Anthropic Changes in Land Use and Land Cover and Their Impacts on the Hydrological Variables of the São Francisco River Basin, Brazil
Abstract
1. Introduction
2. Materials and Methods
2.1. Study Area
2.2. Used Data
2.2.1. Hydrological Data
2.2.2. Land Use and Land Cover Data
2.3. Potential Evapotranspiration Estimation
2.4. Trend Analysis
2.4.1. Mann–Kendall Test
2.4.2. Sen’s Slope
2.5. Analysis of the Anthropic Changes’ Impact on the Surface Runoff—Conceptual Approach
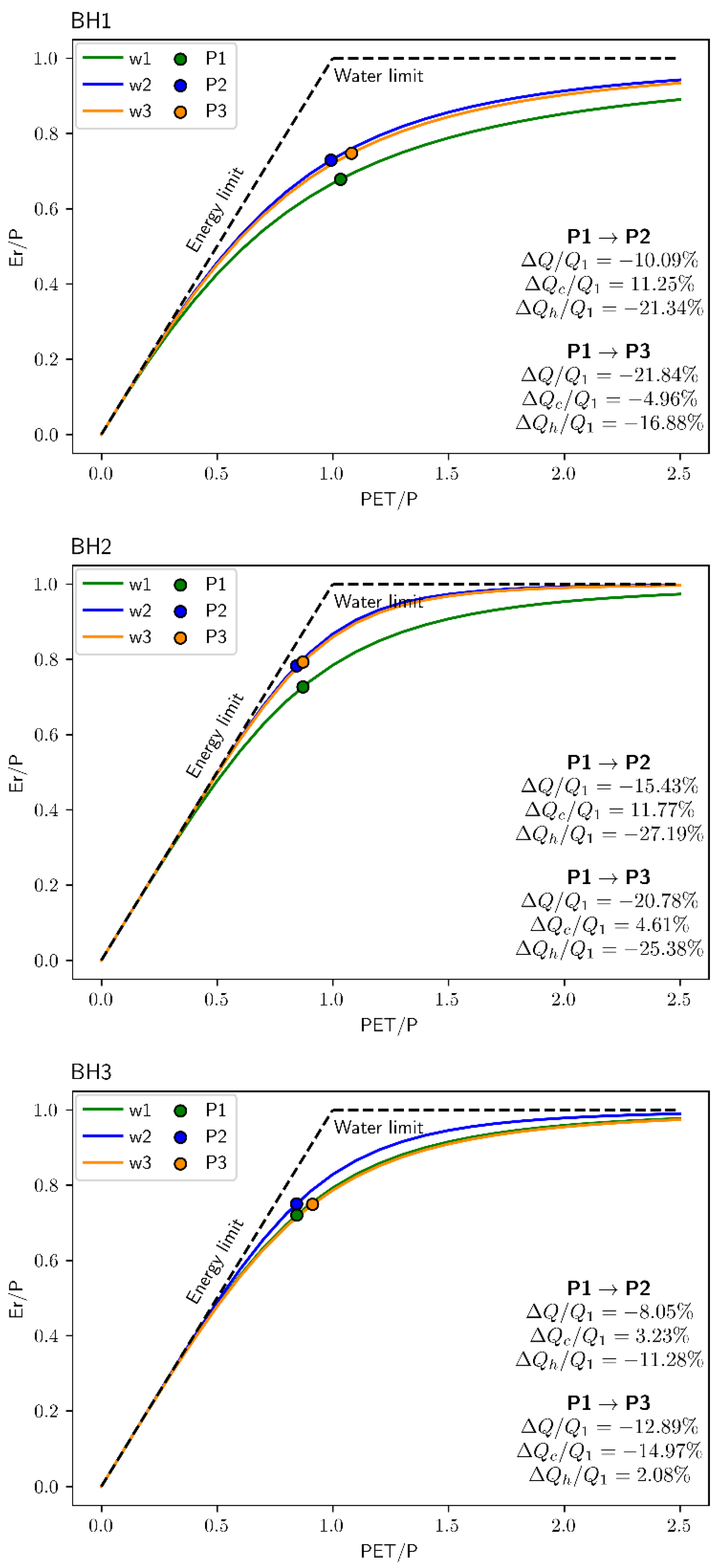
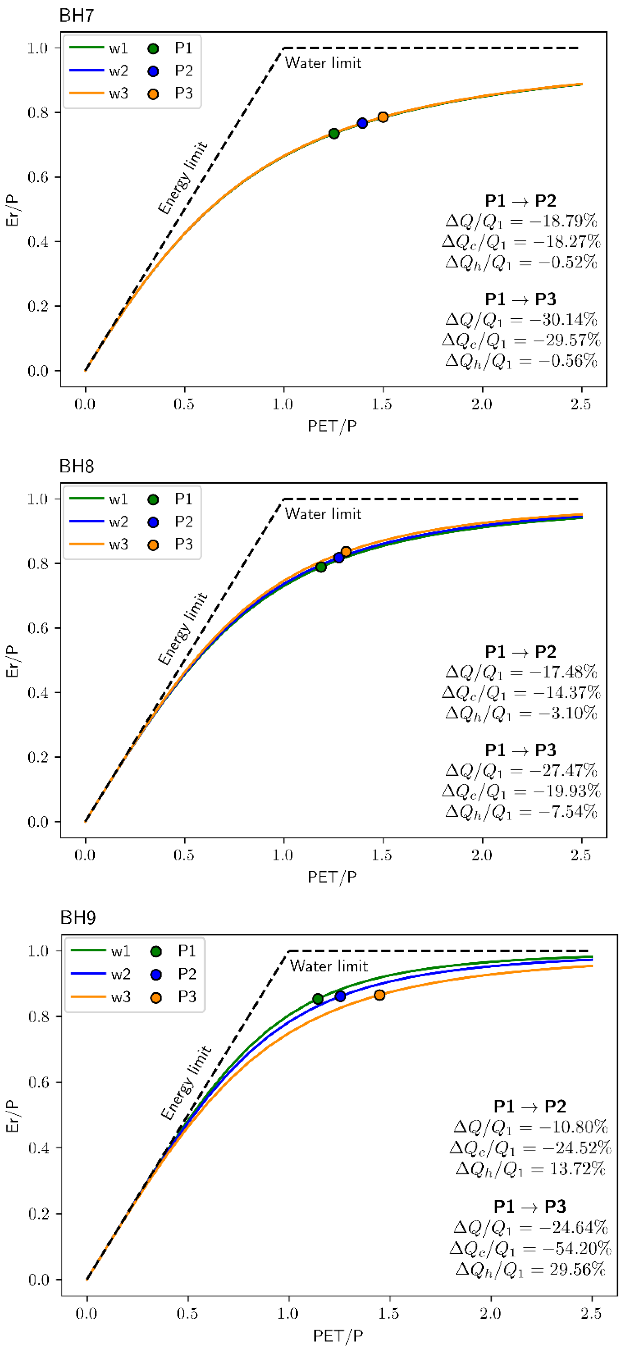
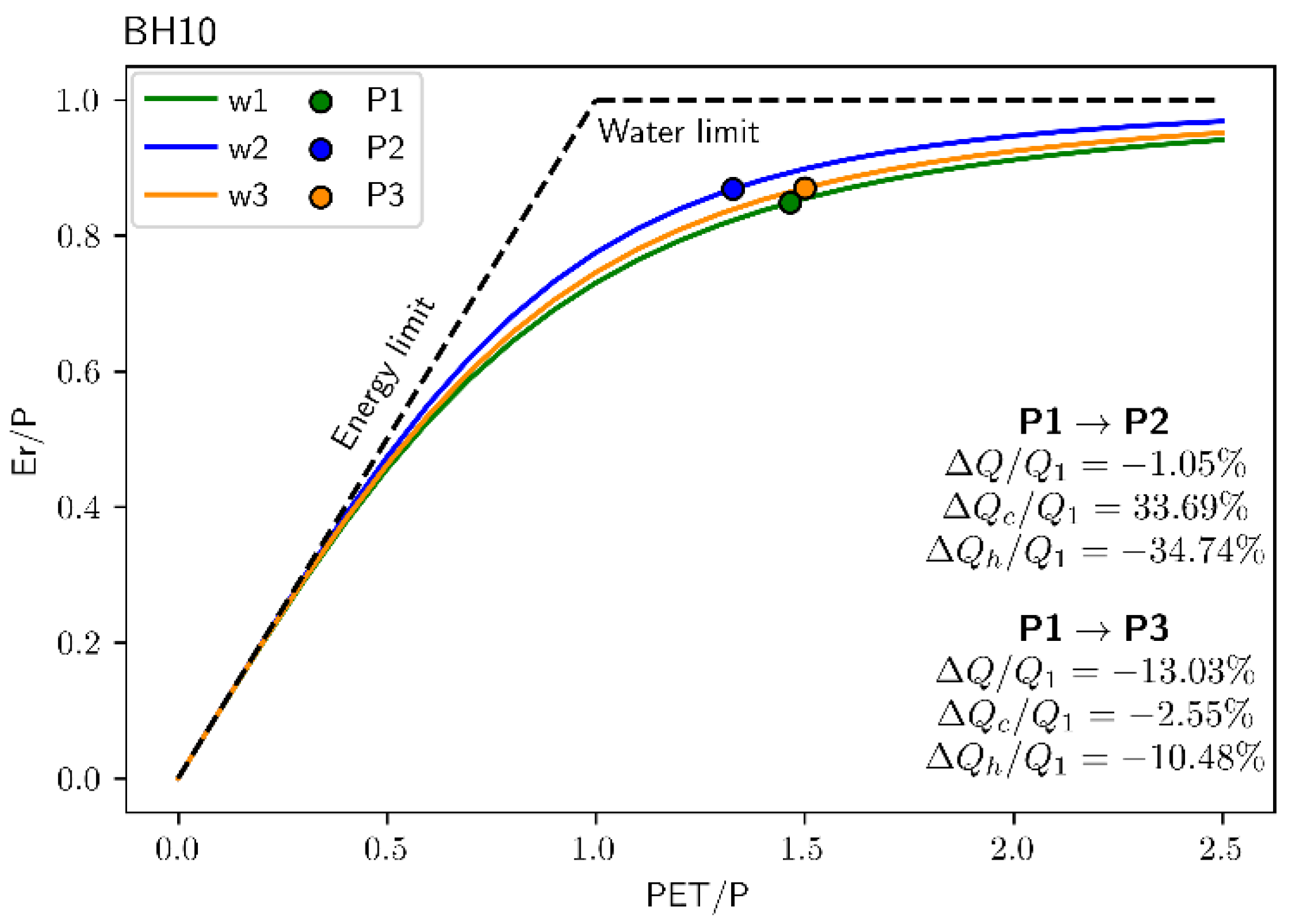
2.5.1. Budyko Hypothesis
2.5.2. Fu’s Equation
2.5.3. Decomposition of Streamflow Variation via the Budyko Hypothesis
- The total variation of streamflow (anthropic + climatic contributions) between the pre- and post-change period is equivalent to the difference in streamflow between points C and A, because, among these points, there are changes in the climatic variables: and , and the parameter referring to the physical properties of the basin: ;
- The climatic component of streamflow variation is equivalent to the difference of streamflow between points B and A because, from one point to another, there is only alteration in climate variables: and , and the parameter stays constant;
- The anthropic component of streamflow variation is equivalent to the difference of streamflow between points C and B, since there is alteration only in the parameter referring to the physical properties of the basin , while the climatic variables remain the same.

