Can Energy Efficiency Help in Achieving Carbon-Neutrality Pledges? A Developing Country Perspective Using Dynamic ARDL Simulations
Abstract
:1. Introduction
2. Review of Related Literature
2.1. Economic Growth and the Environment
2.2. Manufacturing Value Added and Environmental Quality
2.3. Energy Efficiency and Environmental Quality
3. Theoretical Foundation and Model Specification
4. Data Definition and Econometric Strategy
4.1. Data Description
4.2. Econometric Methodology
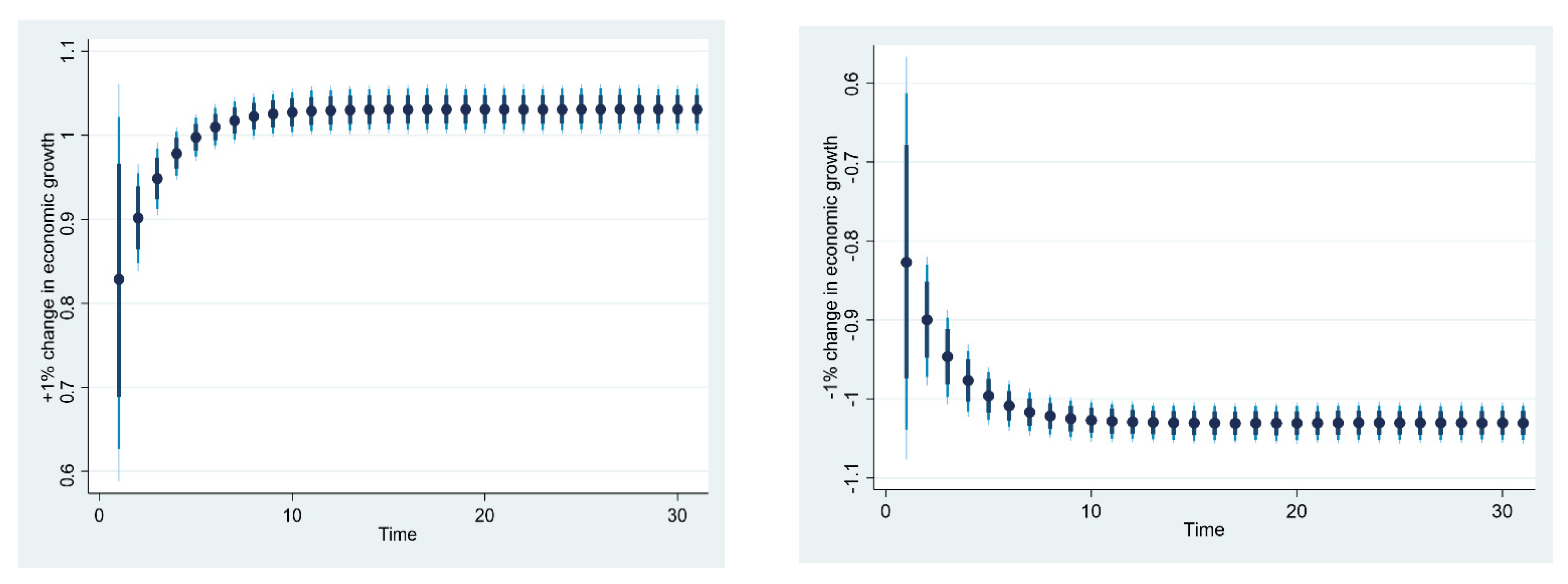
5. Results and Discussions
6. Conclusions and Policy Recommendations
Author Contributions
Funding
Institutional Review Board Statement
Informed Consent Statement
Data Availability Statement
Conflicts of Interest
References
- United Nations. The Sustainable Development Goals Report. 2020. Available online: https://unstats.un.org/sdgs/report/2020/ (accessed on 6 September 2021).
 - Nandi, J. India’s CO2 Emissions Fell by 1% in 2019–2020 Financial Year, Hindustan Times, New Delhi, India. 2020. Available online: https://www.hindustantimes.com/india-news/india-s-co2-emissions-fell-by-1-in-2019-20-financial-year/story-kJ2Jus35sKtskGKZk2yhXO.html (accessed on 14 June 2020).
