Integrating Mathematics and Science Teaching in the Context of Education for Sustainable Development: Design and Pilot Implementation of a Teaching-Learning Sequence about Air Quality with Pre-Service Primary Teachers
Abstract
1. Introduction
Education for Sustainable Development with Pre-Service Primary Teachers
2. Design and Curricular Integration of the STEM-ESD-TLS about Air Quality
- Understanding the principles of sustainable learning.
- Identifying key issues in sustainability in each discipline or area of knowledge.
- Creating opportunities for students to develop skills for sustainability.
- The use of key pedagogical approaches for sustainable development, such as PBL and place based education.
- Experimenting with interdisciplinarity.
- Being a part of the university or school community.
- The involvement of students in solving a practical and relevant problem.
- The inclusion of active methodologies and collaborative learning.
- The incorporation of information and communications technologies (ICTs).
- A focus on meaningful and highly complex learning.
2.1. Curricular Integration of STEM and Competences for Sustainability Education
2.2. The Context of the TLS and Guiding Problems
“In February 2019, the temperatures recorded in Vitoria-Gasteiz were significantly higher than those recorded at that time in previous years. The media published news that said that in February the permitted hourly limits of air pollution exceeded on several occasions, that the air quality was becoming “bad” or “very bad” and that the quality of the air worsened due to the good weather and the lack of rain and clouds.”
2.3. Design Parameters of the TLS: Alignment of Driving Problems with Learning Goals and STEM and ESD Practices
- Driving questions are the questions that will guide the process to solve the problem. The learning goals will apply to the set of activities of those driving questions.
- Activities. A brief explanation of the activities performed.
- Attitudes and values about ESD [43].
- Methodologies that promote STEM and ESD [22].
3. Materials and Methods
3.1. Participants
3.2. Materials
3.3. Evaluation of the Implementation of the STEM-ESD-TLS
3.3.1. Questionnaires about STEM-Related Content
3.3.2. Survey to Evaluate Student’s Self-Efficacy and Perceived Relevance of ESD and Satisfaction with the Learning Process
3.4. Data Analysis
3.5. Ethical Considerations
4. Results
4.1. Evaluation of the STEM-ESD-TLS through Knowledge-Based Questionnaires
4.2. Evaluation of Student’ Self-Efficacy and Perceived Relevance of ESD and Satisfaction about the Learning Process
5. Discussion
5.1. Students’ Learning Outcomes as a Key Tool to Improve the Teaching and Learning of Air Quality, Weather and Climate
5.2. The Importance of Linking STEM Education to ESD: A Pilot Implementation in a University Organic Learning Garden
6. Conclusions
7. Strengths, Limitations and Future Work
Supplementary Materials
Author Contributions
Funding
Institutional Review Board Statement
Informed Consent Statement
Data Availability Statement
Acknowledgments
Conflicts of Interest
References
- UNESCO. Education for Sustainable Development Goals: Learning Objectives; UNESCO Publishing: Pairs, French, 2017. [Google Scholar]
- Leal Filho, W.; Levesque, V.R.; Salvia, A.L.; Paço, A.; Fritzen, B.; Frankenberger, F.; Damke, L.I.; Brandli, L.L.; Ávila, L.V.; Mifsud, M.; et al. University Teaching Staff and Sustainable Development: An Assessment of Competences. Sustain. Sci. 2020, 16, 101–116. [Google Scholar] [CrossRef]
- United Nations. Transforming Our World: The 2030 Agenda for Sustainable Development; Division for Sustainable Development Goals: New York, NY, USA, 2015. [Google Scholar]
- Granados Sanchez, J.; Wals, A.; Ferrer-Balas, D.; Waas, T.; Imaz, M.; Nortier, S.; Svanström, M.; Land, H.; Arriaga, G. Sustainability in Higher Education: Moving from Understanding to Action, Breaking Barriers for Transformation; GUNI: Barcelona, Spain, 2011; Volume 4, pp. 193–207. ISBN 978-0-230-53555-8. [Google Scholar]
