Research on Supply Chain Quality Decision Model Considering Reference Effect and Competition under Different Decision-Making Modes
Abstract
:1. Introduction
2. Literature Review
- (1)
- Research on Retailer competition
- (2)
- Research on reference effect
- (3)
- Research on supply chain quality problems
3. Model Development
4. Decentralized Decision Making
4.1. Decentralized Decision Making without Cost Sharing (Called DN Mode)
4.2. Decentralized Decision Making with Cost Sharing (Called DC Mode)
5. Centralized Decision Making (Called CD Mode)
- (1)
- ;
- (2)
- When a certain condition is met, then , otherwise ;
- (3)
- When a certain condition is met, then , otherwise ;
- (4)
- When a certain condition is met, then , otherwise .
- If , then , otherwise .
- If , then , otherwise .
- If , then , otherwise .
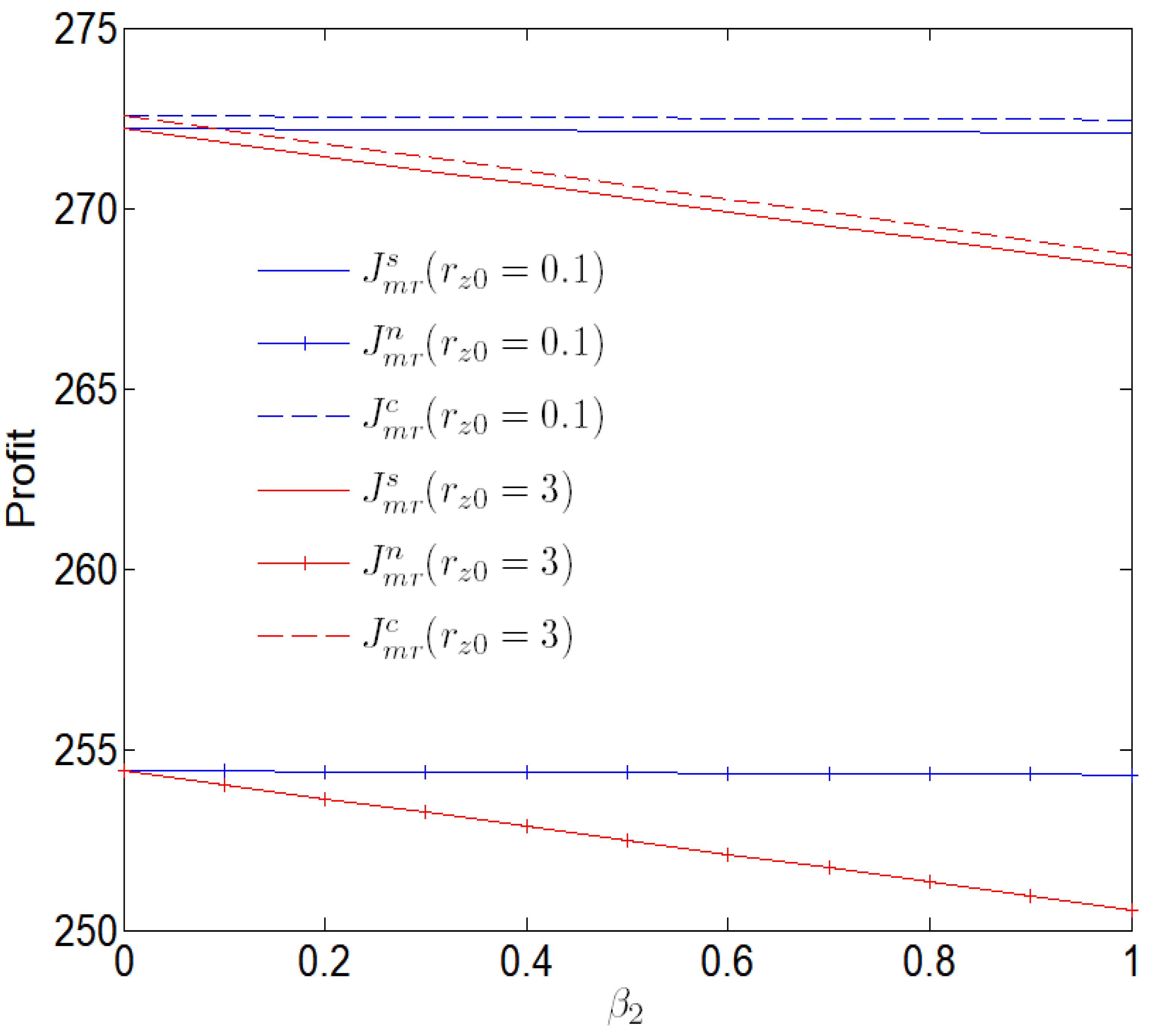
6. Simulation Analysis
7. Summary
- (1)
- According to the above, retailers mainly consider following factors when making decisions. The first factor is the marginal profit of retailers. The second factor is the share rate; the sharing rate is inversely proportional to the service quality. The third factor is the reference effect, including vertical reference effect and horizontal reference effect. The higher the reference effect is, the retailer’s motivation for quality improvement will also increase. The fourth factor is initial reference quality. Different initial reference quality will affect the relationship between reference effect and supply chain profit. Manufacturers mainly consider three factors when making decisions. That is, the marginal profit of manufacturers, the reference effect of product quality and the initial reference quality.
