Analysing Urban Tourism Accessibility Using Real-Time Travel Data: A Case Study in Nanjing, China
Abstract
1. Introduction
2. Study Area and Data
2.1. Study Area
2.2. Data Preparation
2.2.1. Classification of Tourist Attractions
2.2.2. Origin and Destination Points of Urban Tourists
2.2.3. Population Data
2.2.4. Travel Time Data
3. Methodology
3.1. Analytical Framework and Indicators for Tourism Accessibility
3.2. Direct Tourism Accessibility Measure
3.3. Gravity-Based Model for Tourism Accessibility
4. Results
4.1. Accessibility of Tourist Attractions in Different Districts
4.2. Grid-Level Tourism Accessibility
4.3. Estimated Tourist Demand Weighted District-Level Tourism Accessibility
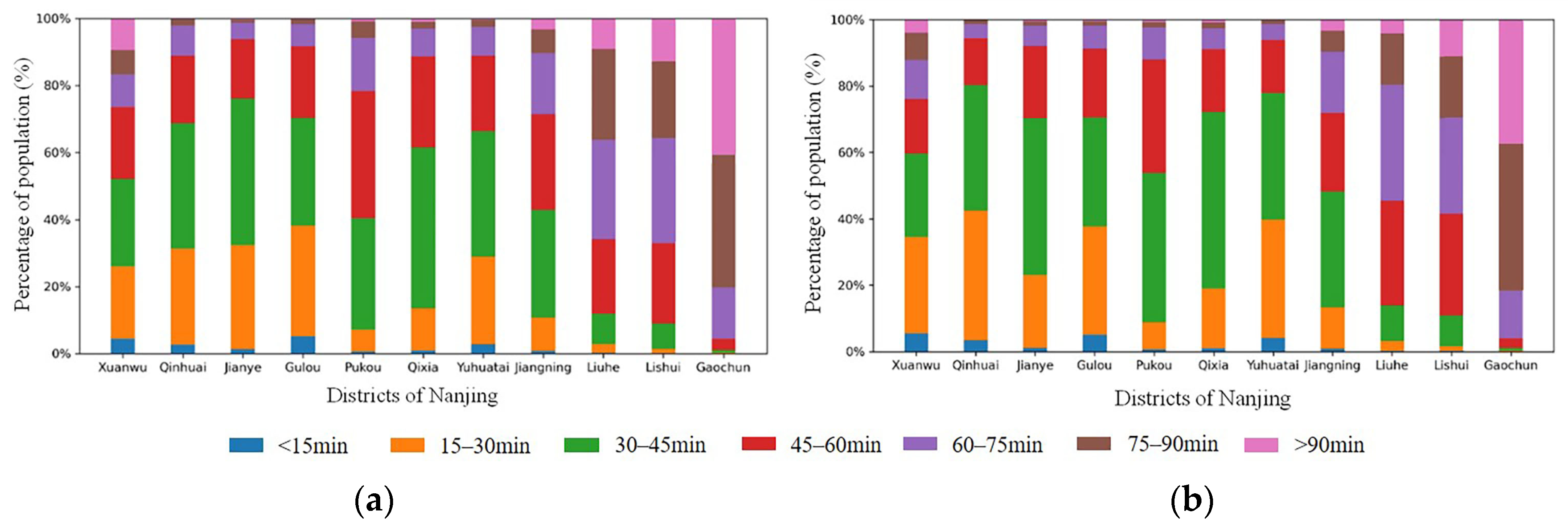
4.4. Difference between Weekdays and Weekend
5. Discussion
6. Conclusions
Author Contributions
Funding
Data Availability Statement
Conflicts of Interest
References
- Hao, F.; Xiao, H.G. Residential tourism and eudaimonic well-being: A ‘value-adding’ analysis. Ann. Tour. Res. 2021, 87, 103150. [Google Scholar] [CrossRef]
- Report of Self-Driving, Recreational Vehicle and Camping Tourism Development in China, 2020–2021. Available online: https://www.meadin.com/yj/228657.html (accessed on 25 July 2021).
