Prevalence of Post-Traumatic Stress Disorder (PTSD) in University Students during the COVID-19 Pandemic: A Meta-Analysis Attending SDG 3 and 4 of the 2030 Agenda
Abstract
:1. Introduction
2. Materials and Methods
2.1. Search Strategy
Selection Criteria
2.2. Methodological Quality Assessment
2.3. Statistical Analysis
3. Results
3.1. Selection of Studies
3.2. Characteristics and Methodological Quality of the Included Studies
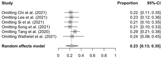
3.3. PTSD Prevalence
4. Discussion
Strengths and Limitations
5. Conclusions
Supplementary Materials
Author Contributions
Funding
Conflicts of Interest
References
- WHO Director-General’s Opening Remarks at the Media Briefing on COVID-19—11 March 2020. Available online: https://www.who.int/dg/speeches/detail/who-director-general-s-opening-remarks-atthe-media-briefing-on-covid-19—11-march-2020 (accessed on 1 September 2021).
- UNESCO. Survey on National Education Responses to COVID-19 School Closures, Round 2. 2020. Available online: https://covid19.uis.unesco.org/joint-covid-r2/ (accessed on 1 September 2021).
- Idoiaga Mondragon, N.; Berasategi Sancho, N.; Eiguren Munitis, A.; Dosil Santamaria, M. Exploring the social and emotional representations used by students from the University of the Basque Country to face the first outbreak of COVID-19 pandemic. Health Educ. Res. 2021, 36, 159–169. [Google Scholar] [CrossRef] [PubMed]
- Santabarbara, J.; Idoiaga, N.; Ozamiz-Etxebarria, N.; Bueno-Notivol, J. Prevalence of Anxiety in Dental Students during the COVID-19 Outbreak: A Meta-Analysis. Int. J. Environ. Res. Public Health 2021, 18, 10978. [Google Scholar] [CrossRef] [PubMed]
- Akram, U.; Fülöp, M.; Tiron-Tudor, A.; Topor, D.; Căpușneanu, S. Impact of Digitalization on Customers’ Well-Being in the Pandemic Period: Challenges and Opportunities for the Retail Industry. Int. J. Environ. Res. Public Health 2021, 18, 7533. [Google Scholar] [CrossRef] [PubMed]
- Basilaia, G.; Kvavadze, D. Transition to online education in schools during a SARS-CoV-2 coronavirus (COVID-19) pandemic in Georgia. Pedagog. Res. 2020, 5, em0060. [Google Scholar] [CrossRef] [Green Version]
- García-Morales, V.J.; Garrido-Moreno, A.; Martín-Rojas, R. The Transformation of Higher Education After the COVID Disruption: Emerging Challenges in an Online Learning Scenario. Front. Psychol. 2021, 12, 616059. [Google Scholar] [CrossRef]
- Di Domenico, L.; Pullano, G.; Sabbatini, C.E.; Boëlle, P.-Y.; Colizza, V. Modelling safe protocols for reopening schools during the COVID-19 pandemic in France. Nat. Commun. 2021, 12, 1073. [Google Scholar] [CrossRef]
- Alvarez-Risco, A.; Del-Aguila-Arcentales, S.; Rosen, M.; García-Ibarra, V.; Maycotte-Felkel, S.; Martínez-Toro, G.M. Expectations and Interests of University Students in COVID-19 Times about Sustainable Development Goals: Evidence from Colombia, Ecuador, Mexico, and Peru. Sustainability 2021, 13, 3306. [Google Scholar] [CrossRef]
- Cinar, A.B.; Bilodeau, S. Sustainable Workplace Mental Well Being for Sustainable SMEs: How? Sustainability 2022, 14, 5290. [Google Scholar] [CrossRef]
- Nurunnabi, M. Recovery planning and resilience of SMEs during the COVID-19: Experience from Saudi Arabia. J. Account. Organ. Change 2020, 16, 643–653. [Google Scholar] [CrossRef]