- Albareda-Tiana, S.; Vidal-Raméntol, S.; Pujol-Valls, M.; Fernández-Morilla, M. Holistic Approaches to Develop Sustainability and Research Competencies in Pre-Service Teacher Training. Sustainability 2018, 10, 3698. [Google Scholar] [CrossRef]
- Rieckmann, M. Future-Oriented Higher Education: Which Key Competencies Should Be Fostered through University Teaching and Learning? Futures 2012, 44, 127–135. [Google Scholar] [CrossRef]
- Risopoulos-Pichler, F.; Daghofer, F.; Steiner, G. Competences for Solving Complex Problems: A Cross-Sectional Survey on Higher Education for Sustainability Learning and Transdisciplinarity. Sustainability 2020, 12, 6016. [Google Scholar] [CrossRef]
- Hernández-Barco, M.; Sánchez-Martín, J.; Blanco-Salas, J.; Ruiz-Téllez, T. Teaching Down to Earth—Service-Learning Methodology for Science Education and Sustainability at the University Level: A Practical Approach. Sustainability 2020, 12, 542. [Google Scholar] [CrossRef]
- Sáez de Cámara, E.; Fernández, I.; Castillo-Eguskitza, N. A Holistic Approach to Integrate and Evaluate Sustainable Development in Higher Education. The Case Study of the University of the Basque Country. Sustainability 2021, 13, 392. [Google Scholar] [CrossRef]
- Badea, L.; Șerban-Oprescu, G.L.; Dedu, S.; Piroșcă, G.I. The Impact of Education for Sustainable Development on Romanian Economics and Business Students’ Behavior. Sustainability 2020, 12, 8169. [Google Scholar] [CrossRef]
- Merrill, C.; Daugherty, J. The Future of TE Masters Degrees: STEM. In Proceedings of the International Technology Education Association, Louisville, KY, USA, 2009. [Google Scholar]
- Doménech, J. STEM: Oportunidades y retos desde la Enseñanza de las Ciencias [STEM: Opportunities and challenges from Science Education]. Univ. Tarracon. Rev. Ciènc. Educ. 2019, 1, 154–168. [Google Scholar] [CrossRef]
- Torres, M.P.; Couso, D.; Márquez, C. ¿Cómo diseñar un buen proyecto STEM? Identificación de tensiones en la co-construcción de una rúbrica para su mejora [How to design a good STEM project? Identification of tensions in the co-construction of a rubric for its improvement]. Rev. Eureka Sobre Enseñ. Divulg. Las Cienc. 2021, 18, 1301–1321. [Google Scholar] [CrossRef]
- Adams, A.E.; Miller, B.G.; Saul, M.; Pegg, J. Supporting Elementary Pre-Service Teachers to Teach STEM through Place-Based Teaching and Learning Experiences. Electron. J. Sci. Educ. 2014, 18, 1–22. [Google Scholar]
- Annan-Diab, F.; Molinari, C. Interdisciplinarity: Practical Approach to Advancing Education for Sustainability and for the Sustainable Development Goals. Int. J. Manag. Educ. 2017, 15, 73–83. [Google Scholar] [CrossRef]
- Martins, A.A.; Mata, T.M.; Costa, C.A.V. Education for Sustainability: Challenges and Trends. Clean Technol. Environ. Policy 2006, 8, 31–37. [Google Scholar] [CrossRef]
- Kelley, T.R.; Knowles, J.G. A Conceptual Framework for Integrated STEM Education. Int. J. STEM Educ. 2016, 3, 11. [Google Scholar] [CrossRef]
- Del Cerro-Velázquez, F.; Lozano-Rivas, F. Education for Sustainable Development in STEM (Technical Drawing): Learning Approach and Method for SDG 11 in Classrooms. Sustainability 2020, 12, 2706. [Google Scholar] [CrossRef]
- Yanez, G.A.; Thumlert, K.; de Castell, S.; Jenson, J. Pathways to Sustainable Futures: A “Production Pedagogy” Model for STEM Education. Futures 2019, 108, 27–36. [Google Scholar] [CrossRef]
- Smith, C.; Watson, J. Does the Rise of STEM Education Mean the Demise of Sustainability Education? Aust. J. Environ. Educ. 2019, 35, 1–11. [Google Scholar] [CrossRef]
- UNESCO. UNESCO Roadmap for Implementing the Global Action Programme on Education for Sustainable Development; UNESCO Digital Library: Paris, France, 2014; p. 38. [Google Scholar]
- Lozano, R.; Merrill, M.Y.; Sammalisto, K.; Ceulemans, K.; Lozano, F.J. Connecting Competences and Pedagogical Approaches for Sustainable Development in Higher Education: A Literature Review and Framework Proposal. Sustainability 2017, 9, 1889. [Google Scholar] [CrossRef]
- Leicht, A.; Heiss, J.; Won, J. Issues and Trends in Education for Sustainable Development; UNESCO Publishing: Paris, France, 2018; ISBN 978-92-3-100244-1. [Google Scholar]
