Multi-Stage Incentive-Based Demand Response Using a Novel Stackelberg–Particle Swarm Optimization
Abstract
:1. Introduction
2. Problem Formulation of IBDR with One SP and Two Customers: Case 1
- a.
- Customer model
- b.
- Service provider model
- c.
- Stackelberg game formulation and analysis
- d.
- Optimal solution for customers
- e.
- Optimal solution for the service provider
3. Problem Formulation of IBDR with GO, ICs, SPs and Consumers: Case 2
- a.
- Industrial consumer model
- b.
- Service provider model
- c.
- Grid operator model
- d.
- Stackelberg game formulation and analysis
- f.
- Optimal solution for the service provider and its customers
- h.
- Stackelberg distributed algorithm
- Step 1: for the iteration m = m + 1;
- Step 2: update the value of usingwhere
- Step 3: the value of and are updated from Equations (27) and (32), respectively, and the value;
- Step 4: with the values found in step 3, the value of is calculated as follows:
- Step 5: f and , then update the values of GO as and ;
- Step 6: end if;
- Step 7: end for;
- Step 8: these steps are repeated until the condition shown in (43)
- Step 9: the equilibrium is reached when the value of does not decrease further.
4. Optimization Technique
- Step 1: initialize a set of particles in the search space;
- Step 2: each particle will have a position and velocity. Initially, we generate the positions randomly based on the minimum and maximum limits of the variables shown in Table 2;
- Step 3: for each particle, evaluate the incentives and utility function (objective) as per Equations (13), (16), (18) and (21), and in the entities, each particle will have a position and velocity;
- Step 4: store the local and global best values (pbest and gbest);
- Step 5: if the utility function for the new particle changes, based on maximization or minimization of the problem, update the pbest and gbest values;
- Step 6: update the inertia weight factor by using w = w × wdamp;
- Step 7: update the position and velocity of the particle. The velocity update is given in (44);Velocity = w × velocity + C1 × rand () × Pbest + C2 × rand () × gbest
- Step 8: velocity clamping is performed to maintain the velocity of the particle within the limit;
