A C-Vine Copula-Based Quantile Regression Method for Streamflow Forecasting in Xiangxi River Basin, China
Abstract
Highlights
- A C-vine copula-based quantile regression (CVQR) model is developed.
- The CVQR model is applied to monthly streamflow forecasting in the Xiangxi River basin.
- It can establish relationships between multidimensional response and independent variables.
- It can also capture tail or asymmetric dependences such as extremes values.
- The results are helpful to decision-makers in water resource management practices.
1. Introduction
2. Model Development
2.1. Multiple Linear Regression (MLR)
2.2. Artificial Neural Networks (ANNs)
2.3. Development of C-Vine Copula-Based Quantile Regression (CVQR) Model
2.3.1. Copula Function
2.3.2. Vine Copulas
2.3.3. CVQR Model
3. Application
3.1. Study Area and Datasets
3.2. Evaluation Measures
4. Result and Discussion
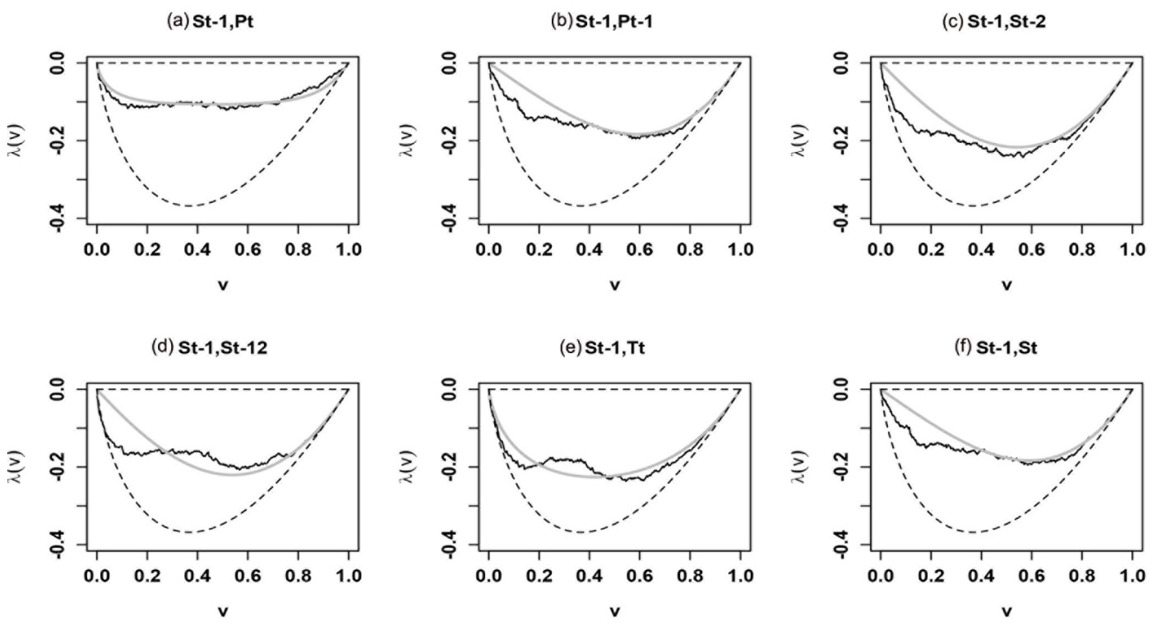
4.1. Marginal Probability Distribution Functions of C-Vine Model Variables
4.2. Selection and Estimation of C-Vine Copula
4.3. Predicted Monthly Streamflow of MLR, ANN, and C-Vine Models
4.4. Probabilistic and Interval Predictions Obtained by the CVQR Model
5. Conclusions
Author Contributions
Funding
Data Availability Statement
Acknowledgments
Conflicts of Interest
References
- Li, Y.P.; Huang, G.H.; Nie, S.L.; Liu, L. Inexact multistage stochastic integer programming for water resources management under uncertainty. J. Environ. Manag. 2008, 88, 93–107. [Google Scholar] [CrossRef]
- Gu, H.; Yu, Z.; Wang, G.; Wang, J.; Ju, Q.; Yang, C.; Fan, C. Impact of climate change on hydrological extremes in the Yangtze River Basin, China. Stoch. Environ. Res. Risk Assess. 2015, 29, 693–707. [Google Scholar] [CrossRef]
- Zhu, F.L.; Zhong, P.A.; Sun, Y.; Yeh, W.-G. Real-Time Optimal Flood Control Decision Making and Risk Propagation Under Multiple Uncertainties. Water Resour. Res. 2017, 53, 10635–10654. [Google Scholar] [CrossRef]
- Brooks, K.N.; Ffolliott, P.F.; Magner, J.A. Hydrology and The Management of Watersheds, 4th ed.; John Wiley & Sons: Hoboken, NJ, USA, 2012. [Google Scholar]
- Fu, Z.H.; Zhao, H.J.; Wang, H.; Lu, W.T.; Wang, J.; Guo, H.C. Integrated planning for regional development planning and water resources management under uncertainty: A case study of Xining, China. J. Hydrol. 2017, 554, 623–634. [Google Scholar] [CrossRef]
- Chen, J.; Zhong, P.-A.; An, R.; Zhu, F.; Xu, B. Risk analysis for real-time flood control operation of a multi-reservoir system using a dynamic Bayesian network. Environ. Model. Softw. 2019, 111, 409–420. [Google Scholar] [CrossRef]
- Craig, J.R.; Brown, G.; Chlumsky, R.; Jenkinson, R.W.; Jost, G.; Lee, K.; Mai, J.; Serrer, M.; Sgro, N.; Shafii, M.; et al. Flexible watershed simulation with the Raven hydrological modelling framework. Environ. Model. Softw. 2020, 129, 104728. [Google Scholar] [CrossRef]
