The Convergence in the Sustainability of the Economies of the European Union Countries between 2006 and 2016
Abstract
1. Introduction
“[…] the “environment” is where we all live: and “development” is what we all do in attempting to improve our lot within that abode. The two are inseparable. Further, Development issues must be seen as crucial by the political leaders who feel that their countries have reached a plateau towards which other nations must strive. Many of the development paths of the industrialized nations are clearly unsustainable. And the development decisions of these countries. Because of their great economic and political power. Will have a profound effect upon the ability of all peoples to sustain human progress for generations to come.”
“Sustainable development is a global objective. The European Union has a key role in bringing about sustainable development, within Europe and also on the wider global stage, where widespread international action is required. To meet this responsibility, the EU and other signatories of the 1992 United Nations’ “Rio declaration” committed themselves, at the 19th Special Session of the United Nations’ General Assembly in 1997, to draw up strategies for sustainable development in time for the 2002 World Summit on Sustainable Development. This strategy forms part of the EU preparations for that summit.”
2. Literature Review and Research Hypotheses
- -
- the Category Green sustainable Science and Technology with 9 studies;
- -
- the Category Environmental Studies with 8 papers;
- -
- the Category Economics with 3 studies;
- -
- the Category Development Studies with 2 papers.
- -
- -
3. Materials and Methods
3.1. Stage 1: Data Collection
3.2. Stage 2: Rescaling Original Values of ISDE-EU to a Fixed 0.01–0.99 Range
- -
- the normalized values will take values from the interval [a, b] where a = 0.01 and b = 0.99, which is finite and allows us to calculate the indicators for beta and sigma convergence (e.g., logarithms);
- -
- the influence of the outliers on the series is diminished;
- -
- the level of homogeneity of the series increases the data becoming more compact.
3.3. Stage 3: Grouping Countries by the Dynamics of ISDE-EU
- Each instance will initially be considered a separate cluster;
- All cluster pair distances will be evaluated based on the calculation ratio specific to the average between linkage method, relation (3), using the square metric of Euclidean distances, relation (2);
- Construction of the matrix containing the distances between the pairs of clusters calculated in the previous step;
- Choosing the pairs of clusters for which, in the distance matrix, we record the smallest distances;
- Based on a similarity criterion, we attach the pairs of clusters at a distance less than a reference value;
- Resuming the previous steps until the clusters can no longer be attached;
- Once the goal from the previous step has been reached, the algorithm will stop and provide the last clustered structure obtained.
3.4. Stage 4: Convergence Analysis
3.4.1. Beta Convergence Methodology
3.4.2. Sigma Convergence Methodology
Coefficient of Variation
SD of Logarithm
Gini INDEX
Theil Index
4. Results
4.1. Results of Grouping Countries by the Dynamics of ISDE-EU
4.2. Beta Convergence Analysis Results
4.3. The Results of the Sigma Convergence Analysis
4.3.1. Sigma Convergence in the EU 27
4.3.2. Sigma Convergence in Each Cluster
5. Conclusions
- -
- Cluster 1, consisting of 16 EU countries, mostly belonging to W and SW Europe, is characterized by an average level of ISDE-EU, which is on an upward trend, above the European average, and a degree of dispersion of ISDE-EU values, located on a decreasing trend, below the degree of dispersion characteristic of the analysed EU countries, Figure 15a,b.
- -
- Cluster 2, made up of six EU countries, most of them in N-E Europe, is characterized by an average level of ISDE-EU, located on an upward trend, slightly below the European average and a degree of dispersion of ISDE-EU values, located on a slightly upward trend, below the degree of dispersion characteristic of the analyzed EU countries, Figure 15a,b. For this cluster, the existence of beta convergence in sustainability of the member states is confirmed while sigma convergence in sustainability is uncertain, according to Table 11, because the estimated value of the right slope, although negative, is not significant, as Table 7 and Table 11 show. At the level of this cluster, the H3.1 hypothesis is validated. The H3.2 hypothesis cannot be totally validated because, even if there is a negative regression slope, it is not statistically significant. In regard of the concordance between the beta and sigma convergence, this exists and would determine the validation of the H3 hypothesis, provided that the sigma convergence is not statistically significant.
- -
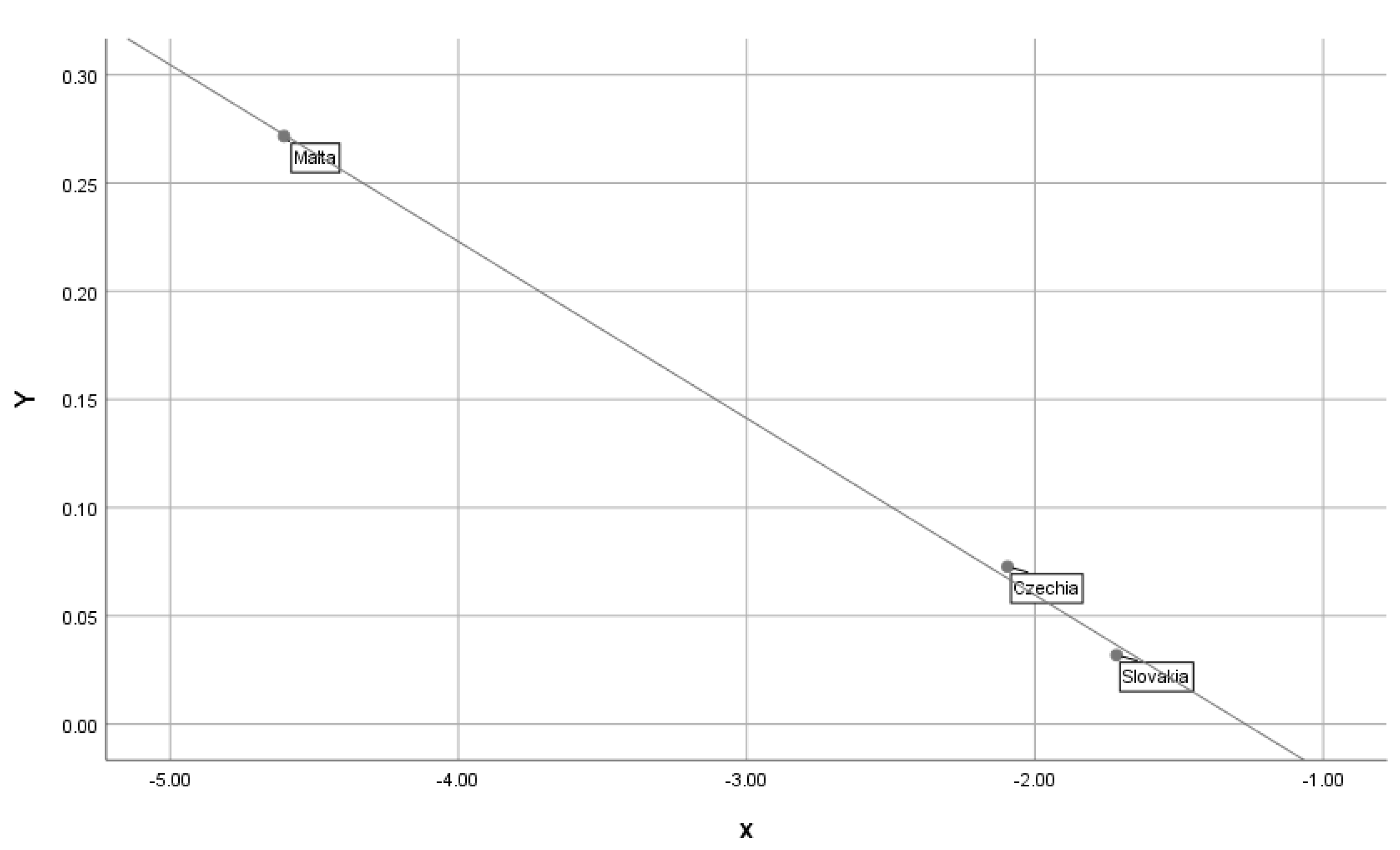
- Cluster 3 consisting of three EU countries, mostly located in the central area of Europe, is characterized by the lowest average level of ISDE-EU, which is on an upward trend, well below the European average but also by a degree of dispersion of values ISDE-EU, which is on a downward trend, the lowest, below the degree of dispersion characteristic of the analyzed EU countries (Figure 15a,b). For this cluster, the existence of beta and sigma convergence in the sustainability of national economies is validated. An additional remark is that two of the three states—the Czech Republic and Slovakia—together formed a single state before 1993, and this is probably why this cluster, although it has the lowest level of ISDE-EU average, is still the most homogeneous cluster in the five studied. For this cluster, the H3.1 and H3.2 hypotheses are validated and the concordance between beta and sigma convergence determines the validation of the H3 hypothesis.