- (2)
- Comparing the quality under different modes, we draw the following implications: (i) the optimal product quality under the CD mode is greater than that under the DC mode. (ii) DC mode cannot promote the manufacturer to improve product quality. (iii) Different from previous studies, the service quality under the CD mode is not higher than other decisions. (iv) Under certain conditions, the service quality under the CD mode may be higher than or lower than that under the DC mode and DN mode. The above management enlightenment helps enterprise managers have a deeper understanding of quality decision making under different modes, and adjust quality strategy when certain conditions change (such as consumer sensitivity coefficient, sharing proportion and marginal profit).
- (3)
- By comparing the profits of supply chain under different modes, enterprises can gain the following insights: (i) The profits of supply chain under the CD mode are not the highest, which is contrary to the traditional view; the profit of supply chain under the DN mode is not the lowest. (ii) When the reference effect of service quality level meets certain conditions, the supply chain profit under the CD mode is lower than that under the DN mode and DC mode. (iii) The share rate is positively correlated with the manufacturer’s marginal profit; on the contrary, the share rate is negatively correlated with the marginal profit of retailer i. The above insights will help managers better choose their own cooperation mode under the given conditions.
- (1)
- Enterprises should realize that the way to increase profits is not limited to reducing costs, and vigorously improving product quality and service quality is also a more effective way, such as enhancing the reliability and performance of products, extending the service life of products, creating an experiential shopping environment and improving the service ability of sellers.
- (2)
- When making quality decisions, enterprises should not only collect their own data, but also obtain the reference behavior data of consumers through market questionnaires, especially the horizontal reference effect data in the case of retailer competition, so that enterprises can make more accurate quality decisions. It is also necessary to fully investigate the demand characteristics of consumers for high-quality products and high-quality service levels. When consumers have strong product reference effect or service reference effect (vertical), the more enterprises need to increase their investment in product quality and service quality.
- (3)
- Generally speaking, alliance is a way for enterprises to achieve resource complementarity and gain greater competitive advantages. However, whether it is established in the case of retailer competition depends on the strength of consumers’ horizontal reference effect. Therefore, before making decisions, supply chain enterprises need to conduct in-depth research on market consumers in order to select a more appropriate cooperation mode.
- (4)
- Under certain conditions, suppliers can share part of the service cost with retailers to reduce the economic pressure of retailers, so that retailers have enough power to improve service quality to expand market demand.
Author Contributions
Funding
Institutional Review Board Statement
Informed Consent Statement
Data Availability Statement
Conflicts of Interest
Appendix A
Appendix B
Appendix C
Appendix D
Appendix E
Appendix F
References
- Reuters: Samsung’s Suspension of the Note7 Highlights the Safety Limits of Lithium Batteries. Available online: https://tech.sina.com.cn/it/2016-10-13/doc-ifxwvpaq1198508.shtml (accessed on 13 October 2016).
- The Kobe Steel Scandal Continues to Engulf Toyota and Other Japanese Automakers. Available online: http://mil.news.sina.com.cn/2017-10-13/doc-ifymvece1831779.shtml (accessed on 12 October 2017).
- The US Government has Launched an Investigation into Tesla’s “Autopilot” Over Safety Lapses. Available online: https://www.163.com/dy/article/GHK30KBC0552A8PR.html (accessed on 17 August 2017).
- One Out of Every Two Cars Recalled What Happened to Tesla? Available online: https://news.sina.com.cn/s/2022-02-21/doc-imcwipih4595336.shtml (accessed on 21 February 2022).
