Effect of Al2O3 Nanoparticles on Performance and Emission Characteristics of Diesel Engine Fuelled with Diesel–Neem Biodiesel Blends
Abstract
:1. Introduction
2. Materials and Methodology
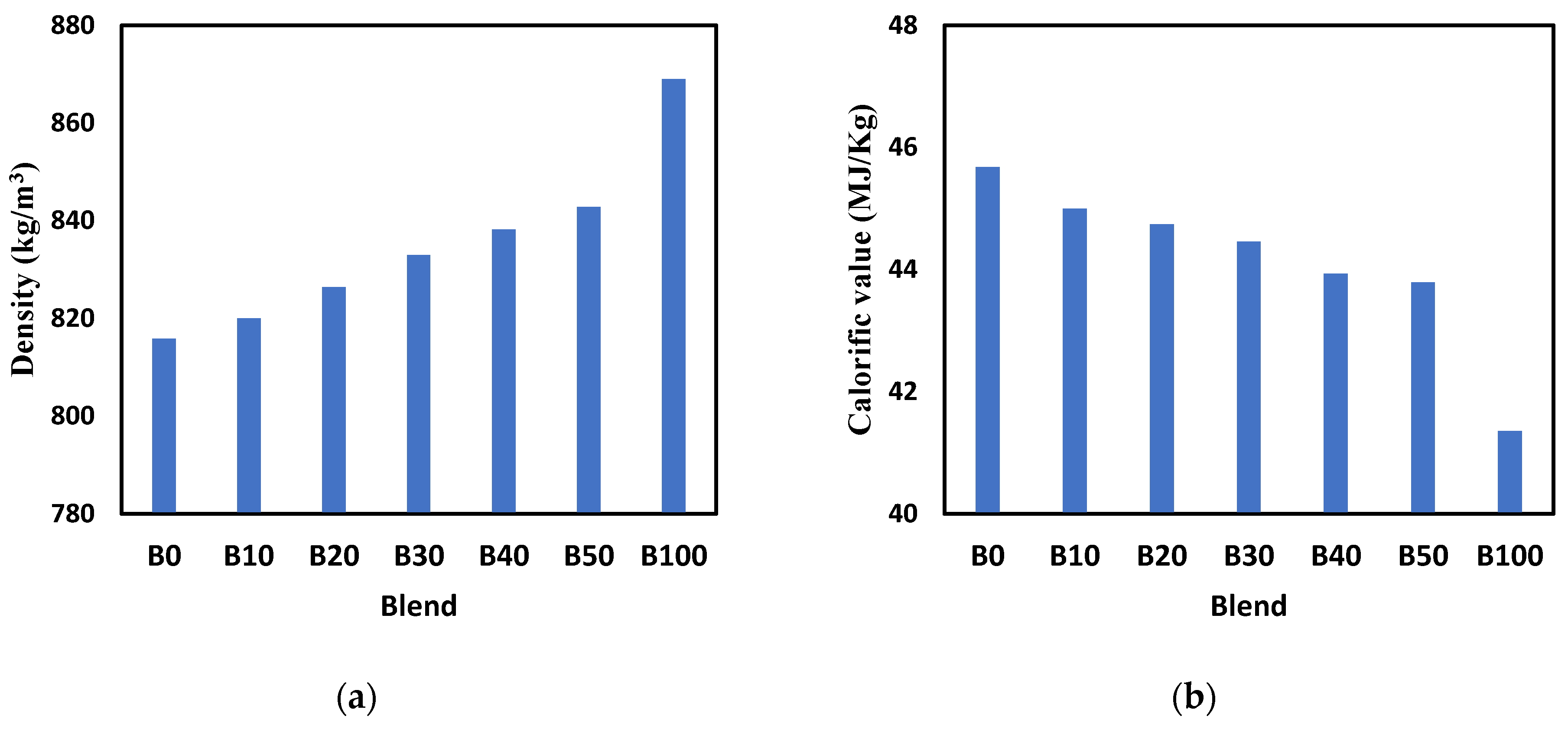
2.1. Fuel Preparation
2.2. Performance Evaluation
2.3. Exhaust Emission Analysis
3. Results and Discussion
3.1. Performance and Emission Characteristics
3.1.1. Brake Thermal Efficiency (BTE)
3.1.2. Brake-Specific Fuel Consumption (BSFC)
3.1.3. CO Emission
3.1.4. Unburned Hydrocarbon (HC) Emission
4. Conclusions
- Compression ratio exhibited a proportional demeanor with respect to BTE, whereas the converse relationships with BSFC, CO, and HC emissions were discerned. A similar effect was noticed when Al2O3 nanoparticles were added in fuel blend. Improved combustion characteristics might be a reason for improved performance of the engine.
