The Economic and Environmental Impact of Greenhouse Heating Pipe Insulation
Abstract
:1. Introduction
2. Materials and Methods
- The analysis is conducted under steady-state and ideal conditions.
- The pipe has a uniform cross section per unit length.
- The covering is made up of a thin material with a very high thermal conductivity value. Therefore, it is ignored.
- The temperatures of the surrounding environment and hot water are constant (12–80 °C).
- Pressure and temperature drops along the pipe are neglected.
- The insulation material is resistant to steam diffusion at a high coefficient of resistance.
2.1. Heat Losses and the Economics of Heating Pipeline Insulation
2.2. Calculation of the Total Gas Emissions
3. Results
3.1. Energy Savings and Total Costs for Various Energy Sources and Pipe Sizes
3.2. Effect of Pipe Dimensions in LCA Analysis of Various Energy Sources
3.3. Effect of Degree Days for Various Energy Sources and Pipe Sizes
4. Discussion
5. Conclusions
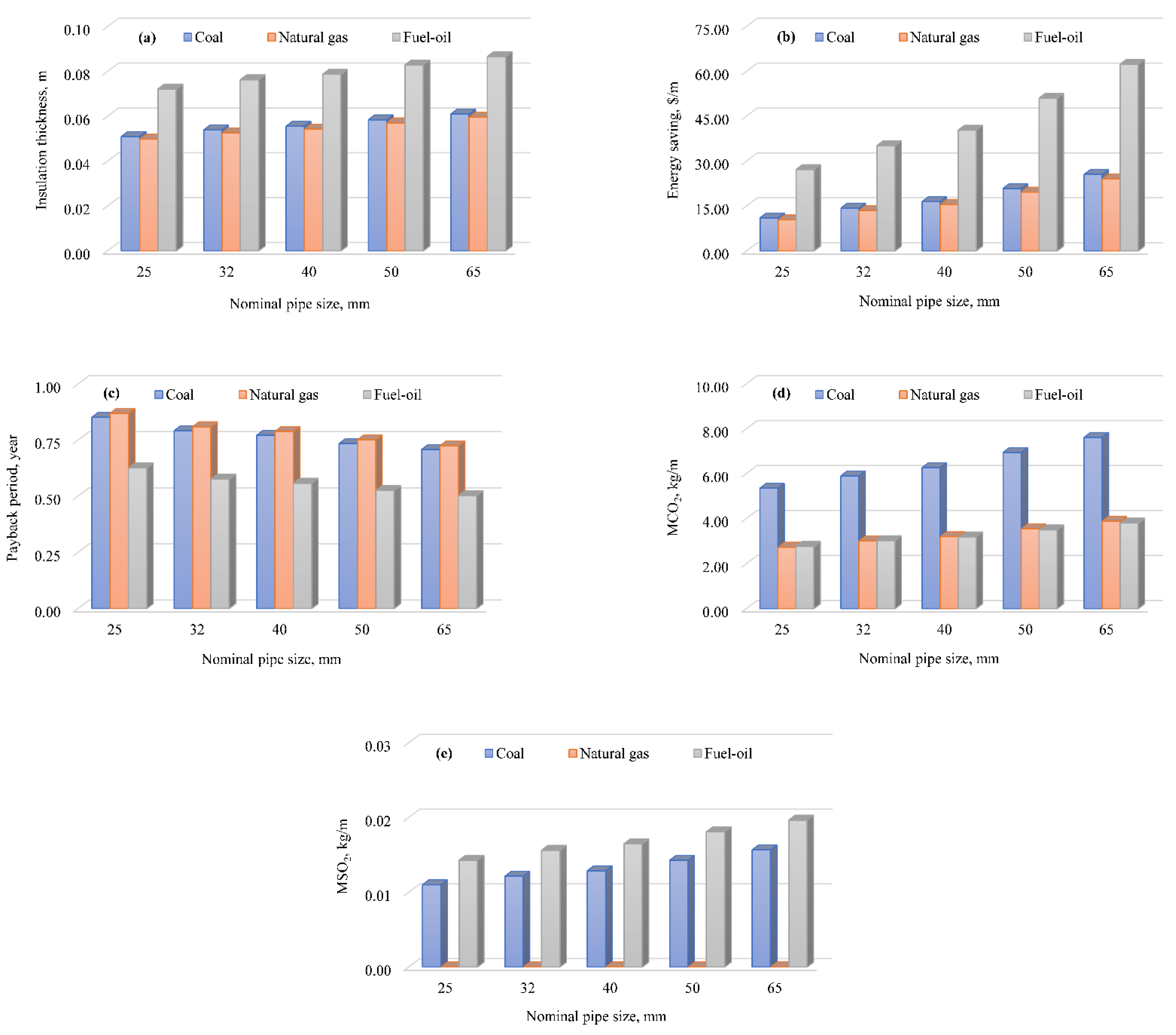
- The highest optimum insulation thickness (0.087 m) and energy savings (62.351 $/m) were achieved with a 65-mm pipe size for fuel oil, while the lowest optimum insulation thickness (0.050 m) and energy savings (10.351 $/m) were obtained with a 25-mm pipe size for natural gas.
- The shortest payback period (0.502 years) was achieved for fuel oil with a 65-mm pipe size, while the longest period (0.869 years) was obtained for natural gas with a 25-mm pipe size.
- The highest CO2 (7.618 kg/m) and SO2 (0.019 kg/m) emissions occurred with a 65-mm pipe size for coal and fuel oil.
- In terms of both economic and environmental benefits, fuel oil is the best option.
- Finally, insulation material reduces heat loss through the heating pipelines and has economic and environmental benefits.
Author Contributions
Funding
Institutional Review Board Statement
Informed Consent Statement
Data Availability Statement
Acknowledgments
Conflicts of Interest
References
- Küçüktopcu, E.; Cemek, B. A study on environmental impact of insulation thickness of poultry building walls. Energy 2018, 150, 583–590. [Google Scholar] [CrossRef]
- IEA. Turkey 2021 Energy Policy Review; International Energy Agency: Paris, France, 2021; pp. 17–34.
- Küçüktopcu, E.; Cemek, B. The use of artificial neural networks to estimate optimum insulation thickness, energy savings, and carbon dioxide emissions. Environ. Prog. Sustain. Energy 2021, 40, e13478. [Google Scholar] [CrossRef]
