Prediction and Stability Assessment of Soft Foundation Settlement of the Fishbone-Shaped Dike Near the Estuary of the Yangtze River Using Machine Learning Methods
Abstract
1. Introduction
2. Materials and Methods
2.1. The In Situ Monitoring Case
2.2. Fundamentals of the Extreme Learning Machine
2.3. Establishment of Models
3. Results and Discussion
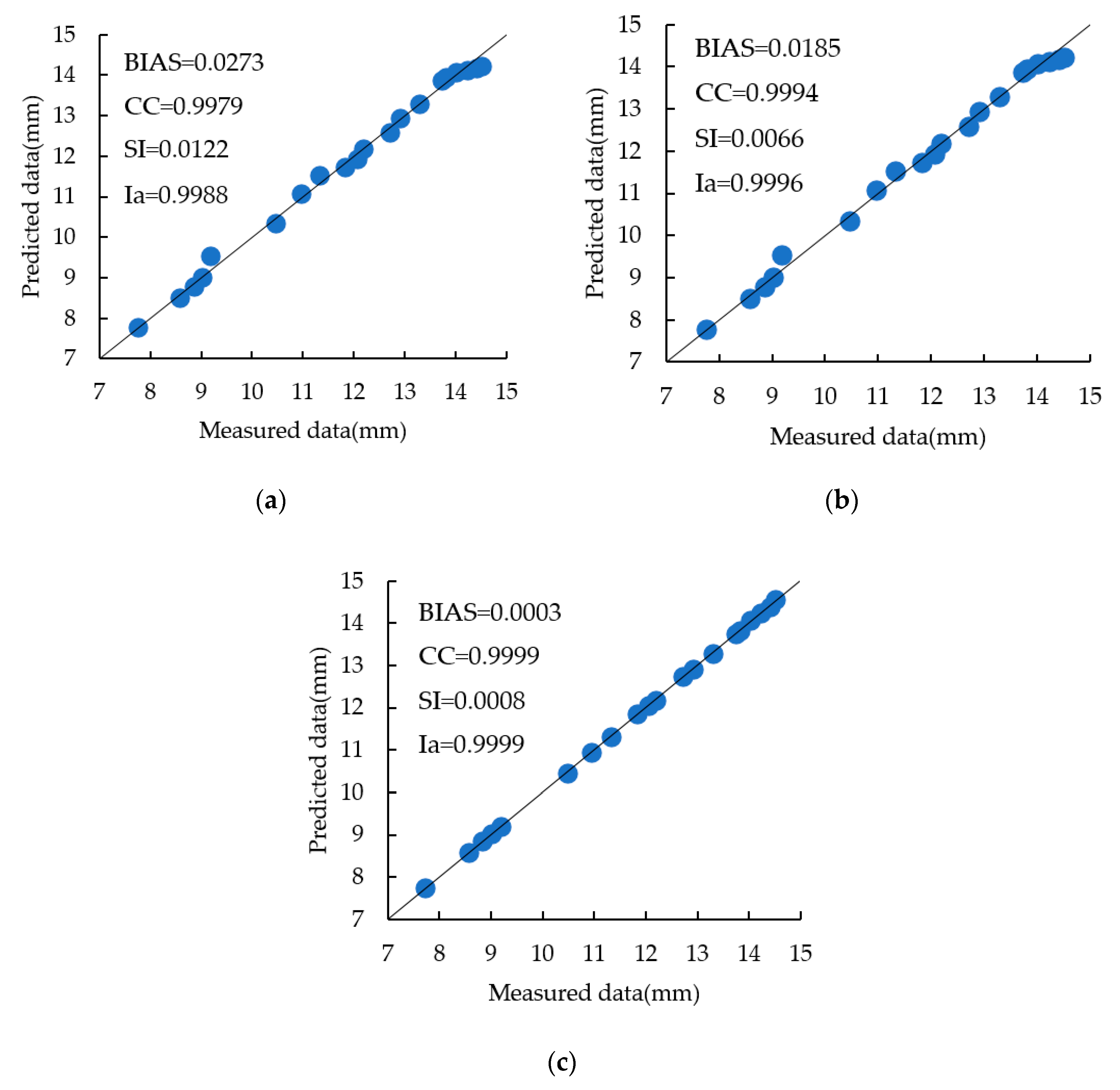
3.1. Validation and Analysis of the Proposed Machine Learning Approach
3.2. Stability Assessment of the Fishbone-Shaped Dike’s Soft Foundation
4. Conclusions
Author Contributions
Funding
Data Availability Statement
Acknowledgments
Conflicts of Interest
References
- Lu, Y.; Li, S.; Zuo, L.; Liu, H.; Roelvink, J. Advances in sediment transport under combined action of waves and currents. Int. J. Sediment Res. 2015, 30, 351–360. [Google Scholar] [CrossRef]
- Andersen, K.H.; Lauritzsen, R. Bearing Capacity for Foundations with Cyclic Loads. J. Geotech. Eng. 1988, 114, 540–555. [Google Scholar] [CrossRef]
- Zhang, X.; Zheng, Z. Reinforcement of Soft Foundation with Geotextile and Observation for Sea Dike Project of Zhapu Port. China Ocean Eng. 2003, 17, 295–306. [Google Scholar]
- Hayashi, H.; Yamazoe, N.; Mitachi, T.; Tanaka, H.; Nishimoto, S. Coefficient of earth pressure at rest for normally and overconsolidated peat ground in Hokkaido area. Soils Found. 2012, 52, 299–311. [Google Scholar] [CrossRef]
- Zheng, Y.F.; Zhang, L.L.; Zhang, J. Parameter Identification of Consolidation Settlement Based on Multi-Objective Op-timization. In Geotechnical Safety and Risk V; ISO Press: Amsterdam, The Netherlands, 2015; pp. 394–399. [Google Scholar]
- Shibata, T.; Murakami, A.; Fujii, M. Prediction of embankment behavior of regulating reservoir with foundation im-proved by vacuum consolidation method. Soils Found. 2014, 54, 938–954. [Google Scholar] [CrossRef]
- Goldstein, E.B.; Coco, G. A machine learning approach for the prediction of settling velocity. Water Resour. Res. 2014, 50, 3595–3601. [Google Scholar] [CrossRef]
- Wei, X.; Li, C.; Huang, W.; Gu, J.; Liu, J.; Zhu, M. Sediment-carrying capacity prediction using extreme learning machine. IOP Conf. Series Earth Environ. Sci. 2019, 304, 042006. [Google Scholar] [CrossRef]
- Jamei, M.; Ahmadianfar, I. Prediction of scour depth at piers with debris accumulation effects using linear genetic pro-gramming. Mar. Georesour. Geotechnol. 2019, 38, 468–479. [Google Scholar] [CrossRef]
- Moradi, F.; Bonakdari, H.; Kisi, O.; Ebtehaj, I.; Shiri, J.; Gharabaghi, B. Abutment scour depth modeling using neuro-fuzzy-embedded techniques. Mar. Georesour. Geotechnol. 2018, 37, 190–200. [Google Scholar] [CrossRef]
- Wei, X.; Lu, Y.; Wang, Z.; Liu, X.; Mo, S. A Machine Learning Approach to Evaluating the Damage Level of Tooth-Shape Spur Dikes. Water 2018, 10, 1680. [Google Scholar] [CrossRef]