- Murga-Menoyo, M.Á. Competencias para el desarrollo sostenible: Las capacidades, actitudes y valores meta de la educación en el marco de la Agenda global post-2015 [Competencies for sustainable development: the skills, attitudes and values of education within the framework of the post-2015 global Agenda]. Foro Educ. 2015, 13, 55–83. [Google Scholar] [CrossRef]
- SDSN Australia/Pacific. Getting Started with the SDGs In Universities; Sustainable Development Solutions Network: Melbourne, Australia, 2017. [Google Scholar]
- Vega-Marcote, P.; Varela-Losada, M.; Álvarez-Suárez, P. Evaluation of an Educational Model Based on the Development of Sustainable Competencies in Basic Teacher Training in Spain. Sustainability 2015, 7, 2603–2622. [Google Scholar] [CrossRef]
- Santaolalla, E.; Urosa, B.; Martín, O.; Verde, A.; Díaz, T. Interdisciplinarity in Teacher Education: Evaluation of the Effectiveness of an Educational Innovation Project. Sustainability 2020, 12, 6748. [Google Scholar] [CrossRef]
- Martins-Loução, M.A.; Gaio-Oliveira, G.; Barata, R.; Carvalho, N. Inquiry-Based science learning in the context of a continuing professional development programme for biology teachers. J. Biol. Educ. 2020, 54, 497–513. [Google Scholar] [CrossRef]
- Sobel, D. Place-Based Education: Connecting Classrooms and Communities; Orion: Great Barrington, MA, USA, 2013; ISBN 978-1-935713-05-0. [Google Scholar]
- Semken, S.; Freeman, C.B. Sense of Place in the Practice and Assessment of Place-Based Science Teaching. Sci. Educ. 2008, 92, 1042–1057. [Google Scholar] [CrossRef]
- Gozalbo, M.E.; Rey-Baltar, D.Z.; González, A.R. Huertos EcoDidácticos y Educación para la Sostenibilidad. Experiencias educativas para el desarrollo de competencias del profesorado en formación inicial [Organic Learning Gardens and Education for Sustainability. Educational experiences for the development of competencies of teachers in initial training]. Rev. Eureka Sobre Enseñ. Divulg. Las Cienc. 2018, 15, 1501. [Google Scholar] [CrossRef]
- Pérez-López, R.; Eugenio-Gozalbo, M.; Zuazagoitia, D.; Ruiz-González, A. Organic Learning Gardens in Higher Education: Do They Improve Kindergarten Pre-Service Teachers’ Connectedness to and Conception of Nature? Front. Psychol. 2020, 11, 282. [Google Scholar] [CrossRef] [PubMed]
- Solé, C.; Gallego, È.T.; Couso, D. ¿Qué modelo de materia explica la contaminación?: Explorando el modelo corpuscular en la mesoescala [What model of matter explains pollution?: Exploring the corpuscular model in the mesoscale]. Alambique Didáctica Las Cienc. Exp. 2020, 101, 30–36. [Google Scholar]
- Villavicencio, J.; Benitez, A.; Barlow, J.; Chowdhury, Z. Assessing Air Quality through a Sustainable Educational Model. J. Sustain. Educ. 2018, 19. [Google Scholar]
- Agathokleous, E.; Saitanis, C.J.; Feng, Z.; De Marco, A.; Araminiene, V.; Domingos, M.; Sicard, P.; Paoletti, E. Ozone Biomonitoring: A Versatile Tool for Science, Education and Regulation. Curr. Opin. Environ. Sci. Health 2020, 18, 7–13. [Google Scholar] [CrossRef]
- Celikler, D. Determining the knowledge level of pre-service elementary science teachers about air pollution. In Proceedings of the 3rd World Conference on Educational Sciences-2011, Bahcesehir University, Istanbul, Turkey, 3–7 February 2011; Akcamete, G., Uzunboylu, H., Oulmu, S., Karahoca, A., Babadoan, C., Ozdamli, F., Kanbul, S., Eds.; Elsevier Science Bv: Amsterdam, The Netherlands, 2011; Volume 15, pp. 1445–1456. [Google Scholar]
- Wahlström, M.; Kocyba, P.; de Vydt, M.; De Moor, J. Protest for a Future: Composition, Mobilization and Motives of the Participants in Fridays for Future Climate Protests on 15 March, 2019 in 13 European Cities; Protest for a Future: Bath, UK, 2019. [Google Scholar]
- Sterling, S. Contradiction or complement: Can higher education be deeper education? In Intergenerational Learning and Transformative Leadership for Sustainable Futures; Wageningen Academic Publishers: Wageningen, The Netherlands, 2014; pp. 139–152. ISBN 978-90-8686-252-8. [Google Scholar]
