Abstract
The development of sustainable innovation (SI) is complex and risky due to the characteristics and diversity of actors involved in its process. Little is known about the collaborative process underlying this development. The objective of the paper is to explore the collaborative mechanisms and dynamics that influence the process and characteristics of sustainable innovations. The translation approach of the actor–network theory is applied to shed light on the collaborative process of two cases of sustainable innovations within small- and medium-sized enterprises. The sociotechnical graph method is used as a methodology to track the mechanisms and compare the dynamics of their processes. The results reveal that the governance characteristic of sustainable innovations and the moment of mobilization are essential aspects of the collaborative processes. They show that, depending on the intensity and systemic impacts of SI, attraction and retention are important mechanisms in the construction of the governance characteristics of SI. A manager who uses these mechanisms during the mobilization of actors, having resources related to the governance characteristics, succeeds in sustainable innovation development. The paper contributes to the literature on sustainability management by linking the ‘becoming’ of sustainable innovations to their collaborative processes. It also informs managers on how to manage the collaborative process of sustainable innovations by relying on a translation approach.
1. Introduction
Sustainable development “does imply […] limitations imposed by the present state of technology and social organization on environmental resources and by the ability of the biosphere to absorb the effects of human activities” [] (p. 24). This observation implicitly urges a reassessment of social and technological change via the introduction of sustainability (economic, social, and environmental) dimensions into organizations’ existing and new activities and, thus, into their innovations. This reassessment leads to the development of sustainable innovations (SIs), defined as innovations that significantly reduce their negative (or improve their positive) economic, environmental, and/or social effects [,]. The implications of SIs for managers and organizations are debated within different scientific communities [,,,,,,,,,,]. One question raised during these debates, which should help managers better structure the SI journey, is what a SI should be or what characteristics should it have to ensure sustainability dimensions.
To that end, indicators and frameworks for characterizing SIs have been proposed by academics [,]. Although scholars have not reached a consensus on SI characteristics, the framework of [] is recognized as useful to describe the common characteristics of SI. This framework identifies eight characteristics (component, eco-efficient solution, eco-effective solution, user development, user acceptance, change in product–service deliverable, change in product–service process, and governance) grouped in four dimensions (design, user, product–service, and governance) to formulate the ultimate nature of SIs. However—like the other frameworks—that of Carrillo-Hermosilla et al. focuses more on the identification of SI characteristics than the collaborative process that shapes their ‘becoming’. Nevertheless, to understand the ‘becoming’ of SIs, the paper contends that we must shift our thinking by considering ‘SI as process’ [,,]. This idea is fed by three observations stemming from the current literature on SIs.
First, according to scholars, the debate on SIs must evolve from a teleological to an ontological perspective, which remains a gap in the literature [,,,,,,,,,]. The teleological perspective strengthens the conceptual debate because it questions the purpose of SIs, which is linked to their characteristics. The ontological perspective focuses on the proof of this purpose and, implicitly, questions the ‘becoming’ of SIs, which is linked to their process. In other words, to know what an SI should be, we must first understand how it is becoming an SI. Second, the development of SIs is complex and risky due to their characteristics and processes, which involves multiple actors with diverse interests or demands [,,,,,,,]. Therefore, the development of SIs will depend on the successful management of these demands during the collaborative process. In this sense, the article suggests focusing on the collaborative mechanisms and dynamics of SI development. Third, practitioners and academics agree that SIs constitute a means of enhancing sustainability at different levels of analysis. The paper focuses on small- and medium-sized enterprises (SMEs) since the manager’s role is crucial in the development of SIs, and few studies target this level of analysis [,,,]. Based on the above-mentioned observations, the article attempts to answer the following question: how do the collaborative mechanisms of SME managers and their stakeholders influence the characteristics and dynamics of SI processes?
To address this question, the paper suggests mobilizing the sociotechnical analysis of the actor–network theory (ANT). The sociotechnical analysis of the ANT sheds light on a translation approach, which is well suited to the study of SIs [,,,] at the level of the innovating actor (such as a manager and his/her team) with an in-depth level of detail. The translation is a process that consists of transformations and displacements of actors who interact (collaboration), express their ideas, demands or interests (interpretation), and adjust an innovation. During the translation process, the role of the translator (usually the innovating actor) is to successfully manage the actor’s relationships and interpretations by following the translation moments: problematization, interessement, enrolment, and mobilization. The paper explores the process of collaboration rather than the process of interpretation during the translation moments of SIs.
The sociotechnical graph (STG) method, derived from the ANT, is a methodology used to explore the collaborative mechanisms and dynamics that lead to the SI development. The STG is applied to two cases of SI developed by SMEs: a technological process to counter Legionella bacteria and a biocosmetic product. The paper follows the conclusions of [,,,,], who emphasize the need to deeply and systematically address both the ‘what’ (characteristics) and ‘how’ (collaborative process) in the study of SIs. In this sense, the authors underline the importance of adopting process views to study sustainability issues and sustainable solutions. Furthermore, according to [], several studies focus on the design aspects of SIs and the analysis of their associated environmental characteristics, but they hardly (or certainly, not systematically) address the understanding of SI as a process, while they neglect the collaborative dimensions. Therefore, the aim of the paper is to advance knowledge on the collaborative process that influence SI development, under the lens of the process view of the ANT.
The results reveal that the governance characteristics and the moment of mobilization are essential aspects of the SI collaborative process. Depending on the intensity and systemic impact of SI, attraction and retention will be important mechanisms in the construction of SI governance characteristics. Besides these results, the paper provides several contributions about the social and interactive dimensions of SI development. By doing so, the paper better informs managers about how to successfully manage the collaborative process of their SIs.
The remainder of the paper is structured as follows. After the introduction, Section 2 presents the theoretical framework. In Section 3, the STG method and data are described. The results are analyzed in Section 4. Section 5 is the discussion, which describes the contributions and implications of the paper, and concludes with the limitations of the study.
2. Theoretical Framework
2.1. The Characteristics of Sustainable Innovations
Several frameworks (Table 1) are suggested to identify the dimensions of SIs [,]. That of [] is one of the most cited and used in sustainability management literature. Indeed, in several studies published in sustainability journals (see, for example [,,,,,,,,,,,,,,,,]), Carrillo-Hermosilla et al.’s framework is recognized as well suited to the identification or characterization of SIs. For example, [] found the framework useful in structuring the characteristics of energy-efficient technologies. In [], the authors noted that firms must master diverse knowledge pertaining to the four dimensions of this framework. To reduce the subjectivity in the assessment of eight characteristics, [] quantitatively explored the eight characteristics of SI developed by small firms. For their part, [] used three of the four dimensions (excluding governance) to select research review papers focused on sustainable technological innovations. The authors of [] reused the framework to identify different types of SI, such as the technology, product, service, and business models.
Table 1.
Examples of frameworks of common characteristics of SI.
The Carrillo-Hermosilla et al. framework (Table 2) identifies four dimensions (design, user, product–service, and governance) and eight characteristics (component, eco-efficient solution, eco-effective solution, user development, user acceptance, change in product–service deliverable, change in product–service process, and governance) to formulate the ultimate nature of SIs. It includes a set of characteristics common to SIs, which “provide a solid foundation for all parties involved to communicate on equal terms instead of on different understandings” of what an SI is [] (p. 1495). For example, [] examine the case of Eco-Cement (a type of hydraulic cement produced from municipal waste incineration ashes, which provides a double environmental benefit: a reduction in the extraction of resources and in the amount of waste) developed in 1999 by one of the leading Japanese companies in the cement industry. By applying their framework, the authors identify the following characteristics of the Eco-Cement: the incineration and the use of incineration ashes in cement production are new components in cement production and waste management (design of component addition); the Eco-Cement improves efficiency in cement production and waste management systems by reducing CO2 emissions/ton cement, extracting chlorine and heavy metals from the process and recycling them (design of subsystem change); it is efficient and safe, but a partial solution for resource management because the waste materials cannot be reused for the same or better purposes (design of system change); the company, the academia and the public sector take an active role in the development of Eco-Cement (user development); the cement industry relies strongly on an established and dominant cement manufacturing technology that is the main barrier of the adoption of Eco-Cement (user acceptance); the Eco-Cement does not consist of service dimensions (change in user product service deliverable); compared to the dominant cement technology, the new value chain of Eco-Cement includes waste collection and incineration, and separation of incineration waste (change in user product service process), and, the Japanese authorities included Eco-Cement into the cement standard specification after consultation with stakeholders (governance change). According to [], the success of Eco-Cement is not only due to its design, user, and product–service characteristics, but because “its development involved intensive collaboration between the private and public sectors and substantial consultation of other stakeholders” (p. 1082), which represents the governance dimension.
Table 2.
Carrillo-Hermosilla et al.’s framework.
