You are currently viewing a new version of our website. To view the old version click .
Sustainability
  • Article
  • Open Access

13 October 2021

Ecological Risk Assessment of Potential Toxic Elements in Salt Marshes on the East Coast of the Red Sea: Differential Physiological Responses and Adaptation Capacities of Dominant Halophytes

,
,
and
1
Biology/Chemistry Department, Al Qunfodah University College, Umm Al-Qura University, Al Qunfodah 21912, Saudi Arabia
2
Botany Department, Faculty of Science, Mansoura University, Mansoura 35516, Egypt
3
Desert Research Center, Range Management Unit, Mataryia, Cairo 11753, Egypt
4
Deanship of Scientific Research, Umm Al-Qura University, Makkah Al Mukarramah 11715, Saudi Arabia

Abstract

The impact of the mutual interactions between salinity and the phytoavailability of potential toxic elements (PTEs) on the adaptation of halophytes in their natural habitat is complex and far from clear. Herein, we aimed to evaluate salinity- and PTE-induced oxidative stress in selected halophytes and the antioxidant responses of these plants. For that, five salt marshes were selected, and the physiological responses of dominant halophytes (Tamarix nilotica, Heliotropium crispum, Zygophyllum coccineum, Halopeplus perfoliata, and Avicennia marina) were evaluated against the physicochemical features of their rhizosediments. The tested locations varied in their physicochemical properties and showed various levels of salinity stress and a low fertility status. Distinct variations in ten PTE concentrations were recognized among locations and within plants, with Cr and Co showing the highest ecological risk indices. The high levels of salinity and PTEs were associated with higher foliar levels of malondialdehyde, particularly in A. marina and Z. coccineum. The bio-concentration ratio revealed hyperaccumulating potentials of PTEs by the tested halophytes. Z. coccineum showed effective accumulation of Co, Fe, and Pb, while T. nilotica exhibited effective accumulation of Cu, Cd, and Zn. H. perfoliate had higher accumulation of Cr and Hg, whereas A. marina accumulated a significant amount of Hg, Cd, Zn, and Mn. H. crispum leaves accumulated the highest Ni levels among the tested halophytes. Altogether, our results highlight the potential risk of pollution of the tested areas with PTEs and the efficient physiological adaptation of each of the tested halophytes as a unique biological system. They also reflect the high capabilities of the tested halophytes as phytoextractors of their corresponding PTEs and their potential as efficient tools for phytoremediation of salt- and PTE-affected lands.

1. Introduction

Coastal and inland salt marshes are important ecological habitats with unique soil physicochemical properties and halophytic vegetation [1]. In such habitats, soils usually contain high levels of salinity along with other physicochemical properties that significantly impact metal phytoavailability and accessibility across biological systems. These soils also act as sinks for PTEs, which are significant environmental pollutants. These elements are usually released as a result of various anthropogenic activities such as industrial waste, domestic waste dumps, oil spilling, rapid urbanization, marine construction, and agricultural practices [2,3,4,5]. The eastern coast of the Red Sea in Saudi Arabia extends for about 1700 km from Yemen to the border with Jordan and represents a unique arid and semiarid habitat. The severe climatic conditions (high temperature, limited precipitation, and increased evapotranspiration), the oligotrophic nature of the soil, and the high potential release of PTEs from oil trading and other anthropogenic activities exacerbate the deleterious effects of salinity and PTEs on halophytes inhabiting these areas [6,7,8]. Such conditions highlight the potential risk of soil contamination and potentiate the importance of continuous monitoring of soil and plant responses in the region. Therefore, monitoring the levels of PTEs has been considered of great environmental, ecological, nutritional, and toxicological concern [9,10].
In higher plants, high levels of salinity and heavy metals induce various detrimental effects on growth and physiological processes such as osmotic imbalance, ion toxicity, disruption of the carbon balance, nutrient deficiency, and oxidative stress [11,12,13]. Such detrimental effects restrict growth in salt marshes to halophytic plants which have natural capabilities to tolerate salinity levels from 40 to 200 mM NaCl or even more [14,15,16]. In addition, halophytes can take up and accumulate high levels of PTEs with various uptake/tolerance capacities [12,16]. These unique plants belong to various taxonomic plant families, and their tolerance capabilities depend on plant species, metal type/concentration, and growth stage [17]. Moreover, halophytes are successfully adapted to other abiotic stress conditions occurring simultaneously in their harsh environments [15]. To tolerate these severe conditions, halophytes employ numerous combinations of morphological and physiological adaptations [18]. At the leaf level, various halophytes have special structures such as trichomes, salt glands, or succulent tissues to sequester or alleviate toxic ions and thus balance ion concentrations in plant tissues [19,20]. They have also developed specific mechanisms for maintaining a balance between the generation of reactive oxygen species (ROS) and their detoxification mechanisms under salinity, PTEs, and their associated stresses in arid and semiarid habitats [21].
A common response among most halophytes is the generation of ROS, which is an indispensable consequence of any type of salinity- and PTE-induced stress such as water deficit, and ionic and osmotic stresses [16,22]. ROS are mainly produced as a result of a stress-induced reduction in the electron transport chain in both chloroplasts and mitochondria or as a consequence (particularly H2O2) of oxidation of glycolate to glyoxylic acid in peroxisomes [23,24]. In fact, H2O2 is the most stable among ROS with a half-life of minutes compared to <1 μs for other ROS such as singlet oxygen (1O2), superoxide (O2), and hydroxyl ions (OH), and thus only H2O2 has the ability to diffuse among neighboring cellular components and cells [25,26]. In the presence of transition metals such as Fe, Cu, and Mn, and through the Haber–Weiss and Fenton reactions, H2O2 can generate highly toxic hydroxyl radicals (OH), which activates ion transport via the plasma membrane such as Ca2+ influx and K+ efflux [27,28]. ROS act as stress sensors at their optimum cellular levels; however, beyond such levels they are toxicity inducers [29,30]. Their toxic effect occurs via induction of peroxidation of lipids in cellular membranes, protein denaturation, DNA damage, pigment breakdown, carbohydrate oxidation, and disturbance of enzyme activity [27,31,32]. In general, halophytes have developed an efficient antioxidant system that maintains cellular ROS levels below the phytotoxic threshold, which varies significantly among halophytes depending on their differential cellular tolerance against ROS [22]. Under increased salinity and other associated stresses, the antioxidant protective mechanisms can become insufficient to counter the oxidative damage [18]. For instance, photosynthesis is one of the most sensitive physiological processes to salinity- and PTE-induced ROS since the photosynthetic photosystem (PSI and PSII) reaction centers are the main sites for ROS production in chloroplasts [33,34]. Under salinity and other stresses, the level of ROS increases and the overall photosynthetic activity and, consequently, carbon assimilation decreases because of the detrimental effects of ROS on thylakoid membrane organization and the modulation of photosystem II (PSII) activity in chloroplasts [32]. Therefore, monitoring photosynthetic pigments and key photosynthetic products has been an effective biomarker in anticipating stress-induced events and their consequences on carbon assimilation at the organism level [35].
In the current investigation, the study area included five Saudi salt marshes on the east coast of the Red Sea which is a key maritime route for the world oil and goods trade. These salt marshes are directly and/or indirectly affected by pollutants derived from various anthropogenic activities developing along the Red Sea. In addition, the selected salt marshes are close to the oldest maritime port in Saudi Arabia (AlQunfodah port). These factors, along with the high salinity and hyperarid and oligotrophic environment would significantly affect the chemical features and the levels of PTEs in the soil of these salt marshes. Such effects have not been previously reported in the selected area. Interestingly, these salt marshes are inhabited by halophytes that thrive in such harsh conditions. The successful adaptation of these halophytes suggests that these plants might have a strong potential as phytoextractors of PTEs and thus provide efficient tools for phytoremediation. Little is known about both the impact of the above pollution-inducing factors on soil chemical features and their consequences on the growth and physiology of halophytic plants in the area. Therefore, these salt marshes provide a unique natural system to investigate the degree of the anthropogenic activity-induced contamination by PTEs such as Cd, Cr, Co, Cu, Fe, Hg, Mn, Ni, Pb, and Zn and the differential physiological responses, if any, of the dominant halophytic plants in the area. In addition, the current study will shed light on the potential of these halophytes as phytoextractors of contaminant elements. Moreover, this study provides necessary knowledge for making future decisions on the management and conservation of the area. Therefore, the objectives of the current study were to: (i) study the physicochemical properties of five selected salt marsh soils located at various proximities to the eastern Red Sea coast (south Saudi Arabia), (ii) assess the potential contamination hazard of PTEs in soils of the studied locations and their accumulation in the dominant halophytes, and (iii) assess the impact of the mutual interaction between current rhizospheric soil conditions and possible PTE contamination on physiological responses of the dominant halophytes.

2. Materials and Methods

2.1. Study Area and Description of Selected Plant Species

Five salt marsh locations representative of the common environment of the Red Sea coast were selected and designated as L1, L2, L3, L4, and L5 according to their proximity to the coast. L1 and L5 were the farthest and the closest to the seacoast, respectively. From each location, the most dominant plant species was identified according to [36,37] and used for downstream analysis. These plants belong to different taxonomic families and included Tamarix nilotica (Tamaricaceae), Heliotropium crispum (Boraginaceae), Zygophyllum coccineum (Zygophyllaceae), Halopeplus perfoliate (Amaranthaceae), and Avicennia marina (Acanthaceae). All these plants are perennials. Additionally, all these plants are chamaephytes, except for Tamarix nilotica, which has a phanerophyte life form.

2.2. Collection of Plant and Soil Samples

Five individual plants from each dominant species of interest in each location were selected, labeled, and guarded. Three replications of leaf samples were collected from each plant, washed thoroughly using sterilized water, and divided into two sets. Depending on the downstream analysis, samples were either dropped immediately in liquid N or brought on ice to the laboratory for oven drying (70 °C until constant weight) for elemental measurements. Corresponding rhizospheric soil samples were collected by uprooting plants, removal of course soil particles, and collection of soil particles that were tightly adhered to the root. The collected soil samples were stored in polyethylene bags, transferred to the laboratory, air dried at room temperature, sieved at 2 mm, and stored for soil physical and chemical analysis.