- Step 9: check the termination condition; if satisfied, stop; else, go to Step 3.
5. Results and Discussions
- a.
- Results of Case 1 with one SP and two customers
- b.
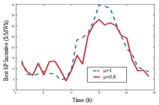
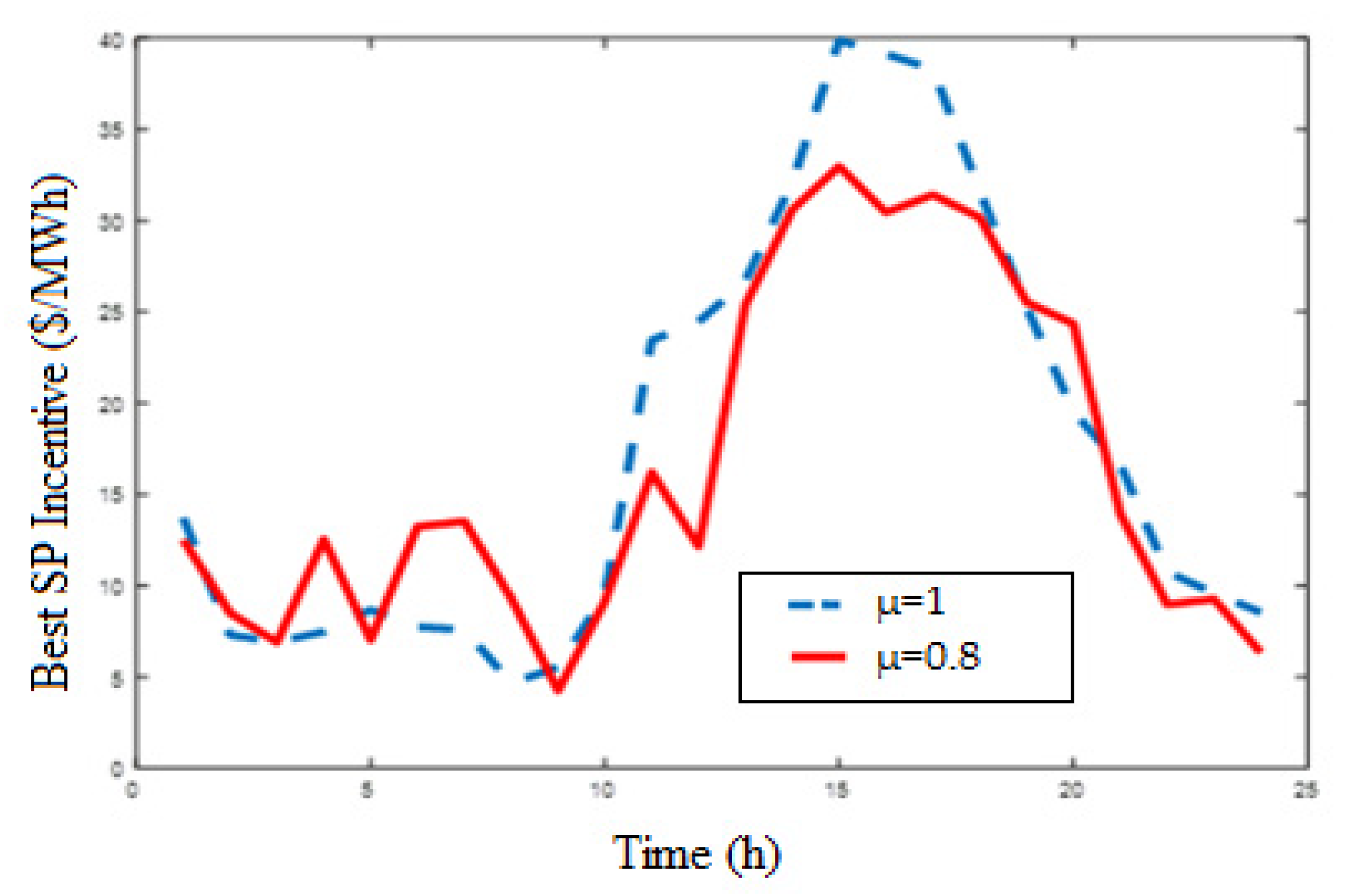
- Sensitivity analysis for Case 1
- c.
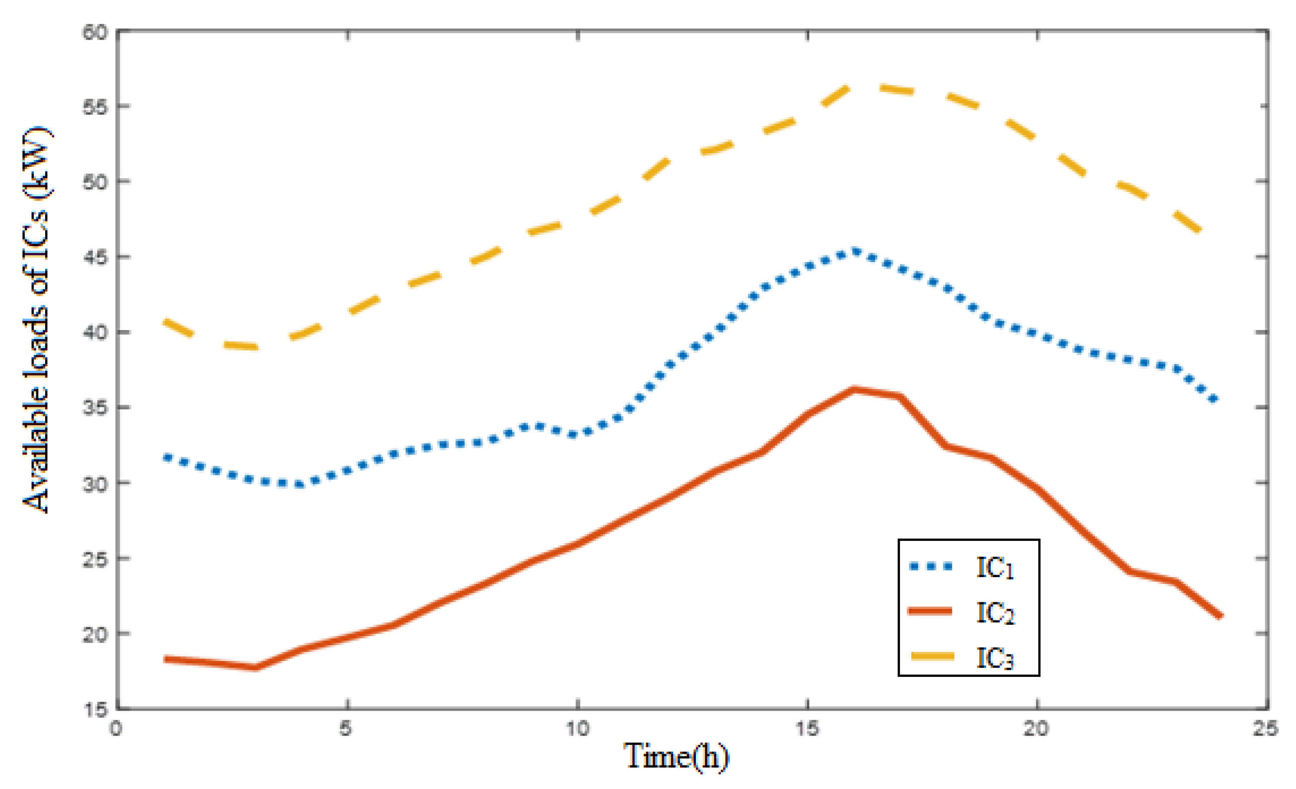
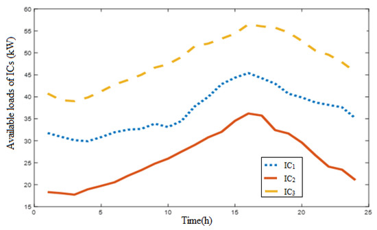
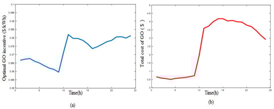
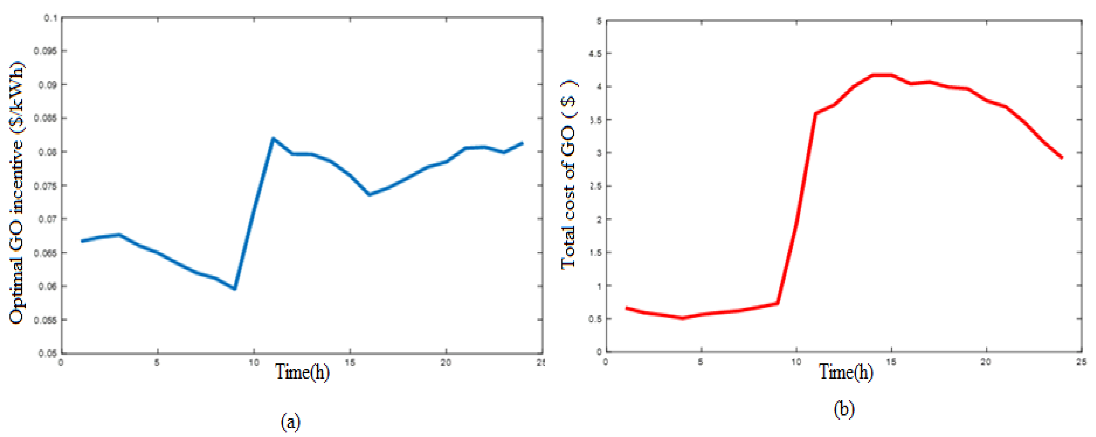
- Case 2 with GO, ICS and SPS optimized using Stackelberg-distributed and SPSO algorithms
6. Conclusions
Author Contributions
Funding
Institutional Review Board Statement
Data Availability Statement
Conflicts of Interest
Glossary
| DR | Demand response |
| IBDR | Incentive-based demand response |
| PBDR | Price-based demand response |
| SPSO | Stackelberg–particle swarm optimization |
| LSE | Load serving entities |
| SG | Smart grid |
| MES | Multi-energy systems |
| GO | Grid operator |
| SP | Service provider |
| IC | Industrial customer |
| PSO | Particle swarm optimization |
| Sets, parameters and variables | |
| Customer | |
| t | Time |
| Hourly incentives | |
| Weight factor | |
| Demand reduction | |
| Dissatisfaction cost | |
| Minimum demand | |
| Target demand | |
| Required demand | |
| Electricity pricing | |
| Minimum and maximum incentive | |
| Incentive for the IC | |
| Available load for the IC | |
| Demand reduction of the IC | |
| Profit for the IC | |
| Energy consumed by the the IC | |
| Utility function of the IC | |
| , | Rate and magnitude of profit of the IC |
| K | Number of service providers |
| Total number of customers under the kth SP | |
| Demand reduction of all customers belonging to the kth SP | |
| Number of customers under the kth SP | |
| Incentive offered by the kth SP | |
| Incentive offered by the GO to the SP | |
| Quantity of power being generated | |
| Cost of generating power | |
| a, b, c | Coefficients of generation |
| Incentive of the GO | |
| Incentive set by GO for the SP | |
| Incentive set by GO for the IC | |
| Maximum and minimum incentive of the GO | |
References
- Wang, B.; Ma, H.; Wang, F.; Dampage, U.; Al-Dhaifallah, M.; Ali, Z.M.; Mohamed, M.A. An IoT-Enabled Stochastic Operation Management Framework for Smart Grids. IEEE Trans. Intell. Transp. Syst. 2022, 1–10. [Google Scholar] [CrossRef]