- Evin, D.; Ucar, A. Energy impact and eco-efficiency of the envelope insulation in residential buildings in Turkey. Appl. Therm. Eng. 2019, 154, 573–584. [Google Scholar] [CrossRef]
- Dombayci, Ö.A.; Atalay, Ö.; Acar, Ş.G.; Ulu, E.Y.; Ozturk, H.K. Thermoeconomic method for determination of optimum insulation thickness of external walls for the houses: Case study for Turkey. Sustain. Energy Technol. Assess. 2017, 22, 1–8. [Google Scholar] [CrossRef]
- López-Ochoa, L.M.; Las-Heras-Casas, J.; López-González, L.M.; García-Lozano, C. Energy Renovation of Residential Buildings in Cold Mediterranean Zones Using Optimized Thermal Envelope Insulation Thicknesses: The Case of Spain. Sustainability 2020, 12, 2287. [Google Scholar] [CrossRef] [Green Version]
- Apkaryan, A.; Kulkov, S. Study of the Thermophysical Properties of a Glass-Ceramic Material for Thermal Insulation of Pipelines of Heating Pipe Mains and Utilities. Inorg. Mater. Appl. Res. 2021, 12, 499–503. [Google Scholar] [CrossRef]
- Avikal, S.; Devi, R.; Bisht, A.S.; Kumar, K.N. Design and Thermal Analysis of Pipe Insulation. In Advances in Fluid and Thermal Engineering; Springer: Berlin/Heidelberg, Germany, 2021; pp. 455–465. [Google Scholar]
- Bahadori, A.; Vuthaluru, H.B. A simple correlation for estimation of economic thickness of thermal insulation for process piping and equipment. Appl. Therm. Eng. 2010, 30, 254–259. [Google Scholar] [CrossRef]
- Keçebaş, A.; Alkan, M.A.; Bayhan, M. Thermo-economic analysis of pipe insulation for district heating piping systems. Appl. Therm. Eng. 2011, 31, 3929–3937. [Google Scholar] [CrossRef]
- Başoğul, Y.; Keçebaş, A. Economic and environmental impacts of insulation in district heating pipelines. Energy 2011, 36, 6156–6164. [Google Scholar] [CrossRef]
- Kayfeci, M. Determination of energy saving and optimum insulation thicknesses of the heating piping systems for different insulation materials. Energy Build. 2014, 69, 278–284. [Google Scholar] [CrossRef]
- Ertürk, M. Optimum insulation thicknesses of pipes with respect to different insulation materials, fuels and climate zones in Turkey. Energy 2016, 113, 991–1003. [Google Scholar] [CrossRef]
- Daşdemir, A.; Ural, T.; Ertürk, M.; Keçebaş, A. Optimal economic thickness of pipe insulation considering different pipe materials for HVAC pipe applications. Appl. Therm. Eng. 2017, 121, 242–254. [Google Scholar] [CrossRef]