For [], each type of SI “is characterized by a singular configuration” (p. 344), which is the result of collaborations and changes made by actors involved in their development phase. According to Carrillo-Hermosilla et al.’s analytical framework, some SIs require a combination of four dimensions and eight characteristics, which play a significant role in understanding their multi-faceted nature and diversity. Although this framework draws on a perspective according to which SI characteristics arise through the processes of interactions between different internal and external actors, the authors do not examine how these actors’ collaborations influence the nature and the development of SIs. According to [], the aim of their framework is to “identify the specific characteristics of different [SIs] and analyse their variety” (p. 1082). Recently, [,] also used the same approach. Yet, it is also important to understand the collaborative process underlying the development of SIs because the way actors collaborate will determine the nature of the artifact (here, a sustainable innovation) they wish to construct []. Furthermore, [] state that, “the understanding of the […] particularities of the [SI] process is crucial to manage it more efficiently” (p. 1279). Therefore, the article focuses on the collaborative process of SI. Additionally, in the literature, a set of approaches of innovation processes are mobilized to achieve greater understanding of the collaborative process of SI [,].
2.2. The Collaborative Process of Sustainable Innovation
In general, the approaches of the innovation processes help us understand: (1) how SIs are technically designed (new product development model); (2) socially adopted by users (diffusion approach); (3) improved by complementary external actors (open innovation model); or (4) adapted by a network of actors at different levels of analysis (sociotechnical transitions approaches).
Indeed, the new product development (NPD) model [,] posits that the ecological design of product innovations and the improvement of product sustainability performance could be achieved by screening for environmental effects, analyzing their main problems, and finding solutions []. In this sense, several methods and tools drawing on eco-design and lifecycle analysis have been used []. For example, the authors of [] propose a method, emphasizing the role of product lifecycle management in reaching sustainable NPD. The authors of [] suggest a design for energy-efficiency (DfEE) as a top-down tool that improves the design characteristics of sustainable products during the early stages of the NPD process. However, it seems that the social effects and relational aspects have been neglected in the NPD process [,,,,]. Although the design dimension is important in determining the environmental effect of SIs, the social and relational dimensions are also decisive in their processes. The diffusion of the innovation approach attempts to overcome this limit.
According to [], the diffusion process of innovations follows four phases (i.e., knowledge, persuasion, decision, and confirmation) that lead to their adoption or rejection by social groups of actors. The authors of [] state that the diffusion of clean technologies likely follows these four phases, “although far less research has been done on clean technology than on normal technologies” (p. S17). In fact, in the SI literature, studies are more focused on the factors of SI diffusion [] than on the dynamics of that diffusion []. In this sense, the authors of [] recommend introducing a temporal dimension to better understand the dynamics of SI diffusion. The authors of [] explore this dimension in the implementation of five environmental management accounting innovations within organizations. Their study indicates that, in the SI diffusion process, “managers start with one or a few tools and then expand their knowledge base and implement additional tools as these appear to be relevant” [] (p. 486). Overall, there is little knowledge on mechanisms and dynamics through which SIs are adapted (development process) before being adopted (diffusion process). In other words, the diffusion process comes after the characteristics of innovation are developed. However, in the adaptation process, there are multiple external interactions that are the focus of the open innovation approach.
Chesbrough’s [] open innovation approach proposes that interactions and collaborations with external partners and their integration into the innovation development process improves innovation performance because the internal resources and competencies of firms (especially small firms) are not sufficient at developing the innovation. In terms of the SI process, it is taken for granted that a high level of collaboration with the external environmental and social stakeholders is required because they give access to specific resources (such as knowledge), and improve the sustainability performance as well as the acceptance of SIs [,,,,,,]. In this sense, the author of [] found that “tight” collaborations, “loose” collaborations or “bridging” collaborations are required to develop strong or weak ties with suppliers who provide access to novel resources required by SIs. For [], collaboration of firms and stakeholders must range from progressive openness to limited openness depending on the phases of the SI process. The study by [], on the roles of different open-innovation stakeholders, reveals which collaboration with the stakeholders fits best to strengthen SI performance and acceptance. However, collaborations for SIs are not without skepticism, doubts, hesitations, tensions, critical events, or resistances, due to the sustainability dimensions of Sis, which are subject to different meanings, and the diversity of actors’ interests [,,,,,]. How these difficulties are managed during the collaborative process of SI remains understudied. For some scholars, the difficulties are inherent to the shift toward sustainability, which should be understood as a sociotechnical transition.
A sociotechnical transition is “a set of processes that lead to a fundamental shift in socio-technical systems” [] (p. 956). The shift is made by networks of actors, including people (individuals, collectives), artifacts (e.g., social norms, regulations, technical standards, tools, knowledge), and natural objects (e.g., natural resources, raw materials) that are influenced by social, organizational, institutional, political, economic, and technical considerations. In other words, a sociotechnical transition involves actors who collaborate under the influence of their own constraints as well as their own demands or interests. As a kind of sociotechnical transition, sustainability transition is particularly a long-term, multi-dimensional, and fundamental shift to more sustainable systems [,,,]. In a sustainability transition, one particularity is that “what is considered sustainable can be subject to interpretation and might change over time” [] (p. 957). In addition, “a solution to one [sustainability] issue could be detrimental to that of another” [] (p. 298). These collaboration challenges make the development of any solution to sustainability more complex and riskier for managers and firms [,,]. Therefore, it is useful to understand how managers collaborate and deal with challenges during a sustainability transition within their company.
Placing emphasis on, and analyzing the development of SIs at the level of actor collaborations, involve adopting a micro-level analysis of actors and innovations []. The authors of [] note that sociotechnical transition approaches have generally overlooked the “micro-level of innovating actors” (p. 444). For [], few studies on sustainability transition explore the micro-level dimensions of SIs. In other words, sociotechnical analysis at the micro-level remains underexplored in the SI literature. The paper suggests using the ANT to better explore and understand the micro-level of the SI collaborative process.
2.3. The Sociotechnical Analysis of ANT
Latour [], along with Callon, Akrich, Mol and Law, is the precursor of the ANT and the approach of translation (We should note that one of the recent articles by Akrich, Callon, and Latour that was published specifically in an innovation management journal (see International Journal of Innovation Management) dates to 2002, but was originally published in 1988 in the French version. Moreover, many of these authors’ early works (usually dated to 1981) that made the most impact on organization, management, and innovation studies [,,] are still cited today, even in SI literature (e.g., see [,,,,,,]). The ANT is sometimes referred to as the sociology of translation. As part of an interactionist perspective, the ANT extends the foundations of strategic analysis in which actors, their interactions, and demands are a central unit of analysis. Indeed, the strategic analysis consists in identifying, for each actor (individuals or group of individuals) involved in a situation (a collective action or a project), the social mechanisms that he puts forward during collaborations with others to achieve his goals. Under the lens of strategic analysis, the ANT attempts to follow the social mechanisms by which an innovator manages different or competing demands between actors involved in the development of a sociotechnical project—such as innovation—and stabilizes it. It helps us understand how an innovator steadily ties (connected and assembled) over time a growing number of actors in a network which aims to develop an innovation [,,].
A network of actors or ‘actants’ comprises human and non-human constituents, which influence the process and the nature of any artifact, such as innovation. Human (through their representations, interpretations, interests, or demands) and non-human actors (through their quality, physical or non-physical natural properties, or constraints) are involved in an innovation process. Therefore, they are an influential part of innovation characteristics. In this sense, analysts and scholars should not distinguish between them or between society and nature: this is the principle of generalized symmetry []. This principle, whereby humans (society) and non-humans (nature/environment) are ‘equal’, is also promoted by sustainable development. For example, in the “proto-history of a laboratory”, [] describes an innovative project of extensive aquaculture of scallops where the aim was to avoid the decline in the population of scallops (Saint-Jacques shells). This decline would have a negative impact both on the ecological environment (represented by larvae, scallops, and their related ecosystem) and the society (represented by researchers, the fishers and their economic activities, the consumers and their insatiable social needs, and other related stakeholders). Therefore, the larvae, the scallops, the fishers, the consumers, and other related stakeholders are ‘equally’ involved and bound together in a project driven by researchers, which development and success will depend on each of these actors in the sense that: for the fishers to satisfy the insatiable demands of consumers, researchers must first study and resolve the problematic behavior of scallops. The satisfaction of consumer demands implies that the problems of larvae and scallops and the difficulties around them must be solved.