- Freeman, S.; Eddy, S.L.; McDonough, M.; Smith, M.K.; Okoroafor, N.; Jordt, H.; Wenderoth, M.P. Active Learning Increases Student Performance in Science, Engineering, and Mathematics. Proc. Natl. Acad. Sci. USA 2014, 111, 8410–8415. [Google Scholar] [CrossRef]
- Schmidt, M.; Fulton, L. Transforming a Traditional Inquiry-Based Science Unit into a STEM Unit for Elementary Pre-Service Teachers: A View from the Trenches. J. Sci. Educ. Technol. 2016, 25, 302–315. [Google Scholar] [CrossRef]
- Psillos, D.; Kariotoglou, P. Theoretical Issues Related to Designing and Developing Teaching-Learning Sequences. In Iterative Design of Teaching-Learning Sequences: Introducing the Science of Materials in European Schools; Psillos, D., Kariotoglou, P., Eds.; Springer: Dordrecht, The Netherlands, 2016; pp. 11–34. ISBN 978-94-007-7808-5. [Google Scholar]
- Ministerio de Educación, Cultura y Deporte. Informe de Verificación del Grado de Educación Primaria de la Universidad del País Vasco (UPV/EHU) [Verification Report of the Degree in Primary Education of the University of the Basque Country (UPV/EHU)]; Gobierno de España: Madrid, Spain, 2014. [Google Scholar]
- Granados Sánchez, J.; Junyent i Pubill, M. Retos y oportunidades en la ambientalización curricular [Challenges and opportunities in curriculum environmentalization]. Cuad. Pedagog. 2015, 460, 48–52. [Google Scholar]
- Guisasola, J.; Zuza, K.; Ametller, J.; Gutierrez-Berraondo, J. Evaluating and Redesigning Teaching Learning Sequences at the Introductory Physics Level. Phys. Rev. Phys. Educ. Res. 2017, 13, 020139. [Google Scholar] [CrossRef]
- Johnson, C.C.; Peters-Burton, E.E.; Moore, T.J. STEM Road Map: A Framework for Integrated STEM Education; Routledge: London, UK, 2015; ISBN 978-1-317-62019-8. [Google Scholar]
- Smith, C.; Fitzallen, N.; Watson, J.; Wright, S. The Practice of Statistics for STEM: Primary Students and Pre-Service Primary Teachers Exploring Variation in Seed Dispersal. Teach. Sci. 2019, 65, 38–47. [Google Scholar]
- Marshall, J.C.; Smart, J.B.; Alston, D.M. Inquiry-Based Instruction: A Possible Solution to Improving Student Learning of Both Science Concepts and Scientific Practices. Int. J. Sci. Math. Educ. 2017, 15, 777–796. [Google Scholar] [CrossRef]
- Council, N.R. Inquiry and the National Science Education Standards: A Guide for Teaching and Learning; National Academies Press: Columbia, WA, USA, 2000; ISBN 978-0-309-06476-7. [Google Scholar]
- Keeley, P.D.; Tucker, L. Are they talking about Climate or Weather? In Uncovering Student Ideas in Earth and Environmental Science. 32 New Formative Assessment Probes; NSTA Press: Arlington, VI, USA, 2016; pp. 73–76. ISBN 978-1-938946-47-9. [Google Scholar]
- Tomas, L.; Girgenti, S.; Jackson, C. Pre-Service Teachers’ Attitudes toward Education for Sustainability and Its Relevance to Their Learning: Implications for Pedagogical Practice. Environ. Educ. Res. 2017, 23, 324–347. [Google Scholar] [CrossRef]
- Barnard, A.; McCosker, H.; Gerber, R. Phenomenography: A Qualitative Research Approach for Exploring Understanding in Health Care. Qual. Health Res. 1999, 9, 212–226. [Google Scholar] [CrossRef] [PubMed]
- Elsasser, S.W.; Dunlap, R.E. Leading Voices in the Denier Choir: Conservative Columnists’ Dismissal of Global Warming and Denigration of Climate Science. Am. Behav. Sci. 2013, 57, 754–776. [Google Scholar] [CrossRef]
- Myers, G.; Boyes, E.; Stanisstreet, M. School Students’ Ideas about Air Pollution: Knowledge and Attitudes. Res. Sci. Technol. Educ. 2004, 22, 133–152. [Google Scholar] [CrossRef]
- Kilinc, A.; Stanisstreet, M.; Boyes, E. Turkish Students’ Ideas about Global Warming. Int. J. Environ. Sci. Educ. 2008, 3, 89–98. [Google Scholar]
- Choi, S.; Niyogi, D.; Shepardson, D.P.; Charusombat, U. Do Earth and Environmental Science Textbooks Promote Middle and High School Students’ Conceptual Development About Climate Change? Textbooks’ Consideration of Students’ Misconceptions. Bull. Am. Meteorol. Soc. 2010, 91, 889–898. [Google Scholar] [CrossRef]
- Pozo, J.I. Las Ideas del Alumnado Sobre la Ciencia: De Dónde Vienen, a Dónde van… y Mientras Tanto qué Hacemos con Ellas [Students’ Ideas about Science: Where They Come from, Where They Go... and in the Meantime What We Do with Them]; Grao: Barcelona, Spain, 1996. [Google Scholar]