- Ahmed, E.M.; Rathinam, R.; Dayalan, S.; Fernandez, G.S.; Ali, Z.M.; Abdel Aleem, S.H.; Omar, A.I. A comprehensive analysis of demand response pricing strategies in a smart grid environment using particle swarm optimization and the strawberry optimization algorithm. Mathematics 2021, 9, 2338. [Google Scholar] [CrossRef]
- Zhong, H.; Xie, L.; Xia, Q. Coupon Incentive-Based Demand Response: Theory and Case Study. IEEE Trans. Power Syst. 2013, 28, 1266–1276. [Google Scholar] [CrossRef]
- Yu, M.; Hong, S.H.; Kim, J.B. Incentive-based demand response approach for aggregated demand side participation. Workshop. In Proceedings of the IEEE Conference on Smart Grid Communication: Smart City Infrastructure and Applications, Sydney, NSW, Australia, 6–9 November 2016; p. 16526293. [Google Scholar] [CrossRef]
- Zhong, H.; Xie, L.; Xia, Q.; Kang, C.; Rahman, S. Incentive-based demand response for smart grid with reinforcement learning and deep neural network. In Proceedings of the IEEE Power & Energy Society Innovative Smart Grid Technologies Conference (ISGT), Washington, DC, USA, 18–20 February 2015; pp. 1–5. [Google Scholar] [CrossRef]
- Chai, Y.; Xiang, Y.; Liu, J.; Gu, C.; Zhang, W.; Xu, W. Incentive-based demand response model for maximizing benefits of electricity retailers. J. Mod. Power Syst. Clean Energy 2019, 7, 1644–1650. [Google Scholar] [CrossRef]
- Yu, M.; Hong, A.H. Incentive-based demand response considering hierarchical electricity market: A Stackelberg game approach. Appl. Energy 2017, 203, 267–279. [Google Scholar] [CrossRef]
- Sahebi, M.M.; Duki, E.A.; Kia, M.; Soroudi, A.; Ehsan, M. Simultanous emergency demand response programming and unit commitment programming in comparison with interruptible load contracts. IET Gener. Transm. Distrib. 2012, 6, 605–611. [Google Scholar] [CrossRef]
- Chrysikou, V.; Alamaniotis, M.; Tsoukalas, L.H. A Review of Incentive Based Demand Response Methods in Smart Electricity Grids. Int. J. Monit. Surveill. Technol. Res. 2015, 3, 62–73. [Google Scholar] [CrossRef]
- Gadham, K.R.; Ghose, T. Demand response program using incentive and dis-incentive based scheme. Energy Syst. 2020, 11, 417–442. [Google Scholar] [CrossRef]
