Study on Combustion Characteristics and Thermodynamic Parameters of Thermal Degradation of Guinea Grass (Megathyrsus maximus) in N2-Pyrolytic and Oxidative Atmospheres
Abstract
1. Introduction
2. Materials and Methods
2.1. Materials
2.2. Biomass Characterization
2.3. Thermogravimetric Analysis (TGA)
2.4. Kinetic Modelling
2.4.1. Coats–Redfern (CR) Method
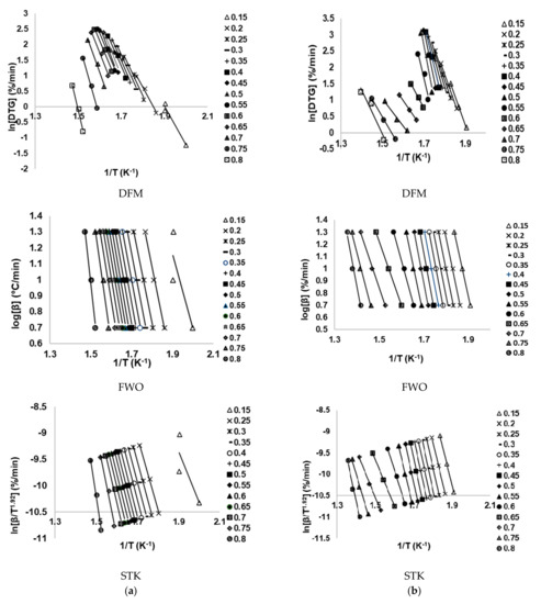
2.4.2. Differential Friedman Method (DFM)
2.4.3. Flynn–Wall–Ozawa (FWO) Method
2.4.4. Starink (STK) Method
2.4.5. Combustion Characteristics Indices
2.4.6. Thermodynamic Analysis
3. Results and Discussion
3.1. Characterization of Guinea Grass
3.2. Thermal Degradation Characteristics of GG at Different Heating Rates
3.3. Kinetic Modeling
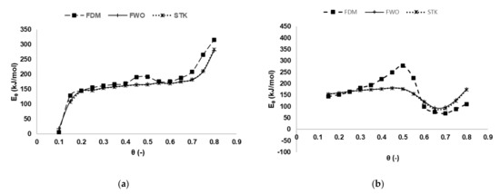
3.3.1. Model-Free Technique
3.3.2. Model-Fitting Technique
3.3.3. Combustion Characteristics
3.3.4. Thermodynamics Analysis
4. Conclusions
Author Contributions
Funding
Data Availability Statement
Conflicts of Interest
References
- Xu, Z.; Xiao, X.; Fang, P.; Ye, L.; Huang, J.; Wu, H.; Tang, Z.; Chen, D. Comparison of combustion and pyrolysis behavior of the peanut shells in air and N2: Kinetics, thermodynamics and gas emissions. Sustainability 2020, 12, 464. [Google Scholar] [CrossRef]
- Li, Q.; Zhao, C.; Chen, X.; Wu, W.; Li, Y. Comparison of pulverized coal combustion in air and in O2/CO2 mixtures by thermo-gravimetric analysis. J. Anal. Appl. Pyrolysis 2009, 85, 521–528. [Google Scholar] [CrossRef]
- Sattar, H.; Muzaffar, I.; Munir, S. Thermal and kinetic study of rice husk, corn cobs, peanut crust and Khushab coal under inert (N2) and oxidative (dry air) atmospheres. Renew. Energy 2020, 149, 794–805. [Google Scholar] [CrossRef]
- Rueda-Ordóñez, Y.J.; Tannous, K. Thermal decomposition of sugarcane straw, kinetics and heat of reaction in synthetic air. Bioresour. Technol. 2016, 211, 231–239. [Google Scholar] [CrossRef] [PubMed]
- Lasode, O.A.; Balogun, A.O.; McDonald, A.G. Torrefaction of some Nigerian lignocellulosic resources and decomposition kinetics. J. Anal. Appl. Pyrolysis 2014, 109, 47–55. [Google Scholar] [CrossRef]
- Lisseth, C.; Martinez, M.; Patrícia, E.; Rocha, A.; Cassia, A.d.C.O.; Carneiro, O.; José, F.; Gomes, B.; Aparecida, L.; Batalha, R.; et al. Characterization of residual biomasses from the coffee production chain and assessment the potential for energy purposes. Biomass Bioenergy 2019, 120, 68–76. [Google Scholar]
- Balogun, A.O.; Lasode, O.A.; McDonald, A.G. Devolatilisation kinetics and pyrolytic analyses of Tectona grandis (teak). Bioresour. Technol. 2014, 156, 57–62. [Google Scholar] [CrossRef] [PubMed]
- Chen, R.; Li, Q.; Xu, X.; Zhang, D.; Hao, R. Combustion characteristics, kinetics and thermodynamics of Pinus Sylvestris pine needle via non-isothermal thermogravimetry coupled with model-free and model-fitting methods. Case Stud. Therm. Eng. 2020, 22, 100756. [Google Scholar] [CrossRef]
- Azeez, A.M.; Meier, D.; Odermatt, J. Temperature dependence of fast pyrolysis volatile products from European and African biomasses. J. Anal. Appl. Pyrolysis 2011, 90, 81–92. [Google Scholar] [CrossRef]
- Adesemuyi, M.F.; Adebayo, M.A.; Akinola, A.O.; Olasehinde, E.F.; Adewole, K.A.; Lajide, L. Preparation and characterisation of biochars from elephant grass and their utilisation for aqueous nitrate removal: Effect of pyrolysis temperature. J. Environ. Chem. Eng. 2020, 8, 1–12. [Google Scholar] [CrossRef]
