A Macroinvertebrate-Based Multimetric Index for Assessing Ecological Condition of Forested Stream Sites Draining Nigerian Urbanizing Landscapes
Abstract
:1. Introduction
2. Materials and Methods
2.1. Study Area
2.2. Physico-Chemical and Macroinvertebrate Sampling
2.3. Data Analyses
Site Classification
2.4. Macroinvertebrate Metric Selection
2.5. MMI Development
2.5.1. Test for Sensitivity (Discrimination)
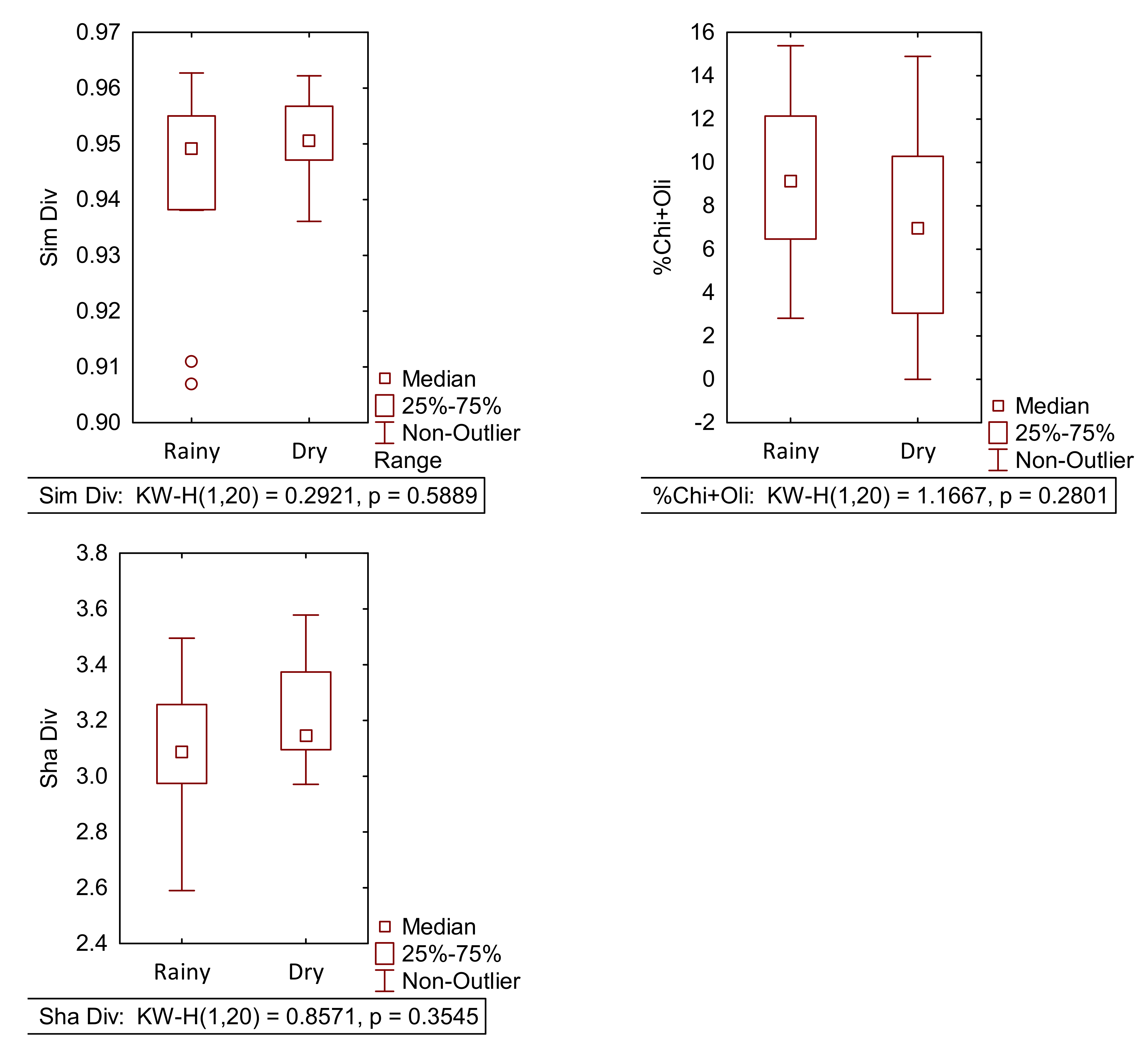
2.5.2. Test for Seasonality
2.5.3. Test for Metric Repeatability (Signal/Noise)
2.5.4. Test for Metric Redundancy
2.6. Metric Scoring
2.7. Correlating Metrics with Physico-Chemical Variables
3. Results
3.1. Metric Screening
3.2. MMI Scoring
3.3. Correlating MMI Metrics with Physico-Chemical Variables
4. Discussion
5. Conclusions
Author Contributions
Funding
Data Availability Statement
Acknowledgments
Conflicts of Interest
Appendix A
| Mean Physico-Chemical Variables | |||||||||||||
|---|---|---|---|---|---|---|---|---|---|---|---|---|---|
| Rivers | Site Codes | LIS | MIS | HIS | Water Temperature (°C) | Depth (m) | Flow Velocity (ms−1) | Conductivity (µscm−1) | DO (mgL−1) | BOD (mgL−1) | pH | Nitrate (mgL−1) | Phosphate (mgL−1) |
| Warri | Wa2 | X | 22.3 (21.0–23.4) | 0.91 (0.63–1.12) | 0.14 (0.1 –1.7) | 9.5 (8.11–11.5) | 5 (4.3–5.62) | 0.9 (0.04–1.24) | 7 (6.8 –7.2) | 0.1 (0.09–0.12) | 0.1 (0.07–0.12) | ||
| Warri | Wa1 | X | 25.2 (23.4–28.0) | 0.95 (0.65–1.31) | 0.14 (0.13–0.22) | 9.9 (8.02–12.1) | 8.8 (7.0–10.8) | 1 0.72–1.1) | 7 (6.6–7.2) | 0.09 (0.06–0.12) | 0.09 (0.06–0.11) | ||
| Adofi | Ad | X | 21.1 (20.2–21.5) | 0.56 (0.37–0.74) | 0.27 (0.24–0.35) | 11.7 (9.8–13.2) | 8 (7.06–9.2) | 2.3 (1.9–2.8) | 6.7 (5.5–7.1) | 0.5 (0.42–0.53) | 0.4 (0.38–0.42) | ||
| Orogodo | Or | X | 26 (24.5–28.4) | 0.66 (0.25–0.75) | 0.1 (0.09–0.17) | 13.6 (12.0–14.3 | 7.4 (5.0–7.8) | 2.3 (2.1–2.6) | 6.4 (6.1–7.9) | 2.8 (0.8–3.4) | 0.01 (0.009–0.013) | ||
| Ase | As2 | X | 24.9 (22.3–25.0) | 0.54 (0.34–0.61) | 0.27 (0.17–0.32) | 15.3 (12.6–16.4) | 6.1 (5.5–6.3) | 2.4 (1.8–2.8) | 7.3 (5.2–8.3) | 1.3 (0.6–2.6) | 0.15 (0.12–0.17) | ||
| Iyiukwu | Iy3 | X | 27.8 (25.6–28.6) | 0.45 (0.23–0.51) | 0.23 (0.09–0.32) | 15.4 (11.5–16.8) | 6 (5.2–6.9) | 2.6 (1.9–2.9) | 6.4 (6.2–6.7) | 0.03 (0.01–0.05) | 2.2 (1.3–2.9) | ||
| Iyiukwu | Iy1 | X | 27.4 (21.7–29.3) | 0.59 (0.15–0.62) | 0.2 (0.12–0.24) | 16.6 (13.2–17.4) | 6 (5.6–6.4) | 2.8 (1.6–3.2) | 5.6 (4.7–6.2) | 0.4 (0.01–0.7) | 2.8 (0.08–3.5) | ||
| Ase | As1 | X | 25.3 (22.3–26.0) | 0.7 (0.51–0.82) | 0.22 (0.07–0.28) | 17 (13.0–18.5) | 5.4 (5.2–5.8) | 3.3 (0.98–4.6) | 6.7 (5.6–7.9) | 2.3 (0.06–2.8) | 0.13 (0.03–0.16) | ||
| Iyiukwu | Iy2 | X | 27.6 (24.6–28.2) | 0.63 (0.25–0.68) | 0.2 (0.08–0.24) | 17.4 (11.2–18.0) | 6 (5.5–6.8) | 3.2 (2.4–3.8) | 5.6 (4.3–6.1) | 0.04 (0.01–0.08) | 2.5 (1.2–2.9) | ||
| Benin | Be3 | X | 24.7 (21.5–25.5) | 0.66 (0.56–0.72) | 0.14 (0.05–0.17) | 20.7 (17.2–22.6) | 8 (7.2–8.4) | 2.9 (2.3–3.1) | 6 (5.0–6.5) | 0.08 (0.01–0.09) | 0.06 (0.02–0.08) | ||