 - World Bank. The World Bank in India. Overview. 2021. Available online: https://www.worldbank.org/en/country/india/overview#1 (accessed on 15 April 2022).
 - IMF. World Economic Outlook World Economic Outlook Update, June 2020: A Crisis like no Other: An Uncertain Recovery, International Monetary Fund, Washington, United States. 2020. Available online: https://www.imf.org/en/Publications/WEO/Issues/2020/06/24/WEOUpdateJune2020 (accessed on 14 December 2020).
 - UNFCCC. India’s Intended Nationally Determined Contribution: Working Towards Climate Justice. 2020. Available online: https://www4.unfccc.int/sites/ndcstaging/PublishedDocuments/India%20First/INDIA%20INDC%20TO%20UNFCCC.pdf (accessed on 20 August 2020).
 - IEA. World Energy Outlook Special Report; International Energy Agency: Paris, France, 2020; Available online: https://www.iea.org/reports/world-energy-outlook-2020 (accessed on 14 December 2020).
 - Mirza, F.; Sinha, A.; Khan, J.; Kalugina, O.; Muhammad, V. Impact of energy efficiency on CO2 Emissions: Empirical evidence from developing countries. Gondwana Res. 2022, 106, 64–77. [Google Scholar] [CrossRef]
 - Goswami, U. India Signals it is Ready to do More to Slow Down Climate Change, The Economic Times, Mumbai, India. 2020. Available online: https://economictimes.indiatimes.com/news/politics-and-nation/india-says-it-will-do-more-to-slow-down-climate-change/articleshow/70813231.cms (accessed on 20 August 2020).
 - IEA. India Energy Outlook 2021, Paris, OECD Publishing. Available online: https://www.iea.org/reports/india-energy-outlook-2021 (accessed on 20 September 2021).
 - Climate Action Tracker. India Country Summary. 2021. Available online: https://climateactiontracker.org/countries/india/ (accessed on 6 September 2021).
 - Abnett, K.; Volcovici, V. Flurry of Emissions Pledges Still not Enough to Meet Global Climate Goals, Reuters, London, United Kingdom. Available online: https://www.reuters.com/business/sustainable-business/flurry-emissions-pledges-still-not-enough-meet-global-climate-goals-2021-08-05/ (accessed on 26 November 2021).
 - Murshed, M.; Khan, S.; Rahman, A.A. Roadmap for achieving energy sustainability in Sub-Saharan Africa: The mediating role of energy use efficiency. Energy Rep. 2022, 8, 4535–4552. [Google Scholar] [CrossRef]
 - Langlois, P.; Yank, A. Developing Countries and Energy Efficiency Potential: Strategies for Low-Carbon Development after Paris Agreement. International Partnership for Energy Efficiency Cooperation. 2017. Available online: https://ipeec.org/upload/publication_related_language/pdf/606.pdf (accessed on 2 May 2022).