2.6. Analysis of the Impact of Anthropic Changes on Surface Runoff—Analytical Apporach
2.6.1. Streamflow Climate Elasticity
2.6.2. Impact Separation via Streamflow Climate Elasticity
3. Results
3.1. Land Use and Land Cover Dynamics
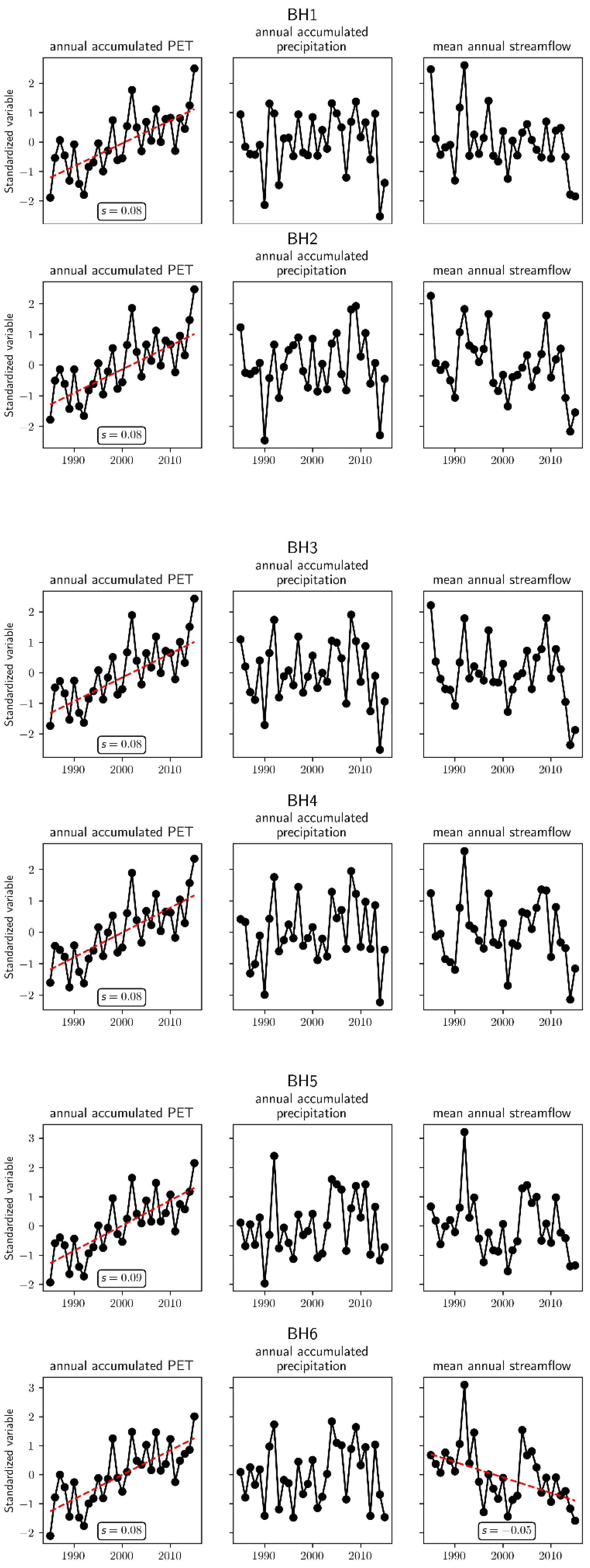
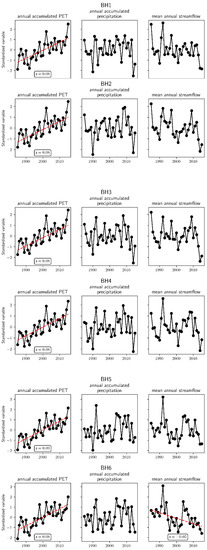
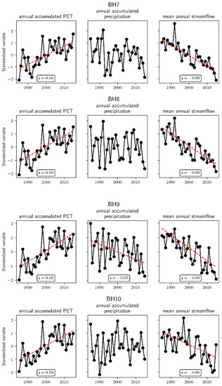
3.2. Trend of Hydrological Variables
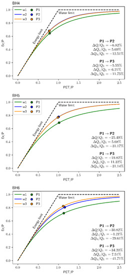
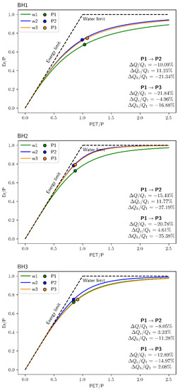
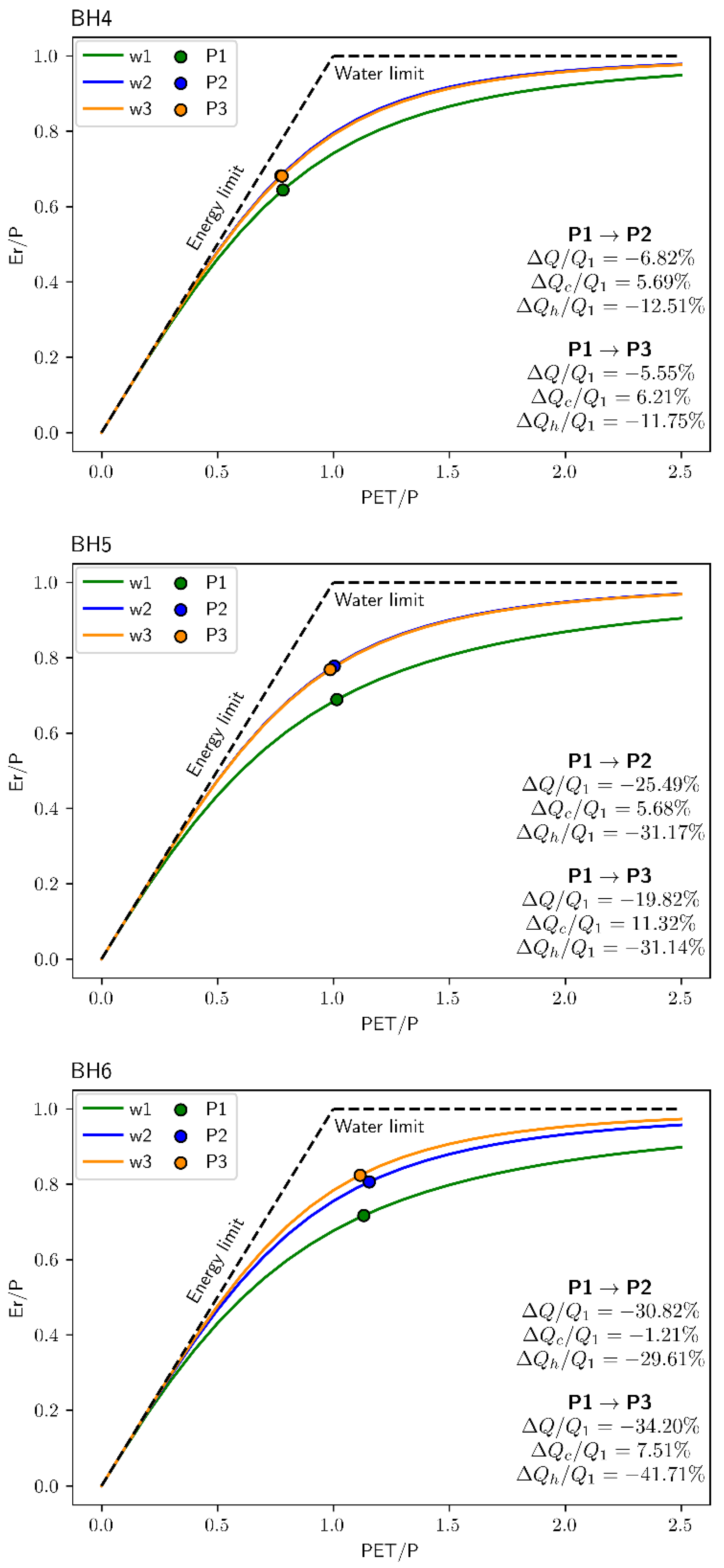
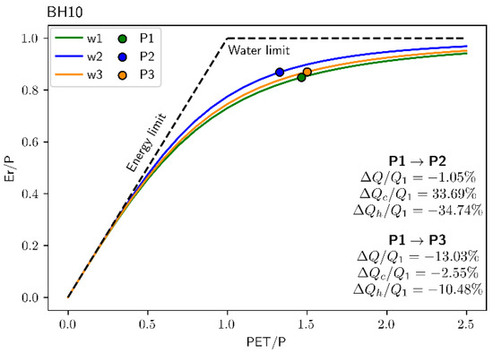
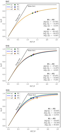
3.3. Impact of Anthropic Changes in Surface Runoff
3.3.1. Conceptual Approach
3.3.2. Analytical Approach
4. Discussion
4.1. SFRB LULC Dynamic
4.2. Trend of Hydrological Variables
4.3. Impacts on Surface Runoff
5. Conclusions and Recommendations
Author Contributions
Funding
Institutional Review Board Statement
Informed Consent Statement
Data Availability Statement
Conflicts of Interest
References
- Maghsoodi, M.R.; Ghodszad, L.; Asgari Lajayer, B. Dilemma of hydroxyapatite nanoparticles as phosphorus fertilizer: Potentials, challenges and effects on plants. Environ. Technol. Innov. 2020, 19, 100869. [Google Scholar] [CrossRef]
