Sign in to use this feature.

Years

Between: -

Subjects

remove_circle_outline
remove_circle_outline
remove_circle_outline
remove_circle_outline
remove_circle_outline
remove_circle_outline
remove_circle_outline
remove_circle_outline
remove_circle_outline

Journals

Article Types

Countries / Regions

Search Results (89)

Search Parameters:
Keywords = Trichoptera

Order results
Result details
Results per page
Select all
Export citation of selected articles as:
10 pages, 1129 KB  
Article
Automated μFTIR Imaging Demonstrates Variability in Microplastic Ingestion by Aquatic Insects in a Remote Taiwanese Mountain Stream
by Yu-Cheng Wu, Chun-Hsuan Wei, Ming-Chih Chiu, Yu-Cheng Chen, Mei-Hwa Kuo and Vincent H. Resh
Environments 2026, 13(1), 3; https://doi.org/10.3390/environments13010003 - 19 Dec 2025
Viewed by 812
Abstract
The use of focal plane array micro-Fourier transform infrared spectroscopy (FPA-μFTIR) enables high-resolution characterization of microplastics (MPs) in a wide variety of matrices, including both biotic and abiotic samples. However, this technique has not yet been applied to study MP ingestion in organisms [...] Read more.
The use of focal plane array micro-Fourier transform infrared spectroscopy (FPA-μFTIR) enables high-resolution characterization of microplastics (MPs) in a wide variety of matrices, including both biotic and abiotic samples. However, this technique has not yet been applied to study MP ingestion in organisms in areas with low MP pollution (e.g., national parks or protected areas). In this study, FPA-μFTIR was used to quantify MPs in the bodies of aquatic insects collected from a high-altitude stream (~2000 m) in Taiwan. Results showed that MP ingestion occurred in nearly all examined taxa, except for caddisfly (Trichoptera: Stenopsychidae) and dragonfly (Odonata: Gomphidae). The majority of MPs were smaller than 500 μm, and the dominant MP polymers identified were polyethylene (65%) and polypropylene (30%), which occurred mainly as fragments (83%) and, to a lesser extent, as fibers (17%). The highest number of MP particles was in the scraper functional-feeding group (FFG), while MPs were not detectable in collector–filterer FFG. The highest MP concentration (particles/individuals) was found in the waterpenny beetle Ectopria sp., followed by the mayflies Paraleptophlebia sp. and Epeorus erratus, and Chironomidae in the subfamily Tanypodinae. We suggest that using high-resolution FPA-μFTIR can be effectively applied to study and monitor MP ingestion in remote, pristine ecosystems. Full article
(This article belongs to the Special Issue Ecotoxicity of Microplastics)
Show Figures

Figure 1

18 pages, 1672 KB  
Article
Trophic Relationships of Coregonid and Percid Fishes Evaluated by the Stomach Content and Stable Isotopes in Subarctic Lake Imandra
by Nadezhda A. Berezina, Piotr M. Terentjev, Elena M. Zubova and Sergey M. Tsurikov
Fishes 2025, 10(12), 644; https://doi.org/10.3390/fishes10120644 - 14 Dec 2025
Viewed by 319
Abstract
Fish communities undergo climate-induced shifts; it is crucial to study the trophic interactions of various fish species in order to understand the extent to which fish trophic niches overlap and the degree of competition between them. We investigated the food web structure, feeding [...] Read more.
Fish communities undergo climate-induced shifts; it is crucial to study the trophic interactions of various fish species in order to understand the extent to which fish trophic niches overlap and the degree of competition between them. We investigated the food web structure, feeding habits, and trophic positions of common fish in the subarctic Lake Imandra. Two methods were used: SCA (stomach content analysis) and SIA (stable isotope analysis). Perch (Perca fluviatilis) and whitefish (Coregonus lavaretus, large sparsely rakered morph) had similar trophic positions (TP = 3.69 ± 0.55 and 3.67 ± 0.55, respectively; p > 0.05); both species were generalists. The diet similarity (the index of relative importance of food items in stomach contents) of perch and whitefish was 48%, with aquatic insects (Trichoptera) being common items in both fish. According to carbon isotope values (δ13C), vendace (Coregonus albula), smelt (Osmerus eperlanus), and burbot (Lota lota) were more closely related with pelagic food sources (δ13C ranged from −27 to −25‰), whereas perch, whitefish, and ruffe (Gymnocephalus cernua) were more fuelled by benthic food web compartments (δ13C ranged from −24 to −21‰). The highest average nitrogen values (δ15N) were found in smelt and ruffe, 15.0 ± 0.7‰ and 14.2 ± 1.9‰, respectively. Perch and whitefish overlap significantly in their isotopic composition (δ13C and δ15N), demonstrating 36% overlap in the combined 40% ellipses (according to Stable Isotope Bayesian Ellipses in R) of the isotopic space. This study confirms the existence of distinct food competition between these two species in a subarctic lake. Full article
(This article belongs to the Section Biology and Ecology)
Show Figures