- Mohammed, I.Y.; Abakr, Y.A.; Mokaya, R. Biofuel and valuable products recovery from Napier grass pre-processing: Process design and economic analysis. J. Environ. Chem. Eng. 2019, 7, 102962. [Google Scholar] [CrossRef]
- Awasthi, A.; Singh, G.; Dhyani, V.; Kumar, J.; Reddy, Y.S.; Adarsh, V.P.; Puthiyamadam, A.; Mullepureddy, K.K.; Sukumaran, R.K.; Ummalyma, S.B.; et al. Co-pyrolysis of phumdi and para grass biomass from Loktak Lake. Bioresour. Technol. 2019, 285, 1–6. [Google Scholar] [CrossRef]
- Cai, X.; Zhang, X.; Wang, D. Land availability for biofuel production. Environ. Sci. Technol. 2011, 45, 334–339. [Google Scholar] [CrossRef] [PubMed]
- Kumar, S.; Ghosh, P. Sustainable bio-energy potential of perennial energy grass from reclaimed coalmine spoil (marginal sites) of India. Renew. Energy 2018, 123, 475–485. [Google Scholar] [CrossRef]
- Mohapatra, S.; Mishra, C.; Behera, S.S.; Thatoi, H. Application of pretreatment, fermentation and molecular techniques for enhancing bioethanol production from grass biomass—A review. Renew. Sustain. Energy Rev. 2017, 78, 1007–1032. [Google Scholar] [CrossRef]
- Tan, K.T.; Lee, K.T.; Mohamed, A.R. Role of energy policy in renewable energy accomplishment: The case of second-generation bioethanol. Energy Policy 2008, 36, 3360–3365. [Google Scholar] [CrossRef]
- Egwu, U.; Sallis, P.; Oko, E. Study of the impacts of supplements on the specific methane production during anaerobic digestion of the West African Gamba and Guinea Grass. Fuel 2021, 285, 1–10. [Google Scholar] [CrossRef]
- Brosse, N.; Dufour, A.; Meng, X.; Sun, Q.; Ragauskas, A. Miscanthus: A fast-grwoing crop for biofuels and chemicals production. Biofuels Bioprod. Biorefining 2012, 6, 580–598. [Google Scholar] [CrossRef]
- Balogun, A.O.; Lasode, O.A.; McDonald, A.G. Thermo-analytical and physico-chemical characterization of woody and non-woody biomass from an agro-ecological zone in Nigeria. BioResources 2014, 9, 5099–5113. [Google Scholar] [CrossRef]
- Ajimotokan, H.A.; Ehindero, A.O.; Ajao, K.S.; Adeleke, A.A.; Ikubanni, P.P.; Shuaib-Babata, Y.L. Combustion characteristics of fuel briquettes made from charcoal particles and sawdust agglomerates. Sci. Afr. 2019, 6, 1–9. [Google Scholar] [CrossRef]
- Xu, F.; Yu, J.; Tesso, T.; Dowell, F.; Wang, D. Qualitative and quantitative analysis of lignocellulosic biomass using infrared techniques: A mini-review. Appl. Energy 2013, 104, 801–809. [Google Scholar] [CrossRef]
- Balogun, A.O.; Sotoudehniakarani, F.; Mcdonald, A.G. Thermo-kinetic, spectroscopic study of brewer’s spent grains and characterisation of their pyrolysis products. J. Anal. Appl. Pyrolysis 2017, 127, 8–16. [Google Scholar] [CrossRef]
- Singh, Y.D.; Mahanta, P.; Bora, U. Comprehensive characterization of lignocellulosic biomass through proximate, ultimate and compositional analysis for bioenergy production. Renew. Energy 2017, 103, 490–500. [Google Scholar] [CrossRef]
- Hameed, S.; Sharma, A.; Pareek, V.; Wu, H.; Yu, Y. A review on biomass pyrolysis models: Kinetic, network and mechanistic models. Biomass Bioenergy 2019, 123, 104–122. [Google Scholar] [CrossRef]
- Papari, S.; Hawboldt, K. A review on the pyrolysis of woody biomass to bio-oil: Focus on kinetic models. Renew. Sustain. Energy Rev. 2015, 52, 1580–1595. [Google Scholar] [CrossRef]