- Dhaliwal, M.; Small, R.; Webb, D.; Cluver, L.; Ibrahim, M.; Bok, L.; Nascimento, C.; Wang, C.; Garagic, A.; Jensen, L. Covid-19 as a long multiwave event: Implications for responses to safeguard younger generations. BMJ 2022, 376, e068123. [Google Scholar] [CrossRef]
- Ellanki, R.; Favara, M.; Le Thuc, D.; McKay, A.; Porter, C.; Sánchez, A.; Scott, D.; Woldehanna, T. Assessing the potential impact of coronavirus disease 2019 (COVID-19) on the Sustainable Development Goals (SDG) outcomes: Evidence from telephone surveys in the four Young Lives countries. Emerald Open Res. 2021, 3, 15. [Google Scholar] [CrossRef]
- Islam, M.A.; Barna, S.D.; Raihan, H.; Khan, M.N.A.; Hossain, M.T. Depression and anxiety among university students during the COVID-19 pandemic in Bangladesh: A web-based cross-sectional survey. PLoS ONE 2020, 15, e0238162. [Google Scholar] [CrossRef] [PubMed]
- Pekrun, R.; Goetz, T.; Titz, W.; Perry, R.P. Academic Emotions in Students’ Self-Regulated Learning and Achievement: A Program of Qualitative and Quantitative Research. Educ. Psychol. 2002, 37, 91–105. [Google Scholar] [CrossRef]
- American Psychiatric Association. Diagnostic and Statistical Manual of Mental Disorders: DSM-5; American Psychiatric Association Publishing: Washington, DC, USA, 2013. [Google Scholar]
- DePierro, J.; Lowe, S.; Katz, C. Lessons learned from 9/11: Mental health perspectives on the COVID-19 pandemic. Psychiatry Res. 2020, 288, 113024. [Google Scholar] [CrossRef]
- Chi, X.; Becker, B.; Yu, Q.; Willeit, P.; Jiao, C.; Huang, L.; Hossain, M.M.; Grabovac, I.; Yeung, A.; Lin, J.; et al. Prevalence and Psychosocial Correlates of Mental Health Outcomes Among Chinese College Students During the Coronavirus Disease (COVID-19) Pandemic. Front. Psychiatry 2020, 11, 803. [Google Scholar] [CrossRef]
- Tang, W.; Hu, T.; Hu, B.; Jin, C.; Wang, G.; Xie, C.; Chen, S.; Xu, J. Prevalence and correlates of PTSD and depressive symptoms one month after the outbreak of the COVID-19 epidemic in a sample of home-quarantined Chinese university students. J. Affect. Disord. 2020, 274, 1–7. [Google Scholar] [CrossRef]
- Xiong, J.; Lipsitz, O.; Nasri, F.; Lui, L.M.W.; Gill, H.; Phan, L.; Chen-Li, D.; Iacobucci, M.; Ho, R.; Majeed, A.; et al. Impact of COVID-19 pandemic on mental health in the general population: A systematic review. J. Affect. Disord. 2020, 277, 55–64. [Google Scholar] [CrossRef]
- Lerias, D.; Byrne, M.K. Vicarious traumatization: Symptoms and predictors. Stress Health J. Int. Soc. Investig. Stress 2003, 19, 129–138. [Google Scholar] [CrossRef]
- Liu, N.; Xu, X.; Liu, Y. Recovery of vanadium and tungsten from spent selective catalytic reduction catalyst by alkaline pressure leaching. Physicochem. Probl. Miner. Process. 2020, 56, 407–420. [Google Scholar] [CrossRef]
- Mejia, C.R.; Rodriguez-Alarcon, J.F.; Garay-Rios, L.; Enriquez-Anco, M.d.G.; Moreno, A.; Huaytan-Rojas, K.; Huari, N.H.-Ñ.; Julca-Gonzales, A.; Alvarez, C.H.; Choque-Vargas, J.; et al. Percepción de miedo o exageración que transmiten los medios de comunicación en la población peruana durante la pandemia de la COVID-19. Rev. Cuba. Investig. Bioméd. 2020, 39, e698E. [Google Scholar]
- Liang, L.; Ren, H.; Cao, R.; Hu, Y.; Qin, Z.; Li, C.; Mei, S. The Effect of COVID-19 on Youth Mental Health. Psychiatr. Q. 2020, 91, 841–852. [Google Scholar] [CrossRef] [PubMed]
