Next Article in Journal
A Q-Learning-Based Approximate Solving Algorithm for Vehicular Route Game
Next Article in Special Issue
The Relationship among Four Lifestyles of Workers amid the COVID-19 Pandemic (Work–Life Balance, YOLO, Minimal Life, and Staycation) and Organizational Effectiveness: With a Focus on Four Countries
Previous Article in Journal
Quantitative Evaluation of Complex Degree of Geological Structure in Yangquan Mining Area
Previous Article in Special Issue
Internships with Portuguese Speakers: Leadership, Organisational Culture and the Current Brain Drain
 
 
Font Type:
Arial Georgia Verdana
Font Size:
Aa Aa Aa
Line Spacing:
Column Width:
Background:
Article

No Place for Pointless Jobs: How Social Responsibility Impacts Job Performance

by
Marc Scholten
1,2,
Manuela Faia Correia
3,4,5,*,
Teresa Esteves
4,6 and
Sónia P. Gonçalves
7
1
Faculty of Design, Technology and Communication, Universidade Europeia, 1500-210 Lisbon, Portugal
2
Centro de Estudos em Gestão do Instituto Superior Técnico (CEG-IST), Instituto Superior Técnico, Universidade de Lisboa, 1049-001 Lisbon, Portugal
3
Faculty of Economic and Business Sciences, Universidade Lusíada, 1349-001 Lisbon, Portugal
4
Centro de Investigação em Organizações, Mercados e Gestão Industrial (COMEGI), Universidade Lusíada, 1349-001 Lisbon, Portugal
5
Instituto de Saúde Ambiental (ISAMB), Faculty of Medicine, Universidade de Lisboa, 1649-028 Lisbon, Portugal
6
ISCAL—Instituto Superior de Contabilidade e Administração de Lisboa, Instituto Politécnico de Lisboa, 1069-035 Lisbon, Portugal
7
Centro de Administração e Políticas Públicas (CAPP), Instituto Superior de Ciências Sociais e Políticas (ISCSP), Universidade de Lisboa, 1300-663 Lisbon, Portugal
*
Author to whom correspondence should be addressed.
Sustainability 2022, 14(19), 12031; https://doi.org/10.3390/su141912031
Submission received: 22 July 2022 / Revised: 4 September 2022 / Accepted: 8 September 2022 / Published: 23 September 2022
(This article belongs to the Special Issue Understanding Sustainable Human Resource Management)

Abstract

We address the question of how organizations’ practices of social responsibility impact their employees’ job performance. Independent studies have shown that job performance is influenced by how employees perceive the organization they work for and how they perceive the work they perform for the organization. Moreover, studies on the relationship between social responsibility and job performance have shown that employees’ perceptions of their organization mediate the relationship. What is thus far neglected, however, is whether and how their perceptions of work itself mediate the relationship as well. We derive a sequential mediation model according to which social responsibility improves job performance by contributing to a supportive and trustworthy work context (employees’ perceptions of the organization they work for), in turn promoting work meaningfulness and engagement (employees’ perceptions of work itself). We collect survey data and test the sequential mediation model against a series of alternative models, each of which challenges a specific assumption of the proposed model. Our model provides the best tradeoff between the accuracy and the parsimony with which it describes the data collected, and is, therefore, expected to generalize best to other data.

1. Introduction

The troubled world we live in calls more than ever for sustainable policy and enterprise. In accord with the 1987 report of the UN’s Brundtland Commission, sustainability may be defined as meeting the needs of the present-day habitants of the planet without compromising the ability of future generations to meet their own needs. The commission took a ‘responsibility-oriented approach to sustainability’ [1], according to which organizations must honor not only their economic responsibilities towards their shareholders, but also their environmental and social responsibilities. This orientation towards multiple ‘stakeholders’ of organizations is the hallmark of Corporate Social Responsibility [2], or just Social Responsibility (SR), to cover the full range of public as well as private and non-profit as well as for-profit organizations. Among the social stakeholders, the employees of organizations are placed front and center by sustainable Human Resource Management (HRM), a framework for managing people to achieve economic, environmental and social outcomes, both in the short term and long term [3,4].
Sustainable HRM has identified several ‘paradoxes,’ ‘dilemmas’ or ‘tensions’ facing organizations, one of which is the notion that taking on social responsibilities is incompatible with operating efficiently [2,4]. Indeed, SR and sustainable HRM emerged as a response to negative externalities of economic activities [1] and may, therefore, be antithetical to shareholders’ interests. A series of strategies can be implemented to alleviate such tensions [3], but it is also possible that tensions are, at least to some extent, more apparent than real. For instance, studies have shown that favorable perceptions on the part of employees of their employers’ SR practices are positively related to Job Performance (JP) [5,6], suggesting that SR is not necessarily antithetical to economic interests. Of course, a direct relationship between two variables may not be too informative on why there is a relationship, or how the relationship arises [7], in which case an interpretation may be sought in one or more mediating variables [8].
To our knowledge, there are currently nine mediation studies on the SR–JP relationship [9,10,11,12,13,14,15,16,17]. Three variables make a repeated appearance as mediating variables in these studies: (1) organizational pride [12,13], (2) organizational identification [9,13,14,17] and (3) affective organizational commitment [12,15,16]. Although these studies are a step in the right direction, they omit, from the perspective taken in this article, a key element in the SR–JP relationship. Notably, all three mediators consist in organization-related perceptions on the part of employees: whether they perceive the SR practices of the organization they work for in a favorable way, whether they take pride in ‘their’ organization, whether they identify with the organization, and whether they feel committed to it. Conspicuously absent are work-related perceptions. Indeed, it is a bit odd to look for a relation between what employees think and feel about the organization they work for and how well they perform their work, while overlooking what they think and feel about the work itself. The primary goal is to fill this glaring gap in the current understanding of the SR–JP relationship, both theoretically and empirically.
Theoretically, our proposition is very straightforward; SR improves job performance by contributing to meaningfulness at work. Pratt and Ashforth [18] distinguished between meaningfulness at work and meaningfulness in work. Identity (who we are) is at the core of their framework. Meaningfulness in work consists in an alignment of who we are with what we do in the organization, whereas meaningfulness at work consists in an alignment of who we are with whom we are surrounded by, or what the organization sets out as its goals, values and beliefs. The authors treated these two forms of meaningfulness as independent (Figure 20.2 in [18]) and identified different organizational practices to ‘foster’ the two forms of meaningfulness independently (Figure 20.3 in [18]). However, there is some evidence suggesting that they are directly related. Pavlish and Hunt [19] conducted interviews with nurses to identify factors that either facilitated or obstructed meaningfulness in work. As facilitating factors, they mentioned a learning-focused environment, teamwork, constructive management and time with patients, and, as obstructing factors, they mentioned a task-focused environment, stressful relationships and divisive management. Predominantly, these factors pertain to the work context, not the work itself, from which it follows that work can be made meaningful or meaningless by the environment created in and by the organization. Drawing on Pavlish and Hunt’s [19] study, we henceforth treat meaningfulness at work as a causal relationship, i.e., as the influence that the work context has on the meaningfulness or meaninglessness of work itself. Accordingly, our interpretation of the SR–JP relationship becomes one of sequential mediation, since the mediator in the relationship is itself a causal relationship.
Empirically, we collect survey data and analyze the data by means of Structural Equation Modeling (SEM). We test the sequential mediation model of the SR–JP relationship against a series of alternative models, each of which challenges a specific assumption of the proposed model. This strategy of model validation by model competition is new to the literature on sustainable HRM and to the HRM literature more generally. Moreover, model competition by systematically challenging the defining properties of a proposed model is new to the SEM literature as well. To evaluate the performance of the models, we advocate a criterion that places a strong emphasis on their parsimony, to be traded off against the accuracy with which they describe the data collected. The strong emphasis on parsimony, stronger than in most studies relying on SEM, ensures better judgment regarding which model generalizes best to other data. The sequential mediation model comes out on top from the model competition, and mediation analyses show a robust and reliable contribution of meaningfulness at work to the SR–JP relationship.

1.1. Meaningfulness at Work

We propose that work-related perceptions should be included as a key mediator in the SR–JP relationship, based on three considerations. First, SR is understood to be an orientation towards the greater good [7,20,21,22], and greater good motivations are understood to be a core facet of work meaningfulness [22,23,24], especially among those who see their work as a Calling [22,23], rather than a Job or Career (see [25] for this trichotomy). Second, favorable SR perceptions have been shown to positively influence work meaningfulness [17,18]. Third, work meaningfulness has been shown to positively influence job performance [26]. Drawing on the second and third consideration, favorable SR perceptions would have a positive impact on job performance by contributing to work meaningfulness.
We treat meaningfulness in work as one facet of work meaningfulness, with the other being greater good motivations, i.e., experiencing one’s work as serving the greater good. Work meaningfulness is routinely interpreted as a direct cause of work engagement (e.g., [27,28,29]), in the sense of “a positive, fulfilling, work-related state of mind that is characterized by vigor, dedication, and absorption” [30] (p. 295). Analogous to work meaningfulness, work engagement has been shown to be positively influenced by favorable SR perceptions [31] and to positively influence job performance [32,33]. Work meaningfulness and engagement thus emerge as intimately related constructs, sharing SR perceptions as a common cause and job performance as a common consequence.
Meanwhile, we treat meaningfulness at work neither as a construct nor as a facet of a construct, but, as mentioned earlier, as a causality between two constructs: as the influence of work context on work meaningfulness and engagement. Thus, although work meaningfulness and engagement share SR perceptions as a common cause, the causality is not direct, but rather, it is indirect, mediated by work context. Moreover, as joint consequences of work context, work meaningfulness and work engagement become core contributors to the SR–JP relationship.
Naturally, a correlational analysis is comparative in nature. Those who perceive the work context more favorably than others are, by the notion of meaningfulness at work, more likely to perceive their work as meaningful and engaging. Conversely, those who perceive the work context less favorably than others are less likely to perceive their work as meaningful and engaging. Indeed, polls appearing regularly in the popular press (e.g., Forbes, Gallup and Harvard Business Review) show that a substantial share of the workforce perceive their work as devoid of any meaningfulness, either because of the work itself, or because of the work context. This has not gone unnoticed in popular science, as briefly reviewed below, and related back to the literature on management and Organizational Behavior (OB).

1.1.1. Pointless Jobs: The Work Itself

According to Wrzesniewski et al. [25], people differ in the degree to which they view their work as a Job (an orientation towards financial rewards), a Career (an orientation towards advancement) or a Calling (an orientation towards socially significant and valuable work). As a Calling, work is an end in itself, typically associated with the belief that it contributes to the greater good and makes the world a better place [23]. Even those who firmly believe that work is just a Job, however, would feel miserable if they were to reach the conclusion one day that, should their job vanish instantly, it would not make any real difference to the world. Employees who do reach that conclusion find themselves, according to Graeber [34], in a bullshit job. By his final working definition, “a bullshit job is a form of paid employment that is so completely pointless, unnecessary, or pernicious that even the employee cannot justify its existence even though, as part of the conditions of employment, the employee feels obliged to pretend that this is not the case” (p. 9–10). In essence, a bullshit job is “utterly meaningless, contributing nothing to the world and eventually should not exist” (p. 9). Although this is the deepest state of meaninglessness that many employees may not reach, it does convey a painful absence of work meaningfulness in both of its facets: meaningfulness in work and greater good motivations.

