Abstract
Dependence on fossil fuels for meeting the growing energy demand is damaging the world’s environment. There is a dire need to look for alternative fuels that are less potent to greenhouse gas emissions. Biofuels offer several advantages with less harmful effects on the environment. Biodiesel is synthesized from the organic wastes produced extensively like edible, non-edible, microbial, and waste oils. This study reviews the feasibility of the state-of-the-art feedstocks for sustainable biodiesel synthesis such as availability, and capacity to cover a significant proportion of fossil fuels. Biodiesel synthesized from oil crops, vegetable oils, and animal fats are the potential renewable carbon-neutral substitute to petroleum fuels. This study concludes that waste oils with higher oil content including waste cooking oil, waste palm oil, and algal oil are the most favorable feedstocks. The comparison of biodiesel production and parametric analysis is done critically, which is necessary to come up with the most appropriate feedstock for biodiesel synthesis. Since the critical comparison of feedstocks along with oil extraction and biodiesel production technologies has never been done before, this will help to direct future researchers to use more sustainable feedstocks for biodiesel synthesis. This study concluded that the use of third-generation feedstocks (wastes) is the most appropriate way for sustainable biodiesel production. The use of innovative costless oil extraction technologies including supercritical and microwave-assisted transesterification method is recommended for oil extraction.
1. Introduction
Biodiesel is a biodegradable, energy competitive, and renewable resource with the ability to meet the energy need of the world [1,2]. It is the feasible solution replacing fossil fuels causing ozone depletion and environmental degradation. It is a renewable fuel that emits fewer emissions on burning and it can be implemented to existing petroleum diesel engines without retrofitting. It is also referred to as Eco-Diesel (particularly when derived from Pig Pancreatic Lipase) [3]. Biodiesel is usually known by its primary feedstocks including vegetable oils and animal fats [4]. Since the carbon present in oils is generally originated from carbon dioxide present in the air (uptake by a plant in photosynthesis), biodiesel’s contribution to global warming is much lesser than fossil fuels. Use of biodiesel as a potential energy source offers the advantage of sustainability since the CO2 released on combustion will be used again by nature for feedstock preparation, an effect called ‘Closed Carbon Cycle’ or ‘Carbon Neutral Cycle’. Figure 1 shows the carbon dioxide closed cycle for biofuels. This represents the process that when renewable plant source is converted into biodiesel, emission with zero carbon dioxide takes place.
Figure 1.
Carbon dioxide closed loop cycle for biofuels [3].
Like petro-diesel fuel, it can be easily stored anywhere as it has good storage properties. The chemical hazards and risks associated with handling, transportation, and storage of the biodiesel are less than the conventional diesel fuel. Biodiesel can be handled safely because of its biodegradability and greater flash point than petro-diesel [5]. Biodiesel is produced through transesterification using diverse feedstocks resources like edible, non-edible, and waste oils. The synthesis of biodiesel using waste cooking oil and animal fats offers a potential market to use waste oils [6]. The selection of feedstock has a notable effect on biodiesel synthesis as 70% of the product cost depends on the feedstock. This review highlights the advantages and disadvantages of commonly used feedstocks for sustainable biodiesel production. However, this study highlights the best available technologies for oil extraction so that the use of non-edibles can be made possible for oil extraction to implement for sustainable biodiesel production. The comparison of biodiesel production and parametric analysis is done critically, which is necessary to come up with the most appropriate feedstock for biodiesel synthesis. Since the comparison of feedstocks based on availability and cost along with oil extraction and biodiesel production technologies has never been done before, this will help to direct future researchers to use cheaper and sustainable feedstocks for biodiesel synthesis.
2. Feedstocks for Biodiesel Production
At present, more than 350 oil-producing crops have been considered globally as a potential source of triglycerides to produce biodiesel. The selection of suitable feedstock is the critical factor to produce biodiesel [7]. Preferably, suitable feedstock must fulfil two demands, which are industrial-scale production with the minimum associated cost.
Type and Availability
The cheaper and easier availability of raw material for biodiesel synthesis is influenced by the weather conditions of the region, local conditions of soil, topographical location, and farming procedures adopted by the country. The feedstocks for biodiesel synthesis are majorly classified into four main categories [8,9,10]. The four classifications of feedstocks for biodiesel synthesis are shown in Figure 2. The parameters like oil content and overall cultivation yield of agricultural land are the key parameters to consider any new feedstock of biodiesel synthesis. Figure 2 indicates the oil content present in various feedstocks.
Figure 2.
The oil content of feedstocks for biodiesel synthesis [11,12].
The first-generation feedstocks are considered as readily available sources to produce biodiesel. The edible oils include palm [13,14], coconut [15], olive, mustard, soybean [16], rapeseed [17], and sunflower oil [18]. The application of edible oils over the years has affected the supply, since this practice affects the food market globally, destabilizing the availability and prices. Therefore, edible oils are too costly to be used for fuel production since they have a high demand for food [19]. Hence, the world may face the ‘food vs. fuel’ soon if the use of first-generation feedstocks for biodiesel synthesis continues. Their applicability to synthesize biodiesel can cause an increase in the cost of both biodiesel and oils [14]. The process has negative effects on the environment due to its demands for a larger area of land for feedstock cultivation. This causes deforestation especially in tropical regions including Indonesia and Malaysia, supplying greater than 75% of palm oil supply to the world. Continuation of this practice for biodiesel synthesis would damage flora and fauna, with influences culminating in weather changes. The investigation of alternative feedstocks for biodiesel synthesis was aimed to decrease the dependence on first-generation feedstocks [20]. The application of non-edible oils to synthesize biodiesel is considered beneficial in comparison to edible oils to avoid the food crisis and make the biodiesel as a cost-effective process. The oil extraction and processing for biodiesel synthesis is a complex process that increases the overall production cost [21]. The second-generation feedstocks discussed above are available in large amounts in nature because of the lack of competition with food [22]. The growth rate and yield of seeds of non-edible oil plant are much lesser. The non-edible oils-producing plants have an excellent vegetative growing capacity, but the quantity of seeds obtained from a single plant is very minimal [23]. The classification of various feedstocks based on the composition of fatty acids is given in Table 1.
Table 1.
Fatty acid composition of different feedstocks for biodiesel production.
Extraction of oils from non-edible oils sources is a complex process that leads to the increase of cost of non-edible oil biodiesel [24]. Moreover, oils yield from seeds is low and the process of oil extraction is complex, making them an inappropriate choice. These drawbacks are considered as a hurdle to use them for industrial biodiesel synthesis [25,26]. The comparison of the cost of plantation and oil yield for various edible and non-edible oils is presented in Table 2. Among edible oils, palm oil feedstock has the highest oil yield with a slightly higher cost. Similarly, the cost of cultivation is also higher among others giving a higher oil yield.
Table 2.
Comparison of cost of plantation and oil yield of edible and non-edible oils.
There are several other reasons to promote these oils for biodiesel production due to their sustainability: (1) These oils are feasible and sustained by the positive public opinion of biodiesel production and (2) they avoid the fuel vs. food controversy [27].
3. Oil Extraction Processes
The extraction of oil is the most important step in biodiesel synthesis. In oil extraction, physical, chemical, or enzymatic treatments are applied to the plant to recover the oil. The major products include crude oil and cakes of the already-used plant. The cake produced in this step is not used in further processing. The state-of-the-art existing oil extraction technologies are discussed in detail on the basis of applicability, cost, efficiency, and hazards on the environment.
3.1. Mechanical Extraction
In mechanical extraction of oil, manual ram pressing, or engine driven screw pressing is used. Engine-driven screw has an efficiency of 68–80% of the oil content, while manual pressing can give the efficiency of 60–65%. After mechanical pressing, filtration and degumming are used to recover the oil. The challenge of using mechanical pressing is the only application for specific seeds [28]. However, pre-treatment procedures enhanced the recovery of oil for screw presses, giving 89% efficiency in a single pass and 91% for a double pass [29].
3.2. Steam Distillation
Steam distillation is a removal process that is applicable for the extraction of oil from temperature-sensitive plants containing aromatic compounds [30]. Without applying the maceration, plant material containing oil is introduced in the setup, exposed to steam. The steam passes through the charged feed, as presented in Figure 3.
Figure 3.
Apparatus for performing steam distillation.
The steam distillation system produces a product consisting of vapor and crude oil, which can be taken off after removal of vapors [31]. This method can also be followed under pressure variance based on the nature of plant material and the problem of recovering oil at the room temperature [31]. The process has the advantages of low thermal deterioration since the operating temperature does not exceed 100 °C. However, this process has some limitations i.e., raw material required for the extraction must be evenly distributed for greater recovery of oil. A different predicament related to this process is that cold feed is charged. Until the temperature of the whole feed charged approaches the steam temperature being introduced, the wetting process continues. This process requires higher capital investment and when low market value products are produced, and the investment costs may require several years for a full recovery.
3.3. Solvent Extraction
3.3.1. Soxhlet Extraction
A Soxhlet extractor is a laboratory-scale unit [32] developed in 1879 by Franz von Soxhlet [33] to extract a component from a mixture, as shown in Figure 4. The process requires a small amount of solvent to extract a higher amount of the targeted compound. It promotes solid and liquid to recover the desired compounds from the solid matrix using a suspension of a matrix into the refluxing solvent.
Figure 4.
Soxhlet apparatus for oil recovery.
The solid matrix is kept in a space that continuously receives the solvent by the condensation of its vapors moving through the distillation arm. After achieving a certain value, the liquid is taken from the cavity by a siphon moving back into the distillation chamber. Al-Hamamre et al. [34] used a Soxhlet apparatus to extract the coffee oil from spent coffee leaves, taken from a pressurized bean-to-cup coffee machine. The extraction of oil was done using n-hexane to check the efficiency of the solvents giving maximum oil extraction yield. Hexane gave the highest yield of 15.28% in 30 min. Soxhlet extraction has various benefits such as the same solvent can be used after recycling until it is completely saturated with the analyte. Even if a certain sample contains a quantity of solvent that is not recycled, it can be utilized to extract the oil using fresh samples of the solvent. The extraction process has some limitations such as the increase in time required, such as several hours or days. The enhanced temperature of the system for a long time causes the thermal degradation of the material of construction of distillation flask. The procedure is not in favor of the environment due to possible pollution problems occurring due to the use of flammable and toxic solvents. In addition, the process can be used for the recovery of tiny and finely divided solid samples [35].
3.3.2. Chemical Leaching
This is the process of recovery of a component from a solid feedstock using a solvent. Several factors affect the chemical leaching process such as the size of a particle, type of the liquid used, temperature, and mixing speed of the system. Small particle size is used to allow the interfacial area between the feedstock and the solvent. The viscosity of the solvent must be lower to promote free circulation. Temperature is also the significant parameter influencing the rate of extraction, the solubility of the oil rises with temperature increase. Rate of mixing is also one of the factors affecting the process, since it promotes the rate of diffusion, consequently enhancing the material transfer from the surface of the particle.
3.3.3. Enzymatic Oil Extraction
Enzymatic oil extraction is a feasible process used for oil recovery. The method utilizes suitable enzymes to extract the oil from seeds. Although the process is proving its potential, the application of this technology is still facing limitations such as higher cost of enzymes, higher incubation time, and the need for de-emulsification during downstream processing [28,36]. The implementation of techniques such as affinity chromatography and perfusion chromatography makes the downstream processing easier, while the immobilization of enzymes minimizes the enzyme losses and overall cost [37]. However, enzymes immobilization causes the reduction of reaction rates due to steric hindrance. Moreover, the application of solvents such as n-hexane increases the production of wastewater and release of volatile organic matter, besides n-hexane flammability and toxicity [38]. This requires the use of a substitute extraction process such as an aqueous enzymatic oil system along with ultrasonication pre-treatment [28,29].