- Imani, M.H.; Ghadi, M.J.; Ghavidel, S.; Li, L. Demand Response Modeling in Microgrid Operation: A Review and Application for Incentive-Based and Time-Based Programs. Renew. Sustain. Energy Rev. 2018, 94, 486–499. [Google Scholar] [CrossRef]
- Sivanantham, G.; Gopalakrishnan, S. A Stackelberg game theoretical approach for demand response in smart grid. Pers. Ubiquitous Comput. 2020, 24, 511–518. [Google Scholar] [CrossRef]
- Maharjan, S.; Zhu, Q.; Zhang, Y.; Gjessing, S.; Basar, T. Dependable Demand Response Management in the Smart Grid: A Stackelberg Game Approach. IEEE Trans. Smart Grid 2013, 4, 120–132. [Google Scholar] [CrossRef]
- Shahryari, E.; Shayeghi, H.; Mohammadi-Ivatloo, B.; Moradzadeh, M. An Improved Incentive-based Demand Response Program in Day-Ahead and Intra-Day Electricity Markets. Energy 2018, 155, 205–214. [Google Scholar] [CrossRef]
- Yu, M.; Hong, S.H.; Ding, Y.; Ye, X. An Incentive-Based Demand Response (DR) Model Considering Composited DR Resources. IEEE Trans. Ind. Electron. 2019, 66, 1488–1498. [Google Scholar] [CrossRef]
- Ghazvini, M.A.F.; Soares, J.; Horta, N.; Neves, R.; Castro, R.; Vale, Z. A multi-objective model for scheduling of short-term incentive-based demand response programs offered by electricity retailers. Appl. Energy 2015, 151, 102–118. [Google Scholar] [CrossRef]
- Kia, M.; Etemad, R.; Heidari, A.; Lotfi, M.; Catalão, J.P.; Shafie-khah, M.; Osório, G.J. Two-Stage Stochastic Mixed Integer Programming Approach for Optimal SCUC by Economic DR Model. In Proceedings of the IEEE Milan Power Tech, Milan, Italy, 23–27 June 2019; pp. 1–6. [Google Scholar] [CrossRef]
- Paterakis, N.G.; Erdinç, O.; Catalão, J.P. An overview of Demand Response: Key-elements and international experience. Renew. Sustain. Energy Rev. 2016, 69, 871–891. [Google Scholar] [CrossRef]
- Fang, X.; Hu, Q.; Li, F.; Wang, B.; Li, Y. Coupon-Based Demand Response Considering Wind Power Uncertainty: A Strategic Bidding Model for Load Serving Entities. IEEE Trans. Power Syst. 2016, 31, 1025–1037. [Google Scholar] [CrossRef]
- RezaeeJordehi, A. Optimization of demand response in electric power systems, a review. Renew. Sustain. Energy Rev. 2019, 103, 308–319. [Google Scholar] [CrossRef]