1.1.2. Pointless Jobs: The Work Context

Graeber [34] was preceded in time by Lencioni [35] and his book on miserable jobs, which describes a miserable job as one “you dread going to and can’t wait to leave. It’s the one that saps your energy even when you’re not busy. It’s the one that makes you go home at the end of the day with less enthusiasm and more cynicism than you had when you left in the morning” (p. 217). This description covers not only jobs that, by Graeber’s [34] definition, are bullshit, but also jobs that are made bullshit, e.g., by not being supportive of employees and the work they do, by not appreciating the effort they put into their work, by not recognizing the contribution of their work to the organization, or by not telling them what their contribution is, which may demoralize even those who perform interesting work and who are well paid for it [36].
Not surprisingly, then, antecedents of work meaningfulness and engagement have been sought in perceived organizational support, defined as employees’ “global beliefs concerning the extent to which the organization values their contributions and cares about their well-being” [37] (p. 501) and organizational trust [38], interpreted as a direct consequence of perceived organizational support (e.g., [28,39]). According to Mayer et al. [40], organizational trust is characterized by benevolence (“the extent to which a trustee is believed to want to do good to the trustor, aside from an egocentric profit motive,” p. 718), and integrity (“the trustor’s perception that the trustee adheres to a set of principles that the trustor finds acceptable,” p. 719). Perceived organizational support has been shown to positively influence work meaningfulness [41,42], and work engagement has been shown to be positively influenced by perceived organizational support [31,33] and organizational trust [43,44]. Meaningfulness at work is this positive influence of perceived supportiveness and trustworthiness on work meaningfulness and engagement.

1.2. Latent Psychological States

All of the evidence covered in this article comes in the form of correlational data, and causal analyses of correlational data rely on causal assumptions, meaning that the analyses do not reveal causal relations [45]. Moreover, they rely on assumptions regarding which constructs are related by causality, and which constructs are related by commonality. Perceived organizational support and trust have so far been treated as causally related, and so have work meaningfulness and engagement: the work context is supportive and therefore trustworthy; the work itself is meaningful and therefore engaging. The underlying assumption is that the ‘causally related’ constructs are separate constructs. However, there may be conceptual overlap between constructs as well [46], possibly because the constructs are rooted in a common source [47].
Conceptual overlap is almost inevitable when the constructs are psychological states, such as employees’ psychological relation with the organization they work for (organizational pride, identification, commitment, support and trust), or their psychological relation with the work they perform (work meaningfulness, engagement, addiction and satisfaction). Moreover, the overlap may be so substantial that the communality approach would be more legitimate than the causality approach, or that the causality approach should at least be tested against the communality approach. Under the commonality approach, perceived organizational support and organizational trust are different manifestations of the same latent psychological state, which we refer to as employees’ belief of being in good company, while work meaningfulness and work engagement are different manifestations of another latent psychological state, which we refer to as employees’ belief of being in no pointless job. Thus interpreted, employees experience meaningfulness at work to the extent that the belief of being in good company strengthens their belief of not being in a pointless job or weakens their belief they are in one.

1.3. In Good Company of a Good Company

In our interpretation, the SR–JP relationship is mediated ‘only’ by meaningfulness at work, but the mediator is a causal relationship itself, with organizational support and trust exerting a positive influence on work meaningfulness and engagement. This raises the question of where and how SR impacts within the mediator. As reviewed earlier, favorable SR perceptions have been shown to positively influence work meaningfulness [21,22] and work engagement [31]. Analogously, favorable SR perceptions have been shown to positively influence both perceived organizational support [22,31] and organizational trust [43,48,49,50,51,52]. The most parsimonious interpretation of the findings, as motivated by the foregoing development, is that favorable SR perceptions promote work meaningfulness and engagement by contributing to organizational support and trust. Thus, the impact of SR perceptions on work-related perceptions is not direct, but rather, it is indirect, fully mediated by organization-related perceptions.
Metaphorically, the conceptual model proposed next asserts that employees’ belief of working for a good company strengthens their belief of being in good company, which strengthens their belief of being in no pointless job or weakens their belief that they are in one, thus improving job performance. This is the ‘how’ of the SR–JP relationship that we empirically investigate.

1.4. The Sequential Mediation Model and ‘Undoing’ Its Defining Properties

We compile the research hypotheses into a conceptual model, the sequential mediation model, which has so far gone untested. Indeed, no previous study on employee outcomes of perceived SR practices has related job performance to any of the variables that we identify as mediators of the SR–JP relationship. In the sequential mediation model, those four variables constitute meaningfulness at work, by which employees’ belief of being in good company (C), as manifested by perceived organizational support (C1) and organizational trust (C2), strengthens their belief of being in no pointless job (W), as manifested by work meaningfulness (W1) and work engagement (W2). Favorable perceptions of SR practices (X) improve job performance (Y) to the extent that they contribute to meaningfulness at work. Since SR practices can be targeted at different stakeholders (e.g., clients, environment, society and employees), and because organizations most likely are selective in which stakeholders to target, employees’ perceptions of SR practices regarding different stakeholders are not treated as different manifestations of the same latent psychological state (belief of working for a good company), but rather as a collection of manifest variables, X = {X1, …, Xm}, where m is the number of stakeholders distinguished in the analysis. Figure 1 depicts the sequential mediation model (along with parameter estimates and their confidence intervals, to be discussed in the Results section).
The sequential mediation model is defined by full mediation, sequential mediation and latent mediation. We formulate three alternative models, against which the proposed model and its defining properties are tested: the partial mediation model, the parallel mediation model and the manifest mediation model.

1.4.1. Full Mediation Versus Partial Mediation

Full mediation can be stated follows: If the effect of one variable on another is mediated by p variables somewhere in the system, then it cannot be mediated by 0, 1, … or p – 1 variables elsewhere in the system. With reference to Figure 2, the full mediation model asserts that the dark gray arrows exist, but the light gray arrows do not. Formally stated, the effect of X on W is mediated by 1 variable (C), so it cannot be mediated by 0 variables (ruling out a direct effect of X on W). Furthermore, the effect of X on Y is mediated by 2 variables (C and W), so it cannot be mediated by 1 variable (either C or W) or 0 variables (ruling out a direct effect of X on Y).
The partial mediation model is less restrictive, positing that, if the effect of X on Y is mediated by p variables somewhere in the system, then it can be mediated by 0, 1, … and p – 1 variables elsewhere in the system. By stating that ‘it can be mediated,’ rather than that ‘it will be mediated,’ the partial mediation model introduces an exploratory aspect to the analysis, notwithstanding evidence from (1) studies in which job performance is specified as a direct consequence of perceived organizational support or organizational trust (for meta-analyses, see [53,54], respectively), (2) studies in which job performance is specified as a direct consequence of SR perceptions [5,6,55], and (3) studies in which SR perceptions are specified as a direct cause of work meaningfulness [21,22] or work engagement [31].
The point of the partial mediation model is that the sequential mediation model may be overly parsimonious by omitting too much from the description of reality, even if it is otherwise a valid description. By permitting more, the partial mediation model cannot describe the data worse than the sequential mediation model, but any gain in accuracy may not compensate for the loss in parsimony. If the loss in parsimony does pay off, we conclude that the sequential mediation model provides an oversimplified description of the data. If, however, the loss in parsimony does not pay off, we conclude that the sequential mediation model is ‘simple, but not too simple.’ Conceptually, it means that meaningfulness at work is, in the present analysis, necessary and sufficient as the connection between SR perceptions and job performance.

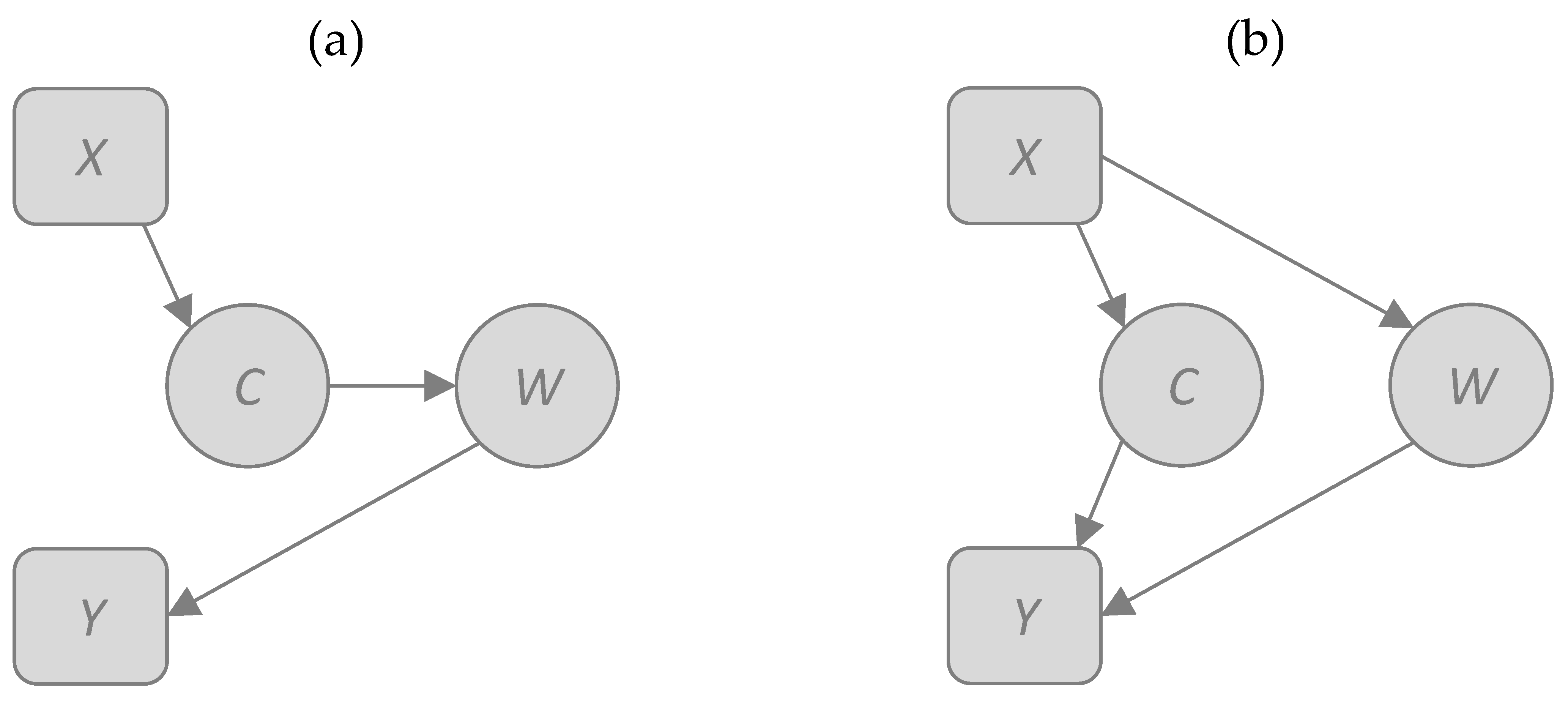
1.4.2. Sequential Mediation Versus Parallel Mediation

The sequential mediation model, depicted in Figure 3a, accommodates meaningfulness at work as the direct effect of C on W. The parallel mediation model, depicted in Figure 3b, evaluates the implications of omitting this direct effect from the causal chain by replacing the direct effect of C on W with a direct effect of X on W. By the joint operation of this direct effect of X on W and the direct effect of X on C, reported correlations between support/trust and meaningfulness/engagement are interpreted as spurious correlations (see [56]), rather than manifestations of meaningfulness at work. Furthermore, with X having a direct effect on both C and W, and with W having a direct effect on Y, reported correlations between support/trust and job performance are interpreted as partly spurious, ‘partly,’ because C has a direct effect on Y, without which the proposition of parallel mediation falls apart.
Both the parallel mediation model and the sequential mediation model are nested in, and therefore more parsimonious than, the partial mediation model. In turn, the parallel mediation model is less parsimonious than the sequential mediation model, since it has more causal paths, but it serves its purpose of challenging the proposition of sequential mediation as parsimoniously as it possibly can.