Figure 1

16 pages, 1126 KB  
Article
Food, Growth and Biological Production of the European Eel, Anguilla anguilla, in a Small Stream in Jutland, Denmark
by Gorm Rasmussen, Birgit M. Therkildsen and Michael I. Pedersen
Hydrobiology 2025, 4(4), 33; https://doi.org/10.3390/hydrobiology4040033 - 12 Dec 2025
Viewed by 329
Abstract
Yellow eels were sampled by electrofishing in 1979, 1980, and 1981 in Vester Vedsted Stream, Denmark, which has as its outlet to the North Sea. Yellow eels were aged by burning the otoliths. The gender of the eels was not specified, and they [...] Read more.
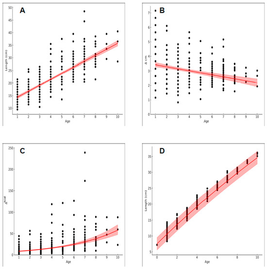
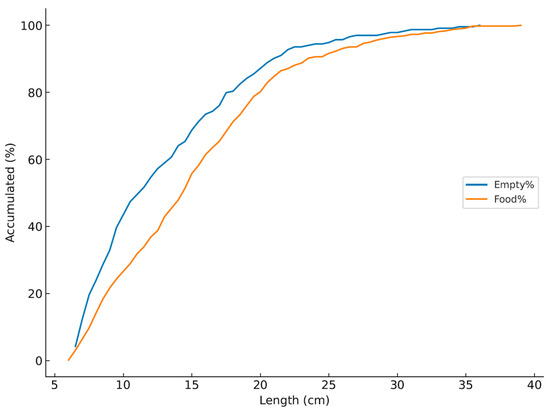
Yellow eels were sampled by electrofishing in 1979, 1980, and 1981 in Vester Vedsted Stream, Denmark, which has as its outlet to the North Sea. Yellow eels were aged by burning the otoliths. The gender of the eels was not specified, and they varied from 6.5 to 48.5 cm in length. The ages varied from 0+ to 10+ years. The annual growth rate Δ varied from 3.4 cm for the youngest eels to 2.2 cm for eels over 10 years old, with a mean of 3.1 cm. Body mass wet weight was correlated to energy content (kcal), with an annual mean growth rate Δ of 5.33 kcal. In contrast to body length, the annual growth rate Δ of energy content (kcal) increased with age. Von Bertalanffy growth trajectory (cm) of length-at-age was calculated, and L∞ = 118.4 cm. Annual natural mortality M was calculated, and M was significantly dependent on body mass, i.e., high M at low body mass vs. low M at high body mass. The biological production was calculated to be 13.5 g wet weight m−2 per year. A total of 780 eel stomachs were analyzed, 287 (37%) of which were empty. Mass (wet weight, g) of food content increased more than proportionally with eel body mass. Chironomid larvae, Ephemeroptera nymphs, Simulium larvae, and Gammarus pulex were the dominant food taxa, followed by Trichoptera larvae. The size of Chironomid larvae, Ephemeroptera nymphs, and Simulium larvae prey was independent of the length of the eel, whereas the size of Gammarus pulex increased with increased eel length. Full article
Show Figures