2.3. Soil and Plant Elemental Analyses

2.3.1. Soil Analysis

Soil physical and chemical analyses were carried out using standardized methods [38]: particle size distribution by sieve analysis [39], soil porosity calculation from values of bulk and solid phase densities, water holding capacity by the standardized gravimetric determination of soil moisture content, hydraulic conductivity by the Darcy equation, total concentration of calcium carbonate using the gasometric determination method after adding HCl solution (6M), soil pH value of 1:2.5 distilled water suspension using a Jenway 3505 pH/mV/Temperature Meter, and electrical conductivity of 1:2.5 soil/water extract by a HANNA (HI9835) EC meter. Water-soluble ions were determined in a soil/water extract: Ca2+, Mg2+, and K+ using inductively coupled plasma (iCAP™ 7000 Plus Series ICP-OES, Thermo Scientific™, Waltham, MA, USA), Na+ using a Jenway PFP7 flame photometer, CO32− and HCO3 by titration with standardized H2SO4 solution, and Cl by titration with standardized AgNO3 solution. Concentrations of total organic elements (C, H, N, and S) were determined by a CHNS analyzer (Thermo Scientific Flash 2000). The available concentration of PTEs was determined by ICP in the extraction of diethylene tri-amine penta acetic acid (DTPA).

2.3.2. Plant Elemental Analysis

Dried leaf samples were ground to a homogenous fine powder and used for determination of organic and inorganic elements. Organic element (C, N, H, and S) concentrations in dry biomass samples were determined following the dry combustion technique using a CHNS analyzer (Thermo Scientific Flash 2000). For determination of inorganic elements, oven-dried samples were digested using aqua regia solution (HCl/HNO3 mixture, 3:1 v/v) in a microwave digester (Milestone MLS 1200 Mega), and PTE concentrations were determined using ICP-OES.

2.4. Ecological Risk Assessment

2.4.1. Geo-accumulation Index (Igeo)

The geo-accumulation index (Igeo) is widely used to evaluate the contamination degree of PTEs either in A or O horizons as referenced to their geochemical background values in carbonate rocks [40].
I geo = log 2 [ C n 1.5   ·   B n ]
where Cn is the concentration of PTEs in the rhizospheric soil layer, and Bn is the geochemical background concentration of PTEs in the Earth’s crust. The geochemical background values were multiplied by 1.5 in order to minimize the natural fluctuations in the lithologic variations [41]. The Igeo index is categorized into six classes to interpret the corresponding contamination intensities of PTEs (Supplementary materials Table S1).

2.4.2. Enrichment Factor (Ef)

To quantify the potential anthropogenic impact on soil contamination, the enrichment factor (Ef) of PTEs was calculated in relation to elements with a low variability of occurrence (LV) as a reference in both the tested and geochemical background samples [42].
E f = ( C n LV ) Sample ( C n LV ) Background
where Cn is the PTE concentration in the soil, and LV is the reference element concentration in the examined environment (Al).
Typical reference elements are Al, Fe, Mn, and Rb according to the literature [43]. This investigation used Al as a reference lithogenic element based on its low vertical mobility and high stability in the rhizosphere.

2.4.3. The Contamination Factor (CF)

The contamination factor (CF) was quantified by dividing the PTE concentrations in the studied locations (Cx) by the background values (Cb) according to the equation adopted by [44].
C F = C x C b
The contamination factor (CF) consists of four classes as illustrated in Supplementary materials Table S1.

2.4.4. Potential Ecological Risk Index E i r

This criterion was introduced to evaluate the contamination load according to the toxicity coefficient values of PTEs [44].
E i r =   T r i × C i C 0
where   T r i is the toxicity coefficient of PTEs (Cd = 30, Cr = 2, Co = 5, Cu = 5, Fe = 1, Hg = 40, Mn = 1, Ni = 5, Pb = 5, and Zn = 1), Ci is the concentration of PTEs in the investigated soil, and C0 is the background value of the PTEs.

2.4.5. The Pollution Load Index (PLI)

The integrated pollution load index ( PLI ), which has four classes (Supplementary materials Table S1), was introduced by [45] as the root of the contamination factor of PTEs to provide an understanding of their potential deteriorative impact.
PLI = C F 1 ×   C F 2 × ×   C Fn   n

2.4.6. The Contamination Degree (CD) and the Modified Degree of Contamination (mCD)

These integrated indices were introduced by [44] to simplify the load of contamination according to the following equations:
CD = i = 1 n C F i
mCD = i = 1 n C F i n
where CF is the calculated contamination factor. The contamination levels of these indices are illustrated in Supplementary materials Table S1.

2.5. Plant Physiological Analysis

2.5.1. Determination of Oxidative Damage in Leaves

Oxidative damage in leaves was assessed via monitoring the levels of both hydrogen peroxide (H2O2) and malondialdehyde (MDA). For H2O2, 500 mg of frozen leaf tissues was crushed into a fine powder in liquid nitrogen, homogenized in 5 mL cold potassium phosphate buffer (50 mM potassium phosphate, 1 mM EDTA, pH 7.5), and centrifuged at 4000 rpm for 15 min at 4 °C. The supernatant was then collected and used for the determination of H2O2 spectrophotometrically using a hydrogen peroxide assay kit (Biodiagonistic, HP 25, Giza, Egypt) following the manufacturer’s instructions. Leaf MDA concentration was determined spectrophotometrically as described previously [46] with slight modification. Quantities of 500 mg of frozen leaf tissues were homogenized in 5 mL of 10% trichloroacetic acid (w/v) and centrifuged at 4000 rpm for 10 min at 4 °C. Aliquots of 500 µL of the supernatant were mixed with 500 µL of 0.6% (w/v) thiobarbituric acid and the mixture was incubated at 95 °C for 15 min, cooled in an ice bath, and centrifuged at 4000 rpm for 10 min at 4 °C. The absorbance of the resultant pink color was measured at 450, 532, and 600 nm. The MDA content was estimated using the extinction coefficient of 155 (nmol/L/cm) and expressed as nmol g−1 DW.

2.5.2. Estimation of Antioxidant Substances

Flavonoids and phenolic compounds in 100 mg of powdered leaves were extracted three times in acetone to remove chlorophyll, dried, and resuspended in distilled water. Total flavonoids were determined spectrophotometrically at 410 nm using AlCl3 and quercetin as a standard [47]. Total phenolics were determined spectrophotometrically at a wavelength of 760 nm using the Folin–Ciocalteu method and gallic acid as a standard [48]. The concentrations of total flavonoids and total phenolics were expressed as mg/g DWT.

2.5.3. Determination of Photosynthetic Pigments

Photosynthetic pigments were extracted by grinding 50 mg of frozen leaves in cold 80% aqueous acetone, and the concentrations of chlorophyll a (Chl a), chlorophyll b (Chl b), and carotenoids (Cars) were determined spectrophotometrically at 663.2, 646.8, and 470.0 nm according to [49]. Pigment concentrations were expressed as mg/g FWT.

2.5.4. Determination of Carbohydrate Fractions

Quantities of 100 mg powdered dry leaves were extracted with 80% ethanol, and the ethanolic extracts were completed to specific volumes and used for the spectrophotometric determination of total soluble sugars (TSS) and sucrose at 620 nm using anthrone reagent [50,51]. Carbohydrate fractions were calculated using standard curves of pure glucose and sucrose and expressed as mg/g DWT.

2.6. Quality Control and Statistical Analysis

Chemical reagents of analytical grade (Merck-Darmstadt, Germany) were used without extra purification. Preparation of chemical solutions was carried out using deionized water (18.2 MΩ) (Nanopure water, Barnstead). Soil and plant analyses were carried out by an ISO/IEC 17025 accredited laboratory to ensure data verification. All soil and plant analyses were carried out under constant temperature (25 ± 0.5 °C) with appropriate replications, controls, and blanks. Certified soil reference materials (BIPEA, France) were used to optimize the quality control of soil analysis. The accuracy of organic element measurements was verified using the BBOT standard (C26 H26 N2 SO2; C = 72.52%, H = 6.09%, N = 6.51%, and S = 7.44%). In addition, the accuracy of inorganic element determination was verified using standard calibration solutions (R2 ≥ 0.99). The recovery values of elemental determination oscillated in the range between 93.25 and 103.35%, and the precision of data was optimized through adjusting the maximum relative standard deviation (RSD) at ≤5%. Limits of detection (LODs) for inorganic elements (µg L−1) were: As (33.12), B (25.32), Ba (26.52), Ca (95.2), Cd (53.43), Cr (31.75), Cu (20.76), Fe (46.82), Hg (23.54), K (26.7), Li (34.63), Mg (128.9), Mn (29.73), Ni (40.17), Pb (54.93), Ti (55.41), V (26.18), and Zn (40.95).
Standard deviations were calculated using Microsoft Excel software (version 2010, Microsoft Corporation, Redmond, Washington, DC, USA). Correlation analysis was performed using CoStat (Version 6.303, CoHort, Berkeley, CA, USA, 1998–2004) at significance levels of 0.05 and 0.01 to test the relationship among selected soil physicochemical characters and the extractability potentials of PTEs.

3. Results and Discussion

Despite the harsh climatic conditions and the unique location of the selected salt marshes in the current study (proximity to the oldest port in Saudi Arabia, location on the world’s key maritime route of the oil and goods trade, intensive construction, and industrial projects), very little information about the extent of possible soil pollution induced by the above factors and its consequences on the physiology of the dominant plants is available. Therefore, the impact of the interplay among the above factors on chemical properties and the levels of PTEs in soils of these salt marshes was investigated. In addition, the physiological responses of the dominant plants were tested and compared. Further, the phytoremediation potential of the dominant halophytes was monitored to extend the ecological significance of the study.

