Effects of Agrivoltaic Systems on the Surrounding Rooftop Microclimate
Abstract
:1. Introduction
2. Methodology
2.1. Physical Experiment Setup
2.2. ENVI-Met Model
3. Results
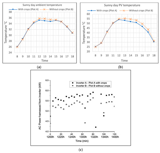
3.1. Physical Experiment Results
3.2. ENVI-Met Simulation Results
4. Discussion
Limitations
5. Conclusions
Author Contributions
Funding
Institutional Review Board Statement
Informed Consent Statement
Data Availability Statement
Conflicts of Interest
References
- Mok, W.K. Technology innovations for food security in Singapore: A case study of future food systems for an increasingly natural resource-scarce world. Trends Food Sci. Technol. 2020, 102, 155–168. [Google Scholar] [CrossRef] [PubMed]
- Singapore Food Agency. Food Farms. Available online: https://www.sfa.gov.sg/food-farming/food-farms/farming-in-singapore (accessed on 6 June 2022).
- Singapore Food Agency. 30 by 30. Available online: https://www.ourfoodfuture.gov.sg/30by30 (accessed on 6 June 2022).
- Liu, V. Nine Multi-Storey Carpark Rooftops in Singapore to Be Converted to Urban Farms. 2020. Available online: https://www.straitstimes.com/singapore/nine-multi-storey-carpark-rooftops-in-singapore-to-be-converted-to-urban-farms (accessed on 6 June 2022).
- Su, B.; Goh, T.; Ang, B.W.; Ng, T.S. Energy consumption and energy efficiency trends in Singapore: The case of a meticulously planned city. Energy Policy 2021, 161, 1–14. [Google Scholar] [CrossRef]
- Energy Market Authority, Singapore. Singapore Energy Statistics. 2021. Available online: https://www.ema.gov.sg/singapore-energy-statistics/Ch06/index6 (accessed on 6 June 2022).
- ADEME; I Care & Consult; Ceresco; Cetiac. Characterizing Photovoltaic Projects on Agricultural Land and Agrivoltaism. 2021. Available online: https://librairie.ademe.fr/energies-renouvelables-reseaux-et-stockage/4992-caracteriser-les-projets-photovoltaiques-sur-terrains-agricoles-et-l-agrivoltaisme.html (accessed on 6 June 2022). (In French).
- Dupraz, C.; Marrou, H.; Talbot, G.; Dufour, L.; Nogier, A.; Ferard, Y. Combining solar photovoltaic panels and food crops for optimising land use: Towards new agrivoltaic schemes. Renew. Energy 2011, 36, 2725–2732. [Google Scholar] [CrossRef]
- Agostini, A.; Colauzzi, M.; Amaducci, S. Innovative agrivoltaic systems to produce sustainable energy: An economic and environmental assessment. Appl. Energy 2021, 281, 116102. [Google Scholar] [CrossRef]
- Dinesh, H.; Pearce, J.M. The potential of agrivoltaic systems. Renew. Sustain. Energy Rev. 2016, 54, 299–308. [Google Scholar] [CrossRef] [Green Version]
- Amaducci, S.; Yin, X.; Colauzzi, M. Agrivoltaic systems to optimise land use for electric energy production. Appl. Energy 2018, 220, 545–561. [Google Scholar] [CrossRef]
- Qiu, G.-Y.; Li, H.-Y.; Zhang, Q.-T.; Chen, W.; Liang, X.-J.; Li, X.-Z. Effects of Evapotranspiration on Mitigation of Urban Temperature by Vegetation and Urban Agriculture. J. Integr. Agric. 2013, 12, 1307–1315. [Google Scholar] [CrossRef]
- Sun’Agri. Available online: https://sunagri.fr/en/project/the-la-pugere-experimental-station/ (accessed on 13 September 2021).