However, the application of the principle of generalized symmetry generates opportunities, as well as hybridization constraints that can create areas of difficulties (critical events, tensions, doubts, misunderstandings, conflicts, controversies, etc.), which could impede the development of an innovation. An illustration of the difficulties underlying collaborations for innovation could be provided in the story of an ‘ordinary’ bicycle (developed in the 1800s) in the study by []: “In the case of the ‘ordinary’ bicycle: there was the ‘unsafe’ machine (through the eyes of women) and there was the ‘macho’ machine (through the eyes of the young male ‘ordinary’ users). For women the bicycle was a machine in which your skirt got entangled and from which you frequently made a steep fall; for the ‘young men of means and nerve’ riding it, the bicycle was a machine to impress lady-friends” (p. 68). In other words, the “ordinary” bicycle is the object of different interpretations or “interpretative flexibility” [] related to its characteristics, which result in various competing individual projects. The final version of the bicycle will depend on social mechanisms used by the managers to reduce the interpretative flexibility that characterizes the bicycle [].
According to [], the promoters of an innovation can, in addition to rhetoric, resolve difficulties through a technical transformation, and a technical or moral redefinition. To better understand these mechanisms of resolving difficulties emerging from the collaborative process of an innovation, let us take two situations from the story of the bicycle. In this case, a first difficulty dealt with the issue of air-filled tires. Proponents of the solution claimed it helped prevent wheel vibration, while other players believed it was a horrible accessory that distorted the appearance of the bicycle. The proponents of the tire imposed their system by showing that it solved another problem: the speed (technical redefinition). In another situation, the promoters developed a specific model of the bicycle allowing women to ride a bicycle in long skirts (wearing trousers was frowned upon in certain circles, particularly in religious circles): a bicycle with a frame in amazon (technical transformation).
As we can see in these two examples, the promoters technically redefine the ‘ordinary’ bicycle (from air-filled tires to another system, to avoid wheel vibrations). Some operate this redefinition by advancing aesthetic reasons (tires inflated with air are a horrible accessory that distorted the appearance of the bicycle). The promoters also make a technical transformation on the ‘ordinary’ bicycle by offering a model of bicycle mounted in amazon so that women in long skirts can use it. Here, this technical transformation responds to moral reasons in a context (in the 19th century) where the wearing of pants was “badly perceived” or even prohibited in certain circles.
In sum, by analyzing the social mechanisms through which the difficulties emerging from the collaborative process of (sustainable) innovation are resolved, we can understand how the characteristics of this innovation are developed. In other words, if an SI exists, it is not because of the materiality of its sustainability characteristics, but because of the compromises, changes, or adjustments made by actors on these characteristics during their collaboration. The translation approach of the ANT is a useful tool for the analysis of the social mechanisms underlying a collaborative process of innovation.
2.4. The Translation Approach of ANT
The concept of “translation” is inspired by Harold Garfinkel’s ethnomethodology []. The translation is a process of displacements of actors involved in the development of an innovation, and transformations of the innovation by inscribing their different demands into its characteristics []. In this sense, the translation allows to attend a possibility of hybrid configurations (hybridization) because the characteristics of the innovation reflect the actors’ demands at different degrees. The process of translation has four moments (problematization, interessement, enrolment, and mobilization) and different collaborative mechanisms that consist of attracting and retaining stakeholders (Table 3).
Table 3.
Description of the translation process.
The moments of translation processes do not necessarily occur one after the other. However, each of them marks a progression in the translation []. The dynamic of the innovation process changes when there are difficulties at any moment of the translation. It could also fail if the innovator cannot reconcile the competing demands. During these moments, a large part of the work of the innovating actor is that of “inscribing” his demand in the characteristics of the innovation. When actors agree with this demand, they collaborate with the innovator. In this sense, they are inscribed in the innovation. When actors disagree because they have competing demands against that of the innovator (and his allies), they “describe” the innovation by displacements. Therefore, innovation is adapted by them if the innovator agrees. Inscription refers to all the types of transformations through which an entity becomes materialized into a sign, an archive, a document, a piece of paper, a trace. It is in the incessant variation between “in-scription” and “de-scription” that actors are attracted and retained throughout the translation process and that the innovation takes shape over time. Throughout the translation process, two categories of mechanisms can be used to deal with various demands and to inscribe essential elements of actors’ demands into the innovation: (1) attraction and (2) retention.
First, key actors (actors with key resources) involved in the translation process must be attracted by the innovator (or sometimes by the actor who has critical resources): the attraction mechanisms. In doing so, the innovator must ideally ensure (1) that the number of actors linked together in the network steadily increases (new actors who have participated in the process in a previous version of the innovation may find themselves associated in the next version); and (2) that no key actor is lost throughout the collaborative process or leave it (meaning that the innovation has a good yield). Second, key actors must be retained by the innovator: the retention mechanisms. In this sense, the innovator must ideally ensure (3) that the negotiations attenuate through adaptations or changes; and (4) that the characteristics of the innovation steadily stabilize (which means that it became a “final” reality). The translation mechanisms are transversal to the translation moments, and each phase allows to attract and retain actors during the process.
Some researchers have highlighted the relevance of the sociotechnical analysis and the translation approach of the ANT in understanding sustainability issues and SIs. Indeed, [] finds that the ANT “(1) expands the purview of analysis to the larger web of people and things that co-constitute energy systems; (2) gives visibility to previously inconspicuous actors and processes; (3) actively engages with ignorance and uncertainty in scientific experimentation, and (4) identifies alternative ways of assembling technologies, people and environments that are fairer and more sustainable” (p. 106). The authors of [] also recommend drawing on the ANT when they foresee the need for an exploratory study to analyze the dynamics of actors’ networks during the front end of the SI process. The authors of [] examine a web-based carbon management application (an SI that reduces carbon emissions) through the ANT and conclude that the approach puts the SI process in a different light. Using the ANT, the authors of [] show how actors’ cognitions are inscribed into a company’s sustainable business model innovation. The authors of [] rely on the ANT when analyzing the adoption process of solar-powered food storage technology. The authors of [] use the ANT as an analytical framework from which to map the collaborative process of SI through networking dimensions in non-profit organization within a cultural village.
However, to our knowledge, no study has explicitly investigated, with a micro-focus approach, the mechanisms used by managers to deal with actors’ demands during the collaborative process of SI. The tendency, although embryonic in sustainability literature [], is to partially apply the ANT approach with a macro focus (see, for example, [,,,,]) rather than a micro-level analysis of innovating actors [,]. A micro-level analysis provides an in-depth level of detail that is required in the understanding of sustainability processes within an organization [], such as SMEs [,]. By applying the STA and the translation approach of the ANT, the paper aims to provide an in-depth level of detail on the collaborative process of SI. Derived from the ANT, the sociotechnical graph (STG) method is also used as a methodology to follow the mechanisms and the dynamics of this collaborative process.
3. Method and Data
A process research strategy (Figure 1) is recommended to analyze the process of complex organizational phenomena, such as innovations [,] for sustainability []. In such research, a qualitative strategy is useful when exploring phenomena that are less or poorly explored and understood [], such as managing the collaborative process of SI within SMEs. Under these conditions, scholars must define the perspective (weak or strong), the focus (after-the-fact or in-the-flow), and the approach (inside or outside) of the process they wish to use [].
Figure 1.
Framework for the research design. Inspired from [] (p. 5).
Firstly, the strong process perspective is used in the present process research. Unlike the weak process perspective, which focuses on the link between the preexisting phase and the next one, the strong process perspective highlights what happens in these phases and, therefore, the content of the process. The content of the process encapsulates the actors’ interactions and demands that can be captured with a strong process perspective. Secondly, the focus of the present process research is on exploring the ‘after-the-fact’ process, which starts with the finalized SI and returns to how it was developed. For [], this retrospective analysis has the advantages of focusing data collection efforts on specific aspects of the process studied. In this sense, it provides information on the aspects of the process that we want to better understand. These are some advantages that real-time analysis does not provide, although real-time analysis remains the most promising in terms of the richness of the analysis of data collected. Moreover, the retrospective analysis or after-the-fact focus used in our study has also been applied by sustainability studies using ANT (e.g., see [,,,,,]). Lastly, the study follows an inside approach that consists in capturing the meaningful experiences of actors involved in the SI process. The abovementioned process research strategy was applied to a case study method.
3.1. Case Study and Selection
A case should be unique to provide additional knowledge and it is also well suited for exploring innovation processes []. A case is unique when it is a particular object of study and has instrumental value (i.e., used to illustrate the relevance of a theory). The case is unique in that it “derives its excitement and justification through little more than a particular phenomenon [and] it is very special in the sense of allowing one to gain certain insights that others […] would not be able to provide” [] (p. 20). At the same time, it is also a good means of persuasion and a very powerful example when it represents a ‘talking pig’ []. Finally, the case is unique when it occurs in a specific context [] or in “a particular organization precisely because it is very special in the sense of allowing one to gain certain insights that other organizations would not be able to provide” [] (p. 20). Using fictitious names, a brief context of the selected cases of SIs is presented in the following paragraphs to show to what extent they are unique cases.