- -
- Cluster 4 consists of only two countries—Denmark and Sweden—and from a statistical point of view it is almost impossible to estimate the convergence in sustainability of national economies. Regarding sigma convergence in sustainability, although the estimates of the straight slope are negative, they are not significant, making its assessment uncertain. Cluster 4 is characterized by the highest ISDE-EU average, which is on an upward trend, far exceeding the European average and a low degree of dispersion for the values recorded for ISDE-EU, which is on a strong downward trend compared to the values recorded for all EU countries. Despite the small volume of cluster 4 which makes it impossible to assess convergence in sustainability, it should be noted that it is a leading cluster in terms of sustainability at EU level. At the level of this cluster, neither H3.1, H3.2 or consequently H3 hypotheses are validated.
- -
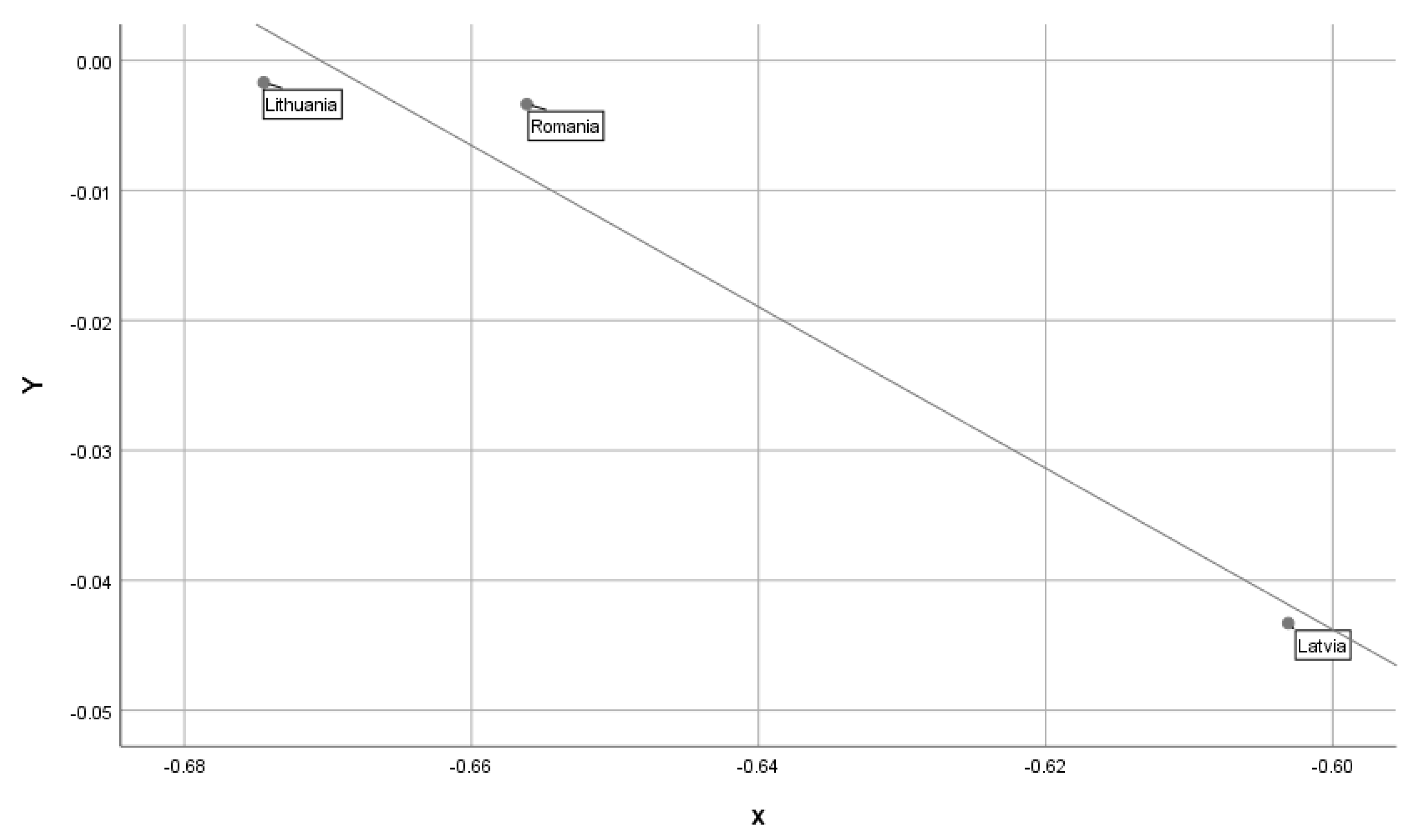
- Cluster 5, consisting of three countries, located in E and N-E Europe, is characterized by an average level of ISDE-EU, located on an upward trend, slightly below the European average and a degree of dispersion of ISDE-EU values, located on a strong upward trend, far above the degree of dispersion characteristic of the analyzed EU countries, as it is shown in Figure 15a,b. According to Table 10, for this cluster the existence of beta and sigma convergence cannot be confirmed or refuted because the estimated slopes for the models are statistically insignificant, both for beta and for sigma convergence (Table 10 and Table 11). Even though cluster 5 is characterized by an average of ISDE-EU level close to that of the EU, it is the most heterogeneous, which does not allow a meaningful assessment of convergence in its sustainability. As a negative aspect of this cluster, we notice that the slope of the standard deviations is increasing strongly, which suggests that, within this cluster, there are sustainability behaviors that tend to differ more and more one from another.