- O’Connell, N.; Pinson, P.; Madsen, H.; O’Malley, M. Benefits and challenges of electrical demand response: A critical review. Renew. Sustain. Energy Rev. 2014, 39, 686–699. [Google Scholar] [CrossRef]
- Zheng, S.; Sun, Y.; Li, B.; Qi, B.; Zhang, X.; Li, F. Incentive-based integrated demand response for multiple energy carriers under complex uncertainties and double coupling effects. Appl. Energy 2020, 283, 116254. [Google Scholar] [CrossRef]
- Luo, Z.; Hong, S.; Ding, Y. A data mining-driven incentive-based demand response scheme for a virtual power plant. Appl. Energy 2019, 239, 549–559. [Google Scholar] [CrossRef]
- Nainar, K.; Pillai, J.R.; Bak-Jensen, B. Incentive Price-Based Demand Response in Active Distribution Grids. Appl. Sci. 2021, 11, 180. [Google Scholar] [CrossRef]
- Muthirayan, D.; Baeyens, E.; Chakraborty, P.; Poolla, K.; Khargonekar, P.P. A Minimal Incentive-Based Demand Response Program With Self-Reported Baseline Mechanism. IEEE Trans. Smart Grid 2020, 11, 2195–2207. [Google Scholar] [CrossRef]
- Savari, G.F.; Krishnasamy, V.; Sugavanam, V.; Vakesan, K. Optimal Charging Scheduling of Electric Vehicles in Micro Grids Using Priority Algorithms and Particle Swarm Optimization. Mob. Netw. Appl. 2019, 24, 1835–1847. [Google Scholar] [CrossRef]
- Fernandez, G.S.; Krishnasamy, V.; Kuppusamy, S.; Ali, J.S.; Ali, Z.M.; El-Shahat, A.; Abdel Aleem, S.H. Optimal Dynamic Scheduling of Electric Vehicles in a Parking Lot Using Particle Swarm Optimization and Shuffled Frog Leaping Algorithm. Energies 2020, 13, 6384. [Google Scholar] [CrossRef]
- Almalaq, A.; Alqunun, K.; Refaat, M.M.; Farah, A.; Benabdallah, F.; Ali, Z.M.; Aleem, S.H.E.A. Towards Increasing Hosting Capacity of Modern Power Systems through Generation and Transmission Expansion Planning. Sustainability 2022, 14, 2998. [Google Scholar] [CrossRef]
- Ali, Z.M.; Diaaeldin, I.M.; El-Rafei, A.; Hasanien, H.M.; Abdel Aleem, S.H.E.; Abdelaziz, A.Y. A Novel Distributed Generation Planning Algorithm via Graphically-Based Network Reconfiguration and Soft Open Points Placement Using Archimedes Optimization Algorithm. Ain Shams Eng. J. 2021, 12, 1923–1941. [Google Scholar] [CrossRef]