- Ucar, A. A thermo-economic approach for determination of optimum thickness of thermal insulation applied to piping systems. J. Renew. Sustain. Energy 2018, 10, 035102. [Google Scholar] [CrossRef] [Green Version]
- Castilla, N.; Hernandez, J. Greenhouse technological packages for high-quality crop production. In Proceedings of the XXVII International Horticultural Congress-IHC2006: International Symposium on Advances in Environmental Control, Automation and Cultivation Systems for Sustainable, High-Quality Crop Production under Protected Cultivation, Seoul, Korea, 13 August 2006; pp. 285–297. [Google Scholar]
- Piscia, D.; Muñoz, P.; Panadès, C.; Montero, J. A method of coupling CFD and energy balance simulations to study humidity control in unheated greenhouses. Comput. Electron. Agric. 2015, 115, 129–141. [Google Scholar] [CrossRef]
- Körner, O.; Challa, H. Process-based humidity control regime for greenhouse crops. Comput. Electron. Agric. 2003, 39, 173–192. [Google Scholar] [CrossRef]
- Rousse, D.R.; Martin, D.; Thériault, R.; Léveillée, F.; Boily, R. Heat recovery in greenhouses: A practical solution. Appl. Therm. Eng. 2000, 20, 687–706. [Google Scholar] [CrossRef]
- Runkle, E.; Both, A. Greenhouse Energy Conservation Strategies; Michigan State University: East Lansing, MI, USA, 2011. [Google Scholar]
- Canakci, M.; Emekli, N.Y.; Bilgin, S.; Caglayan, N. Heating requirement and its costs in greenhouse structures: A case study for Mediterranean region of Turkey. Renew. Sustain. Energy Rev. 2013, 24, 483–490. [Google Scholar] [CrossRef]
- Von Zabeltitz, C. Integrated Greenhouse Systems for Mild Climates: Climate Conditions, Design, Construction, Maintenance, Climate Control; Springer Science & Business Media: Berlin/Heidelberg, Germany, 2010. [Google Scholar]
- Teitel, M.; Segal, I.; Shklyar, A.; Barak, M. A comparison between pipe and air heating methods for greenhouses. J. Agric. Eng. Res. 1999, 72, 259–273. [Google Scholar] [CrossRef]
- Bartzanas, T.; Tchamitchian, M.; Kittas, C. Influence of the heating method on greenhouse microclimate and energy consumption. Biosyst. Eng. 2005, 91, 487–499. [Google Scholar] [CrossRef]
- Dhiman, M.; Sethi, V.; Singh, B.; Sharma, A. CFD analysis of greenhouse heating using flue gas and hot water heat sink pipe networks. Comput. Electron. Agric. 2019, 163, 104853. [Google Scholar] [CrossRef]