- Keeley, P. Uncovering Student Ideas in Life Science; NSTA Press: Arlington, WA, USA, 2011; ISBN 978-1-936137-51-0. [Google Scholar]
- Henriques, L. Children’s Ideas About Weather: A Review of the Literature. Sch. Sci. Math. 2002, 102, 202–215. [Google Scholar] [CrossRef]
- Chang, C.-H.; Pascua, L. Singapore Students’ Misconceptions of Climate Change. Int. Res. Geogr. Environ. Educ. 2016, 25, 84–96. [Google Scholar] [CrossRef]
- Toulmin, S.E. The Uses of Argument, 2nd ed.; Cambridge University Press: Cambridge, UK, 2003; ISBN 978-0-521-82748-5. [Google Scholar]
- Sakai, K.; Higashinaka, R.; Yoshikawa, Y.; Ishiguro, H.; Tomita, J. Hierarchical Argumentation Structure for Persuasive Argumentative Dialogue Generation. IEICE Trans. Inf. Syst. 2020, 103, 424–434. [Google Scholar] [CrossRef]
- Levinson, R. Science Education and Democratic Participation: An Uneasy Congruence? Stud. Sci. Educ. 2010, 46, 69–119. [Google Scholar] [CrossRef]
- Bonnett, M. Education for Sustainability as a Frame of Mind. Environ. Educ. Res. 2002, 8, 9–20. [Google Scholar] [CrossRef]
- Burbules, N.C.; Fan, G.; Repp, P. Five Trends of Education and Technology in a Sustainable Future. Geogr. Sustain. 2020, 1, 93–97. [Google Scholar] [CrossRef]
- Benavent, X.; de Ves, E.; Forte, A.; Botella-Mascarell, C.; López-Iñesta, E.; Rueda, S.; Roger, S.; Perez, J.; Portalés, C.; Dura, E.; et al. Girls4STEM: Gender Diversity in STEM for a Sustainable Future. Sustainability 2020, 12, 6051. [Google Scholar] [CrossRef]





| Context of Intervention 3rd Year; Degree on Primary Education | Integrated Subjects |
| |
| Degree’s Transversal competences (TC) a | TC1—to know the curricular areas of primary education, the interdisciplinary relationship between them, and the body of knowledge about their respective teaching and learning procedures. TC2—to design, plan and evaluate teaching and learning processes, both individually and in collaboration with other professionals. TC3—to reflect about classroom practices to innovate and improve our own’s teaching work. To acquire habits and skills for autonomous and cooperative learning, and promote it among students. TC4—to value individual and collective responsibility in achieving a sustainable future. | ||
| STEM Concepts a | Concepts about Sustainable Development (SD) b | Competences for Sustainability Education (CfSE) c | |
| The community as the axis where SD is inserted: students’ work is based in the organic learning garden located on our campus. Students’ learning and decisions are achieved and taken at the local level but with global implications as a whole. Concept of uncertainty and adaptability to the environment: to be aware of the uncertainty due to changes in climate patterns and its implications in our campus’ air quality. | Systemic thinking: analysis of complex systems (weather and climate), analysis of the consequences of climate change, analysis of the cause–effect relationship between weather parameters and tropospheric ozone concentration. Interdisciplinary work: capacity to solve a real problem mobilizing learning from several disciplines. Anticipatory Thinking: risk and change management Interpersonal relations and collaboration: participatory and collaborative approaches to solve problems or conduct research. Strategic action: capacity to design and implement interventions and transformations for sustainability. Create opportunities for creativity. Personal implication: willingness and ability to act, learn and innovate. | |
| STEM Competences a | Links with Sustainable Development Goals (SDG) | ||
| ME1—to know the appropriate methodological strategies to develop logico-mathematical thinking. ME2—to know the elementary mathematical contents corresponding to the primary school curriculum: measurement, calculation, and estimation of magnitudes and treatment of information NSE1—to learn the basic principles and laws of experimental sciences. NSE2—to raise and solve problems related to everyday life. | SDG3—good health and well-being SDG4—quality education SDG11—sustainable cities and communities SDG13—climate action. | ||