 - Dahir, M.; Mahi, M. Does energy efficiency improve environmental quality in BRICS countries? Empirical evidence using dynamic panels with heterogeneous slopes. Environ. Sci. Pollut. Res. 2022, 29, 12027–12042. [Google Scholar] [CrossRef] [PubMed]
 - Wang, X. Determinants of ecological and carbon footprints to assess the framework of environmental sustainability in BRICS countries: A panel ARDL and causality estimation model. Environ. Res. 2021, 197, 111111. [Google Scholar] [CrossRef]
 - Yang, M.; Yu, X. Energy efficiency to mitigate carbon emissions: Strategies of China and the USA. Mitig. Adapt. Strateg. Glob. Chang. 2017, 22, 1–14. [Google Scholar] [CrossRef]
 - Rajbhandari, A.; Zhang, F. Does energy efficiency promote economic growth? Evidence from a multicountry and multisectoral panel dataset. Energy Econ. 2018, 69, 128–139. [Google Scholar] [CrossRef] [Green Version]
 - Iftikhar, Y.; He, W.; Wang, Z. Energy and CO2 emissions efficiency of major economies: A non-parametric analysis. J. Clean Prod. 2016, 139, 779–787. [Google Scholar] [CrossRef]
 - Sinha, A. Inequality of renewable energy generation across OECD countries: A note. Renew. Sustain. Energy Rev. 2017, 79, 9–14. [Google Scholar] [CrossRef]
 - Chen, J.; Wang, P.; Cui, L.; Huang, S.; Song, M. Decomposition and decoupling analysis of CO2 emissions in OECD. Appl. Energy 2018, 231, 937–950. [Google Scholar] [CrossRef]
 - Balsalobre-Lorente, D.; Driha, O.M.; Bekun, F.V.; Osundina, O.A. Do agricultural activities induce carbon emissions? The BRICS experience. Environ. Sci. Pollut. Res. 2019, 26, 25218–25234. [Google Scholar] [CrossRef]
 - Zhang, L.; Li, Z.; Kirikkaleli, D.; Adebayo, T.S.; Adeshola, I.; Akinsola, G.D. Modeling CO2 emissions in Malaysia: An application of Maki cointegration and wavelet coherence tests. Environ. Sci. Pollut. Res. 2021, 28, 26030–26044. [Google Scholar] [CrossRef] [PubMed]
 - Yilanci, V.; Pata, U.K. Investigating the EKC hypothesis for China: The role of economic complexity on ecological footprint. Environ. Sci. Pollut. Res. 2020, 27, 32683–32694. [Google Scholar] [CrossRef] [PubMed]
 - Destek, M.A.; Sinha, A. Renewable, non-renewable energy consumption, economic growth, trade openness and ecological footprint: Evidence from organisation for economic Co-operation and development countries. J. Clean. Prod. 2020, 242, 118537. [Google Scholar] [CrossRef]
 - Isiksal, A.Z. The financial sector expansion effect on renewable electricity production: Case of the BRICS countries. Environ. Dev. Sustain. 2021, 23, 9029–9051. [Google Scholar] [CrossRef]
 - López-Menéndez, A.J.; Pérez, R.; Moreno, B. Environmental costs and renewable energy: Re-visiting the Environmental Kuznets Curve. J. Environ. Manag. 2014, 145, 368–373. [Google Scholar] [CrossRef]
 - Ozcan, B. The nexus between carbon emissions, energy consumption and economic growth in Middle East countries: A panel data analysis. Energy Policy 2013, 62, 1138–1147. [Google Scholar] [CrossRef]
 - Mrabet, Z.; Alsamara, M. Testing the Kuznets Curve hypothesis for Qatar: A comparison between carbon dioxide and ecological footprint. Renew. Sust. Energ. Rev. 2017, 70, 1366–1375. [Google Scholar] [CrossRef]
 - Sarkodie, S.A.; Strezov, V. Empirical study of the environmental Kuznets curve and environmental sustainability curve hypothesis for Australia, China, Ghana and USA. J. Clean. Prod. 2018, 201, 98–110. [Google Scholar] [CrossRef]
 - Abbasi, K.R.; Hussain, K.; Redulescu, M.; Ozturk, I. Does natural resources depletion and economic growth achieve the carbon neutrality target of the UK? A way forward towards sustainable development. Resour. Policy 2021, 74, 102341. [Google Scholar] [CrossRef]
 - Liu, X.; Bae, J. Urbanization and industrialization impact of CO2 emissions in China. J. Clean. Prod. 2018, 172, 178–186. [Google Scholar] [CrossRef]
 - Liu, Y.; Hao, Y. The dynamic links between CO2 emissions, energy consumption and economic development in the countries along “the Belt and Road”. Sci. Total Environ. 2018, 645, 674–683. [Google Scholar] [CrossRef] [PubMed]
 - Prastiyo, S.E.; Hardyastuti, S. How agriculture, manufacture, and urbanization induced carbon emission? The case of Indonesia. Environ. Sci. Pollut. Res. 2020, 27, 42092–42103. [Google Scholar] [CrossRef] [PubMed]