Figure 1

13 pages, 7686 KB  
Article
Amazonian Discovery Sheds Light on the Evolution of Caenocentron Schmid, 1982 (Trichoptera: Xiphocentronidae): Phylogenetic Placement and Description of a New Species
by Gleison R. Desidério, Albane Vilarino, Laissa da Silva dos Santos, Pitágoras C. Bispo and Neusa Hamada
Insects 2025, 16(12), 1188; https://doi.org/10.3390/insects16121188 - 22 Nov 2025
Viewed by 636
Abstract
Caenocentron was previously hypothesized to have originated in Mesoamerica from Xiphocentronidae ancestors that dispersed from Asia to the Americas during Eocene hyperthermal events. Under this scenario, the genus underwent early diversification in Mesoamerica and reached South America only during the late Miocene, following [...] Read more.
Caenocentron was previously hypothesized to have originated in Mesoamerica from Xiphocentronidae ancestors that dispersed from Asia to the Americas during Eocene hyperthermal events. Under this scenario, the genus underwent early diversification in Mesoamerica and reached South America only during the late Miocene, following the uplift and connection of Central America. However, the discovery of Caenocentron roosevelt sp. nov. in savanna areas of the Brazilian Amazon significantly revises this understanding. A morphology-based parsimony analysis of Caenocentron and related xiphocentronids (26 taxa, 46 characters) recovered C. roosevelt sp. nov. as the sister species to all other members of the genus. This placement implies that Caenocentron was in South America far earlier than previously inferred, likely by the late Oligocene. Caenocentron roosevelt sp. nov. is distinguished by the following combination of characters: the absence of a setose ventral projection on the coxopodite (present in all other congeners), the presence of apical lobes on tergum IX (reduced in other species), paired digitate lobes beneath the posterior margin of tergum IX (otherwise found only in one Nearctic species), and a distinct line of robust setae along the apical projection of the coxopodite (absent in other species). Additionally, a key to the males of all 10 currently recognized species of Caenocentron is provided. Full article
(This article belongs to the Section Insect Systematics, Phylogeny and Evolution)
Show Figures

Figure 1

15 pages, 2060 KB  
Article
High Density of Microplastics in the Caddisfly Larvae Cases
by Eliana Barra, Francesco Cicero, Irene Magliocchetti, Patrizia Menegoni, Maria Sighicelli, Alberto Di Ludovico, Marco Le Foche and Loris Pietrelli
Environments 2025, 12(10), 368; https://doi.org/10.3390/environments12100368 - 8 Oct 2025
Viewed by 1252
Abstract
This study aimed to assess the presence of microplastics (MPs) in an urban river (Gari, Lazio, Italy) using case-building caddisfly larvae as potential bioindicators. Results from the benthic faunal assemblage (STAR_ICMi = 0.797) revealed the presence of a rich and well-diversified macroinvertebrate community, [...] Read more.
This study aimed to assess the presence of microplastics (MPs) in an urban river (Gari, Lazio, Italy) using case-building caddisfly larvae as potential bioindicators. Results from the benthic faunal assemblage (STAR_ICMi = 0.797) revealed the presence of a rich and well-diversified macroinvertebrate community, thus reflecting a suitable ecological status. Of 279 caddisfly cases collected, 26% contained small plastic particles of various shapes and colours, while 542 MP items per m2 were found in their substrate. Polyvinyl chloride (PVC) and Polyethylene terephthalate (PET) were the most abundant polymers identified by FT-IR analysis found in the Gari River, while the co-presence of lower-density polymers such as polystyrene (PS) and polyethylene (PE) or polypropylene (PP) reflects the contribution of multiple factors controlling MP deposition. The most abundant MPs were of secondary origin, as evidenced by the Carbonyl Index and the predominant shape. Despite the amounts of MPs found in the Gari River, their ecological and chemical status has been classified as “good” during the monitoring campaigns. These results highlight the need to further investigate the environmental impacts of MPs to implement water quality classification indices. Full article
(This article belongs to the Special Issue Editorial Board Members’ Collection Series: Plastic Contamination)
Show Figures

