Source-Based Argumentation as a Form of Sustainable Academic Skill: An Exploratory Study Comparing Secondary School Students’ L1 and L2 Writing
Abstract
:1. Introduction
2. Literature Review
2.1. Establishing a Good Written Argument
2.2. Source-Based Argumentative Writing
2.3. Eye-Tracking in Writing Process Research
- What are the differences in argumentative structure in L1 and L2 source-based writing?
- What are the differences in source use between L1 and L2 source-based writing and to what extent do the source data support the claims?
- What is the role of source texts and other influential factors identified in the L1 and L2 written argumentation processes?
3. Methodology
3.1. Participants
3.2. Instruments and Onscreen Source-Based Writing Tasks
3.3. Data Collection
3.4. Data Analysis
3.4.1. Analyzing Students’ Source-Based Argumentation in L1 and L2 Texts
3.4.2. Comparing Typical Argumentation Performance in L1 and L2 Source-Based Writing
4. Results
4.1. General Argumentation Performance in L1 and L2 Source-Based Writing
4.1.1. Argument Structure of L1 and L2 Source-Based Writing Texts
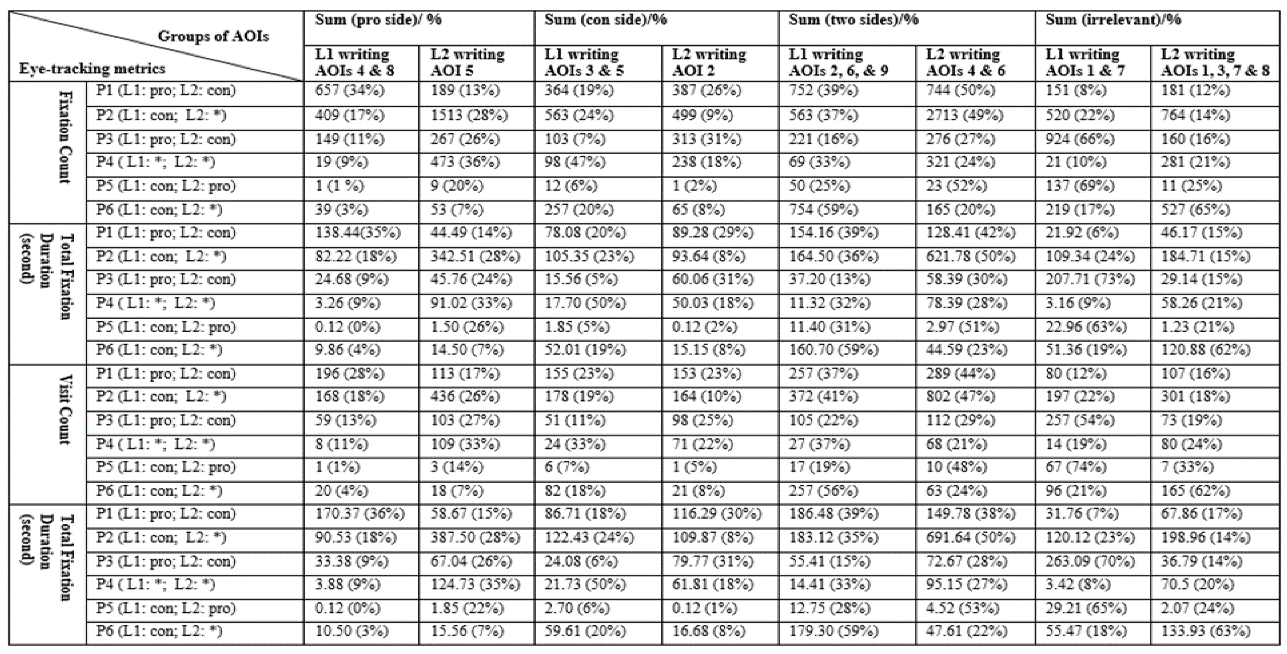
4.1.2. Use of Sources as Data in L1 and L2 Argumentative Writing
4.1.3. Reasoning Quality of L1 and L2 Argumentative Writing Texts
4.2. Factors That Shaped the Similar and Different Source-Based Argumentation in L1 and L2 Writing
5. Discussion and Implications
6. Conclusions and Limitation
Author Contributions
Funding
Institutional Review Board Statement
Informed Consent Statement
Data Availability Statement
Conflicts of Interest
Appendix A
| Argument Elements | Illustrative Excerpts |
|---|---|
| Claim | I agree with the view that teenagers are not allowed to take organ donation and transplant. |
| Data | The donors will be confronted with health risks since no surgical procedure is 100% safe. |
| Counterargument claim | Teens who are about 18 years old should be given the right to be a liver donor for their dying parents. |
| Counterargument data | The seventeen-year-old Hong Kong teen Michelle is willing to try all means to save her dying mother who is suffering from acute liver failure. |
| Rebuttal claim | Although underaged people are willing to donate their organs, it is inevitable that they will encounter with more health risks. |
| Rebuttal data | As the news says, organ transplant will bring the risks of infection from the surgery and then hurt the immune system. |
Appendix B

References
- Ferretti, R.P.; Graham, S. Argumentative writing: Theory, assessment, and instruction. Read. Writ. 2019, 32, 1345–1357. [Google Scholar] [CrossRef] [Green Version]
- Rapanta, C.; Garcia-Mila, M.; Gilabert, S. What Is Meant by Argumentative Competence? An Integrative Review of Methods of Analysis and Assessment in Education. Rev. Educ. Res. 2013, 83, 483–520. [Google Scholar] [CrossRef] [Green Version]