- He, Y.; Zhang, J.; Gou, Q.; Bi, G. Supply Chain Decisions with Reference Quality Effect under the O2O Environment. Ann. Oper. Res. 2018, 268, 273–292. [Google Scholar] [CrossRef]
- Zhou, X.; Xu, B.; Xie, F.; Li, Y. Research on Quality Decisions and Coordination with Reference Effect in Dual-Channel Supply Chain. Sustainability 2020, 12, 1–23. [Google Scholar]
- Qiu, R.; Yu, Y.; Sun, M. Supply Chain Coordination by Contracts Considering Dynamic Reference Quality Effect under the O2O Environment. Comput. Indu. Eng. 2022, 163. [Google Scholar] [CrossRef]
- Fibich, G.; Gavious, A.; Lowengart, O. Explicit Solutions of Optimization Models and Differential Games with Nonsmooth (asymmetric) Reference-price Effects. Oper. Res. 2003, 51, 721–734. [Google Scholar] [CrossRef]
- Lin, Z.; Cai, C.; Xu, B. Pricing Analysis in Retailers Competing Model.C hin. J. Manag. Sci. 2006, 14, 87–90. [Google Scholar]
- Yi, Y.A. Study on the Closed-bop Supply Chain Model with Product Remanufacturing in a Duopoly Retailer Channel. J. Manag. Sci. 2009, 12, 45–54. [Google Scholar]
- Li, J.; Wang, S.; Cheng, T. Competition and Cooperation in a Single-retailer Two-supplier Supply Chain with Supply Disruption. Int. J. Prod. Econ. 2010, 124, 137–150. [Google Scholar] [CrossRef]
- He, Z.; Wang, S.; Cheng, T. Competition and Evolution in Multi-product Supply Chains: An Agent-based Retailer Model. Int. J. Prod. Econ. 2013, 146, 325–336. [Google Scholar] [CrossRef]
- Glock, C.H.; Kim, T. The Effect of Forward Integration on a Single-vendor–multi-retailer Supply Chain under Retailer Competition. Int.J. Prod. Econ. 2015, 164, 179–192. [Google Scholar] [CrossRef]
- Zhou, X.; Chen, k.; Wen, H.; Wang, C. Decisions and Contract Selection of Closed-loop Supply Chain Considering Different Competitive Behaviors of Retailers under Government Subsidy. Chin. J. Manag. Sci. 2022, 30, 176–188. [Google Scholar]
- Wang, W.; Wei, J.; Wu, D. The Optimal Strategy of China’s Plastic Drinking Straws Ban Based on Consumer Heterogeneity and Retailer Competition. Sustainability 2022, 14, 745. [Google Scholar] [CrossRef]
- Karimi, M.; Khademi-Zare, H.; Zare-Mehrjerdi, Y.; Fakhrzad, M.B. Optimizing Service Level, Price, and Inventory Decisions for a Supply Chain with Retailers’ Competition and Cooperation under VMI Strategy. Rairo-Oper. Res. 2022, 56, 1051–1078. [Google Scholar] [CrossRef]
- Hardie, B.; Johnson, E.; Fader, P. Modeling Loss Aversion and Reference Dependence Effects on Brand Choice. Market. Sci. 1993, 12, 378–394. [Google Scholar] [CrossRef]
- Tversky, A.; Kahneman, D. Loss Aversion in Riskless Choice: A Reference-Dependent Model. Quart. J. Econ. 1991, 106, 1039–1061. [Google Scholar] [CrossRef]
- Kopalle, P.K.; Winer, R.S. A Dynamic Model of Reference Price and Expected Quality. Market. Lett. 1997, 7, 41–52. [Google Scholar] [CrossRef]
- Kihlstrom, R.; Riordan, M. Advertising as a Signal. J. Polit. Econ. 1984, 92, 427–450. [Google Scholar] [CrossRef]
- Milgrom, P.; Roberts, J. Price and Advertising Signals of Product Quality. J. Polit. Econ. 1986, 94, 796–821. [Google Scholar] [CrossRef]
- Caulkins, J.P.; Feichtinger, G.; Haunschmied, J.; Tragler, G. Quality Cycles and the Strategic Manipulation of Value. Oper. Res. 2006, 54, 666–677. [Google Scholar] [CrossRef]
- Ma, D.; Hu, J. Impact of Member’s Fairness and Altruistic Preference on Strategies of Supply Chain under Reference Quality Effect. Sys. Eng. Theory Pract. 2020, 40, 1752–1766. [Google Scholar]
- Ji, Y.; Ma, D.; Hu, J. Omni-Channel Operation Strategy Based on Consumer Behavior Preference under Vendor Managed Inventory. Chin. J. Manag. Sci. 2021, 29, 82–96. [Google Scholar]
- Zhou, H.; Duan, Y. Online Channel Structures for Green Products with Reference Greenness Effect and Consumer Environmental Awareness (CEA). Comput. Ind. Eng. 2022, 170. [Google Scholar] [CrossRef]
- Boyaci, T.; Gallego, G. Supply Chain Coordination in a Market with Customer Service Competition. Prod. Oper. Manag. 2004, 13, 3–22. [Google Scholar] [CrossRef]
