Activation of Nano Kaolin Clay for Bio-Glycerol Conversion to a Valuable Fuel Additive
Abstract
1. Introduction
2. Experimental
2.1. Materials
2.2. Methodology
2.2.1. Activation of Kaolin Clay
2.2.2. Catalyst Characterization
FTIR
XRD
FESEM
Brunauer-Emmett-Teller Isotherm (BET)
2.2.3. Synthesis and Analysis of Solketal
3. Results and Discussion
3.1. Surface Chemistry Analysis
3.2. Morphology of Raw Kaolin and Acid Activated Metakaolin
3.3. Mineral Composition
3.4. BET Surface Area and Pore Volume
3.5. Catalytic Test
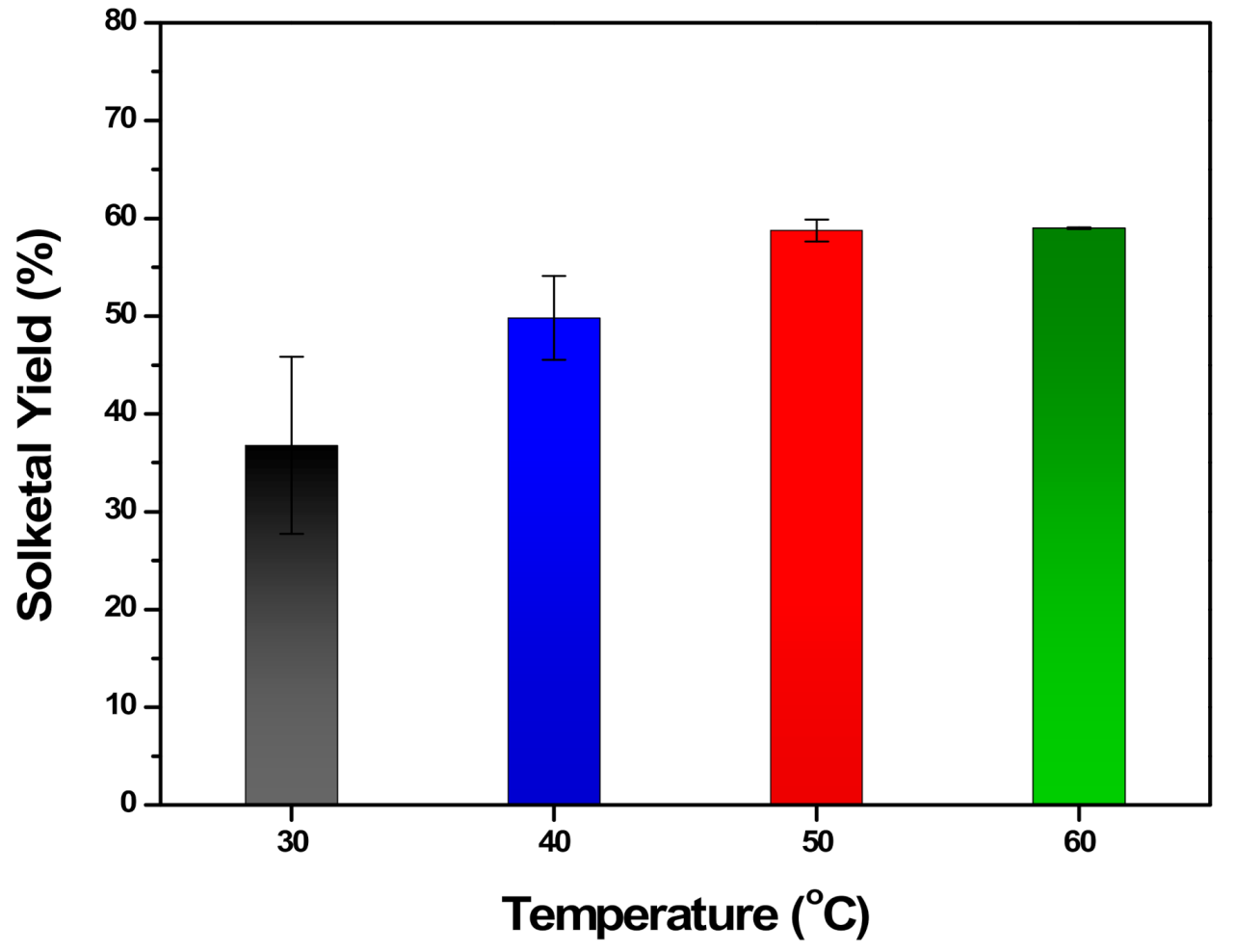
3.6. Optimization of Solketal Synthesis
4. Conclusions
Author Contributions
Funding
Institutional Review Board Statement
Informed Consent Statement
Data Availability Statement
Acknowledgments
Conflicts of Interest
References
- Ayoub, M.; Abdullah, A.Z. Critical review on the current scenario and significance of crude glycerol resulting from biodiesel industry towards more sustainable renewable energy industry. Renew. Sustain. Energy Rev. 2012, 16, 2671–2686. [Google Scholar] [CrossRef]
- Hamza, M.; Ayoub, M.; Bin Shamsuddin, R.; Mukhtar, A.; Saqib, S.; Zahid, I.; Ameen, M.; Ullah, S.; Al-Sehemi, A.G.; Ibrahim, M. A review on the waste biomass derived catalysts for biodiesel production. Environ. Technol. Innov. 2020, 101200. [Google Scholar] [CrossRef]
- Rezania, S.; Oryani, B.; Park, J.; Hashemi, B.; Yadav, K.K.; Kwon, E.E.; Hur, J.; Cho, J. Review on transesterification of non-edible sources for biodiesel production with a focus on economic aspects, fuel properties and by-product applications. Energy Conv. Manag. 2019, 201, 112155. [Google Scholar] [CrossRef]
- Sun, F.; Chen, H. Organosolv pretreatment by crude glycerol from oleochemicals industry for enzymatic hydrolysis of wheat straw. Bioresour. Technol. 2008, 99, 5474–5479. [Google Scholar] [CrossRef]
- Bozkurt, Ö.D.; Tunç, F.M.; Bağlar, N.; Çelebi, S.; Günbaş, I.D.; Uzun, A. Alternative fuel additives from glycerol by etherification with isobutene: Structure–performance relationships in solid catalysts. Fuel Process. Technol. 2015, 138, 780–804. [Google Scholar] [CrossRef]
- Clarkson, J.S.; Walker, A.J.; Wood, M.A. Continuous Reactor Technology for Ketal Formation: An Improved Synthesis of Solketal. Org. Process. Res. Dev. 2001, 5, 630–635. [Google Scholar] [CrossRef]
- Vicente, G.; Melero, J.A.; Morales, G.; Paniagua, M.; Martín, E. Acetalisation of bio-glycerol with acetone to produce solketal over sulfonic mesostructured silicas. Green Chem. 2010, 12, 899–907. [Google Scholar] [CrossRef]
- Zulqarnain; Ayoub, M.; Yusoff, M.H.M.; Nazir, M.H.; Zahid, I.; Ameen, M.; Sher, F.; Floresyona, D.; Budi Nursanto, E. A Comprehensive Review on Oil Extraction and Biodiesel Production Technologies. Sustainability 2021, 13, 788. [Google Scholar] [CrossRef]