- Ozamiz-Etxebarria, N.; Dosil-Santamaria, M.; Picaza-Gorrochategui, M.; Idoiaga-Mondragon, N. Niveles de estrés, ansiedad y depresión en la primera fase del brote del COVID-19 en una muestra recogida en el norte de España. Cad. Saúde Pública 2020, 36. [Google Scholar] [CrossRef] [PubMed]
- Czeisler, M.É.; Lane, R.I.; Petrosky, E.; Wiley, J.F.; Christensen, A.; Njai, R.; Weaver, M.D.; Robbins, R.; Facer-Childs, E.R.; Barger, L.K.; et al. Mental Health, Substance Use, and Suicidal Ideation During the COVID-19 Pandemic—United States, 24–30 June 2020. MMWR Morb. Mortal. Wkly. Rep. 2020, 69, 1049–1057. [Google Scholar] [CrossRef] [PubMed]
- Wang, C.; Wen, W.; Zhang, H.; Ni, J.; Jiang, J.; Cheng, Y.; Zhou, M.; Ye, L.; Feng, Z.; Ge, Z.; et al. Anxiety, depression, and stress prevalence among college students during the COVID-19 pandemic: A systematic review and meta-analysis. J. Am. Coll. Health 2021, 1–8. [Google Scholar] [CrossRef] [PubMed]
- Cummings, S.R.; Browner, W.S.; Hulley, S.B. Conceiving the research question and developing the study plan. Des. Clin. Res. 2013, 4, 14–22. [Google Scholar]
- Moher, D.; Liberati, A.; Tetzlaff, J.; Altman, D.G.; PRISMA Group. Preferred reporting items for systematic reviews and meta-analyses: The PRISMA statement. PLoS Med. 2009, 6, e1000097. [Google Scholar] [CrossRef] [Green Version]
- Methods Group of the Campbell Collaboration. Methodological Expectations of Campbell Collaboration Intervention Reviews: Conduct Standards; Campbell Policies and Guidelines Series; The Campbell Collaboration: Oslo, Norway, 2016; Volume 3. [Google Scholar]
- Harrer, M.; Cuijpers, P.; Furukawa, T.A.; Ebert, D.D. Doing Meta-Analysis with R: A Hands-On Guide; Chapman and Hall/CRC: Boca Raton, FL, USA; London, UK, 2021. [Google Scholar]
- Moola, S.; Munn, Z.; Tufanaru, C.; Aromataris, E.; Sears, K.; Sfetc, R.; Currie, M.; Lisy, K.; Qureshi, R.; Mattis, P.; et al. Systematic reviews of etiology and risk. In Joanna Briggs Institute Reviewer’s Manual, 5th ed.; The Joanna Briggs Institute: Adelaide, Australia, 2017. [Google Scholar]
- DerSimonian, R.; Laird, N. Meta-analysis in clinical trials. Control. Clin. Trials 1986, 7, 177–188. [Google Scholar] [CrossRef]
- Lin, L.; Xu, C. Arcsine-based transformations for meta-analysis of proportions: Pros, cons, and alternatives. Health Sci. Rep. 2020, 3, e178. [Google Scholar] [CrossRef]
- Knapp, G.; Hartung, J. Improved tests for a random effects meta-regression with a single covariate. Stat. Med. 2003, 22, 2693–2710. [Google Scholar] [CrossRef]
- Langan, D.; Higgins, J.P.; Jackson, D.; Bowden, J.; Veroniki, A.A.; Kontopantelis, E.; Viechtbauer, W.; Simmonds, M. A comparison of heterogeneity variance estimators in simulated random-effects meta-analyses. Res. Synth. Methods 2019, 10, 83–98. [Google Scholar] [CrossRef]
- von Hippel, P.T. The heterogeneity statistic I2 can be biased in small meta-analyses. BMC Med. Res. Methodol. 2015, 15, 35. [Google Scholar] [CrossRef] [PubMed] [Green Version]
- Higgins, J.P.T.; Thompson, S.G.; Deeks, J.J.; Altman, D.G. Measuring inconsistency in meta-analyses. BMJ 2003, 327, 557–560. [Google Scholar] [CrossRef] [PubMed] [Green Version]
- Thompson, S.G.; Higgins, J.P. How should meta-regression analyses be undertaken and interpreted? Stat. Med. 2002, 21, 1559–1573. [Google Scholar] [CrossRef] [PubMed]
- Egger, M.; Schneider, M.; Smith, G.D. Meta-analysis Spurious precision? Meta-analysis of observational studies. BMJ 1998, 316, 140–144. [Google Scholar] [CrossRef]
