Has Central Environmental Protection Inspection Promoted High-Quality Economic Development?—A Case Study from China
Abstract
:1. Introduction
2. Policy Background and Literature Review
2.1. Policy Background
2.2. Literature Review
2.2.1. A Review of Development Paths for High-Quality Economic Development
2.2.2. Literature Review on Central Environmental Protection Inspection
3. Empirical Model and Variable Description
3.1. Model Setting
3.1.1. Difference-in-Differences Model Setting
3.1.2. GTFP Measurement
- (1)
- SBM directional distance function: In this paper, each prefecture-level city is considered as a production decision unit from which the optimal production frontier surface in each period for each of the 253 prefecture-level cities in China is constructed. Following the idea of Fare, assuming that each city uses factor inputs . Obtain desired outputs and undesired outputs . Assume that there are periods and decision units, where , , then the input and output values of city at time can be simply expressed as . Based on the above assumptions, the directional distance function considering non-desired outputs is defined as follows.
- (2)
- GML index: The GML (Global Malmquist–Luenberger) index is based on the SBM directional distance function to measure the growth rate of GTFP based on the research idea of Oh et al. [29]. The GML index has circular additivity, which can reflect the long-term trend of GTFP while comparing the change in GTFP in each decision unit in the interim period, and its expression is as follows.
3.2. Variable Selection and Data Description
3.2.1. Variable Selection
| Categories | Variables | Metrics |
|---|---|---|
| Input Indicators | Labor input Capital inputs Energy input | Year-end employment Fixed-asset investment (citywide) Total annual electricity consumption |
| Output Indicators | Desired output | GDP |
| Non-desired output | Industrial wastewater emissions Industrial waste gas emissions Carbon emissions PM2.5 |
3.2.2. Data Description
| Province | Supervised Cities (First Batch) | Province | Supervised Cities (Second Batch) |
|---|---|---|---|
| Inner Mongolia | Huhehaote, Wuhai, Baotou, Chifeng | Hubei | Wuhan, Shiyan |
| Heilongjiang | Harbin, Heihe, Suihua, Mudanjiang | Shanxi | Xi’an, Xianyang |
| Jiangsu | Xuzhou, Lianyungang | ||
| Jiangxi | Nanchang, Xinyu, Yichun, Jiujiang, Ji’an, Pingxiang | ||
| Henan | Zhengzhou, Xinxiang, Kaifeng | ||
| Ningxia | Yinchuan, Shizuishan, Guyuan |
3.3. Measurement Results
4. Empirical Results and Analysis
4.1. Analysis of the Impact of Central Environmental Protection Inspection on High-Quality Economic Development
| Variables | (1-1) | (1-2) |
|---|---|---|
| DID | PSM–DID | |
| CEPI × treat | 0.007 | 0.013 ** |
| (0.005) | (0.007) | |
| Popu | −0.012 | −0.011 |
| (0.012) | (0.035) | |
| RGDP | −0.02 | 0.05 |
| (0.06) | (0.11) | |
| Indu | 0.009 | 0.052 *** |
| (0.008) | (0.013) | |
| FDI | 0.01 | 0.01 ** |
| (0.01) | (0.02) | |
| Fin | −0.032 | −0.021 |
| (0.032) | (0.027) | |
| cons | 1.139 *** | 1.084 *** |
| (0.098) | (0.210) | |
| Time effect | Control | Control |
| Individual effect | Control | Control |
| N | 1764 | 1412 |
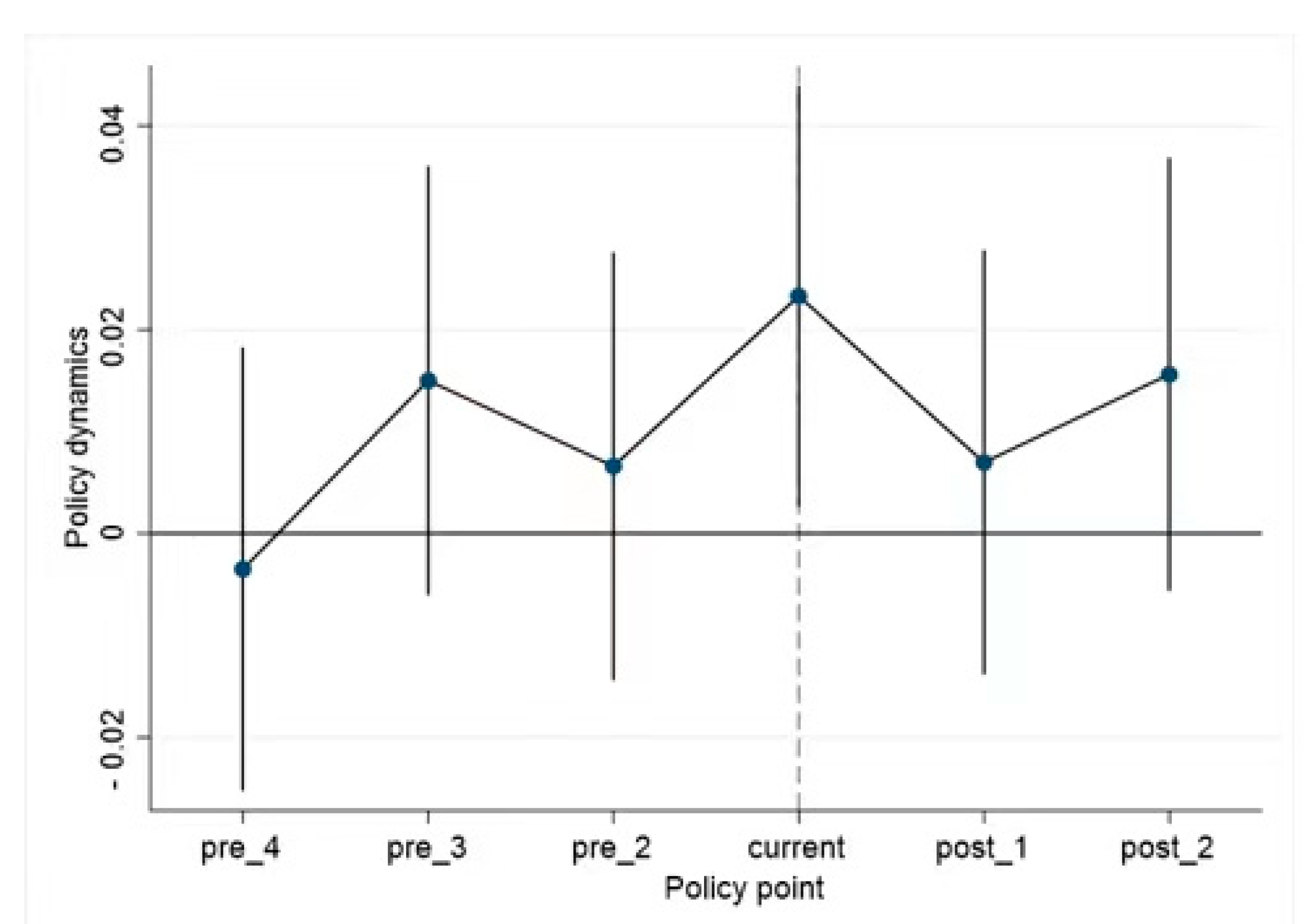