- Stapleton, P.; Wu, Y. (Amy) Assessing the quality of arguments in students’ persuasive writing: A case study analyzing the relationship between surface structure and substance. J. Engl. Acad. Purp. 2015, 17, 12–23. [Google Scholar] [CrossRef]
- Wolfe, C.R. Individual Differences in the “Myside Bias” in Reasoning and Written Argumentation. Writ. Commun. 2012, 29, 477–501. [Google Scholar] [CrossRef] [Green Version]
- Ferretti, R.P.; Fan, Y. Argumentative writing. In Handbook of Writing Research; MacArthur, C.A., Graham, S., Fitzgerald, J., Eds.; The Guilford Press: New York, NY, USA, 2016; pp. 301–315. [Google Scholar]
- Graham, S.; Rijlaarsdam, G. Writing education around the globe: Introduction and call for a new global analysis. Read. Writ. 2016, 29, 781–792. [Google Scholar] [CrossRef]
- Toplak, M.E.; Stanovich, K.E. Associations between myside bias on an informal reasoning task and amount of post-secondary education. Appl. Cogn. Psychol. 2003, 17, 851–860. [Google Scholar] [CrossRef]
- Liu, F.; Stapleton, P. Counterargumentation and the cultivation of critical thinking in argumentative writing: Investigating washback from a high-stakes test. System 2014, 45, 117–128. [Google Scholar] [CrossRef]
- Van Eemeren, F.H.; Grootendorst, R.; Johnson, R.H.; Plantin, C.; Willard, C.A. Fundamentals of Argumentation Theory: A Handbook of Historical Backgrounds and Contemporary Developments; Routledge: New York, NY, USA, 2013. [Google Scholar]
- Cumming, A.; Lai, C.; Cho, H. Students’ writing from sources for academic purposes: A synthesis of recent research. J. Engl. Acad. Purp. 2016, 23, 47–58. [Google Scholar] [CrossRef]
- Read, J. Providing relevant content in an EAP writing test. Engl. Specif. Purp. 1990, 9, 109–121. [Google Scholar] [CrossRef]
- McNamara, D.S.; Crossley, S.A.; McCarthy, P.M. Linguistic Features of Writing Quality. Writ. Commun. 2009, 27, 57–86. [Google Scholar] [CrossRef] [Green Version]
- Hirose, K. Comparing L1 and L2 organizational patterns in the argumentative writing of Japanese EFL students. J. Second. Lang. Writ. 2003, 12, 181–209. [Google Scholar] [CrossRef]
- Uysal, H.H. Tracing the culture behind writing: Rhetorical patterns and bidirectional transfer in L1 and L2 essays of Turkish writers in relation to educational context. J. Second. Lang. Writ. 2008, 17, 183–207. [Google Scholar] [CrossRef]
- De La Paz, S.; Ferretti, R.; Wissinger, D.; Yee, L.; MacArthur, C. Adolescents’ Disciplinary Use of Evidence, Argumentative Strategies, and Organizational Structure in Writing About Historical Controversies. Writ. Commun. 2012, 29, 412–454. [Google Scholar] [CrossRef] [Green Version]