- B0A50 results in a 4.5% increase in BTE, an 11% decrease in BSFC, a 12% decrease in CO, and a 16% decrease in HC when compared to diesel at compression ratio 18 and load 8 kg.
- B20A50 results in a 2% decrease in BTE as compared to B0 while a 5% increase occurred when compared to B20 and an 18% increase in BSFC when compared to pure diesel, while a 11% reduction when compared to B20 was observed at 18 CR and 8 kg load.
- For the same CR and load, a 37% decrease in CO emission and a 31% reduction in HC emission was noticed as compared to that of pure diesel fuel for the same CR and load, while, when compared to B20, about a 16% reduction in CO and a 12% reduction in HC emission were observed.
- Observation of all results suggests B20A50 as a suitable blend for optimum performance and exhaust emission.
Author Contributions
Funding
Institutional Review Board Statement
Informed Consent Statement
Data Availability Statement
Conflicts of Interest
References
- Sonia, P.; Kumari, S. Performance Evaluation of Multi-Fiber (Hybrid) Polymer Composite. IOP Conf. Ser. Mater. Sci. Eng. 2021, 1116, 012027. [Google Scholar] [CrossRef]
- Mesri Gundoshmian, T.; Heidari-Maleni, A.; Jahanbakhshi, A. Evaluation of performance and emission characteristics of a CI engine using functional multi-walled carbon nanotubes (MWCNTs-COOH) additives in biodiesel-diesel blends. Fuel 2021, 287, 119525. [Google Scholar] [CrossRef]
- Ramesh, D.K.; Kumar, J.D.; Kumar, S.H.; Namith, V.; Jambagi, P.B.; Sharath, S. Study on effects of alumina nanoparticles as additive with poultry litter biodiesel on performance, combustion and emission characteristic of diesel engine. Mater. Today Proc. 2018, 5, 1114–1120. [Google Scholar] [CrossRef]
- Pandey, A.K.; Mishra, V.B.; Verma, V. Performance characteristics analysis of CI engine using dual biodiesel. Int. J. Engine Res. 2022, 1–9. [Google Scholar] [CrossRef]
- Al-Kheraif, A.A.; Syed, A.; Elgorban, A.M.; Divakar, D.D.; Shanmuganathan, R.; Brindhadevi, K. Experimental assessment of performance, combustion and emission characteristics of diesel engine fuelled by combined non-edible blends with nanoparticles. Fuel 2021, 295, 120590. [Google Scholar] [CrossRef]
- Muruganantham, P.; Pandiyan, P.; Sathyamurthy, R. Analysis on performance and emission characteristics of corn oil methyl ester blended with diesel and cerium oxide nanoparticle. Case Stud. Therm. Eng. 2021, 26, 101077. [Google Scholar]
- Samadi, S.; Heidarbeigi, K. Acoustic analysis of a single-cylinder diesel engine using magnetised biodiesel-diesel fuel blends. Heliyon 2020, 6, 05113. [Google Scholar] [CrossRef]
- Karthikeyan, S.; Periyasamy, M.; Prathima, A.; Sabariswaran, K. Performance analysis of diesel engine fueled with S. marginatum Macro algae biofuel-diesel blends. Mater. Today Proc. 2020, 33, 3464–3469. [Google Scholar] [CrossRef]
- Shekofteh, M.; Gundoshmian, T.M.; Jahanbakhshi, A.; Heidari-Maleni, A. Performance and emission characteristics of a diesel engine fueled with functionalised multi-wall carbon nanotubes (MWCNTs-OH) and diesel–biodiesel–bioethanol blends. Energy Rep. 2020, 6, 1438–1447. [Google Scholar] [CrossRef]
- Appavu, P.; Madhavan, V.R.; Venu, H.; Mariadoss, A. Effect of fuel additives and exhaust gas recirculation in biodiesel fuelled CI engine: A review. Int. J. Ambient. Energy 2021, 42, 1803–1809. [Google Scholar] [CrossRef]