4.2. Analysis of Dynamic Effects
4.3. Regional Heterogeneity Test
4.4. The Placebo Test
5. Key Conclusions and Implications
Author Contributions
Funding
Institutional Review Board Statement
Informed Consent Statement
Data Availability Statement
Conflicts of Interest
References
- Asian Development Bank. Towards an Environmentally Sustainable Future: A National Environmental Analysis of the People’s Republic of China; China Financial and Economic Press: Beijing, China, 2013. [Google Scholar]
- Porter, M.E. America’s Green Strategy. Entific Am. 1991, 264, 193–246. [Google Scholar]
- Cai, W.G.; Zhou, X.L. Dual Effect of Chinese Environmental Regulation on Green Total Factor Productivity. Economist 2017, 27–35. [Google Scholar]
- Liang, P.H.G.N. Personnel Changes, Legal Environment and Local Environmental Pollution. Manag. World 2014, 6, 65–78. [Google Scholar]
- Cai, F.; Du, Y.; Wang, M.Y. The Political Economy of Emission in China: Will a Low Carbon Growth Be Incentive Compatible in Next Decade and Beyond? Econ. Res. 2008, 36, 4–11. [Google Scholar]
- Ghanem, D.; Zhang, J. ‘Effortless Perfection:’ Do Chinese cities manipulate air pollution data? J. Environ. Econ. Manag. 2014, 68, 203–225. [Google Scholar] [CrossRef]
- Chen, Y.J.; Li, P.; Lu, Y. Career concerns and multitasking local bureaucrats: Evidence of a target-based performance evaluation system in China. J. Dev. Econ. 2018, 133, 84–101. [Google Scholar] [CrossRef]
- Wang, H.; Fan, C.; Chen, S. The Impact of Campaign-Style Enforcement on Corporate Environmental Action: Evidence from China’s Central Environmental Protection Inspection. J. Clean. Prod. 2021, 290, 125881. [Google Scholar] [CrossRef]
- Yu, Y.Z.; Yang, X.Z.; Zhang, S.H. Research on the Characteristics of Time and Space Conversion of China’s Economy from High-speed Growth to High-quality Development. J. Quant. Tech. Econ. 2019, 36, 3–21. [Google Scholar]
- Zhang, Y.B.; Li, X. Environmental Regulation, Technological Innovation and High Quality Economic Development—A Quasi-Natural Experiment Based on Central Environmental Protection Inspectors. J. Ind. Technol. Econ. 2021, 40, 3–10. [Google Scholar]
- Shang Guan, X.M.; Ge, B.H. Technological Innovation, Environmental Regulation and High-Quality Economic Development: Empirical Evidence from 278 Cities at Prefecture Level and Above in China. China Popul. Resour. Environ. 2020, 30, 95–104. [Google Scholar]
- Wu, J. Analysis on the Growth and Convergence of Industrial Total Factor Productivity in China under Environmental Constraints. J. Quant. Tech. Econ. 2009, 11, 17–27. [Google Scholar]
- Hu, A.G.; Zheng, J.H.; Gao, Y.N.; Zhang, N.; Xu, H. Provincial Technical Efficiency Ranking Considering Environmental Factors (1999–2005). Economics 2008, 7, 933–960. [Google Scholar]
- Tu, Z.G.; Xiao, G. Study on China’s Industrial Growth Model under Environmental Constraints. World Econ. 2009, 14, 41–54. [Google Scholar]
- Chen, S.Y. Energy Consumption, CO2 Emissions and the Sustainable Development of Chinese Industry. Econ. Res. 2009, 15, 548–571. [Google Scholar]
- Chen, S.Y. China’s Green Industrial Revolution: An Explanation Based on an Environmental Total Factor Productivity Perspective (1980–2008). Econ. Res. 2010, 45, 21–34, 58.