- Barron-Gafford, G.A.; Pavao-Zuckerman, M.A.; Minor, R.L.; Sutter, L.F.; Barnett-Moreno, I.; Blackett, D.T.; Thompson, M.; Dimond, K.; Gerlak, A.K.; Nabhan, G.P.; et al. Agrivoltaics provide mutual benefits across the food–energy–water nexus in drylands. Nat. Sustain. 2019, 2, 848–855. [Google Scholar] [CrossRef]
- Hendarti, R. The Influence of the Evapotranspiration Process of Green Roof Tops on PV Modules in the Tropics. Ph.D. Thesis, National University of Singapore, Singapore, 2013. [Google Scholar]
- Mahmoudinezhad, S.; Cotfas, D.T.; Cotfas, P.A.; Skjølstrup, E.J.; Pedersen, K.; Rosendahl, L.; Rezania, A. Experimental investigation on spectrum beam splitting photovoltaicethermoelectric generator under moderate solar concentrations. Energy 2022, 238, 121988. [Google Scholar] [CrossRef]
- AlShrouf, A. Hydroponics, Aeroponic and Aquaponic as Compared with Conventional Farming. American Scientific Research J. Eng. Technol. Sci. 2017, 27, 2313–4402. [Google Scholar]
- Barbosa, G.L.; Gadelha, F.D.; Kublik, N.; Proctor, A.; Reichelm, L.; Weissinger, E.; Halden, R.U. Comparison of Land, Water, and Energy Requirements of Lettuce Grown Using Hydroponic vs. Conventional Agricultural Methods. Int. J. Environ. Res. Public Health 2015, 12, 6879–6891. [Google Scholar] [CrossRef] [PubMed] [Green Version]
- Veldhuis, A.J.; Nobre, A.; Reindl, T.; Rüther, R.; Reinders, A.H.M.E. The Influence of Wind on the Temperature of PV Modules in Tropical Environments, Evaluated on an Hourly Basis. In Proceedings of the 2013 IEEE 39th Photovoltaic Specialists Conference (PVSC), Tampa, FL, USA, 16–21 June 2013; pp. 0824–0829. [Google Scholar]
- Huang, M.; Eames, P.; Norton, B. Thermal regulation of building-integrated photovoltaics using phase change materials. Int. J. Heat Mass Transf. 2004, 47, 2715–2733. [Google Scholar] [CrossRef]
- Ouyang, W.; Sinsel, T.; Simon, H.; Morakinyo, T.E.; Liu, H.; Ng, E. Evaluating the thermal-radiative performance of ENVI-met model for green infrastructure typologies: Experience from a subtropical climate. Build. Environ. 2022, 207, 10827. [Google Scholar] [CrossRef]
- Cortes, A.; Rejuso, A.J.; Santos, J.A.; Blanco, A. Evaluating mitigation strategies for urban heat island in Mandaue City using ENVI-met. J. Urban Manag. 2022, 11, 97–106. [Google Scholar] [CrossRef]
- Katsoulas, N.; Antoniadis, D.; Tsirogianni, I.L.; Labraki, E.; Bartzanas, T.; Kittas, C. Microclimatic effects of planted hydroponic structures in urban environment: Measurements and simulations. Int. J. Biometeorol. 2016, 61, 69–85. [Google Scholar] [CrossRef] [PubMed]
- Semenova, O.V.; Yuzova, V.A.; Patrusheva, T.N.; Merkushev, F.; Railko, M.Y.; Podorozhnyak, S.A. Antireflection and protective films for silicon solar cells. Mater. Sci. Eng. 2014, 66, 012049. [Google Scholar] [CrossRef]
- Riverola, A.; Mellor, A.; Alonso Alvarez, D.; Ferre Llin, L.; Guarracino, I.; Markides, C.N.; Paul, D.J.; Chemisana, D.; Ekins-Daukes, N. Mid-infrared emissivity of crystalline silicon solar cells. Sol. Energy Mater Sol. Cells 2018, 174, 604–615. [Google Scholar] [CrossRef] [Green Version]
- Barron-Gafford, G.A.; Minor, R.L.; Allen, N.A.; Cronin, A.D.; Brooks, A.E.; Pavao-Zuckerman, M.A. The Photovoltaic Heat Island Effect: Larger solar power plants increase local temperatures. Sci. Rep. 2016, 6, 35070. [Google Scholar] [CrossRef] [PubMed] [Green Version]