- Shahryari, A.; Pakshir, M. Influence of a modulated electromagnetic field on fouling in a double-pipe heat exchanger. J. Mater. Processing Technol. 2008, 203, 389–395. [Google Scholar] [CrossRef]
- Tükel, M.; Tunçbilek, E.; Komerska, A.; Keskin, G.A.; Arıcı, M. Reclassification of climatic zones for building thermal regulations based on thermoeconomic analysis: A case study of Turkey. Energy Build. 2021, 246, 111121. [Google Scholar] [CrossRef]
- Forsberg, C.H. Heat transfer Principles and Applications; Academic Press, Elsevier: London, UK, 2020; p. 545. [Google Scholar]
- Duffie, J.A.; Beckman, W.A.; Worek, W. Solar engineering of thermal processes. J. Sol. Energy Eng. 1994, 116, 67–68. [Google Scholar] [CrossRef]
- Kaynakli, O. Economic thermal insulation thickness for pipes and ducts: A review study. Renew. Sustain. Energy Rev. 2014, 30, 184–194. [Google Scholar] [CrossRef]
- Hanan, J.J. Greenhouses: Advanced Technology for Protected Horticulture; CRC Press: Washington, DC, USA, 2017. [Google Scholar]






| Variables | Values |
|---|---|
| HDD | 2226 °C-days |
| Nominal pipe sizes | See Table 2 |
| Fuel types | See Table 3 |
| Insulation material | Rockwool |
| Cost | 70 $/m3 |
| Conductivity | 0.040 W/mK |
| Increase rate (d) | 17.14% |
| Discount rate (i) | 19.00% |
| Lifetime (N) | 10 years |
| Nominal Pipe Size | Outer Diameter | Wall Thickness | Weight Class | Sch No | Unit Weight | |
|---|---|---|---|---|---|---|
| mm | Inch | mm | mm | - | - | kg/m |
| 25 | 1 | 33.40 | 3.38 | STD | 40 | 2.50 |
| 32 | 11/4 | 42.16 | 3.56 | STD | 40 | 3.38 |
| 40 | 11/2 | 48.26 | 3.68 | STD | 40 | 4.05 |
| 50 | 2 | 60.33 | 3.91 | STD | 40 | 5.44 |
| 65 | 21/2 | 73.03 | 5.16 | STD | 40 | 8.63 |
| Fuel Types | Chemical Formulas | Cost | Hu | ns |
|---|---|---|---|---|
| Coal | C7.078H5.149O0.517S0.010N0.086 | 0.205 $/kg | 29288 kJ/kg | 65% |
| Natural gas | C1.050H4.000O0.034N0.022 | 0.327 $/m3 | 34518 kJ/m3 | 93% |
| Fuel oil | C7.313H10.407O0.040S0.026N0.020 | 0.813 $/kg | 40608 kJ/kg | 80% |
| Fuel Types | Parameters | Nominal Pipe Size | ||||
|---|---|---|---|---|---|---|
| 25 | 32 | 40 | 50 | 65 | ||
| Coal | OIT (mm) | 0.051 | 0.054 | 0.056 | 0.058 | 0.061 |
| ES ($/m) | 10.996 | 14.307 | 16.418 | 20.843 | 25.532 | |
| PP (year) | 0.851 | 0.792 | 0.771 | 0.734 | 0.708 | |
| MCO2 (kg/m) | 5.347 | 5.900 | 6.263 | 6.942 | 7.618 | |
| MSO2 (kg/m) | 0.011 | 0.012 | 0.013 | 0.014 | 0.016 | |
| Natural gas | OIT (mm) | 0.050 | 0.053 | 0.054 | 0.057 | 0.060 |
