Operational Decision and Sustainability of Green Agricultural Supply Chain with Consumer-Oriented Altruism
Abstract
1. Introduction
- (1)
- What is the optimal operational decision of the green agricultural supply chain with consumer-oriented altruism?
- (2)
- How can we systematically describe the economic, environmental, and social sustainability of the green agricultural supply chain?
- (3)
- How does consumer-oriented altruism influence the economic, environmental, and social sustainability of the green agricultural supply chain, respectively, and systematically?
- (4)
- What are the differences between the impact of the manufacturer’s consumer-oriented altruism and that of the retailer’s on each dimension of sustainability?
2. Literature Review
2.1. Sustainability in Agricultural Supply Chain
- (1)
- Environmental cross economic sustainability of agricultural supply chain.
- (2)
- Social cross economic sustainability of agricultural supply chain.
- (3)
- Mingled ternary sustainabilities of agricultural supply chain.
2.2. Altruism in Agricultural Supply Chain
- (1)
- Altruism in low-carbon supply chain.
- (2)
- Altruism in green supply chain.
- (3)
- Altruism in service supply chain.
- (4)
- Altruism in touristic supply chain.
- (5)
- Altruism in generic supply chain without specific area or topic.
3. Problem Description
3.1. Assumptions
3.1.1. Assumption of Market Demand
3.1.2. Assumption of Green Investment
3.1.3. Assumption of Consumer-Oriented Altruism
3.1.4. Assumption of Operational Decision
3.2. Notations
3.2.1. Parameters
3.2.2. Decision Variables
3.2.3. Symbols
4. Operational Decision of Green Agricultural Supply Chain
4.1. Optimization Model
4.2. Green Level and Wholesale Pricing Decision
4.3. Retail Pricing Decision
5. Sustainability of Green Agricultural Supply Chain
5.1. Economic Sustainability
5.2. Environmental Sustainability
5.3. Social Sustainability
6. Impact of Consumer-Oriented Altruism on Sustainability
6.1. Impact of Retailer’s Consumer-Oriented Altruism
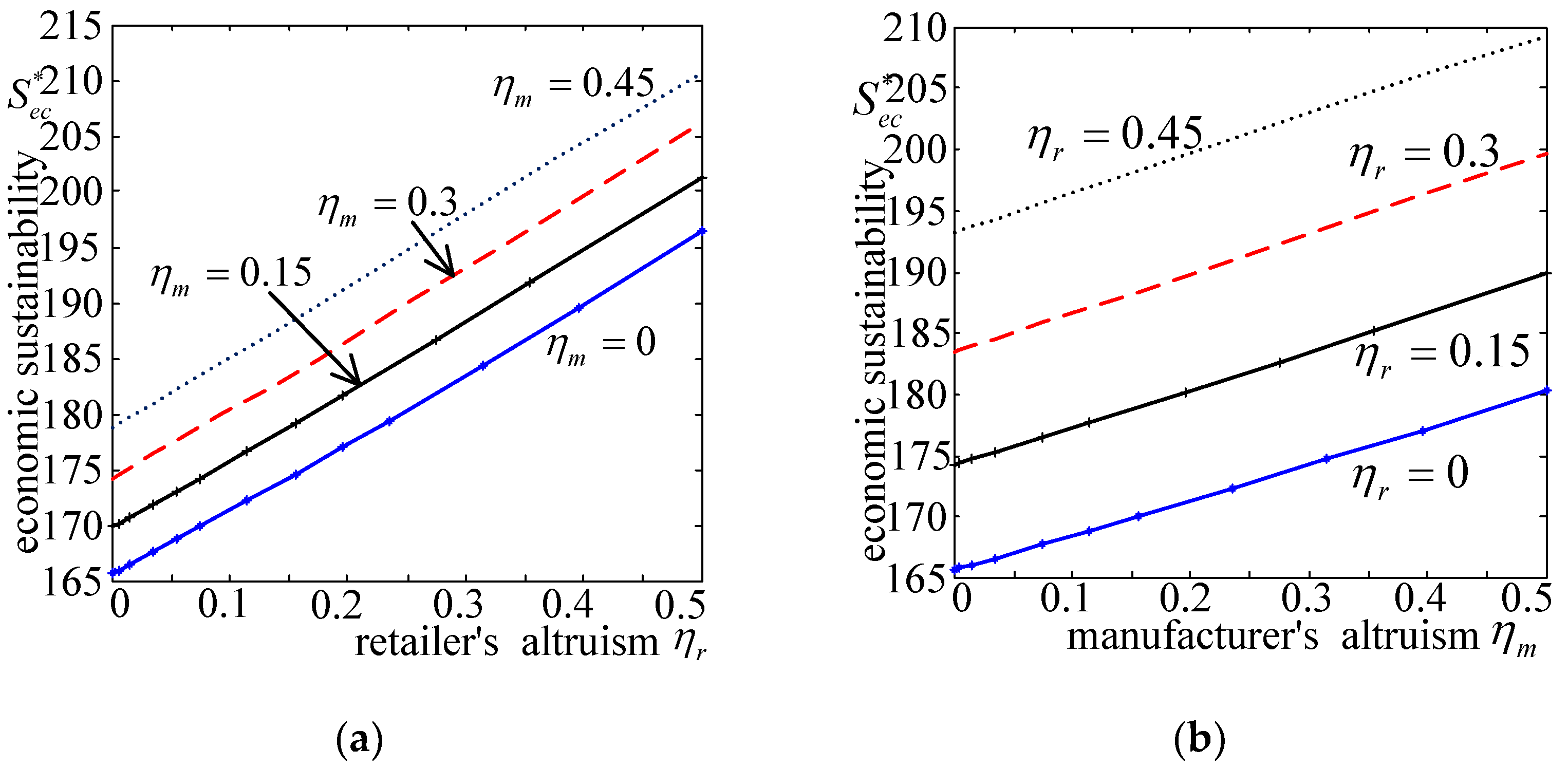
6.1.1. On Economic Sustainability
6.1.2. On Environmental Sustainability
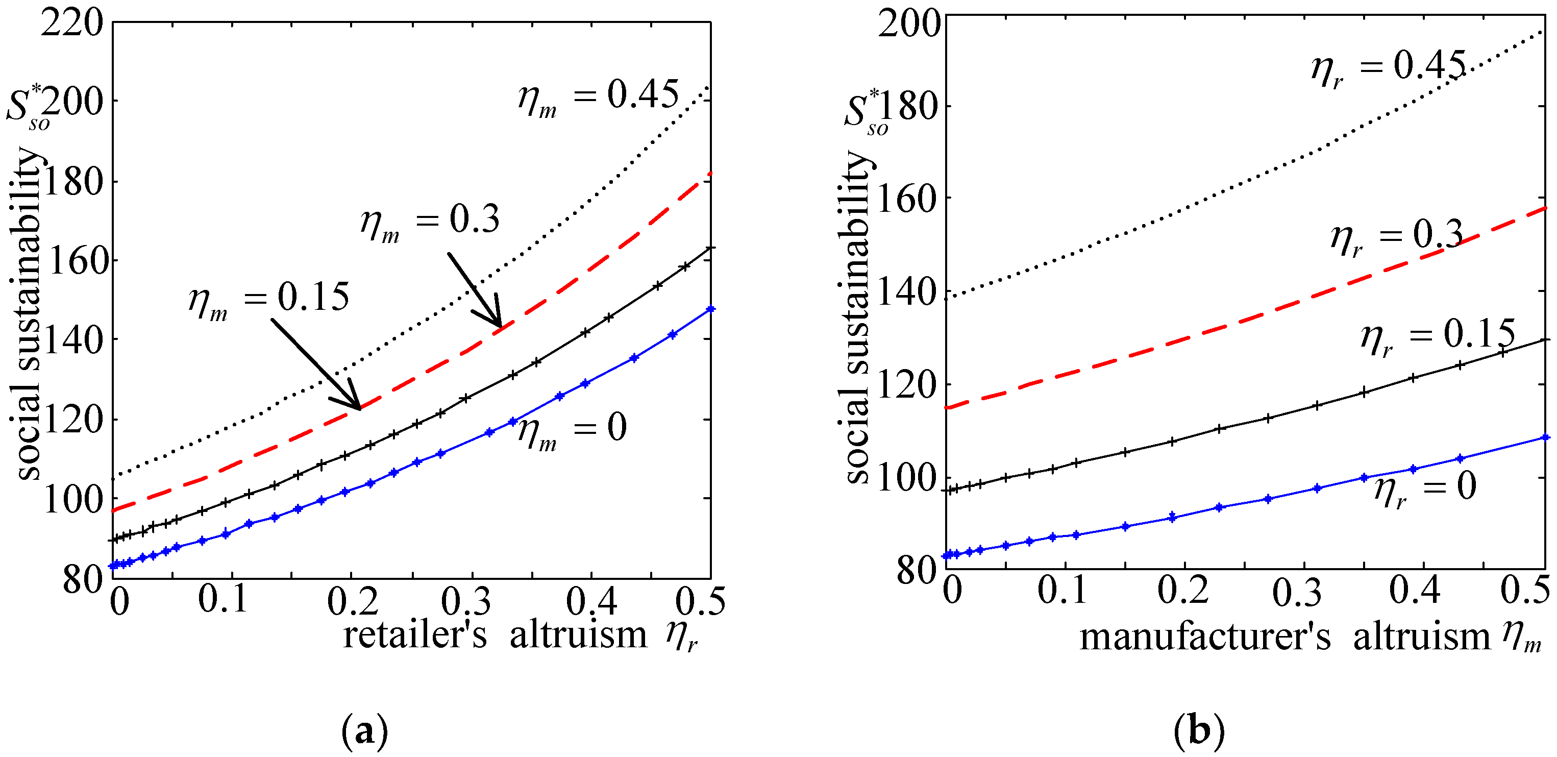
6.1.3. On Social Sustainability
6.1.4. Systematic Impacts
6.2. Impact of Manufacturer’s Consumer-Oriented Altruism
6.2.1. On Economic Sustainability
6.2.2. On Environmental Sustainability
6.2.3. On Social Sustainability
6.2.4. Systematic Impacts
6.3. Comparing Impacts of Retailer’s and Manufacturer’s Consumer-Oriented Altruism
6.3.1. Comparing Impacts on Economic Sustainability
6.3.2. Comparing Impacts on Environmental Sustainability