1.4.3. Latent Mediation versus Manifest Mediation

As mentioned earlier, it is common practice to treat C and W as pairs of causally related variables (C1C2 and W1W2), instead of variables that share latent psychological states (C1CC2 and W1WW2). The manifest mediation model adheres to that common practice but otherwise agrees with the sequential mediation model that the effect of X on Y is sequentially mediated by C and W. It thus decomposes the causal chain XCWY into four subchains:
Quadruple mediation between X and Y:XC1C2W1W2Y
Single mediation between X and W2:XSustainability 14 12031 i001C2Sustainability 14 12031 i001W2
Single mediation between C1 and Y: C1Sustainability 14 12031 i001W1Sustainability 14 12031 i001Y
No mediation between C1 and W2: C1Sustainability 14 12031 i002W2
A long subchain of quadruple mediation connects X with Y, meaning that X and Y are more distant than in the latent mediation models. Furthermore, there are two subchains of single mediation: one connecting X with the direct cause of Y (which is W2) and the other connecting Y with the direct consequence of X (which is C2). Finally, there is a direct path from the direct consequence of X to the direct cause of Y. The manifest mediation model is less parsimonious than the sequential mediation model but serves the purpose of challenging latent mediation as parsimoniously as it can.

1.4.4. Generalizability as the Criterion for Model Evaluation

The above exposition has borne out that the candidate models differ not only in the explanation they offer of the SR–JP relationship, but also in the parsimony of the explanation offered. The fewer parameters are estimated by a model from the data, the more degrees of freedom are left by the model in the data, and the more parsimonious the model. Evaluating models by parsimony as well as accuracy is a defense against being overly precise in describing data. Intuitively, the more one tries to describe a specific data set ever more accurately, the more one becomes entangled in its idiosyncrasies, which reduces one’s ability to accurately describe other data sets, which have their own idiosyncrasies. Generalizability refers to the ability of a model to describe regularities and filter out idiosyncrasies [57] and, therefore, to better describe data yet unseen. The best generalizing model is to be identified by a proper tradeoff between accuracy and parsimony.

2. Materials and Methods

2.1. Data Collection

2.1.1. Sample

A convenience sample of 786 employees of Portuguese organizations participated in the survey by filling in either an online version (282 completions) or a paper-and-pencil version (504 completions) of the questionnaire. They averaged 39.1 years of age, 55.3% were female and 64.6% held an academic degree. Most participants (95.0%) had the Portuguese nationality; they otherwise were from another European country (1.7%), Brazil (1.5%) or a Portuguese-speaking African country (1.7%).
Job tenure was 0–6 months for 10.0% of the participants, 6 months-3 years for 26.0%, 3–5 years for 11.4%, 5–10 years for 16.1% and more than 10 years for 36.6%. The headcount of the employing organization was less than 50 employees for 27.5% of the participants, between 50 and 100 employees for 15.5% and more than 100 employees for 57.0%. Most participants (89.0%) worked in the tertiary sector (services), and most remaining participants (9.5%) worked in the secondary sector (industry), leaving those working in the primary sector (agriculture and fisheries) as a tiny minority (1.4%). Regarding functional areas, 24% were from administration and management, 16.6% were from administrative and operational duties, 13.9% were from sales and marketing, 11.3% were from arts, design and production, 11.2% were from human resources, 5.9% were from finance, 5.9% were from information and technology, 4.8% were from health care, 3.8% were from research and development and 2.3% were from education.

2.1.2. Survey

Across the survey, the participants responded to the statements presented to them along a 7-point rating scale ranging from 1 (strongly disagree) to 7 (strongly agree).
Perceived SR. There is no generally agreed upon ‘scale’ for measuring SR perceptions, and we do not unconditionally consider any particular scale most appropriate for our population. We therefore selected contents from a variety of sources, with overarching considerations being that SR practices would be ‘universal’ across different organizations and industries, that SR practices would go beyond merely serving economic interests or honoring legal obligations [58] and that employees would be aware of, and familiar with, the stakeholders towards whom SR practices are targeted (for what we knew, this was not the case for investors/donors and suppliers). The survey distinguished four (classes of) stakeholders: clients (X1); the environment (X2); society, public entities and future generations (X3); and employees (X4). Items regarding each stakeholder were selected from multi-stakeholder scales developed by El Akremi et al. [59], Fatma et al. [60] and Turker [61] or else were adapted from recommendations in the European Commission’s [62] Green Paper. Regarding each stakeholder, the first item was a general statement saying: ‘The organization I work for is socially responsible in its relationship with [stakeholder].’
Perceived organizational support. Eisenberger et al. [63] selected 8 items from Eisenberger et al.’s [37] 17-item scale. We, in turn, selected 4 items from the 8-item scale (‘really cares about my well-being,’ ‘is willing to help me if I need a special favor,’ ‘cares about my opinions’ and ‘would forgive an honest mistake on my part’) and replaced the remaining 4 items with one item from the 17-item scale (‘takes pride in my accomplishments at work’). This item, also included in Glavas and Kelley’s [22] 6-item scale, concerns the contribution of employees’ work to the organization, which is something organizations insufficiently communicate to their employees [36].
Organizational trust. We used Gabarro and Athos’s [64] 7-item scale (e.g., ‘My employer is not always honest and truthful,’ ‘I believe my employer has high integrity’), which essentially covers Mayer et al.’s [40] characteristics of benevolence and integrity.
Work meaningfulness. We selected 5 items from Steger et al.’s [24] Work As Meaning Inventory (WAMI), 3 from the 4-item subscale of meaningfulness in work (‘I have found a meaningful career,’ ‘I understand how my work contributes to my life’s meaning’ and ‘I have discovered work that has a satisfying purpose’) and 2 from the 3-item subscale of greater good motivations (‘I know my work makes a positive difference in the world’ and ‘The work I do serves a greater purpose’).
Work engagement. We used Schaufeli et al.’s [65] 9-item short form of the Utrecht Work Engagement Scale (UWES-9), 3 representative items of which are ‘At my job, I feel strong and vigorous’ (vigor), ‘I am enthusiastic about my job’ (dedication) and ‘When I am working, I forget everything else around me’ (absorption).
Job performance. We used Eisenberger et al.’s [66] 4-item short version of Williams and Anderson’s [67] 7-item scale of job performance, defined as in-role behavior that is “recognized by formal reward systems and are part of the requirements as described in job descriptions” [67] (p. 606). This scale of job performance is applicable across different organizations and industries. In research on the SR–JP relationship, it has been used both in the (original) other-rated format, with ratings being provided by the employees’ supervisors [6,13,14,17], and in the self-rated format, with ratings being provided by the employees themselves [11,16]. We used the self-rated format (e.g., ‘I meet formal performance requirements of the job’).

2.2. Data Inspection on Construct Discriminability

Each candidate model provides an interpretation of the correlations between manifest variables, as translated into paths and loadings. However, those correlations may be inflated or attenuated by extraneous factors, which potentially threatens the validity of conclusions drawn.

2.2.1. Inflationary Effects

These are due to unintended commonality between variables. There are essentially two variants: methodological communality and conceptual communality. The former is known as shared method variance [68]. In our study, the shared method is the administration of Likert scales in a single survey. A shared method may generate a common method bias, which theoretically can go either upwards or downwards, but is typically held to be an upward bias, or an “inflation of relationships by shared method variance” [69] (p. 326). The upward bias may have its origin in a response bias referred to as an illusory halo [46], which is that participants tend to give either favorable or unfavorable ratings, depending on some predisposition, e.g., whether they adore or hate their boss. Conceptual communality, which we discussed earlier, is a true halo [46]. In our modeling, the comparison between the sequential mediation model and the manifest mediation model constitutes a comparison between the commonality approach and the causality approach, but any overlap with or between the other constructs in the analysis is left out from the interpretation of the data.

2.2.2. Attenuating Effects

Although common method bias is a source of systematic measurement error that inflates correlations, unreliability, or unsystematic measurement error, attenuates correlations [69,70]. Common method bias has risen to become a bigger issue among business and management scholars than unreliability, perhaps because Cronbach’s alpha tend to be satisfactory for well-developed scales. However, Lance et al. [71] reanalyzed data from 18 published studies by means of structural equation modeling, and they found that the attenuating impact of unreliability essentially canceled out the inflationary impact of common method bias.
A source of systematic measurement error that potentially attenuates correlations is social desirability bias, i.e., a tendency of participants to give answers that project a more favorable image of themselves than their ‘true’ answers would. To the extent that there are individual differences in the strength of the bias and that all variables are affected by those differences, social desirability bias is actually an inflationary factor [72] and therefore a source of common method bias [73]. Otherwise, however, social desirability bias is an attenuating factor, for two reasons. First, the bias should affect variables that are about the person (e.g., self-rated job performance) and should not affect variables that are not about the person (e.g., perceived social responsibility, perceived organizational support and organizational trust). With individual differences in social desirability bias affecting one variable but not another, the correlation between the pair of variables is attenuated. Second, all individuals may have at least some social desirability bias, and, because rating scales are bounded, the ratings of those whose bias is strong tend to be compressed towards the high end of the scale. Social desirability, accordingly, gives rise to inflated means [73] but attenuated correlations.

2.2.3. Model-Free Evaluation of Construct Discriminability

When constructs are measured by means of Likert scales, Cronbach’s alpha can be used to evaluate measurement reliability. In the standardized form, the alpha is defined over the average of all t i ( t i 1 ) / 2 pairwise correlations between the t i items comprising scale i, denoted as r ¯ i . Since each item is treated as a different ‘method’ for measuring the same construct, r ¯ i can be thought of as a monotrait-heteromethod (MTHM) correlation. Furthermore, because items from different scales can then be treated as different ‘methods’ for measuring different constructs, the average of all t i t j pairwise correlations between the t i items comprising scale i and the t j items comprising scale j, denoted as r ¯ i j , can be thought of as a heterotrait-heteromethod (HTHM) correlation. One would expect that r ¯ i j > 0 if scales are positively correlated, i.e., r i j > 0 for all i, j.
To determine whether the data justify the constructs to be treated as separate entities in the first place, we compute Henseler et al.’s heterotrait-monotrait ratio, given as HTMT = r ¯ i j / r ¯ i r ¯ j . The statistic, a lower value of which indicates a better differentiation in constructs [74], may be evaluated by two criteria [75]. One is that the point estimate of HTMT should lie below 0.85, and the other is that the 90% confidence intervals of HTMT should lie below 1 (see [76,77], respectively, for simulation results in support of these criteria for evaluating HTMT). The confidence intervals are bootstrap confidence intervals, which we obtain from 10,000 resamples of size N. With the confidence level set at 90%, the confidence interval can be used for testing H1 (HTMT < 1) against H0 (HTMT ≥ 1) at a significance level of 0.05. It is a simultaneous confidence level for (9 · 8)/2 = 36 tests, under Bonferroni’s inequality. We evaluate construct discriminability by both criteria.