- Masnadi, M.S.; Habibi, R.; Kopyscinski, J.; Hill, J.M.; Bi, X.; Lim, C.J.; Ellis, N.; Grace, J.R. Fuel characterization and co-pyrolysis kinetics of biomass and fossil fuels. Fuel 2014, 117, 1204–1214. [Google Scholar] [CrossRef]
- Almazrouei, M.; Janajreh, I. Model-fitting approach to kinetic analysis of non-isothermal pyrolysis of pure and crude glycerol. Renew. Energy 2020, 145, 1693–1708. [Google Scholar] [CrossRef]
- Ashraf, A.; Sattar, H.; Munir, S.; Husk, R. A comparative applicability study of model-fitting and model-free kinetic analysis approaches to non-isothermal pyrolysis of coal and agricultural residues. Fuel 2019, 240, 326–333. [Google Scholar] [CrossRef]
- Haykırı-açma, H.; Yaman, S. Kinetic modelling of RDF pyrolysis: Model-fitting and model-free approaches. Waste Manag. 2016, 48, 275–284. [Google Scholar]
- Ali, I.; Raza, S.; Bahadar, A. Kinetic analysis of Botryococcus braunii pyrolysis using model-free and model fitting methods. Fuel 2018, 214, 369–380. [Google Scholar] [CrossRef]
- Amoo, L.M. Computational fluid dynamics simulation of Lafia-Obi bituminous coal in a fluidized-bed chamber for air- and oxy-fuel combustion technologies. Fuel 2015, 140, 178–191. [Google Scholar] [CrossRef]
- Wilk, M.; Magdziarz, A.; Gajek, M.; Zajemska, M.; Jayaraman, K. Combustion and kinetic parameters estimation of torrefied pine, acacia and Miscanthus giganteus using experimental and modelling techniques. Bioresour. Technol. 2017, 243, 304–314. [Google Scholar] [CrossRef]
- Bach, Q.V.; Tran, K.Q.; Skreiberg, Ø. Combustion kinetics of wet-torrefied forest residues using the distributed activation energy model (DAEM). Appl. Energy 2017, 185, 1059–1066. [Google Scholar] [CrossRef]
- Sun, L.; Varanasi, P.; Yang, F.; Loqué, D.; Simmons, B.A.; Singh, S. Rapid determination of syringyl: Guaiacyl ratios using FT-Raman spectroscopy. Biotechnol. Bioeng. 2012, 109, 647–656. [Google Scholar] [CrossRef] [PubMed]
- Balogun, A.O.; McDonald, A.G. Decomposition kinetic study, spectroscopic and pyrolytic analyses of Isoberlinia doka and Pinus ponderosa. Biomass Convers. Biorefinery 2016, 6, 315–324. [Google Scholar] [CrossRef]
- Cai, J.; Xu, D.; Dong, Z.; Yu, X.; Yang, Y.; Banks, S.W.; Bridgwater, A.V. Processing thermogravimetric analysis data for isoconversional kinetic analysis of lignocellulosic biomass pyrolysis: Case study of corn stalk. Renew. Sustain. Energy Rev. 2018, 82, 2705–2715. [Google Scholar] [CrossRef]
- Martínez-Ramírez, S.; Frías, M.; Nakanishi, E.Y.; Savastano, H. Pozzolanic Reaction of a Biomass Waste as Mineral Addition to Cement Based Materials: Studies by Nuclear Magnetic Resonance (NMR). Int. J. Concr. Struct. Mater. 2019, 13, 1–8. [Google Scholar] [CrossRef]
- Mehmood, M.A.; Ye, G.; Luo, H.; Liu, C.; Malik, S.; Afzal, I.; Xu, J.; Ahmad, M.S. Pyrolysis and kinetic analyses of Camel grass (Cymbopogon schoenanthus) for bioenergy. Bioresour. Technol. 2017, 228, 18–24. [Google Scholar] [CrossRef] [PubMed]
- Alves, J.L.F.; da Silva, J.C.G.; Mumbach, G.D.; di Domenico, M.; da Silva Filho, V.F.; de Sena, R.F.; Machado, R.A.F.; Marangoni, C. Insights into the bioenergy potential of jackfruit wastes considering their physicochemical properties, bioenergy indicators, combustion behaviors, and emission characteristics. Renew. Energy 2020, 155, 1328–1338. [Google Scholar] [CrossRef]