- Gurnani, H.; Erkoc, M. Supply Contracts in Manufacturer-retailer Interactions with Manufacturer-quality and Retailer Effort-induced Demand. Nav. Res. Log. 2010, 55, 200–217. [Google Scholar] [CrossRef]
- Fan, J.; Ni, D.; Fang, X. Liability Cost Sharing, Product Quality Choice, and Coordination in Two-echelon Supply Chains. Eur. J. Oper. Res. 2020, 284, 514–537. [Google Scholar] [CrossRef]
- Mandal, P.; Jain, T. Partial Outsourcing From A Rival: Quality Decision Under Product Differentiation And Information Asymmetry. Eur. J. Oper. Res. 2021, 292, 886–908. [Google Scholar] [CrossRef]
- Li, D.; Mishra, N. The Impact of Parts Obsolescence on Contracts for Durable Goods with After-sales Service. Eur. J. Oper. Res. 2021, 294, 965–975. [Google Scholar] [CrossRef]
- Lejarza, F.; Baldea, M. An efficient Optimization Framework for Tracking Multiple Quality Attributes in Supply Chains of Perishable Products. Eur. J. Oper. Res. 2022, 297, 890–903. [Google Scholar] [CrossRef]







| Symbol | Description | Symbol | Description |
|---|---|---|---|
| z(t) | The manufacturer’s product quality at time t, which is a decision variable. | β1 | The consumers’ vertical reference effect of service quality, which indicates the sensitivity coefficient of the gap between the actual service quality and the reference service quality to the change in demand. |
| fi(t) | The retailers’ service quality at time t, which is a decision variable. i = 1, 2 indicate retailer 1 and retailer 2 respectively. | β2 | The consumers’ reference effect of product quality. |
| rfi(t) | Consumer reference service quality of retailer i at time t. (i = 1, 2) | χ1 | The consumers’ horizontal reference effect of service quality, which indicates the sensitivity coefficient of the gap between the actual service quality and the competitive retailer’s service quality to demand changes. |
| rz(t) | The reference product quality of consumers at time t. | ||
| Service quality or product quality preference of consumers. (i = 1, 2) | k | The cost coefficient of providing a certain quality. k11, k12, k2, indicate retailer 1’s, retailer 2’s, and manufacturer’s cost coefficient respectively. | |
| Manufacturer’s marginal profit. | cm | Manufacturer’s product quality improvement cost. | |
| Retailer i’s margin. (i = 1, 2) | cri | Retailer service quality improvement cost. (i = 1, 2) | |
| a0i | The market potential sales volume of retailer i. (i = 1, 2) | di(t) | The market demand of retailer i at time t. (i = 1, 2) |
| λ | Discount rate. | Memory parameter of quality, > 0. (i = 1, 2) |
Publisher’s Note: MDPI stays neutral with regard to jurisdictional claims in published maps and institutional affiliations. |
© 2022 by the authors. Licensee MDPI, Basel, Switzerland. This article is an open access article distributed under the terms and conditions of the Creative Commons Attribution (CC BY) license (https://creativecommons.org/licenses/by/4.0/).
Share and Cite
Jiang, M.; Lin, X.; Zhou, X.; Qiao, H. Research on Supply Chain Quality Decision Model Considering Reference Effect and Competition under Different Decision-Making Modes. Sustainability 2022, 14, 10338. https://doi.org/10.3390/su141610338
Jiang M, Lin X, Zhou X, Qiao H. Research on Supply Chain Quality Decision Model Considering Reference Effect and Competition under Different Decision-Making Modes. Sustainability. 2022; 14(16):10338. https://doi.org/10.3390/su141610338
Chicago/Turabian StyleJiang, Minglin, Xiaowei Lin, Xideng Zhou, and Hongfang Qiao. 2022. "Research on Supply Chain Quality Decision Model Considering Reference Effect and Competition under Different Decision-Making Modes" Sustainability 14, no. 16: 10338. https://doi.org/10.3390/su141610338
APA StyleJiang, M., Lin, X., Zhou, X., & Qiao, H. (2022). Research on Supply Chain Quality Decision Model Considering Reference Effect and Competition under Different Decision-Making Modes. Sustainability, 14(16), 10338. https://doi.org/10.3390/su141610338