6.3.3. Comparing Impacts on Social Sustainability
6.3.4. Systematic Comparisons
7. Case Study
7.1. Green Strategy of DFF Supply Chain
7.2. Sustainability of DFF Supply Chain
7.2.1. Economic Sustainability
7.2.2. Environmental Sustainability
7.2.3. Social Sustainability
8. Conclusions
8.1. Main Findings
8.2. Managerial Implications
8.3. Future Directions
Author Contributions
Funding
Institutional Review Board Statement
Informed Consent Statement
Data Availability Statement
Conflicts of Interest
Appendix A
References
- Searchinger, T.; Waite, R.; Hanson, C.; Ranganathan, J.; Dumas, P.; Matthews, E.; Klirs, C. Creating a Sustainable Food Future: A Menu of Solutions to Feed nearly 10 Billion People by 2050; World Resource Institutes: Washington, DC, USA, 2019; pp. 311–315. [Google Scholar]
- FAO; IFAD; UNICEF; WFP; WHO. The State of Food Security and Nutrition in the World 2022. Repurposing Food and Agricultural Policies to Make Healthy Diets More Affordable; FAO: Rome, Italy, 2022. [Google Scholar] [CrossRef]
- Qiao, H.; Zheng, F.T.; Jiang, H.D.; Dong, K.Y. The greenhouse effect of the agriculture-economic growth-renewable energy nexus: Evidence from G20 countries. Sci. Total Environ. 2019, 671, 722–731. [Google Scholar] [CrossRef] [PubMed]
- Brundtland, C.H. Our Common Future. World Commission on Environment and Development; Oxford University Press: London, UK, 1987. [Google Scholar]
- Ahi, P.; Searcy, C. Assessing sustainability in the supply chain: A triple bottom line approach. Appl. Math. Model. 2015, 39, 2882–2896. [Google Scholar] [CrossRef]
- Singh, S.; Srivastava, S.K. Decision support framework for integrating triple bottom line (TBL) sustainability in agriculture supply chain. Sustain. Account. Manag. Policy J. 2022, 13, 387–413. [Google Scholar] [CrossRef]
- Barbosa-Povoa, A.P.; da Silva, C.; Carvalho, A. Opportunities and challenges in sustainable supply chain: An operations research perspective. Eur. J. Oper. Res. 2018, 268, 399–431. [Google Scholar] [CrossRef]
- Kumar, A.; Mangla, S.K.; Kumar, P. An integrated literature review on sustainable food supply chains: Exploring research themes and future directions. Sci. Total Environ. 2022, 821, 153411. [Google Scholar] [CrossRef] [PubMed]
- Nematollahi, M.; Tajbakhsh, A. Past, present, and prospective themes of sustainable agricultural supply chains. J. Clean. Prod. 2020, 271, 122201. [Google Scholar] [CrossRef]
- Wang, Y.Y.; Yu, Z.Q.; Jin, M.Z.; Mao, J.F. Decisions and coordination of retailer-led low-carbon supply chain under altruistic preference. Eur. J. Oper. Res. 2021, 293, 910–925. [Google Scholar] [CrossRef]