| Driving Problems/Questions | Learning Objectives | STEM Practices | Activities |
|---|---|---|---|
| (1) What is the meaning of bad air quality? | (1) To learn about the main pollutants that affect air quality. | Scientific inquiry: mobilize previous knowledge | Students answer a pre-test about air pollutants. |
| (2) What were the concentrations of the leading air pollutants in February 2019 in Vitoria-Gasteiz? | (2) To understand that weather is the combination of several parameters such as sunlight, temperature, and precipitation in a particular region and time. (3) To understand the influence of meteorological variables on the air’s quality. (4) To identify weather magnitudes and their units (5) To perform data analysis of air pollutants using descriptive statistics and graphic tools. (6) To calculate an air quality index | Scientific inquiry: engaging in a scientifically oriented question Mathematical thinking: organize and summarize data, extract patterns and features, statistical data analysis. Technology: Use of ICT for data analysis | Students search information on the website of the Air Quality Network in the Basque Country and organize and represent data in a spreadsheet. They also analyze data from the air pollution database, selecting the stations closest to the OLG. They write a report about ground ozone levels |
| (3) How bad is the air we breathe near our school? | (7) To estimate the air quality based on data analysis and the analysis of threshold values (i.e., ground ozone). | Scientific inquiry: making claims based on evidence Argumentation: construct explanations, discuss implications. Mathematical thinking: interpretation of an air quality map. To model and make estimations with mathematics Technology: Use of ICT for data analysis | Students prepare the response to an imaginary sixth grader based on their data analysis. There is a group discussion about air quality, sustainability, and education. Students fill in the post-test about air pollutants. |
| (4) What is the difference between weather and climate? | (2) To understand that weather is the combination of several parameters such as sunlight, temperature, and precipitation in a particular region and time. (8) To understand that climate describes patterns of typical weather conditions over different scales and variations. | Scientific inquiry: engaging in a scientifically oriented question. | Students answer a pre- and post-test about situations related to weather or climate. Students make a list of atmospheric conditions that influence weather and identify the physical magnitude that has to be measured. |
| (5) What can we use to describe the weather? | (4) To know the weather magnitudes and their units | Scientific inquiry: engaging in a scientifically oriented question. Use of models. | In pairs, students describe a weather magnitude including its units of measurement. Students apply the kinetic molecular theory of matter to explain cloud formation in a short report. |
| (6) How can we collect weather data and describe or predict the weather around us? | (5) To learn how to use weather sensors that can be used in a school setting. | Scientific inquiry: experiment design. Understand cause–effect relationships. Making claims based on evidence. Mathematical thinking: measurements. Data analysis. Use of ICT: sensor technology | Students choose a location on the campus to take measurements and assess relationships between weather variables. One of these locations is the OLG. Students contrast their sensor-based data with the data collected in weather stations and with predictions by weather agencies. |
| Attitudes and Values about ESD | Identify key issues about sustainability in the project; create opportunities for students to develop skills for sustainability; the use of key pedagogical approaches for sustainable development; work in an interdisciplinary problem. | ||