- Luna, M.; Villalon, R.; Mateos, M.; Martin, E. Improving university argumentative writing through online training. J. Writ. Res. 2020, 12, 233–262. [Google Scholar] [CrossRef]
- Latif, M.M.A. Eye-tracking in recent L2 learner process research: A review of areas, issues, and methodological approaches. System 2019, 83, 25–35. [Google Scholar] [CrossRef]
- Godfroid, A.; Winke, P.; Conklin, K. Exploring the depths of second language processing with eye tracking: An introduction. Second. Lang. Res. 2020, 36, 243–255. [Google Scholar] [CrossRef]
- Van Eemeren, F.H.; Grootendorst, R. A Systematic Theory of Argumentation: The Pragma-Dialectical Approach; Cambridge University Press: Cambridge, UK, 2004. [Google Scholar]
- Zhang, T.; Zhang, L.J. Taking Stock of a Genre-Based Pedagogy: Sustaining the Development of EFL Students’ Knowledge of the Elements in Argumentation and Writing Improvement. Sustainability 2021, 13, 11616. [Google Scholar] [CrossRef]
- Clark, D.B.; Sampson, V.D. PersonallySeeded Discussions to Scaffold Online Argumentation. Int. J. Sci. Educ. 2007, 29, 253–277. [Google Scholar] [CrossRef]
- Sampson, V.; Clark, D.B. Assessment of the ways students generate arguments in science education: Current perspectives and recommendations for future directions. Sci. Educ. 2008, 92, 447–472. [Google Scholar] [CrossRef]
- Crammond, J.G. The Uses and Complexity of Argument Structures in Expert and Student Persuasive Writing. Writ. Commun. 1998, 15, 230–268. [Google Scholar] [CrossRef]
- Qin, J.; Karabacak, E. The analysis of Toulmin elements in Chinese EFL university argumentative writing. System 2010, 38, 444–456. [Google Scholar] [CrossRef]
- Leitão, S. Evaluating and Selecting Counterarguments. Writ. Commun. 2003, 20, 269–306. [Google Scholar] [CrossRef]
- Walton, D.N. Dialog Theory for Critical Argumentation; John Benjamins Publishing Company: Amsterdam, The Netherlands, 2007. [Google Scholar]
- Hughes, W.; Lavery, J. Critical Thinking: An Introduction to the Basic Skills, 5th ed.; Broadview Press: Toronto, ON, Canada, 2008. [Google Scholar]
- Means, M.L.; Voss, J.F. Who Reasons Well? Two Studies of Informal Reasoning among Children of Different Grade, Ability, and Knowledge Levels. Cogn. Instr. 1996, 14, 139–178. [Google Scholar] [CrossRef]
- Toulmin, S. The Uses of Argument; Cambridge University Press: Cambridge, UK, 1958. [Google Scholar]
- Toulmin, S. The Uses of Argument, 2nd ed.; Cambridge University Press: Cambridge, UK, 2003. [Google Scholar]
- Rusfandi. Argument-counterargument structure in Indonesian EFL learners’ English argumentative essays: A dialogic concept of writing. RELC. J. 2015, 46, 181–197. [Google Scholar] [CrossRef]
- Abdollahzadeh, E.; Farsani, M.A.; Beikmohammadi, M. Argumentative Writing Behavior of Graduate EFL Learners. Argumentation 2017, 31, 641–661. [Google Scholar] [CrossRef]