- Li, L.; Korányi, T.I.; Sels, B.F.; Pescarmona, P.P. Highly-efficient conversion of glycerol to solketal over heterogeneous Lewis acid catalysts. Green Chem. 2012, 14, 1611–1619. [Google Scholar] [CrossRef]
- Ayoub, M.; Abdullah, A.Z. LiOH-modified montmorillonite K-10 as catalyst for selective glycerol etherification to diglycerol. Catal. Commun. 2013, 34, 22–25. [Google Scholar] [CrossRef]
- Zhang, X.; Cui, G.; Feng, H.; Chen, L.; Wang, H.; Wang, B.; Zheng, L.; Hong, S.; Wei, M. Platinum–copper single atom alloy catalysts with high performance towards glycerol hydrogenolysis. Nat. Commun. 2019, 10, 1–12. [Google Scholar] [CrossRef] [PubMed]
- Ilham, Z.; Saka, S. Esterification of glycerol from biodiesel production to glycerol carbonate in non-catalytic supercritical dimethyl carbonate. SpringerPlus 2016, 5, 923. [Google Scholar] [CrossRef] [PubMed]
- Park, C.-Y.; Nguyen-Phu, H.; Shin, E.W. Glycerol carbonation with CO2 and La2O2CO3/ZnO catalysts prepared by two different methods: Preferred reaction route depending on crystalline structure. Mol. Catal. 2017, 435, 99–109. [Google Scholar] [CrossRef]
- Dodekatos, G.; Schünemann, S.; Tüysüz, H. Recent Advances in Thermo-, Photo-, and Electrocatalytic Glycerol Oxidation. ACS Catal. 2018, 8, 6301–6333. [Google Scholar] [CrossRef]
- Liu, J.; Daoutidis, P.; Yang, B. Process design and optimization for etherification of glycerol with isobutene. Chem. Eng. Sci. 2016, 144, 326–335. [Google Scholar] [CrossRef]
- Ayoub, M.; Abdullah, A.Z. Diglycerol synthesis via solvent-free selective glycerol etherification process over lithium-modified clay catalyst. Chem. Eng. J. 2013, 225, 784–789. [Google Scholar] [CrossRef]
- Talebian-Kiakalaieh, A.; Tarighi, S. Hierarchical faujasite zeolite-supported heteropoly acid catalyst for acetalization of crude-glycerol to fuel additives. J. Indust. Eng. Chem. 2019, 79, 452–464. [Google Scholar] [CrossRef]
- Crotti, C.; Farnetti, E.; Guidolin, N. Alternative intermediates for glycerol valorization: Iridium-catalyzed formation of acetals and ketals. Green Chem. 2010, 12, 2225–2231. [Google Scholar] [CrossRef]
- Maksimov, A.L.; Nekhaev, A.I.; Ramazanov, D.N.; Arinicheva, Y.A.; Dzyubenko, A.A.; Khadzhiev, S.N. Preparation of high-octane oxygenate fuel components from plant-derived polyols. Pet. Chem. 2011, 51, 61–69. [Google Scholar] [CrossRef]
- da Silva, C.X.; Gonçalves, V.L.; Mota, C.J. Water-tolerant zeolite catalyst for the acetalisation of glycerol. Green Chem. 2009, 11, 38–41. [Google Scholar] [CrossRef]
- Mallesham, B.; Sudarsanam, P.; Raju, G.; Reddy, B.M. Design of highly efficient Mo and W-promoted SnO2solid acids for heterogeneous catalysis: Acetalization of bio-glycerol. Green Chem. 2013, 15, 478–489. [Google Scholar] [CrossRef]
- Stawicka, K.; Díaz-Álvarez, A.E.; Calvino-Casilda, V.; Trejda, M.; Banares, M.A.; Ziolek, M. The Role of Brønsted and Lewis Acid Sites in Acetalization of Glycerol over Modified Mesoporous Cellular Foams. J. Phys. Chem. C 2016, 120, 16699–16711. [Google Scholar] [CrossRef]