2.2.4. Model-Bound Evaluation of Construct Discriminability

The HTMT approach is a model-free evaluation of construct discriminability. For a model-bound evaluation, we build on Podsakoff et al.’s [73] single-common-method-factor approach (in the authors’ Figure 3A of Table 5). We first estimate the best candidate model as a structural model, i.e., a composite of a path model (‘regression analysis’) and a measurement model (‘factor analysis’), with or without a common-method factor loading on all 73 items comprising the Likert scales for the nine constructs in the model. We then evaluate whether inclusion of the common-method factor changes the core inferences drawn by the model about paths and (in case of latent mediation) loadings.

2.3. Model Estimation

We obtain maximum likelihood estimates of the candidate models by means of structural equation modeling, as implemented by the SEPATH routine in the STATISTICA software (see [78]). SEPATH can directly analyze the observed correlations between the manifest variables and can estimate models in a fully standardized form. Furthermore, SEPATH has a bootstrap subroutine; therefore, the user can obtain confidence intervals for parameter estimates, multiplicative combinations of parameter estimates (mediation analysis; see [79] for recommending the bootstrap for this purpose) and fit indices. Finally, SEPATH can compute normalized residuals (z-values), which are interpretable under the standard normal curve and thus facilitate the inspection of ‘where a model went wrong.’
In the practice of structural equation modeling, a structural model is often specified as a path model and a measurement model, in which constructs load on all measures taken of it (e.g., all items in a Likert scale). As argued by McDonald and Ho [80], however, the evaluation of a structural model tends to be dominated by the measurement model, since it has so many more degrees of freedom than the path model. It is therefore conceivable that the path model fits the data poorly, although the fit indices for the structural model are satisfactory, which McDonald and Ho [80] showed to be prevalent in a reanalysis of data from 14 published studies. This is troubling, since it is the path model where the investigators’ theory is located.
As a solution, we treat each of the nine constructs in our analysis as ‘already measured,’ meaning that the models are estimated on composite scores, obtained by averaging the responses to the items comprising the Likert scales. Thus estimated, the manifest mediation model has no measurement model, and the latent mediation models have a partial measurement model, with the latent psychological states being loaded upon by their manifestations.

2.4. Model Evaluation

The candidate models are evaluated on a series of fit indices, defined and discussed in Table 1. These fit indices differ in whether and how they trade off accuracy against parsimony.
All fit indices considered are based on the χ 2 statistic. Steiger and Lind’s [81] Root-Mean-Square Error of Approximation (RMSEA), like χ 2 itself, is a badness-of-fit index, of which lower values are better than higher ones. How low is good enough? According to Chen et al. [82], RMSEA < 0.05 has reached the status of the “gold standard” (p. 465), and RMSEA > 0.10 is generally considered ‘inadmissible.’ However, as these authors show in a simulation study, it depends on sample size, degrees of freedom and model specification which cutoff value should be used to ensure a given level of protection against accepting incorrect models and rejecting the correct one. Our preferred strategy, model validation by model competition, bypasses the fixation on cutoff values by inviting model fit comparison. Since a model can perform comparatively well but still perform poorly on its own, the identification of the best candidate in the competition must be followed up by an inspection of the individual discrepancies between observed and reproduced correlations (the residuals), to evaluate whether there is any sign of inadequate fit (see also McDonald and Ho [80]).
The remaining fit indices in Table 1 are goodness-of-fit indices, higher values of which are better than lower ones. Bentler and Bonett’s [83] Normed Fit Index (NFI) takes the proportional difference between the overall discrepancy of an inferior null model ( χ 0 2 ) and a superior alternative model ( χ 2 ) as the measure of how well the alternative model fits the data. The null model is routinely taken to be the independence model, which expects all manifest variables to be uncorrelated. By setting the bar so low, however, NFI must be really high (by common standards, over 0.95) for a model to be considered accurate.
NFI does not penalize for a lack of parsimony, but variations on it do. We consider three of those fit indices: Bollen’s [84] Incremental Fit Index (IFI), Bentler and Bonett’s [83] Non-Normed Fit Index (NNFI) and James et al.’s [85] Parsimonious Normed Fit Index (PNFI). As described and discussed in Table 1, only PNFI reaches its natural zero point for the independence model (which consumes no degrees of freedom from the data but does not describe the data at all) and the saturated model (which consumes all degrees of freedom from the data and therefore merely redescribes the data). It thus appears that only PNFI takes parsimony as well as accuracy into full consideration. There are two other indications that it is unique in this regard.
First, suppose that χ 0 2 , χ 1 2 , …, χ k 2 decrease as a constant proportion of χ 0 2 , and that, simultaneously, df0, df1, …, dfk decrease as a constant proportion of df0, where the kth model is the saturated model, for which χ k 2 = dfk = 0. In this case, PNFI identifies the model midway between the independence model and the saturated model as the best candidate, thus reaching a just and fair compromise between accuracy and parsimony. The conclusions drawn by NNFI and RMSEA depend on the relative rates with which the χ 2 s and the dfs decrease: (1) when the χ 2 s decrease by a smaller proportion than the dfs, they identify the independence model as the best candidate, meaning that they prefer to know nothing about the data; (2) when the χ 2 s decrease by a larger proportion than the dfs, they would, if they were defined for dfk = 0, identify the saturated model as the best candidate, meaning that they prefer to know everything about the data; and, (3) when the χ 2 s decrease by the same proportion as the dfs, they identify all models as equally bad candidates, meaning that they are indifferent to knowing or not knowing about the data, because, in their assessment, none of the models has merit. Second, as χ 0 2 increases beyond its proportional magnitude (and it usually is disproportionately large), NNFI and RMSEA do not change their assessment, except that they no longer identify the independence model as the best candidate, whereas PNFI progressively favors greater parsimony, until it ultimately identifies a one-parameter model as the best candidate: any additional gain in accuracy would be too trivial to justify an additional unit loss in parsimony.
We conclude from the foregoing analysis that PNFI is the best fit index for properly trading off accuracy against parsimony. It is true that it typically produces ‘low’ fit values, as it is not abnormal that an NFI in the high 0.90s drops to a PNFI in the 0.50s, even though inspection of the residuals suggests that there is nothing wrong with the model [86]. However, this is because the degrees of freedom of a model (df) are divided by the degrees of freedom of the null model (df0), i.e., the degrees of freedom in the data. We provide the Rescaled Parsimonious Normed Fit Index (RPNFI), the last index in Table 1, as an alternative. It removes df0, ranges from 0 (lower bound) and 1 (upper asymptote) and tends to produce (much) more elegantly looking fit values than PNFI, while obviously arriving at the same conclusions in model comparisons.

2.5. Model Interpretation

Although it is important to know how well a model describes the data, it is of no less importance to know how it describes the data, which concerns the interpretability of the parameter estimates on which the model relies to describe the data [57]. Interpretability requires that inferences about parameters and combinations of parameters in the case of mediation be reliable and of expected sign.

3. Results

3.1. Descriptive Statistics

Table 2 provides the descriptive statistics of the following measurement scales: means, standard deviations, intercorrelations (off-diagonal) and measurement reliabilities (diagonal). In accord with our dissection of social desirability and its implications, job performance has by far the highest mean, the lowest standard deviation and generally the lowest correlations with the other manifest variables.

3.2. Model-Free Evaluation of Construct Discriminability

Table 3 provides the monotrait-heteromethod (MTHM) correlations and the heterotrait-heteromethod (HTHM) correlations. The MTHM correlation of each measurement scale is higher than any of its eight HTHM correlations with the other scales, except that the MTHM correlation for organizational trust is lower than its HTHM correlation with perceived organizational support.
Figure 4 provides, for each of the 36 unique combinations of the nine manifest variables, the point estimate of the HTMT ratio and its 90% Bonferroni confidence interval. All point estimates lie below 0.85, and all confidence intervals lie below 1. Thus, our model-free evaluation of construct discriminability suggests that the constructs can be treated as separate entities and that the candidate models can be evaluated as specified a priori.

3.3. Model Evaluation

Table 4 provides the fit indices for the candidate models and their bootstrap confidence intervals. When evaluated by cutoff values, RMSEA (badness-of-fit) identifies the manifest mediation model and the parallel mediation model as inadmissible candidates, in that the point estimates and 90% confidence intervals for these models lie above 0.1. Furthermore, NFI and IFI identify the partial mediation model as the only acceptable candidate, in that their point estimates and 90% confidence intervals for this model lie above 0.95. Finally, NNFI identifies the manifest mediation model, the parallel mediation model and the sequential mediation model as unacceptable candidates, in that the point estimates and 90% confidence intervals for these models lie below 0.95. Thus, as evaluated by four fit indices, the partial mediation model is the best candidate. However, PNFI (and, therefore, RPNFI) identifies the partial mediation model as the worst candidate and the sequential mediation model as the best. As shown next, this result corroborates the conclusion drawn earlier that PNFI is the best fit index for properly trading off accuracy against parsimony.
To determine whether the sequential mediation model is ‘simple, but not too simple’, we inspected the normalized residuals. The partial mediation model mispredicts none of the observed correlations, whereas the sequential mediation model only underpredicts the correlation between SR perceptions regarding clients (henceforth, ‘SR/Clients’) and job performance. It is true that the sequential mediation model ‘misses’ this detail, but it is also true that the partial mediation model ‘spots’ it only because it explores all nine effects that the sequential mediation model expects not to exist, one of which appears worth considering. This is surely not enough to conclude that the sequential mediation model is ‘overly parsimonious.’ Our conclusion is that PNFI is right for severely penalizing the partial mediation model for its lack of parsimony and for ranking it as a worse (actually, the worst) candidate.

3.4. Model Interpretation

Figure 1 provides the parameter estimates and confidence intervals for the sequential mediation model. SR/Clients (X1) and especially SR/Employees (X4) have positive effects on employees’ belief of being in good company (C), as manifested by organizational support and trust. However, SR/Society, public entities and future generations (X3) has no effect, while SR/Environment (X2) apparently has a negative effect (see below). Employees’ belief of being in good company has a positive effect on their belief of being in no pointless job (W), as manifested by work meaningfulness and engagement. In turn, employees’ belief of being in no pointless job has a positive effect on job performance (Y).
To determine whether the entire mediation is reliable, Table 5 provides multiplicative combinations of causal paths and their bootstrap confidence intervals. The first row (single mediation) confirms that the effect of organization-related beliefs on job performance is reliably mediated by work-related beliefs. The second to fifth rows (single mediation as well) confirm that the effects of SR (with the exception of SR/Society, public entities and future generations) on work-related beliefs are reliably mediated by organization-related beliefs. The sixth to ninth rows (sequential mediation) confirm that the effects of SR (with the exception of the effects of SR (with the exception of SR/Society etc.) on job performance are reliably mediated by organization- and work-related beliefs, respectively.
Nonetheless, there is the unexpected result that SR/Environment apparently has a negative effect on employees’ belief of being in good company, which is felt, all the way down the causal chain, in job performance. Since wages in Portugal are among the lowest in Europe, we can imagine that people have negative feelings about their organization spending resources on SR/Environment instead of higher wages (hence the negative effect), and that they perhaps have mixed feelings about spending resources on SR/Society, public entities and future generations (hence the zero effect). However, using the method developed by Beckstead [87], it can be shown that the negative effect of SR/Environment is a manifestation of a statistical artifact, known since long as a negative suppressor effect [88]. Thus, a substantive interpretation is not warranted.

