Characterization of Carbonaceous Deposits on an End-of-Life Engines for Effective Cleaning for Remanufacturing
Abstract
1. Introduction
2. Experimental
2.1. Sample
2.2. Characterization Analysis
2.3. Molten Salt Cleaning Procedure
3. Results and Discussion
3.1. Composition
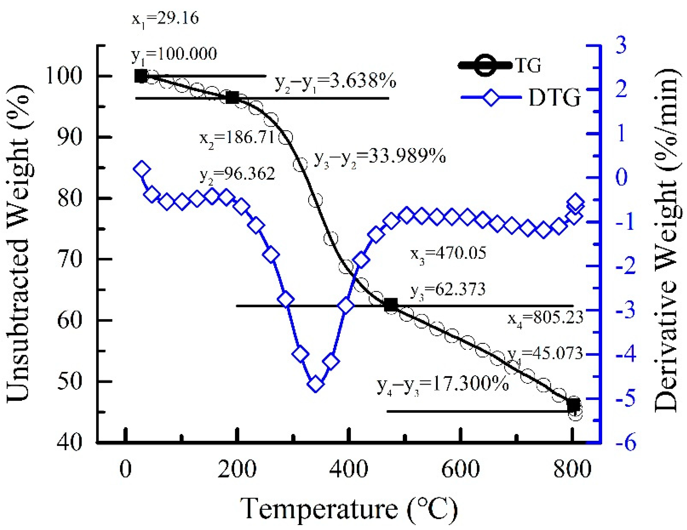
3.2. Organic and Inorganic Components in the Deposit
3.3. Structure Analysis
3.4. Cleaning Effect of Molten Salt on the Carbonaceous Deposit
4. Conclusions
- The important roles of organics and inorganics in the carbonaceous deposits in end-of-life engines have been confirmed. The interlayer of organic and inorganic matter enhances the stability of the deposits. The most distinguishing feature of carbonaceous deposits on end-of-life engines is the hybrid structure composed of organics and inorganics.
- The organic matter was mainly comprised of alkanes and their polymers. The inorganic matter mainly comprised inorganic salts and crystalline carbon. It all originated from fuel or lubricant oil.
- There is a need for a compound cleaning method or a cleaning method with compound effects to remove carbonaceous deposits on end-of-life engines. The effect of molten-salt cleaning on this deposit were tested, which verified that the proposed cleaning method is feasible and effective. However, further cleaning is needed for the denaturation layer. Therefore, further research in this direction is needed to explore a more effective compound cleaning method for this hybrid structure.
Author Contributions
Funding
Institutional Review Board Statement
Informed Consent Statement
Data Availability Statement
Conflicts of Interest
References
- Ayodele, T.; Alao, M.; Ogunjuyigbe, A. Recyclable resources from municipal solid waste: Assessment of its energy, economic and environmental benefits in Nigeria. Resour. Conserv. Recycl. 2018, 134, 165–173. [Google Scholar] [CrossRef]
- Matsumoto, M.; Yang, S.; Martinsen, K.; Kainuma, Y. Trends and research challenges in remanufacturing. Int. J. Precis. Eng. Manuf. Technol. 2016, 3, 129–142. [Google Scholar] [CrossRef]
- Bernard, S. Remanufacturing. J. Environ. Econ. Manag. 2011, 62, 337–351. [Google Scholar] [CrossRef]
- Jiang, Z.; Wang, H.; Zhang, H.; Mendis, G.; Sutherland, J.W. Value recovery options portfolio optimization for remanufacturing end of life product. J. Clean. Prod. 2019, 210, 419–431. [Google Scholar] [CrossRef]
- Ilgın, M.A.; Gupta, S.M. Remanufacturing Modeling and Analysis; CRC Press: Boca Raton, FL, USA, 2012. [Google Scholar]
- Hatcher, G.; Ijomah, W.L.; Windmill, J.F.C. Design for remanufacture: A literature review and future research needs. J. Clean. Prod. 2011, 19, 2004–2014. [Google Scholar] [CrossRef]
- Li, M.-Z.; Liu, W.-W.; Qing, X.-C.; Yu, Y.; Liu, L.-H.; Tang, Z.-J.; Wang, H.-J.; Dong, Y.-Z.; Zhang, H. Feasibility study of a new approach to removal of paint coatings in remanufacturing. J. Mater. Process. Technol. 2016, 234, 102–112. [Google Scholar] [CrossRef]