Author Contributions
Funding
Conflicts of Interest
Appendix A
| Anul | Sigma CV | Sigma SD Log ISDE | Gini Index | Theil Index |
|---|---|---|---|---|
| 2006 | 0.4393 | 0.8464 | 0.2249 | 0.1110 |
| 2007 | 0.4611 | 0.6807 | 0.2351 | 0.1174 |
| 2008 | 0.4809 | 0.6670 | 0.2344 | 0.1269 |
| 2009 | 0.5113 | 0.9026 | 0.2582 | 0.1460 |
| 2010 | 0.4592 | 0.5656 | 0.2289 | 0.1103 |
| 2011 | 0.4270 | 0.5137 | 0.2164 | 0.0952 |
| 2012 | 0.3968 | 0.4656 | 0.1977 | 0.0817 |
| 2013 | 0.3834 | 0.4398 | 0.1896 | 0.0756 |
| 2014 | 0.3722 | 0.4098 | 0.1849 | 0.0700 |
| 2015 | 0.3666 | 0.4033 | 0.1835 | 0.0677 |
| 2016 | 0.3845 | 0.4307 | 0.1919 | 0.0752 |
| Anul | Sigma CV | Sigma SD Log ISDE | Gini Index | Theil Index |
|---|---|---|---|---|
| 2006 | 0.2155 | 0.2061 | 0.1174 | 0.02299 |
| 2007 | 0.2294 | 0.2135 | 0.1221 | 0.02550 |
| 2008 | 0.1932 | 0.1905 | 0.1055 | 0.01885 |
| 2009 | 0.2006 | 0.1985 | 0.1070 | 0.02032 |
| 2010 | 0.1840 | 0.1948 | 0.0977 | 0.01785 |
| 2011 | 0.1378 | 0.1357 | 0.0724 | 0.00959 |
| 2012 | 0.1015 | 0.1001 | 0.0512 | 0.00522 |
| 2013 | 0.0827 | 0.0788 | 0.0443 | 0.00340 |
| 2014 | 0.0958 | 0.0922 | 0.0516 | 0.00458 |
| 2015 | 0.0956 | 0.0922 | 0.0518 | 0.00457 |
| 2016 | 0.1090 | 0.1031 | 0.0585 | 0.00586 |
| Anul | Sigma CV | Sigma SD Log ISDE | Gini Index | Theil Index |
|---|---|---|---|---|
| 2006 | 0.1768 | 0.1580 | 0.0900 | 0.0153 |
| 2007 | 0.2249 | 0.2225 | 0.1133 | 0.0264 |
| 2008 | 0.3047 | 0.2815 | 0.1472 | 0.0458 |
| 2009 | 0.2961 | 0.2616 | 0.1469 | 0.0424 |
| 2010 | 0.2787 | 0.2471 | 0.1361 | 0.0377 |
| 2011 | 0.2534 | 0.2289 | 0.1252 | 0.0317 |
| 2012 | 0.2159 | 0.1950 | 0.1109 | 0.0230 |
| 2013 | 0.2486 | 0.2283 | 0.1248 | 0.0309 |
| 2014 | 0.2187 | 0.1963 | 0.1112 | 0.0235 |
| 2015 | 0.1896 | 0.1706 | 0.0932 | 0.0177 |
| 2016 | 0.1843 | 0.1612 | 0.0856 | 0.0165 |
| Anul | Sigma CV | Sigma SD Log ISDE | Gini Index | Theil Index |
|---|---|---|---|---|
| 2006 | 0.8286 | 1.2818 | 0.3616 | 0.45459 |
| 2007 | 0.5259 | 0.5529 | 0.2209 | 0.15948 |
| 2008 | 0.3584 | 0.3298 | 0.1546 | 0.06882 |
| 2009 | 0.7565 | 1.1458 | 0.2912 | 0.38998 |
| 2010 | 0.2894 | 0.2634 | 0.1180 | 0.04478 |
| 2011 | 0.1270 | 0.1071 | 0.0542 | 0.00823 |
| 2012 | 0.2419 | 0.1877 | 0.0981 | 0.02821 |
| 2013 | 0.1502 | 0.1182 | 0.0578 | 0.01100 |
| 2014 | 0.0449 | 0.0362 | 0.0173 | 0.00100 |
| 2015 | 0.1332 | 0.1123 | 0.0575 | 0.00906 |
| 2016 | 0.1618 | 0.1381 | 0.0691 | 0.01346 |
| Anul | Sigma CV | Sigma SD Log ISDE | Gini Index | Theil Index |
|---|---|---|---|---|
| 2006 | 0.0336 | 0.0238 | 0.0119 | 0.00057 |
| 2007 | 0.1047 | 0.0742 | 0.0370 | 0.00548 |
| 2008 | 0.0888 | 0.0629 | 0.0314 | 0.00395 |
| 2009 | 0.0831 | 0.0589 | 0.0294 | 0.00346 |
| 2010 | 0.1041 | 0.0738 | 0.0368 | 0.00543 |
| 2011 | 0.0378 | 0.0267 | 0.0134 | 0.00071 |
| 2012 | 0.0149 | 0.0105 | 0.0053 | 0.00011 |
| 2013 | 0.0502 | 0.0355 | 0.0178 | 0.00126 |
| 2014 | 0.0217 | 0.0154 | 0.0077 | 0.00024 |
| 2015 | 0.0560 | 0.0396 | 0.0198 | 0.00157 |
| 2016 | 0.0070 | 0.0049 | 0.0025 | 0.00002 |
| Anul | Sigma CV | Sigma SD Log ISDE | Gini Index | Theil Index |
|---|---|---|---|---|
| 2006 | 0.0374 | 0.0303 | 0.0160 | 0.00069 |
| 2007 | 0.1667 | 0.1343 | 0.0730 | 0.01374 |
| 2008 | 0.1849 | 0.1593 | 0.0786 | 0.01768 |
| 2009 | 0.2314 | 0.1918 | 0.1028 | 0.02691 |
| 2010 | 0.0674 | 0.0560 | 0.0279 | 0.00230 |
| 2011 | 0.1582 | 0.1244 | 0.0632 | 0.01219 |
| 2012 | 0.1241 | 0.1054 | 0.0501 | 0.00789 |
| 2013 | 0.0688 | 0.0573 | 0.0285 | 0.00240 |
| 2014 | 0.1040 | 0.0839 | 0.0454 | 0.00536 |
| 2015 | 0.1229 | 0.1028 | 0.0536 | 0.00766 |
| 2016 | 0.2071 | 0.1821 | 0.0797 | 0.02247 |
References
- Commission of the European Communities, Communication from the Commission to the European Parliament, the Council, the European Economic and Social Committee and The Committee of The Regions. Mainstreaming Sustainable Development into EU Policies: 2009 Review of the European Union Strategy for Sustainable Development. 24.7.2009 COM (2009) 400 Final; Brussels, Belgium; 2009. Available online: https://www.google.com.hk/url?sa=t&rct=j&q=&esrc=s&source=web&cd=&cad=rja&uact=8&ved=2ahUKEwjx0ajGrcP5AhWXmlYBHcMJAFMQFnoECAoQAQ&url=https%3A%2F%2Feur-lex.europa.eu%2FLexUriServ%2FLexUriServ.do%3Furi%3DCOM%3A2009%3A0400%3AFIN%3AEN%3APDF&usg=AOvVaw0NRSzprQRItx-wQnV1YHu6 (accessed on 6 July 2022).
- Eurostat (European Commission). Sustainable Development in the European Union—Overview of Progress towards the SDGs in an EU Context (2021 Edition) europa.eu. Available online: https://ec.europa.eu/eurostat/documents/4031688/12878925/KS-03-21-097-EN-N.pdf/c7d90bf7-c3ae-00b5-7804-80526931036b?t=1623827181153 (accessed on 4 July 2022).