| Ossiomo | Os2 | X | 26 (21–27.5) | 0.53 (0.45–0.56) | 0.26 (0.13–0.28) | 23 (21.0–24.0) | 6.6 (5.4–7.4) | 1.8 (0.9–2.3) | 6.2 (5.6–6.7) | 0.04 (0.02–0.05) | 0.24 (0.06–0.27) | ||
| Benin | Be1 | X | 24.5 (23.1–24.8) | 1 (0.4–1.2) | 0.13 (0.09–0.16) | 24.9 (22.5–25.7) | 6.7 (5.0–7.4) | 2.9 (1.3–3.7) | 6.7 (6.2–6.9) | 0.08 (0.02–0.10) | 0.08 (0.01–0.09) | ||
| Ossiomo | Os1 | X | 25.9 (24.8–26.7) | 0.53 (0.22–0.58) | 0.29 (0.12–0.34) | 25.6 (21.4–26.2) | 6 (5.3–6.2) | 2.3 (1.9–2.8) | 6.2 (5.4–7.6) | 0.05 (0.01–0.07) | 0.2 (0.12–0.20) | ||
| Owan | Oa | X | 24.7 (23.8–25.1) | 1.36 (0.62–1.53) | 0.34 (0.06–0.42) | 29.2 (21.4–30.2) | 6.2 (5.1–6.7) | 2.1 (1.3–2.9) | 6.5 (6.2–6.8) | 0.06 (0.01–0.09) | 0.69 (0.01–0.87) | ||
| Umaluku | Um2 | X | 26 (21.6–27.3) | 0.63 (0.16–0.74) | 0.19 (0.11–0.22) | 35.5 (26.5–36.0) | 5.4 (5.0–6.4) | 2.5 (1.8–2.8) | 6.8 (5.6–7.2) | 1.25 (0.07–1.4) | 10.6 (2.5–11.8) | ||
| Eriora | Er | X | 29.8 (23.8–30.4) | 0.75 (0.51–0.78) | 0.25 (0.18–0.27) | 56.5 (34.0–58.5) | 11.3 (5.9–11.8) | 9.7 (7.2–11.8) | 5.3 (4.7–5.8) | 1.45 (0.05–1.57) | 0.26 (0.01–0.32) | ||
| Umomi | Ui2 | X | 22.4 (20.0–23.5) | 1 (0.40–1.1) | 0.22 (0.18–0.26) | 62.5 (45.8–63.7) | 6.3 (6.2–6.6) | 3.5 (2.3–3.9) | 6.8 (5.8–7.4) | 0.04 (0.01–0.07) | 1.3 (1.1–1.4) | ||
| Umaluku | Um1 | X | 25.7 (22.4–26.3) | 0.49 (0.21–0.52) | 0.22 (0.07–0.26) | 70.3 (43.9–71.3) | 2.8 (2.2–2.6) | 8.8 (7.5–9.7) | 5.9 (5.2–6.3) | 4.4 (1.2–5.6) | 0.34 (0.01–0.52) | ||
| Umomi | Ui1 | X | 22 (20–24.5) | 0.99 0.23–1.3) | 0.2 (0.10–0.25) | 81.9 (72.3–82.6) | 5 (4.3–5.4) | 3.4 (2.7–3.8) | 6.9 (5.8–7.1) | 0.03 (0.01–0.04) | 1.15 (1.1–1.16) | ||
| Benin | Be2 | X | 24.5 (21–8–26.2) | 0.79 (0.52–0.82) | 0.19 (0.08–0.25) | 198 (187–199) | 4 (3.9–4.2) | 14.6 (9.5–16.5) | 7.2 (6.3–8.0) | 0.5 (0.2–0.7) | 0.8 | ||
| Selected Macroinvertebrate Metrics | Corresponding Codes for Selected Metrics | Expected Response of Selected Metrics to Ecosystem Degradation |
|---|---|---|
| Abundance measures | ||
| Ephemeroptera family abundance | Eph Abun | Negative |
| Trichoptera family abundance | Tri Abun | Negative |
| Ephemeroptera Plecoptera and Trichoptera abundance | EPT Abun | Negative |
| Ephemeroptera Trichoptera Odonata and Coleoptera abundance | ETOC Abun | Negative |
| Chironomidae abundance | Chi Abun | Positive |
| Oligochaeta family abundance | Oli Abun | Positive |
| Chironomidae + Oligochaeta abundance | Chi + Oli Abun | Positive |
| Mollusca family abundance | Mol Abun | Positive |
| Diptera family abundance | Dip Abun | Positive |
| Decapoda family abundance | Dec Abun | Variable |
| Mollusca + Diptera family abundance | Mol + Dip Abun | Positive |
| Mollusca + Decapoda family abundance | Mol + Dec Abun | Variable |
| Odonata family abundance | Odo Abun | Negative |
| Coleoptera family abundance | Col Abun | Negative |
| Hemiptera family abundance | Hem Abun | Negative |
| Coleoptera + Hemiptera abundance | Col + Hem Abun | Negative |
| Ephemeroptera Plecoptera and Trichoptera family/Chironomidae abundance | EPT/Chi Abun | Negative |
| Ephemeroptera Trichoptera Odonata and Coleoptera family/Chironomidae abundance | ETOC/Chi Abun | Negative |