| Sensor | Specifications | Parameter(s) | Purpose |
|---|---|---|---|
| HOBO External Temperature/Relative Humidity Sensor Data Logger (MX2302A) | Accuracy: +/− 0.2 °C and +/− 2.5% Relative Humidity Range: −40 to 70 °C Resolution: 0.02 °C | Temperature (°C) and Relative Humidity (%) | Measures the microclimate ambient temperature and humidity at different heights (1 m and 2 m) |
| HOBO Type T Thermocouple Data Logger (UX100-014M) | Accuracy: ±0.6 °C Range: −260 to 400 °C Resolution: 0.02 °C | Surface Temperature (°C) | Measures surface temperature of surfaces (ground, solar panel backsheet, solar cell temperature) |
| HOBO Type T Thermocouple Data Logger (UX100-014M) | Accuracy: ±0.6 °C Range: −260 to 400 °C Resolution: 0.02 °C | Globe Temperature (°C) | Measures mean radiant temperature |
| Apogee Quantum Sensor (SQ-420) | Spectral Range: 370 nm to 650 nm Range: 10 to 60 °C Resolution: 0.1 µmol m−2 s−1 | Photosynthetically Active Radiation (µmol m−2 s−1) | Measures useful sunlight (PAR) captured by plants from visible light spectrum |
| MCR-4TC Multichannel recorder | Accuracy: ±(0.5 °C + 0.3% of reading) Range: −270 to 400 °C Resolution: 0.1 °C | Temperature (°C) | Measures water temperature at the end of the NFT gutters |
| 14 October 2019 (Sunny Day) | 15 November 2019 (Cloudy Day) | ||||
|---|---|---|---|---|---|
| Temperature (°C) | Insolation (W/m2) | Relative Humidity (%) | Temperature (°C) | Insolation (W/m2) | Relative Humidity (%) |
| 29.96 | 253.15 | 72.58 | 27.60 | 98.43 | 82.89 |
| Sunny Day Simulations | Cloudy Day Simulations |
|---|---|
| 1. Control (no PV, no crops) | 4. Control (no PV, no crops) |
| 2. With PV and without crops | 5. With PV and without crops |
| 3. With PV and crops | 6. With PV and crops |
| Plot | 13 July 2021 (Cloudy Day) | 15 July 2021 (Sunny Day) | ||
|---|---|---|---|---|
| Yield (kWh) | Peak AC Power (kW) | Yield (kWh) | Peak AC Power (kW) | |
| Inverter A in Plot A | 6.38 | 1.68 | 36.09 | 6.06 |
| Inverter B in Plot B | 6.18 | 1.65 | 35.02 | 5.76 |
Publisher’s Note: MDPI stays neutral with regard to jurisdictional claims in published maps and institutional affiliations. |
© 2022 by the authors. Licensee MDPI, Basel, Switzerland. This article is an open access article distributed under the terms and conditions of the Creative Commons Attribution (CC BY) license (https://creativecommons.org/licenses/by/4.0/).
Share and Cite
Teng, J.W.C.; Soh, C.B.; Devihosur, S.C.; Tay, R.H.S.; Jusuf, S.K. Effects of Agrivoltaic Systems on the Surrounding Rooftop Microclimate. Sustainability 2022, 14, 7089. https://doi.org/10.3390/su14127089
Teng JWC, Soh CB, Devihosur SC, Tay RHS, Jusuf SK. Effects of Agrivoltaic Systems on the Surrounding Rooftop Microclimate. Sustainability. 2022; 14(12):7089. https://doi.org/10.3390/su14127089
Chicago/Turabian StyleTeng, Jerome Wei Chiang, Chew Beng Soh, Shiddalingeshwar Channabasappa Devihosur, Ryan Hong Soon Tay, and Steve Kardinal Jusuf. 2022. "Effects of Agrivoltaic Systems on the Surrounding Rooftop Microclimate" Sustainability 14, no. 12: 7089. https://doi.org/10.3390/su14127089
APA StyleTeng, J. W. C., Soh, C. B., Devihosur, S. C., Tay, R. H. S., & Jusuf, S. K. (2022). Effects of Agrivoltaic Systems on the Surrounding Rooftop Microclimate. Sustainability, 14(12), 7089. https://doi.org/10.3390/su14127089

