Abstract
Due to the expansion in the global population, there is an increase in animal protein demand and waste generation. Currently, food waste derived from supermarkets, etc., which is used to produce biogas, is collected separately and can contain (micro)plastics deriving from food packaging, imposing potential risks to the environment. A possible solution to address protein, waste and plastic concerns can potentially be achieved by rearing black soldier fly (BSF) larvae on such substrates. In this study, we investigated the effect of polyvinyl chloride (PVC) (micro)plastics on the growth, survival, and bioconversion of BSF larvae. On the other hand, the impact of the larvae on the polymer structure and degradation was also assessed. This was carried out by rearing BSF larvae on artificial food waste spiked with micro-, meso-, and macroplastics, while measuring larval growth, survival, and bioconversion parameters. The remaining plastics were collected and analysed upon changes and degradation of their polymer structure. Generally, BSF larvae were not affected in terms of growth performance (179.9–210.4 mg), survival (77.1–87.3%), and bioconversion (FCR: 4.65–5.53) by the presence of (micro)plastics in the substrates. Furthermore, the larvae were also unable to significantly alter the polymer structure of the used plastic.
1. Introduction
The global population is expanding and is expected to reach 9.7 billion by 2050 [1]. Along with this growth, the animal protein demand and production are rising proportionally, which is expected to increase from 330 million metric tonnes (averaged between 2017 and 2020) [2] to 494 million metric tonnes by 2050 [3]. As a result, more protein sources, such as soybeans and fish meal, are required. The concern with the elevated demand for protein sources is their detrimental impact on the global environment and rising prices. Increasing soybean production could most likely turn into more deforestation [4], while overfishing is a consequence of the intensive use of fish meal [5]. In addition, with the increasing world’s population, the generation of annual municipal waste will increase from 2.01 billion metric tonnes in 2016 to 3.4 billion metric tonnes by 2050. In low- and middle-income countries, 50% of this waste consists of food and greens, while for high-income countries, food and green waste take up approximately 32% because of the larger amounts of other waste typologies (e.g., packaging waste) [6]. A part of the food waste streams still contains packaging materials, which are often removed by automated machinery. However, this industrial process is not completely effective, leading to two streams: (i) a food waste stream containing lower quantities of plastics with varying particle sizes and (ii) a plastic waste stream contaminated with food waste residues, making it hard to recycle [7]. Currently, the former waste stream is used to produce biogas via anaerobic digestion, of which the residue can be used as organic fertilizer [7,8]. Besides biogas production, such food waste streams could also be valorised by applying it as a substrate for rearing insects, for example, black soldier fly (BSF) larvae, Hermetia illucens L. (Diptera: Stratiomyidae). BSF larvae are non-vector, saprophagous, voracious feeders that are able to grow on a wide range of organic matter, using less water and land compared to traditional livestock. In addition, they are also able to efficiently turn low-value food waste streams into valuable biomass (e.g., proteins, fat, and chitin). An additional advantage is that the conversions happen swiftly since the larvae are usually harvested at their fifth larval stage, meaning only 13 to 18 days after hatching [9,10,11].
Although BSF larvae grow well on such food waste streams, the presence of plastics might compromise their growth or lead to chemically unsafe insects if applied for feed or food purposes. The plastics present in those waste streams can be divided into different sub-categories, including (i) the visible plastic fraction, i.e., macroplastics (>25 mm), mesoplastics (5–25 mm), and large microplastics (1–5 mm), and (ii) hardly visible to invisible plastic fraction, including small microplastics (<1 mm) [12]. The latter fraction (i.e., microplastics) can be further subdivided into primary and secondary microplastics (MPs). While primary MPs are produced to be added to several products (e.g., shower gels and toothpaste), secondary MPs arise from the degradation processes of meso-, and macroplastics [13,14,15].
The aim of this study was threefold: (i) to gain knowledge about the growth performance, survival rate, and bioconversion of BSF larvae reared on a food waste stream containing polyvinyl chloride (PVC) micro- (<5 mm), meso- (5–25 mm), and macroplastics (>25 mm); (ii) to investigate the potential of BSF larvae to remove food residues from a waste stream containing macroplastics to improve the recyclability of these contaminated plastics; and (iii) to examine whether BSF larvae affect PVC present in these waste streams. PVC was used in this study as it is a widely used type of plastic in different industrial applications, including food packaging. In addition, PVC often contains high concentrations of additives (e.g., plasticizers) to make it less brittle, which might affect larval health [16]. In summary, this study investigated the mutual influence between BSF larvae and PVC plastic materials.
2. Materials and Methods
2.1. Rearing Substrate and PVC Preparation
During this study, two different rearing substrates were used, namely an artificial food waste stream prepared according to Lievens et al. (2022) [7] (i.e., fruit, vegetables, bread, and dairy products) in order to maximize the repeatability of the tests, and Gainesville diet as a control consisting of 50% wheat bran, 30% alfalfa and 20% corn [17] (Aveve, Geel, Belgium). The plastic used during this study was PVC foil from Flexfilm (Schoonhoven, The Netherlands), which is used as food packaging material.
The PVC macro- (5.0 cm × 5.0 cm), and mesoplastics (5 mm × 5 mm) were cut into the intended size using scissors, while the microplastics were artificially produced using a Spex Freezer-Mill (6875, Instrument Solutions, Nieuwegein, the Netherlands) according to Lievens et al. (2022) [7]. To characterise the produced microplastics, their particle size was measured by suspending them in stirred (3100 rpm) water until an obscuration of approximately 5% was obtained by a Malvern (Malvern, UK) Mastersizer 3000, while the shape and structure were captured using a scanning electron microscope (SEM). For this purpose, the microplastics were placed on an aluminium stub and coated with a platinum-palladium layer of approximately 5 nm using a turbomolecular pumped coater (Q150T, Quorum, Laughton, UK). From here on out, the SEM images were made at 5 kV acceleration voltage using an FEI Nova NanoSem 450 FEG (Eindhoven, The Netherlands) equipped with a concentric backscatter (CBS) detector using all rings and operated under a high vacuum of 10−6 mbar. The other settings, such as magnification, working distance (WD), and horizontal field width (HFW), are displayed on the respective images.
2.2. Rearing of Black Soldier Fly Larvae
Black soldier fly larvae were obtained from the BSF research colony at Thomas More (Geel, Belgium) maintained according to Broeckx et al. (2021) [18]. The larvae were hatched on a Gainesville diet having a dry matter (d.m.) content of 45%. Eight days after hatching, the larvae of approximately 15 mg were separated from their substrate, counted, and transferred into glass rearing containers (11.5 cm × 17 cm) up to a density of 3.32 larvae/cm2 (650 larvae), and covered with a lid containing two apertures with a diameter of approximately 4 cm for ventilation. The larvae are kept at 27 °C and relative humidity of 60% during the whole experiment. The larvae were fed with the substrates (with a layer thickness of approximately 2 to 3 cm) shown in Table 1 to investigate whether they were affected by PVC micro-, meso-, and macroplastics in terms of growth performance, survival rate, and bioconversion.