3.3.4. Supercritical Fluid Extraction
The application of supercritical fluids is extensive to extract metal cations and oils. The use of carbon dioxide is most common for supercritical extraction of essential oils due to its low critical temperature and pressure conditions. Moreover, CO2 is non-toxic and non-flammable and is available at low cost in highly pure form. It can be completely removed from the extract in a much easier way [39]. The non-polar nature of CO2 limits its applicability for the extraction of non-polar analytes [40]. Supercritical extraction uses CO2 as the supercritical solvent but the application of co-solvents like methanol or ethanol is recommended to add according to the nature of extracted analytes. Fadel et al. [41] found that extracts containing analytes using supercritical fluids exhibited higher antioxidation activity giving the higher yield and lower viscosity in comparison with the extracts recovered implementing other technologies. This process allows the flexible extraction of the targeted compound due to the characteristics of the supercritical fluid can be changed by varying the operating conditions. Polyphenols can be separated using pure supercritical CO2 at elevated pressures after that unsaturated fatty acids can be recovered by adding the co-solvent (ethanol) [42]. The process is faster since the extraction process takes place on the phenomena of diffusion, which concludes that high diffusivities at supercritical conditions lead to favoring the rate of extraction. However, the need for high pressures limits the application of supercritical fluid extraction in comparison with conventional technologies.
3.3.5. Microwave-Assisted Extraction
The extraction of oil using microwave-assisted method is an innovative hydro-distillation process that uses microwave heating. It has been effectively used for the extraction of constituents from various plants and presented in previous studies. Microwave heating is done with direct contact of plant materials and is fluctuated by two phenomena: Conduction through ion movement (known as ‘ionic conduction) and dipole rotation, both occurring simultaneously [43]. Therefore, the microwave heating is mainly produced due to electric field applied showing a huge dependency on the electric field. The thermal energy is produced from electrical energy in the microwave heating and its rate of conversion is presented as in Equation (1).
where tan δ is the dielectric loss tangent, E is the electric field strength, ε indicates the dielectric constant of substance, f is the applied frequency, K is a constant, and P denotes the microwave power dispersion per unit volume of the liquid. Conventional heating requires more time. The advantages of microwave-assisted extraction include a high reaction rate and extraction yield with the requirement of the solvent and controlled heating process [44]. This nullifies the CO2 release [45] and the energy consumption is the only fraction of energy required in conventional heating [46]. However, the extraction process using microwave heating is influenced by whether the solvent or desired compounds are non-polar or volatile in nature.
3.3.6. Ultrasound-Assisted Extraction
This is one of the promising techniques used for oil extraction. The oil feedstock collected from cultivated trees is dissolved in a polar compound (such as water) or non-polar compound (alcohol) and then subjected to the ultrasonic vibrations [47]. The frequency range of ultrasound waves produced from an ultrasound source consisting of sound waves within the frequency range of 18 kHz to 100 MHz. When ultrasonic irradiation is introduced in the bulk of liquid, it causes the development of an acoustic pressure (Pa), and this developed pressure sums up in the hydrostatic pressure (Ph) of the liquid. The produced frequency of ultrasound irradiation is highly influenced by acoustic and hydrostatic pressure making it necessary to express their relationship. Acoustic depends upon the exposure time to the ultrasonic waves that follow Equation (2).
where PA indicates the maximum amplitude of pressure of the sound wave, f is to the frequency for time t. There are some points along the wave path where the vertical lines are in proximity to each other, showing higher pressure than normal. On the other hand, some points have been found to exist and the lines seem to be pulled apart from each other, and there the pressure is lowered than the normal. The former points are known as a ‘compression region’ with the latter points being termed as the ’rarefaction region’. The intensity of ultrasound waves produced is influenced by the density of medium and speed of sound. The wave penetration through the bulk of the liquid is the energy dispersion per unit time per unit area that is linked with PA as in Equation (3).
where ρ is the density of the medium while c indicates the speed of sound passing through the medium. For ultrasonic waves, the decrease of intensity is in inverse relation with the penetration. The sound waves penetrating through the medium produce molecular vibrations, which decreases the intensity of waves and acoustic energy is transformed into thermal energy. The heating of the liquid occurs at the points where compression takes place, while cooling occurs in the rarefaction region. Thermal energy is produced when the acoustic energy dissipates due to the absorption that is in accordance with Equation (4).
where intensity (I) is the function of the distance (d) from the source producing ultrasound waves and α indicates the absorption coefficient. Ultrasound generation in the liquid medium is the root source for the generation of pressure waves resulting in the vibration of molecules from their mean location. Due to significant negative pressure (Pc) on the medium, since Pc (pressure under rarefaction) = Pa − Ph, the inter-molecular gap competes for the critical distance (denoted by R), which promotes the generation of cavitation bubbles, as the intermolecular arrangement of liquid is disturbed. A deteriorating bubble requires less time as compared to the time taken by acoustic waves, consequently a steady state for Pm during the bubble collapse.
The time is calculated using Equation (6).
where Rm indicates the radius of the cavity formed. The rate of extraction is strongly influenced by the density of medium and acoustic pressure. Equation (6) gives the idea to select the appropriate medium to enhance the extraction rate. This process requires low capital investment and has a faster rate of extraction along with higher efficiency. However, the use of ultrasound waves can deteriorate the structure of the compounds available in the oil [48]. The overall summary of oil extraction technologies is presented in Table 3.
Table 3.
Overall summary of oil extraction technologies.
3.4. Oil Refining
Oil refining used to remove the undesired components like free fatty acids, phosphatides, and colorants. The presence of these components affects the further processing steps as well as storage properties of the oil. Physicochemical characteristics of oil and nature of feedstock also affect the efficiency of oil refining. Degumming is done in the first stage of purification to remove the phosphatides. The removal of phosphatides is important because it causes a muddy appearance in the oil and also favors the formation of H2O [49]. Acid and water degumming are the two techniques used to eliminate the Phosphatides. In acid degumming, acidic constituents are dissolved vigorously with oil to remove the insoluble phosphatides. Water degumming is applicable to remove the dissolved phosphatides. In water degumming, water is added in the oil at temperature 60–90 °C and then oil and water phases are separated using centrifugation [50,51].
De-acidification is the next processing step of oil refining. It is the most important stage for food source oils; it does not involve the synthesis of rancid flavors of free fatty acids (FFA). The removal of such components is not necessary for first-generation feedstocks. However, the removal of these components is suggested due to their direct effect on biodiesel synthesis and storage characteristics of fuel. The phenomena of de-acidification involve the unit operations such as distillation, elimination of pigments and odors using the solvents such as propane, ethanol, and furfural, and neutralization with alkali. Colorants are removed using the bleaching process. The materials like activated carbon, bleaching earth, and silica gel are used in this step for bleaching purpose. Deodorization is performed to remove odorous compounds of aldehydes and ketones are eliminated. Dehydration is the final step in the refining process in which moisture content is removed using distillation at low pressure [49].
4. Biodiesel Synthesis Processes
4.1. Direct Blending
In direct blending, crude oil is blended with petro-diesel in a specified amount as a fuel, but limitations such as higher viscosity, acid value, FFA content, and gum formation occurs making their use as a direct engine fuel inappropriate [52].
4.2. Microemulsions
In the microemulsion process, the oil is mixed with appropriate emulsifying agents such as alcohol. The most commonly used alcohols are methanol, ethanol, propanol, or butanol to produce emulsions. The main disadvantage of using micro-emulsion include the accumulation of carbon in the engine and improper burning [52].
4.3. Catalytic Cracking
This is the breakdown of the non-edible oils or animal fats via heating in the absence of air or oxygen using a catalyst, producing products with combustion characteristics similar to petroleum-diesel. The pyrolyzed material contains higher amounts of sulfur, moisture, and sediments but insufferable clinker and carbon residues [53,54].
4.4. Transesterification
The transesterification process for biodiesel synthesis involves the reaction between oil feedstock with short-chain alcohol, most likely methanol, in the availability of catalytic medium. Methanol is the commonly used solvent for biodiesel synthesis. Some researchers have suggested the use of ethanol for biodiesel synthesis [55,56]. Due to minimized cost with easier availability, NaOH and KOH catalysts are enormously used. The reaction can be proceeded with the use of homogeneous or heterogeneous catalyst; the choice of the appropriate method depends upon the FFA content of the oil. The analysis of alkyl esters is usually done with gas and liquid chromatography to determine the yield [57]. The yield of biodiesel produced can be calculated using the formula shown in Equation (7). The comparison of various transesterification techniques is shown in Table 4.
Table 4.
Comparison of transesterification processes [58,59].
4.4.1. Edible Oil Use for Biodiesel Production
Although biodiesel production from first-generation feedstocks affects the availability and availability in the market, research has been done to produce biodiesel using edible oils. Vujicic et al. [60] used sunflower oil via basic catalyst (calcium oxide) at 100 °C, 1 wt.% catalyst, a molar ratio of methanol and oil of 6:1, and achieved a FAME yield of 91%. Zhu et al. [61] described the temperature effect on the transesterification of soybean oil, keeping all other parameters constant and suggested that at 70 °C the highest yield of FAME was obtained. Ines Reyero et al. [62] used sunflower oil in transesterification with sodium hydroxide (NaOH) as a catalyst at 50 °C, 24:1 of ethanol to oil, 0.3 wt.% catalyst, and attained a conversion of 99% of soybean oil to biodiesel. S Nasreen et al. [63] produced biodiesel by using soybean oil with calcined (600 °C for 1.5 hr.), lanthanum (La) doped manganese (Mn) with a ratio of 2:1 using following reaction parameters; molar ratio of oil to MeOH. 1:12, at 180 °C for 1 h using 3 wt.% of catalyst dosage to oil and attained 99% triglyceride (TG) conversion. S.K. Mohan et al. [64] compared the yield of cottonseed oil and neem oil using optimized reaction parameters. For cottonseed oil, the reaction was carried out as follows; oil to methanol molar ratio 6:1 at 60 °C for 1.5 h with 2 wt.% catalyst (NaOH) and a continuous mixing at 600 rpm. Biodiesel yield of 80% was attained.
Xia Gui et al. [65] utilized cottonseed oil in the process while Dominic et al. [66] used refined cottonseed oil in transesterification and achieved a biodiesel yield of 96% under the optimized reaction parameters; alcohol to oil molar ratio of 6:1 at 55 °C was allowed to react for 1 h reaction time and 0.6% catalyst loading. Ting Qiu et al. [67] produced biodiesel from traditional coconut oil by utilizing an ionic liquid with Bronsted acidic sites as a catalyst and obtained a yield of 98.7%. Abdurrahman et al. [68] produced biodiesel from edible oils (Hazelnut, sunflower, and a mixture of these two oils) and compared their yields. Three different yields of 97.3, 97.5, and 97.9% were obtained from hazelnut, sunflower, and their mixture, respectively, at 60 °C for 120 min with a MeOH: oil 6:1 and 0.7 wt.% of catalyst. The summary of research done on biodiesel synthesis using edible oil is presented in Table 5.
Table 5.
Use of edible oil for biodiesel production.