- Kaloop, M.R.; Rabah, M.; Hu, J.W.; Zaki, A. Using advanced soft computing techniques for regional shoreline geoid model estimation and evaluation. Mar. Georesour. Geotechnol. 2017, 36, 688–697. [Google Scholar] [CrossRef]
- Najafzadeh, M.; Tafarojnoruz, A.; Lim, S.Y. Prediction of local scour depth downstream of sluice gates using da-ta-driven models. ISH J. Hydraul. Eng. 2017, 23, 195–202. [Google Scholar] [CrossRef]
- Najafzadeh, M.; Rezaie Balf, M.; Tafarojnoruz, A. Prediction of riprap stone size under overtopping flow using da-ta-driven models. Int. J. River Basin Manag. 2018, 16, 505–512. [Google Scholar] [CrossRef]
- Najafzadeh, M.; Tafarojnoruz, A. Evaluation of neuro-fuzzy GMDH-based particle swarm optimization to predict lon-gitudinal dispersion coefficient in rivers. Environ. Earth Sci. 2016, 75, 157. [Google Scholar] [CrossRef]
- Samui, P. Support vector machine applied to settlement of shallow foundations on cohesionless soils. Comput. Geotech. 2008, 35, 419–427. [Google Scholar] [CrossRef]
- Kirts, S.; Nam, B.H.; Panagopoulos, O.P.; Xanthopoulos, P. Settlement Prediction Using Support Vector Machine (SVM)-Based Compressibility Models: A Case Study. Int. J. Civ. Eng. 2019, 17, 1547–1557. [Google Scholar] [CrossRef]
- Wang, F.; Gou, B.; Qin, Y. Modeling tunneling-induced ground surface settlement development using a wavelet smooth relevance vector machine. Comput. Geotech. 2013, 54, 125–132. [Google Scholar] [CrossRef]
- Pourtaghi, A.; Lotfollahi-Yaghin, M. Wavenet ability assessment in comparison to ANN for predicting the maximum surface settlement caused by tunneling. Tunn. Undergr. Space Technol. 2012, 28, 257–271. [Google Scholar] [CrossRef]
- Huang, G.-B.; Zhu, Q.-Y.; Siew, C.-K. Extreme learning machine: A new learning scheme of feedforward neural networks. In Proceedings of the 2004 IEEE International Joint Conference on Neural Networks (IEEE Cat. No.04CH37541), Budapest, Hungary, 25–29 July 2004; Volume 2, pp. 985–990. [Google Scholar]
- Rong, H.-J.; Ong, Y.-S.; Tan, A.-H.; Zhu, Z. A fast pruned-extreme learning machine for classification problem. Neurocomputing 2008, 72, 359–366. [Google Scholar] [CrossRef]
- Huang, G.-B.; Ding, X.; Zhou, H. Optimization method based extreme learning machine for classification. Neurocomputing 2010, 74, 155–163. [Google Scholar] [CrossRef]
- Pal, M.; Maxwell, A.E.; Warner, T.A. Kernel-based extreme learning machine for remote-sensing image classification. Remote Sens. Lett. 2013, 4, 853–862. [Google Scholar] [CrossRef]
- Li, W.; Chen, C.; Su, H.; Du, Q. Local Binary Patterns and Extreme Learning Machine for Hyperspectral Imagery Classi-fication. IEEE Trans. Geosci. Remote Sens. 2015, 53, 3681–3693. [Google Scholar] [CrossRef]