Table 1.
Overview of the experimental setup. The number of larvae and feed amount correspond to one rearing container used in the experiments.
To investigate whether the amount of food available influences the impact of the PVC on the larvae, two feeding amounts were provided for each diet (wet mass); an optimal regime of 100 mg/larva/day (or 1000 mg substrate/larva in total, corresponding to 650 g per container) [11] and two-thirds of this optimal amount (667 mg substrate/larva, corresponding to 433 g per container) of the respective substrates (see Table 1). Two negative controls were provided for each plastic size: rearing containers containing both larvae and the diet without plastics (CS2) and rearing containers holding only the artificial food waste and plastic particles, hence without larvae (RS1, RS2, and RS3) to investigate whether the rearing conditions themselves might affect the plastics used.
The plastic particle sizes were chosen to allow each fraction (micro, meso, and macro) to be investigated, while the added amounts of plastics were selected based on real industrial situations. We have found that industrial food waste streams which were unpacked by automated machinery are contaminated with mass fractions of approximately 1% of small plastic particles (based on wet mass) [7], while plastic streams contaminated with food residues typically appear to have a mass fraction of 5% of big plastic shreds. The rearing experiments were finished when the larvae reached their maximum mass.
2.3. Determination of BSF Larval Growth Performance, Survival Rate and Bioconversion
To assess whether the larvae rearing performance was affected by the PVC, several parameters (i.e., growth performance, survival rate, feed conversion ratio (FCR), efficiency of conversion of digested food (ECD), and waste reduction ratio (WRR)) were determined. The growth performance was measured by daily weighing 10 fresh randomly chosen cleaned larvae and plotting the mass per larva as a function of the day after hatching (DAH). The survival rate was calculated by dividing the final number of living larvae by the initial number (Equation (1)). Furthermore, FCR, ECD, and WRR were calculated using the dry mass via Equations (2)–(4), according to Waldbauer (1968) [19], Lalander et al. (2019) [20], and Kinasih et al. (2018) [21].
2.4. Dry Matter Analysis
The dry matter content of all substrates, residues and larvae was measured by an oven-drying method, using a Memmert (UFB500, Germany) oven at a temperature of 105 °C for 17 h. The dry matter content of the initial substrates is given in Table S1, while those of the larvae and the residues are given in Table S2 of the supplementary material.
2.5. Assessment of PVC Degradation Caused by BSF Larvae
To separate and quantify the remaining (micro)plastics from the larval rearing residue, two different methods were used. The macroplastics were separated manually while for the meso and microplastics a closed-vessel microwave-assisted acid digestion was performed according to Lievens et al. (2022) [7]. Briefly, 8 different aliquots taken from the residue were digested by solubilizing the organic matter using 10 mL of a 0.50 mol/L nitric acid solution (65%, VWR, Radnor, PA, USA), with a Mars Xpress microwave (CEM, Charlotte, NC, USA) operated at 170 °C for 5.00 min. The remaining (micro)plastics were dried (105 °C, 2 h) and weighed to quantify the plastic content in the residues and collected in anticipation of further analyses.
2.6. Assessment of Chemical Changes in the PVC Material
To assess possible chemical changes in the PVC caused by the BSF larvae or the rearing substrate, the PVC particles were studied by means of attenuated total reflectance Fourier-transform infrared spectroscopy (NicoletTM iSTM5 ATR-FTIR, Thermo Scientific, Waltham, MA, USA) performed according to Lievens et al. (2022) [7]. In brief, the remaining plastics were placed on the ATR crystal, and the infrared absorbance was measured between 4000 and 400 cm−1. The IR spectrum of each sample was generated by accumulating 64 scans with a resolution of 2 cm−1 and was analysed using the OMNIC 9.2 software provided by Thermo Scientific.
2.7. Determination of PVC Degradation
Potential polymer degradation (reduction in molar mass) was determined by size exclusion chromatography. The remaining plastics (1–10 mg/mL) were dissolved in tetrahydrofuran (THF, Biosolve, Valkenswaard, The Netherlands), stabilised with 250 ppm 3,5-di-tert-butyl-4-hydroxytoluene (BHT, Supelco, Bellefonte, PA, USA) for 12 h under constant stirring. The obtained solutions were filtered through a 0.45 µm LLG-syringe nylon filter (Chem-lab analytical, Zedelgem, Belgium), before being injected (10 µL) into a Waters (Milford, MA, USA) ultra-performance liquid chromatography (UPLC) equipped with a Waters Acquity 450 Å APC XT column and coupled to a Waters refractive index (RI) detector. Both the column and detector were held at 40 °C, and THF containing 250 ppm BHT was used as mobile phase with a flow rate of 1 mL/min. The number, mass, and z-average molar mass (, and ), and the dispersity () were determined using a polystyrene calibration kit (S-M2-10, 580–316500 g/mol, Agilent, Santa Clara, CA, USA) and the Empower software (Waters).
2.8. Statistical Analyses
All experiments conducted were performed hexagonally for the research substrates unless explicitly specified elsewhere. 18 replicates were performed regarding the control substrates and statistically analysed using JMP Pro 15 (SAS, Cary, NC, USA) with a confidence level of 95% (α = 5%). If all requirements were met, then a one-way ANOVA was performed using a Tukey HSD post hoc test. In case of unequal variances, determined by an O’Brien’s test, the Welch’s ANOVA was used, while a non-parametric test (i.e., Van der Waerden) was performed together with a Steel-Dwass All Pairs post hoc test if the datasets were not normally distributed, which was determined using a Shapiro–Wilk test.
3. Results and Discussion
3.1. Microplastic Characterisation
The self-produced microplastics were characterised by their particle size distribution (Figure 1) and morphology (Figure 2). By analysing the microplastic particle size, it was found that they have a relatively wide distribution, comparable with plastic particles present in real waste streams. Further characterisation also showed that the produced microplastics had percentile values Dv(10), Dv(50), and Dv(90) of 111 ± 1 μm, 279 ± 1 μm, and 703 ± 12 μm, respectively, which means that 10, 50 and 90% of the microplastics were equal or smaller than 111, 279 and 703 μm, respectively.
Figure 1.
Particle size distribution of the artificially made polyvinyl chloride microplastics, with a mean particle size of 279 μm and Dv(10), Dv(50), and Dv(90) values of 111 μm, 279 μm, and 703 μm, respectively.
Figure 2.
Scanning electron microscopical images using settings as expressed on each separate image. (A) (Scale: 200 μm) and (B) (Scale: 100 μm) show the morphology of the microplastics, while (C) (Scale: 3 μm) displays the microscopical surface structure of the microplastics.
Besides the particle size distribution of the microplastics, their shape and surface structure were also analysed using SEM imaging (Figure 2). By performing SEM imaging, it was proven that the microplastics used have an irregular flake shape (Figure 2A,B) with an erratic surface structure (Figure 2C).