Figure 1

14 pages, 5155 KB  
Article
On Brazilian Finger-Net Caddisfly Chimarra Stephens, 1829 (Trichoptera: Philopotamidae), I: Two New Species of Chimarra (Curgia) Walker, 1860 from the Caatinga and Cerrado Biomes, Northeastern Brazil
by Lucas Moreno, Gleison R. Desidério, Wagner R. M. Souza, Vitória Santana, Pitágoras C. Bispo and Lucas R. C. Lima
Taxonomy 2025, 5(3), 44; https://doi.org/10.3390/taxonomy5030044 - 21 Aug 2025
Viewed by 1487
Abstract
Despite being the subgenus with the highest number of species within Chimarra Stephens, 1829 in Brazil, information about Chimarra (Curgia) Walker, 1980 is scarce in the Brazilian semi-arid region. Beyond the discussion about the quantity of species reported for this region, [...] Read more.
Despite being the subgenus with the highest number of species within Chimarra Stephens, 1829 in Brazil, information about Chimarra (Curgia) Walker, 1980 is scarce in the Brazilian semi-arid region. Beyond the discussion about the quantity of species reported for this region, there is also a temporal gap concerning original descriptions of this subgenus in Brazil. Thus, 15 years after the last description of C. (Curgia) in Brazil, we diagnosed, described, and illustrated two new species based on adult males collected in the Caatinga and Cerrado biomes in the state of Piauí, viz., Chimarra (Curgia) opala sp. nov. and Chimarra (Curgia) prata sp. nov. They can be recognized mainly by the morphology of tergum X, preanal appendage, and phallotheca spines. Moreover, they do not conform to the characteristics of any species group traditionally known in the genus. While sharing similarities with the species compared in this study, these comparisons are limited to isolated characters and do not encompass all the features representing the groups of their respective species. Full article
Show Figures

Figure 1

13 pages, 7861 KB  
Article
On Andean Long-Horned Caddisfly Brachysetodes Schmid, 1955 (Trichoptera: Leptoceridae): Discovery of a New Species, Distribution, and an Identification Key
by Gleison R. Desidério, Vitória Santana, Neusa Hamada, Diego G. Pádua, Rodrigo O. Araujo, Andrés Moreira-Muñoz and Pitágoras C. Bispo
Insects 2025, 16(8), 832; https://doi.org/10.3390/insects16080832 - 12 Aug 2025
Viewed by 1511
Abstract
The long-horned caddisfly Brachysetodes Schmid, 1955 (Leptoceridae: Leptocerinae) is a small genus endemic to the Andean region, especially Chile. Four decades after the last taxonomic revision, a new species, Brachysetodes tricahue Desidério, Santana & Hamada sp. nov., is described and illustrated based on [...] Read more.
The long-horned caddisfly Brachysetodes Schmid, 1955 (Leptoceridae: Leptocerinae) is a small genus endemic to the Andean region, especially Chile. Four decades after the last taxonomic revision, a new species, Brachysetodes tricahue Desidério, Santana & Hamada sp. nov., is described and illustrated based on adult males collected from Parque Natural Tricahue in the central subregion of the Chilean Andes. Specimens were examined through genital dissection using heated KOH, photographed with a digital camera mounted on microscopes, and described using the DELTA system. A distribution map was produced in QGIS based on GBIF data and literature records, and an updated identification key for males of the ten known species of Brachysetodes sensu stricto is presented. B. tricahue sp. nov. closely resembles B. bifurcatus and B. nublensis, sharing key features such as paired lateral processes on tergum X and tripartite inferior appendages. However, it can be distinguished by its unique combination of genital features, including unequal lengths of the three processes of the inferior appendage. This discovery emphasizes the underexplored diversity of the Southern Andes and contributes to refining the taxonomy and biogeography of the genus. It also provides a framework for future phylogenetic studies incorporating immature stages and molecular data. Full article
(This article belongs to the Section Insect Systematics, Phylogeny and Evolution)
Show Figures