| ES ($/m) | 10.351 | 13.474 | 15.463 | 19.635 | 24.057 | |
| PP (year) | 0.869 | 0.809 | 0.788 | 0.751 | 0.724 | |
| MCO2 (kg/m) | 2.722 | 3.006 | 3.192 | 3.541 | 3.887 | |
| MSO2 (kg/m) | --- | --- | --- | --- | --- | |
| Fuel oil | OIT (mm) | 0.072 | 0.076 | 0.079 | 0.083 | 0.087 |
| ES ($/m) | 27.175 | 35.186 | 40.306 | 51.012 | 62.351 | |
| PP (year) | 0.626 | 0.576 | 0.557 | 0.525 | 0.502 | |
| MCO2 (kg/m) | 2.762 | 3.018 | 3.185 | 3.494 | 3.798 | |
| MSO2 (kg/m) | 0.014 | 0.016 | 0.016 | 0.018 | 0.020 | |
| Studies | Location | Parameters | Economic Analyses | Results |
|---|---|---|---|---|
| Present study | Konya, Turkey | Nominal pipe size: 25–65 mm | P1–P2 method | OIT: 0.033–0.087 m |
| Pipe type: Stainless steel | HDD: 2226 °C-days | ES: 10.352–62.351 $/m | ||
| Insulation: Rockwool | N: 10 years | PP: 0.502–0.955 years | ||
| Fuels: coal, natural gas, fuel oil | i: 19.00% | MCO2: 2.654–7.618 kg/m | ||
| d: 17.14% | MSO2: 0.000–0.020 kg/m | |||
| Kayfeci [12] | Isparta, Turkey | Nominal pipe size: 50–250 mm | P1–P2 method | OIT: 0.048–0.134 m |
| Pipe type: Stainless steel | HDD: 2607 °C-days | ES: 10.480–49.780 $/m | ||
| Insulations: Foam board, XPS, EPS, Rockwool, Fiberglass | N: 10 years | PP: 0.740–1.290 years | ||
| Fuels: natural gas | i: 4.00% | MCO2: not investigated | ||
| d: 5.00% | MSO2: not investigated | |||
| Keçebaş et al. [10] | Afyonkarahisar, Turkey | Nominal pipe size: 50–250 mm | P1–P2 method | OIT: 0.085–0.228 m |
| Pipe type: Stainless steel | HDD: 2828 °C-days | ES: 10.041–175.171 $/m | ||
| Insulations: Rockwool | N: 10 years | PP: 0.442–0.808 years | ||
| Fuels: coal, natural gas, fuel oil, geothermal | i: 4.00% | MCO2: not investigated | ||
| d: 5.00% | MSO2: not investigated | |||
| Daşdemir et al. [14] | Afyonkarahisar Turkey | Nominal pipe size: 50–1000 mm | P1–P2 method | OIT: 0.050–0.160 m |
| Pipe type: Stainless steel, plastic, copper | HDD: 2328 °C-days | ES: 8.680–244.870 $/m | ||
| Insulations: Rockwool, XPS, EPS | N: 10 years | PP: 0.110–1.420 years | ||
| Fuels: coal, natural gas, fuel oil | i: 13.00% | MCO2: not investigated | ||
| d: 6.50% | MSO2: not investigated | |||
| Başoğul and Keçebaş [11] | Afyonkarahisar Turkey | Nominal pipe size: 50–200 mm | P1–P2 method | OIT: 0.085–0.259 m |
| Pipe type: Stainless steel | HDD: 2828 °C-days | ES: 10.041–231.299 $/m | ||
| Insulations: Rockwool | N: 10 years | PP: 0.366–0.804 years | ||