- Aganga, A.A.; Tshwenyane, S. Potentials of Guinea Grass (Panicum maximum) as Forage Crop in Livestock Production. Pakistan J. Nutr. 2004, 3, 1–4. [Google Scholar]
- Mohammed, I.Y.; Abakr, Y.A.; Kazi, F.K.; Yusup, S.; Alshareef, I.; Chin, S.A. Comprehensive Characterization of Napier Grass as a Feedstock for Thermochemical Conversion. Energies 2015, 8, 3403–3417. [Google Scholar] [CrossRef]
- Alves, J.L.F.; da Silva, J.C.G.; Mumbach, G.D.; di Domenico, M.; de Sena, R.F.; Machado, R.A.F.; Marangoni, C. Demonstrating the Suitability of Tamarind Residues to Bioenergy Exploitation Via Combustion Through Physicochemical Properties, Performance Indexes, and Emission Characteristics. Bioenergy Res. 2020, 13, 1308–1320. [Google Scholar] [CrossRef]
- Alves, J.L.F.; da Silva, J.C.G.; Mumbach, G.D.; da Silva Filho, V.F.; Di Domenico, M.; de Sena, R.F.; Bolzan, A.; Machado, R.A.F.; Marangoni, C. Thermo-kinetic investigation of the multi-step pyrolysis of smoked cigarette butts towards its energy recovery potential. Biomass Convers. Biorefinery 2020, 1–15. [Google Scholar] [CrossRef]
- Gandra, J.R.; de Oliveira, E.R.; de Goes, R.H.T.B.; de Oliveira, K.M.P.; Takiya, C.S.; Del Valle, T.A.; Araki, H.M.C.; Silveira, K.; SIlva, D.; da Silva Pause, A.G. Microbial inoculant and an extract of Trichoderma longibrachiatum with xylanase activity effect on chemical composition, fermentative profile and aerobic stability of guinea grass (Pancium maximum Jacq.) silage. J. Anim. Feed Sci. 2017, 26, 339–347. [Google Scholar] [CrossRef]
- Ratsamee, S.; Akaracharanya, A.; Leepipatpiboon, N.; Srinorakutara, T.; Kitpreechavanich, V.; Tolieng, V. Purple guinea grass: Pretreatment and ethanol fermentation. BioResources 2012, 7, 1891–1906. [Google Scholar] [CrossRef]
- Detmann, E.; de Oliveira Franco, M.; Íris Gomes, D.; Medrado Barbosa, M.; de Campos Valadares Filho, S. Protein contamination on Klason lignin contents in tropical grasses and legumes. Pesq. Agropec. Bras 2014, 49, 994–997. [Google Scholar] [CrossRef][Green Version]
- Clapham, W.M.; Foster, J.G.; Neel, J.P.S. Fatty Acid Composition of Traditional and Novel Forages. J. Agric. Food Chem. 2005, 53, 10068–10073. [Google Scholar] [CrossRef] [PubMed]
- Luengnaruemitchai, A.; Anupapwisetkul, C. Surface morphology and cellulose structure of Napier grass pretreated with the ionic liquid 1-ethyl-3-methylimidazolium acetate combined with either water or dimethyl sulfoxide as a co-solvent under microwave irradiation. Biomass Convers. Biorefinery 2020, 10, 435–446. [Google Scholar] [CrossRef]
- Li, H.; McDonald, A.G. Fractionation and characterization of industrial lignins. Ind. Crops Prod. 2014, 62, 67–76. [Google Scholar] [CrossRef]
- Zou, H.; Evrendilek, F.; Liu, J.; Buyukada, M. Combustion behaviors of pileus and stipe parts of Lentinus edodes using thermogravimetric-mass spectrometry and Fourier transform infrared spectroscopy analyses: Thermal conversion, kinetic, thermodynamic, gas emission and optimization analyses. Bioresour. Technol. 2019, 288, 121481. [Google Scholar] [CrossRef] [PubMed]
- Wu, W.; Mei, Y.; Zhang, L.; Liu, R.; Cai, J. Kinetics and reaction chemistry of pyrolysis and combustion of tobacco waste. Fuel 2015, 156, 71–80. [Google Scholar] [CrossRef]