Figure 1

17 pages, 7833 KB  
Article
Two-Year Post-Fire Abundance of Arthropod Groups Across Different Types of Forest in Temperate Central Europe
by Václav Zumr, Oto Nakládal and Jiří Remeš
Fire 2025, 8(8), 305; https://doi.org/10.3390/fire8080305 - 2 Aug 2025
Cited by 2 | Viewed by 1682
Abstract
Forest fires are commonly regarded as negative for ecosystems; however, they also represent a major ecological force shaping the biodiversity of invertebrates and many other organisms. The aim of this study was to better understand how multiple groups of invertebrates respond to wildfire [...] Read more.
Forest fires are commonly regarded as negative for ecosystems; however, they also represent a major ecological force shaping the biodiversity of invertebrates and many other organisms. The aim of this study was to better understand how multiple groups of invertebrates respond to wildfire across different forest types in Central Europe. The research was conducted following a large forest fire (ca. 1200 ha) that occurred in 2022. Data were collected over two years (2023 and 2024), from April to September. The research was conducted in coniferous forests and included six pairwise study types: burnt and unburnt dead spruce (bark beetle affected), burnt and unburnt clear-cuts, and burnt and unburnt healthy stands. In total, 96 traps were deployed each year. Across both years, 220,348 invertebrates were recorded (1.Y: 128,323; 2.Y: 92,025), representing 24 taxonomic groups. A general negative trend in abundance following forest fire was observed in the groups Acari, Auchenorhyncha, Blattodea, Dermaptera, Formicidae, Chilopoda, Isopoda, Opiliones, and Pseudoscorionida. Groups showing a neutral response included Araneae, Coleoptera, Collembola, Diplopoda, Heteroptera, Psocoptera, Raphidioptera, Thysanoptera, and Trichoptera. Positive responses, indicated by an increase in abundance, were recorded in Hymenoptera, Orthoptera, Lepidoptera, and Diptera. However, considerable differences among management types (clear-cut, dead spruce, and healthy) were evident, as their distinct characteristics largely influenced invertebrate abundance in both unburnt and burnt variants of the types across all groups studied. Forest fire primarily creates favorable conditions for heliophilous, open-landscape, and floricolous invertebrate groups, while less mobile epigeic groups are strongly negatively affected. In the second year post-fire, the total invertebrate abundance in burnt sites decreased to 59% of the first year’s levels. Conclusion: Forest fire generates a highly heterogeneous landscape from a regional perspective, creating unique ecological niches that persist more than two years after fire. For many invertebrates, successional return toward pre-fire conditions is delayed or incomplete. Full article
Show Figures

Figure 1

12 pages, 4674 KB  
Article
Linking Riparian Forest to the Functional Diversity of Ephemeroptera, Plecoptera, and Trichoptera in First-Order Tropical Streams
by Diego Simeone and Marcus E. B. Fernandes
Diversity 2025, 17(7), 438; https://doi.org/10.3390/d17070438 - 20 Jun 2025
Cited by 1 | Viewed by 912
Abstract
Riparian forests are important for maintaining aquatic biodiversity, yet they face increasing pressure from logging activities. This study assessed the functional diversity of Ephemeroptera, Plecoptera, and Trichoptera (EPT) in 30 Amazonian first-order streams across three riparian forests: pristine, selectively logged, and conventionally logged. [...] Read more.
Riparian forests are important for maintaining aquatic biodiversity, yet they face increasing pressure from logging activities. This study assessed the functional diversity of Ephemeroptera, Plecoptera, and Trichoptera (EPT) in 30 Amazonian first-order streams across three riparian forests: pristine, selectively logged, and conventionally logged. We evaluated four habitat attributes linked to ecosystem functioning (canopy cover, water temperature, sediment organic matter, and small woody debris) and calculated two indices of functional diversity: richness and divergence. Functional diversity was highest in pristine streams, intermediate in selectively logged streams, and lowest in conventionally logged streams. Functional richness and divergence declined significantly in conventionally logged forests, indicating a loss of ecological traits and potential reductions in ecosystem functions. We also observed that canopy cover, sediment organic matter, and woody debris were positively associated with EPT functional diversity, while water temperature had a negative association. These findings highlight that conventional logging leads to the functional homogenization of aquatic insect assemblages, compromising key ecological processes. Selective logging that maintains riparian buffers may preserve functional diversity, even though these differences may be influenced by site-specific environmental conditions. Our results underscore the importance of conserving riparian integrity to sustain the resilience and functioning of tropical stream ecosystems in logged landscapes. Full article
Show Figures