- Ghobadi, Y.; Pradhan, B.; Sayyad, G.A.; Kabiri, K.; Falamarzi, Y. Simulation of hydrological processes and effects of engineering projects on the Karkheh River Basin and its wetland using SWAT2009. Quat. Int. 2015, 374, 144–153. [Google Scholar] [CrossRef]
- Zhang, D.; Lin, J.; Peng, Q.; Wang, D.; Yang, T.; Sorooshian, S.; Liu, X.; Zhuang, J. Modeling and simulating of reservoir operation using the artificial neural network, support vector regression, deep learning algorithm. J. Hydrol. 2018, 565, 720–736. [Google Scholar] [CrossRef]
- Hrachowitz, M.; Clark, M.P. HESS Opinions: The complementary merits of competing modelling philosophies in hydrology. Hydrol. Earth Syst. Sci. 2017, 21, 3953–3973. [Google Scholar] [CrossRef]
- Baroni, G.; Schalge, B.; Rakovec, O.; Kumar, R.; Schüler, L.; Samaniego, L.; Simmer, C.; Attinger, S. A Comprehensive Distributed Hydrological Modeling Intercomparison to Support Process Representation and Data Collection Strategies. Water Resour. Res. 2019, 55, 990–1010. [Google Scholar] [CrossRef]
- Yifru, B.A.; Chung, I.-M.; Kim, M.-G.; Chang, S.W. Assessment of Groundwater Recharge in Agro-Urban Watersheds Using Integrated SWAT-MODFLOW Model. Sustainability 2020, 12, 6593. [Google Scholar] [CrossRef]
- Yang, S.; Yang, D.; Chen, J.; Santisirisomboon, J.; Zhao, B.A. Physical process and machine learning combined hydrological model for daily streamflow simulations of large watersheds with limited observation data. J. Hydrol. 2020, 590, 125206. [Google Scholar] [CrossRef]
- Sharma, S.; Siddique, R.; Reed, S.; Ahnert, P.; Mejia, A. Hydrological model diversity enhances streamflow forecast skill at short- to medium-range timescales. Water Resour. Res. 2019, 55, 1510–1530. [Google Scholar] [CrossRef]
- Zounemat-Kermani, M.; Mahdavi-Meymand, A.; Alizamir, M.; Adarsh, S.; Yaseen, Z.M. On the complexities of sediment load modeling using integrative machine learning: Application of the great river of Loíza in Puerto Rico. J. Hydrol. 2020, 585, 124759. [Google Scholar] [CrossRef]
- Amaranto, A.; Munoz-Arriola, F.; Solomatine, D.P.; Corzo, G. A Spatially Enhanced Data-Driven Multimodel to Improve Semiseasonal Groundwater Forecasts in the High Plains Aquifer, USA. Water Resour. Res. 2019, 55, 5941–5961. [Google Scholar] [CrossRef]
- Luo, X.G.; Yuan, X.H.; Zhu, S.; Xu, Z.Y.; Meng, L.S.; Peng, J. A hybrid support vector regression framework for streamflow forecast. J. Hydrol. 2019, 568, 184–193. [Google Scholar] [CrossRef]
- Besaw, L.E.; Rizzo, D.M.; Bierman, P.R.; Hackett, W.R. Advances in ungauged streamflow prediction using artificial neural networks. J. Hydrol. 2010, 386, 27–37. [Google Scholar] [CrossRef]