- Ding, Y.; Huang, B.; Wu, C.; He, Q.; Lu, K. Kinetic model and parameters study of lignocellulosic biomass oxidative pyrolysis. Energy 2019, 181, 11–17. [Google Scholar] [CrossRef]
- Greenhalf, C.E.; Nowakowski, D.J.; Bridgwater, A.V.; Titiloye, J.; Yates, N.; Riche, A.; Shield, I. Thermochemical characterisation of straws and high yielding perennial grasses. Ind. Crops Prod. 2012, 36, 449–459. [Google Scholar] [CrossRef]
- Alvarenga, L.M.; Xavier, T.P.; Barrozo, M.A.S.; Bacelos, M.S.; Lira, T.S. Analysis of reaction kinetics of carton packaging pyrolysis. Procedia Eng. 2012, 42, 113–122. [Google Scholar] [CrossRef]
- Gogoi, M.; Konwar, K.; Bhuyan, N.; Chandra, R. Assessments of pyrolysis kinetics and mechanisms of biomass residues using thermogravimetry. Bioresour. Technol. Rep. 2018, 4, 40–49. [Google Scholar] [CrossRef]
- Wang, X.; Hu, M.; Hu, W.; Chen, Z.; Liu, S.; Hu, Z.; Xiao, B. Thermogravimetric kinetic study of agricultural residue biomass pyrolysis based on combined kinetics. Bioresour. Technol. 2016, 219, 510–520. [Google Scholar] [CrossRef] [PubMed]
- Cai, H.; Zou, H.; Liu, J.; Xie, W.; Kuo, J.; Buyukada, M.; Evrendilek, F. Thermal degradations and processes of waste tea and tea leaves via TG-FTIR: Combustion performances, kinetics, thermodynamics, products and optimization. Bioresour. Technol. 2018, 268, 715–725. [Google Scholar] [CrossRef]
- Vyazovkin, S.; Burnham, A.K.; Criado, J.M.; Pérez-Maqueda, L.A.; Popescu, C.; Sbirrazzuoli, N. ICTAC Kinetics Committee recommendations for performing kinetic computations on thermal analysis data. Thermochim. Acta 2011, 520, 1–19. [Google Scholar] [CrossRef]
- Ding, Y.; Ezekoye, O.A.; Lu, S.; Wang, C.; Zhou, R. Comparative pyrolysis behaviors and reaction mechanisms of hardwood and softwood. Energy Convers. Manag. 2017, 132, 102–109. [Google Scholar] [CrossRef]
- Ahmad, M.S.; Mehmood, M.A.; Taqvi, S.T.H.; Elkamel, A.; Liu, C.G.; Xu, J.; Rahimuddin, S.A.; Gull, M. Pyrolysis, kinetics analysis, thermodynamics parameters and reaction mechanism of Typha latifolia to evaluate its bioenergy potential. Bioresour. Technol. 2017, 245, 491–501. [Google Scholar] [CrossRef]
- Badshah, S.L.; Shah, Z.; Alves, J.L.F.; da Silva, J.C.G.; Noreen, N.; Iqbal, A. Kinetic and thermodynamics study of the pyrolytic process of the freshwater macroalga, Chara vulgaris. J. Appl. Phycol. 2021, 33, 2511–2521. [Google Scholar] [CrossRef]
- Maia, A.A.D.; de Morais, L.C. Kinetic parameters of red pepper waste as biomass to solid biofuel. Bioresour. Technol. 2016, 204, 157–163. [Google Scholar] [CrossRef] [PubMed]
- Manatura, K. Napier Grass Pyrolysis: Kinetic and Thermodynamics Analysis. RMUTI J. Sci. Technol. 2019, 12, 1–13. [Google Scholar]
- Ahmad, M.S.; Mehmood, M.A.; Al Ayed, O.S.; Ye, G.; Luo, H.; Ibrahim, M.; Rashid, U.; Arbi Nehdi, I.; Qadir, G. Kinetic analyses and pyrolytic behavior of Para grass (Urochloa mutica) for its bioenergy potential. Bioresour. Technol. 2017, 224, 708–713. [Google Scholar] [CrossRef] [PubMed]





| Grasses | Polymeric Composition | Place of Origin | ||
|---|---|---|---|---|
| Cellulose (%) | Hemicellulose (%) | Lignin (%) | ||
| Tall fesecue | 25 | 25 | 14 | Large parts of Europe, Asia, and North Africa |
| Timothy | 28 | 30 | 11.5 | US, Canada, Europe |
| Yellow flag | 28 | 10 | 7 | Europe, Western Asia, Northwest Africa |