4.4.2. Biodiesel Synthesis from Non-Edible Oil
The application of second-generation feedstocks has been done for biodiesel synthesis. Jain et al. [9] synthesized biodiesel using Jatropha oil with both acidic (H2SO4) and basic (NaOH) catalysts and achieved a yield of 21.2% and 90.2% after esterification and transesterification, respectively. Rathore et al. [78] synthesized biodiesel by varying the concentration of catalyst (KOH) from 2% to 12% in the reaction of Jatropha, Karanja oil and achieved a remarkable yield of 95% after 8 h of reaction time. Jar et al. [9] used microwave-assisted transesterification of jatropha oil to synthesize fatty acid methyl esters (FAME) by adding 1 wt.% of catalyst (KOH) at 65 °C for 10 s with a molar ratio of 6:1 of MeOH to oil at 200 rpm and achieved 90% of oil to biodiesel. Olutoye et al. [79] used the clay as a catalyst to produce biodiesel using methanol at 70 °C reaction temperature. Abbah et al. [80] stated a biodiesel yield of 94% by using neem seed oil in the process of transesterification at 55 °C for 1 h with molar ratio (7:1) and a catalyst dosage of 0.75 wt.% at a constant stirring speed of 350 rpm. Samsudeen et al. [81] utilized neem seed oil transesterification process to synthesize biodiesel using 15 wt.% of catalyst loading for 1.5 h with 5:1 ethanol to triglycerides molar ratio and obtained the biodiesel yield around 90.5%. Sumit H. et al. [82] produced FAME from the reaction of rubber seed oil using carbon-based iron (Fe/C) as a catalyst under optimized conditions i.e., catalyst concentration 4.5 wt.% to oil at a reaction temperature of 60 °C with MeOH: oil 9:1 at continuous stirring of 1250 rpm and achieved a remarkable FAME yield of 97.5%. Wuttichai Roschat et al. [83] stated that the 97% yield of fatty acid methyl esters was attained using optimized reaction conditions; 9 wt.% catalyst loading (sodium metasilicate), oil to methanol molar ratio 9:1 at 65 °C for 40 min and a constant stirring of 200 rpm.
Awais Bokhari et al. [84] claimed yield of more than 96.5% by using rubber seed oil at 55 °C with 6:1 methanol/oil, 1 wt.% catalyst concentration for 18 min and a pressure of 3 bar. Rupesh L. Patel et al. [85] obtained a biodiesel yield of 97% by using Karanja oil with 1 wt.% of catalyst (KOH) at 65 °C for 120 min and oil to MeOH molar ratio of 6:1. Shalini et al. [86] produced 98.4% biodiesel from Karanja oil under the optimum reaction parameters; 1.2 wt.% to oil catalyst dosage, Oil: MeOH 1:19 at 65 °C for 1.4 h and a continuous agitation speed of 600 rpm. Veen Singh et al. [87] claimed 98.79% yield of biodiesel by using Karnal oil with a catalyst dosage of 1 wt.% (barium zirconate), 27:1 methanol/oil at 65 °C for 180 min. M. Hashemzadeh et al. [88] produced biodiesel from the transesterification of linseed oil by using a co-solvent (diethyl ether and methanol). The fatty acid methyl ester yield of 98.08% was achieved by keeping the molar ratio of diethyl ether to MeOH (1.19:1) and MeOH to oil (9.48:1) at 30 °C at a flow rate of 1.37 mL/min.
Baskar et al. [89] produced the biodiesel using castor oil in the presence of zinc oxide (ZnO) doped by nickel (Ni) as a catalyst and achieved 95.20% yield of FAME using optimal reaction parameters; MeOH: Oil 8:1 at 55 °C for 1 h with 11 wt.% of catalyst. In another work, they used doped ZnO with Fe to produce FAME from castor oil and attained 91% yield of FAME at 55 °C for 50 min with a MeOH to oil molar ratio of 12:1 using a catalyst dosage of 14 wt.% to oil [54]. S.T. Keera et al. [90] obtained a FAME yield of 95% from the reaction of castor oil by using 1 wt.% of catalyst (KOH) at 60 °C and 9:1of MeOH to oil after a duration of half an hour. A Deep et al. [91] achieved 96.6% FAME yield from castor oil after 30 min of reaction at 30 °C with a MeOH to oil molar ratio of 9:1 using a catalyst (KOH) dosage of 1.5 wt.%. Sergei V et al. [8] described that a FAME yield of 97.45% was obtained from the transesterification of mustard oil by using aluminum oxide (Al2O3) doped with zinc oxide (ZnO) as a catalyst at 350 °C, 300 bar, ethanol to oil molar ratio at 12:1 and a catalyst loading of 5 wt.%. Abdelrahman et al. [92] utilized wild mustard seed oil to produce biodiesel and claimed higher than 97.88% of yield using optimized reaction parameters; a molar ratio of MeOH to feedstock 6:1, methanol/hexane molar ratio of 1:1 with 0.80 wt.% of catalyst (potassium hydroxide) at 50 °C for a time duration of 45 min. The summary of biodiesel production from non-edible feedstocks is presented in Table 6.
Table 6.
Use of second-generation feedstocks for biodiesel synthesis.
4.4.3. Biodiesel Synthesis from Waste/Crude Oils
Biodiesel synthesis from waste oil is advantageous due to the cheaper and easier availability of feedstocks. Sahar et al. [99] achieved 94% yield of biodiesel by the reaction of waste cooking oil at 60 °C with a molar ratio of alcohol to oil 1:3 and a catalyst loading of 1 wt.% to oil. Alex tangy et al. [100] synthesized biodiesel using WCO using 41 wt.% of catalyst (Strontium oxide) and claimed 99.2% yield after 8.2 min of reaction under microwave-assisted radiation system. Ngoya Tshizanga et al. [101] used waste vegetable oil and achieved a yield of 91% with alcohol to oil molar ratio 22.5:1 at 65 °C for 330 min with 3.5 wt.% loading of catalyst. Saowakon Suwanno et al. [102] stated a FAME yield of 92.07% by using recovered oil from POME and crude lipase as a catalyst under optimum reaction conditions; MeOH: Oil 6:1 at 35 °C for 36 h with continuous stirring of 200 rpm. Leticia Karen dos Santos et al. [103] investigated the FAME yield using crude palm oil by two steps i.e., hydrolysis and esterification. The optimum parameters for the hydrolysis process were examined i.e., a reaction temperature of 250 °C for a duration of 120 min using alcohol to oil molar ratio of 100:1 and a continuous mixing at 700 rpm. They claimed 86% and 99.1% yield of biodiesel after hydrolysis and esterification, respectively. Celian Roman-Figueroa et al. [104] stated 96.5% yield of FAME after esterifying crude castor oil by using the supercritical method at 300 °C for 1.5 h at a pressure of 21 MPa.
Rabu et al. [105] obtained FAME from WCO at 60 °C for 120 min with alcohol to feedstock molar ration of 12:1 using 1 wt.% of catalyst (NaOH) dosage and achieved 95% yield. M. Pilar Dorado et al. [106] synthesized biodiesel from used olive oil using 1.26 wt.% of the catalyst with a ratio of 12:1 alcohol to oil at an ambient temperature for a time duration of 90 min and claimed 94% ester yield. Praful Nair et al. [107] utilized waste frying oil (WFO) to obtain fatty acid methyl esters using optimal reaction parameters and obtained more than 89% yield of biodiesel. Adewale et al. [108] produced biodiesel from waste animal fat using ultrasonic radiations. They stated that a yield of 96.8% was achieved using 4:1 of alcohol: Oil and a catalyst loading of 6 wt.%. Lubomir Sanek et al. [109] compared the yields of FAME synthesized from WFO and waste animal fat, which was more than 98% from each feedstock with a molar ratio of alcohol to feedstock 6:1 at 65 °C for 2 h reaction time and a catalyst (tetramethylammonium hydroxide) dosage of 1.5 wt.% to feedstock. Aransiola et al. [110] produced biodiesel meeting the ASTM standards from crude neem oil and explained the emission from a conventional diesel engine using this fuel. Indika Thushari et al. [111] produced biodiesel by the transesterification of waste palm oil (WPO) using a green catalyst and claimed 92.7% yield of fatty acid methyl esters. V. Kavitha et al. [60] utilized dairy waste effluent to produce biodiesel and obtained 96% yield using 2.4 wt.% of catalyst at 65 °C with methanol to feedstock ratio of 6:1 after 180 min of reaction time. From the literature study, it can be concluded that palm oil mill waste can prove to be the best feedstock in terms of waste palm oil biodiesel properties.
5. Critical Reaction Parameters Influencing the Biodiesel Synthesis
FAME is usually synthesized from the process of transesterification. During the transesterification reaction, 1 mole of oil reacts with 3 moles of solvent (alcohol). The transesterification reaction is expressed as:
In the generalized transesterification reaction, oil reacts with an alcohol producing in the methyl ester and glycerol as shown in Figure 5. The formation of glycerol does not take place when methyl tertiary butyl ether is used a solvent. The yield of transesterification reaction is strongly influenced by temperature, oil to alcohol yield, agitation speed, water and FFA content, and reaction time. This section of the review describes the effect of these parameters on biodiesel synthesis.
Figure 5.
Generalized transesterification reaction mechanism.
5.1. Reaction Temperature
The reaction temperature is considered as one of the most significant parameters that affect the FAME yield in the transesterification reaction. The temperature increase also enhances the rate of reaction and shortens the time for the reaction completion by decreasing the viscosity [112]. The increase in reaction temperature is favorable for endothermic reactions. The energy of molecules of the reactants is directly proportional to the temperature. Thus, the rise in temperature increases the relative miscibility of the polar alcoholic media to a non-polar oil phase which makes the rate of reaction faster [113]. The increase of temperature after peak value cause to decrease the biodiesel yield. The side-reactions taking place at higher temperatures cause the reaction yield to decrease significantly. Noureddini [61] reported the production of soybean biodiesel using methanol and temperature range of 30–70 °C was studied while fixing the other parameters constant and behavior of the rate of reaction was observed. It was concluded that 70 °C was the best temperature among various temperatures, giving maximum biodiesel yield and highest reaction rate. Table 7 describes the literature findings of temperature effect biodiesel synthesis.
Table 7.
Effect of biodiesel synthesis using various feedstocks.