- Self-Driving Tourism Market Trend Report for the First Half of 2021. Available online: http://www.ctaweb.org.cn/cta/ztyj/202107/e03d753debdc4dac99466006644bdfe4.shtml (accessed on 25 July 2021).
- Chaloux, N.; Boisjoly, G.; Grisé, E.; El-Geneidy, A.; Levinson, D. I only get some satisfaction: Introducing satisfaction into measures of accessibility. Transp. Res. Part F Traffic Psychol. Behav. 2019, 62, 833–843. [Google Scholar] [CrossRef]
- Deboosere, R.; El-Geneidy, A.M.; Levinson, D. Accessibility-oriented development. J. Transp. Geogr. 2018, 70, 11–20. [Google Scholar] [CrossRef]
- Van Wee, B. Accessible accessibility research challenges. J. Transp. Geogr. 2016, 51, 9–16. [Google Scholar] [CrossRef]
- Bertolini, L.; le Clercq, F.; Kapoen, L. Sustainable accessibility: A conceptual framework to integrate transport and land use plan-making. Two test-applications in the Netherlands and a reflection on the way forward. Transp. Policy 2005, 12, 207–220. [Google Scholar] [CrossRef]
- Dai, D. Racial/ethnic and socioeconomic disparities in urban green space accessibility: Where to intervene? Landsc. Urban Plan. 2011, 102, 234–244. [Google Scholar] [CrossRef]
- Luo, H.; Zhao, S. Impacts of high-speed rail on the inequality of intercity accessibility: A case study of Liaoning Province, China. J. Transp. Geogr. 2021, 90, 102920. [Google Scholar] [CrossRef]
- Kanuganti, S.; Sarkar, A.K.; Singh, A.P. Evaluation of access to health care in rural areas using enhanced two-step floating catchment area (E2SFCA) method. J. Transp. Geogr. 2016, 56, 45–52. [Google Scholar] [CrossRef]
- Hu, Y.; Downs, J. Measuring and visualizing place-based space-time job accessibility. J. Transp. Geogr. 2019, 74, 278–288. [Google Scholar] [CrossRef]
- Talen, E.; Anselin, L. Assessing spatial equity: An evaluation of measures of accessibility to public playgrounds. Environ. Plan. A 1998, 30, 595–613. [Google Scholar] [CrossRef]
- Langford, M.; Higgs, G.; Fry, R. Multi-modal two-step floating catchment area analysis of primary health care accessibility. Health Place 2016, 38, 70–81. [Google Scholar] [CrossRef] [PubMed]
- Forgas-Coll, S.; Palau-Saumell, R.; Sánchez-García, J.; Callarisa-Fiol, L.J. Urban destination loyalty drivers and cross-national moderator effects: The case of Barcelona. Tour. Manag. 2012, 33, 1309–1320. [Google Scholar] [CrossRef]
- Hooper, J. A destination too far? Modelling destination accessibility and distance decay in tourism. GeoJournal 2014, 80, 33–46. [Google Scholar] [CrossRef]
- Tomej, K.; Liburd, J.J. Sustainable accessibility in rural destinations: A public transport network approach. J. Sustain. Tour. 2020, 28, 222–239. [Google Scholar] [CrossRef]
- Uchiyama, Y.; Kohsaka, R. Cognitive value of tourism resources and their relationship with accessibility: A case of Noto region, Japan. Tour. Manag. Perspect. 2016, 19, 61–68. [Google Scholar] [CrossRef]