- Zhang, Z.Y.; Yu, L.Y. Supply chain joint emission reduction differential decisions and coordination considering altruism and reference low-carbon effect. Environ. Sci. Pollut. Res. Int. 2022, 29, 22325–22349. [Google Scholar] [CrossRef]
- Meneghetti, A.; Monti, L. Greening the food supply chain: An optimization model for sustainable design of refrigerated automated warehouses. Int. J. Prod. Res. 2015, 53, 6567–6587. [Google Scholar] [CrossRef]
- Colicchia, C.; Creazza, A.; Dallari, F.; Melacini, M. Eco-efficient supply chain networks: Development of a design framework and application to a real case study. Prod. Plan. Control 2016, 27, 157–168. [Google Scholar] [CrossRef]
- Jonkman, J.; Barbosa-Povoa, A.P.; Bloemhof, J.M. Integrating harvesting decisions in the design of agro-food supply chains. Eur. J. Oper. Res. 2019, 276, 247–258. [Google Scholar] [CrossRef]
- Manteghi, Y.; Arkat, J.; Mahmoodi, A.; Farvaresh, H. Competition and cooperation in the sustainable food supply chain with a focus on social issues. J. Clean. Prod. 2021, 285, 124872. [Google Scholar] [CrossRef]
- Danloup, N.; Mirzabeiki, V.; Allaoui, H.; Goncalves, G.; Julien, D.; Mena, C. Reducing transportation greenhouse gas emissions with collaborative distribution: A case study. Manag. Res. Rev. 2015, 38, 1049–1067. [Google Scholar] [CrossRef]
- Bortolini, M.; Faccio, M.; Gamberi, M.; Pilati, F. Multi-objective design of multi-modal fresh food distribution networks. Int. J. Logist. Syst. Manag. 2016, 24, 155–177. [Google Scholar] [CrossRef]
- Accorsi, R.; Gallo, A.; Manzini, R. A climate driven decision-support model for the distribution of perishable products. J. Clean. Prod. 2017, 165, 917–929. [Google Scholar] [CrossRef]
- Huang, H.; He, Y.; Li, D. Pricing and inventory decisions in the food supply chain with production disruption and controllable deterioration. J. Clean. Prod. 2018, 180, 280–296. [Google Scholar] [CrossRef]
- Sunar, N.; Plambeck, E. Allocating emissions among co-products: Implications for procurement and climate policy. Manuf. Serv. Oper. Manag. 2016, 18, 414–428. [Google Scholar] [CrossRef]
- Ye, F.; Lin, Q.; Li, Y. Coordination for contract farming supply chain with stochastic yield and demand under CVaR criterion. Oper. Res. 2020, 20, 369–397. [Google Scholar] [CrossRef]
- Wen, W.; Zhou, P. Impacts of regional governmental incentives on the straw power industry in China: A game-theoretic analysis. J. Clean. Prod. 2018, 203, 1095–1105. [Google Scholar] [CrossRef]