- Turturean, C.I.; Asandului, L.A.; Chirila, C.; Homocianu, D. Composite index of sustainable development of EU countries’ economies (ISDE-EU). Transf. Bus. Econ. 2019, 18, 586–604. [Google Scholar]
- United Nation. Development and International Economic Co-Operation: Environment Report of the World Commission on Environment and Development, Note by the Secretary-General, Official Records of the General Assembly. Forty-Second Session. Supplement, No. 25 (A/42/251); 4 August 1987. Available online: https://digitallibrary.un.org/record/139811?ln=en#record-files-collapse-header (accessed on 4 July 2022).
- Commission of the European Communities. Communication from the Commission a Sustainable Europe for a Better World: A European Union Strategy for Sustainable Development, Brussels, 15.5.2001, COM (2001)264 Final. Available online: https://aei.pitt.edu/42719/ (accessed on 4 July 2022).
- Bossel, H. Indicators for Sustainable Development: Theory, Method, Applications; International Institute for Sustainable Development: Winnipeg, MB, Canada, 1999. [Google Scholar]
- Ronchi, E.; Federico, A.; Mucmeci, F. A System Oriented Integrated Indicator for Sustainable Development in Italy. Ecol. Indic. 2002, 2, 197–210. [Google Scholar] [CrossRef]
- Barrera-Roldan, A.; Saldivar-Valdes, A. Proposal and Application of a Sustainable Development Index. Ecol. Indic. 2002, 2, 251–256. [Google Scholar] [CrossRef]
- Nourry, M. Measuring Sustainable Development: Some Empirical Evidence for France from eight Alternative Indicators. Ecol. Indic. 2008, 67, 441–456. [Google Scholar] [CrossRef]
- Bartelmus, P. Quantitative Economics: How Sustainable Are Our Economies? Springer: Berlin/Heidelberg, Germany, 2008. [Google Scholar]
- Salvati, L.; Carlucci, M.A. Composite Index of Sustainable Development at the Local Scale: Italy as a Case Study. Ecol. Indic. 2014, 43, 162–171. [Google Scholar] [CrossRef]
- Mikulić, J.; Kožić, I.; Krešić, D. Weighting Indicators of Tourism Sustainability: A Critical Note. Ecol. Indic. 2015, 48, 312–314. [Google Scholar] [CrossRef]
- Tret’yakova, E.A.; Osipova, M.Y. Evaluation of Sustainable Development Indicators for Regions of Russia. Stud. Russ. Econ. Dev. 2018, 29, 124–134. [Google Scholar] [CrossRef]
- OECD. Handbook on Constructing Composite Indicators: Methodology and User Guide; OECD Publishing: Paris, France, 2008; Available online: https://www.oecd.org/sdd/42495745.pdf (accessed on 4 September 2021).
- Pazienza, M.; de Jong, M.; Schoenmaker, D. Clarifying the Concept of Corporate Sustainability and Providing Convergence for Its Definition. Sustainability 2022, 14, 7838. [Google Scholar] [CrossRef]
- De la Vega, I.; de Paula, L.B. Scientific mapping on the convergence of innovation and sustainability (innovability): 1990–2018. Kybernetes 2021, 50, 2917–2942. [Google Scholar] [CrossRef]
- Podcameni, M.G.; Cassiolato, J.E.; Lustosa, M.C.; Marcellino, I.; Rocha, P. Exploring the convergence between sustainability and local innovation systems from a southern perspective: What Brazilian empirical evidence has to offer. Local Econ. 2019, 34, 825–837. [Google Scholar] [CrossRef]
- George, F.P. Natural convergence of sustainability, governance and responsibility: A case study on CIAL: India’s Green Port. Int. J. Innov. Sustain. Dev. 2022, 16, 214–223. Available online: https://scholar.google.com/scholar?hl=ro&as_sdt=0%2C5&q=atural+convergence+of+sustainability%2C+governance+and+responsibility%3A+a++++case+study+on+CIAL%3A+India%27s+Green+Port&btnG= (accessed on 4 July 2022). [CrossRef]
- Harlow, J.; Johnston, E.; Hekler, E.; Yeh, Z. Fostering Sustainability Transitions by Designing for the Convergence of Policy Windows and Transition Arenas. Sustainability 2018, 10, 2975. [Google Scholar] [CrossRef]
- Simo-Kengne, B.D. Tourism growth and environmental sustainability: Trade-off or convergence? Environ. Dev. Sustain. 2022, 24, 8115–8144. [Google Scholar] [CrossRef]
- Guidotti, T.L. Sustainability and health: Notes toward a convergence of agendas. J. Environ. Stud. Sci. 2018, 8, 357–361. [Google Scholar] [CrossRef]
- United Nation. Transforming Our World: The 2030 Agenda for Sustainable Development, Resolution Adopted by the General Assembly on 25 September 2015. Available online: https://www.un.org/ga/search/view_doc.asp?symbol=A/RES/70/1&Lang=E (accessed on 4 July 2022).
- Castro, G.D.R.; Fernández, M.C.G.; Colsa, Á.U. Unleashing the convergence amid digitalization and sustainability towards pursuing the Sustainable Development Goals (SDGs): A holistic review. J. Clean. Prod. 2021, 280, 122204. [Google Scholar] [CrossRef]
- Camodeca, R.; Almici, A. Digital Transformation and Convergence toward the 2030 Agenda’s Sustainability Development Goals: Evidence from Italian Listed Firms. Sustainability 2021, 13, 11831. [Google Scholar] [CrossRef]
- Deev, M.; Gamidullaeva, L.; Finogeev, A.; Finogeev, A.; Vasin, S. The Convergence Model of Education for Sustainability in the Transition to Digital Economy. Sustainability 2021, 13, 11441. [Google Scholar] [CrossRef]
- Melles, G.; Lodewyckx, S.; Hariharan, T.S. Campus sustainability in the Australian higher education sector: Divergence and convergence in planning, reporting and tactics. Int. J. Sustain. High 2022, 23, 87–113. [Google Scholar] [CrossRef]
- Sbarcea, L.R. The Importance of the Sustainability of the Romanian Convergence Process to the Euro Zone. Stud. Bus. Econ. 2018, 13, 161–170. [Google Scholar] [CrossRef]
- Vilas, P.; Andreu, L.; Sarto, J.L. The Convergence between Sustainability and Conventional Stock Indices. Are We on the Right Track? Sustainability 2021, 13, 7613. [Google Scholar] [CrossRef]
- Lesko, P.; Muchova, E. Balance-of-Payments-Constrained Approach: Convergence Sustainability in the Region of Central and Eastern Europe. Emerg. Mark. Financ. Trade 2018, 56, 472–483. [Google Scholar] [CrossRef]
- Thirlwal, A.P. The Balance of Payments Constraint as an Explanation of International Growth Rate Differences. BNL Q. Rev. 1979, 32, 45–53. Available online: https://ideas.repec.org/s/psl/bnlaqr.html (accessed on 4 July 2022).
- Juknys, R.; Liobikienė, G.; Dagiliūtė, R. Sustainability of Economic Growth and Convergence in Regions of Different Developmental Stages. Sustain. Dev. 2017, 25, 276–287. [Google Scholar] [CrossRef]
- Suciu, M.C.; Petre, A.; Istudor, L.G.; Mituca, M.O.; Stativa, G.A.; Mardarovici, D.; Tofan, O.R.; Cotescu, R.G. Testing Real Convergence as a Prerequisite for Long Run Sustainability. Sustainability 2021, 13, 9943. [Google Scholar] [CrossRef]
- Di Berardino, C.; Mauro, G.; Quaglione, D.; Sarra, A. Structural change and the sustainability of regional convergence: Evidence from the Italian regions. Environ. Plan. C Politics Space 2016, 35, 289–311. [Google Scholar] [CrossRef]
- Stiglitz, J.E.; Sen, A.; Fitoussi, J.P. Report by the Commission on the Measurement of Economic Performance and Social Progress. 2009. Available online: https://www.economie.gouv.fr/files/finances/presse/dossiers_de_presse/090914mesure_perf_eco_progres_social/synthese_ang.pdf (accessed on 4 September 2021).