Graphical abstract

12 pages, 4074 KB  
Article
Phylogenetic Analysis of the Family Lepidostomatidae (Trichoptera: Integripalpia) Using Whole Mitochondrial Genomes
by Xinyu Ge, Jingyuan Wang, Zhen Deng, Lu Chai, Wei Cao, Wenbin Liu, Jiwei Zhang and Chuncai Yan
Insects 2025, 16(5), 536; https://doi.org/10.3390/insects16050536 - 19 May 2025
Viewed by 1199
Abstract
Lepidostomatidae is a relatively large family of the infraorder Plenitentoria (Integripalpia), comprising four fossil genera and seven extant genera. Lepidostomatid adults exhibit pronounced sexual dimorphism and have thus been referred to as the ‘cabinet of curiosities’ within Trichoptera. However, only five annotated mitogenomes [...] Read more.
Lepidostomatidae is a relatively large family of the infraorder Plenitentoria (Integripalpia), comprising four fossil genera and seven extant genera. Lepidostomatid adults exhibit pronounced sexual dimorphism and have thus been referred to as the ‘cabinet of curiosities’ within Trichoptera. However, only five annotated mitogenomes of Lepidostoma have been recorded in the GeneBank database, and some of these mitogenomes are incomplete. To better understand the structure of mitogenome and phylogenetic relationships of Lepidostomatidae, we present mitogenomes of 13 Lepidostoma species and one Paraphlegopteryx species for the first time. We combined these new mitogenomes with previously published data for a comparative analysis. The results showed that the structure of mitogenome was relatively conserved, the nucleotide composition was significantly AT biased, and the control region showed the highest A + T content. Evolutionary rate analysis showed that all protein-coding genes underwent purification selection. The phylogenetic relationships supported the monophyly of Lepidostomatidae and restored the taxonomic positions of the two subfamilies. Meanwhile, two monophyletic branches (Lepidostoma ferox branch and Lepidostoma hirtum branch) within the genus Lepidostoma were also strongly supported. These findings significantly advance our understanding of the mitogenome and phylogeny of Lepidostomatidae. Full article
(This article belongs to the Section Insect Systematics, Phylogeny and Evolution)
Show Figures

Figure 1

15 pages, 2959 KB  
Article
How Land Use and Hydrological Characteristics Impact Stream Conditions in Impaired Ecosystems
by Se-Rin Park, Yujin Park, Jong-Won Lee, Hyunji Kim, Kyung-A You and Sang-Woo Lee
Land 2025, 14(4), 829; https://doi.org/10.3390/land14040829 - 10 Apr 2025
Cited by 1 | Viewed by 1181
Abstract
Anthropogenic influence has altered watershed environments and hydrological processes, leading to increased occurrences of impaired streams and negative impacts on benthic invertebrates. While individual environmental factors affecting benthic macroinvertebrates have been studied, the cascading effects of land use change and hydrological alterations remain [...] Read more.
Anthropogenic influence has altered watershed environments and hydrological processes, leading to increased occurrences of impaired streams and negative impacts on benthic invertebrates. While individual environmental factors affecting benthic macroinvertebrates have been studied, the cascading effects of land use change and hydrological alterations remain unclear. This study employed structural equation modeling (SEM) to analyze the interactions among land use proportion, hydrological characteristics, substrate composition, and water quality and their influence on benthic macroinvertebrate communities in impaired streams upstream of the Paldang Dam in the Han River Basin, South Korea. Analysis of data from 24 streams surveyed between 2018 and 2022—3 or 6 streams per year—under the Impaired Stream Diagnosis Program indicated that urban and agricultural land cover, low substrate diversity, high pollutant concentrations, and altered flow conditions (low velocity and discharge) were associated with decreased pollution-sensitive Ephemeroptera, Plecoptera, and Trichoptera (EPT) taxa and increased pollution-tolerant and collector–gatherer taxa. These findings highlight the role of land use-driven hydrological changes in stream ecosystem degradation and underscore the need for targeted restoration strategies, such as riparian buffer zones, substrate enhancement, and hydrological flow restoration, to mitigate these impacts and improve benthic macroinvertebrate habitats. Full article
Show Figures