3.1.1. The Case of the Legionella Preventive Treatment (LPT)
The LPT is a technological process to counter Legionella bacteria developed by a company of 115 employees created in 1965. The company evolves in the treatment of the industrial wastewater sector. It develops and commercializes chemical, mechanical, and water treatment solutions for private and public organizations. As designed in 2009, the final version of LPT includes a bacteria detection process, a disinfection program, and a counselling service (sensitization, training, and monitoring) to prevent the occurrence of the Legionella bacteria. However, an existing solution is used as standard in the sector for many years. In 2012, a Legionella epidemic arose and resulted in a dozen deaths and over 100 infected people in Quebec, Canada. The standard solution showed its limits during the epidemic. Unlike the standard solution, the LPT is unique in using non-toxic and ecological treatment products (vs. the standard solution that uses toxic products) and in detecting the bacteria within 24 h (vs. 2 weeks for the standard solution). Unfortunately, the managers (vice-president of sustainable innovation, vice-president of communication, technical manager, sustainability manager) failed to obtain a law (an environmental regulation) from members of parliament (and supported by the public health service) that would turn the LPT into the sector’s new standard in Quebec. As respectively explained by the technical director and the sustainability coordinator of the company:
“The development of our technology has been a challenge above all because no company uses it, although in the world of scientific research its basic foundations are known.”
“I have met about 300 companies, over 1000 managers. The problem is the analytical technique used in our green chemistry was very controversial for those of the managers who were chemists, scientists, or researchers. The preference was for the more traditional analytical technique. Under these conditions, my message was no longer focused on our technology, but on the passing of a law or a new regulation.”
3.1.2. The Case of the Fair Biocosmetic (FBC)
The FBC is a biocosmetic product developed by a company of 22 employees created in 2005. The product is made from 100% argan oil directly purchased from Moroccan women’s (Berbers) cooperatives. By collaborating with the Moroccan cooperative, the company thus contributes to boosting the local economy. The argan oil is transformed in Quebec to obtain a molecule without resorting to the process used to manufacture synthetic cosmetic products. The FBC is packaged in a biodegradable and compostable container made of corn polymers and labeled with recycled paper. Through discounts or bonuses, customers are encouraged to return empty containers. The company reuses some containers in the production cycle and sends others to a Quebec cooperative that transforms them into jewelry. Before achieving the FBC in its final version, the managers (the founder and the vice-president) faced challenges to develop a biocosmetic that involved various key actors (biochemists, cosmetologist, support organizations, financial institutions, and certifiers). According to the founder:
“Developing a cosmetic product from plants and especially argan oil was not really done when technology allowed it, at least we believed in it. So, we did a lot of compromises as well as research and development (20% of turnover) for almost two years to arrive at an ecological and fair product certified by Ecocert (Ecocert is an independent organization responsible for monitoring, on the ground, the respect of environmental and social requirements through its own standards (e.g., ecological and biological cosmetics). Through its contribution to the development of organic farming, this company has become a benchmark for organic certification worldwide.) and Québec Vrai (Québec Vrai is an organization accredited in Quebec to certify products according to ISO standards as well as to verify the supply chain of certified products.).”
The selected cases are unique, because (1) they are developed in the specific context of SMEs from different sectors, and (2) their collaborative processes show two different stories of failure and success. The selection is based on methodological expediency as indicated by []. The methodological expediency consists in selecting cases that give the opportunity to study the phenomenon and facilitates the entry of the researcher into the field []. However, the cases must be controlled by selection criteria []. There are four selection criteria in our study:
- The innovation must follow the definition of SI: as indicated in the introduction of this paper, SIs are innovations (such as technology, products/services, organizational or commercial methods, institutional change) that significantly reduce their negative (or improve their positive) economic, environmental, and/or social effects.
- The SI must be developed within SMEs: the manager’s commitment to sustainability issues, the organizational flexibility of SMEs, the closed relationships (proximity) with stakeholders, and the importance of external collaborations, are unique to the context of SMEs, and are conditions needed to develop SIs [,,].
- The SI process must be representative of a failure and a success. Whereas the “tendency” is often to neglect the failure and to emphasize the success, behind the failure, there are more lessons to learn from than the success [,]. It is the moment when, for a future situation, someone can give advice or insight to another individual [].
- The story of each SI development must allow observing interactions between actors and difficulties emerging from this process: the authors of [] warn against believing for a moment those edifying stories of innovations that retrospectively invoke the absence of competing demands that generate difficulties during the collaborative process.
Following these criteria, the selection process begins with the exploration of two official documents published by different organizations: Enviro-Access (a Canadian organization whose mission is to promote the development of environmental technologies) and Novae (a web portal, promoting managers who develop SIs with a particular approach). Thirty companies were found, and within these companies, seven cases were selected because the manager instantly responded to the invitation (by email) and agreed to participate in the study, which facilitated the entry of the authors into the field. Moreover, the SMEs were not known before. Therefore, this is purely a case study. In the email, a summary of the study is presented, and the manager was asked if he/she would agree to participate in the study. Finally, the process allows selecting two cases of SI, each representing a failure case and a success case.
3.2. Data Collection and Organizing
Data used in this study (Table 4) originate from unstructured (by telephone) and semi-structured (face-to-face) interviews made and recorded by the author and manually transcribed (verbatim) by research assistants. Press archives (public documents, such as newspapers and videos found on the web) collected via a database called “Eurêka” (see Appendix A and Appendix B) and reorganized minutes of meetings (private documents provided by the managers) were also used. The meeting minutes give some idea of the content of discussions between the manager and his partners.
Table 4.
Description of collected data.
The telephone interview provided some idea of the relevance of the case study and the reasons for continuing with it. The purpose of the face-to-face interview was to produce a story of SI based on the manager’s narrative. During this in-depth interview, the manager was invited to speak in detail (e.g., dates, actors, interests, obstacles, processes) about the collaborative process of the SI. Some questions relying on the [] (p. 59) questionnaire (which focused on the processes of SIs in SMEs) were asked to guide the semi-structured interviews.
The confidential nature of the SIs (this is often the case with innovations) and the limits of the retrospective perspective (which does not allow questioning past external actors when the SIs were developing) did not help to interview other actors outside the companies. However, the private and public documents consulted made it possible to learn more about these actors and the events during the SI processes. Since the content of public documents (i.e., press archives) was developed by other individuals (journalists), the manager was invited to confirm or refute some extracts during the in-depth interview. The interviews were translated verbatim and completed with meeting minutes.
The variety of sources allowed the triangulation of the data collected []. The triangulation consisted of the integration of different primary (interviews) and secondary (meeting minutes and press archives) sources of data. The NVivo software (version 12 for Mac) was used to easily combine and organize these data (Figure 2).
Figure 2.
Process of data organizing in NVivo. Adapted from [].
Since managers express themselves freely during interviews, their statements are not systematically chronological []. The authors organized the data with NVivo following thematic nodes (which corresponded the translation mechanisms and controversies) by providing a temporal and sequential ordering of the texts through narratives, which were nested data. In this sense, the analysis with NVivo was conducted in a deductive way. For [], “A good text brings to light networks of actors when it allows those who write it to draw a set of relationships defined as so many translations” (p. 190). In [], the authors note that the narrative offers a better understanding of sustainability transitions. According to [], understanding the narratives used by managers to legitimate their actions and innovations is critical. To minimize the potential biases inherent in these narratives, we (the author and two research assistants) carried out revisions facilitated by NVivo’s iteration process. As with the verbatim interviews, the narratives were validated by the managers. The manager’s narrative was transcribed in scripts by applying the STG method, which consisted of coding the data collected.
3.3. The Sociotechnical Graph Method
The STG made it possible to highlight information (qualitative converted in quantitative data) and to visualize the path followed by an innovation []. It consisted of coding the significant parts of the managers’ statements about innovation. All sequences of statements represent the sociotechnical script (STS) of the managers’ narratives. The STS is a graphic representation of the dynamic of the collaborative process in which actors interact and adjust. The coding process follows three steps (Table 5).
Table 5.
Description of the coding process.
At step 1, the manager’s narrative was reduced to a series of separate statements. The statement began when the manager identified a sustainability (at the moment of problematization) issue that was to be targeted by an SI idea or project. On a horizontal line, each statement indicates (A, B, C, and so on) the associations or substitutions of actors (human and/or non-human) and the critical information of the process (e.g., information about the SI and the process, tension, difficulty, etc.). The first or initial version of the SI, coded (1), was modified for the next version, which was coded (2), (3), and so on (n), if either a new actor was associated to the process (due to critical information) or if one of the old actors (these are the cases of actors D and C in the LPT process, and actors B and G in the FBC process) was replaced by another actor. If there was no information (from the manager) mentioning that an actor had defected or had left the process, it was repeated from one version to the next (vertical line). Moreover, when a series of actors coded in a previous version of the SI remained in the next version, it was repeated in the statement by indicating the number of the previous version. However, we should ensure that an actor is not coded twice in the same statement. The STSs of managers’ narratives are presented in Figure 3 (LPT, FBC). Steps 2 and 3 are the results of the transformation of the STSs.