- Timofeeva, M.N.; Panchenko, V.N.; Volcho, K.P.; Zakusin, S.V.; Krupskaya, V.; Gil, A.; Mikhalchenko, O.S.; Vicente, M. Ángel Effect of acid modification of kaolin and metakaolin on Brønsted acidity and catalytic properties in the synthesis of octahydro-2H-chromen-4-ol from vanillin and isopulegol. J. Mol. Catal. A Chem. 2016, 414, 160–166. [Google Scholar] [CrossRef]
- Aragaw, T.A. The Effect of Mechanical Treatment and Calcination Temperature of Ethiopian Kaolin on Amorphous Metakaolin Product. In International Conference on Advances of Science and Technology; Springer: Cham, Switzerland, 2020; pp. 662–671. [Google Scholar]
- Torres-Luna, J.A.; Carriazo, J.G. Porous aluminosilicic solids obtained by thermal-acid modification of a commercial kaolinite-type natural clay. Solid State Sci. 2019, 88, 29–35. [Google Scholar] [CrossRef]
- Ullah, S.; Ahmad, F.; Shariff, A.M.; Bustam, M.A. Synergistic effects of kaolin clay on intumescent fire retardant coating composition for fire protection of structural steel substrate. Polym. Degrad. Stab. 2014, 110, 91–103. [Google Scholar] [CrossRef]
- Timofeeva, M.N.; Panchenko, V.N.; Gil, A.; Zakusin, S.V.; Krupskaya, V.; Volcho, K.P.; Vicente, M. Ángel Effect of structure and acidity of acid modified clay materials on synthesis of octahydro-2H-chromen-4-ol from vanillin and isopulegol. Catal. Commun. 2015, 69, 234–238. [Google Scholar] [CrossRef]
- Kowalska-Kus, J.; Held, A.; Frankowski, M.; Nowinska, K. Solketal formation from glycerol and acetone over hierarchical zeolites of different structure as catalysts. J. Mol. Catal. A Chem. 2017, 426, 205–212. [Google Scholar] [CrossRef]
- Nanda, M.; Yuan, Z.; Qin, W.; Poirier, M.; Chunbao, X. Purification of crude glycerol using acidification: Effects of acid types and product characterization. Austin J. Chem. Eng. 2014, 1, 1–7. [Google Scholar]
- Alaba, P.A.; Sani, Y.M.; Daud, W.M.A.W. Kaolinite properties and advances for solid acid and basic catalyst synthesis. RSC Adv. 2015, 5, 101127–101147. [Google Scholar] [CrossRef]
- Fatimah, I.; Sahroni, I.; Fadillah, G.; Musawwa, M.M.; Mahlia, T.M.I.; Muraza, O. Glycerol to Solketal for Fuel Additive: Recent Progress in Heterogeneous Catalysts. Energies 2019, 12, 2872. [Google Scholar] [CrossRef]
- Nanda, M.R.; Yuan, Z.; Qin, W.; Ghaziaskar, H.S.; Poirier, M.-A.; Xu, C.C. Thermodynamic and kinetic studies of a catalytic process to convert glycerol into solketal as an oxygenated fuel additive. Fuel 2014, 117, 470–477. [Google Scholar] [CrossRef]
- Garcia-Valles, M.; Alfonso, P.; Martínez, S.; Roca, N. Mineralogical and thermal characterization of kaolinitic clays from Terra Alta (Catalonia, Spain). Minerals 2020, 10, 142. [Google Scholar] [CrossRef]