- Mankiw, N.G.; Romer, D.; Weil, D.N. A Contribution to the Empirics of Economic Growth. Q. J. Econ. 1992, 107, 407–437. [Google Scholar] [CrossRef]
- Ben-David, D. Equalizing Exchange: Trade Liberalization and Income Convergence. Q. J. Econ. 1993, 108, 653–679. [Google Scholar] [CrossRef]
- Islam, N. Growth Empirics: A Panel Data Approach. Q. J. Econ. 1995, 110, 1127–1170. [Google Scholar] [CrossRef]
- Smolny, W. Post-War Growth, Productivity Convergence and Reconstruction. Oxf. Bull. Econ. Stat. 2000, 62, 589–606. [Google Scholar] [CrossRef]
- Barro, R.J.; Sala-i-Martin, X. Economic Growth, 2nd ed.; The MIT Press: Cambridge, UK; London, UK, 2003. [Google Scholar]
- De la Fuente, A. Convergence Equations and Income Dynamics: The Sources of OECD Convergence 1970–1995. Economica 2003, 70, 655–671. [Google Scholar] [CrossRef]
- Di Liberto, A.; Symons, J. Some Econometric Issues in Convergence Regressions. Manch. Sch. 2003, 71, 293–307. [Google Scholar] [CrossRef][Green Version]
- Mello, M.; Perrelli, R. Growth Equations: A Quantile Regression Exploration. Q. Rev. Econ. Financ. 2003, 43, 643–667. [Google Scholar] [CrossRef]
- Mazumdar, K. A Note on Cross-Country Divergence in Standard of Living. Appl. Econ. Lett. 2002, 9, 87–90. [Google Scholar] [CrossRef]
- Sutcliffe, B. World Inequality and Globalization. Oxf. Rev. Econ. Policy 2004, 20, 15–37. [Google Scholar] [CrossRef]
- Noorbakhsh, F. International Convergence or Higher Inequality in Human Development? Evidence from 1975 to 2002; Research Paper No. 15; United Nations University, World Institute of Development Economics Research: Helsinki, Finland, 2006; Volume 15, Available online: https://hdl.handle.net/10419/63439 (accessed on 4 July 2022).
- Konia, L.; Guisan, M.C. What Does the Human Development Index Tell Us about Convergence? Appl. Econ. Int. Dev 2008, 8, 19–40. Available online: https://www.usc.es/economet/journals1/aeid/aeid812.pdf (accessed on 4 July 2022).
- Solow, R.M. A contribution to the theory of economic growth. Q. J. Econ. 1956, 70, 65–94. [Google Scholar] [CrossRef]
- Cass, D. Optimum Growth in an Aggregative Model of Capital Accumulation. Rev. Econ. Stud. 1965, 32, 233–240. [Google Scholar] [CrossRef]
- Young, A.T.; Higgins, M.J.; Levy, D. Sigma Convergence versus BetaConvergence: Evidence from U.S. County-Level Data. J. Money Credit Bank. 2008, 40, 1083–1093. [Google Scholar] [CrossRef]
- Wodon, Q.; Yitzhaki, S. Growth and convergence: A social welfare framework. Rev. Income Wealth 2005, 51, 443–454. [Google Scholar] [CrossRef][Green Version]
- Friedman, M. Do Old Fallacies Ever Die? J. Econ. Lit. 1992, 30, 2129–2132. Available online: https://www.jstor.org/stable/2727976 (accessed on 4 July 2022).
- Quah, D. Galton’s Fallacy and Tests of the Convergence Hypothesis. Scand. J. Econ. 1993, 95, 427–443. [Google Scholar] [CrossRef]
- Galor, O. Convergence? Inferences from Theoretical Models. Econ. J. 1996, 106, 1056–1069. [Google Scholar] [CrossRef]
- Baumol, W.J. Productivity Growth, Convergence, and Welfare: What the Long-run Data Show. Am. Econ. Rev 1986, 76, 1072–1085. Available online: https://www.jstor.org/stable/1816469 (accessed on 4 July 2022).
- Sala-i-Martin, X. The Classical Approach to Convergence Analysis. Econ. J. 1996, 106, 1019–1036. [Google Scholar] [CrossRef]
- De la Fuente, A. Empirics of Growth and Convergence: A Selective Review. J. Econ. Dyn. Control 1997, 21, 23–73. [Google Scholar] [CrossRef]
- Giannetti, M. The effects of integration on regional disparities: Convergence, divergence or both? Eur. Econ. Rev. 2002, 46, 539–567. [Google Scholar] [CrossRef]
- Soukiazis, E.; Castro, V. How the Maastricht criteria and the Stability and Growth Pact affected real convergence in the European Union. A panel data analysis. J. Policy Model. 2005, 27, 385–399. [Google Scholar] [CrossRef]
- Sala-i-Martin, X. The World Distribution of Income: Falling Poverty and Convergence, Period. Q. J. Econ. 2006, 121, 351–397. [Google Scholar] [CrossRef]
- Yang, F.; Pan, S.; Yao, X. Regional Convergence and Sustainable Development in China. Sustainability 2016, 8, 121. [Google Scholar] [CrossRef]
- Monfort, P. Convergence of EU Regions. Measures and Evolution; Regional Policy: Brussels, Belgium, 2008; Volume 1. Available online: https://ec.europa.eu/regional_policy/sources/docgener/work/200801_convergence.pdf (accessed on 4 July 2022).
- Kowalski, A.M.; Rybacki, J. Moderate Innovator Trap—Does the Convergence of Innovation Performance Occur in the World Economy? Economies 2021, 9, 11. [Google Scholar] [CrossRef]
- Kijek, T.; Matras-Bolibok, A. Innovativeness of European Regional Space: Convergence or Divergence? Acta Sci. Pol. Oecon. 2018, 17, 59–65. [Google Scholar] [CrossRef]
- Park, H.S. Technology convergence, open innovation, and dynamic economy. J. Open Innov. Technol. Mark. Complex. 2017, 3, 24. [Google Scholar] [CrossRef]
- Jankiewicz, M. The Convergence of Energy Use from Renewable Sources in the European Countries: Spatio-Temporal Approach. Energies 2021, 14, 8378. [Google Scholar] [CrossRef]
- Butnaru, G.I.; Haller, A.P.; Clipa, R.I.; Stefanica, M.; Ifrim, M. The Nexus between Convergence of Conventional and Renewable Energy Consumption in the Present European Union States. Explorative Study on Parametric and Semi-Parametric Methods. Energies 2020, 13, 5272. [Google Scholar] [CrossRef]
- Payne, J.E.; Vizek, M.; Lee, J. Is there convergence in per capita renewable energy consumption across US States? Evidence from LM and RALS-LM unit root tests with breaks. Renew. Sustain. Energy Rev. 2017, 70, 715–728. [Google Scholar] [CrossRef]
- Kasman, A.; Kasman, S. Convergence of renewable energy consumption in the EU-15: Evidence from stochastic and club convergence tests. Environ. Sci. Pollut. Res. 2020, 27, 5901–5911. [Google Scholar] [CrossRef] [PubMed]
- Bai, C.; Feng, C.; Du, K.; Wang, Y.; Gong, Y. Understanding Spatial-Temporal Evolution of Renewable Energy Technology Innovation in China: Evidence from Convergence Analysis. Energy Policy 2020, 143, 111570. [Google Scholar] [CrossRef]
- Kijek, T.; Kijek, A.; Bolibok, P.; Matras-Bolibok, A. The Patterns of Energy Innovation Convergence across European Countries. Energies 2021, 14, 2755. [Google Scholar] [CrossRef]
- Eurostat Website. Available online: https://ec.europa.eu/eurostat/data/database (accessed on 4 September 2021).