- Hunter, J.P.; Saratzis, A.; Sutton, A.J.; Boucher, R.H.; Sayers, R.D.; Bown, M.J. In meta-analyses of proportion studies, funnel plots were found to be an inaccurate method of assessing publication bias. J. Clin. Epidemiol. 2014, 67, 897–903. [Google Scholar] [CrossRef]
- Egger, M.; Smith, G.D.; Schneider, M.; Minder, C. Bias in meta-analysis detected by a simple, graphical test. BMJ 1997, 315, 629–634. [Google Scholar] [CrossRef] [Green Version]
- Furuya-Kanamori, L.; Xu, C.; Lin, L.; Doan, T.; Chu, H.; Thalib, L.; Doi, S.A. P value–driven methods were underpowered to detect publication bias: Analysis of Cochrane review meta-analyses. J. Clin. Epidemiol. 2020, 118, 86–92. [Google Scholar] [CrossRef]
- Furuya-Kanamori, L.; Barendregt, J.J.; Doi, S.A. A new improved graphical and quantitative method for detecting bias in meta-analysis. Int. J. Evid.-Based Health 2018, 16, 195–203. [Google Scholar] [CrossRef]
- Rosenberg, M.S. The file-drawer problem revisited: A general weighted method for calculating fail-safe numbers in meta-analysis. Evolution 2005, 59, 464–468. [Google Scholar] [CrossRef]
- Cochrane Handbook for Systematic Reviews of Interventions. Version 5.1.0.: The Cochrane Collaboration. 2011. Available online: https://handbook-5-1.cochrane.org/ (accessed on 1 September 2021).
- Sterne, J.A.C.; Sutton, A.J.; Ioannidis, J.P.A.; Terrin, N.; Jones, D.R.; Lau, J.; Carpenter, J.; Rücker, G.; Harbord, R.M.; Schmid, C.H.; et al. Recommendations for examining and interpreting funnel plot asymmetry in meta-analyses of randomised controlled trials. BMJ 2011, 343, d4002. [Google Scholar] [CrossRef] [Green Version]
- R Core Team. R: A Language and Environment for Statistical Computing; R Foundation for Statistical Computing: Vienna, Austria, 2019. [Google Scholar]
- Chi, X.; Huang, L.; Hall, D.L.; Li, R.; Liang, K.; Hossain, M.; Guo, T. Posttraumatic Stress Symptoms Among Chinese College Students During the COVID-19 Pandemic: A Longitudinal Study. Front. Public Health 2021, 9, 759379. [Google Scholar] [CrossRef] [PubMed]
- Lee, C.M.; Juarez, M.; Rae, G.; Jones, L.; Rodriguez, R.M.; Davis, J.A.; Boysen-Osborn, M.; Kashima, K.J.; Krane, N.K.; Kman, N.; et al. Anxiety, PTSD, and stressors in medical students during the initial peak of the COVID-19 pandemic. PLoS ONE 2021, 16, e0255013. [Google Scholar] [CrossRef] [PubMed]
- Si, M.-Y.; Su, X.-Y.; Jiang, Y.; Wang, W.-J.; Gu, X.-F.; Ma, L.; Li, J.; Zhang, S.-K.; Ren, Z.-F.; Liu, Y.-L.; et al. Prevalence and Predictors of PTSD During the Initial Stage of COVID-19 Epidemic among Female College Students in China. Inq. J. Health Care Organ. Provis. Financ. 2021, 58, 00469580211059953. [Google Scholar] [CrossRef] [PubMed]
- Song, B.; Zhao, Y.; Zhu, J. COVID-19-related Traumatic Effects and Psychological Reactions among International Students. J. Epidemiol. Glob. Health 2021, 11, 117–123. [Google Scholar] [CrossRef] [PubMed]
- Wathelet, M.; Fovet, T.; Jousset, A.; Duhem, S.; Habran, E.; Horn, M.; Debien, C.; Notredame, C.-E.; Baubet, T.; Vaiva, G.; et al. Prevalence of and factors associated with post-traumatic stress disorder among French university students 1 month after the COVID-19 lockdown. Transl. Psychiatry 2021, 11, 327. [Google Scholar] [CrossRef]