- Liu, W.-W.; Zhang, B.; Li, Y.-Z.; He, Y.-M.; Zhang, H. An environmentally friendly approach for contaminants removal using supercritical CO2 for remanufacturing industry. Appl. Surf. Sci. 2014, 292, 142–148. [Google Scholar] [CrossRef]
- Liu, W.; Zhang, B.; Li, M.Z.; Li, Y.; Zhang, H.-C. Study on Remanufacturing Cleaning Technology in Mechanical Equipment Remanufacturing Process. In Re-engineering Manufacturing for Sustainability; Springer: Singapore, 2013; pp. 643–648. [Google Scholar]
- Liu, W.W.; Zhang, H.; Liu, L.H.; Qing, X.C.; Tang, Z.J.; Li, M.Z.; Yin, J.S.; Zhang, H.C. Remanufacturing cathode from end-of-life of lithium-ion secondary batteries by Nd:YAG laser radiation. Clean Technol. Environ. Policy 2016, 18, 231–243. [Google Scholar] [CrossRef]
- Mousavi, P.; Wang, D.; Grant, C.S.; Oxenham, W.; Hauser, P.J. Effects of Antioxidants on the Thermal Degradation of a Polyol Ester Lubricant Using GPC. Ind. Eng. Chem. Res. 2006, 45, 15–22. [Google Scholar] [CrossRef]
- Richter, H.; Howard, J.B. Formation of polycyclic aromatic hydrocarbons and their growth to soot—A review of chemical reaction pathways. Prog. Energy Combust. Sci. 2000, 26, 565–608. [Google Scholar] [CrossRef]
- Kalghatgi, G.T. Combustion Chamber Deposits in Spark-Ignition Engines: A Literature Review. SAE Tech. Paper Ser. 1995, 104, 225–228. [Google Scholar] [CrossRef]
- Diaby, M.; Sablier, M.; Le Negrate, A.; El Fassi, M.; Bocquet, J. Understanding carbonaceous deposit formation resulting from engine oil degradation. Carbon 2009, 47, 355–366. [Google Scholar] [CrossRef]
- Kouame, S.D.; Liu, E. Characterization of fully and partially additized lubricant deposits by Temperature Programmed Oxidation. Tribol. Int. 2014, 72, 58–64. [Google Scholar] [CrossRef]
- Haji-Sulaiman, M.Z.; Mat-Isa, F. The effects of different gasoline blends doped with used engine oil on the forming tendency of simulated intake—Valve deposits. Proc. Inst. Mech. Eng. Part D J. Automob. Eng. 1999, 213, 47–51. [Google Scholar] [CrossRef]
- Sasaki, A.; Uchiyama, S.; Kawasaki, M. GPC analysis of oil insoluble oxidation products of mineral oil. Lubr. Eng. 1991, 47, 525–527. [Google Scholar]
- Palmas, S.; Da Pozzo, A.; Delogu, F.; Mascia, M.; Vacca, A.; Guisbiers, G. Characterization of TiO2 nanotubes obtained by electrochemical anodization in organic electrolytes. J. Power Sources 2012, 204, 265–272. [Google Scholar] [CrossRef]
- Smith, G. Surface analytical science and automotive lubrication. J. Phys. D Appl. Phys. 2000, 33, R187–R197. [Google Scholar] [CrossRef]
- Smith, G.; Hopwood, A.B.; Titchener, K.J. Microcharacterization of heavy-duty diesel engine piston deposits. Surf. Interface Anal. 2002, 33, 259–268. [Google Scholar] [CrossRef]
- Chen, C.-I.; Hsu, S.M. A Chemical Kinetics Model to Predict Lubricant Performance in a Diesel Engine. Part I: Simulation Methodology. Tribol. Lett. 2003, 14, 83–90. [Google Scholar] [CrossRef]