3.1. Soil Physicochemical Analysis

All soils in the investigated locations were sandy in texture (Typic Torripsamment) according to the USDA soil taxonomy [52]. Particle size distribution comprised 60–66% coarse sand fraction in L1–L4 (Table 1). The coarse sand fraction was lower in L5 (38.4%). Contrarily, its silt and clay fraction was the highest among the studied locations (10.7%). The high coarse sand fraction increased soil porosity (~45.1%) and the macro-pore volume of the soil matrix. Therefore, the studied soils may not impose significant restrictions on the root growth of the tested halophytes. The soil organic matter content in most locations was very low and was below the detection limit in L1 and L2. This low organic matter content is mainly attributed to the fast decomposition of soil organic matter due to the high temperature, low precipitation, and high aeration in the soil matrix [53]. Unlike other studied locations, the coastal location (L5) recorded the highest organic matter content (2.69%), which is mainly attributed to the belowground accumulation of plant litter derived from mangrove forests under waterlogged conditions. In addition, this coastal location might accrete plant litter and solutes as the sea level rises, which provides a continuous accumulation and burial of soil organic matter [54]. The water holding capacity of soils in most locations was very low (32–35%) due to the low colloidal content (clay and organic matter, in particular) in the soil matrix [55,56]. However, the higher content of soil organic matter in L5 improved its water supply potential and maximized its water holding capacity (40.12%). This finding is further supported by the data of soil hydraulic conductivity, which show high values in the L1–L4 locations (13.39–16.76 cm ha−1). Meanwhile, L4 and L5 showed lower conductivity values (2.99 and 0.79 cm ha−1, respectively). The total concentration of CaCO3 varied among locations (Table 1; 0.55, 1.25, and 2.44% for minimum, median, and maximum concentrations, respectively). The low CaCO3 concentrations in L4 and L5 (0.79 and 0.55%, respectively) could be attributed to the continuous dissolution by the tidal currents. The studied soils were all alkaline in nature with pH values ranging from 7.76 to 8.44 (Table 1). Salinity values varied greatly among locations (2.48–12.14 dSm−1) with noticeable higher values in the coastal locations (L3, L4, and L5). The high EC values in the tested arid saline habitats are shaped by interplay among metrological data in such arid conditions (high temperature, low precipitation, and high rate of evaporation, Supplementary Materials Table S2) along with the high salt contents derived from the Red Sea. The increased rate of evaporation that exceeds freshwater inputs can lead to hypersaline conditions due to the high accumulation of salts in the soil matrix [54]. Soil salinity in low-lying coastal locations was significantly higher than other locations due to the periodic inundation by the tidal water. However, other non-coastal locations might receive freshwater inputs from precipitation that can leach the accumulated salts. Water-soluble CO32− was not detected since calcium carbonate was the predominant carbonate form in the studied locations. However, Cl and HCO3 were the major anions in soils at different locations (Table 1). The HCO3 concentration was higher than that of Cl in L1 and L2. The concentration of Cl anions, however, was higher in the other locations. These results are in harmony with the data of soil salinity, which showed higher EC values in L3, L4, and L5 since the chlorinated soil solutions often induce a higher ionic strength than bicarbonated solutions [57]. The median concentration of dominant cations was ranked as Ca2 + > Na + > Mg2 + > K+.
Table 1. Some Physical and Chemical Analyses of the Experimental Soils.
Values are the average values of three replications ± standard deviations. L1 (soil colonized with T. nilotica), L2 (soil colonized with H. crispum), L3 (soil colonized with Z. coccineum), L4 (soil colonized with H. perfoliata), and L5 (soil colonized with A. marina): WHC (water holding capacity), HC (hydraulic conductivity), and EC (electrical conductivity). The organic carbon concentration in the soil was the highest in L5 (1.56%) taking into consideration its relatively higher organic matter content (Table 2). This carbon content was very low in L3 and L4 (0.022 and 0.086%, respectively), and it was below the detection limit in L1 and L2. The nitrogen concentration in L5 was very low (0.081%); however, it was not detected in the other locations, which may be ascribed to the general deficiency of N in seawater [58]. Likewise, the sulfur concentration was below the detection limit in all studied locations. On the contrary, the hydrogen concentration was the highest among the other organic elements (0.211–0.515%). The relatively high hydrogen content might be derived from the soil-bound water. This finding is supported by the data of the water holding capacity of the soils (Table 1). The concentrations of most plant nutrients reflected the low fertility status of the soil, and the urgent need to add fertilizer application for improving the growth and phytoremediation potential of the tested halophytes or for the potential cultivation by economic crops [59]. This low nutrient content is mainly attributed to the low colloidal content, which minimized the nutrient supply potentials of the soil [60,61]. The available phosphorus concentration in all locations was very low (6.91–9.20 mg kg–1) and insufficient to meet the adequate phosphorus supply in light soils (50–85 mg kg–1) [62] which could be attributed to the high soil pH that reduces phosphorus availability [63]. Likewise, the available calcium concentration was below the adequate concentration in light soils (3000–4000 mg kg−1) [62]. In this regard, the Ca2+ concentration in L5 was the lowest (630.93 mg kg−1), presumably due to the continuous dissolution of calcium salts by the inflow of seawater during tidal entry. Concentrations of K+ and Mg2+ were relatively high taking into consideration marine inputs by different mechanisms (e.g., seawater spray from winds, tidal surges, and seawater intrusion into shallow groundwater). The potassium concentration in L1 was 124.67 mg kg−1, and this level is inadequate for sufficient plant nutrition (200–400 mg kg−1) [62]. This concentration, however, varied among other locations between 351.27 and 593.81 mg kg−1. On the other hand, the Mg2+ concentration in L1, L2, and L3 was inadequate for plant nutrition (<600–800 mg kg−1). Meanwhile, the L4 and L5 locations showed adequate concentrations (1119.6 and 737.76, respectively).
Table 2. Total Organic and Available Nutrient Concentrations in the Experimental Soils.