- Guo, J.; Zhou, J.; Qin, H.; Zou, Q.; Li, Q. Monthly streamflow forecasting based on improved support vector machine model. Expert Syst. Appl. 2011, 38, 13073–13081. [Google Scholar] [CrossRef]
- Terzi, Ö.; Ergin, G. Forecasting of monthly river flow with autoregressive modeling and data-driven techniques. Neural Comput. Appl. 2014, 25, 179–188. [Google Scholar] [CrossRef]
- Fan, Y.R.; Huang, G.H.; Li, Y.P.; Wang, X.Q.; Li, Z. Probabilistic prediction for monthly streamflow through coupling stepwise cluster analysis and quantile regression methods. Water Resour. Manag. 2016, 30, 5313–5331. [Google Scholar] [CrossRef]
- Hassani, B.K. Dependencies and Relationships between Variables. Scenario Analysis in Risk Management; Springer: Berlin/Heidelberg, Germany, 2016. [Google Scholar]
- Ayantobo, O.O.; Li, Y.; Song, S.; Javed, T.; Yao, N. Probabilistic modelling of drought events in china via 2-dimensional joint copula. J. Hydrol. 2018, 559, 373–391. [Google Scholar] [CrossRef]
- Chen, L.; Singh, V.P.; Guo, S.; Zhou, J.; Zhang, J. Copula-based method for multisite monthly and daily streamflow simulation. J. Hydrol. 2015, 528, 369–384. [Google Scholar] [CrossRef]
- Grimaldi, S.; Serinaldi, F. Asymmetric copula in multivariate flood frequency analysis. Adv. Water Resour. 2006, 29, 1155–1167. [Google Scholar] [CrossRef]
- Bessa, R.J.; Miranda, V.; Botterud, A.; Zhou, Z.; Wang, J. Time-adaptive quantile-copula for wind power probabilistic forecasting. Renew. Energy 2012, 40, 29–39. [Google Scholar] [CrossRef]
- Schepsmeier, U. Efficient information based goodness-of-fit tests for vine copula models with fixed margins: A comprehensive review. J. Multivar. Anal. 2015, 138, 34–52. [Google Scholar] [CrossRef]
- Koenker, R.; Bassett, G. Regression quantiles. Econometrica 1978, 46, 33–50. [Google Scholar] [CrossRef]
- Volpi, E.; Fiori, A. Design event selection in bivariate hydrological frequency analysis. Hydrol. Sci. J. 2012, 57, 1506–1515. [Google Scholar] [CrossRef]
- Ye, W.; Luo, K.; Liu, X. Time-varying quantile association regression model with applications to financial contagion and var. Eur. J. Oper. Res. 2017, 256, 1015–1028. [Google Scholar] [CrossRef]
- Machado, J.A.F.; Mata, J. Counterfactual decomposition of changes in wage distributions using quantile regression. J. Appl. Econom. 2005, 20, 445–465. [Google Scholar] [CrossRef]
- Baur, D.; Schulze, N. Coexceedances in financial markets—A quantile regression analysis of contagion. Emerg. Mark. Rev. 2005, 6, 21–43. [Google Scholar] [CrossRef]
- Boucai, L.; Hollowell, J.G.; Surks, M.I. An approach for development of age-, gender-, and ethnicity-specific thyrotropin reference limits. Thyroid 2011, 21, 5–11. [Google Scholar] [CrossRef]
- Yan, X.; Su, X. Linear Regression Analysis: Theory and Computing; World Scientific: Singapore, 2009. [Google Scholar]