- Yeh, S.S. Validation of a scheme for assessing argumentative writing of middle school students. Assess. Writ. 1998, 5, 123–150. [Google Scholar] [CrossRef]
- Cumming, A.; Kantor, R.; Baba, K.; Erdosy, U.; Eouanzoui, K.; James, M. Differences in written discourse in independent and integrated prototype tasks for next generation TOEFL. Assess. Writ. 2005, 10, 5–43. [Google Scholar] [CrossRef]
- Wingate, U. ‘Argument!’ helping students understand what essay writing is about. J. Engl. Acad. Purp. 2012, 11, 145–154. [Google Scholar] [CrossRef]
- Plakans, L.; Gebril, A. A close investigation into source use in integrated second language writing tasks. Assess. Writ. 2012, 17, 18–34. [Google Scholar] [CrossRef]
- Campbell, C. Writing with other’s words: Using background reading texts in academic compositions. In Second Language Writing: Research Insights for the Classroom; Kroll, B., Ed.; Cambridge University Press: Cambridge, UK, 1990; pp. 211–230. [Google Scholar]
- Shi, L. Textual Borrowing in Second-Language Writing. Writ. Commun. 2004, 21, 171–200. [Google Scholar] [CrossRef]
- Doolan, S.M. An exploratory analysis of source integration in post-secondary L1 and L2 source-based writing. Engl. Specif. Purp. 2021, 62, 128–141. [Google Scholar] [CrossRef]
- Ranalli, J.; Feng, H.-H.; Chukharev-Hudilainen, E. Exploring the potential of process-tracing technologies to support assessment for learning of L2 writing. Assess. Writ. 2018, 36, 77–89. [Google Scholar] [CrossRef]
- Barkaoui, K. Think-aloud protocols in research on essay rating: An empirical study of their veridicality and reactivity. Lang. Test. 2011, 28, 51–75. [Google Scholar] [CrossRef]
- Shaw, S.D.; Weir, C.J. Examining Writing: Research and Practice in Assessing Second Language Writing; Cambridge University Press: Cambridge, UK, 2007. [Google Scholar]
- Just, M.A.; Carpenter, P.A. A theory of reading: From eye fixations to comprehension. Psychol. Rev. 1980, 87, 329–354. [Google Scholar] [CrossRef] [PubMed]
- Rayner, K. Eye movements in reading and information processing: 20 years of research. Psychol. Bull. 1998, 124, 372–422. [Google Scholar] [CrossRef]
- Rayner, K. Eye movements in reading: Models and data. J. Eye Mov. Res. 2009, 62, 1457–1506. [Google Scholar] [CrossRef]
- El Ebyary, K.; Windeatt, S. Eye tracking analysis of EAP Students’ regions of interest in computer-based feedback on grammar, usage, mechanics, style and organization and development. System 2019, 83, 36–49. [Google Scholar] [CrossRef]
- Yu, G.; He, L.; Issacs, T. The Cognitive Processes of Taking IELTS Academic Writing Task One: An Eye-tracking Study. 2017. Available online: https://www.ielts.org/-/media/research-reports/ielts_online_rr_2017-2.ashx (accessed on 15 August 2021).