3.2. Soil Available Concentrations of PTEs and Their Correlation Matrix (r) with Soil Physicochemical Properties

The median, maximum, and minimum values of soil available PTE concentrations are illustrated in box-and-whisker diagrams (Figure 1). The median values of PTE concentrations (mg kg−1) were ordered as follows: Mn (19.83), Fe (11.21), Pb (3.48), Cu (2.10), Zn (1.62), Hg (1.09), Cr (0.60), Co (0.45), Ni (0.36), and Cd (0.04). Distinct variations in PTE concentrations were recognized between the studied locations (Figure. 1). Among locations, L4 showed the highest concentrations of Cd (0.069 mg kg−1), Co (0.590 mg kg−1), Cu (3.764 mg kg−1), and Pb (4.654 mg kg−1). Meanwhile, L3 exhibited the highest concentrations of Cr (0.783 mg kg−1), Hg (1.257 mg kg−1), Mn (40.697 mg kg−1), and Zn (8.475 mg kg−1). The high levels of PTEs in these two locations may be attributed to their proximity to a dumping area.
Figure 1. Available concentrations of PTEs (mg kg−1) in soil at different locations. The box chart is symbolized by the median (center line), mean (dot), lower and upper quartiles (the lower and upper borders of the box, respectively), and whiskers-error bars (the minimum and maximum values): (a) cadmium, (b) chromium, cobalt, and copper, (c) iron, manganese, lead, and zinc, and (d) mercury and nickel.
Pearson’s correlation was applied to illustrate correlations between the available concentrations of PTEs and some specific soil physicochemical properties (Table 3). The correlation between PTEs and soil cations (Ca2+, Mg2+, K+, and Na+) was calculated based on the available forms of these cations (not the water-soluble form) to be consistent with the DTPA-extractable PTEs.
Table 3. Correlation Matrix (r) Between Soil Physicochemical Properties and Available Concentrations of PTEs, n = 15.
Cd: A significant correlation (r = −0.62, p < 0.05) was recorded between the available Cd2+ concentration and soil organic matter content given the high tendency of labile Cd2+ toward bonding with organic matter in immobile forms [64]. Additionally, a positive significant correlation (r = 0.53) was noticed with HCO3 ions. According to [65], Cd predominantly exists in the form of CdHCO3 in alkaline soils, and higher concentrations than the background values are signals for anthropogenic inputs.
Cr: A negative significant correlation (r = −0.79, p < 0.01) was noticed between Cr ions and the silt and clay fraction. According to [66], the particle size distribution of soil significantly affects the extractability/leachability, and thereby the bioaccessibility, of Cr(VI) ions in soil based on the variation of the distribution factor among different soil size fractions (0.7, 0.79, 1.35, and 1.6 for coarse sand, medium sand, fine sand, and silt–clay, respectively). Negative correlations were also recorded with Ca2+ (−0.79, p < 0.01), K+ (−0.90 p < 0.01), and Na+ (−0.69 p < 0.05) ions. The high concentration of these cations might reduce the extractability of Cr(VI) ions through increasing their binding capacity by the colloidal phase via cation bridging formations with active sorption sites [67]. These colloidal–chromate complexes were stable and showed low extractability compared to most of the other PTEs [68]. In addition, negative correlations were recorded with EC (−0.64, p < 0.05) and Cl ions (−0.73, p < 0.01). High values of ionic strength might lead to an increase in the Debye–Huckel screening influence, thereby reducing the electrostatic interaction between active sorption sites and Cr(VI) ions [69]. Reducing the affinity between the sorbent and sorbate might increase the extractability of Cr(VI) ions. Furthermore, the competition between Cr (VI) and Cl ions onto sorption sites might reduce the binding capacity of Cr(VI) ions by the soil colloidal phase.
Co: In general, the Co2+ concentration shows higher values in arid and semiarid regions, whereas its concentrations in soils of glaciated regions are often low [65]. Cobalt concentrations showed negative significant correlations with both silt and clay and organic matter fractions (r = −0.60 and −0.87, respectively), which indicates the importance of these fractions in the stabilization of Co2+ ions [70]. Similarly, the soil pH value significantly correlated with Co2+ extractability due to the activation of chemisorption forces at high pH values of the soil [71]. Conversely, Co2+ extractability showed a strong positive correlation (r = 0.94, p < 0.01) with available Ca2+ due to the competition between Ca2+ and Co2+ ions onto the active sorption sites. Consequently, soluble calcium salts are often used as efficient Co2+ extractants in calcareous soils [72].
Cu: A notable highly significant correlation (r = 0.83, p < 0.01) was observed between extractable Co2+ and the EC value of the soil since the increment in the ionic strength of the soil solution might condensate the diffused double layer of the colloidal phase, which constrains the approaching Cu2+ ions to the active sorption sites [73]. In contrast, pH and CaCO3 showed negative significant correlations with Cu2+ ions (r = −0.58 and −0.66, respectively). The binding capacity of Cu2+ ions onto the colloidal soil components might increase significantly with the increasing pH value of the soil due to hydroxylation of pH-dependent charges and the increasing electronegativity of the soil [73]. Furthermore, the formation of hydroxyl and carbonate complexes at high pH and CaCO3 values might inhibit the extractability of Cu2+ ions [65]. Meanwhile, the positive significant correlations with Ca2+, Mg2+, and Na+ ions might be attributed to the competition between Cu2+ and those metal ions onto the available sorption sites.
Fe: Unlike most reported studies, a positive significant correlation was obtained between soil pH and extractable Fe2+ (r = 0.60, p < 0.05). In our study, the coastal locations were marked with higher pH values. The higher Fe2+ extractability in these locations could be attributed to the reduction of Fe3+ to Fe2+ and the dissolution of iron carbonate complexes upon waterlogging by tidal entry. The negative significant correlation (r = −0.78, p < 0.01) between Fe2+ extractability and available K+ ions is linked to their competition onto sorption sites.
Hg: The negative significant correlations between extractable Hg2+ ions and silt and clay (−0.84, p < 0.01) and organic matter (−0.94, p < 0.01) fractions are interlinked with the tendency of these components to form insoluble fractions with Hg2+ ions [65]. The soil reaction (pH) also showed a negative significant correlation with extractable Hg2+ ions (r = −0.81, p < 0.01) as the Hg2+ flux from the soil matrix at alkaline soil conditions is often low [72]. Calcium carbonate and DTPA-extractable Ca2+, however, showed positive correlations with Hg2+ ions (0.51 and 0.86, respectively). It is widely accepted that CaCO3 and active Ca2+ ions can increase the aggregation/stability of soil organic matter, thereby reducing its capacity toward the chemisorption of Hg2+ ions [74].
Mn: The extractable Mn2+ ions were positively correlated with the silt and clay fraction (0.56, p < 0.05), extractable Ca2+ (0.82, p < 0.01), and soluble HCO3 ions (0.77, p < 0.01). Negative correlations, however, were observed with organic matter (−0.60, p < 0.05) and pH (−0.93, p < 0.01). Manganese oxides (e.g., vernadite and birnessite) are typical constitutions of clay minerals [75]. Mn2+ ions also showed a high affinity toward precipitation as bicarbonate and organic manganese complexes. Those are governed by multiple soil reactions, of which soil pH and redox reactions are the most important [65]. The positive correlation between Mn2+ and Ca2+ ions is mainly related to the ion exchange mechanism, which increased the desorbability of Mn2+ ions.
Ni: A negative significant correlation (r = 0.63, p < 0.05) was observed between Mn2+ ions and the silt and clay fraction given their high binding forces by clay minerals (montmorillonite, in particular) [76]. Extractable Ni2+ ions also showed a positive correlation with CaCO3 (0.73, p < 0.01); however, it showed a negative correlation with K+ ions (−0.89, p < 0.01). Nickel is slightly mobile in soil and exists mainly in immobile forms [65]. Meanwhile, the sorbed Ni2+ ions onto the nanoscale calcium carbonate fraction might exchange with K+ ions onto the active sorption sites.
Pb: The positive significant correlation between Pb2+ ions and the silt and clay fraction agrees with that obtained by [65], who reported that Pb mineral distribution in soil shows a correlated trend of values with the fine granulometric fraction. In arid and semiarid conditions, Pb sulfides are oxidized slowly and show a high tendency toward forming immobile carbonate fractions with less extractability potentials [77]. This might be the reason for the negative significant correlations with CaCO3 and HCO3 ions (−0.62 and −0.56, respectively, p < 0.05). Positive significant correlations were further noticed with Mg2+ (0.62, p < 0.05), K+ (0.95, p < 0.01), and Na+ (0.54, p < 0.05), probably due to their easy exchange with Pb2+ ions onto the active sorption sites of the colloidal phase [78]. The positive significant correlation between available Pb2+ and Cl ions (0.56, p < 0.05) is mainly related to the positive effect of Cl ions on increasing the extractability potentials of Pb2+ ions from active soil fractions.
Zn: Unlike most other PTEs, Zn appeared to exist in more soluble forms with high leachability potentials; however, high HCO3 values precipitated Zn species into Zn(HCO3)2 with a lower degree of leachability [79]. This could be the reason for the positive significant correlation with HCO3 (0.75, p < 0.01). A negative significant correlation was observed between Zn2+ ions and the pH value of the soil (−0.94, p < 0.01). The desorbability of Zn2+ ions decreased continuously with the increasing pH value of the soil, and the proportion of sorbed Zn2+ that could be extracted declined dramatically as the pH value increased above 6.5 [80]. On the contrary, the positive significant correlation with Ca2+ ions (0.86, p < 0.01) might be due to maximizing the desorbability of Zn2+ ions by the ion exchange mechanism.

3.3. Ecological Risk Assessment of PTE Concentrations in Soil

The calculated Igeo values showed an uncontaminated effect (0 < Igeo < 1) of most PTEs (Cd, Cu, Fe, Ni, Pb, and Zn). Other elements, however, varied in their contamination level among rhizospheric soils (Figure 2). The contamination level of Cr and Co was the highest among other PTEs and reached a highly contaminated degree in some rhizospheric soils (3 < Igeo < 4). The contamination level of Hg and Mn was slight in most cases, except for L3, which showed a moderate Mn contamination level (2 < Igeo < 3).
Figure 2. Ecological risk assessment of PTEs in soil: (a) geo-accumulation index (Igeo), (b) enrichment factor (Ef), (c) contamination factor (CF), (d) potential ecological risk index ( E i r ), (e) pollution load index (PLI), and (f) contamination degree (CD) and modified degree of contamination (mCD).
The data of the enrichment factor (Ef) show no enrichment of the Cu, Fe, Pb, and Zn elements (0 < Ef < 1), minor enrichment of Ni in most rhizospheric soils, except for L1 (moderate enrichment), moderate to severe enrichment of Hg and Mn in most samples, except for L2 and L3 (severe enrichment), and very severe enrichment of Co (25 < Ef < 50).
The data of the single contamination factor show no enrichment of most TEs; however, Cr and Mn reached the limit of moderate to severe enrichment, and Co reached the limit of severe enrichment. Likewise, the potential ecological risk index indicated a low risk of all TEs except Co, which showed a considerable risk. The pollution load index values ranged between unpolluted to moderately polluted. The contamination degree pointed to a very high degree of contamination, although the modified degree of contamination showed only moderate contamination.

3.4. PTE Concentrations in Plants

The data presented in the box-and-whisker diagrams (Figure 3) show the median, maximum, and minimum concentrations of PTEs in the tested halophytes. The median concentrations of PTEs in plants (mg kg−1) were ranked as follows: Fe (1112), Zn (114.4), Cu (81.3), Mn (76.3), Cr (30.0), Pb (13.9), Ni (3.6), Co (3.2), Cd (2.8), and Hg (1.95). Z. coccineum leaves contained the highest levels (mg kg−1) of Co (26.4), Cu (121), Fe (2808), Pb (84.1), and Zn (138.2). H. perfoliata, however, showed the highest concentrations (mg kg−1) of Cd (6.4) and Hg (8.1). Meanwhile, T. nilotica recorded the highest concentration (mg kg−1) of Cr (38.06) and Mn (92.9). On the other hand, H. crispum showed relatively lower PTE concentrations in general and recorded the minimum values (mg kg−1) of Cr (7.7), Co (N.D.), Hg (ND), and Zn (98.6). Meanwhile, A. marina attained high values of Hg (2.7) and Mn (84.5). The recorded concentrations of most PTEs exceed the permissible limits (μg g−1) that have been justified by standard regulatory bodies (e.g., the WHO, FAO): Cd (0.1), Cu (73), Fe (425), Mn (500), Ni (67), and Zn (100) [81], suggesting their potential use for phytoremediation purposes and medical applications [82,83] rather than other uses involving human consumption.
Figure 3. Total concentrations of PTEs (mg kg−1) in halophytes. The box chart is symbolized by the median (center line), mean (dot), lower and upper quartiles (the lower and upper borders of the box, respectively), and whiskers-error bars (the minimum and maximum values): (a) cadmium, coobalt, mercury and nickel (b) copper, manganese, and zinc, (c) chromium and lead, (d) iron.
The soil-to-plant transfer factors including the bio-concentration ratio (BCR = PTE concentrations in plants/available PTE concentrations in soils) [84] can interpret the hyperaccumulating potentials of PTEs by wild plants, thereby indicating the usability of these plants for phytoremediation techniques (plants having BCR > 1 are considered as hyperaccumulators). The tested halophytes showed hyperaccumulating potentials for all studied PTEs with BCR values > 1 (Table 4).
Table 4. Bioaccumulation Factor (BAF) of PTEs in Endemic Wild Plants.