3.2. Influence of PVC Present in Rearing Substrates on BSF Larvae
3.2.1. Growth Performance and Survival Rate of BSF Larvae
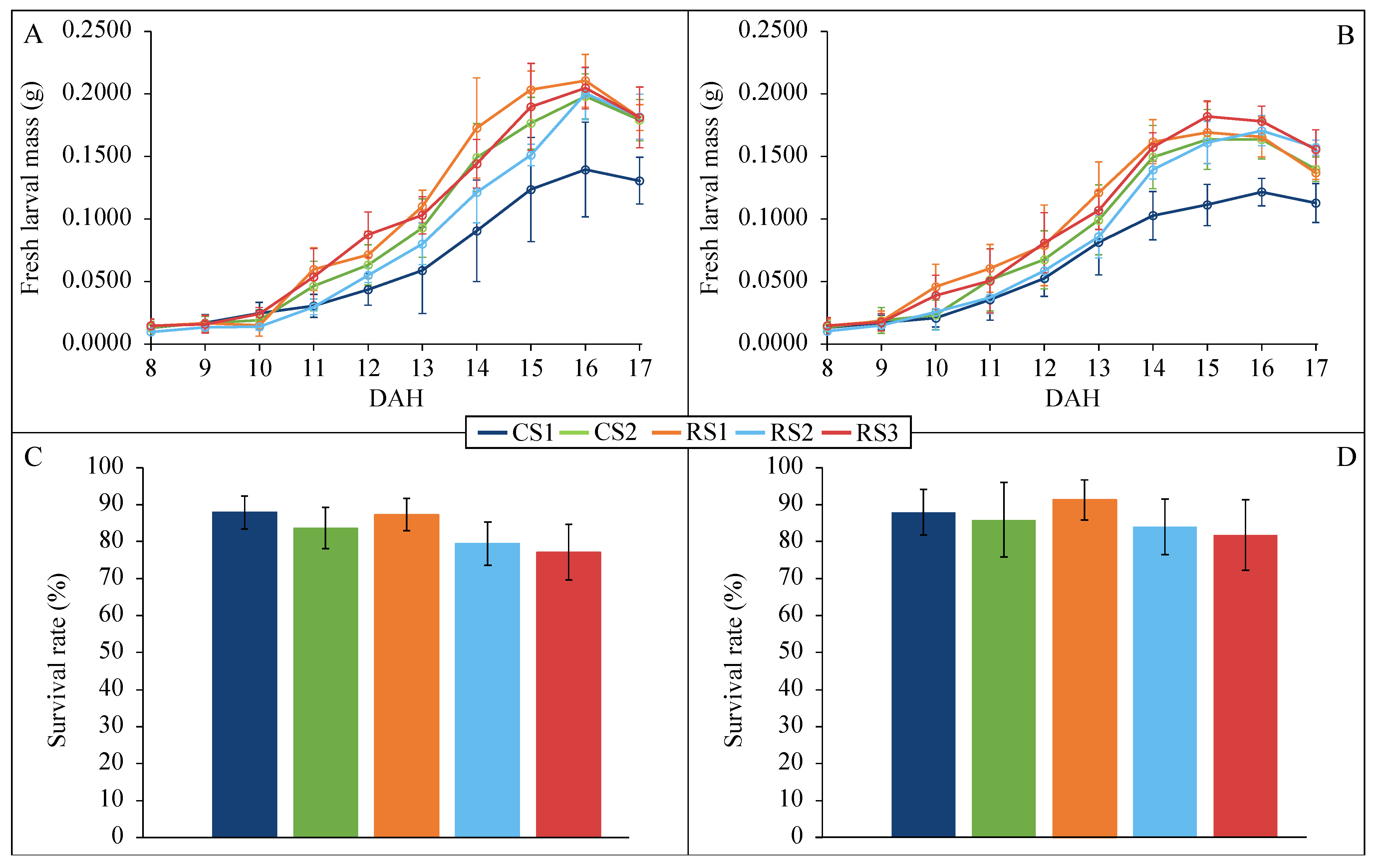
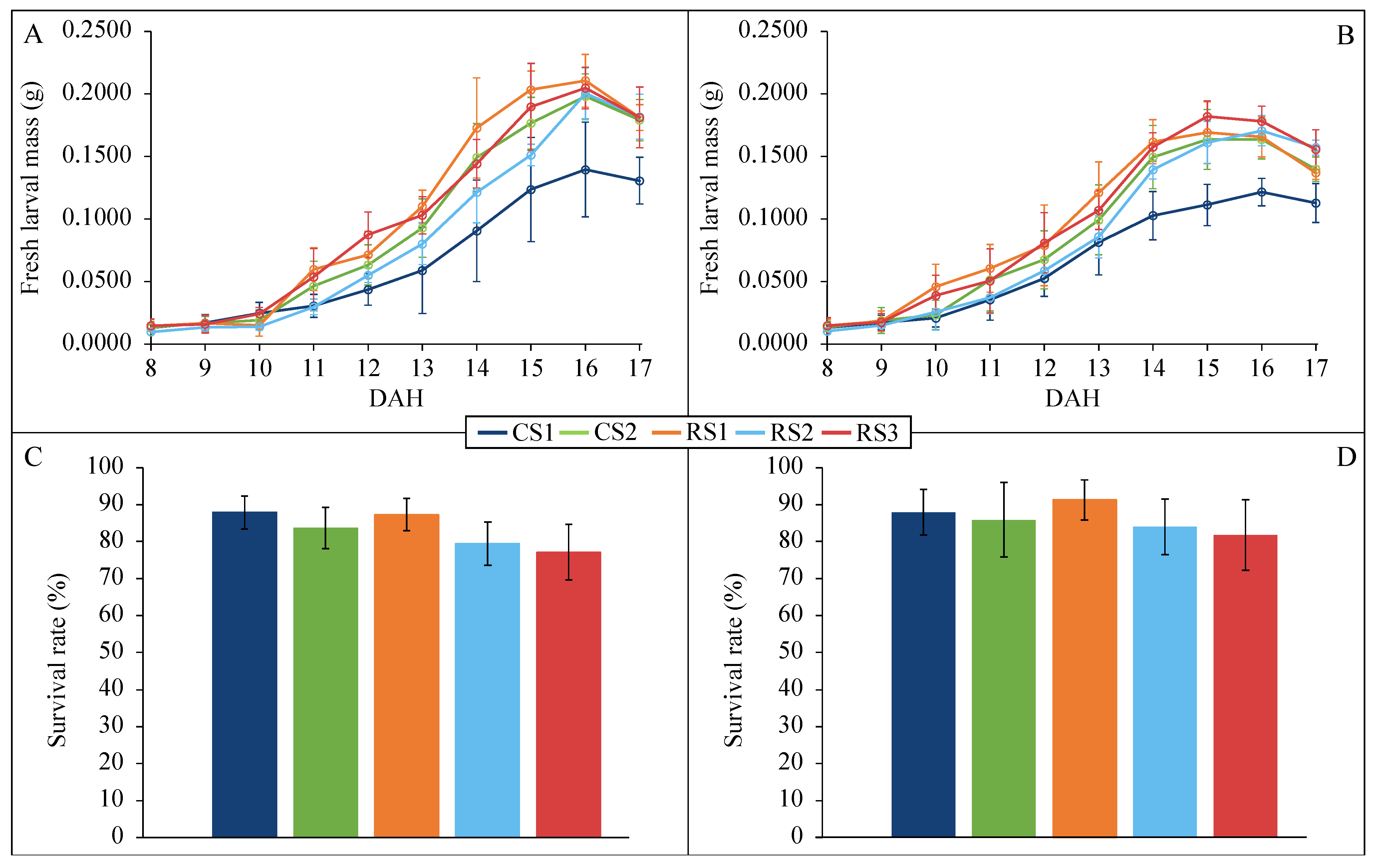
The BSF larval development, maximum mass, and time to reach maximum mass reared on control substrates and artificial food waste substrates either or not containing plastic pieces of different sizes were compared, as shown in Figure 3A,B, and Table 2. Generally, all groups of BSF larvae displayed similar growth patterns for both feeding regimes and substrate typologies. Although the obtained growth performance is similar to other studies, numerous parameters (e.g., breeding circumstances, feed constitution, feed amount, etc.) can affect the growth performance of the larvae, making it challenging to compare with other research data [18,22,23,24,25,26,27,28]. There is even a slight, but not significant, increase in the growth of larvae reared on substrate RS1 and RS3 (Figure 3A,B), which could be due to improved oxygen accessibility in this condition. Indeed, the plastic pieces used in substrate RS3 were relatively large. Hence, they considerably decreased the substrate density, which could, in this way, facilitate oxygen uptake and larval growth [29]. On the other hand, the microplastics might have introduced more structure, allowing the larvae to crawl easier and having a more adequate oxygen intake. Additionally, the maximal mean larval mass (Table 2) obtained for the food waste substrates was between 174.8 mg and 220.2 mg, compared to between 129.7 mg and 149.3 mg for the control Gainesville diet. The lower larval mass obtained when reared on the Gainesville diet was probably caused by the lower gross energy amount compared to the artificial food waste substrates used [18]. Furthermore, the larvae had a consistent time to reach maximum mass (15–16 days, Table 2), indicating that the larvae went into their prepupal phase on the same day. Since there was no significant difference between the maximal larval masses and the times required to reach these maxima for all artificial food waste mixtures, it can be concluded that these parameters were not affected by the presence of the micro-, meso-, and macroplastics.
Figure 3.
An overview of the growth performance curves and the survival rates of BSF larvae reared on different substrates with and without PVC plastics. (A,B) show the growth performance curves of larvae provided with 1000 mg and 667 mg substrate/larva, respectively. (C,D) depict the survival rate of larvae reared on 1000 mg and 667 mg substrate/larva, respectively. CS1 = control Gainesville diet, CS2 = control artificial food waste substrate, RS1, RS2, and RS3 = artificial food waste substrate containing PVC micro-, meso and macroplastics, respectively, and DAH = days after hatching. The results provided are the mean values (6 and 18 replicates for research and control substrate, respectively), together with their standard deviation.
Table 2.
Overview of the maximum wet mass, time to reach the maximum mass, feed conversion ratio (FCR), efficiency of conversion of digested food (ECD), and waste reduction ratio (WRR) of BSF larvae reared on several substrate typologies and different feeding regimes. CS1 = control Gainesville diet, CS2 = control artificial food waste substrate, RS1, RS2, and RS3 = artificial food waste substrate containing PVC micro-, meso and macroplastics, respectively. Significant differences within a column are indicated by different letters, and the results shown are the mean values (6 and 18 replicates for research and control substrate, respectively), and their standard deviation.