- Duarte-Silva, R.; García, M.; Ángeles, V.; Rendueles, M.; Diaz, M. Structural, textural and protein adsorption properties of kaolinite and surface modified kaolinite adsorbents. Appl. Clay Sci. 2014, 90, 73–80. [Google Scholar] [CrossRef]
- Zhang, C.; Zhang, Z.-J.; Tan, Y.; Zhong, M. The effect of citric acid on the kaolin activation and mullite formation. Ceram. Int. 2017, 43, 1466–1471. [Google Scholar] [CrossRef]
- Tunde, A.A. Adsorption of ciprofloxacin HCl from aqueous solution using activated kaolin. World Sci. News 2020, 145, 62–73. [Google Scholar]
- Kumar, S.; Panda, A.K.; Singh, R. Preparation and characterization of acids and alkali treated kaolin clay. Bull. Chem. React. Eng. Catal. 2013, 8, 61–69. [Google Scholar] [CrossRef]
- Safitri, L.E.; Zuryati, U.K.; Rohma, H.N.; Ni’Mah, Y.L.; Prasetyoko, D. Synthesis zeolite y from kaolin bangka belitung: Activation of metakaolin with various concentration of sulfuric acid. J. Phys. Conf. Ser. 2020, 1567, 032099. [Google Scholar] [CrossRef]
- Hu, P.; Yang, H. Insight into the physicochemical aspects of kaolins with different morphologies. Appl. Clay Sci. 2013, 74, 58–65. [Google Scholar] [CrossRef]
- Belver, C.; Muñoz, A.M.A.B.; Vicente, M.A. Chemical Activation of a Kaolinite under Acid and Alkaline Conditions. Chem. Mater. 2002, 14, 2033–2043. [Google Scholar] [CrossRef]
- Panda, A.K.; Mishra, B.; Mishra, D.; Singh, R. Effect of sulphuric acid treatment on the physico-chemical characteristics of kaolin clay. Colloids Surf. A Physicochem. Eng. Asp. 2010, 363, 98–104. [Google Scholar] [CrossRef]
- Masuda, H.; Higashitani, K.; Yoshida, H. Powder Technology: Fundamentals of Particles, Powder Beds, and Particle Generation; CRC Press: Boca Raton, FL, USA, 2006. [Google Scholar]
- Lambert, J.F.; Millman, W.S.; Fripiat, J.J. Revisiting kaolinite dehydroxylation: A silicon-29 and aluminum-27 MAS NMR study. J. Am. Chem. Soc. 1989, 111, 3517–3522. [Google Scholar] [CrossRef]
- Centi, G.; Perathoner, S. Catalysis by layered materials: A review. Microporous Mesoporous Mater. 2008, 107, 3–15. [Google Scholar] [CrossRef]
- Nuntiya, A.; Prasanphan, S. The rheological behavior of kaolin suspensions. Chiang Mai J. Sci. 2006, 33, 271–281. [Google Scholar]
- Dudkin, N.; Loukhina, I.V.; Avvakumov, E.G.; Isupov, V.P. Application of mechnochemical treatment of disintegration of kaolinite with sulphuric acid. Chem. Sustain. Dev. 2004, 12, 327–330. [Google Scholar]
- Gao, W.; Zhao, S.; Wu, H.; Deligeer, W.; Asuha, S. Direct acid activation of kaolinite and its effects on the adsorption of methylene blue. Appl. Clay Sci. 2016, 126, 98–106. [Google Scholar] [CrossRef]
- Zahid, I.; Ayoub, M.; Abdullah, B.B.; Nazir, M.H.; Ameen, M.; Zulqarnain; Yusoff, M.H.M.; Inayat, A.; Danish, M. Production of Fuel Additive Solketal via Catalytic Conversion of Biodiesel-Derived Glycerol. Ind. Eng. Chem. Res. 2020, 59, 20961–20978. [Google Scholar] [CrossRef]