3.5. Halophyte Physiological Analysis

Our chemical analysis of rhizospheric soils in the tested salt marshes revealed that their inhabiting species suffer from varying levels of salinity (Table 1), nutrient deficiency (N, P, several micronutrients; Table 2), and elevated levels of PTEs (Figure 1). These results agree with the general belief that halophytes in their natural habitats suffer from various types of stress [15]. Such multiple stresses induce both secondary water stress and oxidative damage to cellular structures. However, the tested halophytes did not show any obvious symptoms of toxicity, suggesting that such multiple stress-induced signals might trigger cross-talk among various physiological pathways that end with activation of “cross-tolerance” allowing the tested species to respond effectively to single or multiple stresses [15]. Consistent with that, salinity improved the growth of halophytes such as Sesuvium portulacastrum, Spartina densiflora, and Mesembryanthemum crystallinum under PTE stress such as Cd and Zn. Such an enhancing effect is attributed to the possible role of Na+ in osmotic adjustment and induction of synthesis of proline, polyamines, and glutathione as well as a reduction in ethylene and abscisic acid [85,86]. The output of such a cross-talk, the possible species-specific anatomical structures, and the extent of the internal cellular tolerance to each of such multiple stresses stand behind the differential physiological responses and adaptability of the tested halophytes and make each halophyte behave as a unique biological system.
The consequences of salinity, nutrient, and PTE stresses in the soils of the current study areas on the oxidant and antioxidant systems in the dominating halophytes were monitored (Figure 4). Our measurements of oxidative stress biomarkers revealed much lower levels of MDA in the leaves of T. nilotica, H. crispum, and Halopeplus perfoliata (Figure 4a), and such a response was associated with relatively low levels of H2O2 (Figure 4b). These results indicate a reduced extent of oxidative stress in these species. In T. nilotica and H. crispum, the reduced levels of MDA can be ascribed mainly to (i) the low salinity in their rhizospheric soils (3.74 dS m−1, 2.46 dS m−1, Table 1), and (ii) their relatively higher antioxidant compounds such as total flavonoids (Figure 4c), phenolics (Figure 4d), and carotenoids (Figure 5d). These compounds can contribute significantly to the overall antioxidant potential and thus reduce ROS and, consequently, MDA. Consistent with this, significant content of phenolics and high antioxidant activity have also been confirmed in Tamarix gallica [87]. (iii) The salt glands and trichomes in T. nilotica as well as the succulence in H. crispum may reduce the PTE-induced ROS formation. The above reasons thus synergistically reduce ROS and, consequently, MDA. The reduced oxidative stress in H. perfoliata, regardless of the high EC values and PTE content in its rhizospheric soil, suggests that this halophyte has optimized its antioxidant defense to minimize the oxidative damage it encounters in its natural environment. In support of this hypothesis, [18] reported high catalase activity in H. perfoliata at 150 mM NaCl; this approximately matches the level of total soluble salts in the rhizopheric soil of H. perfoliata in the current study [18]. They also reported a salinity-induced reduction in the activities of both SOD and APX with minimal effect on GR, suggesting that active superoxide (O2) radicals are not synthesized in response to salinity stress in H. perfoliata [18]. Further, its succulence may also minimize the detrimental effects of both salinity and PTEs.
Figure 4. Oxidative stress and antioxidant indicators: (a) lipid peroxidation (malondialdehyde; MDA), (b) leaf hydrogen peroxide (H2O2), (c) total flavonoids, and (d) total phenolics. Shown are the mean values of three biological replicates ± standard deviations. On the abscissa axis, the initials of the tested species are reported.
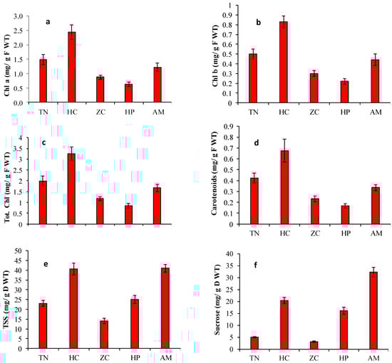
Figure 5. Leaf photosynthetic pigments and C assimilation: (a) chlorophyll a (Chl a), (b) chlorophyll b (Chl b), (c) total chlorophyll (Tot. Chl), (d) carotenoids (Cars), (e) total soluble sugars (TSS), and sucrose (f). Shown are the mean values of three biological replicates ± standard deviations. On the abscissa axis, the initials of the tested species are reported.
Unlike the above-mentioned species (T. nilotica, H. crispum, and H. perfoliata), both A. marina and Z. coccineum had much higher MDA levels in their leaves (Figure 4a), and such a response was associated with the higher H2O2 level in A. marina only (Figure 4b). These results indicate a disturbance of the equilibrium between the oxidative and antioxidative capacities at the cellular level in A. marina and Z. coccineum [21,88]. High MDA levels in A. marina and Z. coccineum leaves may be ascribed, in part, to the high salinity in their rhizospheric soils (9.92 dS m−1 and 9.94 dS m−1, Table 1), and the simultaneous toxicity of PTEs in their leaves, particularly Hg, Co, and Mn in A. marina, and Co, Cu, Fe, Zn, and Ni in Z. coccineum compared to T. nilotica and H. crispum. High salinity levels impair electron transport in chloroplasts and mitochondria and lead to the formation of ROS which, in turn, leads to MDA accumulation [89,90]. On the other hand, the higher level of H2O2 in A. marina in the presence of transient PTEs can be a major source of highly reactive hydroxyl radicals, of which cells do not have an enzymatic system to detoxify, and thus they induce high MDA levels in A. marina leaves [27]. Further, the level of Hg in A. marina leaves exceeded the toxic threshold of Hg in plants [91], thereby interfering with mitochondrial activity and triggering ROS generation and MDA accumulation [92]. Mercury (Hg) can also bind to water channel proteins, inducing stomatal closure and thus hindering water flow in A. marina [93]. Interestingly, despite the high foliar levels of H2O2 and MDA in A. marina leaves, they exhibited growth vigor and efficient C assimilation as indicated by their high TSS and sucrose levels (see below). These results suggest that chloroplasts in A. marina seem to be protected against ROS damage, which indicates that A. marina has developed adaptive mechanisms that could facilitate the persistence of elevated cellular H2O2 as a stress signal [27], as it has been described in the Eutrema salsugineum halophyte [94,95,96]. Interestingly, in Z. coccineum leaves, high MDA levels (Figure 4a) were associated with the highest levels of total PTEs among the tested halophytes. Yet, they contained relatively lower levels of H2O2, suggesting the involvement of ROS other than H2O2 in lipid peroxidation. Toxic levels of PTEs can indirectly deplete low-molecular weight antioxidants [9]. Consistent with that, Z. coccineum leaves had the lowest level of total flavonoids (Figure 5a) and total phenolics (Figure 5b) among the tested species. Toxic levels of the tested PTEs might also have suppressive effects on the activities of some antioxidant enzymes [21,97]. Altogether, these heavy metal-induced responses trigger ROS generation [9], which, in turn, induces high MDA accumulation and lipid peroxidation in Z. coccineum.
The impact of the above differential oxidative stress on C metabolism in the tested species was also monitored. H. crispum, T. nilotica, and A. marina had significantly higher chl a, chl b, and total chl than Z. coccineum and H. perfoliata (Figure 5). Such a high chlorophyll content was associated with both the high carotenoid (Figure 5d) and total leaf N (Figure 6) levels, which are crucial for both chlorophyll synthesis and activity. The relatively high carotenoid levels protect photosynthetic pigments via quenching 1O2 and peroxyl radicals that are generated during excess excitation of chlorophyll as a result of intensive light and high temperatures [34,98]. In addition, the importance of adequate leaf N for chlorophyll synthesis is well documented. Altogether, the two factors improve C assimilation and thus explain the higher foliar TSS and sucrose in H. crispum and A. marina (Figure 5e,f). In T. nilotica, the higher chlorophyll and carotenoid levels were not translated into high TSS and sucrose, and such a response can be ascribed to its high foliar levels of PTEs, particularly Cd, which inhibits the leaf photosynthetic rate and intracellular CO2 concentration of plants and consequently reduces carbohydrate synthesis [92,99]. In H. perfoliata and Z. coccineum, the high salinity in their rhizospheric soil (Table 1) reduced photosynthesis and overall CO2 assimilation via a reduction in the chlorophyll content (Figure 6), decreasing mesophyll CO2 availability as a result of stomatal closure to minimize water loss [100,101,102] and inhibiting Rubisco activity [103]. In addition, high salinity often leads to an over-reduction in the photosynthetic electron transport chain, resulting in a higher demand for alternative energy sinks to prevent photoinhibition of photosystem II (PSII) [104].
Figure 6. Leaf N content. Shown are the mean values of three biological replicates ± standard deviations. On the abscissa axis, the initials of the tested species are reported.

4. Conclusions

The soils of the tested regions are under high risk of contamination with various PTEs as a result of active oil trading and modernization activities. In addition, the successful growth and adaptation of the tested halophytes in the tested salt marshes regardless of their higher salinity and PTE contents indicates that these plants successfully maintain a viable physiological status of their cells under multiple stresses in such harsh environments. In addition, the leaves of the tested halophytes showed differential intercellular tolerance against high levels of most of the tested PTEs which were considerably above their toxic levels. A. marina accumulated exceptionally high Cd, Zn, and Mn along with higher levels of Cr, Co, and Hg, whereas H. perfoliata accumulated the highest levels of Cr and Hg. On the other hand, the leaves of Z. coccineum accumulated high levels of Co, Fe, and Pb, while T. nilotica had higher levels of Cu, Pb, Cd, and Zn. H. crispum leaves accumulated the highest Ni levels among the tested halophytes. These results suggest that the tested halophytes may have high PTE accumulation potentials at the whole plant level since the bio-concentration factors of metals such as Cu, Zn, Cd, Cr, and Hg are usually higher in roots than in leaves [105]. In addition, these results, along with the high biomass of the tested halophytes, highlight their capabilities as phytoextractors of their corresponding PTEs and their high potential as efficient, cost-effective tools for phytoremediation of salt- and PTE-affected lands. However, the increased levels of PTEs in the leaves of the tested halophytes, compared to their permissible levels in vegetables, might limit their uses related to direct human consumption.

Supplementary Materials

The following are available online at https://www.mdpi.com/article/10.3390/su132011282/s1, Table S1: Ecological Risk Assessment Parameters and Their Contamination Levels, Table S2: Median Values of PTE Concentrations (mg kg–1) in Soil (S) and Halophyte (h) Samples in the Current Study Compared to Former Reported Result.

Author Contributions

Conceptualization, F.I. and A.M.; software, N.A.-H.; validation, F.I. and A.M.; formal analysis, F.I. and A.M.; resources, F.I.; data curation, F.I. and M.E.-M.; writing—original draft preparation, N.A.-H. and M.E.-M.; writing—review and editing, F.I. and A.M.; visualization, N.A.-H. and M.E.-M.; supervision, F.I.; project administration, F.I. and N.A.-H.; funding acquisition, F.I. and N.A.-H. All authors have read and agreed to the published version of the manuscript.

Funding

The authors would like to thank the Deanship of Scientific Research at Umm Al-Qura University for supporting this work by Grant Code: 17-SCI−1−03- 0005.

Acknowledgments

The research team would like to thank Mohamed Al-Helasi for his help during samples collection and processing.