Figure 1

19 pages, 2660 KB  
Article
Seasonal Dynamics and Factors Shaping Aquatic Insect Assemblages in Mountain Streams of the Pannonian Lowland Ecoregion
by Viktorija Ergović, Dubravka Čerba, Bojana Tubić, Boris Novaković, Miran Koh and Zlatko Mihaljević
Insects 2025, 16(4), 344; https://doi.org/10.3390/insects16040344 - 26 Mar 2025
Cited by 2 | Viewed by 2069
Abstract
This study focused on the aquatic insect orders that serve as biological indicators. Ephemeroptera, Plecoptera, Trichoptera, Coleoptera, and Odonata were studied with their relationships to physical, chemical, hydrological and morphological variables in 14 streams on three Croatian mountains: Papuk, Medvednica and Psunj. From [...] Read more.
This study focused on the aquatic insect orders that serve as biological indicators. Ephemeroptera, Plecoptera, Trichoptera, Coleoptera, and Odonata were studied with their relationships to physical, chemical, hydrological and morphological variables in 14 streams on three Croatian mountains: Papuk, Medvednica and Psunj. From 675 samples collected in three dominant sediment microhabitats (e.g., macrolithal and mesolithal) in each stream, we identified 130 macroinvertebrate taxa. The most abundant group was Ephemeroptera (36 taxa). Aquatic insect assemblages between Papuk and Psunj showed higher similarity due to the geographical proximity of these two mountains, which is expressed as spatial connectivity. In spring, greater variability and diversity of investigated aquatic insects were observed due to the phenology of studied insects. The combination of environmental and morphological properties (e.g., oxygen concentration and substrate type) had the most significant influence on shaping the assemblage of aquatic insects of Psunj, while morphological properties were the most important in shaping aquatic insect assemblages on Papuk (e.g., streambed width) and Medvednica (e.g., elevation). Baetis sp. was the dominant taxon in summer, Protonemura montana in spring, and Leuctra sp. in autumn. Seasonal shifts in environmental conditions lead to functionally unique communities that utilize the pool of available seasonal resources. The dominance of feeding groups varied by season, with scrapers and collector–gatherers being most prevalent in summer, while shredders were dominant in spring. The results on the relationships between environmental characteristics and species richness, functional structure, and distribution of aquatic insects in mountain streams provide important clues for future research and conservation strategies in these vulnerable ecosystems. Full article
(This article belongs to the Special Issue Aquatic Insects: Diversity, Ecology and Evolution)
Show Figures

Figure 1

18 pages, 4678 KB  
Article
Biological Evaluation of Water Quality with the BMWP Index in a Section of the Tlapaneco River Affected by Two Rural Communities in the Guerrero Mountains, Mexico
by Aide Pantiga-Tapia, José Luis Rosas-Acevedo, María Guzmán-Martínez, José Alberto Solís-Navarrete, Ramón Bedolla-Solano and Karla Rosalba Anzaldúa-Soulé
Environments 2025, 12(3), 91; https://doi.org/10.3390/environments12030091 - 14 Mar 2025
Cited by 1 | Viewed by 2178
Abstract
Anthropic activities such as agriculture, livestock, and wastewater discharges affect water quality in the Tlapaneco River in the mountain region of the state of Guerrero, México, which is a tributary of the Balsas. The river flows from the mountain region and discharges into [...] Read more.
Anthropic activities such as agriculture, livestock, and wastewater discharges affect water quality in the Tlapaneco River in the mountain region of the state of Guerrero, México, which is a tributary of the Balsas. The river flows from the mountain region and discharges into the Pacific Ocean; the water resource in the localities mentioned is used for agriculture, recreation, and domestic activities. The aim of this study was to evaluate water quality in the stretch of influence of two localities, Patlicha and Copanatoyac. The instrument used was the Biological Monitoring Working Party biotic index (BMWP) and physicochemical parameters. Nine sampling sites were selected according to the perception of the local community with respect to disturbance; the study area was divided into three parts: high, medium, and low. Twenty-seven collections of macroinvertebrates and water were analyzed, in dry and rainy seasons, through the presence–absence of these organisms and physicochemical analysis, to evaluate water quality. The results showed that the conditions of the riverbed associated with daily activities and domestic discharges are important factors in the composition of the families. Water quality was very poor to regular, according to the macroinvertebrate assemblages collected. The BMWP index was of acceptable quality when the orders (Family) Ephemeroptera (Leptohyphidae; Leptophlebiidae; Baetidae; Ephemerellidae), Diptera (Chironomidae; Simulidae), Trichoptera (Hydropsychidae), Hemiptera (Veliidae; Corixidae), Coleoptera (Hydrophylidae), and Odonata (Lestidae) were present; in sites with poor quality, the families Chironomidae, Leptophlebiidae, Veliidae, Corixidae, Hydropsychidae, Leptohyphidae, Hydrophilidae, Baetidae, and Simuliidae were found, while in very poor quality water, only family Corixidae was present. Full article
Show Figures