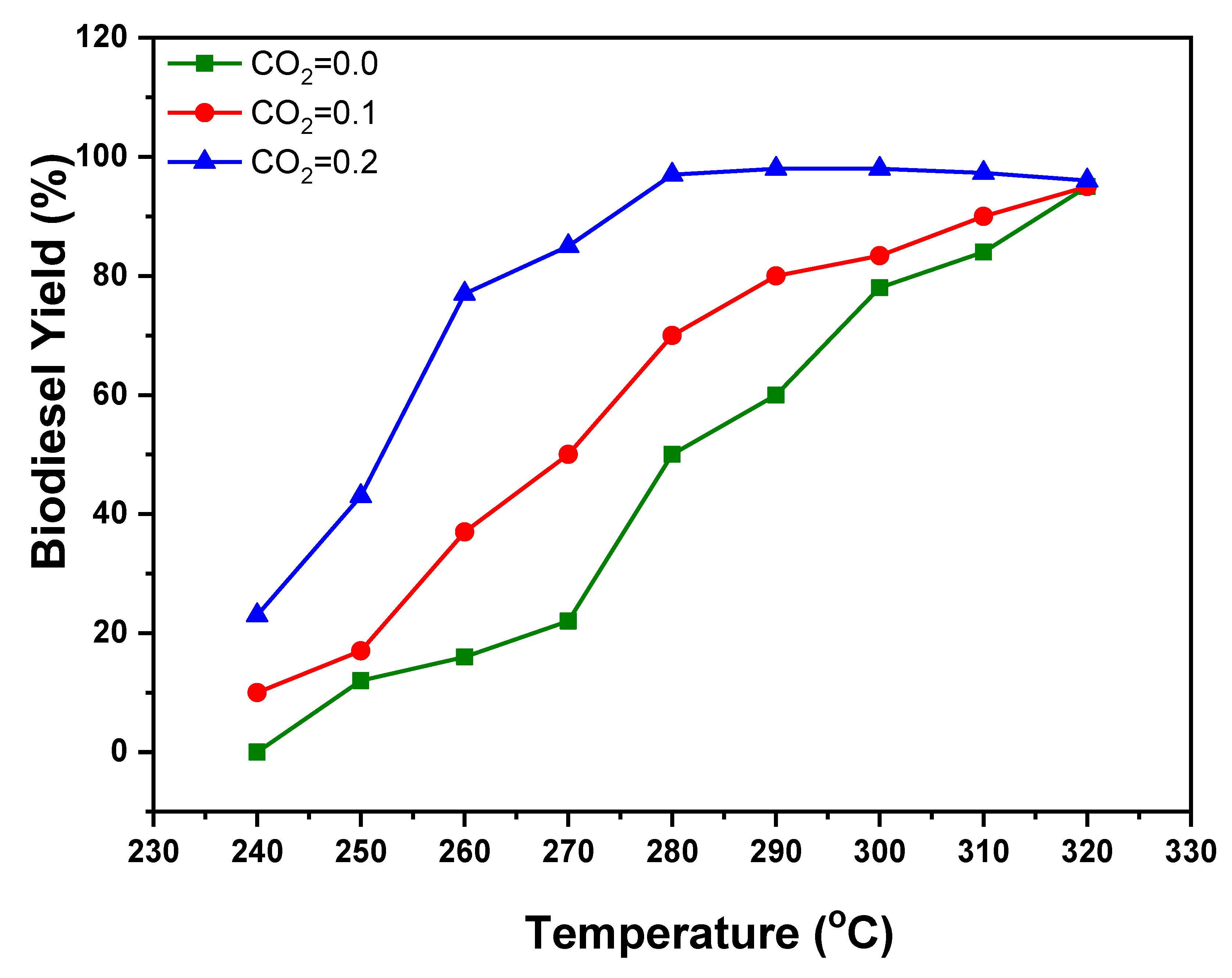
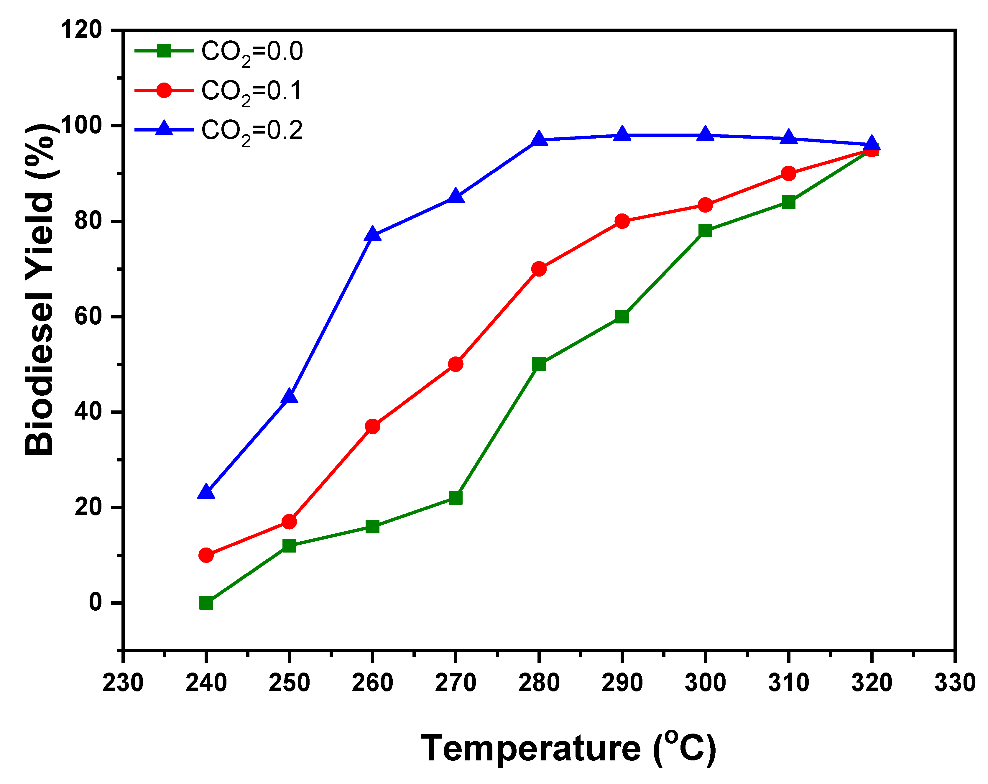
Eevera et al. [119] observed the effect of temperature and assumed that temperature increases the rate of reaction up to an optimal level. The temperature increase beyond its optimized level decreases the biodiesel production due to the thermal decomposition of fatty acid methyl esters [120]. Usually, transesterification reaction is favorable below the boiling temperature to avoid the loss of solvent through boiling. The normal temperature of 50 °C is kept of conventional biodiesel production [121]. Figure 6 expresses the temperature effect FAME yield in the presence of different amounts of co-solvents.
Figure 6.
CO2 and temperature effect on biodiesel yield [122].
Figure 6 states the influence of temperature on FAMEs composition in the presence of co-solvent (CO2). The increase in temperature increased the energy of reacting molecules. Secondly, the transesterification reaction is endothermic in nature. Therefore, transesterification is favorable at elevated temperatures. This graph also concludes that the optimum range of transesterification reaction is 250 to 350 °C. Further increase in temperature will lead to the thermal decomposition of the product.
5.2. Reaction Time
There is a rising trend in the concentration of fatty acid methyl ester when the reaction is carried out for a long time period [123]. The rate of reaction is relatively slower at the start of the reaction due to a little agitation and dispersion of solvent and oil. The reaction is occurring at the outer surface of oil and triglycerides only. Over time, the reaction becomes faster e.g., supercritical reaction is so fast that it is completed in 6 to 10 min [124]. Freedman et al. [123] explained the effect of reaction time and observed the increase in conversion upon higher reaction time. However, the rise in yield occurs below 90 min reaction time [125]. The longer reaction time causes the product loss i.e., biodiesel/fatty acid methyl esters because of irreversible reaction as well as soap formation [121]. Figure 7 expresses how reaction time influences the biodiesel yield in the presence of supercritical methanol as a solvent.
Figure 7.
Influence of reaction time on biodiesel production [119].
Figure 7 describes the effect of temperature on the concentration of fatty acid alkyl esters by keeping all other reaction parameters at a constant value. It can be concluded from the graph that elevated reaction time results in the increase of fatty acid alkyl esters concentration in the product. However, this effect can be observed up to 30 min of reaction time. After 30 min, the yield of reaction became independent of reaction time. This may be because equilibrium was already achieved at 30 min [126]. It is recommended to perform supercritical transesterification between 6 to 12 min reaction time and conventional transesterification between 30 to 60 min.
5.3. Alcohol to Oil Ratio
Oil to alcohol ratio is considered as one of the most critical factors that significantly affect the biodiesel yield. The decision of oil to alcohol ratio is associated with the catalyst and process used i.e., when alkali catalyst is used, oil to alcohol ratio is kept at 6:1 [127]. It must be noted that reversible oil to alcohol nature of transesterification reaction requires a large amount of to keep the reaction towards the product side [128]. Jain and Sharma [129] reported that when the amount of methanol was enhanced from 10 to 30% (v/v), the highest yield of 90.6% was achieved. The increase of the molar ratio of alcohol favors the forward reaction by avoiding the reverse reaction. It has also been observed that fatty acid ethyl esters (FAEEs) have better combustion characteristics in comparison with methyl esters, but separation and purification of transesterification using ethanol is difficult. Further increase in alcohol molar ratio does not influence the reaction performance but it makes the process expensive because of the difficult separation of alcohol [130]. Similarly, when there is a high FFA content present in the oil sample, alcohol to oil ratio is kept higher than alkali catalysts. This is because of neutralization is required. In such cases, the acid catalyst is used to tolerate these conditions in the reaction. Figure 8 shows the effect of oil to alcohol ratio on biodiesel yield.
Figure 8.
Oil to alcohol ratio effect on biodiesel yield [122].
Figure 8 shows the effect of oil to alcohol ratio on supercritical transesterification using methanol and carbon dioxide as solvent and co-solvent, respectively. The temperature for this study was maintained at 280 °C. However, this rising trend in biodiesel yield can be observed up to approximately 23 min. Because a higher amount of alcohol causes contamination in the product and increases the cost of the overall process, decreasing the overall biodiesel yield.
5.4. Catalyst Amount and Type
FAME yield is strongly dependent upon the type and concentration of catalyst used in the transesterification reaction. The most frequently used catalysts in biodiesel synthesis are sodium hydroxide (NaOH) and potassium hydroxide (KOH) [131]. However, Freedman et al. stated that sodium methoxide is better than NaOH for transesterification reaction because the appropriate mixing of methanol and sodium hydroxide produces water that causes the loss of product (biodiesel) due to hydrolysis of triglycerides. The amount of fatty acid methyl esters increases by increasing the amount of catalyst. This is due to the presence of more availability of active sites in the reaction mixture by the mixing of a large quantity of catalyst [132]. However, a very high amount of catalyst addition in transesterification reaction is not profitable because of the increase in the cost of the catalyst itself. Moreover, excessive usage of catalyst is found to cause emulsions reflecting on higher viscosity causing the biodiesel recovery difficult [132]. Rathore et al. [78] concluded that when KOH conversion was enhanced from 2 to 12%, biodiesel yield increased from 20 to 95%. Akhihiero et al. [133] reported the highest yield of jatropha biodiesel with 1 wt.% catalyst. The concentration of the catalyst effect on biodiesel yield is shown in Figure 9. It shows the effect of amount for NaOH, KOH, and CaO used. It is observed that biodiesel yield initially increases with the increase of concentration of alkali catalysts (NaOH and KOH), then decreases after reaching a certain peak value.
Figure 9.
Influence of catalyst concentration on biodiesel yield [125,134].
Figure 9 shows the effect of amount for NaOH, KOH, and CaO used. It is observed that biodiesel yield initially increases with the increase of concentration of alkali catalysts (NaOH and KOH), then decreases after reaching a certain peak value. On the other hand, biodiesel yield increases with the addition of catalyst for heterogeneous catalysts.
5.5. Effect of Water and FFA Content
This is the most critical parameter of concern while choosing the biodiesel production process. There is a flexible tolerance limit of water and acid content in biodiesel production reaction. For example, base-catalyzed transesterification can be applied to water-free and low acid (˂1) feedstocks. If the value of FFA content in the feedstock is higher than one, more amount of alkali catalyst is needed to neutralize than that of an acid content present that increases the cost of the overall process. The presence of water causes a greater negative impact as compared to FFA present because water causes soap formation and frothing increases the viscosity [135]. In the presence of water and FFA content, the catalyst is used in soap formation, which reduces the concentration of biodiesel [136]. Transesterification under supercritical conditions does not dependent on water and FFA content present in the raw material [137].
5.6. Mixing Intensity
Triglycerides and alcohols are not completely soluble in each other; therefore, the reaction occurs only in the interfaces present. Thus, the process of transesterification is generally slow at the start of the reaction. Mixing intensity is an important parameter that helps to complete the reaction resulting in the formation of product (methyl esters or biodiesel yield). Since the mixing of oil and solvent increases the reaction in the inner surfaces of oil and solvent, for transesterification reaction, continuous mixing at 200 rpm, 400 rpm, and 600 rpm has been studied in the literature. The moderate stirring speed of 400 rpm was the best agitation speed giving maximum ester yield [138]. However, moderate or lower agitation speed lowers the formation of the product. On the other hand, higher agitation speed supports the soap formation irreversible behavior of transesterification reaction at higher rpm. Table 8 shows the effect of various parameters on biodiesel synthesis. The summary overall effect of each parameter is presented in Table 9.
Table 8.
Effect of different parameters on biodiesel synthesis.
Table 9.
Effect of reaction parameters on transesterification.
5.7. Kinetics of Biodiesel Synthesis
Kinetic study of biodiesel synthesis is done to study the rate of reaction and activation energy needed to complete the reaction. Some researchers proposed the kinetics of transesterification considering three steps [62,116,144]. The three-step transesterification is complex, time consuming, and requires analytical units. Therefore, it has been considered as one step kinetics considering overall transesterification reaction kinetics for triglycerides and methyl esters [26,151,152,153,154,155,156,157].
The rate equation for the reaction (Triglycerides + 3 CH3OH → 3 FAME + Glycerol is represented as follows (Equation (8)).