- Han, J.; Kamber, M.; Pei, J. Data Transformation and Data Discretization. In Data Mining: Concepts and Techniques; Elsevier: Waltham, MA, USA, 2012; p. 114. [Google Scholar]
- Jain, A.K.; Murty, M.N.; Flynn, P.J. Data clustering: A review. ACM Comput. Surv. 1999, 31, 264–323. [Google Scholar] [CrossRef]
- Shirkhorshidi, A.S.; Aghabozorgi, S.; Wah, T.Y. A Comparison Study on Similarity and Dissimilarity Measures in Clustering Continuous Data. PLoS ONE 2015, 10, e0144059. [Google Scholar] [CrossRef] [PubMed]
- Mao, J.; Jain, A.K. A self-organizing network for hyperellipsoidal clustering (HEC). IEEE Trans. Neural Netw. Learn Syst. 1996, 7, 16–29. [Google Scholar] [CrossRef]
- IBM (Ed.) IBM SPSS Statistics 20 Algorithms; IBM: Armonk, NY, USA, 2011; p. 105. [Google Scholar]
- Everitt, B.S.; Landau, S.; Leese, M.; Stahl, D. Cluster Analysis, 5th ed.; John Wiley & Sons, Ltd.: Chichester, UK, 2011. [Google Scholar]
- Sneath, P.H.; Sokal, R.R. Numerical Taxonomy: The Principles and Practice of Numerical Classification; Freeman: San Francisco, CA, USA, 1973. [Google Scholar]
- Adams, R.P. Hierarchical Clustering, COS 324—Elements of Machine Learning Princeton University. Available online: https://www.cs.princeton.edu/courses/archive/fall18/cos324/files/hierarchical-clustering.pdf (accessed on 4 September 2021).
- Wierzchoń, S.T.; Kłopotek, M.A. Modern Algorithms of Cluster Analysis; Springer International Publishing AG: Berlin/Heidelberg, Germany, 2018; p. 29. [Google Scholar]
- Barro, R.J.; Sala-i-Martin, X. Convergence. J. Polit. Econ. 1992, 100, 223–251. [Google Scholar] [CrossRef]
- Swan, T.W. Economic growth and capital accumulation. Econ. Rec. 1956, 32, 334–361. [Google Scholar] [CrossRef]
- Ramsey, F.P. A Mathematical Theory of Saving. Econ. J. 1928, 38, 543–559. [Google Scholar] [CrossRef]
- Koopmans, T.C. On the Concept of Optimal Economic Growth. The Economic Approach to Development Planning. Chicago. 1965, pp. 225–287. Available online: https://cowles.yale.edu/sites/default/files/files/pub/d01/d0163.pdf (accessed on 4 July 2022).
- Kočenda, E.; Papell, D.H. Inflation convergence within the European Union: A panel data analysis. Int. J. Financ. Econ. 1997, 2, 189–198. [Google Scholar] [CrossRef]
- Matkowski, Z.; Prochniak, M. Real economic convergence in the EU accession countries. Int. J. Appl. Econom. Quant. 2004, 1, 5–38. Available online: http://www.usc.es/economet/reviews/ijaeqs131.pdf (accessed on 4 September 2021).
- Hagemann, H. The Macroeconomics of Accession: Growth, Convergence and Structural Adjustment. Struct. Chang. Econ. Dyn. 2004, 15, 1–12. [Google Scholar] [CrossRef]

















| ISDE-EU | ||||||||||||
|---|---|---|---|---|---|---|---|---|---|---|---|---|
| Years | ||||||||||||
| 2006 | 2007 | 2008 | 2009 | 2010 | 2011 | 2012 | 2013 | 2014 | 2015 | 2016 | ||
| Country | AT | 0.080 | 0.100 | 0.220 | 0.150 | 0.200 | 0.150 | 0.210 | 0.240 | 0.250 | 0.250 | 0.280 |
| BE | 0.160 | 0.150 | 0.120 | 0.140 | 0.180 | 0.180 | 0.200 | 0.190 | 0.210 | 0.210 | 0.250 | |
| BG | 0.320 | 0.430 | 0.200 | 0.210 | 0.260 | 0.180 | 0.210 | 0.240 | 0.140 | 0.190 | 0.210 | |
| CY | −0.190 | −0.170 | −0.240 | −0.270 | −0.230 | −0.240 | −0.200 | −0.190 | −0.180 | −0.130 | −0.150 | |
| CZ | −0.370 | −0.360 | −0.370 | −0.380 | −0.330 | −0.320 | −0.240 | −0.290 | −0.250 | −0.220 | −0.210 | |
| DK | 0.320 | 0.370 | 0.430 | 0.490 | 0.520 | 0.460 | 0.460 | 0.520 | 0.490 | 0.550 | 0.510 | |
| EE | −0.220 | −0.190 | −0.220 | −0.240 | −0.220 | −0.140 | −0.160 | −0.180 | −0.130 | −0.140 | −0.120 | |
| FI | 0.290 | 0.300 | 0.340 | 0.350 | 0.310 | 0.330 | 0.320 | 0.280 | 0.300 | 0.340 | 0.270 | |
| FR | −0.010 | −0.010 | −0.020 | 0.050 | 0.080 | 0.050 | 0.060 | 0.130 | 0.120 | 0.120 | 0.150 | |
| DE | 0.080 | 0.130 | 0.170 | 0.170 | 0.170 | 0.210 | 0.220 | 0.220 | 0.280 | 0.290 | 0.330 | |
| GR | −0.060 | −0.060 | −0.060 | −0.080 | −0.110 | −0.020 | 0.080 | 0.140 | 0.130 | 0.140 | 0.160 | |
| HU | −0.170 | −0.300 | −0.330 | −0.310 | −0.290 | −0.230 | −0.120 | −0.080 | −0.100 | −0.120 | −0.150 | |
| IE | −0.030 | −0.010 | 0.030 | 0.020 | 0.050 | 0.110 | 0.200 | 0.180 | 0.210 | 0.200 | 0.180 | |
| IT | −0.060 | −0.030 | −0.010 | −0.030 | 0.030 | 0.130 | 0.200 | 0.250 | 0.270 | 0.290 | 0.400 | |
| LV | 0.080 | 0.000 | 0.050 | 0.060 | −0.010 | 0.040 | −0.020 | −0.010 | −0.070 | −0.070 | −0.140 | |
| LT | 0.040 | −0.060 | −0.120 | −0.150 | 0.000 | −0.090 | −0.120 | −0.070 | −0.100 | 0.010 | 0.030 | |
| LU | 0.260 | 0.250 | 0.290 | 0.350 | 0.330 | 0.280 | 0.290 | 0.340 | 0.360 | 0.360 | 0.420 | |