Figure 3.
The managers’ sociotechnical scripts for each SI.
Step 2 consisted of transforming the above STSs into numbers by quantifying (see Table 5) at each version (n) of the SI the associations/substitutions of actors during the SI process, by using indicators (Nn, An, En, ANAn, and LNAn). At Step 3, the indices (Sn, INn, Rn, and Yn) of the SI process were calculated. These indices help to measure attraction (number of actors and index of yield) and retention (index of negotiation and index of reality). Moreover, the process of one type of SI may be more interactive than another due to the actors’ interactions and controversies. Here, these indices enable the comparison of different versions of the same SI (internal comparison) and different SI processes (external comparison). Finally, sociotechnical diagrams were built to represent the dynamic of the translation (or collaborative) process. The diagram plunges the SI process into a geometrically coherent space so that each significant variation of the indices makes sense.
4. Results
4.1. The Characteristics of the SIs
To describe the characteristics of the SIs, we applied the Carrillo-Hermosilla et al. framework (Table 6). Indeed, the LPT reached the end of its development process. However, it failed to be accepted due to the lack of a law (governance characteristic) that would give it the legitimacy to be used as a standard in the industry. Here, the standard solution still prevailed for the stakeholders and the public health service (user acceptance characteristic). Unlike some changes made to the SI characteristics (e.g., the adding of a disinfection program with ecological products) during the process, the managers especially failed to construct the governance dimension because the passing of a law was beyond their control, despite attempts to convince (with the mobilization of the association for innovation in chemistry and the Quebec Building Authority) members of parliament. The lack of environmental regulation (a law) and the prevalence of a standard solution impact the subsystem and system characteristics of the LPT: if the LPT is not supported by a law and accepted in the industry, it cannot be used at the systemic level and, therefore, loses its relevance. According to the technical manager:
“In Canada and Quebec, there is no company that has such technology, and it takes expertise to be able to apply it. Rather, companies in the industry have been using another well-known technology for many years. However, it has shown its limits in the fight against the bacteria and does not consider environmental aspects (e.g., excess concentrations of chlorine and ineffective chemical treatments harmful to the environment) and social (e.g., risk of contamination to humans due to the very long detection time of the bacteria, i.e., two weeks, toxicity of the treatment products which may have negative effects on health).”
Table 6.
Description of the SIs’ characteristics.
Unlike the LPT, the FBC achieves its development process and has been accepted. However, during the process, the SI changes in its component addition, product–service deliverable, and product–service process dimensions: from cosmetic to 100% argan oil cosmetic and, lastly, to fair-trade biocosmetic. For example, the managers use the expertise of biochemists and a cosmetologist to develop an efficient FBC. They also integrate (1) a service, including discounts and bonuses to bring back empty packaging and allow the reuse of this packaging; and 2) a fair-trade approach (certified by Ecocert and Quebec Vrai) to keep the women’s cooperative mobilized in the process. According to the founder:
“There are two types of cosmetics, i.e., synthetic cosmetics using excipients derived from the oil industry, and biocosmetics which use vegetable excipients and certified organic. For a cosmetic to carry the organic label, it must meet the reference codes of the various organic certification bodies. Therefore 95% of its ingredients must be certified organic. Herbal excipients are as effective as chemical excipients. They also provide vitamins, minerals, proteins, and unsaturated fatty acids to the skin. Another advantage is the absence of side effects caused by parabens derived from petroleum which are used as preservatives and emulsifiers in the cosmetics industry. Indeed, these are found more and more in cancerous tissues. Therefore, in Europe, cosmetics companies have almost all removed them from their products, but here in Quebec, 75% contain them.”
Compared to the LPT, the governance dimension is less crucial in the case of the FBC because it could be managed by the company: passing a law is more difficult than helping a women’s cooperative to ensure regular income. One particularity of the development of the SI is that it requires specific resources (expertise and sufficient money) that the two SMEs do not have and, therefore, they need to collaborate. Moreover, the shaping of SI characteristics during the collaborative process raises one question: how does the FBC succeed in reaching the end of its development and in being accepted, unlike the LPT? To answer this question, the following section will analyze the dynamics of the SI collaborative process related to their characteristics.
4.2. The Collaborative Process of SIs
The data show that the capacity of the manager (and his team) to stabilize the SI process is crucial in the ‘becoming’ of the SI. As a reminder, the stability of an SI depends on the way the translation process is conducted and the collaborative (attraction and retention) mechanisms that are deployed. Table 7 consists of applying the translation approach of the ANT to describe the collaborative process of the two SIs and its influence on the SI characteristics. It shows that, although the SME managers follow the translation process, one of the companies (about the LPT) failed at the moment of mobilization, which had an impact on the governance dimension.
Table 7.
Description of the SI collaborative process.
The mobilization of allies, which contributes to the stability of the SIs, is quantitatively expressed in Table 8 by four indicators (S, IN, R, and Y). As a reminder, the stability of the process depends on the attraction and retention mechanisms. The attraction is measured by the number of actors (S) and the index of yield (Y). The retention is measured by the indices of negotiation (IN) and reality (R). The data in Table 8 are the results of the indicators’ quantifications and the application of the calculation formulas indicated previously in Table 5 (description of the coding process).
Table 8.
Indicators and indices of the dynamic of the translation process.
Indicators are needed to calculate indices, and to understand the quantification of indicators. Let us take an example in the case of the FBC by following its sociotechnical script (see Figure 3) and the data (indicators) in Table 8 (Nn, An, En, ANAn, LNAn):
- Version (1): there are two actors (A and B) at the beginning of the process. Actor A holds the rank 1 and B, the rank 2 in the alphabetical order (E1 = 2) meaning that the FBC have interested two different actors. The sustainable issues of the classic cosmetics (derived from parabens and harmful to humans) lead to the development of the FBC (version 2).
- Version (2): two new actors (C and D, N2 = 2). Actor A remains in the process and then becomes an ally (A2 = 1), C holds the rank 3, and D, the rank 4 in the alphabetical order (E2 = 4), meaning that the FBC has interested four different actors. The aggregation of new actors mobilized in the process is ANA2 = 2 (i.e., C and D), but B leaves the process (it is a loss, LNA2 = 1). The socioeconomic issue of the cooperative’s women prompts the manager to pursue the development of the FBC (version 3).
- Version (3): two new actors (E and F, N3 = 2). All actors at version 2 (i.e., A, C, and D) remain in the process and there are now three allies (A3 = 3). E holds the rank 5 and F, the rank 6 in the alphabetical order (E3 = 6). The aggregation of new actors is now ANA3 = 2 (i.e., E and F), no loss of actors (LNA3 = 0). The development of a biocosmetic made with 100% argan oil needs R&D capacities, which the manager does not have (version 4).
- Version (4): two new actors (G and B come back in the process, N3 = 2). All actors at version 3 (i.e., A, C, D, E, and F) remain and there are now five allies (A4 = 5). G holds the rank 7 in the alphabetical order (E4 = 7), the aggregation of new actors is ANA4 = 2 (i.e., G and B), and no loss of actors (LNA4 = 0). The biochemist company proposes to combine argan oil with paraben (version 5).
- Version (5): two new actors (H and I, N5 = 2). All actors at version 3 remain (A5 = 5), H holds the rank 8 and I, the rank 9 in the alphabetical order (indicator E5 = 9). The aggregation of new allies is ANA5 = 2 (i.e., H and I), but G and B leave the process at version 4 (LNA5 = 2). The manager does not have resources to invest in ecological biocosmetics (version 6).
- Etc.
In general, the analysis of the indicators shows that if the LPT succeeds in attracting external and internal (e.g., employees) stakeholders at the moments of problematization, interessement, and enrolment, it fails to retain the external stakeholders at the mobilization moment. According to the managers:
“The company embarked on the development of the innovation which will involve internal players, namely the company’s laboratory technicians. The latter foresee a change in their tasks which will henceforth be devoted to the development of the technology. For some technicians, especially the oldest in the company, given that it is a question of solving a problem that does not yet exist in Quebec, it is not necessary to invest in the development of a new analysis technology if there is already a technology that has a broad consensus in the industry. We must be content with conventional technology while focusing on the use of ecological products instead of toxic products. For technicians, the company can stand out above all in terms of treatment with ecological products. Based on this new idea coming from the laboratory technicians, we decide to develop a prototype that combines the new analysis technology and treatment with ecological products.”(Vice-president of SI)
However, the FBC steadily attracted and retained crucial stakeholders (e.g., biochemists, cosmetologist, women’s cooperative) in its overall translation process. According to the founder:
“Thanks to biochemists and the cosmetologist, I understand that I can use the argan oil to develop a cosmetic product thus ensuring regular income for the women’s cooperative. I did not know anything about the cosmetics industry. The more I learned about this world, the more I realized that many of the ingredients in cosmetics are derived from petroleum, and people put them on their faces! Under these conditions, I understand that there is another opportunity that presents to me: showing Quebec women the virtues of argan oil for their skin.”