- Mohamed, M.A.; Eltamaly, A.M.; Alolah, A.I. PSO-based smart grid application for sizing and optimization of hybrid renewable energy systems. PLoS ONE 2016, 11, e0159702. [Google Scholar]
- Rizwan, M.; Waseem, M.; Liaqat, R.; Sajjad, I.A.; Dampage, U.; Salmen, S.H.; Obaid, S.A.; Mohamed, M.A.; Annuk, A. SPSO Based Optimal Integration of DGs in Local Distribution Systems under Extreme Load Growth for Smart Cities. Electronics 2021, 10, 2542. [Google Scholar]
- Refaat, M.M.; Aleem, S.H.E.A.; Atia, Y.; Ali, Z.M.; Sayed, M.M. Multi-stage dynamic transmission network expansion planning using lshade-spacma. Appl. Sci. 2021, 11, 2155. [Google Scholar] [CrossRef]






















| Reference | Entities/Participants | Pricing Schemes | Objective | Methodology and Simulation Tools |
|---|---|---|---|---|
| [3] | LSE and retail customers | Flat rate pricing | Optimizing social welfare | CPLEX |
| [4] | Service provider and customer | A day ahead of electricity pricing | Optimal incentives for SPs | Stackelberg game theory-GAMS tool |
| [6] | Utility and customers | Spot pricing | Maximizing benefits of retailers | MATLAB Yalmip toolbox |
| [7] | Grid operator, multi-service provider and customer | Incentive based pricing | Resource utilization in minimizing cost and maximizing profit of operators | Stackelberg game approach |
| [12] | Service provider and end-user | Real-time pricing | Peak demand and electricity bill reduction | MATLAB toolbox for optimization |
| [16] | Retailer and end-user | A day ahead of electricity pricing | Minimizing peak demand and finding hourly financial incentives for customers | NSGA II |
| [19] | LSE and ISO | Real-time market | LSE net revenue maximization | CPLEX |
| Entities | Variables | Lower and Upper Bounds | Number of Variables |
|---|---|---|---|
| Grid operator | Incentive (πigo) | (3, 10) | 1 |
| Industrial consumer | Demand reduction of IC1 (DIC1) Demand reduction of IC2 (DIC2) Demand reduction of IC3 (DIC3) | (0, 45.4) (0, 36.2) (0, 56.5) | 3 |
| Service provider | Incentive of SP1 (πSP1) Incentive of SP2 (πSP2) | (3, 10) (3, 10) | 2 |
| Consumer | Demand reduction of customer 1 (Dk,1,t) Demand reduction of customer 2 (Dk,2,t) Demand reduction of customer 3 (Dk,3,t) | (0, 11.35) (0, 16.55) (0, 12.77) | 3 |