3.5. Model-Bound Evaluation of Construct Discriminability

Table 6 shows the estimates of the core paths and loadings of the sequential mediation model, when estimated along with a measurement model, and either with or without a common-method factor. Introducing the common-method factor leaves the estimates essentially unaffected. This reinforces our earlier conclusion that the constructs can be treated as separate entities. It is worth noting that the inclusion of the common-method factor eliminates the negative suppressor effect, in that SR/Environment now has a zero effect on employees’ belief of being in good company.
Figure 5 provides a comparison of the average loadings on the measurement model factors and the average loadings on the common-method factor. The former are (much) higher than the latter (with job performance showing the second largest disparity between the two), further underscoring that common method bias does not threaten the validity of our conclusions.

4. Discussion

Employees’ job performance is vital to organizational performance, so, as far as employee outcomes of SR are concerned, one would think that job performance is a natural outcome to look at. However, amidst the rapidly proliferating research on the outcomes of SR, we spotted only nine studies on the SR–JP relationship: two direct-effect studies [5,6], one moderated-effect study [55], and six mediated-effect studies [9,12,13,14,16,17], none of which has brought SR and JP in relation to the following variables that we identified as mediators: perceived organizational support, organizational trust, work meaningfulness and work engagement. Why precisely do these mediators matter so much? First, they can be combined into an intuitive interpretation of meaningfulness at work, which we proposed to be treated as the positive influence of ‘being in good company’ (perceived supportiveness and trustworthiness of the organization one works for) on ‘being in no pointless job’ (work meaningfulness and engagement). Second, the four mediators, thus combined, provide a parsimonious explanation of the SR–JP relationship, in that SR improves JP by contributing to, or indeed countervailing the erosion of, meaningfulness at work. This interpretation of the SR–JP relationship received strong support from our survey data, and so, given its parsimony, it can be expected to generalize well to other data.
Several limitations of the study must be noted, however. First, job performance was self-reported. Although we demonstrated that this actually weakened, rather than strengthened, the relation between job performance and the other variables under analysis, it is only one point of view on an employee’s performance. Relying on more sources of information may result in a more complete, and, therefore, more accurate, assessment. Second, sampling was by convenience. Although we managed to recruit workers from a wide variety of organizations and functional areas, most came from the services sector. Including more workers from the primary and secondary sectors, and using sector as a moderating variable, would offer a more complete evaluation of the models under consideration. For instance, we found that SR/Clients had the strongest impact in the causal flow, whereas SR/Environment and SR/Society, public entities and future generations had basically none. These results may be specific to the services sector, where contact with clients is intensive for many workers. Other sectors may be more sensitive to other stakeholders, which may generate other patterns. For instance, SR/Environment may be more impactful among workers in the primary sector, where natural resources and raw materials are being extracted. Third, we inevitably left out many other potential contributors to the SR–JP relationship. What comes to mind is the more inclusive construct of psychological well-being, as decomposed into hedonic well-being (typically represented by job satisfaction) and eudemonic well-being (fulfilment of potential, finding meaning and purpose in work) [89]. As a bifaceted construct, psychological well-being has been shown to be positively associated with job performance as well [90], a good reason for considering it in future investigations on the SR–JP relationship.
Regarding directions for future research, we recommend, first of all, to address the aforementioned limitations, but we also suggest that investigators follow up on several strong points of our investigation.
First, we advocate model validation by model competition. A model can be considered validated to the extent that it outperforms alternative models that collectively challenge each of its core assumptions, or defining properties. In our investigation, the sequential mediation model of the SR–JP relationship had full mediation, sequential mediation and latent mediation as its defining properties, and it was, therefore, tested against models that invoked partial mediation, parallel mediation and manifest mediation, respectively. These distinctions must be rigorously applied. For instance, Zhao et al. [91] investigated a ‘sequential mediation model’ and a ‘parallel mediation model’ of the relationship between SR perceptions and employee outcomes, but both were partial mediation models, which, for the purpose of model validation by model competition, is suboptimal.
Second, we advocate model evaluation by generalizability. A model is considered to perform well to the extent that it describes regularities in data and filters out idiosyncrasies from data [57]. Model evaluation by generalizability requires a proper tradeoff between accuracy and parsimony. We showed, both theoretically and empirically, that James et al.’s [85] Parsimonious Normed Fit Index (PNFI) offers just that. To underscore the importance of generalizability, recall that the sequential mediation model underpredicted the correlation between SR/Clients and job performance. Since the inaccuracy has a plausible explanation, i.e., most participants in our study came from the services sector, one may be tempted to add a direct path from SR/Clients to job performance and to take the revised model, if it resolves the inaccuracy, as the ‘right’ model. It does sound like an honorable practice, but it is cheating: a model cannot be made ‘better’ by making it more accurate for the data it has already seen, it can only be made better by making it more accurate for data it has not yet seen, which is precisely the point of using generalizability for model evaluation.
Third, we advocate an evaluation of construct discriminability, two common threats to which are ‘concept-communality bias’ (conceptual overlap among constructs) and common method bias. The latent mediation models in our analysis dealt, at least to some extent, with concept-communality bias by identifying two latent psychological states, each manifested by two mediating variables. Furthermore, a model-bound evaluation of construct discriminability can be conducted to establish any presence of common method bias as well. The sequential mediation model, one of the three latent mediation models, and the best model in the competition, proved to be extremely robust in the model-bound evaluation. Finally, a model-free evaluation of construct discriminability is desirable as well, since it consists in a direct inspection of the data, undisturbed by interpretations of the data.

5. Final Comments

5.1. Boundary Conditions

Our study was conducted in Portugal, where, as mentioned earlier, wages are among the lowest in western Europe; therefore, workers may legitimately wonder why their employer would spend resources on SR/Environment or SR/Society, public entities and future generations, instead of higher wages for them. Philosophically, this raises an intriguing question: what is doing good? Pragmatically, an organization may take into consideration that, when salaries are rather low, as they are in Portugal, it may be best to focus on practices that can be viewed as a ‘fair’ complement to low wages, if wages have to be low at all. Also recall that most participants in our study came from the services sector, so SR/Client practices may be more constructive for our participants’ day-to-day activities (embedded CSR [92]; internal CSR [93]) than practices that do not serve an immediate purpose in ongoing operations (peripheral CSR [92]; external CSR [93]). Indeed, embedding SR practices in employees’ daily activities may also alleviate any tension, on the part of the employer, between taking on social responsibilities and operating efficiently (as noted in the Introduction, one the paradoxes posed by sustainable HRM).

5.2. The B-Word

We proposed meaningfulness at work as a pivotal connection between SR practices and job performance: work can be made pointless by an untrustworthy and unsupportive work context, and efficacious SR practices may improve job performance by countervailing the corrosive impact of a nefarious work context on work meaningfulness and engagement. The underlying assumption is, however, that organizations engage in substantive (cause-serving, sincere) CSR, which Donia et al. [11] distinguish from symbolic (self-serving, greenwashing) CSR. In his book on bullshit jobs, Graeber [34] recounts the story of a bank employee in the City of London, which is actually quite a good illustration of how jobs can be made pointless by symbolic CSR.
The HR department of the bank, as the story goes, had developed an ambition to do charity. Over the next months, HR harassed employees to make them sign up for charity work, eventually sending out automated emails that seemingly came down straight from the CEO, ‘encouraging’ those who had not done so yet to sign up. The charity work itself was totally empty. “Things like two hours of litter picking. Giving bad sandwiches to the homeless where someone else organizes all the sandwich packages, etc., and bank employees just turn up and hand them out then go home again in their nice cars. A lot of the charity work is driven by “best company to work for in X” awards that stipulate criteria like “charitable work.” The bank then has to hit that criteria to be considered, which will then help them with recruiting” [34] (p. 170).
In the spirit of Graeber’s [34] discourse, such excursions into charity may be rightfully referred to as Bullshit Social Responsibility. That is BSR. By the argument that we put forward, BSR impairs job performance by weakening employees’ belief of being in no bullshit job, or indeed by strengthening the belief they are in one. As mentioned, we adopted the more traditional mindset that organizations have a genuine intention to do good, which may be referred to as Bona fide Social Responsibility. That is BSR as well. Our sense-making of current tendencies is that we will hear a lot more about B’s true nature.

Author Contributions

Conceptualization, M.S. and M.F.C.; methodology, M.F.C., T.E. and S.P.G.; validation, M.F.C. and T.E.; formal analysis, M.S.; investigation, M.F.C. and T.E.; writing—original draft preparation, M.S., M.F.C., T.E. and S.P.G.; writing—review and editing, M.S., M.F.C., T.E. and S.P.G.; visualization, M.S.; supervision, M.F.C.; project administration, M.F.C.; All authors have read and agreed to the published version of the manuscript.

Funding

This research received no external funding.

Informed Consent Statement

Informed consent was obtained from all subjects involved in the study.

Data Availability Statement

The data underlying this article will be shared on reasonable request to the corresponding author.

Conflicts of Interest

The authors declare no conflict of interest.