- Song, L.A.; Luo, Y.Q.; Chang, Z.X.; Jin, C.H.; Nicolas, M. Blockchain adoption in agricultural supply chain for better sustainability: A game theory perspective. Sustainability 2022, 14, 1470. [Google Scholar] [CrossRef]
- Chen, C.; Zhang, J.; Delaurentis, T. Quality control in food supply chain management: An analytical model and case study of the adulterated milk incident in China. Int. J. Prod. Econ. 2014, 152, 188–199. [Google Scholar] [CrossRef]
- Wang, J.; Yue, H.; Zhou, Z. An improved traceability system for food quality assurance and evaluation based on fuzzy classification and neural network. Food Control 2017, 79, 363–370. [Google Scholar] [CrossRef]
- Pal, A.; Kant, K. Internet of perishable logistics: Building smart fresh food supply chain networks. IEEE Access 2019, 7, 17675–17695. [Google Scholar] [CrossRef]
- Hsu, V.N.; Lai, G.M.; Liang, G.T. Agricultural partnership for dairy farming. Prod. Oper. Manag. 2019, 28, 3042–3059. [Google Scholar] [CrossRef]
- Zhao, X.F.; Wang, P.; Pal, R. The effects of agri-food supply chain integration on product quality and financial performance: Evidence from Chinese agri-food processing business. Int. J. Prod. Econ. 2021, 231, 107832. [Google Scholar] [CrossRef]
- Sazvar, Z.; Rahmani, M.; Govindan, K. A sustainable supply chain for organic, conventional agro-food products: The role of demand substitution, climate change and public health. J. Clean. Prod. 2018, 194, 564–583. [Google Scholar] [CrossRef]
- Wang, X.; Fan, Z.P.; Liu, Z. Optimal markdown policy of perishable food under the consumer price fairness perception. Int. J. Prod. Res. 2016, 54, 5811–5828. [Google Scholar] [CrossRef]
- Gonela, V.; Zhang, J.; Osmani, A.; Onyeaghala, R. Stochastic optimization of sustainable hybrid generation bioethanol supply chains. Transp. Res. Part E Logist. Transp. Rev. 2015, 77, 1–28. [Google Scholar] [CrossRef]
- Rohmer, S.U.K.; Gerdessen, J.C.; Claassen, G.D.H. Sustainable supply chain design in the food system with dietary considerations: A multi-objective analysis. Eur. J. Oper. Res. 2019, 273, 1149–1164. [Google Scholar] [CrossRef]
- Hoang, V. Modern short food supply chain, good agricultural practices, and sustainability: A conceptual framework and case study in Vietnam. Agronomy 2021, 11, 2408. [Google Scholar] [CrossRef]
- Chaabane, A.; As’ad, R.; Geramianfar, R.; Bahroun, Z. Utilizing energy transition to drive sustainability in cold supply chains: A case study in the frozen food industry. RAIRO-Oper. Res. 2022, 56, 1119–1147. [Google Scholar] [CrossRef]
- Allaoui, H.; Guo, Y.H.; Choudhary, A.; Bloemhof, J. Sustainable agro-food supply chain design using two-stage hybrid multi-objective decision-making approach. Comput. Oper. Res. 2018, 89, 369–384. [Google Scholar] [CrossRef]