- Lian, C.; Zeng, Z.; Yao, W.; Tang, H. Ensemble of extreme learning machine for landslide displacement prediction based on time series analysis. Neural Comput. Appl. 2014, 24, 99–107. [Google Scholar] [CrossRef]
- Abdullah, S.S.; Malek, M.A.; Abdullah, N.S.; Kisi, O.; Yap, K.S. Extreme Learning Machines: A new approach for prediction of ref-erence evapotranspiration. J. Hydrol. 2015, 527, 184–195. [Google Scholar] [CrossRef]
- Deo, R.C.; Şahin, M. Application of the extreme learning machine algorithm for the prediction of monthly Effective Drought Index in eastern Australia. Atmos. Res. 2015, 153, 512–525. [Google Scholar] [CrossRef]
- Ćojbašić, Ž.; Petković, D.; Shamshirband, S.; Tong, C.W.; Ch, S.; Janković, P.; Dučić, N.; Baralić, J. Surface roughness prediction by extreme learning machine construct-ed with abrasive water jet. Precis. Eng. 2016, 43, 86–92. [Google Scholar] [CrossRef]
- Huang, G.-B.; Zhu, Q.-Y.; Siew, C.-K. Extreme learning machine: Theory and applications. Neurocomputing 2006, 70, 489–501. [Google Scholar] [CrossRef]
- Bian, W. Monitoring technique of layered settlement in underwater soft soil foundation of Manyusha beach protection embankment project downstream the Yangtze River. Port Waterw. Eng. 2016, 11, 1–7. [Google Scholar]
- Huang, G.; Huang, G.B.; Song, S.; You, K. Trends in extreme learning machines: A review. Neural Netw. 2015, 61, 32–48. [Google Scholar] [CrossRef]
- Zhang, M.; Li, J.J.; Qin, C.K. Analysis and discussion on post-construction settlement of soft soil foundation treatment test section of highway. In IOP Conference Series: Earth and Environmental Science; IOP Publishing: Bristol, UK, 2017; Volume 81, p. 012151. [Google Scholar]











| Researcher | Method | Method Evaluation |
|---|---|---|
| Zhang and Zheng [3] | Empirical logarithmic curve and hyperbola method | Low prediction accuracy for future trends |
| Yafei Zheng et al. [5] | Pareto multi-objective optimization | |
| Toshifumi Shibata [6] | Elasto-plastic FEM | 2D settlement process simulation model, complex model building process |
| Samui [16] | Support Vector Machine | Many input parameters need to be optimized during the learning process |
| Scott Kirts et al. [17] | Support Vector Machine | |
| Wang, Gou and Qin [18] | Wavelet smooth relevance vector machine | |
| A. Pourtaghi et al. [19] | Artificial Neural Network |
| Model | Inputs | Number of Hidden Neurons | Output | Structure of the Model |
|---|---|---|---|---|
| M5 | , | 5 | Z | 3 × 5 × 1 |
| M10 | , | 10 | Z | 3 × 10 × 1 |
| M15 | , | 15 | Z | 3 × 15 × 1 |
| Ballast Days | Measured mm | M5 | M10 | M15 | |||
|---|---|---|---|---|---|---|---|
| Prediction mm | Error % | Prediction mm | Error % | Prediction mm | Error % | ||
| 33 | 7.75 | 7.75 | 0.06 | 7.75 | 0.04 | 7.75 | −0.01 |