- Zhang, L.; Pan, R.; Cai, Y.; Pan, J. The Prevalence of Post-Traumatic Stress Disorder in the General Population during the COVID-19 Pandemic: A Systematic Review and Single-Arm Meta-Analysis. Psychiatry Investig. 2021, 18, 426–433. [Google Scholar] [CrossRef]
- Cénat, J.M.; Blais-Rochette, C.; Kokou-Kpolou, C.K.; Noorishad, P.-G.; Mukunzi, J.N.; McIntee, S.-E.; Dalexis, R.D.; Goulet, M.-A.; Labelle, P.R. Prevalence of symptoms of depression, anxiety, insomnia, posttraumatic stress disorder, and psychological distress among populations affected by the COVID-19 pandemic: A systematic review and meta-analysis. Psychiatry Res. 2021, 295, 113599. [Google Scholar] [CrossRef]
- Qiu, D.; Li, Y.; Li, L.; He, J.; Ouyang, F.; Xiao, S. Prevalence of post-traumatic stress symptoms among people influenced by Coronavirus disease 2019 outbreak: A meta-analysis. Eur. Psychiatry 2021, 64, e30. [Google Scholar] [CrossRef]
- Salehi, M.; Amanat, M.; Mohammadi, M.; Salmanian, M.; Rezaei, N.; Saghazadeh, A.; Garakani, A. The prevalence of post-traumatic stress disorder related symptoms in Coronavirus outbreaks: A systematic-review and meta-analysis. J. Affect. Disord. 2021, 282, 527–538. [Google Scholar] [CrossRef]
- Li, Y.; Scherer, N.; Felix, L.; Kuper, H. Prevalence of depression, anxiety and post-traumatic stress disorder in health care workers during the COVID-19 pandemic: A systematic review and meta-analysis. PLoS ONE 2021, 16, e0246454. [Google Scholar] [CrossRef]
- Yuan, K.; Gong, Y.-M.; Liu, L.; Sun, Y.-K.; Tian, S.-S.; Wang, Y.-J.; Zhong, Y.; Zhang, A.-Y.; Su, S.-Z.; Liu, X.-X.; et al. Prevalence of posttraumatic stress disorder after infectious disease pandemics in the twenty-first century, including COVID-19: A meta-analysis and systematic review. Mol. Psychiatry 2021, 26, 4982–4998. [Google Scholar] [CrossRef] [PubMed]
- Idoiaga, N.; Ozamiz-Etxebarria, N.; Villagrasa, B.; Santabárbara, J. Meta-analysis of the prevalence of PTSD (post-traumatic stress disorders) in teachers during COVID-19. Arch. Psychiatr. Nurs. in press. Available online: https://www.sciencedirect.com/journal/archives-of-psychiatric-nursing (accessed on 2 June 2022).
- Ozamiz, N.; Legorburu, I.; Idoiaga, N.; Santabarbara, J. Post-traumatic stress disorder (PTSD) in school children during the COVID-19 pandemic: A meta-analysis. 2022, in press.
- Carmassi, C.; Foghi, C.; Dell’Oste, V.; Cordone, A.; Bertelloni, C.A.; Bui, E.; Dell’Osso, L. PTSD symptoms in healthcare workers facing the three coronavirus outbreaks: What can we expect after the COVID-19 pandemic. Psychiatry Res. 2020, 292, 113312. [Google Scholar] [CrossRef] [PubMed]
- Di Crosta, A.; Palumbo, R.; Marchetti, D.; Ceccato, I.; La Malva, P.; Maiella, R.; Cipi, M.; Roma, P.; Mammarella, N.; Verrocchio, M.C.; et al. Individual differences, economic stability, and fear of contagion as risk factors for PTSD symptoms in the COVID-19 emergency. Front. Psychol. 2020, 2329. [Google Scholar] [CrossRef] [PubMed]
- Sun, L.; Sun, Z.; Wu, L.; Zhu, Z.; Zhang, F.; Shang, Z.; Jia, Y.; Gu, J.; Zhou, Y.; Wang, Y.; et al. Prevalence and risk factors for acute posttraumatic stress disorder during the COVID-19 outbreak. J. Affect. Disord. 2021, 283, 123–129. [Google Scholar] [CrossRef]
- Walter, L.A.; McGregor, A.J. Sex- and Gender-specific Observations and Implications for COVID-19. West. J. Emerg. Med. 2020, 21, 507–509. [Google Scholar] [CrossRef] [Green Version]