- Shahi Khalaf Ansar, B.; Kavusi, E.; Dehghanian, Z.; Pandey, J.; Asgari Lajayer, B.; Price, G.W.; Astatkie, T. Removal of organic and inorganic contaminants from the air, soil, and water by algae. Environ. Sci. Pollut. Res. 2022, 1–29. [Google Scholar] [CrossRef] [PubMed]
- Bosmans, J.H.C.; van Beek, L.P.H.; Sutanudjaja, E.H.; Bierkens, M.F.P. Hydrological impacts of global land cover change and human water use. Hydrol. Earth Syst. Sci. 2017, 21, 5603–5626. [Google Scholar] [CrossRef]
- van Loon, A.F.; van Lanen, H.A.J. Making the distinction between water scarcity and drought using an observation-modeling framework. Water Resour. Res. 2013, 49, 1483–1502. [Google Scholar] [CrossRef]
- van Loon, A.F.; Stahl, K.; di Baldassarre, G.; Clark, J.; Rangecroft, S.; Wanders, N.; Gleeson, T.; van Dijk, A.I.J.M.; Tallaksen, L.M.; Hannaford, J.; et al. Drought in a human-modified world: Reframing drought definitions, understanding, and analysis approaches. Hydrol. Earth Syst. Sci. 2016, 20, 3631–3650. [Google Scholar] [CrossRef]
- Souza, C.M.; Shimbo, J.Z.; Rosa, M.R.; Parente, L.L.; Alencar, A.A.; Rudorff, B.F.T.; Hasenack, H.; Matsumoto, M.; Ferreira, L.G.; Souza-Filho, P.W.M.; et al. Reconstructing Three Decades of Land Use and Land Cover Changes in Brazilian Biomes with Landsat Archive and Earth Engine. Remote Sens. 2020, 12, 2735. [Google Scholar] [CrossRef]