- Prabakaran, B.; Udhoji, A. Experimental investigation into effects of addition of zinc oxide on performance, combustion and emission characteristics of diesel-biodiesel-ethanol blends in CI engine. Alex. Eng. J. 2016, 55, 3355–3362. [Google Scholar] [CrossRef] [Green Version]
- Mandilas, C.; Karagiannakis, G.; Konstandopoulos, A.G.; Beatrice, C.; Lazzaro, M.; Di Blasio, G.; Molina, S.; Pastor, J.V.; Gil, A. Study of basic oxidation and combustion characteristics of aluminum nanoparticles under enginelike conditions. Energy Fuels 2014, 28, 3430–3441. [Google Scholar] [CrossRef]
- Farfaletti, A.; Astorg, C.; Martini, G.; Manfredi, U.; Mueller, A.; Rey, M.; De Santi, G.; Krasenbrink, A.; Larsen, B.R. Effect of water/fuel emulsions and a cerium-based combustion improver additive on HD and LD diesel exhaust emissions. Environ. Sci. Technol. 2005, 39, 6792–6799. [Google Scholar] [CrossRef] [PubMed]
- Fayyazbakhsh, A.; Pirouzfar, V. Determining the optimum conditions for modified diesel fuel combustion considering its emission, properties and engine performance. Energy Convers. Manag. 2016, 113, 209–219. [Google Scholar] [CrossRef]
- Ghanbari, M.; Mozafari-Vanani, L.; Dehghani-Soufi, M.; Jahanbakhshi, A. Effect of alumina nanoparticles as additive with diesel-biodiesel blends on performance and emission characteristic of a six-cylinder diesel engine using response surface methodology (RSM). Energy Convers. Manag. X 2021, 11, 100091. [Google Scholar] [CrossRef]
- Gumus, S.; Ozcan, H.; Ozbey, M.; Topaloglu, B. Aluminum oxide and copper oxide nanodiesel fuel properties and usage in a compression ignition engine. Fuel 2016, 163, 80–87. [Google Scholar] [CrossRef]
- Heidari-Maleni, A.; Gundoshmian, T.M.; Karimi, B.; Jahanbakhshi, A.; Ghobadian, B. A novel fuel based on biocompatible nanoparticles and ethanol-biodiesel blends to improve diesel engines performance and reduce exhaust emissions. Fuel 2020, 276, 118079. [Google Scholar] [CrossRef]
- Tripathi, D.R.; Vachhani, K.H.; Bandhu, D.; Kumari, S.; Kumar, V.R.; Abhishek, K. Experimental investigation and optimization of abrasive waterjet machining parameters for GFRP composites using metaphor-less algorithms. Mater. Manuf. Process. 2021, 36, 803–813. [Google Scholar] [CrossRef]
- Shafi, M.B.; Daneshwar, F.; Jahani, N.; Mobini, K. Effect of ferro fluid on the performance and emission patterns of four-stroke diesel engine. Adv. Mech. Eng. 2011, 3, 529049. [Google Scholar] [CrossRef] [Green Version]
- Kumari, S.; Nakum, B.; Bandhu, D.; Abhishek, K. Multi-Attribute Group Decision Making (MAGDM) Using Fuzzy Linguistic Modeling Integrated with the VIKOR Method for Car Purchasing Model. Int. J. Decis. Support Syst. Technol. 2022, 14, 1–20. [Google Scholar] [CrossRef]
- Mausam, K.; Sharma, K.; Bharadwaj, G.; Singh, R.P. Multi-objective optimization design of die-sinking electric discharge machine (EDM) machining parameter for CNT-reinforced carbon fibre nanocomposite using grey relational analysis. J. Braz. Soc. Mech. Sci. Eng. 2019, 41, 348. [Google Scholar] [CrossRef]
- Amid, S.; Aghbashlo, M.; Peng, W.; Hajiahmad, A.; Najafi, B.; Ghaziaskar, H.S.; Rastegari, H.; Mohammadi, P.; Hosseinzadeh-Bandbafha, H.; Lam, S.S.; et al. Exergetic performance evaluation of a diesel engine powered by diesel/biodiesel mixtures containing oxygenated additive ethylene glycol diacetate. Sci. Total Environ. 2021, 792, 148435. [Google Scholar] [CrossRef] [PubMed]