- González-Sanguino, C.; Ausín, B.; Castellanos, M.Á.; Saiz, J.; López-Gómez, A.; Ugidos, C.; Muñoz, M. Mental health consequences during the initial stage of the 2020 Coronavirus pandemic (COVID-19) in Spain. Brain Behav. Immun. 2020, 87, 172–176. [Google Scholar] [CrossRef]
- Koenen, K.C.; Ratanatharathorn, A.; Ng, L.; McLaughlin, K.A.; Bromet, E.J.; Stein, D.J.; Karam, E.G.; Meron Ruscio, A.; Benjet, C.; Scott, K.; et al. Posttraumatic stress disorder in the World Mental Health Surveys. Psychol. Med. 2017, 47, 2260–2274. [Google Scholar] [CrossRef]
- Li, S.H.; Graham, B.M. Why are women so vulnerable to anxiety, trauma-related and stress-related disorders? The potential role of sex hormones. Lancet Psychiatry 2017, 4, 73–82. [Google Scholar] [CrossRef]
- Brewin, C.R.; Andrews, B.; Valentine, J.D. Meta-analysis of risk factors for posttraumatic stress disorder in trauma-exposed adults. J. Consult. Clin. Psychol. 2000, 68, 748–766. [Google Scholar] [CrossRef]
- Halperin, S.J.; Henderson, M.N.; Prenner, S.; Grauer, J.N. Prevalence of Anxiety and Depression among Medical Students During the Covid-19 Pandemic: A Cross-Sectional Study. J. Med. Educ. Curric. Dev. 2021, 8, 2382120521991150. [Google Scholar] [CrossRef]
- Christiansen, D.M.; Berke, E.T. Gender- and Sex-Based Contributors to Sex Differences in PTSD. Curr. Psychiatry Rep. 2020, 22, 19. [Google Scholar] [CrossRef] [PubMed]
- Chang, J.-J.; Ji, Y.; Li, Y.-H.; Pan, H.-F.; Su, P.-Y. Prevalence of anxiety symptom and depressive symptom among college students during COVID-19 pandemic: A meta-analysis. J. Affect. Disord. 2021, 292, 242–254. [Google Scholar] [CrossRef] [PubMed]
- Lasheras, I.; Gracia-García, P.; Lipnicki, D.M.; Bueno-Notivol, J.; López-Antón, R.; de la Cámara, C.; Lobo, A.; Santabárbara, J. Prevalence of anxiety in medical students during the COVID-19 pandemic: A rapid systematic review with meta-analysis. Int. J. Environ. Res. Public Health 2020, 17, 6603. [Google Scholar] [CrossRef] [PubMed]
- Wang, C.; Pan, R.; Wan, X.; Tan, Y.; Xu, L.; Ho, C.S.; Ho, R.C. Immediate Psychological Responses and Associated Factors during the Initial Stage of the 2019 Coronavirus Disease (COVID-19) Epidemic among the General Population in China. Int. J. Environ. Res. Public Health 2020, 17, 1729. [Google Scholar] [CrossRef] [Green Version]
- Firang, D. The impact of COVID-19 pandemic on international students in Canada. Int. Soc. Work 2020, 63, 820–824. [Google Scholar] [CrossRef]
- Van de Velde, S.; Buffel, V.; Bracke, P.; Van Hal, G.; Somogyi, N.M.; Willems, B.; Wouters, E.; C19 ISWS Consortium. The COVID-19 International Student Well-being Study. Scand. J. Public Health 2021, 49, 114–122. [Google Scholar] [CrossRef]
- Ardoino, G.I.; Queirolo, E.I.; Barg, G.; Ciccariello, D.A.; Kordas, K. The Relationship Among Depression, Parenting Stress, and Partner Support in Low-Income Women from Montevideo, Uruguay. Health Care Women Int. 2013, 36, 392–408. [Google Scholar] [CrossRef]
- Seto, M.; Morimoto, K.; Maruyama, S. Effects of work-related factors and work-family conflict on depression among Japanese working women living with young children. Environ. Health Prev. Med. 2004, 9, 220. [Google Scholar] [CrossRef]
- Cheung, K.; Tam, K.Y.; Tsang, H.; Zhang, L.W.; Lit, S.W. Depression, anxiety and stress in different subgroups of first-year university students from 4-year cohort data. J. Affect. Disord. 2020, 274, 305–314. [Google Scholar] [CrossRef]