Equation (8) represents the rate expression based on the overall transesterification reaction. A and B represents triglycerides and alcohol, respectively. The n and m are the reaction orders and k are the rate constant of the transesterification reaction. The rate of reaction can be taken as independent of alcohol concentration since an excess amount of alcohol present. Therefore, a simplified expression is shown in Equations (9) and (10).
Substituting Equation (3) in Equation (2) resulted in more simplified forms as follows.
Differentiating Equation (5) with time (t) gives the following.
The conversion of triglycerides (XA) can be represented with X to obtain a more simplified expression.
where
The linear graph between ln dX/dt and could be plotted to determine the value of order (n) and rate constant (k) of the reaction. The order and rate constant values are to find the activation energy (Ea) and pre-exponential factor (A). The Arrhenius equation is used to calculate these parameters.
The simplified linear form of expression can be represented as in Equation (18).
The linearized plot between ln k and 1/T gives the activation energy and pre-exponential factor value. Jain et al. [143] did the kinetic study for biodiesel synthesis from waste cooking oil and reported the k and Ea as 0.0078 min−1 and 88.764 kJ/mol.
6. Conclusions and Future Recommendations
Plenty of feedstocks for biodiesel production are discussed in this study. The potential feedstocks for biodiesel synthesis are categorized into three classifications including edible oils, non-edible oils, and waste oils, animal fats, and microbial oils. Edible oils include soybean oil, sunflower oil, palm oil, and mahua oil. According to the study, edible oils are easily available and contain higher oil content, but they cannot be used for biodiesel synthesis because of competition with the food market. Similarly, non-edible oils can be used for biodiesel synthesis due to higher oil content and no requirement as food sources. The literature comparison of this study shows that they contain higher oil content, but it is not easy to obtain higher conversion in the reaction. This is due to the complexity of the process that requires a higher catalyst amount and time to complete the reaction. The most feasible and easily available feedstocks with higher oil content and less cost include waste oils and microbial oils. Waste oils include palm oil mill effluent (waste palm oil) and waste cooking oil. More study is required to maintain the balance between the availability of raw materials and their usage for biodiesel production. The microbial oil-based biodiesel has excellent properties, so they can meet the fuel demand solely. Nevertheless, it is difficult to grow the bacteria because they are temperature sensitive and cannot be sustained in hot weather conditions. To overcome the energy shortage by the implementation of biodiesel, the waste oils and non-edible oils should be used for biodiesel production. In the past, only edible and non-edible oils were focused on regarding use for biodiesel production causing a huge shortage of food sources. Therefore, two solutions are highlighted in the study to either increase the yield of existing biodiesel production processes or explore the new feedstocks for biodiesel. The novel oil extraction technologies are also highlighted to achieve the maximum oil extraction yield as its lower value is the main problem at the moment. The existing state-of-the-art extraction technologies include mechanical extraction, solvent extraction, supercritical technology, microwave, and ultrasound-assisted oil extraction. These oil extraction technologies are discussed and evaluated based on their range of applicability and extraction cost. It is concluded that supercritical and microwave-assisted technologies are the most appropriate among all existing technologies due to their high oil recovery efficiency, lower cost, and the fact that they do not affect the sustainability of the environment. The transesterification reaction rate depends upon reaction temperature, pressure, oil to alcohol ratio, water and FFA content, and agitation speed. The critical parameters of transesterification reaction highlighted in this study are temperature, oil to alcohol ratio, water and FFA content, agitation speed, and reaction time. Because of the increase in temperature and molar ratios, the reaction performance is affected (i.e., an increase of temperature and pressure increases the product yield). Based on the feedstock study of biodiesel production, waste oils and algal oil use to synthesize biodiesel is an unexplored area. Therefore, more detailed study is required to explore the waste oil feedstocks that can produce high-quality biodiesel with a minimum associated cost. Similarly, in previous work, researchers have worked on edible and non-edible oils for biodiesel. The exploration of kinetics for the transesterification reaction is needed to understand the effect of every parameter influencing biodiesel yield. This will help to understand the temperature and pressure effects on biodiesel yield in a better way for practical applications. Moreover, the biodiesel properties are directly associated with chemical composition and other parameters are also necessary to be considered to address the technical difficulties involved.
Author Contributions
Conceptualization, Z., M.H.M.Y. and I.Z.; writing—article Z. and M.H.N.; supervision, M.A. (Muhammad Ayoub) and M.H.M.Y.; data addition, D.F. and E.B.N.; writing—original draft preparation, software, formal analysis, validation, project administration, supervision, writing—review and editing, M.A. (Mariam Ameen) and F.S. All authors have read and agreed to the published version of the manuscript.
Funding
This research was funded by UTP-UP research grant number [015ME0-194].
Acknowledgments
The authors are thankful to the Universiti Teknologi Petronas Research Grant (YUTP 015LC0-208) under the project “Biodiesel production from wastes using Supercritical Technology’’ and 015ME0-194 grant for providing the opportunity of working and writing the paper in Universiti Teknologi Petronas, Malaysia. Support from the Ministry of Education Malaysia through HICoE award to CBBR is also duly acknowledged.
Conflicts of Interest
The authors declare no conflict of interest.
References
- Sharma, H.B.; Sarmah, A.K.; Dubey, B.K. Hydrothermal carbonization of renewable waste biomass for solid biofuel production: A discussion on process mechanism, the influence of process parameters, environmental performance and fuel properties of hydrochar. Renew. Sustain. Energy Rev. 2020, 123, 109761. [Google Scholar] [CrossRef]
- Zulqarnain; Yusoff, M.H.M.; Ayoub, M.; Jusoh, N.; Abdullah, A.Z. The Challenges of a Biodiesel Implementation Program in Malaysia. Processes 2020, 8, 1244. [Google Scholar] [CrossRef]
- Luque, R.; Clark, J. Handbook of Biofuels Production: Processes and Technologies; Elsevier: Amsterdam, The Netherlands, 2010. [Google Scholar]
- Sharma, Y.; Singh, B.; Upadhyay, S. Advancements in development and characterization of biodiesel: A review. Fuel 2008, 87, 2355–2373. [Google Scholar] [CrossRef]
- Yusuf, N.; Kamarudin, S.; Yaakub, Z. Overview on the current trends in biodiesel production. Energy Convers. Manag. 2011, 52, 2741–2751. [Google Scholar] [CrossRef]
- Van Gerpen, J. Biodiesel processing and production. Fuel Process. Technol. 2005, 86, 1097–1107. [Google Scholar] [CrossRef]
- Subbarayan, M.; Kumaar, J.S.; Padmanaban, M.A. Experimental investigation of evaporation rate and exhaust emissions of diesel engine fuelled with cotton seed methyl ester and its blend with petro-diesel. Transp. Res. Part D Transp. Environ. 2016, 48, 369–377. [Google Scholar] [CrossRef]
- Mazanov, S.V.; Gabitova, A.R.; Usmanov, R.A.; Gumerov, F.M.; Labidi, S.; Ben Amar, M.; Passarello, J.-P.; Kanaev, A.; Volle, F.; Le Neindre, B. Continuous production of biodiesel from rapeseed oil by ultrasonic assist transesterification in supercritical ethanol. J. Supercrit. Fluids 2016, 118, 107–118. [Google Scholar] [CrossRef]
- Lin, J.-J.; Chen, Y.-W. Production of biodiesel by transesterification of Jatropha oil with microwave heating. J. Taiwan Inst. Chem. Eng. 2017, 75, 43–50. [Google Scholar] [CrossRef]
- Ayodele, O.O.; Dawodu, F.A. Production of biodiesel from Calophyllum inophyllum oil using a cellulose-derived catalyst. Biomass Bioenergy 2014, 70, 239–248. [Google Scholar] [CrossRef]
- Kılıç, M.; Uzun, B.B.; Pütün, E.; Pütün, A.E. Optimization of biodiesel production from castor oil using factorial design. Fuel Process. Technol. 2013, 111, 105–110. [Google Scholar] [CrossRef]
- Cremonez, P.A.; Feroldi, M.; Nadaleti, W.C.; De Rossi, E.; Feiden, A.; De Camargo, M.P.; Cremonez, F.E.; Klajn, F.F. Biodiesel production in Brazil: Current scenario and perspectives. Renew. Sustain. Energy Rev. 2015, 42, 415–428. [Google Scholar] [CrossRef]
- Peer, M.S.; Kasimani, R.; Rajamohan, S.; Ramakrishnan, P. Experimental evaluation on oxidation stability of biodiesel/diesel blends with alcohol addition by rancimat instrument and FTIR spectroscopy. J. Mech. Sci. Technol. 2017, 31, 455–463. [Google Scholar] [CrossRef]
- Kafuku, G.; Mbarawa, M. Biodiesel production from Croton megalocarpus oil and its process optimization. Fuel 2010, 89, 2556–2560. [Google Scholar] [CrossRef]
- Silitonga, A.S.; Atabani, A.; Mahlia, T.; Masjuki, H.; Badruddin, I.A.; Mekhilef, S. A review on prospect of Jatropha curcas for biodiesel in Indonesia. Renew. Sustain. Energy Rev. 2011, 15, 3733–3756. [Google Scholar] [CrossRef]
- Atabani, A.; Silitonga, A.; Badruddin, I.A.; Mahlia, T.; Masjuki, H.; Mekhilef, S. A comprehensive review on biodiesel as an alternative energy resource and its characteristics. Renew. Sustain. Energy Rev. 2012, 16, 2070–2093. [Google Scholar] [CrossRef]
- Janaun, J.; Ellis, N. Perspectives on biodiesel as a sustainable fuel. Renew. Sustain. Energy Rev. 2010, 14, 1312–1320. [Google Scholar] [CrossRef]
- Cao, P.; Tremblay, A.Y.; Dubé, M.A. Kinetics of canola oil transesterification in a membrane reactor. Ind. Eng. Chem. Res. 2009, 48, 2533–2541. [Google Scholar] [CrossRef]
- Sumathi, S.; Chai, S.; Mohamed, A. Utilization of oil palm as a source of renewable energy in Malaysia. Renew. Sustain. Energy Rev. 2008, 12, 2404–2421. [Google Scholar] [CrossRef]
- Razzaq, L.; Farooq, M.; Mujtaba, M.; Sher, F.; Farhan, M.; Hassan, M.T.; Soudagar, M.E.M.; Atabani, A.; Kalam, M.; Imran, M. Modeling viscosity and density of ethanol-diesel-biodiesel ternary blends for sustainable environment. Sustainability 2020, 12, 5186. [Google Scholar] [CrossRef]
- Kansedo, J.; Lee, K.T.; Bhatia, S. Biodiesel production from palm oil via heterogeneous transesterification. Biomass Bioenergy 2009, 33, 271–276. [Google Scholar] [CrossRef]
- Gugule, S.; Fatimah, F.; Maanari, C.P.; Tallei, T.E. Data on the use of virgin coconut oil and bioethanol produced from sugar palm sap as raw materials for biodiesel synthesis. Data Brief 2020, 29, 105199. [Google Scholar] [CrossRef]
- Çelikten, I.; Koca, A.; Arslan, M.A. Comparison of performance and emissions of diesel fuel, rapeseed and soybean oil methyl esters injected at different pressures. Renew. Energy 2010, 35, 814–820. [Google Scholar] [CrossRef]
- Hamza, M.; Ayoub, M.; Bin Shamsuddin, R.; Mukhtar, A.; Saqib, S.; Zahid, I.; Ameen, M.; Ullah, S.; Al-Sehemi, A.G.; Ibrahim, M. A review on the waste biomass derived catalysts for biodiesel production. Environ. Technol. Innov. 2020, in press. [Google Scholar] [CrossRef]
- Zulqarnain, M.H.M.Y.; Ayoub, M.; Qadeer, M.U. Comparison of kinetic and thermodynamic modeling of biodiesel production using supercritical transesterification for batch and continuous reactor. Solid State Technol. 2020, 4055–4067. Available online: https://www.researchgate.net/publication/344946868_Comparison_of_kinetic_and_thermodynamic_modeling_of_biodiesel_production_using_supercritical_transesterification_for_batch_and_continuous_reactor (accessed on 15 December 2020).