| Parameters | Customer 1 | Customer 2 |
|---|---|---|
| (0.8, 1) | (0.8, 1) | |
| 3.0 | 4.5 | |
| 10.0 | 10.0 |
| Incentive by SP ($) | Demand Reduction (MW) | Incentive by SP ($) | Demand Reduction (MW) | ||||
|---|---|---|---|---|---|---|---|
| For one hour (16th hour) | For 24 h | ||||||
| Stackelberg [4] | SPSO | Stackelberg [4] | SPSO | Stackelberg [4] | SPSO | Stackelberg [4] | SPSO |
| 38 | 39 | 18.2 | 18.3 | 486.8 | 425.2 | 195.4 | 240.59 |
| Incentive by SP ($) | Demand Reduction (MW) | Incentive by SP ($) | Demand Reduction (MW) | ||||
|---|---|---|---|---|---|---|---|
| For one hour (16th hour) | For 24 h | ||||||
| Stackelberg [4] | SPSO | Stackelberg [4] | SPSO | Stackelberg [4] | SPSO | Stackelberg [4] | SPSO |
| 32 | 32 | 18.5 | 19 | 439 | 394.8 | 230.02 | 253.44 |
| ICs | IC1 | IC2 | IC3 |
|---|---|---|---|
| Load (kW) | 45.4 | 36.2 | 56.5 |
| 0.1 | 0.12 | 0.13 | |
| 8 | 8 | 8 |
| SPs | SP1 | SP2 | ||||
|---|---|---|---|---|---|---|
| End Users | User 1 | User 2 | User 3 | User 1 | User 2 | User 3 |
| Load (kW) | 11.4 | 7.5 | 14.4 | 5.5 | 13.7 | 9.2 |
| 3.0 | 4.5 | 5.0 | 4.0 | 5.5 | 6.0 | |
| 2.0 | 2.0 | 2.0 | 3.0 | 3.0 | 3.0 | |
| 1.0 | 1.0 | 1.0 | 1.0 | 1.0 | 1.0 | |
| Parameters | Stackelberg | |||
|---|---|---|---|---|
| PSO Algorithm | Distributed Algorithm | |||
| Grid operator incentive (cents/kWh) | 7.273 | 7.290 | ||
| Total cost ($) | 5.028 | 5.060 | ||
| IC Incentive (cents/kWh) | 4.363 | 4.38 | ||
| SP incentive to users (cents/kWh) | SP1 | SP2 | SP1 | SP2 |
| 4.665 | 5.0 | 4.7 | 5.1 | |
| ICs | IC1 | IC2 | IC3 |
|---|---|---|---|
| Available load (kW) | 45.4 | 36.2 | 56.5 |
| SPs | SP1 | SP2 | ||||
|---|---|---|---|---|---|---|
| Users | User 1 | User 2 | User 3 | User 1 | User 2 | User 3 |
| Load (kW) | 11.54 | 7.47 | 9.29 | 11.35 | 16.55 | 12.77 |
| Parameters | ||||||
|---|---|---|---|---|---|---|
| Incentive of GO (cents/kWh) | 7.3593 | 3.3383 | ||||
| Total cost of GO ($) | 4.0397 | 2.0634 | ||||
| IC demand reduction (kW) | 13.6714 | 4.9452 | 40.5349 | 8.2034 | 6.3111 | 34.7609 |
| Parameters | ||||||
|---|---|---|---|---|---|---|
| Incentive of GO (cents/kWh) | 7.3593 | 9.9254 | ||||
| Total cost of GO ($) | 4.0397 | 5.2703 | ||||