- Mapbiomas. Projeto Mapbiomas—Mapeamento da Superfície de Água no Brasil (Coleção 1). 2021. Available online: https://mapbiomas-br-site.s3.amazonaws.com/MapBiomas_A%CC%81gua_Agosto_2021_22082021_OK_v2.pdf (accessed on 3 February 2020).
- Rangecroft, S.; van Loon, A.F.; Maureira, H.; Verbist, K.; Hannah, D.M. An observation-based method to quantify the human influence on hydrological drought: Upstream–downstream comparison. Hydrol. Sci. J. 2019, 64, 276–287. [Google Scholar] [CrossRef]
- Xu, Y.; Zhang, X.; Wang, X.; Hao, Z.; Singh, V.P.; Hao, F. Propagation from meteorological drought to hydrological drought under the impact of human activities: A case study in northern China. J. Hydrol. 2019, 579, 124147. [Google Scholar] [CrossRef]
- Han, S.; Xu, D.; Yang, Z. Irrigation-induced changes in evapotranspiration demand of Awati irrigation district, northwest China: Weakening the effects of water saving? Sustainability 2017, 9, 1531. [Google Scholar] [CrossRef]
- Lu, Y.; Kueppers, L. Increased heat waves with loss of irrigation in the United States. Environ. Res. Lett. 2015, 10, 064010. [Google Scholar] [CrossRef]
- CBHSF. Plano de Recursos Hídricos da Bacia Hidrográfica Do Rio São Francisco 2016–2025. Comitê da Bacia Hidrográfica do Rio São Francisco (CBHSF), Brazil. 2016. Available online: https://2017.cbhsaofrancisco.org.br/wp-content/uploads/2016/08/PRH-SF_Apresentacao_26ago16.pdf (accessed on 31 August 2022).