References

  1. Ehnert, I. Sustainable Human Resource Management: A Conceptual and Exploratory Analysis from a Paradox Perspective; Physica-Verlag: Berlin, Germany, 2009. [Google Scholar]
  2. Carroll, A.B. The pyramid of corporate social responsibility: Toward the moral management of organizational stakeholders. Bus. Horiz. 1991, 34, 39–48. [Google Scholar] [CrossRef]
  3. Ehnert, I. Paradox as a lens for theorizing sustainable HRM: Mapping and coping with paradoxes and tensions. In Sustainability and Human Resource Management: Developing Sustainable Business Organizations; Ehnert, I., Harry, W., Zink, K.J., Eds.; Springer: Berlin, Germany, 2014; pp. 247–271. [Google Scholar]
  4. Kramar, R. Sustainable human resource management: Six defining characteristics. Asia Pac. J. Hum. Resour. 2022, 60, 146–170. [Google Scholar] [CrossRef]
  5. Newman, A.; Nielsen, I.; Miao, Q. The impact of employee perceptions of organizational corporate social responsibility practices on job performance and organizational citizenship behavior: Evidence from the Chinese private sector. Int. J. Hum. Resour. Manag. 2015, 26, 1226–1242. [Google Scholar] [CrossRef]
  6. Story, J.; Neves, P. When corporate social responsibility (CSR) increases performance: Exploring the role of intrinsic and extrinsic CSR attributions. Bus. Ethics Eur. Rev. 2015, 24, 111–124. [Google Scholar] [CrossRef]
  7. Glavas, A. Corporate social responsibility and organizational psychology: An integrative review. Front. Psychol. 2016, 7, 144. [Google Scholar] [CrossRef] [PubMed]
  8. Aguinis, H.; Glavas, A. What we know and don’t know about corporate social responsibility: A review and research agenda. J. Manag. 2012, 38, 932–968. [Google Scholar] [CrossRef]
  9. Carmeli, A.; Gilat, G.; Waldman, D.A. The role of perceived organizational performance in organizational identification, adjustment and job performance. J. Manag. Stud. 2007, 44, 972–992. [Google Scholar] [CrossRef]
  10. Chen, L.-F.; Khungga, D. Configurational paths of employee reactions to corporate social responsibility: An organizational justice perspective. Corp. Soc. Resp. Environ. Manag. 2021, 28, 389–403. [Google Scholar] [CrossRef]
  11. Donia, M.; Ronen, S.; Tetrault Sirsly, C.-A.; Bonaccio, S. CSR by any other name? The differential impact of substantive and symbolic CSR attributions on employee outcomes. J. Bus. Ethics 2019, 157, 503–523. [Google Scholar] [CrossRef]
  12. Edwards, M.; Kudret, S. Multi-foci CSR perceptions, procedural justice and in-role employee performance: The mediating role of commitment and pride: Multi-foci CSR perceptions, justice and performance. Hum. Resour. Manag. J. 2017, 27, 169–188. [Google Scholar] [CrossRef]
  13. Jones, D.A. Does serving the community also serve the company? Using organizational identification and social exchange theories to understand employee responses to a volunteerism programme. J. Occupa. Organiz. Psychol. 2010, 83, 857–878. [Google Scholar] [CrossRef]
  14. Shen, J.; Benson, J. When CSR is a social norm: How socially responsible human resource management affects employee work behavior. J. Manag. 2016, 42, 1723–1746. [Google Scholar] [CrossRef]
  15. Story, J.; Castanheira, F. Corporate social responsibility and employee performance: Mediation role of job satisfaction and affective commitment. Corp. Soc. Resp. Environ. Manag. 2019, 26, 1361–1370. [Google Scholar] [CrossRef]
  16. Vlachos, P.A.; Panagopoulos, N.G.; Rapp, A.A. Employee judgments of and behaviors toward corporate social responsibility: A multi-study investigation of direct, moderating, and cascading effects. J. Organiz. Behav. 2014, 35, 990–1017. [Google Scholar] [CrossRef]
  17. Wang, W.; Fu, Y.; Qiu, H.; Moore, J.H.; Wang, Z. Corporate social responsibility and employee outcomes: A moderated mediation model of organizational identification and moral identity. Front. Psychol. 2017, 8, 1906. [Google Scholar] [CrossRef]
  18. Pratt, M.G.; Ashforth, B.E. Fostering meaningfulness in working and at work. In Positive Organizational Scholarship: Foundations of a New Discipline; Cameron, K.S., Dutton, J.E., Quinn, R.E., Eds.; Berrett-Koehler Publishers, Inc.: San Francisco, CA, USA, 2003; pp. 309–327. [Google Scholar]
  19. Pavlish, C.; Hunt, R. An exploratory study about meaningful work in acute care nursing. Nurs. Forum 2012, 47, 113–122. [Google Scholar] [CrossRef]
  20. Aguinis, H.; Glavas, A. On corporate social responsibility, sensemaking, and the search for meaningfulness through work. J. Manag. 2019, 45, 1057–1086. [Google Scholar] [CrossRef]
  21. Brieger, S.A.; Anderer, S.; Fröhlich, A.; Bäro, A.; Meynhardt, T. Too much of a good thing? On the relationship between CSR and employee work addiction. J. Bus. Ethics 2019, 166, 311–329. [Google Scholar] [CrossRef]
  22. Glavas, A.; Kelley, K. The effects of perceived corporate social responsibility on employees attitudes. Bus. Ethics Q. 2014, 24, 165–202. [Google Scholar] [CrossRef]
  23. Rosso, B.D.; Dekas, K.H.; Wrzesniewski, A. On the meaning of work: A theoretical integration and review. Res. Organiz. Behav. 2010, 30, 91–127. [Google Scholar] [CrossRef]
  24. Steger, M.F.; Dik, B.J.; Duffy, R.D. Measuring meaningful work: The work and meaning inventory (WAMI). J. Career Assess. 2012, 20, 322–337. [Google Scholar] [CrossRef]
  25. Wrzesniewski, A.; McCauley, C.; Rozin, P.; Schwartz, B. Jobs, careers, and callings: People’s relations to their work. J. Res. Pers. 1997, 31, 21–33. [Google Scholar] [CrossRef]
  26. Allan, B.A.; Duffy, R.D.; Collisson, B. Task significance and performance: Meaningfulness as a mediator. J. Career Assess. 2016, 26, 172–182. [Google Scholar] [CrossRef]
  27. Afsar, B.; Al-Ghazali, B.; Umrani, W. Corporate social responsibility, work meaningfulness, and employee engagement: The joint moderating effects of incremental moral belief and moral identity centrality. Corp. Soc. Resp. Environ. Manag. 2020, 27, 1264–1278. [Google Scholar] [CrossRef]
  28. Kahn, W.A. Psychological conditions of personal engagement and disengagement at work. Acade. Manag. J. 1990, 33, 692–724. [Google Scholar] [CrossRef]
  29. May, D.R.; Gilson, R.L.; Harter, L.M. The psychological conditions of meaningfulness, safety and availability and the engagement of the human spirit at work. J. Occupa. Organiz. Psychol. 2004, 77, 11–37. [Google Scholar] [CrossRef]
  30. Schaufeli, W.B.; Bakker, A.B. Job demands, job resources, and their relationship with burnout and engagement: A multi-sample study. J. Organiz. Behav. 2004, 25, 293–315. [Google Scholar] [CrossRef]
  31. Glavas, A. Corporate social responsibility and employee engagement: Enabling employees to employ more of their whole selves at work. Front. Psychol. 2016, 7, 796. [Google Scholar] [CrossRef]
  32. Christian, M.S.; Garza, A.S.; Slaughter, J.E. Work engagement: A quantitative review and test of its relations with task and contextual performance. Pers. Psychol. 2011, 64, 89–136. [Google Scholar] [CrossRef]
  33. Rich, B.L.; LePine, J.A.; Crawford, E.R. Job engagement: Antecedents and effects on job performance. Acade. Manag. J. 2010, 53, 617–635. [Google Scholar] [CrossRef]
  34. Graeber, D. Bullshit Jobs. A Theory; Simon & Schuster Paperbacks: New York, NY, USA, 2018. [Google Scholar]
  35. Lencioni, P. The Three Signs of a Miserable Job: A Fable for Managers (and Their Employees); Jossey-Bass: San Francisco, CA, USA, 2007. [Google Scholar]
  36. The Table Group. The Three Signs of a Miserable Job—Q&A with Patrick Lencioni. Available online: https://www.tablegroup.com/the-three-signs-of-a-miserable-job/ (accessed on 20 August 2020).
  37. Eisenberger, R.; Huntington, R.; Hutchison, S.; Sowa, D. Perceived organizational support. J. Appl. Psychol. 1986, 71, 500–507. [Google Scholar] [CrossRef]
  38. Blau, P.M. Exchange and Power in Social Life; John Wiley & Sons, Inc.: New York, NY, USA, 1964. [Google Scholar]
  39. Stinglhamber, F.; De Cremer, D.; Mercken, L. Perceived support as a mediator of the relationship between justice and trust: A multiple foci approach. Group Organiz. Manag. 2006, 31, 442–468. [Google Scholar] [CrossRef]
  40. Mayer, R.C.; Davis, J.H.; Schoorman, F.D. An integrative model of organizational trust. Acade. Manag. Rev. 1995, 20, 709–734. [Google Scholar] [CrossRef]
  41. Lee, Y.; Lee, J.Y. Mediating effects of the meaningfulness of work between organizational support and subjective career success. Int. J. Educ. Vocat. Guid. 2019, 19, 151–172. [Google Scholar] [CrossRef]
  42. Wang, Z.; Xu, H. When and for whom ethical leadership is more effective in eliciting work meaningfulness and positive attitudes: The moderating roles of core self-evaluation and perceived organizational support. J. Bus. Ethics 2019, 156, 919–940. [Google Scholar] [CrossRef]
  43. Lin, C.P. Modeling corporate citizenship, organizational trust, and work engagement based on attachment theory. J. Bus. Ethics 2010, 94, 517–531. [Google Scholar] [CrossRef]
  44. Ugwu, F.O.; Onyishi, I.E.; Rodríguez-Sánchez, A.M. Linking organizational trust with employee engagement: The role of psychological empowerment. Pers. Rev. 2014, 43, 377–400. [Google Scholar] [CrossRef]
  45. Bollen, K.A. Eight myths about causality and structural equation models. In Handbook of Causal Analysis for Social Research; Morgan, S.L., Ed.; Springer: New York, NY, USA, 2013; pp. 301–328. [Google Scholar]
  46. Murphy, K.R.; Jako, R.A.; Anhalt, R.L. Nature and consequences of halo error: A critical analysis. J. Appl. Psychol. 1993, 78, 218–225. [Google Scholar] [CrossRef]
  47. Brown, A.; Inceoglu, I.; Lin, Y. Preventing rater biases in 360-degree feedback by forcing choice. Organ. Res. Methods 2017, 20, 121–148. [Google Scholar] [CrossRef]
  48. De Roeck, K.; Delobbe, N. Do environmental CSR initiatives serve organizations’ legitimacy in the oil industry? Exploring employees’ reactions through organizational identification theory. J. Bus. Ethics 2012, 110, 397–412. [Google Scholar] [CrossRef]
  49. Farooq, O.; Payaud, M.; Merunka, D.; Valette-Florence, P. The impact of corporate social responsibility on organizational commitment: Exploring multiple mediation mechanisms. J. Bus. Ethics 2014, 125, 563–580. [Google Scholar] [CrossRef]
  50. Farooq, M.; Farooq, O.; Cheffi, W. How do employees respond to the CSR initiatives of their organizations: Empirical evidence from developing countries. Sustainability 2019, 11, 2646. [Google Scholar] [CrossRef]
  51. Gaudêncio, P.; Coelho, A.; Ribeiro, N. The role of trust in corporate social responsibility and worker relationships. J. Manag. Dev. 2017, 36, 478–492. [Google Scholar] [CrossRef]