| MT | −0.490 | −0.460 | −0.440 | −0.490 | −0.400 | −0.360 | −0.330 | −0.230 | −0.250 | −0.270 | −0.290 | |
| NL | 0.100 | 0.120 | 0.120 | 0.150 | 0.160 | 0.180 | 0.180 | 0.200 | 0.220 | 0.240 | 0.290 | |
| PO | −0.080 | −0.150 | −0.230 | −0.240 | −0.220 | −0.240 | −0.220 | −0.220 | −0.190 | −0.190 | −0.150 | |
| PT | −0.140 | −0.090 | −0.060 | −0.080 | −0.050 | −0.050 | −0.070 | −0.010 | 0.030 | 0.000 | −0.010 | |
| RO | 0.050 | 0.110 | 0.010 | −0.050 | −0.060 | −0.080 | −0.030 | −0.020 | −0.010 | 0.050 | 0.030 | |
| SK | −0.310 | −0.380 | −0.390 | −0.380 | −0.320 | −0.330 | −0.320 | −0.290 | −0.230 | −0.200 | −0.230 | |
| SL | −0.240 | −0.220 | −0.180 | −0.150 | −0.120 | −0.080 | −0.010 | 0.000 | −0.020 | −0.010 | 0.010 | |
| ES | 0.040 | 0.040 | 0.100 | 0.120 | 0.150 | 0.100 | 0.150 | 0.150 | 0.200 | 0.210 | 0.230 | |
| SE | 0.360 | 0.250 | 0.320 | 0.380 | 0.380 | 0.410 | 0.440 | 0.450 | 0.460 | 0.470 | 0.520 | |
| UK | 0.170 | 0.170 | 0.200 | 0.190 | 0.220 | 0.180 | 0.210 | 0.240 | 0.230 | 0.250 | 0.260 | |
| ISDEEU | ||||||||||||
|---|---|---|---|---|---|---|---|---|---|---|---|---|
| Years | ||||||||||||
| 2006 | 2007 | 2008 | 2009 | 2010 | 2011 | 2012 | 2013 | 2014 | 2015 | 2016 | ||
| Country | AT | 0.5471 | 0.5660 | 0.6790 | 0.6131 | 0.6602 | 0.6131 | 0.6696 | 0.6979 | 0.7073 | 0.7073 | 0.7356 |
| BE | 0.6225 | 0.6131 | 0.5848 | 0.6037 | 0.6413 | 0.6413 | 0.6602 | 0.6508 | 0.6696 | 0.6696 | 0.7073 | |
| BG | 0.7733 | 0.8769 | 0.6602 | 0.6696 | 0.7167 | 0.6413 | 0.6696 | 0.6979 | 0.6037 | 0.6508 | 0.6696 | |
| CY | 0.2927 | 0.3115 | 0.2456 | 0.2173 | 0.2550 | 0.2456 | 0.2833 | 0.2927 | 0.3021 | 0.3492 | 0.3304 | |
| CZ | 0.1231 | 0.1325 | 0.1231 | 0.1137 | 0.1608 | 0.1702 | 0.2456 | 0.1985 | 0.2362 | 0.2644 | 0.2738 | |
| DK | 0.7733 | 0.8204 | 0.8769 | 0.9335 | 0.9617 | 0.9052 | 0.9052 | 0.9617 | 0.9335 | 0.9900 | 0.9523 | |
| EE | 0.2644 | 0.2927 | 0.2644 | 0.2456 | 0.2644 | 0.3398 | 0.3210 | 0.3021 | 0.3492 | 0.3398 | 0.3587 | |
| FI | 0.7450 | 0.7544 | 0.7921 | 0.8015 | 0.7638 | 0.7827 | 0.7733 | 0.7356 | 0.7544 | 0.7921 | 0.7262 | |
| FR | 0.4623 | 0.4623 | 0.4529 | 0.5188 | 0.5471 | 0.5188 | 0.5283 | 0.5942 | 0.5848 | 0.5848 | 0.6131 | |
| DE | 0.5471 | 0.5942 | 0.6319 | 0.6319 | 0.6319 | 0.6696 | 0.6790 | 0.6790 | 0.7356 | 0.7450 | 0.7827 | |
| GR | 0.4152 | 0.4152 | 0.4152 | 0.3963 | 0.3681 | 0.4529 | 0.5471 | 0.6037 | 0.5942 | 0.6037 | 0.6225 | |
| HU | 0.3115 | 0.1890 | 0.1608 | 0.1796 | 0.1985 | 0.2550 | 0.3587 | 0.3963 | 0.3775 | 0.3587 | 0.3304 | |
| IE | 0.4435 | 0.4623 | 0.5000 | 0.4906 | 0.5188 | 0.5754 | 0.6602 | 0.6413 | 0.6696 | 0.6602 | 0.6413 | |
| IT | 0.4152 | 0.4435 | 0.4623 | 0.4435 | 0.5000 | 0.5942 | 0.6602 | 0.7073 | 0.7262 | 0.7450 | 0.8487 | |
| LV | 0.5471 | 0.4717 | 0.5188 | 0.5283 | 0.4623 | 0.5094 | 0.4529 | 0.4623 | 0.4058 | 0.4058 | 0.3398 | |
| LT | 0.5094 | 0.4152 | 0.3587 | 0.3304 | 0.4717 | 0.3869 | 0.3587 | 0.4058 | 0.3775 | 0.4812 | 0.5000 | |
| LU | 0.7167 | 0.7073 | 0.7450 | 0.8015 | 0.7827 | 0.7356 | 0.7450 | 0.7921 | 0.8110 | 0.8110 | 0.8675 | |
| MT | 0.0100 | 0.0383 | 0.0571 | 0.0100 | 0.0948 | 0.1325 | 0.1608 | 0.2550 | 0.2362 | 0.2173 | 0.1985 | |
| NL | 0.5660 | 0.5848 | 0.5848 | 0.6131 | 0.6225 | 0.6413 | 0.6413 | 0.6602 | 0.6790 | 0.6979 | 0.7450 | |
| PO | 0.3963 | 0.3304 | 0.2550 | 0.2456 | 0.2644 | 0.2456 | 0.2644 | 0.2644 | 0.2927 | 0.2927 | 0.3304 | |
| PT | 0.3398 | 0.3869 | 0.4152 | 0.3963 | 0.4246 | 0.4246 | 0.4058 | 0.4623 | 0.5000 | 0.4717 | 0.4623 | |
| RO | 0.5188 | 0.5754 | 0.4812 | 0.4246 | 0.4152 | 0.3963 | 0.4435 | 0.4529 | 0.4623 | 0.5188 | 0.5000 | |
| SK | 0.1796 | 0.1137 | 0.1042 | 0.1137 | 0.1702 | 0.1608 | 0.1702 | 0.1985 | 0.2550 | 0.2833 | 0.2550 | |
| SL | 0.2456 | 0.2644 | 0.3021 | 0.3304 | 0.3587 | 0.3963 | 0.4623 | 0.4717 | 0.4529 | 0.4623 | 0.4812 | |
| ES | 0.5094 | 0.5094 | 0.5660 | 0.5848 | 0.6131 | 0.5660 | 0.6131 | 0.6131 | 0.6602 | 0.6696 | 0.6885 | |
| SE | 0.8110 | 0.7073 | 0.7733 | 0.8298 | 0.8298 | 0.8581 | 0.8863 | 0.8958 | 0.9052 | 0.9146 | 0.9617 | |
| UK | 0.6319 | 0.6319 | 0.6602 | 0.6508 | 0.6790 | 0.6413 | 0.6696 | 0.6979 | 0.6885 | 0.7073 | 0.7167 | |
| Cluster 1 | Cluster 2 | Cluster 3 | Cluster 4 | Cluster 5 |
|---|---|---|---|---|
| Austria | Cyprus | Czechia | Denmark | Latvia |
| Belgium | Estonia | Malta | Sweden | Lithuania |
| Bulgaria | Hungary | Slovakia | Romania | |
| Finland | Poland | |||
| France | Portugal | |||
| Germany | Slovenia | |||
| Greece | ||||
| Ireland | ||||
| Italy | ||||
| Luxembourg | ||||
| Netherlands | ||||
| Spain | ||||
| United Kingdom |
| Cluster 1 | −0.2293 (0.017) | −0.0783 (0.000) | −0.0565 |