- Niederhoff, J.A.; Kouvelis, P. Generous, spiteful, or profit maximizing suppliers in the wholesale price contract: A behavioral study. Eur. J. Oper. Res. 2016, 253, 372–382. [Google Scholar] [CrossRef]
- Fan, R.G.; Lin, J.C.; Zhu, K.W. Study of game models and the complex dynamics of a low-carbon supply chain with an altruistic retailer under consumers’ low-carbon preference. Physica A 2019, 528, 121460. [Google Scholar] [CrossRef]
- Wang, Y.Y.; Fan, R.J.; Shen, L.; Miller, W. Recycling decisions of low-carbon e-commerce closed-loop supply chain under government subsidy mechanism and altruistic preference. J. Clean. Prod. 2020, 259, 120883. [Google Scholar] [CrossRef]
- Ma, D.Q.; Hu, J.S.; Yao, F.J. Big data empowering low-carbon smart tourism study on low-carbon tourism O2O supply chain considering consumer behaviors and corporate altruistic preferences. Comput. Ind. Eng. 2021, 153, 107061. [Google Scholar] [CrossRef]
- Liu, J.F.; Zhou, L.G.; Wang, Y.Y. Altruistic preference models of low-carbon e-commerce supply chain. Mathematics 2021, 9, 1682. [Google Scholar] [CrossRef]
- Wang, H.; He, Y.M.; Ding, Q.Y. The impact of network externalities and altruistic preferences on carbon emission reduction of low carbon supply chain. Environ. Sci. Pollut. Res. 2022, 29, 66259–66276. [Google Scholar] [CrossRef]
- Huang, H.; Zhang, J.; Ren, X.; Zhou, X. Greenness and pricing decisions of cooperative supply chains considering altruistic preferences. Int. J. Environ. Res. Public Health 2019, 16, 51. [Google Scholar] [CrossRef]
- Wei, G.X.; Chen, X.; Qin, X.H. Product greenness and pricing strategy of supply chain incorporating asymmetric heterogeneous preferences. IEEE Access 2021, 9, 11563–11584. [Google Scholar] [CrossRef]
- Rong, L.Q.; Xu, M.Z. Impact of altruistic preference and government subsidy on the multinational green supply chain under dynamic tariff. Environ. Dev. Sustain. 2022, 24, 1928–1958. [Google Scholar] [CrossRef]
- Liu, G.D.; Chen, J.G.; Li, Z.Y.; Zhu, H.G. Green supply chain innovation strategies considering government subsidy and altruistic preference. Math. Probl. Eng. 2022, 2022, 5495374. [Google Scholar] [CrossRef]
- Liu, W.H.; Yan, X.Y.; Wei, W.Y.; Xie, D.; Wang, D. Altruistic preference for investment decisions in the logistics service supply chain. Eur. J. Ind. Eng. 2018, 12, 598–635. [Google Scholar] [CrossRef]
- Qin, X.H.; Cao, Y.Y.; Wu, S.B.; Lin, Q.; Yang, D.P. Interactive decisions analysis in an online shopping service supply chain considering reciprocal altruism. IEEE Access 2020, 8, 138984–138998. [Google Scholar] [CrossRef]