Besides the growth performance, the influence of (micro)plastics on the survival rate was investigated (Figure 3C,D). Several parameters can, as was the case for the growth performance, affect the survival of the larvae, making it difficult to compare such numbers between studies. Nevertheless, survival rates obtained on both controls and plastic contaminated substrates were similar to previously published research carried out on similar substrates [18,23,26,28,30]. Furthermore, no significant difference was found between all studied larval groups, implying that BSF larvae survival rate was not affected by PVC pieces present in the substrates, the same was found for the growth performance.
Several assumptions could be made to explain the obtained results. A first factor is that BSF larvae have a short life cycle, resulting in preventing possible effects from being expressed. Another assumption could be that the larvae do not ingest the macro- and mesoplastics, as the length of the larval mandibular brush (380 µm) [31] is smaller than these PVC particles. However, this assumption is inadequate to explain why microplastics have no impact on the larval growth performance and survival rate. As a result, it can be hypothesized that, if the larvae ingest the microplastics, they also excrete them, without causing any effect on the investigated parameters. To draw definitive conclusions from the aforementioned findings, a follow-up study is required in order to reveal whether or not the BSF larvae ingest the plastic particles present in the substrates.
3.2.2. Bioconversion by BSF Larvae Reared on (micro)plastics Containing Food Waste
To achieve a comprehensive overview of the effects of PVC pieces in rearing substrates on BSF larvae, several bioconversion parameters (i.e., FCR, ECD, and WRR) were determined. The obtained FCRs (Table 2) were not affected by the (micro)plastics added to the artificial food waste substrate, as no significant difference was noticed between larvae reared on artificial food waste with or without PVC pieces. It should be noted, however, that the obtained FCRs are relatively high in this study, which might be caused by the fact that all the feed was provided at once. Indeed, BSF larvae are known for their favourable feed conversion ratio (± 2), which makes them interesting species for the feed industry [32]. That being said, other studies also show comparable FCR values (3–6), when BSF larvae are reared on other organic substrates [18,33]. Moreover, some caution should be employed when comparing such parameters, as other rearing parameters could affect the FCR considerably.
Apart from the FCR, the ECD is also an important parameter, which reflects the metabolic efficiency of the digested substrate. The ECD values obtained in this study are shown in Table 2, and again, no significant differences were found between larvae reared on control artificial food waste and artificial food waste containing PVC. Furthermore, the obtained ECD values are more or less consistent with values determined by other researchers [21,32,34], allowing us to conclude that PVC pieces do not affect the metabolic efficiency of BSF larvae.