| Cluster 2 | −0.1288 (0.068) | −0.1247 * (0.045) | −0.0785 |
| Cluster 3 | −0.1037 (0.060) | −0.0817 (0.025) | −0.0583 |
| Cluster 4 | N.A. | N.A. | 0 |
| Cluster 5 | −0.4163 (−0.132) | −0.6208 (0.137) | −0.1871 |
| All | −0.0239 * (0.004) | −0.0556 * (0.000) | −0.0434 |
| Constant | b1 | b1 Stdz | R Sq. | |
|---|---|---|---|---|
| Sigma CV | 24,124 (0.003) | −0.012 (0.003) | −0.804 (0.003) | 0.647 (0.003) |
| Sigma | 91,715 (0.001) | −0.045 (0.001) | −0.851 (0.001) | 0.723 (0.001) |
| Gini | 12,797 (0.001) | −0.006 (0.002) | −0.828 (0.002) | 0.686 (0.002) |
| Theil | 13,222 (0.001) | −0.007 (0.002) | −0.828 (0.002) | 0.686 (0.002) |
| Constant | b1 | b1 Stdz | R Sq. | |
|---|---|---|---|---|
| Sigma CV | 30,830 (0.000) | −0.015 (0.000) | −0.912 (0.000) | 0.832 (0.000) |
| Sigma | 29,931 (0.000) | −0.015 (0.000) | −0.902 (0.000) | 0.814 (0.000) |
| Gini | 16,704 (0.000) | −0.008 (0.000) | −0.909 (0.000) | 0.827 (0.000) |
| Theil | 4741 (0.000) | −0.002 (0.000) | −0.917 (0.000) | 0.841 (0.000) |
| Constant | b1 | b1 Stdz | R Sq. | |
|---|---|---|---|---|
| Sigma CV | 9733 (0.277) | −0.005 (0.288) | −0.352 (0.288) | 0.124 (0.288) |
| Sigma | 10,559 (0.196) | −0.005 (0.204) | −0.415 (0.204) | 0.172 (0.204) |
| Gini | 5232 (0.225) | −0.003 (0.235) | −0.391 (0.235) | 0.153 (0.235) |
| Theil | 2467 (0.236) | −0.001 (0.241) | −0.386 (0.241) | 0.149 (0.241) |
| Constant | b1 | b1 Stdz | R Sq. | |
|---|---|---|---|---|
| Sigma CV | 130,229 (0.003) | −0.065 (0.003) | −0.809 (0.003) | 0.655 (0.003) |
| Sigma | 192,212 (0.010) | −0.095 (0.011) | −0.731 (0.011) | 0.534 (0.011) |
| Gini | 55,251 (0.002) | −0.027 (0.002) | −0.824 (0.002) | 0.678 (0.002) |
| Theil | 69,311 (0.016) | −0.034 (0.016) | −0.703 (0.016) | 0.494 (0.016) |
| Constant | b1 | b1 Stdz | R Sq. | |
|---|---|---|---|---|
| Sigma CV | 12,561 (0.060) | −0.006 (0.061) | −0.581 (0.061) | 0.337 (0.061) |
| Sigma | 8915 (0.060) | −0.004 (0.061) | −0.581 (0.061) | 0.338 (0.061) |
| Gini | 4436 (0.060) | −0.002 (0.061) | −0.581 (0.061) | 0.337 (0.061) |
| Theil | 0.719 (0.073) | −3.57 × 10−4 (0.074) | −0.559 (0.074) | 0.313 (0.074) |
| Constant | b1 | b1 Stdz | R Sq. | |
|---|---|---|---|---|
| Sigma CV | −2830 (0.825) | 0.001 (0.817) | 0.079 (0.817) | 0.006 (0.817) |
| Sigma | −3311 (0.762) | 0.002 (0.754) | 0.107 (0.754) | 0.011 (0.754) |
| Gini | −0.216 (0.968) | 0.000 (0.960) | 0.017 (0.960) | 0.000 (0.960) |
| Theil | −0.066 (0.971) | 0.000 (0.966) | 0.015 (0.966) | 0.000 (0.966) |
| Clusters/Total EU 27 | Total EU 27 | Cluster 1 | Cluster 2 | Cluster 3 | Cluster 4 | Cluster 5 |
|---|---|---|---|---|---|---|
| Beta Convergence | ||||||
| Regression Slope (β1) (Positive/Negative) | N | N | N | N | N/A | N |
| Statistical significance (Yes/No) | Y | Y | Y | Y | N/A | N |
| Convergence/Divergence (C/D) | C | C | C | C | N/A | C |
| Sigma Convergence | ||||||
| Regression Slope (β1) (Positive/Negative) | N | N | N | N | N | P |
| Statistical significance (Yes/No) | Y | Y | N | Y | N | N |
| Convergence/Divergence (C/D) * | C | C | C/n * | C | C/n * | D |
| Beta and Sigma Convergence match | ||||||
| Concordance between β and σ Convergence (YES/NO) | Y | Y | Y | Y | N/A | N |
| Convergence/Divergence (C/D) | C | C | C | C | N/A | C/D |
Publisher’s Note: MDPI stays neutral with regard to jurisdictional claims in published maps and institutional affiliations. |
© 2022 by the authors. Licensee MDPI, Basel, Switzerland. This article is an open access article distributed under the terms and conditions of the Creative Commons Attribution (CC BY) license (https://creativecommons.org/licenses/by/4.0/).
Share and Cite
Turturean, C.I.; Chirilă, C.; Chirilă, V. The Convergence in the Sustainability of the Economies of the European Union Countries between 2006 and 2016. Sustainability 2022, 14, 10115. https://doi.org/10.3390/su141610115
Turturean CI, Chirilă C, Chirilă V. The Convergence in the Sustainability of the Economies of the European Union Countries between 2006 and 2016. Sustainability. 2022; 14(16):10115. https://doi.org/10.3390/su141610115
Chicago/Turabian StyleTurturean, Ciprian Ionel, Ciprian Chirilă, and Viorica Chirilă. 2022. "The Convergence in the Sustainability of the Economies of the European Union Countries between 2006 and 2016" Sustainability 14, no. 16: 10115. https://doi.org/10.3390/su141610115
APA StyleTurturean, C. I., Chirilă, C., & Chirilă, V. (2022). The Convergence in the Sustainability of the Economies of the European Union Countries between 2006 and 2016. Sustainability, 14(16), 10115. https://doi.org/10.3390/su141610115