- Cunha, A.P.M.A.; Zeri, M.; Deusdará Leal, K.; Costa, L.; Cuartas, L.A.; Marengo, J.A.; Tomasella, J.; Vieira, R.M.; Barbosa, A.A.; Cunningham, C.; et al. Extreme Drought Events over Brazil from 2011 to 2019. Atmosphere 2019, 10, 642. [Google Scholar] [CrossRef]
- Silva, M.V.M.; Silveira, C.S.; Costa, J.M.F.; Martins, E.S.P.R.; Vasconcelos Júnior, F.C. Projection of Climate Change and Consumptive Demands Projections Impacts on Hydropower Generation in the São Francisco River Basin, Brazil. Water 2021, 13, 332. [Google Scholar] [CrossRef]
- Pontes Filho, J.D.; Souza Filho, F.A.; Martins, E.S.P.R.; Studart, T.M.C. Copula-based multivariate frequency analysis of the 2012–2018 Drought in Northeast Brazil. Water 2020, 12, 834. [Google Scholar] [CrossRef]
- Costa, J.M.F.; Silveira, C.S.; Vasconcelos Júnior, F.C.; Marcos Junior, A.D.; Silva, M.V.M.; Ramos, S.F.C.; Porto, V.C.; Souza Filho, F.A.; Martins, E.S.P.R. The water, climate and energy nexus in the São Francisco River Basin, Brazil: An analysis of decadal climate variability. Hydrol. Sci. J. 2022, 67, 1–20. [Google Scholar] [CrossRef]
- Rocha, R.V.; de Souza Filho, F.D.A. Mapping abrupt streamflow shift in an abrupt climate shift through multiple change point methodologies: Brazil case study. Hydrol. Sci. J. 2020, 65, 2783–2796. [Google Scholar] [CrossRef]
- Lima, C.E.S.; Silva, M.V.M.; Silveira, C.S.; Vasconcelos Junior, F.D.C. Wavelet transform for medium-range streamflows projections in national interconnected system. Rev. Bras. Ciências Ambient. 2021, 57, 72–83. [Google Scholar] [CrossRef]
- Santos, V.J.; Calijuri, M.L.; de Assis, L.C. Land cover changes implications in energy flow and water cycle in São Francisco Basin, Brazil, over the past 7 decades. Envron. Earth Sci. 2022, 81, 83. [Google Scholar] [CrossRef]
- Dorneles GC, R. Atribuição das Mudanças na Vazão Média de Longo Período Devido às Atividades Humanas e Alterações no clima. Master’s Thesis, University of Brasilia, Brasília, Brazil, 2021. [Google Scholar]
- Awotwi, A.; Anornu, G.K.; Quaye-Ballard, J.A.; Annor, T. Monitoring land use and land cover changes due to extensive gold mining, urban expansion, and agriculture in the Pra River Basin of Ghana, 1986–2025. Land Degrad. Dev. 2018, 29, 3331–3343. [Google Scholar] [CrossRef]
- ANA. Conjuntura dos Recursos Hídricos do Brasil 2020: Informe Anual; DF: Agência Nacional de Águas (ANA): Brasília, Brazil, 2020. Available online: https://www.snirh.gov.br/portal/centrais-de-conteudos/conjuntura-dos-recursos-hidricos/conjuntura-2020 (accessed on 8 January 2022).
- CEMIG Usina Hidrelétrica de Três Marias. Minas Gerais—MG: Companhia Energética de Minas Gerais (CEMIG), Brazil. 2021. Available online: https://www.cemig.com.br/usina/tres-marias/ (accessed on 8 January 2022).
- CHESF Sistemas de Geração. Companhia Hidrelétrica do São Francisco (CHESF), Brazil. 2016. Available online: https://www.chesf.com.br/SistemaChesf/Pages/SistemaGeracao/SistemasGeracao.aspx (accessed on 8 January 2022).
- ONS Plano de Operação Energética 2020/2024-PEN. Operador Nacional do Sistema Elétrico (ONS), Brazil. 2020. Available online: http://www.ons.org.br/AcervoDigitalDocumentosEPublicacoes/REVISTA_PEN%202020_versao20201112.pdf (accessed on 8 January 2022).
- CBHSF Gestão e Operação do Projeto de Integração do Rio São Francisco com as Bacias Hidrográficas do Nordeste Setentrional (PISF). Comitê da Bacia Hidrográfica do rio São Francisco (CBHSF), Brazil. 2019. Available online: https://cdn.agenciapeixevivo.org.br/media/2019/07/Gest%C3%A3o-do-PISF-volume-2-1.pdf (accessed on 8 January 2022).
- Li, S.; Xiong, L.; Li, H.Y.; Leung, L.R.; Demissie, Y. Attributing runoff changes to climate variability and human activities: Uncertainty analysis using four monthly water balance models. Stoch. Environ. Res. Risk Assess. 2016, 30, 251–269. [Google Scholar] [CrossRef]
- Schneider, U.; Finger, P.; Meyer-Christoffer, A.; Ziese, M.; Becker, A. Global Precipitation Analysis Products of the GPCC; Deutscher Wetterdienst: Offenbach am Main, Germany, 2015; Available online: https://opendata.dwd.de/climate_environment/GPCC/PDF/GPCC_intro_products_v2015.pdf (accessed on 31 August 2022).
- Harris, I.; Osborn, T.J.; Jones, P.; Lister, D. Version 4 of the CRU TS monthly high-resolution gridded multivariate climate dataset. Sci. Data 2020, 7, 109. [Google Scholar] [CrossRef]
- MapBiomas. MapBiomas Project—Collection 6 of the Annual Series of Land Use and Land Cover Maps of Brazil. 2021. Available online: http://mapbiomas.org (accessed on 8 January 2022).