- Martínez-Lorca, M.; Martínez-Lorca, A.; Criado-Álvarez, J.J.; Armesilla, M.D.C.; Latorre, J.M. The fear of COVID-19 scale: Validation in spanish university students. Psychiatry Res. 2020, 293, 113350. [Google Scholar] [CrossRef]
- Li, Y.; Wang, A.; Wu, Y.; Han, N.; Huang, H. Impact of the COVID-19 Pandemic on the Mental Health of College Students: A Systematic Review and Meta-Analysis. Front. Psychol. 2021, 12, 669119. [Google Scholar] [CrossRef] [PubMed]
- Santabárbara, J.; Ozamiz-Etxebarria, N.; Idoiaga, N.; Olaya, B.; Bueno-Novitol, J. Meta-Analysis of Prevalence of Depression in Dental Students during COVID-19 Pandemic. Medicina 2021, 57, 1278. [Google Scholar] [CrossRef] [PubMed]
- Alisic, E.; Zalta, A.K.; Van Wesel, F.; Larsen, S.E.; Hafstad, G.S.; Hassanpour, K.; Smid, G.E. Rates of post-traumatic stress disorder in trauma-exposed children and adolescents: Meta-analysis. Br. J. Psychiatry 2014, 204, 335–340. [Google Scholar] [CrossRef] [PubMed]
- Lewis, S.J.; Arseneault, L.; Caspi, A.; Fisher, H.L.; Matthews, T.; Moffitt, T.E.; Odgers, C.L.; Stahl, D.; Teng, J.Y.; Danese, A. The epidemiology of trauma and post-traumatic stress disorder in a representative cohort of young people in England and Wales. Lancet Psychiatry 2019, 6, 247–256. [Google Scholar] [CrossRef] [Green Version]
- Bennett, R.S.; Denne, M.; McGuire, R.; Hiller, R.M. A Systematic Review of Controlled-Trials for PTSD in Maltreated Children and Adolescents. Child Maltreatment 2021, 26, 325–343. [Google Scholar] [CrossRef]
- Simmons, C.; Meiser-Stedman, R.; Baily, H.; Beazley, P. A meta-analysis of dropout from evidence-based psychological treatment for post-traumatic stress disorder (PTSD) in children and young people. Eur. J. Psychotraumatol. 2021, 12, 1947570. [Google Scholar] [CrossRef]
- Freh, F.M. PTSD, depression, and anxiety among young people in Iraq one decade after the American invasion. Traumatology 2016, 22, 56–62. [Google Scholar] [CrossRef]
- Goh, J.X.; Hall, J.A.; Rosenthal, R. Mini Meta-Analysis of Your Own Studies: Some Arguments on Why and a Primer on How. Soc. Pers. Psychol. Compass 2016, 10, 535–549. [Google Scholar] [CrossRef]
- Falagas, M.E.; Pitsouni, E.I.; Malietzis, G.; Pappas, G.A. Comparison of PubMed, Scopus, Web of Science, and Google Scholar: Strengths and weaknesses. FASEB J. 2008, 22, 338–342. [Google Scholar] [CrossRef]
- Currie, C.L.; Larouche, R.; Voss, M.L.; Higa, E.K.; Spiwak, R.; Scott, D.; Tallow, T. The impact of eHealth group interventions on the mental, behavioral, and physical health of adults: A systematic review protocol. Syst. Rev. 2020, 9, 217. [Google Scholar] [CrossRef]
- Zamora-Polo, F.; Sánchez-Martín, J.; Corrales-Serrano, M.; Espejo-Antúnez, L. What Do University Students Know about Sustainable Development Goals? A Realistic Approach to the Reception of this UN Program Amongst the Youth Population. Sustainability 2019, 11, 3533. [Google Scholar] [CrossRef] [Green Version]
- Chen, M.; Jeronen, E.; Wang, A. Toward Environmental Sustainability, Health, and Equity: How the Psychological Characteristics of College Students Are Reflected in Understanding Sustainable Development Goals. Int. J. Environ. Res. Public Health 2021, 18, 8217. [Google Scholar] [CrossRef] [PubMed]