 - Raza, M.Y.; Hasan, M.M. Estimating the multiple impacts of technical progress on Bangladesh's manufacturing and industrial sector’s CO2 emissions: A quantile regression approach. Energy Rep. 2022, 8, 2288–2301. [Google Scholar] [CrossRef]
 - Avenyo, E.K.; Tregenna, F. The Effects of Technology Intensity in Manufacturing on CO2 Emissions: Evidence from Developing Countries; Working Paper, No. 846; Economic Research Southern Africa: Cape Town, Southern Africa, 2021. [Google Scholar]
 - Khan, R. Beta decoupling relationship between CO2 emissions by GDP, energy consumption, electricity production, value-added industries, and population in China. PLoS ONE 2021, 16, e0249444. [Google Scholar] [CrossRef] [PubMed]
 - Akram, R.; Umar, M.; Xiaoli, G.; Chen, F. Dynamic linkages between energy efficiency, renewable energy along with economic growth and carbon emission. A case of MINT countries an asymmetric analysis. Energy Rep. 2022, 8, 2119–2130. [Google Scholar] [CrossRef]
 - Özbuğday, F.C.; Erbas, B.C. How effective are energy efficiency and renewable energy in curbing CO2 emissions in the long run? A heterogeneous panel data analysis. Energy 2015, 82, 734–745. [Google Scholar] [CrossRef]
 - Akram, R.; Chen, F.; Khalid, F.; Ye, Z.; Majeed, M.T. Heterogeneous effects of energy efficiency and renewable energy on carbon emissions: Evidence from developing countries. J. Clean. Prod. 2020, 247, 119122. [Google Scholar] [CrossRef]
 - Tajudeen, I.A.; Wossink, A.; Banerjee, P. How significant is energy efficiency to mitigate CO2 emissions? Evidence from OECD countries. Energy Econ. 2018, 72, 200–221. [Google Scholar] [CrossRef] [Green Version]
 - Li, M.; Yao-Ping, P.M.; Nazar, R.; Ngozi, A.B.; Shang, M.; Waqas, M. How Does Energy Efficiency Mitigates Carbon Emissions without Reducing Economic Growth in Post COVID-19 Era. Front. Energy Res. 2022, 58, 832189. [Google Scholar] [CrossRef]
 - Liimatainen, H.; Arvidsson, N.; Hovi, I.B.; Jensen, T.C.; Nykänen, L. Road freight energy efficiency and CO2 emissions in the Nordic countries. Res. Transp. Bus. Manag. 2014, 12, 11–19. [Google Scholar] [CrossRef]
 - Wang, J.; Lv, K.; Bian, Y.; Cheng, Y. Energy efficiency and marginal carbon dioxide emission abatement cost in urban China. Energy Policy 2017, 105, 246–255. [Google Scholar] [CrossRef]
 - Tajudeen, I.A. Examining the role of energy efficiency and non-economic factors in energy demand and CO2 emissions in Nigeria: Policy implications. Energy Policy 2015, 86, 338–350. [Google Scholar] [CrossRef]
 - Martínez, C.I.P.; Silveira, S. Energy efficiency and CO2 emissions in Swedish manufacturing industries. Energy Effic. 2013, 6, 117–133. [Google Scholar] [CrossRef]
 - Emir, F.; Bekun, F.V. Energy intensity, carbon emissions, renewable energy, and economic growth nexus: New insights from Romania. Energy Environ. 2019, 3, 427–443. [Google Scholar] [CrossRef]
 - Kuznets, S. Economic growth and income inequality. Am. Econ. Rev. 1955, 45, 1–28. [Google Scholar]
 - Grossman, G.M.; Krueger, A.B. Economic growth and the environment. Q. J. Econ. 1995, 110, 353–377. [Google Scholar] [CrossRef] [Green Version]
 - Panayotou, T. Demystifying the environmental Kuznets curve: Turning a black box into a policy tool. Environ. Dev. Econ. 1997, 2, 465–484. [Google Scholar] [CrossRef] [Green Version]
 - Shafik, N. Economic development and environmental quality: An econometric analysis. Oxf. Econ. Pap. 1994, 46, 757–773. [Google Scholar] [CrossRef]
 - Islam, M.S.; Hossain, M.E.; Khan, M.A.; Rana, M.J.; Ema, N.S.; Bekun, F.V. Heading towards sustainable environment: Exploring the dynamic linkage among selected macroeconomic variables and ecological footprint using a novel dynamic ARDL simulations approach. Environ. Sci. Pollut. Res. 2022, 29, 22260–22279. [Google Scholar] [CrossRef]
 - Pata, U.K.; Isik, C. Determinants of the load capacity factor in China: A novel dynamic ARDL approach for ecological footprint accounting. Resour. Policy 2021, 74, 102313. [Google Scholar] [CrossRef]
 - Narayan, P.K.; Narayan, S. Carbon dioxide emissions and economic growth: Panel data evidence from developing countries. Energy Policy 2010, 38, 661–666. [Google Scholar] [CrossRef]
 - World Bank. Manufacturing, Value Added (% of GDP). India. 2022. Available online: https://data.worldbank.org/indicator/NV.IND.MANF.ZS?locations=IN (accessed on 15 April 2022).