| Meadow foxtail | 28–31 | 15–18 | 11–15 | England and Wales |
| Mechanism Model | |
| Power Law (n = 1, 2, 3) | |
| Nucleation Reaction Models | |
| Avarami-Eroféve (n = 1.5, 2, 3) | |
| Contracting sphere | |
| Contracting cylinder | |
| Diffusional Models | |
| 1-D diffusion | |
| 2-D diffusion | |
| 3-D diffusion-Jander | |
| 3-D diffusion-GB | |
| Chemical Reaction Models | |
| 1st order | |
| n-th order |
| Parameter | GG |
|---|---|
| Proximate Analysis | |
| Volatile matter (VM) (%) | 73.0 ± 0.3 |
| Fixed carbon (FC) (%) | 16.1 ± 0.8 |
| Ash (%) | 5.09 ± 0.01 |
| Elemental Analysis | |
| C (%) | 40.1 ± 0.4 |
| N (%) | 1.30 ± 0.01 |
| Protein (N * 6.25) (%) | 8.12 ± 0.08 |
| Compositional Analysis | |
| CH2Cl2 extractives (%) | 1.41 ± 0.03 |
| Acid soluble lignin (%) | 3.4 ± 0.2 |
| Klason lignin (%) | 18.1 ± 0.5 |
| Total lignin (%) | 21.5 ± 1.5 |
| Glucan (%) | 33.6 ± 0.5 |
| Xylan (%) | 17.7 ± 0.5 |
| Galactan (%) | 1.2 ± 0.4 |
| Arabinan (%) | 6.4 ± 0.4 |
| Total Neutral sugar (%) | 58.9 |
| HHV (MJ kg−1) | 15.46 ± 0.16 |
| FAME | RT (min) | M+ (m/z) | Concentration (mg/g Extract) |
|---|---|---|---|
| Lauric acid (C12:0) | 24.15 | 214 | 8.13 |
| Myristic (C14:0) | 28.69 | 242 | 7.16 |
| Pentadecanoic acid (C15:0) | 30.79 | 256 | 2.22 |
| Palmitelaidic acid (16:1) | 32.31 | 268 | 3.26 |
| Palmitic acid (C16:0) | 32.83 | 270 | 74.4 |
| Heptadecanoic acid (C17:0) | 34.83 | 284 | 3.51 |
| Linoleic acid (C18:2) | 35.84 | 294 | 39.4 |
| Oleic acid (C18:1) | 36.00 | 296 | 23.9 |
| Stearic acid (C18:0) | 36.54 | 298 | 6.93 |
| Arachidic acid (C20:0) | 40.00 | 326 | 3.18 |
| Behenic acid (C22:0) | 43.14 | 354 | 4.10 |
| Tricosanoic acid (C23:0) | 44.82 | 368 | 2.08 |
| Lignoceric acid (C24:0) | 46.85 | 382 | 4.69 |
| N2 | Air | |||||
|---|---|---|---|---|---|---|
| DTG (%/min) | DTG (%/min) | |||||
| 5 | 40.2 | −0.80 | 28.7 | 48.5 | −0.64 | 13.2 |
| 326.9 | −3.21 | 289.7 | −4.15 | |||
| 447.4 | −1.42 | |||||
| 617.7 | −0.15 | 638.0 | −0.14 | |||
| 10 | 58.0 | −1.09 | 28.8 | 64.0 | −1.08 | 13.2 |
| 338.5 | −6.45 | 307.3 | −11.2 | |||
| 451.9 | −40.6 | |||||
| 642.3 | −0.26 | 649.3 | −0.20 | |||
| 20 | 74.2 | −2.33 | 29.8 | 74.8 | −1.96 | 13.1 |
| 358.3 | −12.3 | 316.2 | −23.1 | |||
| 462.9 | −29.4 | |||||
| Average | 29.1 ± 0.6 | 13.2 ± 0.1 | ||||
| N2 | Air | ||||||||||||
|---|---|---|---|---|---|---|---|---|---|---|---|---|---|
| DFM | FWO | STK | DFM | FWO | STK | ||||||||
| Eθ (kJ/mol) | R2 | Eθ (kJ/mol) | R2 | Eθ (kJ/mol) | R2 | Eθ (kJ/mol) | R2 | Eθ (kJ/mol) | R2 | Eθ (kJ/mol) | R2 | ||
| STAGE I | 0.15 | 105.3 | 0.969 | 84.7 | 0.916 | 80.9 | 0.694 | 143.8 | 0.997 | 155.2 | 0.999 | 154.7 | 0.999 |
| 0.2 | 106.3 | 0.980 | 118.3 | 0.916 | 115.6 | 0.996 | 151.8 | 0.999 | 159.7 | 0.999 | 159.2 | 0.999 | |
| Average | 105.8 ± 0.5 | 101.5 ± 16.8 | 98.2 ± 17.3 | 147.8 ± 5.2 | 157.5 ± 6.4 | 156.5 ± 6.5 | |||||||
| STAGE II | 0.25 | 122.3 | 0.982 | 117.5 | 0.997 | 114.4 | 0.998 | 163.8 | 0.999 | 166.5 | 0.999 | 166.2 | 0.999 |
| 0.3 | 128.2 | 0.983 | 123.3 | 0.992 | 120.3 | 0.994 | 181.6 | 0.999 | 170.6 | 0.999 | 170.4 | 0.999 | |
| 0.35 | 131.3 | 0.979 | 127.2 | 0.988 | 124.3 | 0.989 | 193.9 | 0.999 | 174.5 | 0.999 | 174.4 | 0.999 | |
| 0.4 | 132.8 | 0.977 | 130.9 | 0.986 | 128.1 | 0.987 | 219.5 | 0.993 | 177.2 | 0.998 | 177.2 | 0.997 | |