Conflicts of Interest

The authors declare no conflict of interest.

References

  1. Sarika, M.; Zikos, A. Coastal Salt Marshes: Structure and Function of Plant Communities. In Handbook of Halophytes: From Molecules to Ecosystems towards Biosaline Agriculture; Grigore, M.-N., Ed.; Springer Nature: Cham, Switzerland, 2021; pp. 199–237. [Google Scholar]
  2. Chen, L.; Gao, J.; Zhu, Q.; Wang, Y.; Yang, Y. Accumulation and Output of Heavy Metals by the Invasive Plant Spartina alterniflora in a Coastal Salt Marsh. Pedosphere 2018, 28, 884–894. [Google Scholar] [CrossRef]
  3. Rajaram, R.; Ganeshkumar, A.; Muralisankar, T.; Sivaperumal, P. Bioaccumulation of metals in mangroves and salt marshes collected from Tuticorin coast of Gulf of Mannar marine biosphere reserve, Southeastern India. Mar. Pollut. Bull. 2020, 160, 111599. [Google Scholar] [CrossRef]
  4. Vane, C.H.; Kim, A.W.; Moss-Hayes, V.; Turner, G.; Mills, K.; Chenery, S.; Barlow, T.S.; Kemp, A.C.; Engelhart, S.E.; Hill, T.D.; et al. Organic pollutants, heavy metals and toxicity in oil spill impacted salt marsh sediment cores, Staten Island, New York City, USA. Mar. Pollut. Bull. 2020, 151, 110721. [Google Scholar] [CrossRef]
  5. Zhao, Q.; Bai, J.; Gao, Y.; Zhang, G.; Lu, Q.; Jia, J. Heavy metal contamination in soils from freshwater wetlands to salt marshes in the Yellow River Estuary, China. Sci. Total. Environ. 2021, 774, 145072. [Google Scholar] [CrossRef]
  6. Alharbi, O.M.; Khattab, R.A.; Ali, I.; Binnaser, Y.S.; Aqeel, A. Assessment of heavy metals contamination in the sediments and mangroves (Avicennia marina) at Yanbu coast, Red Sea, Saudi Arabia. Mar. Pollut. Bull. 2019, 149, 110669. [Google Scholar] [CrossRef]
  7. El-Sorogy, A.S.; Youssef, M.; Al-Kahtany, K. Evaluation of coastal sediments for heavy metal contamination, Yanbu area, Red Sea coast, Saudi Arabia. Mar. Pollut. Bull. 2021, 163, 111966. [Google Scholar] [CrossRef]
  8. Shaltout, K.H.; Ahmed, M.T.; Alrumman, S.A.; Ahmed, D.A.; Eid, E.M. Evaluation of the carbon sequestration capacity of arid mangroves along nutrient availability and salinity gradients along the Red Sea coastline of Saudi Arabia. Oceanologia 2019, 62, 56–69. [Google Scholar] [CrossRef]
  9. Ackova, D.G. Heavy metals and their general toxicity for plants. Plant Sci. Today 2018, 5, 14–18. [Google Scholar] [CrossRef] [Green Version]
  10. Paithankar, J.G.; Saini, S.; Dwivedi, S.; Sharma, A.; Chowdhuri, D.K. Heavy metal associated health hazards: An interplay of oxidative stress and signal transduction. Chemosphere 2021, 262, 128350. [Google Scholar] [CrossRef]
  11. Arif, Y.; Singh, P.; Siddiqui, H.; Bajguz, A.; Hayat, S. Salinity induced physiological and biochemical changes in plants: An omic approach towards salt stress tolerance. Plant Physiol. Biochem. 2020, 156, 64–77. [Google Scholar] [CrossRef]
  12. Nikalje, G.C.; Bhaskar, S.D.; Yadav, K.; Penna, S. Halophytes: Prospective plants for future. In Ecophysiology, Abiotic Stress Responses and Utilization of Halophytes; Springer Nature: Singapore, 2019; pp. 221–234. [Google Scholar]
  13. Sharma, S.S.; Dietz, K.-J. The relationship between metal toxicity and cellular redox imbalance. Trends Plant Sci. 2009, 14, 43–50. [Google Scholar] [CrossRef]
  14. Nikalje, G.; Nikam, T.D.; Suprasanna, P. Looking at halophytic adaptation to high salinity through genomics landscape. Curr. Genom. 2017, 18, 542–552. [Google Scholar] [CrossRef]
  15. Ben Hamed, K.; Ellouzi, H.; Talbi, O.Z.; Hessini, K.; Slama, I.; Ghnaya, T.; Munné-Bosch, S.; Savouré, A.; Abdelly, C. Physiological response of halophytes to multiple stresses. Funct. Plant Biol. 2013, 40, 883–896. [Google Scholar] [CrossRef]
  16. Nikalje, G.C.; Suprasanna, P. Coping with metal toxicity—Cues from halophytes. Front. Plant Sci. 2018, 9, 777. [Google Scholar] [CrossRef]
  17. Matinzadeh, Z.; Akhani, H.; Abedi, M.; Palacio, S. The elemental composition of halophytes correlates with key morphological adaptations and taxonomic groups. Plant Physiol. Biochem. 2019, 141, 259–278. [Google Scholar] [CrossRef] [Green Version]
  18. Rasool, S.G.; Gulzar, S.; Hameed, A.; Edwards, G.E.; Khan, M.A.; Gul, B. Maintenance of photosynthesis and the antioxidant defence systems have key roles for survival of Halopeplis perfoliata (Amaranthaceae) in a saline environment. Plant Biol. 2019, 21, 1167–1175. [Google Scholar] [CrossRef]
  19. Dassanayake, M.; Larkin, J.C. Making plants break a sweat: The structure, function, and evolution of plant salt glands. Front. Plant Sci. 2017, 8, 406. [Google Scholar] [CrossRef] [Green Version]
  20. Lefèvre, I.; Marchal, G.; Ghanem, M.E.; Correal, E.; Lutts, S. Cadmium has contrasting effects on polyethylene glycol—Sensitive and resistant cell lines in the Mediterranean halophyte species Atriplex halimus L. J. Plant Physiol. 2010, 167, 365–374. [Google Scholar] [CrossRef]
  21. Bhaduri, A.M.; Fulekar, M.H. Antioxidant enzyme responses of plants to heavy metal stress. Rev. Environ. Sci. Bio Technol. 2012, 11, 55–69. [Google Scholar] [CrossRef]
  22. Jithesh, M.N.; Prashanth, S.R.; Sivaprakash, K.R.; Parida, A.K. Antioxidative response mechanisms in halophytes: Their role in stress defence. J. Genet. 2006, 85, 237–254. [Google Scholar] [CrossRef]
  23. Keunen, E.; Remans, T.; Bohler, S.; Vangronsveld, J.; Cuypers, A. Metal-Induced Oxidative Stress and Plant Mitochondria. Int. J. Mol. Sci. 2011, 12, 6894–6918. [Google Scholar] [CrossRef] [Green Version]
  24. Mittler, R.; Vanderauwera, S.; Gollery, M.; Van Breusegem, F. Reactive oxygen gene network of plants. Trends Plant Sci. 2004, 9, 490–498. [Google Scholar] [CrossRef]
  25. Bienert, G.; Møller, A.L.; Kristiansen, K.A.; Schulz, A.; Møller, I.M.; Schjoerring, J.K.; Jahn, T.P. Specific Aquaporins Facilitate the Diffusion of Hydrogen Peroxide across Membranes. J. Biol. Chem. 2007, 282, 1183–1192. [Google Scholar] [CrossRef] [Green Version]
  26. Henzler, T.; Steudle, E. Transport and metabolic degradation of hydrogen peroxide in Chara corallina: Model calculations and measurements with the pressure probe suggest transport of H2O2 across water channels. J. Exp. Bot. 2000, 51, 2053–2066. [Google Scholar] [CrossRef] [Green Version]
  27. Bose, J.; Rodrigo-Moreno, A.; Shabala, S. ROS homeostasis in halophytes in the context of salinity stress tolerance. J. Exp. Bot. 2014, 65, 1241–1257. [Google Scholar] [CrossRef] [PubMed]
  28. Demidchik, V. Mechanisms of oxidative stress in plants: From classical chemistry to cell biology. Environ. Exp. Bot. 2015, 109, 212–228. [Google Scholar] [CrossRef]
  29. Miller, G.A.D.; Suzuki, N.; Ciftci-Yilmaz, S.; Mittler, R.O.N. Reactive oxygen species homeostasis and signalling during drought and salinity stresses. Plant Cell Environ. 2010, 33, 453–467. [Google Scholar] [CrossRef] [PubMed]
  30. Tsukagoshi, H.; Busch, W.; Benfey, P.N. Transcriptional Regulation of ROS Controls Transition from Proliferation to Differentiation in the Root. Cell 2010, 143, 606–616. [Google Scholar] [CrossRef] [PubMed] [Green Version]
  31. Das, K.; Roychoudhury, A. Reactive oxygen species (ROS) and response of antioxidants as ROS-scavengers during environmental stress in plants. Front. Environ. Sci. 2014, 2. [Google Scholar] [CrossRef] [Green Version]
  32. Suo, J.; Zhao, Q.; David, L.; Chen, S.; Dai, S. Salinity Response in Chloroplasts: Insights from Gene Characterization. Int. J. Mol. Sci. 2017, 18, 1011. [Google Scholar] [CrossRef]
  33. Asada, K. Production and Scavenging of Reactive Oxygen Species in Chloroplasts and Their Functions. Plant Physiol. 2006, 141, 391–396. [Google Scholar] [CrossRef] [Green Version]
  34. Pospíšil, P. Production of Reactive Oxygen Species by Photosystem II as a Response to Light and Temperature Stress. Front. Plant Sci. 2016, 7, 1950. [Google Scholar] [CrossRef]
  35. MacFarlane, G.; Burchett, M. Photosynthetic Pigments and Peroxidase Activity as Indicators of Heavy Metal Stress in the Grey Mangrove, Avicennia marina (Forsk.) Vierh. Mar. Pollut. Bull. 2001, 42, 233–240. [Google Scholar] [CrossRef]
  36. Mandaville, J.P. Flora of Eastern Saudi Arabia; Routledge: New York, NY, USA, 2013. [Google Scholar]