| First Author (Publication Year) | Sample Country | Sample Size (n) | Mean Age (SD) | Females (%) | Response Rate (%) | Sampling Method | Quality Assessment |
|---|---|---|---|---|---|---|---|
| Chi et al. (2021) [49] | China | 1164 | 20.6 (1.9) | 64.8% | NR | Convenience | 4 |
| Lee et al. (2021) [50] | U.S.A | 741 | NR | 63.9% | 29.5% | Convenience | 4 |
| Si et al. (2021) [51] | China | 2205 | 20.8 (1.5) | 100% | NR | Stratified | 5 |
| Song et al. (2021) [52] | U.S.A | 261 | NR | 53.3% | 89.7% | Snowball | 4 |
| Tang et al. (2020) [19] | China | 2485 | 19.8 (1.5) | 60.8% | 69.3% | Convenience | 4 |
| Wathelet et al. (2021) [53] | France | 22,883 | 20.9 (4.1) | 72.7% | NR | Convenience | 5 |
| First Author (Publication Year) | PTSD Assessment | ||
|---|---|---|---|
| Scale | Criteria | No. Cases (Prevalence, %) | |
| Chi et al. (2021) [49] | PCL-C | ≥14 | 358 (30.8%) |
| Lee et al. (2021) [50] | PC-PTSD-5 | ≥3 | 188 (25.4%) |
| Si et al. (2021) [51] | IES-6 | ≥10 | 754 (34.2%) |
| Song et al. (2021) [52] | PCL-C | ≥38 | 98 (37.5%) |
| Tang et al. (2020) [19] | PCL-C | ≥38 | 67 (2.7%) |
| Wathelet et al. (2021) [53] | PCL-5 | > 32 | 4,456 (19.5%) |
| Study | 1 | 2 | 3 | 4 | 5 | 6 | 7 | 8 | TOTAL |
|---|---|---|---|---|---|---|---|---|---|
| Chi et al. (2021) [49] | 0 | 0 | 1 | 1 | 0 | 0 | 1 | 1 | 4 |
| Lee et al. (2021) [50] | 0 | 0 | 1 | 1 | 0 | 0 | 1 | 1 | 4 |
| Si et al. (2021) [51] | 1 | 0 | 1 | 1 | 0 | 0 | 1 | 1 | 5 |
| Song et al. (2021) [52] | 0 | 0 | 0 | 1 | 0 | 1 | 1 | 1 | 4 |
| Tang et al. (2020) [19] | 0 | 0 | 1 | 1 | 0 | 0 | 1 | 1 | 4 |
| Wathelet et al. (2021) [53] | 0 | 1 | 1 | 1 | 0 | 0 | 1 | 1 | 5 |
Publisher’s Note: MDPI stays neutral with regard to jurisdictional claims in published maps and institutional affiliations. |
© 2022 by the authors. Licensee MDPI, Basel, Switzerland. This article is an open access article distributed under the terms and conditions of the Creative Commons Attribution (CC BY) license (https://creativecommons.org/licenses/by/4.0/).
Share and Cite
Idoiaga, N.; Legorburu, I.; Ozamiz-Etxebarria, N.; Lipnicki, D.M.; Villagrasa, B.; Santabárbara, J. Prevalence of Post-Traumatic Stress Disorder (PTSD) in University Students during the COVID-19 Pandemic: A Meta-Analysis Attending SDG 3 and 4 of the 2030 Agenda. Sustainability 2022, 14, 7914. https://doi.org/10.3390/su14137914
Idoiaga N, Legorburu I, Ozamiz-Etxebarria N, Lipnicki DM, Villagrasa B, Santabárbara J. Prevalence of Post-Traumatic Stress Disorder (PTSD) in University Students during the COVID-19 Pandemic: A Meta-Analysis Attending SDG 3 and 4 of the 2030 Agenda. Sustainability. 2022; 14(13):7914. https://doi.org/10.3390/su14137914
Chicago/Turabian StyleIdoiaga, Nahia, Idoia Legorburu, Naiara Ozamiz-Etxebarria, Darren M. Lipnicki, Beatriz Villagrasa, and Javier Santabárbara. 2022. "Prevalence of Post-Traumatic Stress Disorder (PTSD) in University Students during the COVID-19 Pandemic: A Meta-Analysis Attending SDG 3 and 4 of the 2030 Agenda" Sustainability 14, no. 13: 7914. https://doi.org/10.3390/su14137914
APA StyleIdoiaga, N., Legorburu, I., Ozamiz-Etxebarria, N., Lipnicki, D. M., Villagrasa, B., & Santabárbara, J. (2022). Prevalence of Post-Traumatic Stress Disorder (PTSD) in University Students during the COVID-19 Pandemic: A Meta-Analysis Attending SDG 3 and 4 of the 2030 Agenda. Sustainability, 14(13), 7914. https://doi.org/10.3390/su14137914