- Guo, S.H. The Institutional Logic and Continuity of Central Environmental Protection Inspectors—A Comparative Study Based on the Inspector System. Stud. Social. Chin. Charact. 2019, 5, 83–91. [Google Scholar]
- Wu, R.; Hu, P. Does the “Miracle Drug” of Environmental Governance Really Improve Air Quality? Evidence from China’s System of Central Environmental Protection Inspections. Int. J. Environ. Res. Public Health 2019, 16, 850. [Google Scholar]
- Chambers, R.G.; Chung, Y.F.; Re, R. Benefit and Distance Functions. J. Econ. Theory 1996, 70, 407–419. [Google Scholar] [CrossRef]
- Wang, L.; Liu, X.F.; Xiong, Y. Central Environmental Protection Inspectors and Air Pollution Control-An Empirical Analysis Based on Micro Panel Data of Prefectural Cities. China Ind. Econ. 2019, 10, 5–22. [Google Scholar]
- Shen, R.J.; Xiao, Q.L.; Lan, S.Q. Can Central Environmental Inspection Promote the Performance of China’s Enterprises? An Example of Listed Industrial Enterprises. Econ. Rev. 2019, 36–49. [Google Scholar]
- Aklin, M. Re-exploring the Trade and Environment Nexus Through the Diffusion of Pollution. Environ. Resour. Econ. 2016, 64, 663–682. [Google Scholar] [CrossRef]
- Li, Y.; Gao, D.; Wei, P. Dose the central environmental inspection induce green innovation in firms? Stud. Sci. Sci. 2021, 39, 1504–1516. [Google Scholar]
- Santis, R.D.; Lasinio, C.J. Environmental Policies, Innovation and Productivity in the EU. SSRN Electron. J. 2015, 51, 249–262. [Google Scholar] [CrossRef]
- Chen, G. A Study on the Impact of Environmental Governance Policies on the Stock Prices of Sensitive Firms-Taking the Central Environmental Protection Inspections as an Example. Ph.D. Thesis, Huazhong Normal University, Wuhan, China, 2019. [Google Scholar]
- Tian, M.; Xu, G.; Zhang, L. Does Environmental Inspection Led by Central Government undermine Chinese heavy-polluting firms’ stock value? The buffer role of political connection. J. Clean. Prod. 2019, 236, 117695. [Google Scholar]
- Färe, R.; Grosskopf, S. Theory and Application of Directional Distance Functions. J. Product. Anal. 2000, 13, 93–103. [Google Scholar] [CrossRef]
- Fukuyama, H.; Weber, W.L. A directional slacks-based measure of technical inefficiency. Socio-Econ. Plan. 2010, 43, 274–287. [Google Scholar] [CrossRef]
- Oh, D.H. A Global Malmquist-Luenberger Productivity Index-anapplication to OECD countries 1990–2004; Working Paper Series in Economics and Institutions of Innovation 16; Royal Institute of Technology; CESIS: Stockholm, Sweden, 2009. [Google Scholar]
- Zhang, S.Y.; Whang, C.X.; Ren, Y.J. The Spatial Spillover Effect of Producer Services Agglomeration on Green Total Factor Productivity. Soft Sci. 2019, 33, 11–15. [Google Scholar]
- Chow, G.C. Capital Formation and Economic Growth in China. Q. J. Econ. 1993, 108, 809–842. [Google Scholar] [CrossRef]
- Shan, H.J. Reestimating the Capital Stock of China: 1952–2006. J. Quant. Tech. Econ. 2008, 10, 17–31. [Google Scholar]
- Liu, Z.K.; Xin, L. The impact of the ‘Belt and Road’ construction on green total factor productivity in China’s key provinces along the route. China Popul. Resour. Environ. 2018, 28, 87–97. [Google Scholar]