| 37 | 8.57 | 8.49 | −1.01 | 8.57 | −0.04 | 8.57 | 0.00 |
| 43 | 8.85 | 8.78 | −0.77 | 8.85 | 0.01 | 8.85 | −0.01 |
| 46 | 9.02 | 8.98 | −0.46 | 9.02 | 0.00 | 9.02 | 0.00 |
| 49 | 9.20 | 9.51 | 3.47 | 9.20 | 0.01 | 9.19 | −0.01 |
| 54 | 10.47 | 10.34 | −1.26 | 10.45 | −0.16 | 10.47 | 0.00 |
| 58 | 10.95 | 11.06 | 0.97 | 10.97 | 0.20 | 10.95 | −0.01 |
| 64 | 11.33 | 11.51 | 1.54 | 11.38 | 0.41 | 11.33 | −0.01 |
| 69 | 11.85 | 11.73 | −1.00 | 11.91 | 0.49 | 11.85 | −0.02 |
| 72 | 12.06 | 11.93 | −1.02 | 11.98 | −0.59 | 12.06 | 0.01 |
| 76 | 12.19 | 12.18 | −0.09 | 12.25 | 0.46 | 12.19 | −0.03 |
| 83 | 12.71 | 12.59 | −0.93 | 12.63 | −0.62 | 12.72 | 0.06 |
| 90 | 12.92 | 12.94 | 0.16 | 12.88 | −0.30 | 12.92 | 0.00 |
| 100 | 13.30 | 13.28 | −0.17 | 13.24 | −0.42 | 13.29 | −0.06 |
| 124 | 13.75 | 13.86 | 0.77 | 13.75 | 0.01 | 13.75 | 0.00 |
| 132 | 13.82 | 13.92 | 0.75 | 13.93 | 0.79 | 13.82 | −0.02 |
| 143 | 14.03 | 14.05 | 0.15 | 14.09 | 0.41 | 14.04 | 0.09 |
| 150 | 14.24 | 14.11 | −0.89 | 14.16 | −0.54 | 14.23 | −0.07 |
| 158 | 14.41 | 14.17 | −1.69 | 14.24 | −1.17 | 14.39 | −0.11 |
| 165 | 14.52 | 14.21 | −2.12 | 14.30 | −1.48 | 14.55 | 0.23 |
| Method | Final Settlement (mm) |
|---|---|
| three-point method | 15.08 |
| Asaoka’s method | 15.30 |
| hyperbolic method | 20.09 |
| M15 | 17.08 |
Publisher’s Note: MDPI stays neutral with regard to jurisdictional claims in published maps and institutional affiliations. |
© 2021 by the authors. Licensee MDPI, Basel, Switzerland. This article is an open access article distributed under the terms and conditions of the Creative Commons Attribution (CC BY) license (http://creativecommons.org/licenses/by/4.0/).
Share and Cite
Zhu, M.; Li, S.; Wei, X.; Wang, P. Prediction and Stability Assessment of Soft Foundation Settlement of the Fishbone-Shaped Dike Near the Estuary of the Yangtze River Using Machine Learning Methods. Sustainability 2021, 13, 3744. https://doi.org/10.3390/su13073744
Zhu M, Li S, Wei X, Wang P. Prediction and Stability Assessment of Soft Foundation Settlement of the Fishbone-Shaped Dike Near the Estuary of the Yangtze River Using Machine Learning Methods. Sustainability. 2021; 13(7):3744. https://doi.org/10.3390/su13073744
Chicago/Turabian StyleZhu, Mingcheng, Shouqian Li, Xianglong Wei, and Peng Wang. 2021. "Prediction and Stability Assessment of Soft Foundation Settlement of the Fishbone-Shaped Dike Near the Estuary of the Yangtze River Using Machine Learning Methods" Sustainability 13, no. 7: 3744. https://doi.org/10.3390/su13073744
APA StyleZhu, M., Li, S., Wei, X., & Wang, P. (2021). Prediction and Stability Assessment of Soft Foundation Settlement of the Fishbone-Shaped Dike Near the Estuary of the Yangtze River Using Machine Learning Methods. Sustainability, 13(7), 3744. https://doi.org/10.3390/su13073744