- Ma, D.Q.; Hu, J.S.; Wang, W.H. Differential game of product-service supply chain considering consumers’ reference effect and supply chain members’ reciprocity altruism in the online-to-offline mode. Ann. Oper. Res. 2021, 304, 263–297. [Google Scholar] [CrossRef]
- Wang, D.; Liu, W.H.; Liang, Y.J.; Wei, S. Decision optimization in service supply chain: The impact of demand and supply driven data value and altruism. Ann. Oper. Res. 2022; in press. [Google Scholar] [CrossRef]
- Wan, X.L.; Jiang, B.C.; Qin, M.; Du, Y.W. Pricing decision and coordination contract in low-carbon tourism supply chains based on altruism preference. Environ. Eng. Manag. J. 2019, 18, 2501–2518. [Google Scholar]
- Wan, X.L.; Jiang, B.C.; Li, Q.Q.; Hou, X.Q. Dual-channel environmental hotel supply chain network equilibrium decision under altruism preference and demand uncertainty. J. Clean. Prod. 2020, 271, 122595. [Google Scholar] [CrossRef]
- Xu, F.; Wang, H.L. Competitive-cooperative strategy based on altruism for dual-channel supply chains. Sustainability 2018, 10, 2103. [Google Scholar] [CrossRef]
- Lin, Z. Price and location competition in supply chain with horizontal altruistic retailers. Flex. Serv. Manuf. J. 2019, 31, 255–278. [Google Scholar] [CrossRef]
- Wiedmer, R.; Whipple, J.M.; Griffis, S.E.; Voorhees, C.M. Resource scarcity perceptions in supply chains: The effect of buyer altruism on the propensity for collaboration. J. Supply. Chain. Manag. 2020, 56, 45–64. [Google Scholar] [CrossRef]
- Zhai, J.; Xia, W.B.; Yu, H. Capital-constrained supply chain with altruism and reciprocity. J. Ambient. Intell. Humaniz. Comput. 2020, 11, 5665–5676. [Google Scholar] [CrossRef]
- Hu, H.J.; Li, Y.K.; Li, M.D.; Zhu, W.P.; Chan, F.Z. Optimal decision-making of green agricultural product supply chain with fairness concerns. J. Ind. Manag. Optim. 2022; in press. [Google Scholar] [CrossRef]
- Perlman, Y.; Ozinci, Y.; Westrich, S. Pricing decisions in a dual supply chain of organic and conventional agricultural products. Ann. Oper. Res. 2022, 314, 601–616. [Google Scholar] [CrossRef]
- Sinayi, M.; Rasti-Barzoki, M. A game theoretic approach for pricing, greening, and social welfare policies in a supply chain with government intervention. J. Clean. Prod. 2018, 196, 1443–1458. [Google Scholar] [CrossRef]
- Yalabik, B.; Fairchild, R.J. Customer, regulatory, and competitive pressure as drivers of environmental innovation. Int. J. Prod. Econ. 2011, 131, 519–527. [Google Scholar] [CrossRef]