 - Baloch, Z.A.; Tan, Q.; Iqbal, N.; Mohsin, M.; Abbas, Q.; Iqbal, W.; Chaudhry, I.S. Trilemma assessment of energy intensity, efficiency, and environmental index: Evidence from BRICS countries. Environ. Sci. Pollut. Res. 2020, 27, 34337–34347. [Google Scholar] [CrossRef]
 - Hossain, M.E.; Islam, M.S.; Bandyopadhyay, A.; Awan, A.; Hossain, M.R.; Rej, S. Mexico at the crossroads of natural resource dependence and COP26 pledge: Does technological innovation help? Resour. Policy 2022, 77, 102710. [Google Scholar] [CrossRef]
 - Dickey, D.A.; Fuller, W.A. Distribution of the estimators for autoregressive time series with a unit root. J. Am. Stat. Assoc. 1979, 74, 427–431. [Google Scholar]
 - Phillips, P.C.; Perron, P. Testing for a unit root in time series regression. Biometrika 1988, 75, 335–346. [Google Scholar] [CrossRef]
 - Hossain, M.E.; Islam, M.S.; Sujan, M.H.K.; Tuhin, M.M.; Bekun, F.V. Towards a clean production by exploring the nexus between agricultural ecosystem and environmental degradation using novel dynamic ARDL simulations approach. Environ. Sci. Pollut. Res. 2022, 1–17. [Google Scholar] [CrossRef]
 - Jordan, S.; Philips, A.Q. Cointegration testing and dynamic simulations of autoregressive distributed lag models. Stata J. 2018, 18, 902–923. [Google Scholar] [CrossRef] [Green Version]
 - Toda, H.Y.; Yamamoto, T. Statistical inference in vector autoregressions with possibly integrated processes. J. Econom. 1995, 66, 225–250. [Google Scholar] [CrossRef]
 - Nazlioglu, S.; Gormus, N.A.; Soytas, U. Oil prices and real estate investment trusts (REITs): Gradual-shift causality and volatility transmission analysis. Energy Econ. 2016, 60, 168–175. [Google Scholar] [CrossRef]
 - Pesaran, M.; Shin, Y.; Smith, R. Bounds testing approaches to the analysis of long-run relationships. J. Appl. Econ. 2001, 16, 289–326. [Google Scholar] [CrossRef]
 - Rej, S.; Bandyopadhyay, A.; Mahmood, H.; Murshed, M.; Mahmud, S. The role of liquefied petroleum gas in decarbonizing India: Fresh evidence from wavelet–partial wavelet coherence approach. Environ. Sci. Pollut. Res. 2022, 29, 35862–35883. [Google Scholar] [CrossRef]
 - Awan, A.; Abbasi, K.R.; Rej, S.; Bandyopadhyay, A.; Lv, K. The impact of renewable energy, internet use and foreign direct investment on carbon dioxide emissions: A method of moments quantile analysis. Renew. Energy 2022, 189, 454–466. [Google Scholar] [CrossRef]
 - Agboola, P.O.; Hossain, M.; Gyamfi, B.A.; Bekun, F.V. Environmental consequences of foreign direct investment influx and conventional energy consumption: Evidence from dynamic ARDL simulation for Turkey. Environ. Sci. Pollut. Res. 2022, 1–14. [Google Scholar] [CrossRef]