| 0.45 | 147.5 | 0.919 | 131.0 | 0.982 | 128.1 | 0.983 | 249.1 | 0.979 | 181.1 | 0.997 | 181.1 | 0.995 | |
| 0.5 | 152.1 | 0.913 | 132.9 | 0.982 | 130.0 | 0.983 | 279.1 | 0.935 | 177.4 | 0.997 | 177.1 | 0.996 | |
| 0.55 | 138.1 | 0.975 | 136.1 | 0.979 | 133.3 | 0.980 | 224.8 | 0.928 | 157.06 | 0.998 | 155.5 | 0.997 | |
| 0.6 | 139.9 | 0.973 | 135.8 | 0.976 | 132.9 | 0.977 | 100.2 | 0.992 | 122.9 | 0.998 | 119.3 | 0.999 | |
| Average | 136.5 ± 9.3 | 129.3 ± 6.0 | 126.7 ± 6.1 | 201.5 ± 51.6 | 165.9 ± 17.7 | 162.0 ± 18.8 | |||||||
| STAGE III | 0.65 | 147.2 | 0.976 | 138.9 | 0.974 | 136.1 | 0.974 | 76.3 | 0.999 | 94.8 | 0.999 | 89.3 | 0.999 |
| 0.7 | 163.4 | 0.982 | 143.4 | 0.973 | 140.7 | 0.974 | 69.9 | 0.991 | 97.9 | 0.999 | 92.2 | 0.998 | |
| 0.75 | 202.7 | 0.996 | 163.6 | 0.980 | 161.7 | 0.981 | 88.8 | 0.998 | 129.1 | 0.989 | 124.5 | 0.983 | |
| 0.8 | 241.5 | 0.985 | 214.9 | 0.981 | 215.3 | 0.982 | 110.8 | 0.941 | 176.1 | 0.983 | 173.7 | 0.977 | |
| Average | 188.7 ± 36.6 | 165.2 ± 30.2 | 163.5 ± 31.5 | 86.4 ± 15.6 | 124.5 ± 32.7 | 119.6 ± 33.9 | |||||||
| N2 | 5 °C/min | 10 °C/min | 20 °C/min | Average | ||||||||
|---|---|---|---|---|---|---|---|---|---|---|---|---|
| Eθ | R2 | A | Eθ | R2 | A | Eθ | R2 | A | Eθ | R2 | A | |
| Chemical reaction model | ||||||||||||
| 88.3 | 0.966 | 1.04 × 109 | 101.9 | 0.990 | 2.83 × 1010 | 102.8 | 0.991 | 3.99 × 1010 | 99.8 | 0.985 | 2.31 × 1010 | |
| 108.7 | 0.954 | 1.22 × 1011 | 126.2 | 0.983 | 6.67 × 1012 | 127.3 | 0.983 | 8.42 × 1012 | 123.4 | 0.976 | 5.07 × 1012 | |
| Diffusional model | ||||||||||||
| 102.6 | 0.985 | 5.40 × 109 | 118.0 | 0.999 | 1.97 × 1011 | 119.1 | 0.999 | 2.58 × 1011 | 115.7 | 0.996 | 1.53 × 1011 | |
| 111.4 | 0.982 | 2.1 × 1010 | 128.3 | 0.999 | 1.02 × 1012 | 129.4 | 0.999 | 1.28 × 1012 | 125.7 | 0.994 | 7.74 × 1011 | |
| 121.4 | 0.979 | 4.78 × 1010 | 140.1 | 0.997 | 3.24 × 1012 | 141.3 | 0.997 | 3.83 × 1012 | 137.2 | 0.993 | 2.37 × 1012 | |
| 114.7 | 0.981 | 1.01 × 1010 | 132.2 | 0.998 | 5.50 × 1011 | 133.4 | 0.998 | 6.74 × 1011 | 129.5 | 0.994 | 4.11 × 1011 | |
| Air | ||||||||||||
| Chemical reaction model | ||||||||||||
| 105.7 | 0.997 | 7.24 × 1010 | 124.1 | 0.989 | 6.42 × 1012 | 121.9 | 0.976 | 5.09 × 1012 | 156.7 | 0.985 | 3.86 × 1012 | |
| 131.0 | 0.999 | 3.05 × 1013 | 155.1 | 0.991 | 7.23 × 1015 | 152.5 | 0.980 | 4.65 × 1015 | 196.2 | 0.986 | 3.97 × 1015 | |
| Diffusional model | ||||||||||||
| 120.4 | 0.984 | 4.84 × 1011 | 142.2 | 0.974 | 7.47 × 1013 | 139.1 | 0.953 | 4.52 × 1013 | 180.8 | 0.973 | 4.01 × 1013 | |
| 131.3 | 0.986 | 3.13 × 1012 | 155.2 | 0.977 | 7.27 × 1014 | 151.9 | 0.958 | 3.99 × 1014 | 197.4 | 0.976 | 3.76 × 1014 | |
| 143.7 | 0.990 | 1.29 × 1013 | 170.1 | 0.980 | 4.82 × 1015 | 166.6 | 0.962 | 2.37 × 1015 | 216.4 | 0.978 | 2.40 × 1015 | |
| 135.4 | 0.988 | 1.84 × 1012 | 160.1 | 0.978 | 4.99 × 1014 | 156.7 | 0.959 | 2.65 × 1014 | 203.7 | 0.977 | 2.55 × 1014 | |
| β (K/min) | Temperature (K) | Time (min) | Combustion Characteristics | ||||||||||
|---|---|---|---|---|---|---|---|---|---|---|---|---|---|
| Ti | Tmax | Tb | ti | tp | tb | −Rp (%/min) | −Rv (%/min) | S | C | Di × 10−2 (%/min3) | Db × 10−3 (%/min4) | ||
| 5 | 528.6 | 562.8 | 732.1 | 47.05 | 54.05 | 90.20 | 60.00 | 4.15 | 0.50 | 0.10 | 1.49 | 0.16 | 0.014 |
| 10 | 544.7 | 580.4 | 734.2 | 25.00 | 28.60 | 45.15 | 26.20 | 11.15 | 1.00 | 0.51 | 3.76 | 1.56 | 0.33 |