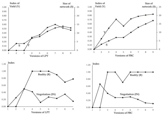
To observe with an in-depth level of detail, the dynamic of the SI stability during their collaborative processes, the data in Table 8 are represented by sociotechnical diagrams (Figure 4). These diagrams plunge each SI into a geometrically coherent space so that each significant variation of the indicators helps us understand how the FBC succeeds in its attraction and retention process, unlike the LPT.
Figure 4.
Sociotechnical diagrams of the collaborative process of SIs.
The LPT reaches the end of its development process, but it fails to be accepted by external stakeholders (e.g., association of owners of cooling towers, public health service, members of parliament).
“Owners of cooling towers were telling me that it’s not even mandatory to do preventative testing, although they know their cooling towers are contaminated. In fact, they don’t want to do it for economic reasons. And it reminded me of the movie called ‘Erin Brockovich Alone Against All’. In this movie, people in a small town in California contracted serious illnesses (such as cancer) caused by drinking water containing toxic discharges from the cooling water of a factory. In short, owners of cooling towers resistance have led us to focus on the legislative aspect.”(Sustainability manager)
“For representatives of Public Health Services, although they are convinced of the relevance of our technology, but it is not the standard in North America and Canada, although it allows screening in 24 h with products that are not harmful to humans and the environment, while with usual technologies, it takes 15 days with toxic chemical treatments.”(V.P. of an SI)
“Thus, faced with 15 members of parliament we present ourselves as ‘the representatives of the bacteria’. We ask MPs to wear a pin bearing the sign of the bacteria. Our arguments were first supported by the crises that took place in France, the United Kingdom, Australia, and above all, by the existence of legislation in France, a country from which the laws of Quebec are generally based.”(Sustainability manager)
“For some members of parliament, ‘there is already a regulation’; which is not in fact the case. For others, ‘we must not frighten the population since there is no epidemic, and anyway there is already the classical technology to fight the bacteria if it occurs’. The company claims that this technology has shown its limits even in France in terms of response time and the negative environmental impact of treatments. In addition, a law can be adopted for prevention. Among these members of parliament, only one, himself a scientist, supports the ‘representatives of the bacteria’. He then offers to discuss the case with his colleagues. Finally, the meeting gives birth to a mouse.”(V.P. of Communication)
Indeed, from versions 3 to 8, the LPT attached itself to a growing number of actors and its yield (Y) increased. This attraction can be explained by the fact that the LPT requires more closed (compared to the PPT) than highly opened development at this time and must therefore mobilize more internal actors (over which the manager has control) than external ones. However, when the time comes to integrate critical external stakeholders, the managers fail. As proof, the SI did not attach itself to the environmental regulations (Y = 0, version 3, Table 8), owners of cooling towers (Y = 0.53, version 6) and to members of parliament (Y = 0.52, versions 8). These critical actors have remained unwavering allies of the standard or classical technology, which is the LPT’s “competitor”. In addition, they will negatively impact the SI throughout its process. Moreover, at these versions, we can see that the number of actors increased (S = 4; 11; 14) with peaks in the index of negotiation (IN = 0.50; 0.27; 0.35), while the index of reality decreased (R = 0.50; 1.00; 0.69). It is only in terms of the Legionella epidemic in 2012 (version 8) that the LPT will be temporarily used and therefore will demonstrate its robustness. However, the managers failed to retain the critical external actors, which would have given it legitimacy.
“In 2012, a Legionella epidemic broke out in Quebec, and the media echoed the families of a dozen dead and more than a hundred infected people. The company is then called to the rescue first by the media and then by the authorities in place, the ‘Régie des Bâtiment du Québec (RBQ)’, the Public Health Services and the city where the contaminated tower was located.”(VP of an SI)
“For us, this makes all the difference in a crisis situation and with regulations that require periodic screening. However, a collaborative attempt to establish comparison protocol from similar samples to validate the two technologies fails, after the epidemic.”(Technical manager)
In contrast with the LPT, the FBC reached its development processes and its acceptance. At version 5 until the remainder of the process (version 10), the FBC offers an ideal representation of attraction and retention. More precisely, the number of actors (S = 7 to 21) and the yield (Y = 0.55 to 0.86) steadily increased together, while the index of negotiation (IN = 0.28 to 0.19) decreased, and the index of reality (R) was consistently at its maximum (R = 1). How does the manager do that? Every time, the manager adjusts, finds compromises, and especially uses actors (e.g., biochemists, cosmetologist) who legitimize the project throughout the process. For example, the managers allow the biochemists and cosmetologist to work together, as they have different areas of expertise and interpretations of what an effective biocosmetic should be.
“A first meeting then takes place with biochemists. They make me understand that although argan oil has virtues, but it contains large molecules that hardly penetrate the skin. However, in the case of cosmetics, consumers often expect products that have quick effects, are suitable for different skin types, and are adapted to the climate. Under these conditions, biochemists believe that we must first develop products which combine argan oil with synthetic excipients, therefore, not vegetable. According to biochemists, ‘Although it is possible to extract active ingredients from argan oil that ensure good penetration into the skin in specific places, it remains a technical challenge that requires a lot of money’.”(The founder and president)
“Having heard about what I did to help the cooperative, the cosmetologist then contacted me and offered to prepare, on a voluntary basis, a 100% natural cosmetic whose composition rarely exceeds the five ingredients, a record for the cosmetic industry. In fact, she told me that it costs between $25,000 and $55,000 to develop a cosmetic product. She offered to pay her when I sold my first product. To develop this cosmetic, I propose a collaboration between the biochemists and the independent cosmetologist. The involvement of these two actors strengthens the credibility of the product, which can therefore benefit from the financial support of the Business Development Bank of Canada to finalize its realization.”(The founder and president)
The managers also found a compromise when they accepted to pay the right price to the women’s cooperative, despite the constraints of the international market.
“The meeting is held with about sixty Berber women. Discussions mainly revolve around volumes and prices. While volumes can be assured, market-dependent prices cannot. The strong variations in the price of raw materials, which are caused by human beings, artificially increase prices by 20% each year. For me, it would be unfair to charge its variations to women who only extract an oil from a natural resource (the argan tree) of which the human being is not the creator. So, I was torn between the economics of the product and what it was emotionally for me. I decide to pay the right price to the women.”(The founder and president)
At the same time, however, they had the idea of integrating a certified fair-trade approach into the characteristics of the FBC.
“Thereafter, I got the idea to add a component to ecological cosmetics that reflects and even justifies the sacrifice made in terms of price: cosmetics that are not only ecological, but also fair. However, to be qualified as fair, the cosmetic must pass certification processes.”(Vice-president)
“The ecological and fair cosmetics being ready, we meet the distributors of classic cosmetic products as well as ecological and fair products. With the latter, partnerships are easier. They know their business, their customers, their environmental language and above all they know how to present biocosmetic products. This is not the case with distributors of traditional cosmetics such as pharmacies. For them, the word ‘green’, ‘organic’, is not what is in their language. Rather, it’s the word, ‘high efficiency’, and the prices that count. So, we must be able to prove it to them. Which we did very well, telling them that our products are as effective if not more than what is available on the market. And in this, the certifications obtained from Ecocert and Québec Vrai help us enormously because they also certify the quality of the product.”(Vice-president)
As with Ecocert and Québec Vrai (the certifiers), the biochemists and the cosmetologist gave the FBC its legitimacy through their certifications (for a fair-trade approach) and their recognized expertise (for the efficiency and environmental aspects of the cosmetic). In other words, the managers used them as credible representatives of the SI, which are important at the moment of mobilization in the translation process.
5. Discussion and Conclusions
The results reveal that the dimension of governance and the moment of mobilization have been, among others, crucial in the collaborative process of the SIs and in their characteristics. Indeed, the LPT fails to be accepted as a standard solution (as the managers wanted) at the system level (especially at the level of the industry and in Quebec) despite its sustainability characteristics and its efficiency during the epidemic. In other words, the sustainability characteristics of SI are not sufficient at ensuring its successful development. The acceptance of the LPT requires the passing of a law by the members of parliament and a support from the public health service, which will oblige the industry and the consumers (e.g., owners of cooling water) to use the LPT. In this sense, the results show that the LPT is more systemic than the FBC and seems to be more radical: it implies change at system level.