- Nazir, M.H.; Ayoub, M.; Shamsuddin, R.B.; Malik, Z. Production of Biodiesel from Waste Cooking Oil using Sugarcane Bagasse Derived Acid Activated Catalyst and Microwave as Heating Source. Solid State Technol. 2020, 3839–3846. Available online: https://www.researchgate.net/publication/344946807_Production_of_Biodiesel_from_Waste_Cooking_Oil_using_Sugarcane_Bagasse_Derived_Acid_Activated_Catalyst_and_Microwave_as_Heating_Source (accessed on 15 December 2020).
- Lang, X. Preparation and characterization of bio-diesels from various bio-oils. Bioresour. Technol. 2001, 80, 53–62. [Google Scholar] [CrossRef]
- Rattanaphra, D.; Srinophakun, P. Biodiesel production from crude sunflower oil and crude jatropha oil using immobilized lipase. J. Chem. Eng. Jpn. 2010, 43, 104–108. [Google Scholar] [CrossRef]
- Tang, D.Y.Y.; Yew, G.Y.; Koyande, A.K.; Chew, K.W.; Vo, D.-V.N.; Show, P.L. Green technology for the industrial production of biofuels and bioproducts from microalgae: A review. Environ. Chem. Lett. 2020, 18, 1967–1985. [Google Scholar] [CrossRef]
- Apraku, A.; Liu, L.; Ayisi, C.L. Trends and status of dietary coconut oil in aquaculture feeds. Rev. Fish. Sci. Aquac. 2017, 25, 126–132. [Google Scholar] [CrossRef]
- Karmakar, A.; Karmakar, S.; Mukherjee, S. Properties of various plants and animals feedstocks for biodiesel production. Bioresour. Technol. 2010, 101, 7201–7210. [Google Scholar] [CrossRef]
- Li, Y.; Khanal, S.K. Bioenergy: Principles and Applications; John Wiley & Sons: Hoboken, NJ, USA, 2016. [Google Scholar]
- Singh, D.; Sharma, D.; Soni, S.; Sharma, S.; Kumari, D. Chemical compositions, properties, and standards for different generation biodiesels: A review. Fuel 2019, 253, 60–71. [Google Scholar] [CrossRef]
- Ghazali, W.N.M.W.; Mamat, R.; Masjuki, H.; Najafi, G. Effects of biodiesel from different feedstocks on engine performance and emissions: A review. Renew. Sustain. Energy Rev. 2015, 51, 585–602. [Google Scholar] [CrossRef]
- Istadi, I.; Prasetyo, S.A.; Nugroho, T.S. Characterization of K2O/CaO-ZnO catalyst for transesterification of soybean oil to biodiesel. Procedia Environ. Sci. 2015, 23, 394–399. [Google Scholar] [CrossRef]
- Ahmad, F.B.; Zhang, Z.; Doherty, W.O.; O’Hara, I.M. The prospect of microbial oil production and applications from oil palm biomass. Biochem. Eng. J. 2019, 143, 9–23. [Google Scholar] [CrossRef]
- Oltean-Dumbrava, C.; Watts, G.R.; Miah, A. Transport infrastructure: Making more sustainable decisions for noise reduction. J. Clean. Prod. 2013, 42, 58–68. [Google Scholar] [CrossRef]
- Lee, S.L.; Wong, Y.C.; Tan, Y.P.; Yew, S.Y. Transesterification of palm oil to biodiesel by using waste obtuse horn shell-derived CaO catalyst. Energy Convers. Manag. 2015, 93, 282–288. [Google Scholar] [CrossRef]
- Rashtizadeh, E.; Farzaneh, F. Transesterification of soybean oil catalyzed by Sr–Ti mixed oxides nanocomposite. J. Taiwan Inst. Chem. Eng. 2013, 44, 917–923. [Google Scholar] [CrossRef]
- Pilorgé, E. Sunflower in the global vegetable oil system: Situation, specificities and perspectives. OCL 2020, 27, 34. [Google Scholar] [CrossRef]
- Fadel, H.; Marx, F.; El-Sawy, A.; El-Ghorab, A. Effect of extraction techniques on the chemical composition and antioxidant activity of Eucalyptus camaldulensis var. brevirostris leaf oils. Z. Lebensm. und-Forsch. A 1999, 208, 212–216. [Google Scholar] [CrossRef]
- Antolın, G.; Tinaut, F.V.; Briceño, Y.; Castaño, V.; Pérez, C.; Ramírez, A.I. Optimisation of biodiesel production by sunflower oil transesterification. Bioresour. Technol. 2002, 83, 111–114. [Google Scholar] [CrossRef]
- Brachet, A.; Christen, P.; Veuthey, J.-L. Focused microwave-assisted extraction of cocaine and benzoylecgonine from coca leaves. Phytochem. Anal. 2002, 13, 162–169. [Google Scholar] [CrossRef]
- Mandal, V.; Mohan, Y.; Hemalatha, S. Microwave assisted extraction—An innovative and promising extraction tool for medicinal plant research. Pharmacogn. Rev. 2007, 1, 7–18. [Google Scholar]
- Ferhat, M.A.; Meklati, B.Y.; Smadja, J.; Chemat, F. An improved microwave Clevenger apparatus for distillation of essential oils from orange peel. J. Chromatogr. A 2006, 1112, 121–126. [Google Scholar] [CrossRef]
- Farhat, A.; Ginies, C.; Romdhane, M.; Chemat, F. Eco-friendly and cleaner process for isolation of essential oil using microwave energy: Experimental and theoretical study. J. Chromatogr. A 2009, 1216, 5077–5085. [Google Scholar] [CrossRef]
- Assami, K.; Pingret, D.; Chemat, S.; Meklati, B.Y.; Chemat, F. Ultrasound induced intensification and selective extraction of essential oil from Carum carvi L. seeds. Chem. Eng. Process. Process. Intensif. 2012, 62, 99–105. [Google Scholar] [CrossRef]
- Gayas, B.; Kaur, G.; Singh, A. Ultrasound assisted extraction of apricot kernel oil: Effect on physicochemical, morphological characteristics, and fatty acid composition. Acta Aliment. 2020, 49, 23–31. [Google Scholar] [CrossRef]
- Mittelbach, M.; Remschmidt, C. Biodiesel: The Comprehensive Handbook; Boersedruck Ges. MBH: Vienna, Austria, 2004. [Google Scholar]
- Knothe, G. Biodiesel and renewable diesel: A comparison. Prog. Energy Combust. Sci. 2010, 36, 364–373. [Google Scholar] [CrossRef]
- Zahid, I.; Ayoub, M.; Abdullah, B.B.; Nazir, M.H.; Ameen, M.; Zulqarnain; Yusoff, M.H.M.; Inayat, A.; Danish, M. Production of Fuel Additive Solketal via Catalytic Conversion of Biodiesel-Derived Glycerol. Ind. Eng. Chem. Res. 2020, 59, 20961–20978. [Google Scholar] [CrossRef]
- Demirbas, A. Potential resources of non-edible oils for biodiesel. Energy Sources Part B 2009, 4, 310–314. [Google Scholar] [CrossRef]
- Nguyen, T.; Do, L.; Sabatini, D.A. Biodiesel production via peanut oil extraction using diesel-based reverse-micellar microemulsions. Fuel 2010, 89, 2285–2291. [Google Scholar] [CrossRef]
- Baskar, G.; Soumiya, S. Production of biodiesel from castor oil using iron (II) doped zinc oxide nanocatalyst. Renew. Energy 2016, 98, 101–107. [Google Scholar] [CrossRef]
- Nan, Y.; Liu, J.; Lin, R.; Tavlarides, L.L. Production of biodiesel from microalgae oil (Chlorella protothecoides) by non-catalytic transesterification in supercritical methanol and ethanol: Process optimization. J. Supercrit. Fluids 2015, 97, 174–182. [Google Scholar] [CrossRef]
- Meher, L.; Sagar, D.V.; Naik, S. Technical aspects of biodiesel production by transesterification—A review. Renew. Sustain. Energy Rev. 2006, 10, 248–268. [Google Scholar] [CrossRef]
- Issariyakul, T.; Dalai, A.K. Biodiesel from vegetable oils. Renew. Sustain. Energy Rev. 2014, 31, 446–471. [Google Scholar] [CrossRef]
- Lam, M.K.; Lee, K.T.; Mohamed, A.R. Homogeneous, heterogeneous and enzymatic catalysis for transesterification of high free fatty acid oil (waste cooking oil) to biodiesel: A review. Biotechnol. Adv. 2010, 28, 500–518. [Google Scholar] [CrossRef]
- Mansouri, S.S.; Gargalo, C.L.; Udugama, I.A.; Ramin, P.; Sales-Cruz, M.; Sin, G.; Gernaey, K.V. Economic risk analysis and critical comparison of biodiesel production systems. In Biodiesel; Springer: Berlin, Germany, 2019; pp. 127–148. [Google Scholar]
- Vujicic, D.; Comic, D.; Zarubica, A.; Micic, R.; Boskovic, G.C. Kinetics of biodiesel synthesis from sunflower oil over CaO heterogeneous catalyst. Fuel 2010, 89, 2054–2061. [Google Scholar] [CrossRef]
- Noureddini, H.; Zhu, D. Kinetics of transesterification of soybean oil. J. Am. Oil Chem. Soc. 1997, 74, 1457–1463. [Google Scholar] [CrossRef]
- Reyero, I.; Arzamendi, G.; Zabala, S.; Gandía, L.M. Kinetics of the NaOH-catalyzed transesterification of sunflower oil with ethanol to produce biodiesel. Fuel Process. Technol. 2015, 129, 147–155. [Google Scholar] [CrossRef]
- Nasreen, S.; Liu, H.; Skala, D.; Waseem, A.; Wan, L. Preparation of biodiesel from soybean oil using La/Mn oxide catalyst. Fuel Process. Technol. 2015, 131, 290–296. [Google Scholar] [CrossRef]
- Mohan Kuppusamy, T.K.K. Optimization and production of biodiesel from cottonseed oil and neem oil. Int. J. Mod. Sci. Technol. 2016, 1, 23–28. [Google Scholar]
- Gui, X.; Chen, S.; Yun, Z. Continuous production of biodiesel from cottonseed oil and methanol using a column reactor packed with calcined sodium silicate base catalyst. Chin. J. Chem. Eng. 2016, 24, 499–505. [Google Scholar] [CrossRef]
- Onukwuli, D.O.; Emembolu, L.N.; Ude, C.N.; Aliozo, S.O.; Menkiti, M.C. Optimization of biodiesel production from refined cotton seed oil and its characterization. Egypt. J. Pet. 2017, 26, 103–110. [Google Scholar] [CrossRef]
- Qiu, T.; Guo, X.; Yang, J.; Zhou, L.; Li, L.; Wang, H.; Niu, Y. The synthesis of biodiesel from coconut oil using novel Brønsted acidic ionic liquid as green catalyst. Chem. Eng. J. 2016, 296, 71–78. [Google Scholar] [CrossRef]
- Saydut, A.; Erdoğan, S.; Kafadar, A.B.; Kaya, C.; Aydin, F.; Hamamci, C. Process optimization for production of biodiesel from hazelnut oil, sunflower oil and their hybrid feedstock. Fuel 2016, 183, 512–517. [Google Scholar] [CrossRef]
- Akia, M.; Yazdani, F.; Motaee, E.; Han, D.; Arandiyan, H. A review on conversion of biomass to biofuel by nanocatalysts. Biofuel Res. J. 2014, 1, 16–25. [Google Scholar] [CrossRef]
- Gardy, J.; Hassanpour, A.; Lai, X.; Ahmed, M.H. Synthesis of Ti (SO4) O solid acid nano-catalyst and its application for biodiesel production from used cooking oil. Appl. Catal. A Gen. 2016, 527, 81–95. [Google Scholar] [CrossRef]
- Feyzi, M.; Nourozi, L.; Zakarianezhad, M. Preparation and characterization of magnetic CsH2PW12O40/Fe–SiO2 nanocatalysts for biodiesel production. Mater. Res. Bull. 2014, 60, 412–420. [Google Scholar] [CrossRef]
