPI, Basel, Switzerland. This article is an open access article distributed under the terms and conditions of the Creative Commons Attribution (CC BY) license (https://creativecommons.org/licenses/by/4.0/).
Share and Cite
Liu, X.; Jing, M.; Bai, Z. Heavy Metal Concentrations of Soil, Rock, and Coal Gangue in the Geological Profile of a Large Open-Pit Coal Mine in China. Sustainability 2022, 14, 1020. https://doi.org/10.3390/su14021020
Liu X, Jing M, Bai Z. Heavy Metal Concentrations of Soil, Rock, and Coal Gangue in the Geological Profile of a Large Open-Pit Coal Mine in China. Sustainability. 2022; 14(2):1020. https://doi.org/10.3390/su14021020
Chicago/Turabian StyleLiu, Xiaoyang, Ming Jing, and Zhongke Bai. 2022. "Heavy Metal Concentrations of Soil, Rock, and Coal Gangue in the Geological Profile of a Large Open-Pit Coal Mine in China" Sustainability 14, no. 2: 1020. https://doi.org/10.3390/su14021020
APA StyleLiu, X., Jing, M., & Bai, Z. (2022). Heavy Metal Concentrations of Soil, Rock, and Coal Gangue in the Geological Profile of a Large Open-Pit Coal Mine in China. Sustainability, 14(2), 1020. https://doi.org/10.3390/su14021020