| Ephemeroptera Trichoptera Odonata and Coleoptera family/Diptera abundance | ETOC/Dip Abun | Negative |
| Chironomidae/Diptera family abundance | Chi/Dip Abun | Positive |
| Composition measures | ||
| % Ephemeroptera | %Eph | Negative |
| % Trichoptera | %Tri | Negative |
| % Ephemeroptera, Plecoptera and Trichoptera | %EPT | Negative |
| % Ephemeroptera, Trichoptera, Odonata and Coleoptera | %ETOC | Negative |
| % Chironomidae | %Chi | Positive |
| % Oligochaeta | %Oli | Positive |
| %Chironomidae+Oligochaeta | %Chi + Oli | Positive |
| % Mollusca | %Mol | Positive |
| % Diptera | %Dip | Positive |
| % Decapoda | %Dec | Variable |
| %Mollusca+Decapoda | %Mol + Dec | Variable |
| %Mollusca+Diptera | %Mol + Dip | Positive |
| % Coleoptera | %Col | Negative |
| % Hemiptera | %Hem | Negative |
| % Odonata | %Odo | Negative |
| % Coleoptera + Hemiptera | %Col + Hem | Negative |
| Richness measures | ||
| Ephemeroptera richness | Eph Rich | Negative |
| Trichoptera richness | Tri Rich | Negative |
| Ephemeroptera, Plecoptera and Trichoptera richness | EPT Rich | Negative |
| Ephemeroptera, Trichoptera, Odonata and Coleoptera richness | ETOC Rich | Negative |
| Mollusca richness | Mol Rich | Positive |
| Diptera richness | Dip Rich | Increase |
| Chironomidae richness | Chi Rich | Positive |
| Oligochaeta richness | Oli Rich | Positive |
| Chironomidae + Oligochaeta richness | Chi + Oli Rich | Positive |
| Coleoptera richness | Col Rich | Negative |
| Hemiptera richness | Hem Rich | Negative |
| Coleoptera + Hemiptera richness | Col + Hem Rich | Negative |
| Odonata richness | Odo Rich | Negative |
| Decapoda richness | Dec Rich | Variable |
| Diversity measures | ||
| Shannon–Wiener diversity index (H) | Sha Ind | Negative |
| Margalef index (Taxa diversity index) | Mar Ind | Negative |
| Evenness index (e^H/S) | Eve Ind | Negative |
| Simpson diversity (1–D) | Sim Div | Negative |
| Traits measures | ||
| Logarithm of relative abundance of large (>20–40 mm) | Log Lar | Negative |
| Logarithm of relative abundance of hardshell | Log HaS | Negative |
| Logarithm of relative abundance of predator | Log Pre | Positive |
| Logarithm of relative abundance of nymph | Log Nym | Negative |
| Logarithm of relative abundance of pupa aquatic stage | Log Pup | Positive |
| Metrics | Mann–Whitney Test | p-Value | Metric Sensitivity Status |
|---|---|---|---|
| Abundance measures | |||
| Tri Abun | 750 | 0.0025 | √ |
| Col Abun | 919 | 0.087 | X |
| EPT/Chi Abun | 468 | 5.35 × 10−7 | √ |
| Composition measures | |||
| %EPT | 968 | 0.18 | X |
| %Tri | 967 | 0.16 | X |
| %ETOC | 992 | 0.24 | X |
| %Odo | 763 | 0.0044 | √ |
| %Mol+Dip | 401 | 3.81 × 10−8 | √ |
| %Chi | 296 | 3.61 × 10−10 | √ |
| %Chi+Oli | 388 | 2.16 × 10−8 | √ |
| %Dip | 441 | 1.93 × 10−7 | √ |
| Richness measures | |||
| ETOC Rich | 959 | 0.16 | X |
| Col Rich | 663 | 0.000305 | √ |
| Hem Rich | 721 | 0.0013 | √ |
| Col+Hem Rich | 602 | 5.17 × 10−5 | √ |
| Odo Rich | 923 | 0.090 | X |
| Diversity measures | |||
| Sha Div | 764 | 0.0045 | √ |