  52. Hansen, S.D.; Dunford, B.B.; Boss, A.D.; Boss, R.W.; Angermeier, I. Corporate social responsibility and the benefits of employee trust: A cross-disciplinary perspective. J. Bus. Ethics 2011, 102, 29–45. [Google Scholar] [CrossRef]
  53. Rhoades, L.; Eisenberger, R. Perceived organizational support: A review of the literature. J. Appl. Psychol. 2002, 87, 698–714. [Google Scholar] [CrossRef]
  54. Colquitt, J.A.; Scott, B.A.; LePine, J.A. Trust, trustworthiness, and trust propensity: A meta-analytic test of their unique relationships with risk taking and job performance. J. Appl. Psychol. 2007, 92, 909–927. [Google Scholar] [CrossRef]
  55. Chaudhary, R. Corporate social responsibility and employee performance: A study among Indian business executives. Int. J. Hum. Resour. Manag. 2018, 31, 2761–2784. [Google Scholar] [CrossRef]
  56. Spector, P.E.; Brannick, M.T. Methodological urban legends: The misuse of statistical control variables. Organ. Res. Methods 2011, 14, 287–305. [Google Scholar] [CrossRef]
  57. Myung, J.; Pitt, M.A. Mathematical modeling. In Stevens’ Handbook of Experimental Psychology. Methodology in Experimental Psychology; Wixted, J., Ed.; John Wiley & Sons, Inc.: New York, NY, USA, 2002; pp. 429–460. [Google Scholar]
  58. McWilliams, A.; Siegel, D. Corporate social responsibility: A theory of the firm perspective. Acade. Manag. Rev. 2001, 26, 117–127. [Google Scholar] [CrossRef]
  59. El Akremi, A.; Gond, J.P.; Swaen, V.; De Roeck, K.; Igalens, J. How do employees perceive corporate responsibility? Development and validation of a multidimensional corporate stakeholder responsibility scale. J. Manag. 2018, 44, 619–657. [Google Scholar] [CrossRef]
  60. Fatma, M.; Rahman, Z.; Khan, I. Multi-item stakeholder based scale to Measure CSR in the banking industry. Int. Strat. Manag. Rev. 2014, 2, 9–20. [Google Scholar] [CrossRef]
  61. Turker, D. Measuring corporate social responsibility: A scale development study. J. Bus. Ethics 2009, 85, 411–427. [Google Scholar] [CrossRef]
  62. European Commission. GREEN PAPER: Promoting a European Framework for Corporate Social Responsibility. Available online: https://ec.europa.eu/commission/presscorner/detail/en/DOC_01_9 (accessed on 20 August 2020).
  63. Eisenberger, R.; Cummings, J.; Armeli, S.; Lynch, P. Perceived organizational support, discretionary treatment, and job satisfaction. J. Appl. Psychol. 1997, 82, 812–820. [Google Scholar] [CrossRef]
  64. Gabarro, A.; Athos, P. Interpersonal Relations and Communications; Prentice-Hall: New York, NY, USA, 1976. [Google Scholar]
  65. Schaufeli, W.B.; Bakker, A.B.; Salanova, M. The measurement of work engagement with a short questionnaire: A cross-national study. Educ. Psychol. Meas. 2006, 66, 701–716. [Google Scholar] [CrossRef]
  66. Eisenberger, R.; Armeli, S.; Rexwinkel, B.; Lynch, P.D.; Rhoades, L. Reciprocation of perceived organizational support. J. Appl. Psychol. 2001, 86, 42–51. [Google Scholar] [CrossRef]
  67. Williams, L.J.; Anderson, S.E. Job satisfaction and organizational commitment as predictors of organizational citizenship and in-role behaviors. J. Manag. 1991, 17, 601–617. [Google Scholar] [CrossRef]
  68. Campbell, D.; Fiske, D. Convergent and discriminant validation by the multitrait-multimethod matrix. Psychol. Bull. 1959, 56, 81–105. [Google Scholar] [CrossRef]
  69. Conway, J.M.; Lance, C.E. What reviewers should expect from authors regarding common method bias in organizational research. J. Bus. Psychol. 2010, 25, 325–334. [Google Scholar] [CrossRef]
  70. Lindell, M.K.; Whitney, D.J. Accounting for common method variance in cross-sectional research designs. J. Appl. Psychol. 2001, 86, 114–121. [Google Scholar] [CrossRef]
  71. Lance, C.E.; Dawson, B.; Birkelbach, D.; Hoffman, B.J. Method effects, measurement error, and substantive conclusions. Organ. Res. Methods 2010, 13, 435–455. [Google Scholar] [CrossRef]
  72. Gangster, D.C.; Hennessey, H.W.; Luthans, F. Social desirability response effects: Three alternative models. Acad. Manag. J. 1983, 26, 321–331. [Google Scholar] [CrossRef]
  73. Podsakoff, P.M.; MacKenzie, S.B.; Lee, J.-Y.; Podsakoff, N.P. Common method biases in behavioral research: A critical review of the literature and recommended remedies. J. Appl. Psychol. 2003, 88, 879–903. [Google Scholar] [CrossRef] [PubMed]
  74. Bagozzi, R.P. Evaluating structural equation models with unobservable variables and measurement error: A comment. J. Mark. Res. 1981, 18, 375–381. [Google Scholar] [CrossRef]
  75. Henseler, J.; Ringle, C.M.; Sarstedt, M. A new criterion for assessing discriminant validity in variance-based structural equation modeling. J. Acad. Mark. Sci. 2015, 43, 115–135. [Google Scholar] [CrossRef]
  76. Voorhees, C.M.; Brady, M.K.; Calantone, R.; Ramirez, E. Discriminant validity testing in marketing: An analysis, causes for concern, and proposed remedies. J. Acad. Mark. Sci. 2016, 44, 119–134. [Google Scholar] [CrossRef]
  77. Franke, G.; Sarstedt, M. Heuristics versus statistics in discriminant validity testing: A comparison of four procedures. Internet Res. 2019, 29, 430–447. [Google Scholar] [CrossRef]
  78. Steiger, J.H. Structural equation modeling (SEPATH). In STATISTICA 5 [Computer Software and Manual]; StatSoft: Tulsa, OK, USA, 1995; pp. 3539–3688. [Google Scholar]
  79. Bollen, K.A.; Stine, R. Direct and indirect effects: Classical and bootstrap estimates of variability. Sociol. Method. 1990, 20, 115–140. [Google Scholar] [CrossRef]
  80. McDonald, R.P.; Ho, M.-H.R. Principles and practice in reporting structural equation analyses. Psychol. Methods 2002, 7, 64–82. [Google Scholar] [CrossRef]
  81. Steiger, J.H.; Lind, J.C. Statistically Based Tests for the Number of Common Factors. Presented at the Annual Spring Meeting of the Psychometric Society, Iowa City, IA, USA, 27–29 May 1980. [Google Scholar]
  82. Chen, F.; Curran, P.J.; Bollen, K.A.; Kirby, J.; Paxton, P. An empirical evaluation of the use of fixed cutoff points in RMSEA test statistic in structural equation models. Sociol. Methods Res. 2008, 36, 462–494. [Google Scholar] [CrossRef]
  83. Bentler, P.M.; Bonett, D.G. Significance tests and goodness of fit in the analysis of covariance structures. Psychol. Bull. 1980, 88, 588–606. [Google Scholar] [CrossRef]
  84. Bollen, K.A. A new incremental fit index for general structural equation models. Sociol. Methods Res. 1989, 17, 303–316. [Google Scholar] [CrossRef]
  85. James, L.R.; Mulaik, S.A.; Brett, J.M. Causal Analysis. Assumptions, Models, and Data; Sage Publications: Beverly Hills, CA, USA, 1982. [Google Scholar]
  86. Mulaik, S.A.; James, L.R.; Van Alstine, J.; Bennett, N.; Lind, S.; Stilwell, C.D. Evaluation of goodness-of-fit indices for structural equation models. Psychol. Bull. 1989, 105, 430–445. [Google Scholar] [CrossRef]
  87. Beckstead, J.W. Isolating and examining sources of suppression and multicollinearity in multiple linear regression. Multivar. Behav. Res. 2012, 47, 224–246. [Google Scholar] [CrossRef]
  88. Lubin, A. Some formulas for use with suppressor variables. Edu. Psychol. Meas. 1957, 17, 286–296. [Google Scholar] [CrossRef]
  89. Guest, D.E. Human resource management and employee well-being: Towards a new analytic framework. Int. J. Hum. Resour. 2017, 27, 22–38. [Google Scholar] [CrossRef]
  90. Kundi, Y.M.; Aboramadan, M.; Elhamalawi, E.M.I.; Shahid, S. Employee psychological well-being and job performance: Exploring mediating and moderating mechanisms. Int. J. Organ. Anal. 2021, 29, 736–754. [Google Scholar] [CrossRef]
  91. Zhao, X.; Wu, Z.; Chen, C.C.; Zhou, Z. The influence of corporate social responsibility on incumbent employees: A meta-analytic investigation of the mediating and moderating mechanisms. J Manag. 2022, 48, 114–146. [Google Scholar] [CrossRef]
  92. Aguinis, H.; Glavas, A. Embedded versus peripheral corporate social responsibility: Psychological foundations. Ind. Organ. Psychol. 2013, 6, 314–332. [Google Scholar] [CrossRef]
  93. Scheidler, S.; Edinger-Schons, L.M.; Spanjol, J.; Wieseke, J. Scrooge posing as Mother Teresa: How hypocritical social responsibility strategies hurt employees and firms. J. Bus. Ethics 2019, 157, 339–358. [Google Scholar] [CrossRef]
Figure 1. The sequential mediation model with point estimates and 90% confidence intervals of loadings and paths. Not shown are the intercorrelations of SR perceptions, the errors in variables and the errors in equations.
Figure 1. The sequential mediation model with point estimates and 90% confidence intervals of loadings and paths. Not shown are the intercorrelations of SR perceptions, the errors in variables and the errors in equations.
Sustainability 14 12031 g001
Figure 2. The partial mediation model.
Figure 2. The partial mediation model.
Sustainability 14 12031 g002
Figure 3. The sequential mediation model is depicted in (a), and the parallel mediation model is depicted in (b).
Figure 3. The sequential mediation model is depicted in (a), and the parallel mediation model is depicted in (b).
Sustainability 14 12031 g003
Figure 4. Construct discriminability: point estimates (medians) of heterotrait-monotrait (HTMT) ratios, their 90% bootstrap confidence intervals (boxes) and their minimum–maximum values (whiskers), obtained from 10,000 resamples of size N = 658 (upon case-wise elimination of missing data) for each combination of variables (labeled as in Table 2 and Table 3). The simultaneous confidence level of 90% is assured, under the Bonferroni inequality, by an instantaneous confidence level of 99.722%.
Figure 4. Construct discriminability: point estimates (medians) of heterotrait-monotrait (HTMT) ratios, their 90% bootstrap confidence intervals (boxes) and their minimum–maximum values (whiskers), obtained from 10,000 resamples of size N = 658 (upon case-wise elimination of missing data) for each combination of variables (labeled as in Table 2 and Table 3). The simultaneous confidence level of 90% is assured, under the Bonferroni inequality, by an instantaneous confidence level of 99.722%.
Sustainability 14 12031 g004
Figure 5. The sequential mediation model, estimated along with a measurement model, and a common-method factor: comparison of loadings on the measurement model factors and the common-method factor. The whiskers are 95% confidence intervals (on the understanding that the model is an interdependent whole, so the loadings are not estimated independently from one another). Constructs are displayed in order of increasing disparity between the measurement model and common-method loadings. POS = Perceived Organizational Support.