- Rashtizadeh, E.; Farzaneh, F.; Talebpour, Z. Synthesis and characterization of Sr3Al2O6 nanocomposite as catalyst for biodiesel production. Bioresour. Technol. 2014, 154, 32–37. [Google Scholar] [CrossRef]
- Qiu, F.; Li, Y.; Yang, D.; Li, X.; Sun, P. Heterogeneous solid base nanocatalyst: Preparation, characterization and application in biodiesel production. Bioresour. Technol. 2011, 102, 4150–4156. [Google Scholar] [CrossRef]
- Madhuvilakku, R.; Piraman, S. Biodiesel synthesis by TiO2–ZnO mixed oxide nanocatalyst catalyzed palm oil transesterification process. Bioresour. Technol. 2013, 150, 55–59. [Google Scholar] [CrossRef]
- Feyzi, M.; Shahbazi, E. Catalytic performance and characterization of Cs–Ca/SiO2–TiO2 nanocatalysts for biodiesel production. J. Mol. Catal. A Chem. 2015, 404, 131–138. [Google Scholar] [CrossRef]
- Sanchez, F.; Vasudevan, P.T. Enzyme catalyzed production of biodiesel from olive oil. Appl. Biochem. Biotechnol. 2006, 135, 1–14. [Google Scholar] [CrossRef]
- Shimada, Y.; Watanabe, Y.; Sugihara, A.; Tominaga, Y. Enzymatic alcoholysis for biodiesel fuel production and application of the reaction to oil processing. J. Mol. Catal. B Enzym. 2002, 17, 133–142. [Google Scholar] [CrossRef]
- Rathore, V.; Tyagi, S.; Newalkar, B.; Badoni, R. Jatropha and Karanja oil derived DMC–biodiesel synthesis: A kinetics study. Fuel 2015, 140, 597–608. [Google Scholar] [CrossRef]
- Olutoye, M.; Adeniyi, O.; Yusuff, A. Synthesis of biodiesel from palm kernel oil using mixed clay-eggshell heterogeneous catalysts. Iran. J. Energy Environ. 2016, 7, 308–314. [Google Scholar]
- Abbah, E.; Nwandikom, G.I.; Egwuonwu, C.C.; Nwakuba, N.R. Effect of reaction temperature on the yield of biodiesel from neem seed oil. Am. J. Energy Sci. 2016, 3, 16–20. [Google Scholar]
- Samsudeen, N.; Dammalapati, S.; Mondal, S.; Unnithan, L. Production of Biodiesel from Neem Oil Feedstock Using Bifunctional Catalyst. In Materials, Energy and Environment Engineering; Springer: Berlin, Germany, 2017; pp. 187–195. [Google Scholar]
- Dhawane, S.H.; Bora, A.P.; Kumar, T.; Halder, G. Parametric optimization of biodiesel synthesis from rubber seed oil using iron doped carbon catalyst by Taguchi approach. Renew. Energy 2017, 105, 616–624. [Google Scholar] [CrossRef]
- Roschat, W.; Siritanon, T.; Yoosuk, B.; Sudyoadsuk, T.; Promarak, V. Rubber seed oil as potential non-edible feedstock for biodiesel production using heterogeneous catalyst in Thailand. Renew. Energy 2017, 101, 937–944. [Google Scholar] [CrossRef]
- Bokhari, A.; Chuah, L.F.; Yusup, S.; Klemeš, J.J.; Akbar, M.M.; Kamil, R.N.M. Cleaner production of rubber seed oil methyl ester using a hydrodynamic cavitation: Optimisation and parametric study. J. Clean. Prod. 2016, 136, 31–41. [Google Scholar] [CrossRef]
- Patel, R.L.; Sankhavara, C. Biodiesel production from Karanja oil and its use in diesel engine: A review. Renew. Sustain. Energy Rev. 2017, 71, 464–474. [Google Scholar] [CrossRef]
- Sahani, S.; Roy, T.; Sharma, Y.C. Clean and efficient production of biodiesel using barium cerate as a heterogeneous catalyst for the biodiesel production; kinetics and thermodynamic study. J. Clean. Prod. 2019, 237, 117699. [Google Scholar] [CrossRef]
- Singh, V.; Hameed, B.H.; Sharma, Y.C. Economically viable production of biodiesel from a rural feedstock from eastern India, P. pinnata oil using a recyclable laboratory synthesized heterogeneous catalyst. Energy Convers. Manag. 2016, 122, 52–62. [Google Scholar] [CrossRef]
- Gargari, M.H.; Sadrameli, S. Investigating continuous biodiesel production from linseed oil in the presence of a Co-solvent and a heterogeneous based catalyst in a packed bed reactor. Energy 2018, 148, 888–895. [Google Scholar] [CrossRef]
- Baskar, G.; Selvakumari, I.A.E.; Aiswarya, R. Biodiesel production from castor oil using heterogeneous Ni doped ZnO nanocatalyst. Bioresour. Technol. 2018, 250, 793–798. [Google Scholar] [CrossRef] [PubMed]
- Hidayat, A.; Mukti, N.I.F.; Handoko, B.; Sutrisno, B. Biodiesel production from rice bran oil over modified natural zeolite catalyst. Int. J. Technol. 2018, 9, 400–411. [Google Scholar] [CrossRef]
- Deep, A.; Sandhu, S.; Chander, S. Optimization of reaction parameters of Transesterification for Castor oil. J. Sci. Ind. Res. 2017, 76, 115–118. [Google Scholar]
- Fadhil, A.B.; Saleh, L.A.; Altamer, D.H. Production of biodiesel from non-edible oil, wild mustard (Brassica juncea L.) seed oil through cleaner routes. Energy Sources Part A Recover. Util. Environ. Eff. 2020, 42, 1831–1843. [Google Scholar] [CrossRef]
- Sani, Y.M.; Raji-Yahya, A.O.; Alaba, P.A.; Aziz, A.R.A.; Daud, W.M.A.W. Palm frond and spikelet as environmentally benign alternative solid acid catalysts for biodiesel production. BioResources 2015, 10, 3393–3408. [Google Scholar] [CrossRef]
- Ghadge, S.V.; Raheman, H. Biodiesel production from mahua (Madhuca indica) oil having high free fatty acids. Biomass Bioenergy 2005, 28, 601–605. [Google Scholar] [CrossRef]
- Srivastava, P.; Verma, M. Methyl ester of karanja oil as an alternative renewable source energy. Fuel 2008, 87, 1673–1677. [Google Scholar] [CrossRef]
- Patil, P.D.; Deng, S. Optimization of biodiesel production from edible and non-edible vegetable oils. Fuel 2009, 88, 1302–1306. [Google Scholar] [CrossRef]
- Ramadhas, A.; Jayaraj, S.; Muraleedharan, C. Biodiesel production from high FFA rubber seed oil. Fuel 2005, 84, 335–340. [Google Scholar] [CrossRef]
- Venkanna, B.; Reddy, C.V. Biodiesel production and optimization from Calophyllum inophyllum linn oil (honne oil)—A three stage method. Bioresour. Technol. 2009, 100, 5122–5125. [Google Scholar] [CrossRef] [PubMed]
- Sahar; Sadaf, S.; Iqbal, M.; Ullah, I.; Bhatti, H.N.; Nouren, S.; Rehman, H.U.; Nisar, J.; Iqbal, M. Biodiesel production from waste cooking oil: An efficient technique to convert waste into biodiesel. Sustain. Cities Soc. 2018, 41, 220–226. [Google Scholar] [CrossRef]
- Tangy, A.; Pulidindi, I.N.; Perkas, N.; Gedanken, A. Continuous flow through a microwave oven for the large-scale production of biodiesel from waste cooking oil. Bioresour. Technol. 2017, 224, 333–341. [Google Scholar] [CrossRef]
- Tshizanga, N.; Aransiola, E.F.; Oyekola, O. Optimisation of biodiesel production from waste vegetable oil and eggshell ash. S. Afr. J. Chem. Eng. 2017, 23, 145–156. [Google Scholar] [CrossRef]
- Suwanno, S.; Rakkan, T.; Yunu, T.; Paichid, N.; Kimtun, P.; Prasertsan, P.; Sangkharak, K. The production of biodiesel using residual oil from palm oil mill effluent and crude lipase from oil palm fruit as an alternative substrate and catalyst. Fuel 2017, 195, 82–87. [Google Scholar] [CrossRef]
- dos Santos, L.K.; Hatanaka, R.R.; de Oliveira, J.E.; Flumignan, D.L. Production of biodiesel from crude palm oil by a sequential hydrolysis/esterification process using subcritical water. Renew. Energy 2019, 130, 633–640. [Google Scholar] [CrossRef]
- Román-Figueroa, C.; Olivares-Carrillo, P.; Paneque, M.; Palacios-Nereo, F.J.; Quesada-Medina, J. High-yield production of biodiesel by non-catalytic supercritical methanol transesterification of crude castor oil (Ricinus communis). Energy 2016, 107, 165–171. [Google Scholar] [CrossRef]
- Rabu, R.A.; Janajreh, I.; Honnery, D. Transesterification of waste cooking oil: Process optimization and conversion rate evaluation. Energy Convers. Manag. 2013, 65, 764–769. [Google Scholar] [CrossRef]
- Dorado, M.P.; Ballesteros, E.; Mittelbach, A.M.; López, F.J. Kinetic parameters affecting the alkali-catalyzed transesterification process of used olive oil. Energy Fuels 2004, 18, 1457–1462. [Google Scholar] [CrossRef]
- Baskar, G.; Aiswarya, R. Trends in catalytic production of biodiesel from various feedstocks. Renew. Sustain. Energy Rev. 2016, 57, 496–504. [Google Scholar] [CrossRef]
- Adewale, P.; Dumont, M.-J.; Ngadi, M. Enzyme-catalyzed synthesis and kinetics of ultrasonic assisted methanolysis of waste lard for biodiesel production. Chem. Eng. J. 2016, 284, 158–165. [Google Scholar] [CrossRef]
- Šánek, L.; Pecha, J.; Kolomaznik, K.; Bařinová, M. Pilot-scale production of biodiesel from waste fats and oils using tetramethylammonium hydroxide. Waste Manag. 2016, 48, 630–637. [Google Scholar] [CrossRef]
- Aransiola, E.F.; Betiku, E.; Ikhuomoregbe, D.I.O.; Ojumu, T.V. Production of biodiesel from crude neem oil feedstock and its emissions from internal combustion engines. Afr. J. Biotechnol. 2012, 11, 6178–6186. [Google Scholar] [CrossRef]
- Thushari, I.; Babel, S. Sustainable utilization of waste palm oil and sulfonated carbon catalyst derived from coconut meal residue for biodiesel production. Bioresour. Technol. 2018, 248, 199–203. [Google Scholar] [CrossRef]
- Mathiyazhagan, M.; Ganapathi, A. Factors affecting biodiesel production. Res. Plant Biol. 2011. [Google Scholar]
- Ogbu, I.; Ajiwe, V. Biodiesel production via esterification of free fatty acids from Cucurbita pepo L. seed oil: Kinetic studies. Int. J. Sci. Technol. 2013, 2, 616–621. [Google Scholar]
- Darnoko, D.; Cheryan, M. Kinetics of palm oil transesterification in a batch reactor. J. Am. Oil Chem. Soc. 2000, 77, 1263–1267. [Google Scholar] [CrossRef]
- Clark, W.M.; Medeiros, N.J.; Boyd, D.J.; Snell, J.R. Biodiesel transesterification kinetics monitored by pH measurement. Bioresour. Technol. 2013, 136, 771–774. [Google Scholar] [CrossRef]