| Mar Ind | 608 | 6.71 × 10−5 | √ |
| Sim Div | 663 | 0.00040 | √ |
| Trait attributes measures | |||
| LogPup | 993 | 0.025 | √ |




References
- Parienté, W. Urbanisation in Sub-Saharan Africa and challenges of access to basic services. J. Demogr. Econ. 2017, 83, 31–39. [Google Scholar] [CrossRef]
- Edegbene, A.O.; Arimoro, F.O.; Odume, O.N. Developing and applying a macroinvertebrate-based multimetric index for urban rivers in the Niger Delta, Nigeria. Ecol. Evol. 2019, 9, 12869–12885. [Google Scholar] [CrossRef] [PubMed]
- Mereta, S.T.; Boets, P.; De Meester, L.; Goethals, P.L.M.C. Development of multimetric index based on benthic macroinvertebrates for the assessment of natural wetlands in southwest Ethiopia. Ecol. Indic. 2013, 29, 510–521. [Google Scholar] [CrossRef]
- Gieswein, A.; Hering, D.; Lorens, A.W. Development and validation of a macroinvertebrate-based biomonitoring tool to assess fine sediment impact in small mountain streams. Sci. Total Environ. 2019, 652, 1290–1301. [Google Scholar] [CrossRef] [PubMed]
- Arimoro, F.O.; Ikomi, R.B.; Nwadukwe, F.O.; Eruotor, O.D.; Edegbene, A.O. Fluctuating salinity levels and increasing pollution gradient on fish community structure and trophic levels in a small creek in the Niger Delta, Nigeria. Int. Aquat. Res. 2014, 6, 187–202. [Google Scholar] [CrossRef]
- Vannote, R.L.; Minshall, G.W.; Cummins, K.W.; Sedell, J.R.; Cushing, C.E. The river continuum concept. Can. J. Fish. Aquat. Sci. 1980, 37, 130–137. [Google Scholar] [CrossRef]
- Sedell, J.R.; Reeves, G.H.; Hauer, F.R.; Stanford, J.A.; Hawkins, C.P. Role of refugia in recovery from disturbances: Modern fragmented and disconnected river systems. Environ. Manag. 1990, 14, 711–724. [Google Scholar] [CrossRef]
- Rowntree, K.M.; Wadeson, R.A.; O’Keeffe, J. The development of a geomorphological classification system for the longitudinal zonation of South African rivers. S. Afr. Geogr. J. 2000, 82, 163–172. [Google Scholar] [CrossRef]
- Desrosiers, M.; Usseglio-Polatera, P.; Archaimbault, V.; Larras, F.; Methot, G.; Pinel-Alloul, B. Assessing anthropogenic pressure in the St. Lawrence River using traits of benthic macroinvertebrates. Sci. Total Environ. 2019, 649, 233–246. [Google Scholar] [CrossRef]
- Bonada, N.; Prat, N.; Resh, V.H.; Statzner, B. Development in aquatic insect biomonitoring: A comparative analysis of recent approaches. Annu. Rev. Entomol. 2006, 51, 495–523. [Google Scholar] [CrossRef] [Green Version]
- Monaghan, K.; Soares, A.M.V.M. Bringing new knowledge to an old problem: Building a biotic index from lotic macroinvertebrates traits. Ecol. Indic. 2012, 20, 213–220. [Google Scholar] [CrossRef]
- Edegbene, A.O.; Arimoro, F.O.; Odume, O.N. Exploring the distribution patterns of macroinvertebrate signature traits and ecological preferences and their responses to urban and agricultural pollution in selected rivers in the Niger Delta ecoregion, Nigeria. Aquat. Ecol. 2020, 54, 553–573. [Google Scholar] [CrossRef]