 - Rej, S.; Bandyopadhyay, A.; Murshed, M.; Mahmood, H.; Razzaq, A. Pathways to decarbonization in India: The role of environmentally friendly tourism development. Environ. Sci. Pollut. Res. 2022, 1–22. [Google Scholar] [CrossRef]
 - Rej, S.; Nag, B. Investigating the role of capital formation to achieve carbon neutrality in India. Environ. Sci. Pollut. Res. 2022, 1–19. [Google Scholar] [CrossRef]
 - Lin, B.; Omoju, O.E.; Okonkwo, J.U. Impact of industrialisation on CO2 emissions in Nigeria. Renew. Sust. Energ. Rev. 2015, 52, 1228–1239. [Google Scholar] [CrossRef]
 - Ponce, P.; Khan, S.A.R. A causal link between renewable energy, energy efficiency, property rights, and CO2 emissions in developed countries: A road map for environmental sustainability. Environ. Sci. Pollut. Res. 2021, 28, 37804–37817. [Google Scholar] [CrossRef]
 - Alper, A.E.; Alper, F.O.; Ozayturk, G.; Mike, F. Testing the long-run impact of economic growth, energy consumption, and globalization on ecological footprint: New evidence from Fourier bootstrap ARDL and Fourier bootstrap Toda–Yamamoto test results. Environ. Sci. Pollut. Res. 2022, 1–16. [Google Scholar] [CrossRef]
 





| Variable | Definition | Source | 
|---|---|---|
| CO2 | Carbon dioxide emissions (metric tons per capita) | BP Statistical Review of World Energy | 
| GDP | Economic growth (real GDP per capita constant 2010 US$) | World Bank | 
| PEC | Primary electricity consumption (exajoules) | BP Statistical Review of World Energy | 
| MVA | Manufacturing value-added (% of GDP) | World Bank | 
| EE | Energy efficiency level of primary energy (constant 2010 US$/MJ) | Authors’ calculation | 
| lnCO2 | lnGDP | lnMVA | lnEE | |
|---|---|---|---|---|
| Mean | −0.09 | 6.76 | 2.77 | −2.67 | 
| Median | −0.12 | 6.71 | 2.78 | −2.69 | 
| Max. | 0.59 | 7.67 | 2.88 | −2.45 | 
| Min. | −0.81 | 6.05 | 2.59 | −2.83 | 
| Std. Dev. | 0.42 | 0.49 | 0.06 | 0.11 | 
| Skewness | 0.03 | 0.31 | -0.79 | 0.52 | 
| Kurtosis | 1.93 | 1.86 | 4.71 | 2.54 | 
| Observations | 40 | 40 | 40 | 40 | 
| Correlation | ||||
| lnCO2 | 1.00 | |||
| lnGDP | 0.89 | 1.00 | ||
| lnMVA | −0.49 | −0.51 | 1.00 | |
| lnEE | 0.76 | 0.84 | −0.51 | 1.00 | 
| Variable | Form | ADF (t-Statistics) | PP (t-Statistics) | Order of Integration | ||
|---|---|---|---|---|---|---|
| Intercept | Trend + Intercept | Intercept | Trend + Intercept | |||
| lnCO2 | Level | −0.49 (0.881)  | −2.79 (0.211)  | −0.48 (0.885)  | −1.94 (0.615)  | I(1) | 
| First Difference | −2.64 * (0.094)  | −3.96 * (0.083)  | −6.15 *** (0.000)  | −6.08 *** (0.000)  | ||
| lnGDP | Level | 3.07 (1.000)  | −1.28 (0.878)  | 7.18 (1.000)  | −1.21 (0.895)  | I(1) | 