The waste reduction ratio (WRR) was determined to assess whether BSF larvae are able to degrade enough substrate to clean the plastics present. The waste reduction ratio is given in Table 2, and generally, no significant differences in WRR were found between all larval groups, except for the RS3 substrates. It seems that the larvae are able to reduce the substrate of artificial food waste containing macroplastics more efficiently, which is probably because the substrate has more structure, making oxygen easier accessible. BSF larvae are thus able to clean big plastic shreds to a certain extent, but further research is required to assess whether it is sufficiently clean to properly recycle these plastics. The other obtained WRRs (0.4–0.8) were consistent with values obtained by other researchers [18,20,23,26,30,35,36,37,38], and the presence of (micro)plastics did not influence the larvae in their ability to reduce the present food materials. This result can be explained by the diet, which is rich in macronutrients (i.e., proteins, lipids, and carbohydrates), resulting in a good waste reduction [11]. Despite the fact that there are hardly any significant differences to be noticed, an inverse relationship could be observed between the feeding regime (amount of substrate/larva) and the waste reduction ratio. Or in other words, if the amounts of available nutrients are lower, they are more completely converted into larval biomass, resulting in higher WRR values, as also found by Diener et al. (2011) [39]. To further improve the cleaning of plastic materials and obtain higher waste reduction ratios, a continuous feeding regime could be selected instead of a batch one (all feed at once), as applied in this study. Higher waste reduction ratios could be reached by using a continuous regime instead of a batch feeding regime, as BSF larvae thrive better on new substrates (continuous feeding) instead of old substrates (batch feeding) [30]. In conclusion, the cleaning capacity of BSF larvae depends on several parameters, such as the type of biological materials present on the plastics and the way of feeding, while the presence of the plastics seems not to affect the BSF larvae.
3.3. Influence of BSF Larvae on PVC
3.3.1. Recovery of PVC after Rearing Tests
To assess whether the PVC present in the rearing substrate was affected by the larvae, their recovery was determined (Table 3). The obtained results showed an average recovery of 104.6 ± 3.9%, allowing us to conclude that no significant amounts of PVC were removed from the rearing substrate by the BSF larvae. Additionally, the substrates themselves or possible micro-organisms present in the substrates did not have an influence on the recovery of PVC under the rearing conditions applied (27 °C, 60% relative humidity). Further, no plastic pieces which were nibbled by BSF larvae were found. Consequently, it can be assumed that BSF larvae do not significantly digest or accumulate the PVC pieces and/or particles, meaning that the initial quantities of plastics remain unchanged.
3.3.2. Changes in Chemical Composition
After the determination of the recovered amount of PVC, the obtained PVC pieces were also analysed to check possible chemical composition changes, possibly induced by the BSF larvae. Table 3 shows both the characteristic and experimentally obtained absorption bands of these PVC pieces. Additionally, Figures S1–S3 show the IR spectra of the micro-, meso-, and macroplastics, respectively. In each figure, the IR spectra (from bottom to top) of the control PVC, PVC that was mixed with the substrate only, and PVC that was in contact with both the substrate and BSF larvae (1000 mg and 667 mg substrate/larva, respectively) are shown. All samples contained the characteristic bands of PVC together with bands at 1729, 1193, and 1094 cm−1. The latter absorption bands correspond to the additives (plasticizers, i.e., phthalates) present in the PVC foil [40]. In addition to these absorption bands, no other bands or considerable band enlargements occurred in the IR spectra of the macroplastics. However, in the case of the micro-, and mesoplastics, some additional absorption bands appeared, more specifically at 1549 cm−1 for (micro-, and mesoplastics), and at 3300 cm−1 (for microplastics). While the additional band around 1550 cm−1 represents an amide (II) group (N-H bond) most likely originating from small amounts of proteins which are still present on the plastic pieces [41]. The broad absorption band between 3300 and 3450 cm−1 probably corresponds to the stretching vibration of hydroxyl groups of cellulose residues [42,43]. Lastly, no band enlargements or additional bands between 1710 and 1745 cm−1, corresponding to possible oxidation [44], and no extra bands between 3550 and 3200 representing the substitution of chloride by alcohol functions [45] were observed. As a result, it can be stated that no significant changes in the polymer composition occurred induced by BSF larvae or their associated microorganisms nor by the circumstances applied, as no considerable changes in the IR spectra were found. These results could be explained similarly as discussed before under 3.3.1 (exposure time was too short, no ingestion of plastics by the larvae, etc.).
A cautionary note needs to be made for the interpretation of the microplastic spectra. A small contamination caused by the substrate, which is a complex biological matrix, complicated the interpretation of the PVC absorption spectra, making any change difficult to observe. There might be a possibility that slight changes in the polymer composition occurred, which could not be detected using FTIR. Therefore, in a follow-up study, for example, an NMR (nuclear magnetic resonance) analysis could be performed to find any small differences in the polymer composition.
Table 3.
Recovery of the PVC from the residue after removal of BSF larvae (mean (n = 6) ± standard deviation), and the characteristic [40,44,46] and experimentally obtained absorption bands (cm−1) of the PVC foil either or not in contact with BSF larvae.
Table 3.
Recovery of the PVC from the residue after removal of BSF larvae (mean (n = 6) ± standard deviation), and the characteristic [40,44,46] and experimentally obtained absorption bands (cm−1) of the PVC foil either or not in contact with BSF larvae.
| Plastic Type | Sample Description | Recovery of PVC [%] | Characteristic Bands [cm−1] | Experimental Bands [cm−1] |
|---|---|---|---|---|
| Macroplastics (RS3) | No larvae/650 g substrate | 100.2 ± 1.0 | ), ), ), ), ), ), ) | ), ), ) ) 1728, 1195, 1094 (additives) |
| 650 larvae/650 g substrate | 99.6 ± 1.3 | |||
| 650 larvae/433 g substrate | 100.1 ± 0.7 | |||
| Control PVC | / | |||
| Mesoplastics (RS2) | No larvae/650 g substrate | 109.5 ± 7.6 * | ), ), ) ), ) 1728, 1195, 1094 (additives) | |
| 650 larvae/650 g substrate | 106.5 ± 7.0 * | |||
| 650 larvae/433 g substrate | 105.1 ± 4.9 * | |||
| Control PVC | / | |||
| Microplastics (RS1) | No larvae/650 g substrate | 109.7 ± 10.4 | ), ), ) ) 1732, 1098 (additives) | |
| 650 larvae/650 g substrate | 106.8 ± 9.1 * | |||
| 650 larvae/433 g substrate | 104.1 ± 4.2 | |||
| Control PVC | / |
* Results were obtained from 5 instead of 6 replicates.
3.3.3. PVC Degradation
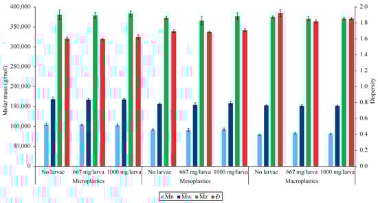
Potential degradation (reduction in the molar masses) of the PVC induced by the BSF larvae was investigated by means of size exclusion chromatography. Figure 4 shows the number (), mass () and z-average () molar masses, and dispersity (Đ) of the micro-, meso-, and macroplastics added to the substrate and to the substrate containing BSF larvae, while the chromatograms are shown in Figures S4–S6 of the supplementary material. No significant differences were found between the PVC provided to the larvae that received the optimal (1000 mg substrate/larva) feed amount, the reduced (667 mg substrate/larva) feed amount, or the one that was in contact with the substrate without larvae. This outcome was observed for all particle sizes, and thus it can be concluded that the larvae do not significantly degrade the plastics present in their substrate. Hence, a similar hypothesis as for the PVC recovery and composition change could be assumed as also no degradation was found.