- Adamowski, J.; Chan, H.F.; Prasher, S.O.; Bogdan, O.Z.; Sliusarieva, A. Comparison of multiple linear and nonlinear regression, autoregressive integrated moving average, artificial neural network, and wavelet artificial neural network methods for urban water demand forecasting in Montreal, Canada. Water Resour. Res. 2012, 48, 273–279. [Google Scholar] [CrossRef]
- Sharifi, E.; Saghafian, B.; Steinacker, R. Downscaling satellite precipitation estimates with multiple linear regression, artificial neural networks, and spline interpolation techniques. J. Geophys. Res. Atmos. 2019, 124, 789–805. [Google Scholar] [CrossRef]
- Mouatadid, S.; Raj, N.; Deo, R.C.; Adamowski, J.F. Input selection and data-driven model performance optimization to predict the Standardized Precipitation and Evaporation Index in a drought-prone region. Atmos. Res. 2018, 212, 130–149. [Google Scholar] [CrossRef]
- Tan, Q.-F.; Lei, X.-H.; Wang, X.; Wang, H.; Wen, X.; Ji, Y.; Kang, A.-Q. An adaptive middle and long-term runoff forecast model using EEMD-ANN hybrid approach. J. Hydrol. 2018, 567, 767–780. [Google Scholar] [CrossRef]
- Bedford, T.; Cooke, R.M. Vines—A new graphical model for dependent random variables. Ann. Stat. 2002, 30, 1031–1068. [Google Scholar] [CrossRef]
- Kurowicka, D.; Cooke, R.M. Distribution-free continuous bayesian belief nets. In Modern Statistical and Mathematical Methods in Reliability; World Scientific: London, UK, 2005; pp. 309–322. [Google Scholar]
- Kendall, M.G. A new measure of rank correlation. Biometrika 1938, 30, 81–93. [Google Scholar] [CrossRef]
- Sklar, A. Fonctions de Repartition a n Dimensions et Leurs Marges. Publ. Inst. Stat. Univ. Paris 1959, 8, 229–231. [Google Scholar]
- Aas, K.; Czado, C.; Frigessi, A.; Bakken, H. Pair-copula constructions of multiple dependence. Insur. Math. Econ. 2009, 44, 182–198. [Google Scholar] [CrossRef]
- Joe, H. Distributions with fixed marginals and related topics || families of m-variate distributions with given margins and m(m-1)/2 bivariate dependence parameters. Lect. Notes Monogr. Ser. 1996, 28, 120–141. [Google Scholar]
- Bedford, T.; Cooke, R.M. Probability Density Decomposition for Conditionally Dependent Random Variables Modeled by Vines. Ann. Math. Artif. Intell. 2001, 32, 245–268. [Google Scholar] [CrossRef]
- Serinaldi, F.; Grimaldi, S. Fully nested 3-copula: Procedure and application on hydrological data. J. Hydrol. Eng. 2007, 12, 420–430. [Google Scholar] [CrossRef]
- Trivedi, P.K.; Zimmer, D.M. Copula Modeling: An Introduction for Practitioners. Found. Trends Econom. 2006, 1, 1–111. [Google Scholar] [CrossRef]
- Brechmann, E.; Schepsmeier, U. Modeling Dependence with C- and D-Vine Copulas: The R Package CDVine. J. Stat. Softw. 2013, 52, 1–27. [Google Scholar] [CrossRef]
- Genest, C.; Favre, A.-C. Everything You Always Wanted to Know about Copula Modeling but Were Afraid to Ask. J. Hydrol. Eng. 2007, 12, 347–368. [Google Scholar] [CrossRef]