| First Difference | −4.82 *** (0.000)  | −6.04 *** (0.000)  | −4.82 *** (0.000)  | −11.59 *** (0.000)  | ||
| lnMVA | Level | −0.78 (0.815)  | −1.44 (0.833)  | −0.99 (0.744)  | −1.68 (0.741)  | I(1) | 
| First Difference | −4.81 *** (0.000)  | −4.88 *** (0.002)  | −4.73 *** (0.001)  | −4.67 *** (0.003)  | ||
| lnEE | Level | 0.88 (0.994)  | −1.51 (0.811)  | 0.81 (0.993)  | −1.51 (0.811)  | I(1) | 
| First Difference | −6.42 *** (0.000)  | −7.08 *** (0.000)  | −6.41 *** (0.000)  | −7.04 *** (0.000)  | ||
| lnEE*lnMVA | Level | 1.24 (0.998)  | −0.71 (0.966)  | 1.48 (0.999)  | −0.58 (0.975)  | I(0)/I(1) | 
| First Difference | −6.31 *** (0.000)  | −7.03 *** (0.000)  | −6.42 *** (0.000)  | −6.99 *** (0.000)  | ||
| Estimated Model | lnCO2= ƒ (lnGDP, lnMVA, lnEE, lnEE*lnMVA) | |
|---|---|---|
| Bound test F-statistics | 11.46 *** | |
| Critical value | Lower bound I(0) | Upper bound I(1) | 
| 1% | 4.4 | 5.72 | 
| 2.5% | 3.89 | 5.07 | 
| 5% | 3.47 | 4.57 | 
| 10% | 3.03 | 4.06 | 
| Variables | Co-Efficient | Std. Error | t-Stat | 
|---|---|---|---|
| lnGDP | 0.637 *** | 0.174 | 3.66 | 
| ΔlnGDP | 0.829 *** | 0.125 | 6.63 | 
| lnMVA | 0.373 ** | 0.179 | 2.08 | 
| ΔlnMVA | 0.608 | 0.532 | 1.14 | 
| lnEE | −1.489 *** | 0.411 | −3.62 | 
| ΔlnEE | −0.254 ** | 0.113 | −2.25 | 
| lnEE*lnMVA | 0.208 ** | 0.080 | 2.58 | 
| ΔlnEE*lnMVA | 0.045 * | 0.023 | 1.90 | 
| Cons. | 4.097 ** | 1.665 | 2.46 | 
| ECT (-1) | −0.590 *** | 0.165 | −3.57 | 
| R2 | 0.986 | Adjusted R2 | 0.995 | 
| F-Statistics [Prob.] | 7857.86 [0.000] | Simulation | 5000 | 
| Diagnostic Test | Null Hypothesis | Statistics | Decision | 
|---|---|---|---|
| Breusch–Godfrey serial correlation LM test | H0: No auto correlation | F-stat: 0.847 Prob: 0.519  | No serial correlation | 
| Jarque–Bera test | H0: Normal distribution of error terms | χ2: 0.699 Prob: 0.705  | Error terms are normally distributed | 
| Breusch–Pagan–Godfrey test | H0: Homoskedasticity | F-stat: 1.055 Prob: 0.454  | No heteroskedasticity | 
| Ramsey RESET test | H0: Model specification is correct | F-stat: 2.962 Prob: 0.115  | Model is correctly specified | 
| Variable | ARDL | FMOLS | CCR | |||
|---|---|---|---|---|---|---|
| Coefficient | t-Stat. | Coefficient | t-Stat. | Coefficient | t-Stat. | |
| lnGDP | 1.49 *** | 11.76 | 1.03 *** | 130.48 | 1.03 *** | 151.92 | 
| lnMVA | 3.01 ** | 2.35 | 3.47 *** | 4.35 | 3.54 *** | 4.87 | 
| lnEE | −4.49 *** | −3.15 | −4.76 *** | −5.67 | −4.79 *** | −6.25 | 
| lnEE*lnMVA | 1.15 ** | 2.33 | 1.32 *** | 4.32 | 1.32 *** | 4.77 | 
| Cumulative Fourier Frequency TY | TY | ||||||||
|---|---|---|---|---|---|---|---|---|---|
| Causal Relation | Wald Stat | Assym p-Value | BS p-Value | Lags | Frequency | Wald Stat | Assym p-Value | BS p-Value | Lags | 