Figure 4.
The number (, mass (, and z-average ( molar masses (left y-axis), and dispersity (Đ) (right y-axis) of PVC micro- meso- and macroplastics and their different exposure levels to the BSF larvae (mean (n = 6) ± standard deviation). No significant differences can be observed.
3.3.4. Plastic Degradation Capacity of BSF Larvae
In this study, it was found that BSF larvae were not able to degrade the plastics present in their substrate. These results are in contrast with those from some other insect species, such as yellow mealworms (Tenebrio molitor), greater wax moth larvae (Galleria mollenela), and morio worms (Zophobas morio). These insects are able to ingest and degrade polystyrene and polyethylene to a certain extent [47,48,49,50], and re-used it as a carbon source [47]. Moreover, the degradation seems to be enhanced by the presence of microorganisms (e.g., Exiguobacterium sp., Citrobacter sp., and Kosakonia sp), since the addition of antibiotics reduces degradation [50,51]. Even though they can degrade those plastic materials, it is a rather slow process. For instance, to degrade a Styrofoam coffee cup in about a week, approximately 3000 to 4000 mealworms are required, while afterwards there are still (micro)plastics and monomers present in the frass [47]. A possible explanation for the inability of BSF larvae to convert such plastic materials could lie in the fact that they have a mouth with a sweeping apparatus instead of a biting mouth like the abovementioned insects [52]. On the other hand, we used another type of plastic (PVC instead of PE or PS), which can lead to different results.
4. Conclusions
This study aimed to assess the mutual influence between PVC micro-, meso-, and macroplastics, and BSF larvae. Our research showed that BSF larvae were not affected in terms of growth, survival, and bioconversion when reared on an artificial food waste containing different amounts (i.e., w = 1–5%) and different particle sizes (i.e., 279 µm, 5 mm × 5 mm and 5.0 cm × 5.0 cm) of PVC plastic foil. In addition, the BSF larvae did not significantly alter the polymer composition or degrade the PVC plastics during these experiments. Furthermore, BSF larvae were able to clean macroplastics contaminated with biological matter to a certain extent. Despite the interesting outcome of this research, more studies are required, which should focus on the chemical safety of BSF larvae reared on such substrates to determine whether they can be used to produce BSF larvae for feed purposes.
Supplementary Materials
The following supporting information can be downloaded at: https://www.mdpi.com/article/10.3390/su141912109/s1, Tables S1 and S2 and Figures S1–S6 are in the Supplementary Materials.
Author Contributions
S.L., L.F. and M.V.D.B. conceptualised the study, while S.L., L.F., and T.V.d.D., performed the experimental work. S.L. executed the statistical analyses and wrote the first draft. J.D.S., L.F., T.V.d.D., J.W.S., G.P., A.C. and M.V.D.B. proofread and edited the manuscript. M.V.D.B., J.D.S., G.P. and A.C. ensured the funding via the Research Foundation—Flanders (FWO). All authors have read and agreed to the published version of the manuscript.
Funding
This research was funded by the Research Foundation—Flanders (FWO) via the ENTOBIOTA project, grant number S008519N. J.D.S. holds an FWO postdoctoral fellowship grant, grant number 12V5222N.
Institutional Review Board Statement
Not applicable.
Informed Consent Statement
Not applicable.
Data Availability Statement
Original data are available on request.
Acknowledgments
We want to thank Ann Wuyts and Dario Lachi for their cooperation during the rearing experiments.
Conflicts of Interest
The authors declare no conflict of interest. The funders had no role in the design of the study, in the collection, analyses, or interpretation of data; in the writing of the manuscript; or in the decision to publish the results.
References
- United Nations. Growing at a Slower Pace, World Population Is Expected to Reach 9.7 Billion in 2050 and Could Peak at Nearly 11 Billion around 2100. Available online: https://www.un.org/development/desa/en/news/population/world-population-prospects-2019.html (accessed on 26 March 2020).
- OECD/FAO. OECD-FAO Agricultural Outlook 2021–2030; OECD/FAO: Paris, France, 2021. [Google Scholar]
- Wu, G.; Fanzo, J.; Miller, D.D.; Pingali, P.; Post, M.; Steiner, J.L.; Thalacker-Mercer, A.E. Production and Supply of High-Quality Food Protein for Human Consumption: Sustainability, Challenges, and Innovations. Ann. N. Y. Acad. Sci. 2014, 1321, 1–19. [Google Scholar] [CrossRef] [PubMed]
- Song, X.P.; Hansen, M.C.; Potapov, P.; Adusei, B.; Pickering, J.; Adami, M.; Lima, A.; Zalles, V.; Stehman, S.V.; Di Bella, C.M.; et al. Massive Soybean Expansion in South America since 2000 and Implications for Conservation. Nat. Sustain. 2021, 4, 784–792. [Google Scholar] [CrossRef]
- Dai, P.; Luan, S.; Sui, J.; Cao, J.; Chen, B.; Meng, X.; Kong, J. Insight into Genetic Potential for Growth and Survival of the Pacific White Shrimp (Litopenaeus vannamei) in the Context of Low-Protein and Low-Fishmeal Diet Use. Aquac. Res. 2022, 53, 3337–3345. [Google Scholar] [CrossRef]
- Kaza, S.; Yao, L.; Bhada-Tata, P.; Van Woerden, F. What a Waste 2.0; World Bank: Washington, DC, USA, 2018; Volume 66, ISBN 9781464813290. [Google Scholar]
- Lievens, S.; Slegers, T.; Mees, M.A.; Thielemans, W.; Poma, G.; Covaci, A.; Van Der Borght, M. A Simple, Rapid and Accurate Method for the Sample Preparation and Quantification of Meso- and Microplastics in Food and Food Waste Streams. Environ. Pollut. 2022, 307, 1. [Google Scholar] [CrossRef] [PubMed]