- Genest, C.; Rivest, L.-P. Statistical Inference Procedures for Bivariate Archimedean Copulas. J. Am. Stat. Assoc. 1993, 88, 1034–1043. [Google Scholar] [CrossRef]
- Kong, X.M.; Huang, G.H.; Fan, Y.R.; Li, Y.P. Maximum Entropy-Gumbel-Hougaard copula method for simulation of monthly streamflow in Xiangxi river, China. Stoch. Environ. Res. Risk Assess. 2015, 29, 833–846. [Google Scholar] [CrossRef]
- Zhang, J.L.; Li, Y.P.; Huang, G.H.; Baetz, B.W.; Liu, J. Uncertainty analysis for effluent trading planning using a bayesian estimation-based simulation-optimization modeling approach. Water Res. 2017, 116, 159–181. [Google Scholar] [CrossRef] [PubMed]
- Xu, H.; Taylor, R.G.; Kingston, D.G.; Jiang, T.; Thompson, J.R.; Todd, M.C. Hydrological modeling of river Xiangxi using SWAT2005: A comparison of model parameterizations using station and gridded meteorological observations. Quat. Int. 2010, 226, 54–59. [Google Scholar] [CrossRef]
- Rosenberg, E.A.; Wood, A.W.; Steinemann, A.C. Statistical applications of physically based hydrologic models to seasonal streamflow forecasts. Water Resour. Res. 2011, 47, 1995–2021. [Google Scholar] [CrossRef]
- Robertson, D.E.; Pokhrel, P.; Wang, Q.J. Improving statistical forecasts of seasonal streamflows using hydrological model output. Hydrol. Earth Syst. Sci. 2013, 17, 579–593. [Google Scholar] [CrossRef]
- Gómez, M.; Concepción Ausín, M.; Carmen Domínguez, M. Seasonal copula models for the analysis of glacier discharge at King George Island, Antarctica. Stoch. Environ. Res. Risk Assess. 2017, 31, 1107–1121. [Google Scholar] [CrossRef]
- Shao, Q.; Wong, H.; Li, M.; Ip, W.C. Streamflow forecasting using functional-coefficient time series model with periodic variation. J. Hydrol 2009, 368, 88–95. [Google Scholar] [CrossRef]
- Fan, Y.R.; Huang, G.H.; Li, Y.P.; Wang, X.Q.; Li, Z.; Jin, L. Development of PCA-based cluster quantile regression (PCA-CQR) framework for streamflow prediction: Application to the Xiangxi river watershed, China. Appl. Soft Comput. 2016, 51, 280–293. [Google Scholar] [CrossRef]
- Liu, Z.; Zhou, P.; Chen, X.; Guan, Y. A multivariate conditional model for streamflow prediction and spatial precipitation refinement. J. Geophys. Res. Atmos. 2015, 120, 10116–10129. [Google Scholar] [CrossRef]
- Darbandsari, P.; Coulibaly, P. Introducing entropy-based Bayesian model averaging for streamflow forecast. J. Hydrol. 2020, 591, 125577. [Google Scholar] [CrossRef]
- Kraus, D.; Czado, C. D-vine copula based quantile regression. Comput. Stat. Data Anal. 2017, 110, 1–18. [Google Scholar] [CrossRef]
- Adamowski, K. A Monte Carlo comparison of parametric and nonparametric estimation of flood frequencies. J. Hydrol. 1989, 108, 295–308. [Google Scholar] [CrossRef]