Figure 5. The sequential mediation model, estimated along with a measurement model, and a common-method factor: comparison of loadings on the measurement model factors and the common-method factor. The whiskers are 95% confidence intervals (on the understanding that the model is an interdependent whole, so the loadings are not estimated independently from one another). Constructs are displayed in order of increasing disparity between the measurement model and common-method loadings. POS = Perceived Organizational Support.
Sustainability 14 12031 g005
Table 1. Fit indices and their properties.
Table 1. Fit indices and their properties.
Fit IndexProperties
χ 2 Badness-of-fit index. Evaluates accuracy only. If F M L is the overall discrepancy between the observed and reproduced correlations among p variables in a sample of size N then, for a model with q free parameters, the asymptotic distribution of ( N 1 )   F M L follows a χ 2 distribution with d f = p ( p + 1 ) / 2 q degrees of freedom. Increases with N .
Normed Fit Index:
NFI = χ 0 2 χ 2 χ 0 2 = 1 χ 2 χ 0 2
Goodness-of-fit index. Evaluates accuracy only. Increases from NFI = 0 for the independence model (which does not describe the data at all) to NFI = 1 for the saturated model (which simply redescribes the data). Is independent of N .
Root-Mean-Square Error of Approximation:
RMSEA = χ 2 d f d f ( N 1 ) = F M L d f 1
Badness-of-fit index. Evaluates parsimony as well as accuracy. Is undefined for the saturated model ( d f = 0 ) , or a model for which F M L < d f . Is independent of N Favors less accurate but more parsimonious Model 1 over a less parsimonious but more accurate Model 2 when d f 1 / d f 2 > F M L 1 / F M L 2 , which is also independent of N .
Incremental Fit Index:
IFI = χ 0 2 χ 2 χ 0 2 d f = F M L 0 F M L F M L 0 d f N 1
Goodness-of-fit index. Evaluates parsimony as well as accuracy, although IFI = 1 for the saturated model. IFI = 0 for the independence model. Can cross either limit of the 0–1 interval, with IFI < 0 when χ 0 2 < d f (highly implausible), and IFI > 1 when d f > χ 2 . Increases with N Favors Model 1 over Model 2 when ( d f 1 ( F M L 0 F M L 2 ) d f 2 ( F M L 0 F M L 1 ) ) / ( N 1 ) > F M L 0 ( F M L 1 F M L 2 ) , the likelihood of which decreases with N .
Non-Normed Fit Index:
NNFI = χ 0 2 d f 0 χ 2 d f χ 0 2 d f 0 1 = F M L 0 d f 0 F M L d f F M L 0 d f 0 1 N 1
Goodness-of-fit index. Evaluates parsimony as well as accuracy. Is undefined for the saturated model ( d f = 0 ) Can cross either limit of the 0–1 interval, with NNFI < 0 when d f < d f 0 χ 2 / χ 0 2 , provided that d f 0 < χ 0 2 (highly plausible), and NNFI > 1 when d f > χ 2 Increases with N . Favors Model 1 over Model 2 when d f 1 / d f 2 > F M L 1 / F M L 2 , which is independent of N .
Parsimonious Normed Fit Index:
PNFI = d f d f 0 ( 1 χ 2 χ 0 2 )
Goodness-of-fit index. Evaluates parsimony as well as accuracy. PNFI = 0 for the independence model and the saturated model. Is independent of N . Favors Model 1 over Model 2 when d f 1 / d f 2 > ( F M L 0 F M L 2 ) / ( F M L 0 F M L 1 ) , which is also independent of N .
Rescaled Parsimonious Normed Fit Index:
RPNFI = d f ( 1 χ 2 χ 0 2 ) 1 + d f ( 1 χ 2 χ 0 2 )
Goodness-of-fit index. Qualitatively, it has the same behavior as PNFI. Quantitatively, RPNFI ≥ PNFI, with RPNFI = PNFI = 0 for the independence model and the saturated model, but RPNFI > PNFI otherwise.
Table 2. Means (M), standard deviations (SD), reliability estimates (standardized Cronbach’s alpha, diagonal) and intercorrelations (off-diagonal) for the manifest variables, with SR/ denoting ‘Social Responsibility towards’.
Table 2. Means (M), standard deviations (SD), reliability estimates (standardized Cronbach’s alpha, diagonal) and intercorrelations (off-diagonal) for the manifest variables, with SR/ denoting ‘Social Responsibility towards’.
Manifest VariableMSDX1X2X3X4C1C2W1W2Y
SR/Clients (X1)5.701.220.92
SR/Environment (X2)4.791.510.540.94
SR/Society, etc. (X3)5.021.450.590.560.92
SR/Employees (X4)4.761.390.660.610.640.96
POS (C1)5.031.540.590.470.500.760.93
Organizational trust (C2)4.811.350.490.340.430.650.710.85
Work meaningfulness (W1)5.371.380.480.350.490.550.540.420.92
Work engagement (W2)5.091.530.570.400.500.620.660.550.740.96
Job performance (Y)6.190.990.490.250.340.320.390.230.410.400.94
Note. Valid N = 658 (upon case-wise elimination of missing data). All correlations reliable at p < 0.0001. POS = Perceived Organizational Support.
Table 3. Mean monotrait-heteromethod (MTHM) correlations, from which standardized Cronbach’s alphas (in Table 2) are derived, and mean heterotrait-heteromethod (HTHM) correlations.
Table 3. Mean monotrait-heteromethod (MTHM) correlations, from which standardized Cronbach’s alphas (in Table 2) are derived, and mean heterotrait-heteromethod (HTHM) correlations.
Manifest VariableMonotrait-HeteromethodHeterotrait-Heteromethod
X1X2X3X4C1C2W1W2
SR/Clients (X1)0.62
SR/Environment (X2)0.650.37
SR/Society etc. (X3)0.590.390.37
SR/Employees (X4)0.540.410.380.39
POS (C1)0.720.430.350.360.51
Organizational trust (C2)0.450.310.220.270.370.47
Work meaningfulness (W1)0.670.340.250.340.360.410.27
Work engagement (W2)0.680.410.300.360.410.510.360.57
Job performance (Y)0.750.370.190.250.230.310.170.320.33
Note. Valid N = 658 (upon case-wise elimination of missing data). POS = Perceived Organizational Support.
Table 4. Maximum likelihood point estimates (means) and their 90% bootstrap confidence intervals of fit indices, obtained from 1000 resamples of size N = 658 (upon case-wise elimination of missing data).
Table 4. Maximum likelihood point estimates (means) and their 90% bootstrap confidence intervals of fit indices, obtained from 1000 resamples of size N = 658 (upon case-wise elimination of missing data).
Sequential Mediation ModelPartial Mediation Model
Fit Indexdf90% CIdf90% CI
Lower LimitPoint EstimateUpper LimitLower LimitPoint EstimateUpper Limit
χ220128.85187.17251.741140.8465.7394.68
NFI 0.930.950.96 0.970.980.99
RMSEA 0.090.110.13 0.060.090.11
IFI 0.930.950.97 0.980.980.99
NNFI 0.880.910.94 0.920.950.97
PNFI 0.520.530.54 0.300.300.30
RPNFI 0.950.950.95 0.910.920.92
Parallel Mediation ModelManifest Mediation Model
Fit Indexdf90% CIdf90% CI
Lower LimitPoint EstimateUpper LimitLower LimitPoint EstimateUpper Limit
χ216155.83212.22273.3014155.03219.20293.98
NFI 0.920.940.96 0.920.940.96
RMSEA 0.120.140.16 0.120.150.17
IFI 0.930.940.96 0.920.940.96
NNFI 0.830.870.91 0.790.850.90
PNFI 0.410.420.42 0.360.360.37
RPNFI 0.940.940.94 0.930.930.93
Note. NFI = Normed Fit Index, RMSEA = Root-Mean-Square Error of Approximation, IFI = Incremental Fit Index, NNFI = Non-Normed Fit Index and PNFI = Parsimonious Normed Fit Index. Definitions and properties are provided in Table 1. For the independence model, χ 2 = 3519.64, with df = 36.
Table 5. Mediation analysis: point estimates (means) of multiplicatively combined path coefficients, and their 90% bootstrap confidence intervals, obtained from 1000 resamples of size N = 658 (upon case-wise elimination of missing data).
Table 5. Mediation analysis: point estimates (means) of multiplicatively combined path coefficients, and their 90% bootstrap confidence intervals, obtained from 1000 resamples of size N = 658 (upon case-wise elimination of missing data).
PathLower LimitPoint EstimateUpper Limit
X1CW 0.120.180.23
X2CW −0.10−0.05−0.00
X3CW −0.030.030.08
X4CW 0.510.570.63
CWY0.310.370.43
X1CWY0.050.080.12
X2CWY−0.05−0.02−0.00
X3CWY−0.010.010.04
X4CWY0.220.270.31
Note. X1 = SR/Clients, X2 = SR/Environment, X3 = SR/Society, public entities and future generations, X4 = SR/Employees, C = belief of being in good company, W = belief of being in no pointless job and Y = job performance.
Table 6. Paths and loadings, along with their 90% confidence intervals, obtained from estimating the sequential mediation model along with a measurement model, and with (right) or without (left) a common-method factor. Only the loadings on the latent psychological states in the core model are shown.
Table 6. Paths and loadings, along with their 90% confidence intervals, obtained from estimating the sequential mediation model along with a measurement model, and with (right) or without (left) a common-method factor. Only the loadings on the latent psychological states in the core model are shown.
LoadingCommon-Method Factor
ExcludedIncluded
Lower LimitPoint EstimateUpper LimitLower LimitPoint EstimateUpper Limit
CC10.900.910.930.850.870.90
CC20.910.920.940.870.890.92
WW10.910.940.960.900.930.96
WW20.800.830.860.770.800.84
PathCommon-Method Factor
ExcludedIncluded
Lower LimitPoint EstimateUpper LimitLower LimitPoint EstimateUpper Limit
X1C0.150.200.260.090.150.22
X2C−0.10−0.05−0.00−0.08−0.020.04
X3C−0.06−0.010.05−0.030.040.10
X4C0.750.800.850.710.770.83
CW0.760.790.820.700.740.79
WY0.410.470.520.320.380.45
Note. X1 = SR/Clients, X2 = SR/Environment, X3 = SR/Society, public entities and future generations, X4 = SR/Employees, C = belief of being in good company, C1 = perceived organizational support, C2 = organizational trust, W = belief of being in no pointless job, W1 = work meaningfulness, W2 = work engagement and Y = job performance.
Publisher’s Note: MDPI stays neutral with regard to jurisdictional claims in published maps and institutional affiliations.

Share and Cite

MDPI and ACS Style

Scholten, M.; Correia, M.F.; Esteves, T.; Gonçalves, S.P. No Place for Pointless Jobs: How Social Responsibility Impacts Job Performance. Sustainability 2022, 14, 12031. https://doi.org/10.3390/su141912031

AMA Style

Scholten M, Correia MF, Esteves T, Gonçalves SP. No Place for Pointless Jobs: How Social Responsibility Impacts Job Performance. Sustainability. 2022; 14(19):12031. https://doi.org/10.3390/su141912031

Chicago/Turabian Style

Scholten, Marc, Manuela Faia Correia, Teresa Esteves, and Sónia P. Gonçalves. 2022. "No Place for Pointless Jobs: How Social Responsibility Impacts Job Performance" Sustainability 14, no. 19: 12031. https://doi.org/10.3390/su141912031

APA Style

Scholten, M., Correia, M. F., Esteves, T., & Gonçalves, S. P. (2022). No Place for Pointless Jobs: How Social Responsibility Impacts Job Performance. Sustainability, 14(19), 12031. https://doi.org/10.3390/su141912031

Note that from the first issue of 2016, this journal uses article numbers instead of page numbers. See further details here.

Article Metrics

Back to TopTop