- Hargreaves, G.H.; Samani, Z.A.; Abstract, A. Reference Crop Evapotranspiration from Temperature. Appl. Eng. Agric. 1985, 1, 96–99. [Google Scholar] [CrossRef]
- Fisher, D.K.; Pringle III, H.C. Evaluation of alternative methods for estimating reference evapotranspiration. Agric. Sci. 2013, 4, 51–60. [Google Scholar] [CrossRef]
- Hamed, K.H. Trend detection in hydrologic data: The Mann-Kendall trend test under the scaling hypothesis. J. Hydrol. 2008, 349, 350–363. [Google Scholar] [CrossRef]
- Yue, S.; Pilon, P.; Cavadias, G. Power of the Mann–Kendall and Spearman’s rho tests for detecting monotonic trends in hydrological series. J. Hydrol. 2002, 259, 254–271. [Google Scholar] [CrossRef]
- Salviano, M.F.; Groppo, J.D.; Pellegrino, G.Q. Análise de Tendências em Dados de Precipitação e Temperatura no Brasil. Rev. Bras. Meteorol. 2016, 31, 64–73. [Google Scholar] [CrossRef]
- Moreira, J.G.V.; Naghettini, M. Detecção de Tendências Monotônicas Temporais e Relação com Erros dos Tipos I e II: Estudo de Caso em Séries de Precipitações Diárias Máximas Anuais do Estado do Acre. Rev. Bras. Meteorol. 2016, 31, 394–402. [Google Scholar] [CrossRef]
- Sen, P.K. Estimates of the Regression Coefficient Based on Kendall’s Tau. J. Am. Stat. Assoc. 1968, 63, 1379–1389. [Google Scholar] [CrossRef]
- Tao, H.; Fraedrich, K.; Menz, C.; Zhai, J. Trends in extreme temperature indices in the Poyang Lake Basin, China. Stoch. Environ. Res. Risk Assess. 2014, 28, 1543–1553. [Google Scholar] [CrossRef]
- Dey, P.; Mishra, A. Separating the impacts of climate change and human activities on streamflow: A review of methodologies and critical assumptions. J. Hydrol. 2017, 548, 278–290. [Google Scholar] [CrossRef]
- Budyko, M.I. Climate and Life; Academic: New York, NY, USA, 1974. [Google Scholar]
- Krajewski, A.; Sikorska-Senoner, A.E.; Hejduk, L.; Banasik, K. An Attempt to Decompose the Impact of Land Use and Climate Change on Annual Runoff in a Small Agricultural Catchment. Water Resour. Manag. 2021, 35, 881–896. [Google Scholar] [CrossRef]
- Junior, D.S.R.; Cerqueira, C.M.; Vieira, R.F.; Martins, E.S. Budyko’s Framework and Climate Elasticity Concept in the Estimation of Climate Change Impacts on the Long-Term Mean Annual Streamflow. In World Environmental and Water Resources Congress 2013; American Society of Civil Engineers: Reston, VA, USA, 2013; pp. 1110–1120. [Google Scholar]
- Fu, B.P. On the calculation of the evaporation from land surface. Chin. J. Atmos. Sci. 1981, 5, 23–31. [Google Scholar]
- Zhang, L.; Hickel, K.; Dawes, W.R.; Chiew, F.H.S.; Western, A.W.; Briggs, P.R. A rational function approach for estimating mean annual evapotranspiration. Water Resour. Res. 2004, 40. [Google Scholar] [CrossRef]
- Darvini, G.; Memmola, F. Assessment of the impact of climate variability and human activities on the runoff in five catchments of the Adriatic Coast of south-central Italy. J. Hydrol. Reg. Stud. 2020, 31, 100712. [Google Scholar] [CrossRef]
- Zheng, H.; Zhang, L.; Zhu, R.; Liu, C.; Sato, Y.; Fukushima, Y. Responses of streamflow to climate and land surface change in the headwaters of the Yellow River Basin. Water Resour. Res. 2009, 45. [Google Scholar] [CrossRef]
- Koch, H.; Biewald, A.; Liersch, S.; de Azevedo, J.R.G.; da Silva, G.S.; Kölling, K.; Fischer, P.; Koch, R.; Hattermann, F.F. Scenarios of climate and land-use change, water demand and water availability for the São Francisco River basin. Rev. Bras. Ciências Ambient. 2015, 36, 96–114. [Google Scholar] [CrossRef]
- Bragança, A.A. The Causes and Consequences of Agricultural Expansion in Matopiba. Rev. Bras. Econ. 2018, 72, 161–185. [Google Scholar] [CrossRef]
- Landau, E.C.; Guimarães, D.P.; SOUZA, D.L. Caracterização Ambiental das Áreas com Agricultura Irrigada por Pivôs Centrais na Região do MATOPIBA-Brasil; EMBRAPA Milho e Sorgo: Sete Lagoas, Brazil, 2014. [Google Scholar]
- De Ribeiro, L.C.S.; Lôbo, A.S.; da Silva, L.D.; Andrade, N.F.S. Padrões de crescimento econômico dos municípios do MATOPIBA. Rev. De Econ. E Sociol. Rural 2020, 58. [Google Scholar] [CrossRef]
- Wada, Y.; van Beek, L.P.H.; Wanders, N.; Bierkens, M.F.P. Human water consumption intensifies hydrological drought worldwide. Environ. Res. Lett. 2013, 8, 034036. [Google Scholar] [CrossRef]