- Ruaro, R.; Gubiani, E.A.; Hughes, R.M.; Mormul, R.P. Global trends and challenges in multimetric indices of ecological condition. Ecol. Indic. 2020, 110, 105862. [Google Scholar] [CrossRef]
- Melo, S.; Stenert, C.; Dalzochio, M.S.; Maltchik, L. Development of a multimetric index based on aquatic macroinvertebrate communities to assess water quality of rice fields in southern Brazil. Hydrobiologia 2015, 742, 1–14. [Google Scholar] [CrossRef]
- Stevenson, R.J.; Zalack, J.T.; Wolin, J. A multimetric index of lake diatom condition based on surface-sediment assemblages. Freshw. Sci. 2013, 32, 1005–1025. [Google Scholar] [CrossRef]
- Katsiapi, M.; Moustaka-Gouni, M.; Sommer, U. Assessing ecological water quality of freshwaters: Phycol—A new phytoplankton community index. Ecol. Inf. 2016, 31, 22–29. [Google Scholar] [CrossRef]
- Petriki, O.; Lazaridou, M.; Bobori, D.C. A fish-based index for the assessment of the ecological quality of temperate lakes. Ecol. Indic. 2017, 78, 556–565. [Google Scholar] [CrossRef]
- Tsiaoussi, V.; Mavromatic, E.; Kemitzoglou, D. Report on the development of the national method for the assessment of the ecological status of natural lakes in Greece. In Using he Biological Quality Element “Phytoplankton”, 1st ed.; Greek Biotope/Wetland Centre and Special Secretariat for Waters, Ministry of Environment: Thermi, Greece, 2017. [Google Scholar]
- Zervas, D.; Tsiaoussi, V.; Tsiripidis, I. HeLM: A macrophyte-based method for monitoring and assessment of Greek lakes. Environ. Monit. Assess. 2018, 190, 326. [Google Scholar] [CrossRef] [PubMed]
- Lu, K.; Wu, H.; Xue, Z.; Lu, X.; Batzer, D.P. Development of a multi-metric index based on aquatic invertebrates to assess floodplain wetland condition. Hydrobiologia 2019, 827, 141–153. [Google Scholar] [CrossRef]
- Moyo, S.; Richoux, N.B. Macroinvertebrate functional organization along the longitudinal gradient of an austral temperate river. Afr. Zool. 2017, 52, 125–136. [Google Scholar] [CrossRef]
- Pallottini, M.; Cappelletti, D.; Fabrizi, A.; Gaino, E.; Goretti, E.; Selvaggi, R.; Cereghino, R. Macroinvertebrate functional trait responses to chemical pollution in agricultural landscapes. River Res. Appl. 2017, 33, 505–513. [Google Scholar] [CrossRef]
- White, J.C.; Hill, M.J.; Bickerton, M.A.; Wood, P.J. Macroinvertebrate taxonomic and trait compositions within lotic habitats affected by river restoration practices. Environ. Manag. 2017, 60, 513–525. [Google Scholar] [CrossRef] [PubMed]
- Edegbene, A.O.; Arimoro, F.O.; Odume, F.O. How does urban pollution influence macroinvertebrate traits in forested riverine systems? Water 2020, 12, 3111. [Google Scholar] [CrossRef]
- Arimoro, F.O.; Odume, O.N.; Uhunoma, S.I.; Edegbene, A.O. Anthropogenic impact on water chemistry and benthic macroinvertebrate associated changes in a southern Nigeria stream. Environ. Monit. Assess. 2015, 187, 1–14. [Google Scholar] [CrossRef]
- Zabbey, N.; Erondu, E.S.; Hart, A.I. Nigeria and the prospect of shrimp farming: Critical issues. Livest. Res. Rural. Dev. 2010, 22, 1–6. Available online: https://wwwlrrdorg/lrrd2%202/11/zabb2%202198htm (accessed on 9 August 2022).