- Tang, A.; Su, L.; Li, C.; Wei, W. Effect of mechanical activation on acid-leaching of kaolin residue. Appl. Clay Sci. 2010, 48, 296–299. [Google Scholar] [CrossRef]
- Nanda, M.R.; Yuan, Z.; Qin, W.; Ghaziaskar, H.S.; Poirier, M.-A.; Xu, C.C. A new continuous-flow process for catalytic conversion of glycerol to oxygenated fuel additive: Catalyst screening. Appl. Energy 2014, 123, 75–81. [Google Scholar] [CrossRef]
- Nanda, M.R.; Yuan, Z.; Qin, W.; Ghaziaskar, H.S.; Poirier, M.-A.; Xu, C.C. Catalytic conversion of glycerol to oxygenated fuel additive in a continuous flow reactor: Process optimization. Fuel 2014, 128, 113–119. [Google Scholar] [CrossRef]
- Reichardt, C.; Welton, T. Solvents and Solvent Effects in Organic Chemistry; Wiley: Hoboken, NJ, USA, 2010; p. 5. [Google Scholar]
- Timofeeva, M.N.; Panchenko, V.N.; Krupskaya, V.; Gil, A.; Vicente, M. Ángel Effect of nitric acid modification of montmorillonite clay on synthesis of solketal from glycerol and acetone. Catal. Commun. 2017, 90, 65–69. [Google Scholar] [CrossRef]










| Catalyst | Raw Kaolin (RK) |
|---|---|
| Average particle size (μ) | 1.0–1.5 |
| Surface area (m2/g) | 12.49 |
| pH | 4.00 |
| Kaolin Samples | Surface Area (m2/g) | Pore Size (nm) | Pore Volume (cm3/g) |
|---|---|---|---|
| RK | 12.49 | 11.95 | 0.06 |
| K1 | 68.59 | 14.57 | 0.08 |
| K3 | 100.64 | 16.09 | 0.09 |
| K5 | 23.41 | 20.89 | 0.05 |
| K7 | 16.84 | 22.51 | 0.07 |
Publisher’s Note: MDPI stays neutral with regard to jurisdictional claims in published maps and institutional affiliations. |
© 2021 by the authors. Licensee MDPI, Basel, Switzerland. This article is an open access article distributed under the terms and conditions of the Creative Commons Attribution (CC BY) license (http://creativecommons.org/licenses/by/4.0/).
Share and Cite
Zahid, I.; Ayoub, M.; Abdullah, B.B.; Nazir, M.H.; Zulqarnain; Kaimkhani, M.A.; Sher, F. Activation of Nano Kaolin Clay for Bio-Glycerol Conversion to a Valuable Fuel Additive. Sustainability 2021, 13, 2631. https://doi.org/10.3390/su13052631
Zahid I, Ayoub M, Abdullah BB, Nazir MH, Zulqarnain, Kaimkhani MA, Sher F. Activation of Nano Kaolin Clay for Bio-Glycerol Conversion to a Valuable Fuel Additive. Sustainability. 2021; 13(5):2631. https://doi.org/10.3390/su13052631
Chicago/Turabian StyleZahid, Imtisal, Muhammad Ayoub, Bawadi Bin Abdullah, Muhammad Hamza Nazir, Zulqarnain, Mariam Ameen Kaimkhani, and Farooq Sher. 2021. "Activation of Nano Kaolin Clay for Bio-Glycerol Conversion to a Valuable Fuel Additive" Sustainability 13, no. 5: 2631. https://doi.org/10.3390/su13052631
APA StyleZahid, I., Ayoub, M., Abdullah, B. B., Nazir, M. H., Zulqarnain, Kaimkhani, M. A., & Sher, F. (2021). Activation of Nano Kaolin Clay for Bio-Glycerol Conversion to a Valuable Fuel Additive. Sustainability, 13(5), 2631. https://doi.org/10.3390/su13052631