- Howitt, D. Introduction to Qualitative Research Methods in Psychology; Pearson: Harlow, UK, 2016. [Google Scholar]
- Wolfe, C.R.; Britt, M.A.; Butler, J.A. Argumentation Schema and the Myside Bias in Written Argumentation. Writ. Commun. 2009, 26, 183–209. [Google Scholar] [CrossRef] [Green Version]
- Nussbaum, E.M.; Schraw, G. Promoting Argument-Counterargument Integration in Students’ Writing. J. Exp. Educ. 2007, 76, 59–92. [Google Scholar] [CrossRef]
- Ruiz-Funes, M. Task representation in foreign language reading-to-write. Foreign Lang. Ann. 2001, 34, 226–234. [Google Scholar] [CrossRef]
- Kwee, C. I Want to Teach Sustainable Development in My English Classroom: A Case Study of Incorporating Sustainable Development Goals in English Teaching. Sustainability 2021, 13, 4195. [Google Scholar] [CrossRef]
- de Larios, J.R.; Marín, J.; Murphy, L. A Temporal Analysis of Formulation Processes in L1 and L2 Writing. Lang. Learn. 2001, 51, 497–538. [Google Scholar] [CrossRef]
- Currie, P. Staying out of trouble: Apparent plagiarism and academic survival. J. Second. Lang. Writ. 1998, 7, 1–18. [Google Scholar] [CrossRef]
- van Strien, J.L.; Brand-Gruwel, S.; Boshuizen, H. Dealing with conflicting information from multiple nonlinear texts: Effects of prior attitudes. Comput. Hum. Behav. 2014, 32, 101–111. [Google Scholar] [CrossRef]
- Fischer, P.; Greitemeyer, T. A New Look at Selective-Exposure Effects. Curr. Dir. Psychol. Sci. 2010, 19, 384–389. [Google Scholar] [CrossRef]
- MacArthur, C.A.; Graham, S. Writing research from a cognitive perspective. In Handbook of Writing Research; MacArthur, C.A., Graham, S., Fitzgerald, J., Eds.; The Guilford Press: New York, NY, USA, 2016; pp. 24–40. [Google Scholar]
- Zimmerman, B.J. Self-Regulated Learning and Academic Achievement: An Overview. Educ. Psychol. 1990, 25, 3–17. [Google Scholar] [CrossRef]
- Ferretti, R.P.; Lewis, W.L. Best practices in teaching argumentative writing. In Best Practices in Writing Instruction; Graham, S., MacArthue, C.A., Fitzgerald, J., Eds.; The Guilford Press: New York, NY, USA, 2013; pp. 113–140. [Google Scholar]
- Wu, S.Y.; Rubin, D.L. Evaluating the Impact of collectivism and individualism on argumentative writing by Chinese and North American college Students. Res. Teach. Engl. 2000, 35, 148–178. [Google Scholar]



| Argument Elements | Claim | Data | Counterargument Claim | Counterargument Data | Rebuttal Claim | Rebuttal Data | |
|---|---|---|---|---|---|---|---|
| Chinese (L1) Source-based writing | P1 | 2 | 5 | 1 | 3 | 1 | 0 |
| P2 | 2 | 2 | 1 | 1 | 2 | 1 | |
| P3 | 1 | 2 | 0 | 0 | 1 | 2 | |
| P4 | 0 | 0 | 0 | 0 | 0 | 0 | |
| P5 | 1 | 3 | 0 | 0 | 1 | 1 | |
| P6 | 3 | 2 | 1 | 2 | 2 | 2 | |
| English (L2) source-based writing | P1 | 2 | 4 | 1 | 1 | 1 | 0 |
| P2 | 0 | 0 | 0 | 0 | 0 | 0 | |
| P3 | 1 | 2 | 0 | 0 | 1 | 1 | |
| P4 | 0 | 0 | 0 | 0 | 0 | 0 | |
| P5 | 2 | 2 | 0 | 0 | 3 | 3 | |
| P6 | 0 | 0 | 0 | 0 | 0 | 0 | |
| Mean (SD) of L1 essays | 1.5 (1.05) | 2.33 (1.63) | 0.5 (0.55) | 1 (1.26) | 1.17 (0.75) | 1 (0.89) | |