- Lucas, M.C.; Kublik, N.; Rodrigues, D.B.B.; Meira Neto, A.A.; Almagro, A.; Melo, D.D.; Zipper, S.C.; Oliveira, P.T.S. Significant Baseflow Reduction in the Sao Francisco River Basin. Water 2020, 13, 2. [Google Scholar] [CrossRef]














| Nível 1 | Nível 2 | Nível 3 | Nível 4 | Type |
|---|---|---|---|---|
| Forest | Forest Formation | Natural | ||
| Savanna Formation | Natural | |||
| Mangrove | Natural | |||
| Wooded Restinga | Natural | |||
| Non-Forest Natural Formation | Wetland | Natural | ||
| Grassland | Natural | |||
| Salt Flat | Natural | |||
| Rocky Outcrop | Natural | |||
| Other non-Forest Formations | Natural | |||
| Farming | Pasture | Anthropic | ||
| Farming | Temporary Crop | Soybean | Anthropic | |
| Sugar cane | Anthropic | |||
| Rice | Anthropic | |||
| Other temporary Crops | Anthropic | |||
| Perennial Corp | Coffee | Anthropic | ||
| Citrus | Anthropic | |||
| Other Perennial Crop | Anthropic | |||
| Forest Plantation | Anthropic | |||
| Mosaic Agriculture and Pasture | Anthropic | |||
| Non vegetated Area | Beach, Dune and Sand Spot | Natural | ||
| Urban Area | Anthropic | |||
| Mining | Anthropic | |||
| Other non-Vegetated Areas | Anthropic | |||
| Water | River, Lake and Ocean | Natural | ||
| Aquaculture | Anthropic | |||
| Non-Observed | - | |||
| Sub-Basins | P1 | P2 | P3 | |||
|---|---|---|---|---|---|---|
| BH1 | 2.022 | −1.022 | 2.358 | −1.358 | 2.352 | −1.352 |
| BH2 | 2.598 | −1.598 | 3.515 | −2.515 | 3.512 | −2.512 |
| BH3 | 2.618 | −1.618 | 2.973 | −1.973 | 2.694 | −1.694 |
| BH4 | 2.164 | −1.164 | 2.479 | −1.479 | 2.458 | −1.458 |
| BH5 | 2.091 | −1.091 | 2.742 | −1.742 | 2.695 | −1.695 |
| BH6 | 2.120 | −1.120 | 2.701 | −1.701 | 2.968 | −1.968 |
| BH7 | 2.107 | −1.107 | 2.164 | −1.164 | 2.195 | −1.195 |
| BH8 | 2.504 | −1.504 | 2.617 | −1.617 | 2.730 | −1.730 |
| BH9 | 3.289 | −2.289 | 3.111 | −2.111 | 2.832 | −1.832 |
| BH10 | 2.651 | −1.651 | 3.058 | −2.058 | 2.815 | −1.815 |
| Sub-Basins | ||||||
|---|---|---|---|---|---|---|
| BH1 | −10.09% | 12.55% | −22.63% | −21.84% | −6.61% | −15.23% |
| BH2 | −15.43% | 14.78% | −30.20% | −20.78% | 4.63% | −25.41% |
| BH3 | −8.05% | 3.28% | −11.33% | −12.89% | −16.32% | 3.42% |
| BH4 | −6.82% | 6.04% | −12.86% | −5.55% | 6.37% | −11.92% |
| BH5 | −25.49% | 6.40% | −31.89% | −19.82% | 13.13% | −32.95% |
| BH6 | −30.82% | −2.46% | −28.36% | −34.20% | 8.79% | −42.99% |
| BH7 | −18.79% | −19.89% | 1.10% | −30.14% | −33.79% | 3.66% |
| BH8 | −17.48% | −15.96% | −1.51% | −27.47% | −23.65% | −3.82% |
| BH9 | −10.80% | −25.36% | 14.56% | −24.64% | −58.25% | 33.61% |
| BH10 | −1.05% | 35.98% | −37.03% | −13.03% | −3.07% | −9.96% |
Publisher’s Note: MDPI stays neutral with regard to jurisdictional claims in published maps and institutional affiliations. |
© 2022 by the authors. Licensee MDPI, Basel, Switzerland. This article is an open access article distributed under the terms and conditions of the Creative Commons Attribution (CC BY) license (https://creativecommons.org/licenses/by/4.0/).
Share and Cite
Lima, C.E.S.; da Silva, M.V.M.; Rocha, S.M.G.; Silveira, C.d.S. Anthropic Changes in Land Use and Land Cover and Their Impacts on the Hydrological Variables of the São Francisco River Basin, Brazil. Sustainability 2022, 14, 12176. https://doi.org/10.3390/su141912176
Lima CES, da Silva MVM, Rocha SMG, Silveira CdS. Anthropic Changes in Land Use and Land Cover and Their Impacts on the Hydrological Variables of the São Francisco River Basin, Brazil. Sustainability. 2022; 14(19):12176. https://doi.org/10.3390/su141912176
Chicago/Turabian StyleLima, Carlos Eduardo Sousa, Marx Vinicius Maciel da Silva, Sofia Midauar Godim Rocha, and Cleiton da Silva Silveira. 2022. "Anthropic Changes in Land Use and Land Cover and Their Impacts on the Hydrological Variables of the São Francisco River Basin, Brazil" Sustainability 14, no. 19: 12176. https://doi.org/10.3390/su141912176
APA StyleLima, C. E. S., da Silva, M. V. M., Rocha, S. M. G., & Silveira, C. d. S. (2022). Anthropic Changes in Land Use and Land Cover and Their Impacts on the Hydrological Variables of the São Francisco River Basin, Brazil. Sustainability, 14(19), 12176. https://doi.org/10.3390/su141912176