- Shiau, J.T. Fitting Drought Duration and Severity with Two-Dimensional Copulas. Water Resour. Manag. 2006, 20, 795–815. [Google Scholar] [CrossRef]
- Šraj, M.; Bezak, N.; Brilly, M. Bivariate flood frequency analysis using the copula function: A case study of the Litija station on the Sava River. Hydrol. Process. 2015, 29, 225–238. [Google Scholar] [CrossRef]
- Acar, E.F.; Genest, C.; Neslehova, J. Beyond simplified pair-copula constructions. J. Multivar. Anal. 2012, 110, 74–90. [Google Scholar] [CrossRef]
- Geidosch, M.; Fischer, M. Application of vine copulas to credit portfolio risk modeling. J. Risk Financ. Manag. 2016, 9, 4. [Google Scholar] [CrossRef]
- Armando, D.; Veiga, A. Periodic copula autoregressive model designed to multivariate streamflow time series modelling. Water Resour. Manag. 2019, 33, 3417–3431. [Google Scholar]









| Cross-Validation Models | Calibration Data | Validation Data |
|---|---|---|
| K1 | 1962–1971 and 1982–2009 | 1972–1981 |
| K2 | 1962–1980 and 1991–2009 | 1981–1990 |
| K3 | 1962–1989 and 2000–2009 | 1990–1999 |
| K4 | 1962–1999 | 2000–2009 |
| K5 | 1972–2009 | 1962–1971 |
| Name | Probability Density Function | Parameters | |||||||
|---|---|---|---|---|---|---|---|---|---|
| St−1 | Pt−1 | St−2 | St−12 | Tt | Pt | St | |||
| P-III | *** | 1.88 | 32.12 * | 1.86 | 2.35 | Nan | 32.34 * | 1.83 | |
| 1.33 | 2.70 | 1.33 | 1.32 | Nan | 2.71 | 1.33 | |||
| 0.04 | 0.02 | 0.04 | 0.04 | Nan | 0.02 | 0.04 | |||
| Lognormal | 3.37 | 3.92 | 3.37 | 3.38 | 2.70 | 3.91 | 3.37 | ||
| 0.77 | 1.23 | 0.77 | 0.76 | 0.56 | 1.23 | 0.77 | |||
| GEV | ** | 0.65 | 0.30 | 0.65 | 0.64 | -0.53 | 0.30 | 0.66 | |
| 20.06 | 44.54 | 20.08 | 20.45 | 15.30 | 44.48 | 20.00 | |||
| 13.34 | 41.81 | 13.37 | 13.52 | 8.60 | 41.85 | 13.31 | |||
| Gamma | *** | 1.84 | 1.14 | 1.84 | 1.87 | 3.84 | 1.14 | 1.84 | |
| 0.05 | 0.01 | 0.05 | 0.05 | 0.22 | 0.01 | 0.05 | |||
| Name | RMSE | AIC | ||||||||||||
|---|---|---|---|---|---|---|---|---|---|---|---|---|---|---|
| St-1 | Pt-1 | St-2 | St-12 | Tt | Pt | St | St-1 | Pt-1 | St-2 | St-12 | Tt | Pt | St | |
| P-III | 0.0340 | 0.0280 | 0.0340 | 0.0315 | NaN | 0.028 | 0.0343 | −3076.67 | −3249.25 | −3076.47 | −3146.55 | NaN | −3259.76 | −3068.64 |
| Gamma | 0.0486 | 0.0214 | 0.0485 | 0.0466 | 0.060 | 0.021 | 0.0488 | −2754.30 | −3494.98 | −2756.02 | −2792.48 | −2555.94 | −3498.64 | −2751.05 |
| Lognormal | 0.0382 | 0.0550 | 0.0385 | 0.0368 | 0.069 | 0.055 | 0.0386 | −2972.55 | −2632.66 | −2966.17 | −3007.10 | −2434.36 | −2636.50 | −2963.20 |
| GEV | 0.0409 | 0.0359 | 0.0414 | 0.0415 | 0.050 | 0.036 | 0.0415 | −2908.32 | −3016.77 | −2898.84 | −2896.32 | −2719.98 | −3029.44 | −2897.00 |
| Trees | C-Vine | KS Test | |||
|---|---|---|---|---|---|
| Nodes | Copulas | Parameters | p | Sn | |
| Tree 1 | 12 | F | 9.50 | 0.94 | 0.01 |
| 13 | C | 2.22 | 0.63 | 0.27 | |