| lnMVA → lnCO2 | 8.613 | 0.376 | 0.497 | 8 | 3 | 1.03 | 0.31 | 0.303 | 1 | 
| lnEE → lnCO2 | 49.684 | 0.000 *** | 0.017 ** | 8 | 3 | 0.478 | 0.489 | 0.495 | 1 | 
| lnGDP → lnCO2 | 36.181 | 0.000 *** | 0.022 ** | 8 | 3 | 0.306 | 0.58 | 0.568 | 1 | 
| lnCO2 → lnGDP | 11.618 | 0.169 | 0.351 | 8 | 3 | 0.036 | 0.85 | 0.855 | 1 | 
| lnMVA → lnGDP | 23.401 | 0.003 *** | 0.091 * | 8 | 3 | 2.083 | 0.149 | 0.173 | 1 | 
| lnEE → lnGDP | 17.971 | 0.021 ** | 0.16 | 8 | 3 | 0.092 | 0.762 | 0.767 | 1 | 
| lnCO2 → lnMVA | 33.031 | 0.000 *** | 0.053 * | 8 | 3 | 0.013 | 0.908 | 0.908 | 1 | 
| lnGDP → lnMVA | 12.811 | 0.119 | 0.276 | 8 | 3 | 2.339 | 0.126 | 0.133 | 1 | 
| lnEE → lnMVA | 8.065 | 0.427 | 0.505 | 8 | 3 | 1.21 | 0.271 | 0.279 | 1 | 
| lnCO2 → lnEE | 34.956 | 0.000 *** | 0.043 ** | 8 | 3 | 0.225 | 0.636 | 0.642 | 1 | 
| lnGDP → lnEE | 10.149 | 0.255 | 0.381 | 8 | 3 | 0.404 | 0.525 | 0.525 | 1 | 
| lnMVA → lnEE | 111.556 | 0.000 *** | 0.001 *** | 8 | 3 | 0.013 | 0.908 | 0.907 | 1 | 
Publisher’s Note: MDPI stays neutral with regard to jurisdictional claims in published maps and institutional affiliations.  | 
© 2022 by the authors. Licensee MDPI, Basel, Switzerland. This article is an open access article distributed under the terms and conditions of the Creative Commons Attribution (CC BY) license (https://creativecommons.org/licenses/by/4.0/).
Share and Cite
Hossain, M.E.; Rej, S.; Saha, S.M.; Onwe, J.C.; Nwulu, N.; Bekun, F.V.; Taha, A. Can Energy Efficiency Help in Achieving Carbon-Neutrality Pledges? A Developing Country Perspective Using Dynamic ARDL Simulations. Sustainability 2022, 14, 7537. https://doi.org/10.3390/su14137537
Hossain ME, Rej S, Saha SM, Onwe JC, Nwulu N, Bekun FV, Taha A. Can Energy Efficiency Help in Achieving Carbon-Neutrality Pledges? A Developing Country Perspective Using Dynamic ARDL Simulations. Sustainability. 2022; 14(13):7537. https://doi.org/10.3390/su14137537
Chicago/Turabian StyleHossain, Md. Emran, Soumen Rej, Sourav Mohan Saha, Joshua Chukwuma Onwe, Nnamdi Nwulu, Festus Victor Bekun, and Amjad Taha. 2022. "Can Energy Efficiency Help in Achieving Carbon-Neutrality Pledges? A Developing Country Perspective Using Dynamic ARDL Simulations" Sustainability 14, no. 13: 7537. https://doi.org/10.3390/su14137537
APA StyleHossain, M. E., Rej, S., Saha, S. M., Onwe, J. C., Nwulu, N., Bekun, F. V., & Taha, A. (2022). Can Energy Efficiency Help in Achieving Carbon-Neutrality Pledges? A Developing Country Perspective Using Dynamic ARDL Simulations. Sustainability, 14(13), 7537. https://doi.org/10.3390/su14137537
        
                                                