- Diaby, M.; Singhal, P.; Ousmane, M.; Sablier, M.C.; Le Negrate, A.; El Fassi, M.; Zymla, V. Impact factors for the degradation of engine oil causing carbonaceous deposits in the piston’s grooves of Diesel engines. Fuel 2013, 107, 90–101. [Google Scholar] [CrossRef]
- Shu, G.; Dong, L.; Liang, X. A review of experimental studies on deposits in the combustion chambers of internal combustion engines. Int. J. Engine Res. 2012, 13, 357–369. [Google Scholar] [CrossRef]
- Kalbitz, K.; Schwesig, D.; Rethemeyer, J.; Matzner, E. Stabilization of dissolved organic matter by sorption to the mineral soil. Soil Biol. Biochem. 2005, 37, 1319–1331. [Google Scholar] [CrossRef]
- Eser, S.; Venkataraman, R.; Altin, O. Deposition of Carbonaceous Solids on Different Substrates from Thermal Stressing of JP-8 and Jet A Fuels. Ind. Eng. Chem. Res. 2006, 45, 8946–8955. [Google Scholar] [CrossRef]
- Xing, W.; Xiujie, J.; Fangyi, L.; Mingbin, Y.; Jian, Z.; YIhang, S. Study on the forming mechanism of carbonaceous deposit on remanufacturing engine. J. Mech. Eng. 2017, 53, 69–75. [Google Scholar]
- Jinjia, W. Surface Denaturation Layer and Formation Mehcanism of Remanufacturing Blank; Hefei University of Technology: Hefei, China, 2014. [Google Scholar]









| Element | Mass Fraction (%) |
|---|---|
| C | 24.3559 |
| O | 10.4700 |
| S | 8.7396 |
| Ca | 18.4773 |
| Fe | 12.2681 |
| Zn | 12.1216 |
| Si | 4.2892 |
| P | 3.1958 |
| Al | 2.3089 |
| Other Metals | 3.7734 |
| Sample (a) | Sample (b) | Sample (c) | |
|---|---|---|---|
| Before cleaning | ![]() | ![]() | ![]() |
| After molten salt cleaning | ![]() | ![]() | ![]() |
Publisher’s Note: MDPI stays neutral with regard to jurisdictional claims in published maps and institutional affiliations. |
© 2021 by the authors. Licensee MDPI, Basel, Switzerland. This article is an open access article distributed under the terms and conditions of the Creative Commons Attribution (CC BY) license (http://creativecommons.org/licenses/by/4.0/).
Share and Cite
Wang, X.; Li, J.; Jia, X.; Ma, M.; Ren, Y. Characterization of Carbonaceous Deposits on an End-of-Life Engines for Effective Cleaning for Remanufacturing. Sustainability 2021, 13, 950. https://doi.org/10.3390/su13020950
Wang X, Li J, Jia X, Ma M, Ren Y. Characterization of Carbonaceous Deposits on an End-of-Life Engines for Effective Cleaning for Remanufacturing. Sustainability. 2021; 13(2):950. https://doi.org/10.3390/su13020950
Chicago/Turabian StyleWang, Xing, Jianfeng Li, Xiujie Jia, Mingliang Ma, and Yuan Ren. 2021. "Characterization of Carbonaceous Deposits on an End-of-Life Engines for Effective Cleaning for Remanufacturing" Sustainability 13, no. 2: 950. https://doi.org/10.3390/su13020950
APA StyleWang, X., Li, J., Jia, X., Ma, M., & Ren, Y. (2021). Characterization of Carbonaceous Deposits on an End-of-Life Engines for Effective Cleaning for Remanufacturing. Sustainability, 13(2), 950. https://doi.org/10.3390/su13020950