| Fuels: coal, natural gas, fuel oil, geothermal | i: 4.00% | MCO2: 2.809–57.629 kg/m | ||
| d: 5.00% | MSO2: 0.000–0.150 kg/m |
| Plants | Temperature Ranges (°C) | Heat Losses from pipes (W/m2) | ||||
|---|---|---|---|---|---|---|
| 25 | 32 | 40 | 50 | 65 | ||
| Alstroemeria | 5–21 | 47.10–59.87 | 59.01–75.02 | 66.65–84.73 | 82.47–104.83 | 99.13–126.02 |
| Alyssum | 3–21 | 47.10–61.46 | 59.01–77.02 | 66.65–86.99 | 82.47–107.63 | 99.13–129.38 |
| Amaryllis | 16–21 | 47.10–51.09 | 59.01–64.01 | 66.65–72.30 | 82.47–89.46 | 99.13–107.54 |
| Anemone | 6–14 | 50.29–59.07 | 63.01–74.01 | 71.17–83.60 | 88.06–103.43 | 105.86–124.34 |
| Aquilegia | 21–29 | 40.71–47.10 | 51.01–59.01 | 57.61–66.65 | 71.29–82.47 | 85.69–99.13 |
| Asparagus | 21–29 | 40.71–47.10 | 51.01–59.01 | 57.61–66.65 | 71.29–82.47 | 85.69–99.13 |
| Aster | 3–12 | 54.28–61.46 | 68.01–77.02 | 76.82–86.99 | 95.05–107.63 | 114.26–129.38 |
| Azalea | 4–18 | 49.49–60.67 | 62.01–76.02 | 70.04–85.86 | 86.66–106.23 | 104.18–127.70 |
| Bedding plants | 13–21 | 47.10–53.48 | 59.01–67.01 | 66.65–75.69 | 82.47–93.65 | 99.13–112.58 |
| Begonia | 13–22 | 46.30–53.48 | 58.01–67.01 | 65.52–75.69 | 81.07–93.65 | 97.45–112.58 |
| Bulbs | 5–16 | 51.09–59.87 | 64.01–75.02 | 72.30–84.73 | 89.46–104.83 | 107.54–126.02 |
| Caladium | 21–29 | 40.71–47.10 | 51.01–59.01 | 57.61–66.65 | 71.29–82.47 | 85.69–99.13 |
| Calceolaria | 3–21 | 47.10–61.46 | 59.01–77.02 | 66.65–86.99 | 82.47–107.63 | 99.13–129.38 |
| Carnation | 10–22 | 46.30–55.88 | 58.01–70.01 | 65.52–79.08 | 81.07–97.84 | 97.45–117.62 |
| Chrysanthemum | 16–21 | 47.10–51.09 | 59.01–64.01 | 66.65–72.30 | 82.47–89.46 | 99.13–107.54 |
| Cineraria | 9–21 | 47.10–56.68 | 59.01–71.01 | 66.65–80.21 | 82.47–99.24 | 99.13–119.30 |
| Cucumber | 21–29 | 40.71–47.10 | 51.01–59.01 | 57.61–66.65 | 71.29–82.47 | 85.69–99.13 |
| Cyclamen | 10–20 | 47.89–55.88 | 60.01–70.01 | 67.78–79.08 | 83.87–97.84 | 100.82–117.62 |
| Easter lilies | 2–21 | 47.10–62.26 | 59.01–78.02 | 66.65–88.11 | 82.47–109.03 | 99.13–131.06 |
| Exacum | 16–26 | 43.10–51.09 | 54.01–64.01 | 61.00–72.30 | 75.48–89.46 | 90.73–107.54 |
| Foliage plants | 18–35 | 35.92–49.49 | 45.01–62.01 | 50.84–70.04 | 62.90–86.66 | 75.61–104.18 |
| Freesia | 13–31 | 39.11–53.48 | 49.01–67.01 | 55.35–75.69 | 68.49–93.65 | 82.33–112.58 |
| Fuchsia | 13–24 | 44.70–53.48 | 56.01–67.01 | 63.26–75.69 | 78.27–93.65 | 94.09–112.58 |