| Mean (SD) of L2 essays | 0.83 (0.98) | 1.33 (1.63) | 0.17 (0.41) | 0.17 (0.41) | 0.83 (1.17) | 0.67 (1.21) | |
| Participants | Chinese (L1) Source-Based Writing Papers | English (L2) Source-Based Writing Papers | ||||
|---|---|---|---|---|---|---|
| Listening Material | Reading Texts | Personal Knowledge | Listening Material | Reading Texts | Personal Knowledge | |
| n (%) | n (%) | n (%) | n (%) | n (%) | n (%) | |
| P1 | 4 (50%) | 3 (37.5%) | 1 (12.5%) | 0 | 3 (60%) | 2 (40%) |
| P2 | 1 (25%) | 3 (75%) | 0 | 0 | 0 | 0 |
| P3 | 0 | 3 (75%) | 1 (25%) | 0 | 3 (100%) | 0 |
| P4 | 0 | 0 | 0 | 0 | 0 | 0 |
| P5 | 1 (25%) | 0 | 3 (75%) | 1 (20%) | 2 (40%) | 2 (40%) |
| P6 | 0 | 2 (33.3%) | 4 (66.7%) | 0 | 0 | 0 |
| Total | 6 (23.1%) | 11(42.3%) | 9 (34.6%) | 1 (7.7%) | 8 (61.5%) | 4 (30.8%) |
| Data Elements | Data | Counterargument Data | Rebuttal Data | |
|---|---|---|---|---|
| L1 source-based writing | Two-side (AOIs 2 and 9) | 2 | 1 | 2 |
| Pro-side (AOIs 4 and 8) | 2 | 2 | 0 | |
| Con-side (AOI 5) | 1 | 0 | 1 | |
| L2 source-based writing | Two-side (AOIs 4 and 6) | 2 | 0 | 1 |
| Pro-side (AOI 5) | 3 | 0 | 0 | |
| Con-side (AOI 2) | 1 | 0 | 1 | |
| Participants | Chinese (L1) Source-Based Argumentative Essays | English (L2) Source-Based Argumentative Essays | ||||
|---|---|---|---|---|---|---|
| Number of Reasons | Total Score | Reasoning Score | Number of Reasons | Total Score | Reasoning Score | |
| M (SD) | M (SD) | |||||
| P1 | 8 | 14 | 1.75 (0.89) | 5 | 7 | 1.40 (0.55) |
| P2 | 4 | 9 | 2.25 (0.50) | 0 | 0 | 0 |
| P3 | 4 | 7 | 1.75 (1.25) | 3 | 2 | 0.67 (0.58) |
| P4 | 0 | 0 | 0 | 0 | 0 | 0 |
| P5 | 4 | 8 | 2 (0.82) | 5 | 7 | 1.40 (1.14) |
| P6 | 6 | 8 | 1.33 (0.52) | 0 | 0 | 0 |
Publisher’s Note: MDPI stays neutral with regard to jurisdictional claims in published maps and institutional affiliations. |
© 2021 by the authors. Licensee MDPI, Basel, Switzerland. This article is an open access article distributed under the terms and conditions of the Creative Commons Attribution (CC BY) license (https://creativecommons.org/licenses/by/4.0/).
Share and Cite
Cheong, C.-M.; Zhu, X.; Xu, W. Source-Based Argumentation as a Form of Sustainable Academic Skill: An Exploratory Study Comparing Secondary School Students’ L1 and L2 Writing. Sustainability 2021, 13, 12869. https://doi.org/10.3390/su132212869
Cheong C-M, Zhu X, Xu W. Source-Based Argumentation as a Form of Sustainable Academic Skill: An Exploratory Study Comparing Secondary School Students’ L1 and L2 Writing. Sustainability. 2021; 13(22):12869. https://doi.org/10.3390/su132212869
Chicago/Turabian StyleCheong, Choo-Mui, Xinhua Zhu, and Wandong Xu. 2021. "Source-Based Argumentation as a Form of Sustainable Academic Skill: An Exploratory Study Comparing Secondary School Students’ L1 and L2 Writing" Sustainability 13, no. 22: 12869. https://doi.org/10.3390/su132212869
APA StyleCheong, C.-M., Zhu, X., & Xu, W. (2021). Source-Based Argumentation as a Form of Sustainable Academic Skill: An Exploratory Study Comparing Secondary School Students’ L1 and L2 Writing. Sustainability, 13(22), 12869. https://doi.org/10.3390/su132212869