| Methodologies Used for STEM and ESD | Socioconstructivist: starting from initial knowledge and taking into account the social context of the development and learning of students; participatory and collaborative; the use of digital technologies for measuring parameters; context-learning—many activities are carried out in the OLG | ||
| Types of Reasoning | Pre-Test (%) | Post-Test (%) | Examples Given by Students |
|---|---|---|---|
| C1—Full explanation a | 29.4 | 47.1 | “Weather is what you get at the moment or on a given day (rain, temperature,...) and climate, for example, are data received over the years (average temperature, etc.)” “Climate: data collected over the years, more general; Weather: what you get in one day: specific.” “Weather takes into account the atmospheric condition of a particular area. Climate, on the other hand, takes into account the data taken over time in a particular area”. |
| C2—Weather is day specific, climate is general | 41.2 | 29.4 | “Weather is a one-time event, climate is more general.” “when it is a thing of the day it refers to the weather, but when it is more general it refers to climate.” |
| C3—Partial explanations | 29.41 | 17.6 | “I call weather a sensation of the moment or a climate of the moment”. “I’ve connected weather with the feeling it will have at a given time and climate to the conditions that are in a certain environment.” |
| C4-Incoherent answer | 0 | 5.9 | “Time” |
| Types of Reasoning | Pre-Test (%) | Post-Test (%) | Examples Given by Students |
|---|---|---|---|
| C1—air pollutants (generic or specific) | 24 | 71 | Generic: “The waste emitted by the companies, the gases emitted by the cars, the indiscriminate consumption of plastic carried out by society, the lack of recycling habits of people, etc.” “The smoke from industries, cars” Specific: “Nitrogen dioxide, ozone, sulfur, carbon dioxide, methane”. “Ozone, PM10, PM2.5”. |
| C2—sources | 76 | 29 | ”Transport, agriculture, farming, industries” |
| Types of Reasoning | Pre-Test (%) | Post-Test (%) | Examples Given by Students |
|---|---|---|---|
| C1—precipitation related to cleaner air | 47 | 29 | “It is usually rain that cleans the atmosphere, so if it rains the quality of our air will be better, since the pollution is alleviated.” “Air pollution goes down with rain, and air’s pollution is slightly cleaned. |
| C2—high temperatures and dry conditions favour tropospheric O3 accumulation | 0 | 35 | “When the temperature is high, ozone increases and air quality is worse” “For example, when it rains more, the quality of ozone is better, which means less pollution. And on sunny days there is a lot of ozone, so the quality of the air is worse” |
| C3—other factors, such as acid rain. | 21 | 18 | “Yes, because the winds that transport contaminated air from one place to another will affect the quality of the air. Rainfall can also affect the quality of the air, for example acid rain can pollute the lands that irrigates.” |
| C4—Inconclusive reasoning | 24 | 29 | “Yes, sometimes the change of variables has consequences in the quality of the air, for example when it rains there is humidity” “Because thanks to them air pollutants can disappear or increase.” |
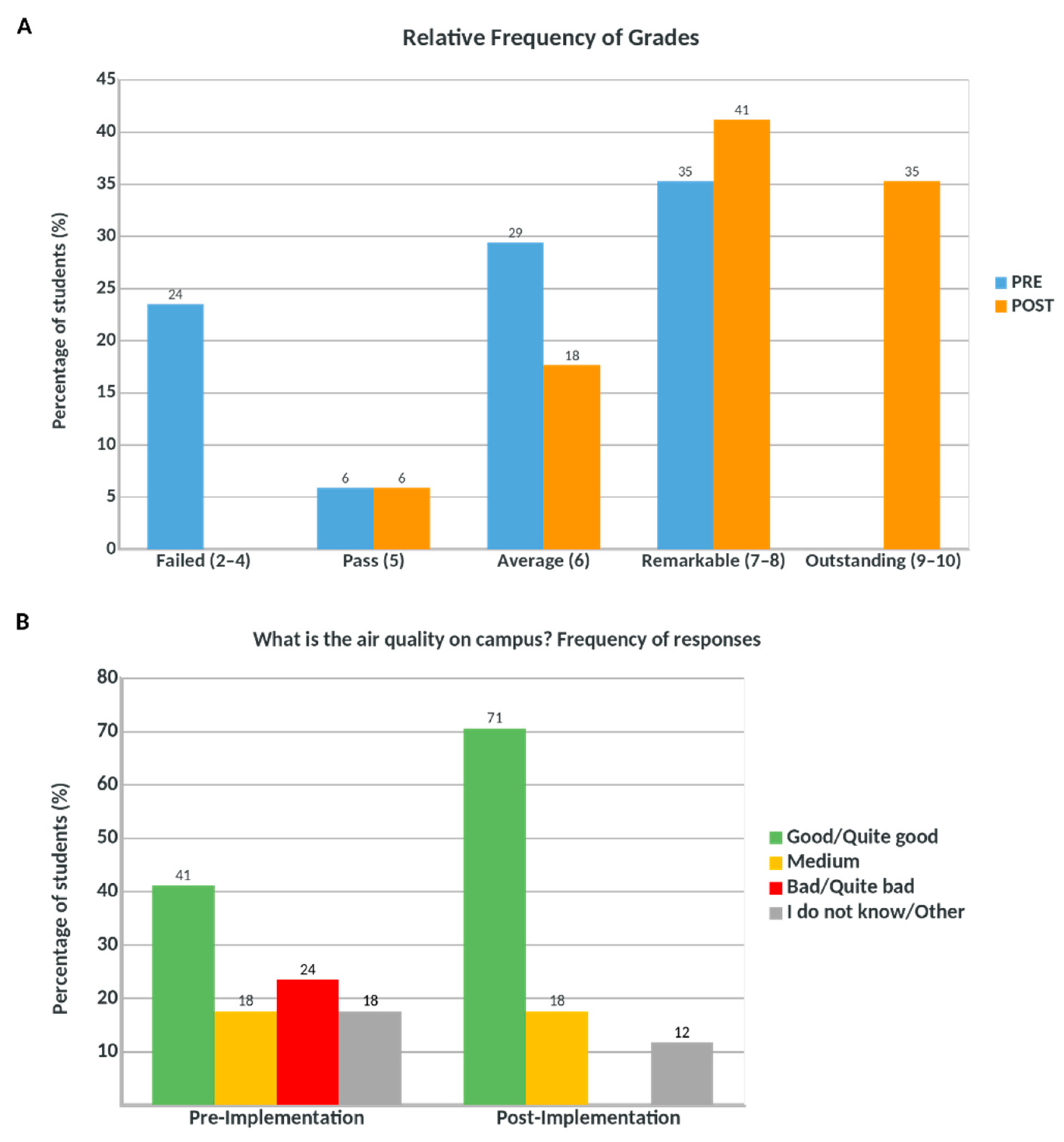
| Opinion that the Air Quality Is Good | Opinion that the Air Quality Is Bad |
|---|---|
| “The air quality in the campus in general is good because you cannot detect traces of contamination”. “I think it’s good, because it’s an uncontaminated area. There is little traffic, there are no spillages of toxic fumes” | “I suppose it is not good, because the campus is in the city”. “Considering that we are in a city, I would say that it is not of great quality, even if the campus is surrounded by trees” |
| Topic | Student Misconception | Explanation |
|---|---|---|
| Climate and weather | Climate is understood as a long-term or general weather | Weather is the combination of sunlight, wind, snow or rain, and temperature in a particular region and time. People record weather patterns over time. Climate describes patterns of typical weather conditions over different scales and variations. Historical weather patterns can be analyzed. |