Figure 1

20 pages, 2618 KB  
Article
Impact of Environmental Factors of Stream Ecosystems on Aquatic Invertebrate Communities
by Jong-Won Lee, Sang-Woo Lee, Heera Lee and Se-Rin Park
Sustainability 2025, 17(3), 1252; https://doi.org/10.3390/su17031252 - 4 Feb 2025
Cited by 6 | Viewed by 4034
Abstract
Understanding the responses of stream ecosystems to environmental disturbances is essential for maintaining and restoring healthy ecosystems. In this study, we analyzed the associations between benthic macroinvertebrate communities and environmental factors using machine learning approaches to identify key stressors potentially influencing stream ecosystem [...] Read more.
Understanding the responses of stream ecosystems to environmental disturbances is essential for maintaining and restoring healthy ecosystems. In this study, we analyzed the associations between benthic macroinvertebrate communities and environmental factors using machine learning approaches to identify key stressors potentially influencing stream ecosystem health. Various machine learning models were evaluated, with random forest (RF) and gradient boosting machine (GBM) identified as the optimal models for predicting tolerant species (TS) and Ephemeroptera, Plecoptera, and Trichoptera (EPT) species densities. SHAP analysis revealed that watershed variables, such as elevation, flow velocity, and slope, significantly influenced EPT and TS populations. EPT population density increased with elevation and flow velocity but decreased significantly with higher levels of biochemical oxygen demand (BOD), total nitrogen (TN), and agricultural land-use proportions, with negative effects becoming evident beyond threshold levels. Conversely, TS population density showed a positive response to elevated BOD, TN, and agricultural land-use proportions, stabilizing at the threshold levels of BOD and TN, but continuing to increase with greater agricultural land use. Through machine learning, this study provides critical insights into how environmental variables are associated with the distribution of benthic macroinvertebrate communities. By identifying threshold levels of key stressors, this approach offers actionable guidance for managing agricultural runoff, enhancing riparian buffers, and implementing sustainable land-use practices. These findings contribute to the development of integrated watershed management strategies that promote the long-term sustainability of stream ecosystems. Full article
Show Figures

Figure 1

21 pages, 3159 KB  
Article
Recovery of Streams in the Harz National Park (Germany)—The Attenuation of Acidification
by Uta Langheinrich, Kilian E. C. Smith, Jose Ramon Arevalo, Fabian Schwarz and Volker Lüderitz
Ecologies 2025, 6(1), 13; https://doi.org/10.3390/ecologies6010013 - 2 Feb 2025
Viewed by 3502
Abstract
Between 1995 and 2022, 19 measuring points in small and medium sized streams in the Harz National Park, Germany, were sampled. The samples were evaluated in terms of their macroinvertebrate (MI) biology and hydrochemistry. Nearly all streams showed a natural hydromorphology, and low [...] Read more.
Between 1995 and 2022, 19 measuring points in small and medium sized streams in the Harz National Park, Germany, were sampled. The samples were evaluated in terms of their macroinvertebrate (MI) biology and hydrochemistry. Nearly all streams showed a natural hydromorphology, and low values of biological oxygen demand (BOD) characteristic for rivers not contaminated by organic matter. Nevertheless, in the 1990s, most streams were still only settled by a small number of MI species. However, by 2022, the MI species number had doubled or tripled in most cases, with a maximum increase from 14 to 52. There is a clear correlation between species number and pH. At 15 of the 19 sampling sites, the acidity class has gotten better by at least one value. Thus, acid-sensitive species, mainly from the taxonomic orders Trichoptera, Plecoptera, and Ephemeroptera, have been able to settle higher altitudes, as well as formerly acidic reaches. In general, the streams contain a very specific macroinvertebrate fauna that emphasizes the conservation value of the Harz National Park. Attenuation of acidification has not only influenced the MI diversity. Along with the increase in pH, fish populations have recovered, and formerly fish-free stream sections have been recolonised. The biological recovery of the streams has also been fostered by the breakdown of spruce forest monocultures in the surroundings, the natural development of deciduous trees on the banks, and increasing levels of DOC (dissolved organic carbon). Full article
Show Figures

Figure 1

Back to TopTop