  37. Chaudhary, S.A. Flora of the Kingdom of Saudi Arabia, Illustrated; Ministry of Agriculture & Water, National Herbarium: Riyadh, Saudi Arabia, 1999. [Google Scholar]
  38. Jackson, M.L. Soil Chemical Analysis: Advanced Course; UW-Madison Libraries Parallel Press: Madison, WI, USA, 2005. [Google Scholar]
  39. Gee, G.W.; Or, D. 2.4 Particle-size analysis. In Methods of Soil Analysis: Part 4 Physical Methods, 5.4; Dane, J.H., Topp, C.G., Eds.; Soil science society of America: Madison, WI, USA, 2002; pp. 255–293. [Google Scholar]
  40. Muller, G. Index of geoaccumulation in sediments of the Rhine River. GeoJournal 1969, 2, 108–118. [Google Scholar]
  41. Shaheen, S.M.; Shams, M.S.; Khalifa, M.R.; El-Dali, M.A.; Rinklebe, J. Various soil amendments and environmental wastes affect the (im)mobilization and phytoavailability of potentially toxic elements in a sewage effluent irrigated sandy soil. Ecotoxicol. Environ. Saf. 2017, 142, 375–387. [Google Scholar] [CrossRef] [PubMed]
  42. Chester, R.; Stoner, J.H. Pb in Particulates from the Lower Atmosphere of the Eastern Atlantic. Nature 1973, 245, 27–28. [Google Scholar] [CrossRef]
  43. Shaheen, S.M.; Antoniadis, V.; Kwon, E.; Song, H.; Wang, S.-L.; Hseu, Z.-Y.; Rinklebe, J. Soil contamination by potentially toxic elements and the associated human health risk in geo- and anthropogenic contaminated soils: A case study from the temperate region (Germany) and the arid region (Egypt). Environ. Pollut. 2020, 262, 114312. [Google Scholar] [CrossRef] [PubMed]
  44. Hakanson, L. An ecological risk index for aquatic pollution control. A sedimentological approach. Water Res. 1980, 14, 975–1001. [Google Scholar] [CrossRef]
  45. Tomlinson, D.L.; Wilson, J.; Harris, C.R.; Jeffrey, D.W. Problems in the assessment of heavy-metal levels in estuaries and the formation of a pollution index. Helgol. Mar. Res. 1980, 33, 566–575. [Google Scholar] [CrossRef] [Green Version]
  46. Ouyang, S.-Q.; Liu, Y.-F.; Liu, P.; Lei, G.; He, S.-J.; Ma, B.; Zhang, W.-K.; Zhang, J.-S.; Chen, S.-Y. Receptor-like kinase OsSIK1 improves drought and salt stress tolerance in rice (Oryza sativa) plants. Plant J. 2010, 62, 316–329. [Google Scholar] [CrossRef]
  47. Zhishen, J.; Mengcheng, T.; Jianming, W. The determination of flavonoid contents in mulberry and their scavenging effects on superoxide radicals. Food Chem. 1999, 64, 555–559. [Google Scholar] [CrossRef]
  48. Alonsoborbalan, A.; Zorro, L.; Guillen, D.; Barroso, C.G. Study of the polyphenol content of red and white grape varieties by liquid chromatography–mass spectrometry and its relationship to antioxidant power. J. Chromatogr. A 2003, 1012, 31–38. [Google Scholar] [CrossRef]
  49. Lichtenthaler, H.K. Chlorophylls and carotenoids: Pigments of photosynthetic biomembranes. In Methods in Enzymology; Academic Press: San Diego, CA, USA, 1987; Volume 148, pp. 350–382. [Google Scholar] [CrossRef]
  50. Hansen, J.; Møller, I. Percolation of starch and soluble carbohydrates from plant tissue for quantitative determination with anthrone. Anal. Biochem. 1975, 68, 87–94. [Google Scholar] [CrossRef]
  51. van Handel, E. Direct microdetermination of sucrose. Anal. Biochem. 1968, 22, 280–283. [Google Scholar] [CrossRef]
  52. Soil Survey Staff. Keys to Soil Taxonomy; United States Department of Agriculture, Soil Conservation Service: Washington, DC, USA, 2010. [Google Scholar]
  53. Gebauer, R.L.E.; Tenhunen, J.D.; Reynolds, J.F. Soil aeration in relation to soil physical properties, nitrogen availability, and root characteristics within an arctic watershed. Plant Soil 1996, 178, 37–48. [Google Scholar] [CrossRef]
  54. Osland, M.J.; Gabler, C.A.; Grace, J.B.; Day, R.H.; McCoy, M.L.; McLeod, J.L.; From, A.S.; Enwright, N.M.; Feher, L.C.; Stagg, C.L.; et al. Climate and plant controls on soil organic matter in coastal wetlands. Glob. Chang. Biol. 2018, 24, 5361–5379. [Google Scholar] [CrossRef] [PubMed]
  55. Mosa, A.; El-Ghamry, A.; Tolba, M. Functionalized biochar derived from heavy metal rich feedstock: Phosphate recovery and reusing the exhausted biochar as an enriched soil amendment. Chemosphere 2018, 198, 351–363. [Google Scholar] [CrossRef]
  56. Mosa, A.; El-Ghamry, A.; Trüby, P.; Omar, M.; Gao, B.; Elnaggar, A.; Li, Y. Chemo-mechanical modification of cottonwood for Pb2+ removal from aqueous solutions: Sorption mechanisms and potential application as biofilter in drip-irrigation. Chemosphere 2016, 161, 1–9. [Google Scholar] [CrossRef]
  57. Falcón, M.; González, C.; García, V.; Báez, J. The effect of chloride and bicarbonate levels in irrigation water on nutrition content, production and quality of cut roses ‘Mercedes’. Sci. Hortic. 1986, 29, 373–385. [Google Scholar] [CrossRef] [Green Version]
  58. Debez, A.; Saadaoui, D.; Slama, I.; Huchzermeyer, B.; Abdelly, C. Responses of Batis maritima plants challenged with up to two-fold seawater NaCl salinity. J. Plant Nutr. Soil Sci. 2010, 173, 291–299. [Google Scholar] [CrossRef]
  59. Cottenie, A. Soil and Plant Testing as a Basis of Fertilizer Recommendations; FAO: Rome, Italy, 1980. [Google Scholar]
  60. Ahmad, Z.; Mosa, A.; Zhan, L.; Gao, B. Biochar modulates mineral nitrogen dynamics in soil and terrestrial ecosystems: A critical review. Chemosphere 2021, 278, 130378. [Google Scholar] [CrossRef] [PubMed]
  61. Mosa, A.; El-Ghamry, A.; Tolba, M. Biochar-supported natural zeolite composite for recovery and reuse of aqueous phosphate and humate: Batch sorption–desorption and bioassay investigations. Environ. Technol. Innov. 2020, 19, 100807. [Google Scholar] [CrossRef]
  62. Yost, R.S.; Uchida, R. Interpreting soil nutrient analysis data. In Plant Nutrient Management in Hawaii Soils; Silva, J.A., Uchida, R.S., Eds.; University of Hawaii: Honolulu, HI, USA, 2000; pp. 87–94. [Google Scholar]
  63. Touchette, B.W.; Burkholder, J.M. Review of nitrogen and phosphorus metabolism in seagrasses. J. Exp. Mar. Biol. Ecol. 2000, 250, 133–167. [Google Scholar] [CrossRef]
  64. Sungur, A.; Soylak, M.; Ozcan, H. Investigation of heavy metal mobility and availability by the BCR sequential extraction procedure: Relationship between soil properties and heavy metals availability. Chem. Speciat. Bioavailab. 2014, 26, 219–230. [Google Scholar] [CrossRef] [Green Version]
  65. Kabata-Pendias, A. Trace Elements in Soils and Plants; CRC Press: Boca Raton, FL, USA, 2010. [Google Scholar]
  66. Zhang, Z.; Guo, G.; Zhao, H.; Wu, D. Partitioning, leachability, and speciation of chromium in the size-fractions of soil contaminated by chromate production. Chemosphere 2020, 263, 128308. [Google Scholar] [CrossRef]
  67. Barnie, S.; Zhang, J.; Wang, H.; Yin, H.; Chen, H. The influence of pH, co-existing ions, ionic strength, and temperature on the adsorption and reduction of hexavalent chromium by undissolved humic acid. Chemosphere 2018, 212, 209–218. [Google Scholar] [CrossRef]
  68. Takahashi, Y.; Minai, Y.; Ambe, S.; Makide, Y.; Ambe, F.; Tominaga, T. Simultaneous determination of stability constants of humate complexes with various metal ions using multitracer technique. Sci. Total. Environ. 1997, 198, 61–71. [Google Scholar] [CrossRef]
  69. Mangwandi, C.; Kurniawan, T.A.; Albadarin, A.B. Comparative biosorption of chromium (VI) using chemically modified date pits (CM-DP) and olive stone (CM-OS): Kinetics, isotherms and influence of co-existing ions. Chem. Eng. Res. Des. 2020, 156, 251–262. [Google Scholar] [CrossRef]
  70. Woodward, G.L.; Peacock, C.L.; Otero-Fariña, A.; Thompson, O.R.; Brown, A.P.; Burke, I.T. A universal uptake mechanism for cobalt(II) on soil constituents: Ferrihydrite, kaolinite, humic acid, and organo-mineral composites. Geochim. Cosmochim. Acta 2018, 238, 270–291. [Google Scholar] [CrossRef]
  71. Rawat, K.S.; Kumar, R.; Singh, S.K. Topographical distribution of cobalt in different agro-climatic zones of Jharkhand state, India. Geol. Ecol. Landscapes 2019, 3, 14–21. [Google Scholar] [CrossRef]
  72. Jalali, M.; Majeri, M.; Najafi, S. Kinetic release and fractionation of cobalt in some calcareous soils. J. Geochem. Explor. 2019, 204, 131–141. [Google Scholar] [CrossRef]