- Xia, N.; Cheng, L.; Chen, S.; Wei, X.; Zong, W.; Li, M. Accessibility based on Gravity-Radiation model and Google Maps API: A case study in Australia. J. Transp. Geogr. 2018, 72, 178–190. [Google Scholar] [CrossRef]
- Wang, L.; Cao, X.; Li, T.; Gao, X. Accessibility Comparison and Spatial Differentiation of Xi’an Scenic Spots with Different Modes Based on Baidu Real-time Travel. Chin. Geogr. Sci. 2019, 29, 848–860. [Google Scholar] [CrossRef]
- Hansen, W.G. How Accessibility Shapes Land-Use. J. Am. Inst. Plan. 1959, 25, 73–76. [Google Scholar] [CrossRef]
- Cracolici, M.F.; Nijkamp, P. The attractiveness and competitiveness of tourist destinations: A study of Southern Italian regions. Tour. Manag. 2009, 30, 336–344. [Google Scholar] [CrossRef]
- Pestana, M.H.; Parreira, A.; Moutinho, L. Motivations, emotions and satisfaction: The keys to a tourism destination choice. J. Destin. Mark. Manag. 2020, 16, 100332. [Google Scholar] [CrossRef]
- Joseph, A.E.; Bantock, P.R. Measuring Potential Physical Accessibility to General-Practitioners in Rural-Areas—A Method and Case-Study. Soc. Sci. Med. 1982, 16, 85–90. [Google Scholar] [CrossRef]
- Chang, Z.; Chen, J.; Li, W.; Li, X. Public transportation and the spatial inequality of urban park accessibility: New evidence from Hong Kong. Transp. Res. Part D Transp. Environ. 2019, 76, 111–122. [Google Scholar] [CrossRef]
- Grid Data Set of Chinese Population Spatial Distribution. Available online: https://www.resdc.cn/DOI/DOI.aspx?DOIid=32 (accessed on 15 June 2021).
- Yan, X.Y.; Zhao, C.; Fan, Y.; Di, Z.; Wang, W.X. Universal predictability of mobility patterns in cities. J. R. Soc. Interface 2014, 11, 20140834. [Google Scholar] [CrossRef] [PubMed]
- Kranioti, A.; Tsiotas, D.; Polyzos, S. The Topology of Cultural Destinations’ Accessibility: The Case of Attica, Greece. Sustainability 2022, 14, 1860. [Google Scholar] [CrossRef]
- Wu, X.Y.; Chen, C.Y. Spatial Distribution and Accessibility of High Level Scenic Spots in Inner Mongolia. Sustainability 2022, 14, 7329. [Google Scholar] [CrossRef]
- Che, Y.J.; Cao, Y.; Wu, R.; Liu, J.; Chen, L.H.; Wu, J.K. Spatio-Temporal Pattern of World Heritage and Its Accessibility Assessment in China. Sustainability 2022, 14, 3033. [Google Scholar] [CrossRef]
- Wen, Z.; Huimin, G.; Kavanaugh, R.R. The Impacts of SARS on the Consumer Behaviour of Chinese Domestic Tourists. Curr. Issues Tour. 2005, 8, 22–38. [Google Scholar] [CrossRef]











| Attraction Name | Type | Maximum Daily Carrying Capacity (Ten Thousand Vistors) | Rating | Attraction Name | Type | Maximum Daily Carrying Capacity (Ten Thousand Vistors) | Rating |
|---|---|---|---|---|---|---|---|
| The Sun Yat-sen Mausoleum | H | 40.0 | 5 | Hongshan Forest Zoo | N | 8.0 | 4 |
| Fuzimiao-Qinhuai Scenic area | H | 41.2 | 5 | The President Palace in Nanjing | H | 3.4 | 4 |
| Xuanwu Lake Park | N | 18.0 | 4 | Chaotian palace | H | 1.7 | 4 |
| Nanjing Museum | M | 0.2 | 4 | The Yuhuatai Martyr Memorial Park | H | 8.0 | 4 |
| Tangshan Hot spring | L | 1.5 | 4 | Gaochun Ancient Street | L | 9.0 | 4 |