- Edegbene, A.O.; Arimoro, F.O. Ecological Status of Owan River, Southern Nigeria Using Aquatic Insects as Bioindicators. J. Aquat. Sci. 2012, 27, 99–111. [Google Scholar]
- Gordon, N.D.; McMahon, T.A.; Finlayson, B.L. Stream Hydrology, an Introduction for Ecologists; John Wiley & Sons Ltd.: New York, NY, USA, 1994. [Google Scholar]
- APHA. Standard Methods for the Examination of Water and Wastewater; American Public Health Association: Washington, DC, USA, 1995. [Google Scholar]
- Lazorchak, J.M.; Klemm, D.J.; Peck, D.V. Environmental Monitoring and Assessment Program Surface Waters: Field Operations and Methods Manual for Measuring the Ecological Condition of Wadeable Streams; EPA 620/R-94/004F; Environmental Protection Agency: Washington, DC, USA, 1998. [Google Scholar]
- Day, J.A.; Harrison, A.D.; De Moor, I.J. Guides to the Freshwater Invertebrates of Southern Africa: Diptera; Water Research Commission: Pretoria, Southern Africa, 2003. [Google Scholar]
- de Moor, I.J.; Day, J.A.; de Moor, F.C. Guides to the Freshwater Invertebrates of Southern Africa. Volume 7: Insecta I. Ephemeroptera, Odonata and Plecoptera; Report No. TT207/03; Water Research Commission: Pretoria, South Africa, 2003. [Google Scholar]
- Merritt, R.W.; Cummins, K.W. An Introduction to the Aquatic Insects of North America; Kendall Hunt: St. Louis, MO, USA, 1996. [Google Scholar]
- Odume, O.N.; Palmer, C.G.; Arimoro, F.O.; Mensah, P.K. Chironomid assemblage structure and morphological response to pollution in an effluent-impacted river, Eastern Cape, South Africa. Ecol. Indic. 2016, 67, 391–402. [Google Scholar] [CrossRef]
- Edegbene, A.O.; Elakhame, L.A.; Arimoro, F.O.; Osimen, E.C.; Odume, O.N. Development of Macroinvertebrates Multimetric Index for Ecological Evaluation of a River in North Central Nigeria. Environ. Monit. Assess. 2019, 191, 274. [Google Scholar] [CrossRef]
- Oksanen, J.; Blanchet, D.; Minchin, P.R.; O’Hara, R.B.; Simpson, G.L.; Solymos, P.; Steven, M.H.M.; Szoecs, E.; Wagner, H. Vegan: Community Ecology Package. Published 04-02-2019, 11:50:04 UTC. 2019. Available online: https://cran.r-project.org; https://github.com/veganders/vegan (accessed on 11 February 2019).
- R Development Core Team. R Statistical Computing Environment; R Foundation for Statistical Computing: Vienna, Austria, 2019; ISBN 3-900051-07-0. [Google Scholar]
- Baptista, D.F.; Henriques-Oliveira, A.L.; Oliveira, R.B.S.; Mugnai, R.; Nessimian, J.L.; Buss, D.F. Development of a benthic multimetric index for Serra da Bocaina bioregion in Southeast Brazil. Braz. J. Biol. 2013, 73, 573–583. [Google Scholar] [CrossRef]
- Fierro, P.; Arismendi, I.; Hughes, R.M.; Valdovinos, C.; Jara-Flores, A. A benthic macroinvertebrate multimetric index for Chilean Mediterranean streams. Ecol. Indic. 2018, 91, 13–23. [Google Scholar] [CrossRef]
- Clarke, K.R.; Warwick, R.M. Change in Marine Communities: An Approach to Statistical Analysis and Interpretation; Plymouth Marine Laboratory: Plymouth, UK, 1994. [Google Scholar]
- Krynak, E.M.; Yates, A.G. Benthic invertebrates taxonomic and trait associations with land use intensively managed watershed: Implications for indicator identification. Ecol. Indic. 2018, 93, 1050–1059. [Google Scholar] [CrossRef]
- Chevenet, F.; Dolédec, S.; Chessel, D. A fuzzy coding approach for analysis of longterm ecological data. Freshw. Biol. 1994, 31, 295–309. [Google Scholar] [CrossRef]
- Baptista, D.F.; Buss, D.F.; Egler, M.; Giovanelli, A.; Silveira, M.P.; Nessimian, J.L. A multimetric index based on benthic macroinvertebrates for evaluation of Atlantic Forest streams at Rio de Janeiro State, Brazil. Hydrobiologia 2007, 575, 83–94. [Google Scholar] [CrossRef]