- Li, B.; Qin, Y.; Li, Q. Fiscal Decentralization, FDI and Green Total Factor Productivity—A Empirical Test Based on Panel Data Dynamic GMM Method. J. Int. Trade 2016, 7, 119–129. [Google Scholar]
- Song, M.; Du, J.; Tan, K.H. Impact of fiscal decentralization on green total factor productivity. Int. J. Prod. Econ. 2018, 205, 359–367. [Google Scholar] [CrossRef]
- Huang, J.H.; Xie, Y.N.; Yu, Y.T. Urban competition, spatial spillovers and eco-efficiency: The impacts of high-order pressure and low-order suction. China Popul. Resour. Environ. 2018, 28, 1–12. [Google Scholar]
- Chen, B.; Wang, W.L. Internet, Industrial Structure Upgrading and Green Total Factor Productivity. Ecol. Econ. 2021, 37, 43–53. [Google Scholar]
- Zhang, Y.; Li, X. Environmental regulation and high-quality economic growth: Quasi-natural experimental evidence from China. Environ. Sci. Pollut. Res. 2022, 1–13. [Google Scholar] [CrossRef]
- Ren, S.G.; Zhang, J.J.; Liu, D.H. Does Emissions Trading System Improve Firm’s Total Factor Productivity—Evidence from Chinese Listed Companies. China Ind. Econ. 2019, 5, 5–23. [Google Scholar]
- Xu, F.; Tian, M.; Yang, J.; Xu, G. Does environmental inspection led by the central government improve the air quality in China? The moderating role of public engagement. Sustainability 2020, 12, 3316. [Google Scholar]
- Shen, N.; Liu, F. Can Intensive Environmental Regulation Promote Technological Innovation?: Porter Hypothesis Reexamined. China Soft Sci. 2012, 4, 49–59. [Google Scholar]





| (1) | (2) | (3) | |
|---|---|---|---|
| Variables | Eastern | Central | Western |
| CEPI × treat | 0.042 ** | 0.013 | −0.023 ** |
| (0.027) | (0.012) | (0.015) | |
| R2 | 0.749 | 0.613 | 0.539 |
| Time effect | Control | Control | Control |
| Individual effect | Control | Control | Control |
| N | 693 | 553 | 166 |
Publisher’s Note: MDPI stays neutral with regard to jurisdictional claims in published maps and institutional affiliations. |
© 2022 by the authors. Licensee MDPI, Basel, Switzerland. This article is an open access article distributed under the terms and conditions of the Creative Commons Attribution (CC BY) license (https://creativecommons.org/licenses/by/4.0/).
Share and Cite
Li, H.; Zhou, M.; Xia, Q.; Hao, X.; Wang, J. Has Central Environmental Protection Inspection Promoted High-Quality Economic Development?—A Case Study from China. Sustainability 2022, 14, 11318. https://doi.org/10.3390/su141811318
Li H, Zhou M, Xia Q, Hao X, Wang J. Has Central Environmental Protection Inspection Promoted High-Quality Economic Development?—A Case Study from China. Sustainability. 2022; 14(18):11318. https://doi.org/10.3390/su141811318
Chicago/Turabian StyleLi, Haoran, Min Zhou, Qing Xia, Xiaoru Hao, and Jian Wang. 2022. "Has Central Environmental Protection Inspection Promoted High-Quality Economic Development?—A Case Study from China" Sustainability 14, no. 18: 11318. https://doi.org/10.3390/su141811318
APA StyleLi, H., Zhou, M., Xia, Q., Hao, X., & Wang, J. (2022). Has Central Environmental Protection Inspection Promoted High-Quality Economic Development?—A Case Study from China. Sustainability, 14(18), 11318. https://doi.org/10.3390/su141811318