- Deena, S.R.; Vickram, A.S.; Manikandan, S.; Subbaiya, R.; Karmegam, N.; Ravindran, B.; Chang, S.W.; Awasthi, M.K. Enhanced Biogas Production from Food Waste and Activated Sludge Using Advanced Techniques—A Review. Bioresour. Technol. 2022, 355, 127234. [Google Scholar] [CrossRef]
- Lievens, S.; Poma, G.; De Smet, J.; Van Campenhout, L.; Covaci, A.; Van Der Borght, M. Chemical Safety of Black Soldier Fly Larvae (Hermetia illucens), Knowledge Gaps and Recommendations for Future Research: A Critical Review Abstract. J. Insects Food Feed. 2021, 7, 383–396. [Google Scholar] [CrossRef]
- Premalatha, M.; Abbasi, T.; Abbasi, T.; Abbasi, S.A. Energy-Efficient Food Production to Reduce Global Warming and Ecodegradation: The Use of Edible Insects. Renew. Sustain. Energy Rev. 2011, 15, 4357–4360. [Google Scholar] [CrossRef]
- Purkayastha, D.; Sarkar, S. Sustainable Waste Management Using Black Soldier Fly Larva: A Review. Int. J. Environ. Sci. Technol. 2021, 1–26. [Google Scholar] [CrossRef]
- La Nasa, J.; Biale, G.; Fabbri, D.; Modugno, F. A Review on Challenges and Developments of Analytical Pyrolysis and Other Thermoanalytical Techniques for the Quali-Quantitative Determination of Microplastics. J. Anal. Appl. Pyrolysis 2020, 149, 104841. [Google Scholar] [CrossRef]
- Cole, M. A Novel Method for Preparing Microplastic Fibers. Sci. Rep. 2016, 6, 34519. [Google Scholar] [CrossRef]
- Gomiero, A.; Strafella, P.; Fabi, G. From Macroplastic to Microplastic Litter: Occurrence, Composition, Source Identification and Interaction with Aquatic Organisms. Experiences from the Adriatic Sea Alessio. In Plastics in the Environment; IntechOpen: London, UK, 2016; p. 15. [Google Scholar]
- Ustabasi, G.S.; Baysal, A. Science of the Total Environment Bacterial Interactions of Microplastics Extracted from Toothpaste under Controlled Conditions and the Influence of Seawater. Sci. Total Environ. 2020, 703, 135024. [Google Scholar] [CrossRef]
- Visakh, P.M.; Darie-Nita, R.N. Polyvinylchloride-Based Blends: Preparation, Characterization and Applications; Springer: Berlin/Heidelberg, Germany, 2022; ISBN 9783030784546. [Google Scholar]
- Hogsette, J.A. New Diets for Production of House Flies and Stable Flies (Diptera: Muscidae) in the Laboratory. J. Econ. Entomol. 1992, 85, 2291–2294. [Google Scholar] [CrossRef] [PubMed]
- Broeckx, L.; Frooninckx, L.; Slegers, L.; Berrens, S.; Noyens, I.; Goossens, S.; Verheyen, G.; Wuyts, A.; Van Miert, S. Growth of Black Soldier Fly Larvae Reared on Organic Side-Streams. Sustainability 2021, 13, 12953. [Google Scholar] [CrossRef]
- Waldbauer, G.P. The Consumption and Utilization of Food by Insects. Adv. Insect Physiol. 1968, 5, 229–288. [Google Scholar] [CrossRef]
- Lalander, C.; Diener, S.; Zurbrügg, C.; Vinnerås, B. Effects of Feedstock on Larval Development and Process Efficiency in Waste Treatment with Black Soldier Fly (Hermetia illucens). J. Clean. Prod. 2019, 208, 211–219. [Google Scholar] [CrossRef]
- Kinasih, I.; Putra, R.E.; Permana, A.D.; Gusmara, F.F.; Nurhadi, M.Y.; Anitasari, R.A. Growth Performance of Black Soldier Fly Larvae (Hermetia illucens) Fed on Some Plant Based Organic Wastes. Hayati J. Biosci. 2018, 25, 79–84. [Google Scholar] [CrossRef]
- Scala, A.; Cammack, J.A.; Salvia, R.; Scieuzo, C.; Franco, A.; Bufo, S.A.; Tomberlin, J.K.; Falabella, P. Rearing Substrate Impacts Growth and Macronutrient Composition of Hermetia illucens. Sci. Rep. 2020, 10, 19448. [Google Scholar] [CrossRef] [PubMed]
- Cho, S.; Kim, C.; Kim, M.; Chung, H. Effects of Microplastics and Salinity on Food Waste Processing by Black Soldier Fly (Hermetia illucens) Larvae. J. Ecol. Environ. 2020, 44, 7. [Google Scholar] [CrossRef]
- Romano, N.; Fischer, H. Microplastics Affected Black Soldier Fly (Hermetia illucens) Pupation and Short Chain Fatty Acids. J. Appl. Entomol. 2021, 145, 731–736. [Google Scholar] [CrossRef]
- Harnden, L.M.; Tomberlin, J.K. Effects of Temperature and Diet on Black Soldier Fly, Hermetia illucens (L.) (Diptera: Stratiomyidae), Development. Forensic Sci. Int. 2016, 266, 109–116. [Google Scholar] [CrossRef]
- Meneguz, M.; Schiavone, A.; Gai, F.; Dama, A.; Lussiana, C.; Renna, M.; Gasco, L. Effect of Rearing Substrate on Growth Performance, Waste Reduction Efficiency and Chemical Composition of Black Soldier Fly (Hermetia illucens) Larvae. J. Sci. Food Agric. 2018, 98, 5776–5784. [Google Scholar] [CrossRef] [PubMed]
- Ma, J.; Lei, Y.; Rehman, K.U.; Yu, Z.; Zhang, J.; Li, W.; Li, Q.; Tomberlin, J.K.; Zheng, L. Dynamic Effects of Initial pH of Substrate on Biological Growth and Dynamic Effects of Initial pH of Substrate on Biological Growth and Metamorphosis of Black Soldier Fly (Diptera: Stratiomyidae). Physiol. Ecol. 2018, 47, 159–165. [Google Scholar] [CrossRef]
- van der Fels-Klerx, H.J.; Meijer, N.; Nijkamp, M.M.; Schmitt, E.; van Loon, J.J.A. Chemical Food Safety of Using Former Foodstuffs for Rearing Black Soldier Fly Larvae (Hermetia illucens) for Feed and Food Use. J. Insects Food Feed 2020, 6, 475–488. [Google Scholar] [CrossRef]
- Palma, L.; Ceballos, S.J.; Johnson, P.C.; Niemeier, D.; Pitesky, M.; VanderGheynst, J.S. Cultivation of Black Soldier Fly Larvae on Almond Byproducts: Impacts of Aeration and Moisture on Larvae Growth and Composition. J. Sci. Food Agric. 2018, 98, 5893–5900. [Google Scholar] [CrossRef]
- Dzepe, D.; Nana, P.; Mube, H.; Mitsue, J.; Ornela, K.; Tchuinkam, T.; Djouaka, R. Feeding Strategies for Small-scale Rearing Black Soldier Fly Larvae (Hermetia illucens) as Organic Waste Recycler. SN Appl. Sci. 2021, 3, 252. [Google Scholar] [CrossRef]