| Air pollutants | Students mention sources, such as road traffic and industries, instead of specific air pollutants originating from those sources. Students identified greenhouse gases as the only air pollutants. | Road traffic and industries are some of the sources that produce air pollution. Tropospheric ozone (O3) and particulate matter (PM2.5 and PM10) are the most relevant air pollutants in the Basque Country (https://www.euskadi.eus/gobierno-vasco/aire-medioambiente/, accessed on 15 April 2021). Greenhouse gases produced from anthropocentric sources are also considered air pollutants. |
| Tropospheric (ground-level) ozone and stratospheric ozone | Ozone is only understood as part of the stratosphere. The role of ozone in the troposphere is unknown. | Stratospheric ozone is not an air pollutant, because it protects us from solar radiation. Tropospheric (ground-level) ozone is an air pollutant and it can cause damage to human health and the environment. |
| Weather parameters that affect air quality | Students are not aware of the positive correlation between tropospheric ozone concentration and dry and hot weather conditions | Major episodes of high concentrations of ozone associate with slow-moving, high-pressure weather systems. These systems are also linked with high concentrations of other chemical pollutants such as sulfur dioxide. |
| Average concentration levels using the arithmetic mean | If the average daily levels of PM10 or PM2.5 are below a particular threshold, then students conclude that the air quality is good or very good. | The arithmetic mean smooths out the real variation of air pollution. The additional analysis of the minimum, maximum, and quartile values in a particular time span (February 2019) showed that, on several occasions, the air quality was not good or very good in Vitoria-Gasteiz. |
| Claims supported by evidence | Students used personal opinion instead of evidence to claim that the air quality of their campus was either good or bad. | The Air Quality Network3 contains a wide data set to establish what the air quality is in several locations of the Basque Country. Learning how to analyze and organize data allowed students to support their claims based on evidence. |
Publisher’s Note: MDPI stays neutral with regard to jurisdictional claims in published maps and institutional affiliations. |
© 2021 by the authors. Licensee MDPI, Basel, Switzerland. This article is an open access article distributed under the terms and conditions of the Creative Commons Attribution (CC BY) license (https://creativecommons.org/licenses/by/4.0/).
Share and Cite
Rico, A.; Agirre-Basurko, E.; Ruiz-González, A.; Palacios-Agundez, I.; Zuazagoitia, D. Integrating Mathematics and Science Teaching in the Context of Education for Sustainable Development: Design and Pilot Implementation of a Teaching-Learning Sequence about Air Quality with Pre-Service Primary Teachers. Sustainability 2021, 13, 4500. https://doi.org/10.3390/su13084500
Rico A, Agirre-Basurko E, Ruiz-González A, Palacios-Agundez I, Zuazagoitia D. Integrating Mathematics and Science Teaching in the Context of Education for Sustainable Development: Design and Pilot Implementation of a Teaching-Learning Sequence about Air Quality with Pre-Service Primary Teachers. Sustainability. 2021; 13(8):4500. https://doi.org/10.3390/su13084500
Chicago/Turabian StyleRico, Arantza, Elena Agirre-Basurko, Aritz Ruiz-González, Igone Palacios-Agundez, and Daniel Zuazagoitia. 2021. "Integrating Mathematics and Science Teaching in the Context of Education for Sustainable Development: Design and Pilot Implementation of a Teaching-Learning Sequence about Air Quality with Pre-Service Primary Teachers" Sustainability 13, no. 8: 4500. https://doi.org/10.3390/su13084500
APA StyleRico, A., Agirre-Basurko, E., Ruiz-González, A., Palacios-Agundez, I., & Zuazagoitia, D. (2021). Integrating Mathematics and Science Teaching in the Context of Education for Sustainable Development: Design and Pilot Implementation of a Teaching-Learning Sequence about Air Quality with Pre-Service Primary Teachers. Sustainability, 13(8), 4500. https://doi.org/10.3390/su13084500