- Barbour, M.T.; Gerritsen, J.; Griffith, G.E.; Frydenbourg, R.; McCarron, E.; White, J.S.; Bastian, M.L. A framework for biological criteria for Florida streams using benthic macroinvertebrates. J. N. Am. Benthol. Soc. 1996, 15, 185–211. [Google Scholar] [CrossRef]
- Hammer, Ø.; Harper, D.A.T.; Ryan, P.D. PAST: Paleontological statistics software package for education and data analysis. Palaeontol. Electron. 2001, 4, 9. [Google Scholar]
- Edegbene, A.O. Developing Macroinvertebrate Trait-And Taxonomically-Based Approaches for Biomonitoring Wadeable Riverine Systems in the Niger Delta, Nigeria. Ph.D. Thesis, Rhodes University, Grahamstown, South Africa, 2020. [Google Scholar] [CrossRef]
- Aura, C.M.; Kimani, E.; Musa, S.; Kundu, R.; Njiru, J.M. Spatio-temporal macroinvertebrate multi-index of biotic integrity (MMiBI) for a coastal river basin: A case study of River Tana, Kenya. Ecohydrol. Hydrobiol. 2017, 17, 113–124. [Google Scholar] [CrossRef]
- Stoddard, J.L.; Herlihy, A.T.; Peck, D.V.; Hughes, R.M.; Whitter, T.R.; Tarquinio, E. A process for creating multimetric indices for large-scale aquatic surveys. J. N. Am. Benthol. Soc. 2008, 27, 878–891. [Google Scholar] [CrossRef]
- Huang, Q.; Gao, J.; Cai, Y.; Yin, H.; Gao, Y.; Zhao, J.; Liu, L.; Huang, J. Development and application of benthic macroinvertebrate-based multimetric indices for the assessment of streams and rivers in the Taihu Basin, China. Ecol. Indic. 2015, 48, 649–659. [Google Scholar] [CrossRef]
- Terra, B.F.; Hughes, R.M.; Francelinus, M.R.; Araujo, F.G. Assessment of biotic condition of Atlantic Rainforest Streams: A fish-based multimetric approach. Ecol. Indic. 2013, 34, 136–148. [Google Scholar] [CrossRef]
- Edegbene, A.O. Assessing the health of forested riverine systems in the Niger Delta area of Nigeria: A macroinvertebrate-based multimetric index approach. Environ. Sci. Pollut. Res. 2022, 29, 15068–15080. [Google Scholar] [CrossRef]
- Klemm, D.J.; Blocksom, K.A.; Fulk, F.A.; Herlihy, A.T.; Hughes, R.M.; Kaufmann, P.R.; Peck, D.V.; Stoddard, J.L.; Thoeny, W.T.; Griffith, M.B.; et al. Development and evaluation of a macroinvertebrate biotic integrity index (MBII) forregionally assessing Mid-Atlantic highlands streams. Environ. Manag. 2003, 31, 656–669. [Google Scholar] [CrossRef] [PubMed]
- Ganasan, V.; Hughes, R.M. Application of an index of biological integrity to fish assemblages of the rivers Khan and Kshipra, India. Freshw. Biol. 1998, 40, 367–383. [Google Scholar] [CrossRef]
- ter Braak, C.J.F. Ordination. In Data Analysis in Community and Landscape Ecology; Jongman, R.H.J., ter Braak, C.J.F., van Tongeren, O.F.R., Eds.; Cambridge University Press: Cambridge, UK, 1995. [Google Scholar]
- Legendre, P.; Legendre, L. Numerical Ecology. In Development in Environmental Modelling, 3rd ed.; Elsevier Science BV: Amsterdam, The Netherlands, 2012; Volume 24. [Google Scholar]
- Helson, J.E.; Williams, D.D. Development of a macroinvertebrate multimetric index for the assessment of low-land streams in the neotropics. Ecol. Indic. 2013, 29, 167–178. [Google Scholar] [CrossRef]
- Barbour, M.T.; Gerritsen, J.; Synder, B.D.; Stribling, J.B. Rapid Bioassessment Protocols for Use in Streams and Wadeable Rivers: Periphyton, Benthic Macroinvertebrates and Fish, 2nd ed.; EPA 841-B-99-002; Environmental Protection Agency, Office of Water: Washington, DC, USA, 1999. [Google Scholar]
- Suriano, M.T.; Fonseca-Gessner, A.A.; Roque, F.O.; Froehlich, C.G. Choice of macroinvertebrate metrics to evaluate stream conditions in Atlantic Forest, Brazil. Environ. Monit. Assess. 2011, 175, 87–101. [Google Scholar] [CrossRef]