- Swami, S.; Shah, J. Channel coordination in green supply chain management. J. Oper. Res. Soc. 2013, 64, 336–351. [Google Scholar]
- Wang, N.N.; Fan, Z.P.; Chen, X. Effect of fairness on channel choice of the mobile phone supply chain. Int. Trans. Oper. Res. 2021, 28, 2110–2138. [Google Scholar] [CrossRef]
- Miranda-Ackerman, M.A.; Azzaro-Pantel, C.; Aguilar-Lasserre, A.A. A green supply chain network design framework for the processed food industry: Application to the orange juice agro-food cluster. Comput. Ind. Eng. 2017, 109, 369–389. [Google Scholar] [CrossRef]
- Qu, S.J.; Yang, H.; Ji, Y. Low-carbon supply chain optimization considering warranty period and carbon emission reduction level under cap-and-trade regulation. Environ. Dev. Sustain. 2021, 23, 18040–18067. [Google Scholar] [CrossRef]
- Bubicz, M.E.; Barbosa-Povoa, A.P.F.D.; Carvalho, A. Social sustainability management in the apparel supply chains. J. Clean. Prod. 2021, 280, 124214. [Google Scholar] [CrossRef]
- Du Family Farm: Firmly Hold the “Rice Bag” and Implement 811 Strategy of Quality Rice. Available online: http://jiangsu.china.com.cn/html/finance/sankei/10972915_1.html (accessed on 9 June 2022).
- Du, J.G.; Pu, T.F.; Zhu, X.W. Research on coordination of green agricultural products supply chain under double uncertainty of production and demand. Ecol. Econ. 2021, 37, 103–110. [Google Scholar]



Publisher’s Note: MDPI stays neutral with regard to jurisdictional claims in published maps and institutional affiliations. |
© 2022 by the authors. Licensee MDPI, Basel, Switzerland. This article is an open access article distributed under the terms and conditions of the Creative Commons Attribution (CC BY) license (https://creativecommons.org/licenses/by/4.0/).
Share and Cite
Wei, G.; Zhou, L.; Bary, B. Operational Decision and Sustainability of Green Agricultural Supply Chain with Consumer-Oriented Altruism. Sustainability 2022, 14, 12210. https://doi.org/10.3390/su141912210
Wei G, Zhou L, Bary B. Operational Decision and Sustainability of Green Agricultural Supply Chain with Consumer-Oriented Altruism. Sustainability. 2022; 14(19):12210. https://doi.org/10.3390/su141912210
Chicago/Turabian StyleWei, Guangxing, Linrong Zhou, and Binta Bary. 2022. "Operational Decision and Sustainability of Green Agricultural Supply Chain with Consumer-Oriented Altruism" Sustainability 14, no. 19: 12210. https://doi.org/10.3390/su141912210
APA StyleWei, G., Zhou, L., & Bary, B. (2022). Operational Decision and Sustainability of Green Agricultural Supply Chain with Consumer-Oriented Altruism. Sustainability, 14(19), 12210. https://doi.org/10.3390/su141912210