According to [], SIs, “[…] particularly when they are radical and require techno-institutional system-level changes, are difficult to achieve because the prevailing system may act as a barrier to the creation and diffusion of a new system” (p. 1078). Therefore, some SIs, having impacts at system level, may require major governance innovation (e.g., regulation of unauthorized resource use, monitoring, collective choice) that refers to changes in norms and values potentially leading to new organizational or structural changes at sector or society level []. For [,], the development of radical and systemic SI goes beyond firm boundaries and connects the firm to society. A radical and systemic SI also creates more skepticism, doubts, hesitations, tensions, and resistances than incremental SI [,,,,]. That highlights the importance of a high level or a “tight” collaboration with crucial stakeholders [,,,], not only regarding knowledge resources as mentioned by [,,,]. The results show that a high level of mobilization of actors who have legitimacy resources (such as law, regulation, norm, etc.) are also important in the collaborative process of SI.
From a theoretical perspective, the knowledge gaps identified by the research question proposed in the introduction have been addressed by the study. As a reminder, we want to explore the collaborative mechanisms that influence the characteristics and dynamics of sustainable innovations. The STA and translation approach of the ANT helped us to explore the collaborative process of the two SIs and the ‘becoming’ of their characteristics. First, in terms of advantages, STA forces us to confront the sociotechnical ‘give-and-take’, or the determinism observed in the literature and used to analyze the characteristics and the development of SIs. Second, the study contributes by showing that the translation approach of the ANT could be a relevant model to understand the development of SIs as process [,,]. According to [,,], these scholars interested in studying “innovation as process” may embrace a very different agenda with new theories and methodologies focusing on collaborative dimensions. Especially, for [], the ANT will be worthwhile to understand sustainability and SI as a process. In other words, the ANT can provide very useful theoretical and methodological tools as well as a language to analyze these dimensions. By applying the translation approach of the ANT to the collaborative process of the two SIs, the paper follows the conclusions of [,] who emphasize the need to address deeply and systematically both the ‘what’ (characteristics) and ‘how’ (collaborative process) in the study of SIs. The study links the ‘becoming’ of SIs to their collaborative process and creates a much better understanding of the development of SIs. It also contributes to reduce the gap of SI theoretical approaches related to collaborative dimensions [,,,] by using the translation approach of ANT.
From a methodological perspective, by applying the STG method to the process of different SIs, the paper makes it possible to compare the dynamic of different SI collaborative processes, which is rarely analyzed in the literature. The STG allowed us to follow the dynamic of the collaborative process of the two SIs, as well as to quantify and compare the processes. Respectively, as conceptual, and methodological tools, the sociotechnical analysis and method as applied in this article have some advantages and limitations. Second, the sociotechnical method enables one to track, quantify, and calculate the process of different types of SIs. To our knowledge, this has never been done in the current SI literature. Lastly, compared to a previous study published by [], the article introduced and demonstrated the relevance of two indicators to compare different SI processes: the indices of reality and yield. By doing so, the article simplifies the STG so that any analyst or scholar can follow the codification, quantification, calculation, and representation of the dynamics of SIs’ collaborative processes.
From a practical perspective, the dimension of governance and the translation process invites managers to carefully deploy attraction and retention mechanisms when facing crucial actors (such as members of parliament and public health service in the case of the LPT), highlighting the role of mobilization to turn these actors into allies. For example, the attraction and retention of regulators, such as members of parliament and the public health service would have allowed to avoid the failure of the LPT to become the new standard solution, unlike the FBC, in which legitimacy has been enhanced by certifiers, such as Ecocert and Quebec Vrai, who were important allies. One way to mobilize crucial stakeholders is to make a “casting of allies” (i.e., the good role should go to the right actors)—as shown by [] (p. 537)—allies who have resources that enhance the legitimacy of the SI. Here, the paper contributes to the literature by showing that governance dimension of SIs could be better managed through attraction and retention mechanisms of the translation process. Depending on the intensity and systemic impact of SI, the attraction and retention will be important mechanisms in the construction of an SI’s governance characteristics.
In conclusion, we contend that turning the managers’ narratives into sequences of statements is not an easy task and presents some methodological limitations. In other words, the use of texts as primary data presents some difficulties. Indeed, the statements come from the retrospective narratives of SME managers. Under these conditions, biases can appear in the data and the results. For example, a manager may have forgotten to relate significant facts, thus altering the sociotechnical script and, therefore, the sociotechnical diagrams. To reduce these biases, the interviews come from different managers within the SMEs as well as diverse public and private documents, which provide different perspectives on the collaborative process. Moreover, since the analyst manually coded the data, errors can occur. In all these cases, the challenge for the analyst is to ensure that the managers’ narratives reflect reality as much as possible. In this study, one way of reducing this bias is to obtain a systematic validation from the interlocutor(s) regarding the story, the narrative, and the sequences of statements. Using specialized HyperCard software could also help to systematically enter, code, and later analyze a large volume of data with fewer errors, as conducted by Latour himself.
Furthermore, another theoretical limit of the study can be identified. Indeed, the article does not show how the ideas, demands, or interests of stakeholders have changed during the collaborative process of the SIs. For example: how obligatory passage points have been constructed to interest the stakeholders []; how their different visions have been reconciled; what were the words used by the stakeholders to express these reconciliations, etc. In short, the article does not show much of the process of interpretation (vs. process of collaboration) during the translation. Future studies that mobilize, for example, approaches of sensemaking [,], or approaches relying on symbolic interpretivism [], the methodology of which varies between ethnography and discourse analysis, could refine these aspects of the sociotechnical analysis.
Author Contributions
Conceptualization, K.G.A. and F.L.; methodology, K.G.A.; validation, K.G.A. and F.L.; formal analysis, K.G.A. and F.L.; investigation, K.G.A.; resources, F.L. and K.G.A.; data curation, K.G.A.; writing—original draft preparation, K.G.A.; writing—review and editing, K.G.A. and F.L.; visualization, K.G.A. and F.L.; supervision, K.G.A. and F.L.; project administration, K.G.A. and F.L.; funding acquisition, F.L. and K.G.A. Both authors have read and agreed to the published version of the manuscript.
Funding
This research received no external funding.
Institutional Review Board Statement
The study was conducted according to the guidelines of the Declaration of Helsinki, and approved by the Ethics Committee of Université du Québec à Trois-Rivières (CER-12-185-07-03-01, 18 November 2013).
Informed Consent Statement
Informed consent was obtained from all subjects involved in the study.
Conflicts of Interest
The authors declare no conflict of interest.
Appendix A
Table A1.
List of press archives found about LPT (originally in French newspapers; the name of the company has been removed).
Table A1.
List of press archives found about LPT (originally in French newspapers; the name of the company has been removed).
| Article Title | Date | Author | Newspaper | Number of Pages |
|---|---|---|---|---|
| 28 Juin 2003 | - | Les Affaires | 1 |
| 12 Juin 2013 | V.-P. Innovation et DD | 3 E Colloque IDP | 25 |
| 20 Mars 2013 | Pierre Turbis | Le Courrier du Sud | 2 |
| 20 Août 2012 | Pierre Pelchat | Le Soleil | 2 |
| 20 Septembre 2012 | Annie Mathieu | Le Soleil | 2 |
| 28 Août 2012 | - | TVA Interactif | 3 |
| 2 Octobre 2012 | Matthieu Boivin | Le Soleil | 2 |
| 16 Janvier 2013 | Matthieu Boivin | Le Soleil | 2 |
| 5 Septembre 2012 | - | L’Écho de Saint-Jean | 2 |
| 11 Février 2012 | Patrick Bellerose | Les Affaires, No: 6 | 2 |
| 20 Septembre 2012 | - | TVA interactif | 3 |
| 22 Novembre 2011 | - | Canada NewsWire | 1 |
| 28 Août 2012 | - | CTV News | 2 |
| 19 Septembre 2012 | - | Canada NewsWire | 2 |
| 30 Octobre 2009 | - | Canada NewsWire | 1 |
| 21 Septembre 2012 | Mathieu Boivin | Le Soleil | 1 |
Appendix B
Table A2.
List of press archives found about FBC (originally in French newspapers; the name of the company has been removed).
Table A2.