| SP incentive (cents/kWh) | 3.0415 3.9544 | 3.1819 3.8468 | ||||
| Demand reduction of SP1 customers (kW) | 0.18 | 0.12 | 0.11 | 0.52 | 0.35 | 0.31 |
| Demand reduction of SP2 customers (kW) | 0.11 | 0.08 | 0.07 | 0.42 | 0.31 | 0.28 |
| Entity Considered | Incentive Benefits ($) |
|---|---|
| Incentives given by SP to customers in dollars | 5263 |
| SP purchasing at market price (with no IBDR) in dollars | 6357.7 |
| Entity Considered | Incentive Benefits (Cents) |
|---|---|
| Incentives obtained by IC from GO (cents) | 3900 |
| Total incentives obtained by SP1 and SP2 from GO (cents) | 237.4676 |
| Total incentives given by SP1 and SP2 to its customers (cents) | 110.69 |
Publisher’s Note: MDPI stays neutral with regard to jurisdictional claims in published maps and institutional affiliations. |
© 2022 by the authors. Licensee MDPI, Basel, Switzerland. This article is an open access article distributed under the terms and conditions of the Creative Commons Attribution (CC BY) license (https://creativecommons.org/licenses/by/4.0/).
Share and Cite
Dayalan, S.; Gul, S.S.; Rathinam, R.; Fernandez Savari, G.; Aleem, S.H.E.A.; Mohamed, M.A.; Ali, Z.M. Multi-Stage Incentive-Based Demand Response Using a Novel Stackelberg–Particle Swarm Optimization. Sustainability 2022, 14, 10985. https://doi.org/10.3390/su141710985
Dayalan S, Gul SS, Rathinam R, Fernandez Savari G, Aleem SHEA, Mohamed MA, Ali ZM. Multi-Stage Incentive-Based Demand Response Using a Novel Stackelberg–Particle Swarm Optimization. Sustainability. 2022; 14(17):10985. https://doi.org/10.3390/su141710985
Chicago/Turabian StyleDayalan, Suchitra, Sheikh Suhaib Gul, Rajarajeswari Rathinam, George Fernandez Savari, Shady H. E. Abdel Aleem, Mohamed A. Mohamed, and Ziad M. Ali. 2022. "Multi-Stage Incentive-Based Demand Response Using a Novel Stackelberg–Particle Swarm Optimization" Sustainability 14, no. 17: 10985. https://doi.org/10.3390/su141710985
APA StyleDayalan, S., Gul, S. S., Rathinam, R., Fernandez Savari, G., Aleem, S. H. E. A., Mohamed, M. A., & Ali, Z. M. (2022). Multi-Stage Incentive-Based Demand Response Using a Novel Stackelberg–Particle Swarm Optimization. Sustainability, 14(17), 10985. https://doi.org/10.3390/su141710985