- Selvaganapthy, A.; Sundar, A.; Kumaragurubaran, B.; Gopal, P. An experimental investigation to study the effects of various nanoparticles with diesel on DI diesel engine. ARPN J. Sci. Technol. 2013, 3, 5–111. [Google Scholar]
- Shaafi, T.; Velraj, R. Influence of alumina nanoparticle, ethanol and isopropanol blend as additive with diesel-soyabean biodiesl blend fuel: Combustion, engine performance and emission. Renew. Energy 2013, 80, 655–663. [Google Scholar] [CrossRef]
- Gan, Y.; Qiao, L. Combustion Characteristics of Fuel Droplets with Addition of Nano and Micron-Sized Aluminum Particles. Combust. Flame 2013, 158, 354–368. [Google Scholar] [CrossRef]
- Nwafor, O.M.I. The effect of elevated fuel inlet temperature on performance of diesel engine running on neat vegetable oil at constant speed conditions. Renew. Energy 2003, 28, 171–181. [Google Scholar] [CrossRef]
- de Almeid, S.C.A.; Belchior, C.R.; Nascimento, M.V.G.; Vieira, L.d.S.R.; Fleuryb, G. Performance of a diesel generator fueled with palm oil. Fuel 2002, 81, 2097–2102. [Google Scholar] [CrossRef]
- Pradipkumar, B.; Pohit, S.; Kumar, R. Biodiesel from Jatropha: Can India meet the 20% blending target. Energy Policy 2010, 38, 1477–1484. [Google Scholar]
- Ganesh, D.; Shankar, G. Effect of nanofluid additive on emission reduction in a biodiesel fueled CI engine. Electr. Control Eng. 2011, 9, 3453–3459. [Google Scholar]















| Fatty Acid | Amount % |
|---|---|
| Palmitic acid | 17.8 |
| Stearic acid | 14.4 |
| Oleic acid | 51.3 |
| Linoleic acid | 14.7 |
| Arachidic acid | 1.6 |
| Myristic acid | 0.03 |
| Size range | 27–43 nm |
| Density | 3.7 g/cm3 |
| Flammability | Non flammable |
| S.N. | Measurement Data | Measurement Range | Resolution |
|---|---|---|---|
| 1. | CO2 | 0–20% Vol. | 0.1% Vol. |
| 2. | CO | 0–10% Vol. | 0.01% Vol. |
| 3. | HC | 0–20,000 ppm Vol. | 1 ppm |
| 4. | O2 | 0–25% Vol. | 0.01% Vol. |
Publisher’s Note: MDPI stays neutral with regard to jurisdictional claims in published maps and institutional affiliations. |
© 2022 by the authors. Licensee MDPI, Basel, Switzerland. This article is an open access article distributed under the terms and conditions of the Creative Commons Attribution (CC BY) license (https://creativecommons.org/licenses/by/4.0/).
Share and Cite
Kaushik, Y.; Verma, V.; Saxena, K.K.; Prakash, C.; Gupta, L.R.; Dixit, S. Effect of Al2O3 Nanoparticles on Performance and Emission Characteristics of Diesel Engine Fuelled with Diesel–Neem Biodiesel Blends. Sustainability 2022, 14, 7913. https://doi.org/10.3390/su14137913
Kaushik Y, Verma V, Saxena KK, Prakash C, Gupta LR, Dixit S. Effect of Al2O3 Nanoparticles on Performance and Emission Characteristics of Diesel Engine Fuelled with Diesel–Neem Biodiesel Blends. Sustainability. 2022; 14(13):7913. https://doi.org/10.3390/su14137913
Chicago/Turabian StyleKaushik, Yatendra, Vijay Verma, Kuldeep Kumar Saxena, Chander Prakash, Lovi Raj Gupta, and Saurav Dixit. 2022. "Effect of Al2O3 Nanoparticles on Performance and Emission Characteristics of Diesel Engine Fuelled with Diesel–Neem Biodiesel Blends" Sustainability 14, no. 13: 7913. https://doi.org/10.3390/su14137913
APA StyleKaushik, Y., Verma, V., Saxena, K. K., Prakash, C., Gupta, L. R., & Dixit, S. (2022). Effect of Al2O3 Nanoparticles on Performance and Emission Characteristics of Diesel Engine Fuelled with Diesel–Neem Biodiesel Blends. Sustainability, 14(13), 7913. https://doi.org/10.3390/su14137913