- Yunus, R.; Fakhru’L-Razi, A.; Ooi, T.L.; Biak, D.R.A.; Iyuke, S.E. Kinetics of transesterification of palm-based methyl esters with trimethylolpropane. J. Am. Oil Chem. Soc. 2004, 81, 497–503. [Google Scholar] [CrossRef]
- Karmee, S.K.; Mahesh, P.; Ravi, R.; Chadha, A. Kinetic study of the base-catalyzed transesterification of monoglycerides from pongamia oil. J. Am. Oil Chem. Soc. 2004, 81, 425–430. [Google Scholar] [CrossRef]
- Kumar, R.; Tiwari, P.; Garg, S. Alkali transesterification of linseed oil for biodiesel production. Fuel 2013, 104, 553–560. [Google Scholar] [CrossRef]
- Ishak, M.A.M.; Nawawi, W.I.; Jawad, A.H.; Ani, A.; Zakaria, Z.; Ismail, K. In-Situ Transesterification of Jatropha Curcas L. Seeds for Biodiesel Production Using Supercritical Methanol. In MATEC Web of Conferences; EDP Sciences: Les Ulis, France, 2017. [Google Scholar]
- Eevera, T.; Rajendran, K.; Saradha, S. Biodiesel production process optimization and characterization to assess the suitability of the product for varied environmental conditions. Renew. Energy 2009, 34, 762–765. [Google Scholar] [CrossRef]
- Leung, D.; Guo, Y. Transesterification of neat and used frying oil: Optimization for biodiesel production. Fuel Process. Technol. 2006, 87, 883–890. [Google Scholar] [CrossRef]
- Wen, D.; Jiang, H.; Zhang, K. Supercritical fluids technology for clean biofuel production. Prog. Nat. Sci. 2009, 19, 273–284. [Google Scholar] [CrossRef]
- Freedman, B.; Butterfield, R.O.; Pryde, E.H. Transesterification kinetics of soybean oil 1. J. Am. Oil Chem. Soc. 1986, 63, 1375–1380. [Google Scholar] [CrossRef]
- Farobie, O.; Leow, Z.Y.M.; Samanmulya, T.; Matsumura, Y. New insights in biodiesel production using supercritical 1-propanol. Energy Convers. Manag. 2016, 124, 212–218. [Google Scholar] [CrossRef]
- Alamu, O.; Waheed, M.; Jekayinfa, S. Biodiesel production from Nigerian palm kernel oil: Effect of KOH concentration on yield. Energy Sustain. Dev. 2007, 11, 77–82. [Google Scholar] [CrossRef]
- Hossain, A.; Boyce, A. Biodiesel production from waste sunflower cooking oil as an environmental recycling process and renewable energy. Bulg. J. Agric. Sci. 2009, 15, 312–317. [Google Scholar]
- Zhang, Y.; Dubé, M.; McLean, D.; Kates, M. Biodiesel production from waste cooking oil: 2. Economic assessment and sensitivity analysis. Bioresour. Technol. 2003, 90, 229–240. [Google Scholar] [CrossRef]
- Nautiyal, P.; Subramanian, K.; Dastidar, M. Kinetic and thermodynamic studies on biodiesel production from Spirulina platensis algae biomass using single stage extraction–transesterification process. Fuel 2014, 135, 228–234. [Google Scholar] [CrossRef]
- Jain, S.; Sharma, M. Kinetics of acid base catalyzed transesterification of Jatropha curcas oil. Bioresour. Technol. 2010, 101, 7701–7706. [Google Scholar] [CrossRef] [PubMed]
- Yaqoob, H.; Teoh, Y.H.; Jamil, M.A.; Rasheed, T.; Sher, F. An Experimental Investigation on Tribological Behaviour of Tire-Derived Pyrolysis Oil Blended with Biodiesel Fuel. Sustainability 2020, 12, 9975. [Google Scholar] [CrossRef]
- Guo, Y. Alkaline-Catalyzed Production of Biodiesel Fuel from Virgin Canola Oiland Recycled Waste Oils. Ph.D. Thesis, Hong Kong University, Hong Kong, China, 2005. [Google Scholar]
- Rashid, U.; Anwar, F. Production of biodiesel through optimized alkaline-catalyzed transesterification of rapeseed oil. Fuel 2008, 87, 265–273. [Google Scholar] [CrossRef]
- Akhihiero, E.; Oghenejoboh, K.; Umukoro, P. Effects of process variables on transesterification reaction of jatropha curcas seed oil for the production of biodiesel. Int. J. Emerg. Technol. Adv. Eng. 2013, 3, 388–393. [Google Scholar]
- Pullen, J.; Saeed, K. Investigation of the factors affecting the progress of base-catalyzed transesterification of rapeseed oil to biodiesel FAME. Fuel Process. Technol. 2015, 130, 127–135. [Google Scholar] [CrossRef]
- Demirbas, A. Biodiesel; Springer: Berlin, Germany, 2008. [Google Scholar]
- Jagadale, S.; Jugulkar, L. Review of various reaction parameters and other factors affecting on production of chicken fat based biodiesel. Int. J. Mod. Eng. Res. 2012, 2, 407–411. [Google Scholar]
- Kusdiana, D.; Saka, S. Effects of water on biodiesel fuel production by supercritical methanol treatment. Bioresour. Technol. 2004, 91, 289–295. [Google Scholar] [CrossRef]
- Tabatabaei, M.; Aghbashlo, M.; Dehhaghi, M.; Panahi, H.K.S.; Mollahosseini, A.; Hosseini, M.; Soufiyan, M.M. Reactor technologies for biodiesel production and processing: A review. Prog. Energy Combust. Sci. 2019, 74, 239–303. [Google Scholar] [CrossRef]
- Shahbazi, M.R.; Khoshandam, B.; Nasiri, M.; Ghazvini, M. Biodiesel production via alkali-catalyzed transesterification of Malaysian RBD palm oil–Characterization, kinetics model. J. Taiwan Inst. Chem. Eng. 2012, 43, 504–510. [Google Scholar] [CrossRef]
- Zhang, L.; Sheng, B.; Xin, Z.; Liu, Q.; Sun, S. Kinetics of transesterification of palm oil and dimethyl carbonate for biodiesel production at the catalysis of heterogeneous base catalyst. Bioresour. Technol. 2010, 101, 8144–8150. [Google Scholar] [CrossRef] [PubMed]
- Birla, A.; Singh, B.; Upadhyay, S.N.; Sharma, Y.C. Kinetics studies of synthesis of biodiesel from waste frying oil using a heterogeneous catalyst derived from snail shell. Bioresour. Technol. 2012, 106, 95–100. [Google Scholar] [CrossRef] [PubMed]
- Lu, Y.; Zhang, Z.; Xu, Y.; Liu, Q.; Qian, G. CaFeAl mixed oxide derived heterogeneous catalysts for transesterification of soybean oil to biodiesel. Bioresour. Technol. 2015, 190, 438–441. [Google Scholar] [CrossRef]
- Jain, S.; Sharma, M.; Rajvanshi, S. Acid base catalyzed transesterification kinetics of waste cooking oil. Fuel Process. Technol. 2011, 92, 32–38. [Google Scholar] [CrossRef]
- Likozar, B.; Levec, J. Effect of process conditions on equilibrium, reaction kinetics and mass transfer for triglyceride transesterification to biodiesel: Experimental and modeling based on fatty acid composition. Fuel Process. Technol. 2014, 122, 30–41. [Google Scholar] [CrossRef]
- Issariyakul, T.; Dalai, A.K. Comparative kinetics of transesterification for biodiesel production from palm oil and mustard oil. Can. J. Chem. Eng. 2012, 90, 342–350. [Google Scholar] [CrossRef]
- Cheng, J.; Li, Y.; He, S.; Shen, W.; Song, Y.; Liu, Y. Reaction Kinetics of Transesterification between Vegetable Oil and Methanol under Supercritical Conditions. Energy Sources Part A Recover. Util. Environ. Eff. 2008, 30, 681–688. [Google Scholar] [CrossRef]
- Fadhil, A.B.; Aziz, A.M.; Al-Tamer, M.H. Biodiesel production from Silybum marianum L. seed oil with high FFA content using sulfonated carbon catalyst for esterification and base catalyst for transesterification. Energy Convers. Manag. 2016, 108, 255–265. [Google Scholar] [CrossRef]
- Berrios, M.; Martín, M.; Chica, A.F.; Martin, A. Study of esterification and transesterification in biodiesel production from used frying oils in a closed system. Chem. Eng. J. 2010, 160, 473–479. [Google Scholar] [CrossRef]
- Encinar, J.M.; Pardal, A.; Sánchez, N. An improvement to the transesterification process by the use of co-solvents to produce biodiesel. Fuel 2016, 166, 51–58. [Google Scholar] [CrossRef]
- Gurunathan, B.; Ravi, A. Process optimization and kinetics of biodiesel production from neem oil using copper doped zinc oxide heterogeneous nanocatalyst. Bioresour. Technol. 2015, 190, 424–428. [Google Scholar] [CrossRef] [PubMed]
- Asri, N.P.; Machmudah, S.; Wahyudiono, W.; Suprapto, S.; Budikarjono, K.; Roesyadi, A.; Goto, M. Non catalytic transesterification of vegetables oil to biodiesel in sub-and supercritical methanol: A kinetic’s study. Bull. Chem. React. Eng. Catal. 2013, 7, 215–223. [Google Scholar] [CrossRef]
- Valle, P.; Velez, A.R.; Hegel, P.E.; Mabe, G.; Brignole, E. Biodiesel production using supercritical alcohols with a non-edible vegetable oil in a batch reactor. J. Supercrit. Fluids 2010, 54, 61–70. [Google Scholar] [CrossRef]
- Zhang, J.; Zhang, B.; Han, L.; Fan, T.; Wang, X. Study on Kinetics of Transesterification of Biodiesel in Zanthoxylum bungeanum seed Oil Ethyl Ester. In E3S Web of Conferences; EDP Sciences: Les Ulis, France, 2020. [Google Scholar]
- Kurhade, A.; Dalai, A.K. Kinetic modeling, mechanistic, and thermodynamic studies of HPW-MAS-9 catalysed transesterification reaction for biodiesel synthesis. Fuel Process. Technol. 2019, 196, 106164. [Google Scholar] [CrossRef]
- Booramurthy, V.K.; Ramesh, K.; Subramanian, D.; Pandian, S. Production of biodiesel from tannery waste using a stable and recyclable nano-catalyst: An optimization and kinetic study. Fuel 2020, 260, 116373. [Google Scholar] [CrossRef]
- Jamil, F.; Kumar, P.S.M.; Al-Haj, L.; Myint, M.T.Z.; Al-Muhtaseb, A.H. Heterogeneous carbon-based catalyst modified by alkaline earth metal oxides for biodiesel production: Parametric and kinetic study. Energy Convers. Manag. X 2020, 100047, in press. Available online: https://pubs.acs.org/doi/full/10.1021/ef700250g (accessed on 15 December 2020).
- Qadeer, M.U.; Ayoub, M.; Bilad, Z.M.R. Biodiesel production from waste cooking oil by using methyl acetate with sodium methylate as a catalyst. Solid State Technol. 2020, 63, 3847–3854. [Google Scholar]
Publisher’s Note: MDPI stays neutral with regard to jurisdictional claims in published maps and institutional affiliations. |
© 2021 by the authors. Licensee MDPI, Basel, Switzerland. This article is an open access article distributed under the terms and conditions of the Creative Commons Attribution (CC BY) license (http://creativecommons.org/licenses/by/4.0/).