  73. Cao, J.; Lam, K.; Dawson, R.; Liu, W.; Tao, S. The effect of pH, ion strength and reactant content on the complexation of Cu2+ by various natural organic ligands from water and soil in Hong Kong. Chemosphere 2004, 54, 507–514. [Google Scholar] [CrossRef]
  74. Rowley, M.C.; Grand, S.; Verrecchia, P. Calcium-mediated stabilisation of soil organic carbon. Biogeochemistry 2018, 137, 27–49. [Google Scholar] [CrossRef] [Green Version]
  75. Quintanilla-Villanueva, G.; Villanueva-Rodríguez, M.; Guzmán-Mar, J.; Torres-Gaytan, D.; Hernández-Ramírez, A.; Orozco-Rivera, G.; Hinojosa-Reyes, L. Mobility and speciation of mercury in soils from a mining zone in Villa Hidalgo, SLP, Mexico: A preliminary risk assessment. Appl. Geochem. 2020, 122, 104746. [Google Scholar] [CrossRef]
  76. Chukhrov, F.V.; Gorshkov, A.I.; Rudnitskaya, E.S.; Beresovskaya, V.V.; Sivtsov, A.V. Manganese minerals in clays: A review. Clays Clay Miner. 1980, 28, 346–354. [Google Scholar] [CrossRef]
  77. Yin, X.; Yu, L.; Luo, X.; Zhang, Z.; Sun, H.; Mosa, A.; Wang, N. Sorption of Pb(II) onto <1 μm effective diameter clay minerals extracted from different soils of the Loess Plateau, China. Geoderma 2018, 337, 1058–1066. [Google Scholar] [CrossRef]
  78. Ahmad, Z.; Gao, B.; Mosa, A.; Yu, H.; Yin, X.; Bashir, A.; Ghoveisi, H.; Wang, S. Removal of Cu(II), Cd(II) and Pb(II) ions from aqueous solutions by biochars derived from potassium-rich biomass. J. Clean. Prod. 2018, 180, 437–449. [Google Scholar] [CrossRef]
  79. Leite, C.M.D.C.; Muraoka, T.; Colzato, M.; Alleoni, L.R.F. Soil-applied Zn effect on soil fractions. Sci. Agricola 2020, 77. [Google Scholar] [CrossRef] [Green Version]
  80. Singh, D.; McLaren, R.G.; Cameron, K.C. Effect of pH on Zinc Sorption–Desorption by Soils. Commun. Soil Sci. Plant Anal. 2008, 39, 2971–2984. [Google Scholar] [CrossRef]
  81. Chiroma, T.M.; Ebewele, R.O.; Hymore, F.K. Comparative assessment of heavy metal levels in soil, vegetables and urban grey waste water used for irrigation in Yola and Kano. Int. Refereed J. Eng. Sci. 2014, 3, 1–9. [Google Scholar]
  82. Namazi, R.; Zabihollahi, R.; Behbahani, M.; Rezaei, A. Inhibitory activity of Avicennia marina, a medicinal plant in Persian folk medicine, against HIV and HSV. Iran. J. Pharm. Res. 2013, 12, 435. [Google Scholar] [PubMed]
  83. Abdelgawad, A.A. Tamarix nilotica (Ehrenb) bunge: A review of phytochemistry and pharmacology. J. Microb. Biochem. Technol. 2017, 9, 544–553. [Google Scholar]
  84. Wang, G.; Su, M.-Y.; Chen, Y.-H.; Lin, F.-F.; Luo, D.; Gao, S.-F. Transfer characteristics of cadmium and lead from soil to the edible parts of six vegetable species in southeastern China. Environ. Pollut. 2006, 144, 127–135. [Google Scholar] [CrossRef] [PubMed]
  85. Ghnaya, T.; Slama, I.; Messedi, D.; Grignon, C.; Ghorbel, M.H.; Abdelly, C. Effects of Cd2+ on K+, Ca2+ and N uptake in two halophytes Sesuvium portulacastrum and Mesembryanthemum crystallinum: Consequences on growth. Chemosphere 2007, 67, 72–79. [Google Scholar] [CrossRef]
  86. Han, R.M.; Lefèvre, I.; Albacete, A.; Pérez-Alfocea, F.; Barba-Espín, G.; Díaz-Vivancos, P.; Quinet, M.; Ruan, C.J.; Hernández, J.A.; Cantero-Navarro, E. Antioxidant enzyme activities and hormonal status in response to Cd stress in the wetland halophyte Kosteletzkya virginica under saline conditions. Physiol. Plant. 2013, 147, 352–368. [Google Scholar] [CrossRef]
  87. Ksouri, R.; Falleh, H.; Megdiche, W.; Trabelsi, N.; Mhamdi, B.; Chaieb, K.; Bakrouf, A.; Magné, C.; Abdelly, C. Antioxidant and antimicrobial activities of the edible medicinal halophyte Tamarix gallica L. and related polyphenolic constituents. Food Chem. Toxicol. 2009, 47, 2083–2091. [Google Scholar] [CrossRef]
  88. Demiral, T.; Turkan, I. Comparative lipid peroxidation, antioxidant defense systems and proline content in roots of two rice cultivars differing in salt tolerance. Environ. Exp. Bot. 2005, 53, 247–257. [Google Scholar] [CrossRef]
  89. Asada, K. The water-water cycle in chloroplasts: Scavenging of Active Oxygens and Dissipation of Excess Photons. Annu. Rev. Plant Biol. 1999, 50, 601–639. [Google Scholar] [CrossRef]
  90. Foyer, C.H.; Noctor, G. Redox sensing and signalling associated with reactive oxygen in chloroplasts, peroxisomes and mitochondria. Physiol. Plant. 2003, 119, 355–364. [Google Scholar] [CrossRef] [Green Version]
  91. Zhou, Z.S.; Huang, S.Q.; Guo, K.; Mehta, S.K.; Zhang, P.C.; Yang, Z.M. Metabolic adaptations to mercury-induced oxidative stress in roots of Medicago sativa L. J. Inorg. Biochem. 2007, 101, 1–9. [Google Scholar] [CrossRef]
  92. Yadav, S. Heavy metals toxicity in plants: An overview on the role of glutathione and phytochelatins in heavy metal stress tolerance of plants. S. Afr. J. Bot. 2010, 76, 167–179. [Google Scholar] [CrossRef] [Green Version]
  93. Zhang, W.-H.; Tyerman, S. Inhibition of Water Channels by HgCl2 in Intact Wheat Root Cells1. Plant Physiol. 1999, 120, 849–858. [Google Scholar] [CrossRef] [PubMed] [Green Version]
  94. Apel, K.; Hirt, H. Reactive oxygen species: Metabolism, oxidative stress, and signal transduction. Annu. Rev. Plant Biol. 2004, 55, 373–399. [Google Scholar] [CrossRef] [Green Version]
  95. Ellouzi, H.; Ben Hamed, K.; Hernández, I.; Cela, J.; Müller, M.; Magné, C.; Abdelly, C.; Munné-Bosch, S. A comparative study of the early osmotic, ionic, redox and hormonal signaling response in leaves and roots of two halophytes and a glycophyte to salinity. Planta 2014, 240, 1299–1317. [Google Scholar] [CrossRef]
  96. Kazachkova, Y.; Eshel, G.; Pantha, P.; Cheeseman, J.M.; Dassanayake, M.; Barak, S. Halophytism: What have we learnt from Arabidopsis thaliana relative model systems? Plant Physiol. 2018, 178, 972–988. [Google Scholar] [CrossRef] [Green Version]
  97. Stohs, S.J.; Bagchi, D. Oxidative mechanisms in the toxicity of metal ions. Free. Radic. Biol. Med. 1995, 18, 321–336. [Google Scholar] [CrossRef] [Green Version]
  98. Kruk, J.; Szymańska, R. Singlet oxygen oxidation products of carotenoids, fatty acids and phenolic prenyllipids. J. Photochem. Photobiol. B Biol. 2021, 216, 112148. [Google Scholar] [CrossRef] [PubMed]
  99. Dong, J.; Wu, F.; Zhang, G. Influence of cadmium on antioxidant capacity and four microelement concentrations in tomato seedlings (Lycopersicon esculentum). Chemosphere 2006, 64, 1659–1666. [Google Scholar] [CrossRef]
  100. Eisa, S.; Hussin, S.; Geissler, N.; Koyro, H.W. Effect of NaCl salinity on water relations, photosynthesis and chemical composition of Quinoa (‘Chenopodium quinoa’Willd.) as a potential cash crop halophyte. Aust. J. Crop. Sci. 2012, 6, 357–368. [Google Scholar]
  101. Maricle, B.R.; Lee, R.W.; Hellquist, C.E.; Kiirats, O.; Edwards, G.E. Effects of salinity on chlorophyll fluorescence and CO2 fixation in C4 estuarine grasses. Photosynthetica 2007, 45, 433–440. [Google Scholar] [CrossRef]
  102. Naidoo, G.; Naidoo, Y.; Achar, P. Ecophysiological responses of the salt marsh grass Spartina maritima to salinity. Afr. J. Aquat. Sci. 2012, 37, 81–88. [Google Scholar] [CrossRef]
  103. Koyro, H.-W.; Hussain, T.; Huchzermeyer, B.; Khan, M.A. Photosynthetic and growth responses of a perennial halophytic grass Panicum turgidum to increasing NaCl concentrations. Environ. Exp. Bot. 2013, 91, 22–29. [Google Scholar] [CrossRef]
  104. Sunil, B.; Saini, D.; Bapatla, R.B.; Aswani, V.; Raghavendra, A.S. Photorespiration is complemented by cyclic electron flow and the alternative oxidase pathway to optimize photosynthesis and protect against abiotic stress. Photosynth. Res. 2019, 139, 67–79. [Google Scholar] [CrossRef] [PubMed]
  105. Yan, Z.; Sun, X.; Xu, Y.; Zhang, Q.; Li, X. Accumulation and Tolerance of Mangroves to Heavy Metals: A Review. Curr. Pollut. Rep. 2017, 3, 302–317. [Google Scholar] [CrossRef]
Publisher’s Note: MDPI stays neutral with regard to jurisdictional claims in published maps and institutional affiliations.

Article Metrics

Citations

Article Access Statistics

Multiple requests from the same IP address are counted as one view.