| 20 | 555.7 | 589.4 | 773.6 | 13.13 | 14.80 | 24.63 | 22.82 | 23.11 | 2.00 | 1.93 | 7.49 | 11.9 | 2.78 |
| N2 | Air | |||||||
|---|---|---|---|---|---|---|---|---|
| A (min−1) | A (min−1) | |||||||
| 0.15 | 3.44 × 1010 | 100.96 | 121.35 | −0.0569 | 2.83 × 1014 | 139.21 | 128.38 | 0.0184 |
| 0.20 | 2.28 × 1010 | 101.61 | 123.56 | −0.0613 | 1.44 × 1015 | 147.17 | 128.47 | 0.0317 |
| 0.25 | 5.98 × 1011 | 117.47 | 129.85 | −0.0346 | 1.72 × 1016 | 159.03 | 128.27 | 0.0522 |
| 0.30 | 1.83 × 1012 | 123.21 | 132.35 | −0.0255 | 7.04 × 1017 | 176.86 | 127.96 | 0.0830 |
| 0.35 | 3.14 × 1012 | 126.47 | 133.92 | −0.0212 | 8.41 × 1018 | 189.12 | 128.10 | 0.1035 |
| 0.40 | 3.82 × 1012 | 127.90 | 134.83 | −0.0198 | 1.47 × 1021 | 214.60 | 128.31 | 0.1464 |
| 0.45 | 6.10 × 1013 | 142.37 | 141.25 | 0.0031 | 5.57 × 1023 | 244.24 | 128.90 | 0.1957 |
| 0.50 | 1.36 × 1014 | 146.94 | 143.48 | 0.0097 | 1.80 × 1026 | 274.13 | 130.50 | 0.2437 |
| 0.55 | 8.32 × 1012 | 132.88 | 137.79 | −0.0137 | 1.13 × 1021 | 219.84 | 134.97 | 0.1440 |
| 0.60 | 1.03 × 1013 | 134.64 | 138.97 | −0.0121 | 4.21 × 109 | 95.115 | 139.29 | −0.0750 |
| 0.65 | 3.29 × 1013 | 141.88 | 142.79 | −0.0025 | 1.82 × 107 | 71.052 | 142.09 | −0.1205 |
| 0.7 | 4.54 × 1014 | 158.00 | 151.15 | 0.0191 | 2.85 × 106 | 64.410 | 144.75 | −0.1363 |
| 0.75 | 2.54 × 1017 | 197.27 | 171.65 | 0.0715 | 5.87 × 107 | 83.028 | 148.80 | −0.1116 |
| 0.8 | 3.82 × 1017 | 235.88 | 195.51 | 0.1126 | 7.78 × 1025 | 104.80 | 152.79 | −0.0814 |
| Average | 4.55 × 1016 | 141.97 | 142.75 | 0.0432 | 1.85 × 1025 | 155.90 | 135.11 | 0.1132 |
Publisher’s Note: MDPI stays neutral with regard to jurisdictional claims in published maps and institutional affiliations. |
© 2021 by the authors. Licensee MDPI, Basel, Switzerland. This article is an open access article distributed under the terms and conditions of the Creative Commons Attribution (CC BY) license (https://creativecommons.org/licenses/by/4.0/).
Share and Cite
Balogun, A.O.; Adeleke, A.A.; Ikubanni, P.P.; Adegoke, S.O.; Alayat, A.M.; McDonald, A.G. Study on Combustion Characteristics and Thermodynamic Parameters of Thermal Degradation of Guinea Grass (Megathyrsus maximus) in N2-Pyrolytic and Oxidative Atmospheres. Sustainability 2022, 14, 112. https://doi.org/10.3390/su14010112
Balogun AO, Adeleke AA, Ikubanni PP, Adegoke SO, Alayat AM, McDonald AG. Study on Combustion Characteristics and Thermodynamic Parameters of Thermal Degradation of Guinea Grass (Megathyrsus maximus) in N2-Pyrolytic and Oxidative Atmospheres. Sustainability. 2022; 14(1):112. https://doi.org/10.3390/su14010112
Chicago/Turabian StyleBalogun, Ayokunle O., Adekunle A. Adeleke, Peter P. Ikubanni, Samuel O. Adegoke, Abdulbaset M. Alayat, and Armando G. McDonald. 2022. "Study on Combustion Characteristics and Thermodynamic Parameters of Thermal Degradation of Guinea Grass (Megathyrsus maximus) in N2-Pyrolytic and Oxidative Atmospheres" Sustainability 14, no. 1: 112. https://doi.org/10.3390/su14010112
APA StyleBalogun, A. O., Adeleke, A. A., Ikubanni, P. P., Adegoke, S. O., Alayat, A. M., & McDonald, A. G. (2022). Study on Combustion Characteristics and Thermodynamic Parameters of Thermal Degradation of Guinea Grass (Megathyrsus maximus) in N2-Pyrolytic and Oxidative Atmospheres. Sustainability, 14(1), 112. https://doi.org/10.3390/su14010112