- Shishkov, O.; Hu, M.; Johnson, C.; Hu, D.L. Black Soldier Fly Larvae Feed by Forming a Fountain around Food. J. R. Soc. Interface 2019, 16, 20180735. [Google Scholar] [CrossRef] [PubMed]
- Oonincx, D.G.A.B.; Van Broekhoven, S.; Van Huis, A.; Van Loon, J.J.A. Feed Conversion, Survival and Development, and Composition of Four Insect Species on Diets Composed of Food by-Products. PLoS ONE 2015, 10, e0144601. [Google Scholar] [CrossRef] [PubMed]
- Msangi, J.W.; Mweresa, C.K.; Ndong’a, M.F.O. Using Organic Wastes as Feed Substrate for Black Soldier Fly Larvae. J. Insects Food Feed 2022, 8, 357–366. [Google Scholar] [CrossRef]
- Barragan-Fonseca, K.B.; Dicke, M.; van Loon, J.J.A. Nutritional Value of the Black Soldier Fly (Hermetia illucens L.) and Its Suitability as Animal Feed—A Review. J. Insects Food Feed 2017, 3, 105–120. [Google Scholar] [CrossRef]
- Banks, I.J.; Gibson, W.T.; Cameron, M.M. Growth Rates of Black Soldier Fly Larvae Fed on Fresh Human Faeces and Their Implication for Improving Sanitation. Trop. Med. Int. Heal. 2014, 19, 14–22. [Google Scholar] [CrossRef] [PubMed]
- Singh, A.; Srikanth, B.H.; Kumari, K. Determining the Black Soldier Fly Larvae Performance for Plant-Based Food Waste Reduction and the Effect on Biomass Yield. Waste Manag. 2021, 130, 147–154. [Google Scholar] [CrossRef] [PubMed]
- Gold, M.; Tomberlin, J.K.; Diener, S.; Zurbrügg, C.; Mathys, A. Decomposition of Biowaste Macronutrients, Microbes, and Chemicals in Black Soldier Fly Larval Treatment: A Review. Waste Manag. 2018, 82, 302–318. [Google Scholar] [CrossRef] [PubMed]
- Siddiqui, S.A.; Ristow, B.; Rahayu, T.; Putra, N.S.; Widya Yuwono, N.; Nisa, K.; Mategeko, B.; Smetana, S.; Saki, M.; Nawaz, A.; et al. Black Soldier Fly Larvae (BSFL) and Their Affinity for Organic Waste Processing. Waste Manag. 2022, 140, 1–13. [Google Scholar] [CrossRef] [PubMed]
- Diener, S.; Solano, N.M.S.; Gutiérrez, F.R.; Zurbrügg, C.; Tockner, K. Biological Treatment of Municipal Organic Waste Using Black Soldier Fly Larvae. Waste Biomass Valorization 2011, 2, 357–363. [Google Scholar] [CrossRef]
- Verleye, G.A.L.; Roeges, N.P.G.; De Moor, M.O. Easy Identification of Plastics and Rubbers; Smithers Rapra Publishing: Shrewsbury, UK, 2001; ISBN 1859572685. [Google Scholar]
- Szymanska-Chargot, M.; Zdunek, A. Use of FT-IR Spectra and PCA to the Bulk Characterization of Cell Wall Residues of Fruits and Vegetables Along a Fraction Process. Food Biophys. 2013, 8, 29–42. [Google Scholar] [CrossRef] [PubMed]
- Chen, W.; He, H.; Zhu, H.; Cheng, M.; Li, Y.; Wang, S. Thermo-Responsive Cellulose-Based Material with Switchable Wettability for Controllable Oil/Water Separation. Polymers 2018, 10, 592. [Google Scholar] [CrossRef] [PubMed]
- Kim, Y.; Jeong, D.; Park, K.H.; Yu, J.H.; Jung, S. Efficient Adsorption on Benzoyl and Stearoyl Cellulose to Remove Phenanthrene and Pyrene from Aqueous Solution. Polymers 2018, 10, 1042. [Google Scholar] [CrossRef] [PubMed]
- Okuda, T.; Kurose, K.; Nishijima, W.; Okada, M. Separation of Polyvinyl Chloride from Plastic Mixture by Froth Flotation after Surface Modification with Ozone. Ozone Sci. Eng. 2007, 29, 373–377. [Google Scholar] [CrossRef]
- Mansur, H.S.; Sadahira, C.M.; Souza, A.N.; Mansur, A.A.P. FTIR Spectroscopy Characterization of Poly (Vinyl Alcohol) Hydrogel with Different Hydrolysis Degree and Chemically Crosslinked with Glutaraldehyde. Mater. Sci. Eng. C 2008, 28, 539–548. [Google Scholar] [CrossRef]
- Krimm, S.; Liangj, C.Y. Infrared Spectra of High Polymers. IV. Polyvinyl Chloride, Polyvinylidene Chloride, and Copolymers*. J. Polym. Sci. 1956, 112, 95–112. [Google Scholar] [CrossRef]
- Kuan, Z.J.; Chan, B.K.N.; Gan, S.K.E. Worming the Circular Economy for Biowaste and Plastics: Hermetia illucens, Tenebrio molitor, and Zophobas morio. Sustainability 2022, 14, 1594. [Google Scholar] [CrossRef]
- Yang, Y.; Yang, J.; Wu, W.M.; Zhao, J.; Song, Y.; Gao, L.; Yang, R.; Jiang, L. Biodegradation and Mineralization of Polystyrene by Plastic-Eating Mealworms: Part 1. Chemical and Physical Characterization and Isotopic Tests. Environ. Sci. Technol. 2015, 49, 12080–12086. [Google Scholar] [CrossRef] [PubMed]
- Lemoine, C.M.R.; Grove, H.C.; Smith, C.M.; Cassone, B.J. A Very Hungry Caterpillar: Polyethylene Metabolism and Lipid Homeostasis in Larvae of the Greater Wax Moth (Galleria mellonella). Environ. Sci. Technol. 2020, 54, 14706–14715. [Google Scholar] [CrossRef]
- Brandon, A.M.; Gao, S.H.; Tian, R.; Ning, D.; Yang, S.S.; Zhou, J.; Wu, W.M.; Criddle, C.S. Biodegradation of Polyethylene and Plastic Mixtures in Mealworms (Larvae of Tenebrio molitor) and Effects on the Gut Microbiome. Environ. Sci. Technol. 2018, 52, 6526–6533. [Google Scholar] [CrossRef]
- Yang, Y.; Yang, J.; Wu, W.M.; Zhao, J.; Song, Y.; Gao, L.; Yang, R.; Jiang, L. Biodegradation and Mineralization of Polystyrene by Plastic-Eating Mealworms: Part 2. Role of Gut Microorganisms. Environ. Sci. Technol. 2015, 49, 12087–12093. [Google Scholar] [CrossRef]
- Kim, W.T.; Bae, S.W.; Park, H.C.; Park, K.H.; Lee, S.B.; Choi, Y.C.; Han, S.M.; Koh, Y.H. The Larval Age and Mouth Morphology of the Black Soldier Fly, Hermetia illucens (Diptera: Stratiomyidae). Int. J. Ind. Entomol. 2010, 21, 185–187. [Google Scholar]
Publisher’s Note: MDPI stays neutral with regard to jurisdictional claims in published maps and institutional affiliations. |
© 2022 by the authors. Licensee MDPI, Basel, Switzerland. This article is an open access article distributed under the terms and conditions of the Creative Commons Attribution (CC BY) license (https://creativecommons.org/licenses/by/4.0/).