| 14 | C | 1.52 | 0.68 | 0.19 | |
| 15 | C | 1.45 | 0.55 | 0.39 | |
| 16 | F | 3.12 | 0.74 | 0.12 | |
| 17 | C | 2.22 | 0.65 | 0.17 | |
| Tree 2 | 23|1 | N | −0.21 | 0.53 | 0.05 |
| 24|1 | N | 0.25 | 0.59 | 0.04 | |
| 25|1 | N | 0.39 | 0.68 | 0.05 | |
| 26|1 | F | 2.11 | 0.98 | 0.00 | |
| 27|1 | F | 1.95 | 0.58 | 0.07 | |
| Tree 3 | 34|12 | F | −0.74 | 0.68 | 0.03 |
| 35|12 | F | −0.51 | 0.54 | 0.00 | |
| 36|12 | F | −0.62 | 0.53 | 0.01 | |
| 37|12 | F | −0.69 | 0.55 | 0.13 | |
| Tree 4 | 45|123 | T | 0.46, 13.95 | 0.98 | 0.07 |
| 46|123 | T | 0.41, 8.72 | 0.61 | 0.28 | |
| 47|123 | T | 0.39, 5.40 | 0.65 | 0.17 | |
| Tree 5 | 56|1234 | F | 2.81 | 0.75 | 0.11 |
| 57|1234 | F | 1.26 | 0.73 | 0.12 | |
| Tree 6 | 67|12345 | G | 1.94 | 0.68 | 0.28 |
| Models | Calibration | Validation | ||||||
|---|---|---|---|---|---|---|---|---|
| R2 | NSE | RMSE | CR90/DI | R2 | NSE | RMSE | CR90/DI | |
| MLR | 0.73 | 0.72 | 16.16 | 0.43/0.46 | 0.73 | 0.66 | 16.72 | 0.47/0.48 |
| ANN | 0.75 | 0.73 | 15.57 | 0.89/1.14 | 0.72 | 0.69 | 16.53 | 0.81/1.32 |
| CVQR | 0.73 | 0.70 | 16.75 | 0.88/1.18 | 0.74 | 0.71 | 16.13 | 0.83/1.27 |
| τ | All | Calibration | Validation | |||
|---|---|---|---|---|---|---|
| RMAE | RRMSE | RMAE | RRMSE | RMAE | RRMSE | |
| 0.05 | 0.93 | 0.97 | 0.92 | 0.95 | 0.97 | 0.95 |
| 0.25 | 0.95 | 0.92 | 0.93 | 0.92 | 1.00 | 0.96 |
| 0.50 | 0.96 | 0.95 | 0.93 | 0.93 | 1.06 | 1.02 |
| 0.75 | 1.01 | 1.05 | 1.01 | 1.03 | 1.05 | 1.11 |
| 0.95 | 1.03 | 1.02 | 1.02 | 1.00 | 0.99 | 1.07 |
Publisher’s Note: MDPI stays neutral with regard to jurisdictional claims in published maps and institutional affiliations. |
© 2021 by the authors. Licensee MDPI, Basel, Switzerland. This article is an open access article distributed under the terms and conditions of the Creative Commons Attribution (CC BY) license (https://creativecommons.org/licenses/by/4.0/).
Share and Cite
Li, H.; Huang, G.; Li, Y.; Sun, J.; Gao, P. A C-Vine Copula-Based Quantile Regression Method for Streamflow Forecasting in Xiangxi River Basin, China. Sustainability 2021, 13, 4627. https://doi.org/10.3390/su13094627
Li H, Huang G, Li Y, Sun J, Gao P. A C-Vine Copula-Based Quantile Regression Method for Streamflow Forecasting in Xiangxi River Basin, China. Sustainability. 2021; 13(9):4627. https://doi.org/10.3390/su13094627
Chicago/Turabian StyleLi, Huawei, Guohe Huang, Yongping Li, Jie Sun, and Pangpang Gao. 2021. "A C-Vine Copula-Based Quantile Regression Method for Streamflow Forecasting in Xiangxi River Basin, China" Sustainability 13, no. 9: 4627. https://doi.org/10.3390/su13094627
APA StyleLi, H., Huang, G., Li, Y., Sun, J., & Gao, P. (2021). A C-Vine Copula-Based Quantile Regression Method for Streamflow Forecasting in Xiangxi River Basin, China. Sustainability, 13(9), 4627. https://doi.org/10.3390/su13094627