| Geranium | 13–24 | 44.70–53.48 | 56.01–67.01 | 63.26–75.69 | 78.27–93.65 | 94.09–112.58 |
| Gerbera | 9–27 | 42.31–56.68 | 53.01–71.01 | 59.87–80.21 | 74.08–99.24 | 89.05–119.30 |
| Gloxinia | 18–24 | 44.70–49.49 | 56.01–62.01 | 63.26–70.04 | 78.27–86.66 | 94.09–104.18 |
| Hibiscus | 20–24 | 44.70–47.89 | 56.01–60.01 | 63.26–67.78 | 78.27–83.87 | 94.09–100.82 |
| Hydrangea | 2–16 | 51.09–62.26 | 64.01–78.02 | 72.30–88.11 | 89.46–109.03 | 107.54–131.06 |
| Iris | 16–32 | 38.32–51.09 | 48.01–64.01 | 54.22–72.30 | 67.09–89.46 | 80.65–107.54 |
| Kalanchoe | 16–21 | 47.10–51.09 | 59.01–64.01 | 66.65–72.30 | 82.47–89.46 | 99.13–107.54 |
| Lettuce | 10–24 | 44.70–55.88 | 56.01–70.01 | 63.26–79.08 | 78.27–97.84 | 94.09–117.62 |
| Poinsettia | 16–32 | 38.32–51.09 | 48.01–64.01 | 54.22–72.30 | 67.09–89.46 | 80.65–107.54 |
| Rose | 16–29 | 40.71–51.09 | 51.01–64.01 | 57.61–72.30 | 71.29–89.46 | 85.69–107.54 |
| Saintpaulia | 20–23 | 45.50–47.89 | 57.01–60.01 | 64.39–67.78 | 79.67–83.87 | 95.77–100.82 |
| Snapdragon | 10–21 | 47.10–55.89 | 59.01–70.01 | 66.65–79.08 | 82.47–97.84 | 99.13–117.62 |
| Sweet pepper | 7–21.5 | 46.70–58.27 | 58.51–73.01 | 66.09–82.47 | 81.77–102.04 | 98.29–122.66 |
| Tomato | 13–29 | 40.71–53.48 | 51.01–67.01 | 57.61–75.69 | 71.29–93.65 | 85.69–112.58 |
Publisher’s Note: MDPI stays neutral with regard to jurisdictional claims in published maps and institutional affiliations. |
© 2022 by the authors. Licensee MDPI, Basel, Switzerland. This article is an open access article distributed under the terms and conditions of the Creative Commons Attribution (CC BY) license (https://creativecommons.org/licenses/by/4.0/).
Share and Cite
Küçüktopcu, E.; Cemek, B.; Simsek, H. The Economic and Environmental Impact of Greenhouse Heating Pipe Insulation. Sustainability 2022, 14, 549. https://doi.org/10.3390/su14010549
Küçüktopcu E, Cemek B, Simsek H. The Economic and Environmental Impact of Greenhouse Heating Pipe Insulation. Sustainability. 2022; 14(1):549. https://doi.org/10.3390/su14010549
Chicago/Turabian StyleKüçüktopcu, Erdem, Bilal Cemek, and Halis Simsek. 2022. "The Economic and Environmental Impact of Greenhouse Heating Pipe Insulation" Sustainability 14, no. 1: 549. https://doi.org/10.3390/su14010549
APA StyleKüçüktopcu, E., Cemek, B., & Simsek, H. (2022). The Economic and Environmental Impact of Greenhouse Heating Pipe Insulation. Sustainability, 14(1), 549. https://doi.org/10.3390/su14010549