- Pond, G.J.; Bailey, J.E.; Lowman, B.M.; Whitman, M.J. Calibration and validation of a regionally and seasonally stratified macroinvertebrate index for West Virginia wadeable streams. Environ. Monit. Assess. 2013, 185, 1515–1540. [Google Scholar] [CrossRef]
- Rizo-Patron, F.; Kumar, A.; Colton, M.B.; Springer, M.; Trama, F.A. Macroinvertebrate communities as bioindicators of water quality in conventional and organic irrigated rice fields in Guanacaste, Costa Rica. Ecol. Indic. 2013, 29, 68–78. [Google Scholar] [CrossRef]



| Metrics | Signal (N) | Noise (N) | S/N | Metric Status |
|---|---|---|---|---|
| Tri Abun | 285.3 | 171.4 | 1.66 | Rejected |
| EPT/Chi Abun | 27 | 56.6 | 0.48 | Rejected |
| %Odo | 47.5 | 30.2 | 1.57 | Rejected |
| %Chi | 222.31 | 131.54 | 1.69 | Rejected |
| %Chi+Oli | 256.5 | 19.9 | 12.89 | Retained |
| %Dip | 389.5 | 17.3 | 22.50 | Retained |
| %Mol+Dip | 409.1 | 19.3 | 21.20 | Retained |
| Col Rich | 4.75 | 2.3 | 2.07 | Retained |
| Col+Hem Rich | 10.42 | 5.27 | 1.97 | Rejected |
| Sha Div | 0.22 | 0.059 | 3.73 | Retained |
| Sim Div | 0.0028 | 0.00022 | 12.73 | Retained |
| Mar Ind | 2.37 | 1.33 | 1.78 | Rejected |
| Metrics | %Chi+Oli | %Dip | %Mol+Dip | Col Rich | Sim Div | Sha Div |
|---|---|---|---|---|---|---|
| %Chi+Oli | 0.00 | 2.14 × 10−7 | 2.14 × 10−7 | 0.89008 | 0.046107 | 0.079317 |
| %Dip | 0.8853 | 0.00 | 0.00 | 0.7111 | 0.038753 | 0.034475 |
| %Mol+Dip | 0.8853 | 1.00 | 0.00 | 0.7111 | 0.038753 | 0.034475 |
| Col Rich | −0.03302 | 0.088345 | 0.088345 | 0.00 | 0.018082 | 0.00906 |
| Sim Div | 0.45071 | 0.46519 | 0.46519 | 0.52258 | 0.00 | 1.77 × 10−11 |
| Sha Div | 0.4015 | 0.47461 | 0.47461 | 0.5675 | 0.96087 | 0.00 |
| Metrics | Percentiles | |
|---|---|---|
| 5th (Scoring Floor) | 95th (Scoring Ceiling) | |
| Trich Abun | 1.00 | 14.1 |
| %Chi+Oli | 1.27 | 15.20 |
| Col Rich | 3.95 | 8.00 |
| Sim Div | 0.91 | 0.96 |
| Sha Div | 2.70 | 3.50 |
Publisher’s Note: MDPI stays neutral with regard to jurisdictional claims in published maps and institutional affiliations. |
© 2022 by the authors. Licensee MDPI, Basel, Switzerland. This article is an open access article distributed under the terms and conditions of the Creative Commons Attribution (CC BY) license (https://creativecommons.org/licenses/by/4.0/).
Share and Cite
Edegbene, A.O.; Akamagwuna, F.C.; Odume, O.N.; Arimoro, F.O.; Edegbene Ovie, T.T.; Akumabor, E.C.; Ogidiaka, E.; Kaine, E.A.; Nwaka, K.H. A Macroinvertebrate-Based Multimetric Index for Assessing Ecological Condition of Forested Stream Sites Draining Nigerian Urbanizing Landscapes. Sustainability 2022, 14, 11289. https://doi.org/10.3390/su141811289
Edegbene AO, Akamagwuna FC, Odume ON, Arimoro FO, Edegbene Ovie TT, Akumabor EC, Ogidiaka E, Kaine EA, Nwaka KH. A Macroinvertebrate-Based Multimetric Index for Assessing Ecological Condition of Forested Stream Sites Draining Nigerian Urbanizing Landscapes. Sustainability. 2022; 14(18):11289. https://doi.org/10.3390/su141811289
Chicago/Turabian StyleEdegbene, Augustine Ovie, Frank Chukwuzuoke Akamagwuna, Oghenekaro Nelson Odume, Francis Ofurum Arimoro, Tega Treasure Edegbene Ovie, Ehi Constantine Akumabor, Efe Ogidiaka, Edike Adewumi Kaine, and Kehi Harry Nwaka. 2022. "A Macroinvertebrate-Based Multimetric Index for Assessing Ecological Condition of Forested Stream Sites Draining Nigerian Urbanizing Landscapes" Sustainability 14, no. 18: 11289. https://doi.org/10.3390/su141811289
APA StyleEdegbene, A. O., Akamagwuna, F. C., Odume, O. N., Arimoro, F. O., Edegbene Ovie, T. T., Akumabor, E. C., Ogidiaka, E., Kaine, E. A., & Nwaka, K. H. (2022). A Macroinvertebrate-Based Multimetric Index for Assessing Ecological Condition of Forested Stream Sites Draining Nigerian Urbanizing Landscapes. Sustainability, 14(18), 11289. https://doi.org/10.3390/su141811289