| Muyan Riverside Park | N | 10.0 | 3 | Yanziji Scenic Area | N | 1.8 | 2 |
| Direct Tourism Accessibility | Relative Tourism Accessibility | ||||||||
|---|---|---|---|---|---|---|---|---|---|
| Scenarios | Mean | Max | Min | Proportion of Area within 1-h Catchment (%) | Scenarios | Mean | Max | Min | Proportion of Area with at Least Medium Value (%) |
| Overall | 1.12 | 2.16 | 0.66 | 32.0 | Overall | 1.51 | 3.06 | 0.08 | 50.3 |
| Historical and cultural type | 0.93 | 1.95 | 0.30 | 60.2 | Historical and cultural type | 1.20 | 4.48 | 0.05 | 17.3 |
| Natural | 1.15 | 2.38 | 0.66 | 35.8 | Natural | 1.54 | 5.84 | 0.08 | 42.0 |
| Museum | 1.09 | 2.29 | 0.46 | 37.2 | Museum | 0.46 | 1.60 | 0.05 | 21.5 |
| Leisure | 1.16 | 2.37 | 0.70 | 27.1 | Leisure | 2.06 | 9.58 | 0.08 | 61.1 |
| District | Weighted Travel Speed (km/h) | Weighted Travel Time (hour) | Weighted Relative Tourism Accessibility |
|---|---|---|---|
| Xuanwu | 39.1 | 0.79 | 0.050 |
| Qinhuai | 41.8 | 0.72 | 3.531 |
| Jianye | 42.8 | 0.78 | 0.011 |
| Gulou | 37.7 | 0.86 | 0.063 |
| Pukou | 44.5 | 0.99 | 0.075 |
| Qixia | 46.4 | 0.90 | 1.513 |
| Yuhuatai | 45.8 | 0.85 | 0.014 |
| Jiangning | 48.0 | 0.79 | 1.385 |
| Liuhe | 53.4 | 1.08 | 0.049 |
| Lishui | 62.5 | 1.01 | 0.051 |
| Gaochun | 68.7 | 1.42 | 0.023 |
| Average | 48.2 | 0.93 | 0.615 |
| Growth Rate of Indicators | Mean | Max | Min | Std | The Proportion of Areas with Decreasing Accessibility | The Areas with a Growth Rate of Over 5% |
|---|---|---|---|---|---|---|
| Travel time | +3.05% | +20.09% | −12.73% | 3.41 | 91.66% | 22.71% |
| Travel speed | −2.17% | +99.37% | −14.49% | 3.39 | 84.79% | 39.09% |
| Tourism accessibility | −3.50% | +47.64% | −25.38% | 6.39 | 87.57% | 14.24% |
Publisher’s Note: MDPI stays neutral with regard to jurisdictional claims in published maps and institutional affiliations. |
© 2022 by the authors. Licensee MDPI, Basel, Switzerland. This article is an open access article distributed under the terms and conditions of the Creative Commons Attribution (CC BY) license (https://creativecommons.org/licenses/by/4.0/).
Share and Cite
Li, J.; Guo, X.; Lu, R.; Zhang, Y. Analysing Urban Tourism Accessibility Using Real-Time Travel Data: A Case Study in Nanjing, China. Sustainability 2022, 14, 12122. https://doi.org/10.3390/su141912122
Li J, Guo X, Lu R, Zhang Y. Analysing Urban Tourism Accessibility Using Real-Time Travel Data: A Case Study in Nanjing, China. Sustainability. 2022; 14(19):12122. https://doi.org/10.3390/su141912122
Chicago/Turabian StyleLi, Juchen, Xiucheng Guo, Ruiying Lu, and Yibang Zhang. 2022. "Analysing Urban Tourism Accessibility Using Real-Time Travel Data: A Case Study in Nanjing, China" Sustainability 14, no. 19: 12122. https://doi.org/10.3390/su141912122
APA StyleLi, J., Guo, X., Lu, R., & Zhang, Y. (2022). Analysing Urban Tourism Accessibility Using Real-Time Travel Data: A Case Study in Nanjing, China. Sustainability, 14(19), 12122. https://doi.org/10.3390/su141912122