List of press archives found about FBC (originally in French newspapers; the name of the company has been removed).
| Article Title | Date | Author | Newspaper | Number of Pages |
|---|---|---|---|---|
| 12 Septembre 2013 | Martine Letarte | La Presse | 2 |
| 12 Juin 2013 | Vice-president | Colloque IDP | 13 |
| 1 Décembre 2007 | Pierre Théroux | Les Affaires | 3 |
| 10 Mai 2008 | Marc Gosselin | Les Affaires | 3 |
| 15 Juillet 2007 | - | Affaires—Progrès Villeray, 73(10) | 2 |
| 28 Mars 2013 | Annie Lafrance | Le Soleil | 2 |
| 14 Juin 2011 | - | La Moisson | 2 |
| 15 Mai 2013 | - | 24 Heures Montréal | 2 |
| 28 Octobre 2013 | Emilie Laperrière | La Presse | 3 |
| 2013 | Géraldine Zaccaardelli | Boutique Biosphere | 5 |
| 19 Octobre 2010 | Ève Dumas | Cyberpresse | 2 |
| 17 Juin 2013 | Boualem Hadjouti | GaïaPresse | 3 |
| 23 Décembre 2008 | Pelletier-Legros, Marie-Luce | Métro (Montréal) | 3 |
| 2 Mai 2008 | Marc Gosselin | Les Affaires | 2 |
| 20 Mai 2007 | - | Le Progrès Villeray, 73(2) | 2 |
| 1 Décembre 2009 | - | Nouvelles Hochelaga-Maisonneuve, 2(48) | 2 |
| 19 Novembre 2011 | Marie Lyan | Les Affaires No: 42 | 3 |
| 26 Juin 2007 | - | Les Affaires | 2 |
| 29 Mai 2010 | - | Les Affaires—Cahier Spécial | 3 |
| 29 Mai 2010 | Anne-Marie Tremblay | Les Affaires | 2 |
References
- World Commission on Environment and Development. Our Common Future: World Commission on Environment and Development Edition; Oxford Paperbacks; Oxford University Press: Oxford, UK; New York, NY, USA, 1987; ISBN 978-0-19-282080-8. [Google Scholar]
- Aka, K.G. Actor-Network Theory to Understand, Track and Succeed in a Sustainable Innovation Development Process. J. Clean. Prod. 2019, 225, 524–540. [Google Scholar] [CrossRef]
- OECD. Eco-Innovation in Industry: Enabling Green Growth: OECD Innovation Strategy; OECD: Paris, France, 2010. [Google Scholar]
- De Almeida, J.M.G.; Gohr, C.F.; Morioka, S.N.; Medeiros da Nóbrega, B. Towards an Integrative Framework of Collaborative Capabilities for Sustainability: A Systematic Review and Research Agenda. J. Clean. Prod. 2021, 279, 123789. [Google Scholar] [CrossRef]
- Brown, P.; Von Daniels, C.; Bocken, N.M.P.; Balkenende, A.R. A Process Model for Collaboration in Circular Oriented Innovation. J. Clean. Prod. 2021, 286, 125499. [Google Scholar] [CrossRef]
- Chistov, V.; Aramburu, N.; Carrillo-Hermosilla, J. Open Eco-Innovation: A Bibliometric Review of Emerging Research. J. Clean. Prod. 2021, 311, 127627. [Google Scholar] [CrossRef]
- Orellano, M.; Lambey-Checchin, C.; Medini, K.; Neubert, G. A Methodological Framework to Support the Sustainable Innovation Development Process: A Collaborative Approach. Sustainability 2021, 13, 9054. [Google Scholar] [CrossRef]
- Cantele, S.; Moggi, S.; Campedelli, B. Spreading Sustainability Innovation through the Co-Evolution of Sustainable Business Models and Partnerships. Sustainability 2020, 12, 1190. [Google Scholar] [CrossRef] [Green Version]
- Mercado-Caruso, N.; Segarra-Oña, M.; Ovallos-Gazabon, D.; Peiró-Signes, A. Identifying Endogenous and Exogenous Indicators to Measure Eco-Innovation within Clusters. Sustainability 2020, 12, 6088. [Google Scholar] [CrossRef]
- Velter, M.G.E.; Bitzer, V.; Bocken, N.M.P.; Kemp, R. Sustainable Business Model Innovation: The Role of Boundary Work for Multi-Stakeholder Alignment. J. Clean. Prod. 2020, 247, 119497. [Google Scholar] [CrossRef]
- Boons, F.; McMeekin, A. An introduction: Mapping the field(s) of sustainable innovation. In Handbook of Sustainable Innovation; Edward Elgar Publishing: Cheltenham, UK, 2019; ISBN 978-1-78811-256-7. [Google Scholar]
- Gente, V.; Pattanaro, G. The Place of Eco-Innovation in the Current Sustainability Debate. Waste Manag. 2019, 88, 96–101. [Google Scholar] [CrossRef]
- Hazarika, N.; Zhang, X. Evolving Theories of Eco-Innovation: A Systematic Review. Sustain. Prod. Consum. 2019, 19, 64–78. [Google Scholar] [CrossRef]
- Pinto, M.M.A.; Kovaleski, J.L.; Yoshino, R.T.; Pagani, R.N. Knowledge and Technology Transfer Influencing the Process of Innovation in Green Supply Chain Management: A Multicriteria Model Based on the DEMATEL Method. Sustainability 2019, 11, 3485. [Google Scholar] [CrossRef] [Green Version]
- Kuo, T.-C.; Smith, S. A Systematic Review of Technologies Involving Eco-Innovation for Enterprises Moving towards Sustainability. J. Clean. Prod. 2018, 192, 207–220. [Google Scholar] [CrossRef]
- Carrillo-Hermosilla, J.; del Río, P.; Könnölä, T. Diversity of Eco-Innovations: Reflections from Selected Case Studies. J. Clean. Prod. 2010, 18, 1073–1083. [Google Scholar] [CrossRef]
- Mousavi, S.; Bossink, B.A.G. Firms’ Capabilities for Sustainable Innovation: The Case of Biofuel for Aviation. J. Clean. Prod. 2017, 167, 1263–1275. [Google Scholar] [CrossRef]
- Whiteman, G.; Kennedy, S. Sustainability as process. In The SAGE Handbook of Process Organization Studies; Sage: London, UK, 2017; pp. 417–431. ISBN 978-1-4462-9701-8. [Google Scholar]
- Lupova-Henry, E.; Dotti, N.F. Governance of Sustainable Innovation: Moving beyond the Hierarchy-Market-Network Trichotomy? A Systematic Literature Review Using the ‘Who-How-What’ Framework. J. Clean. Prod. 2019, 210, 738–748. [Google Scholar] [CrossRef]
- Savaget, P.; Geissdoerfer, M.; Kharrazi, A.; Evans, S. The Theoretical Foundations of Sociotechnical Systems Change for Sustainability: A Systematic Literature Review. J. Clean. Prod. 2019, 206, 878–892. [Google Scholar] [CrossRef]
- Zemigala, M. Tendencies in Research on Sustainable Development in Management Sciences. J. Clean. Prod. 2019, 218, 796–809. [Google Scholar] [CrossRef]
- Cancino, C.A.; La Paz, A.I.; Ramaprasad, A.; Syn, T. Technological Innovation for Sustainable Growth: An Ontological Perspective. J. Clean. Prod. 2018, 179, 31–41. [Google Scholar] [CrossRef]
- Hansen, T.; Coenen, L. The Geography of Sustainability Transitions: Review, Synthesis and Reflections on an Emergent Research Field. Environ. Innov. Soc. Transit. 2015, 17, 92–109. [Google Scholar] [CrossRef] [Green Version]
- Markard, J.; Raven, R.; Truffer, B. Sustainability Transitions: An Emerging Field of Research and Its Prospects. Res. Policy 2012, 41, 955–967. [Google Scholar] [CrossRef]
- Todeschini, B.V.; Cortimiglia, M.N.; de Medeiros, J.F. Collaboration Practices in the Fashion Industry: Environmentally Sustainable Innovations in the Value Chain. Environ. Sci. Policy 2020, 106, 1–11. [Google Scholar] [CrossRef]
- Brown, P.; Bocken, N.; Balkenende, R. Why Do Companies Pursue Collaborative Circular Oriented Innovation? Sustainability 2019, 11, 635. [Google Scholar] [CrossRef] [Green Version]
- Lee, D. Implementation of Collaborative Activities for Sustainable Supply Chain Innovation: An Analysis of the Firm Size Effect. Sustainability 2019, 11, 3026. [Google Scholar] [CrossRef] [Green Version]
- Hahn, T.; Pinkse, J.; Preuss, L.; Figge, F. Tensions in Corporate Sustainability: Towards an Integrative Framework. J. Bus. Ethics 2015, 127, 297–316. [Google Scholar] [CrossRef]
- Sarkis, J.; Cordeiro, J.J.; Vazquez Brust, D.A. Facilitating sustainable innovation through collaboration. In Facilitating Sustainable Innovation through Collaboration; Sarkis, J., Cordeiro, J.J., Vazquez Brust, D., Eds.; Springer Netherlands: Dordrecht, The Netherlands, 2010; pp. 1–16. ISBN 978-90-481-3158-7. [Google Scholar]
- Xavier, A.F.; Naveiro, R.M.; Aoussat, A.; Reyes, T. Systematic Literature Review of Eco-Innovation Models: Opportunities and Recommendations for Future Research. J. Clean. Prod. 2017, 149, 1278–1302. [Google Scholar] [CrossRef]
- Klewitz, J.; Hansen, E.G. Sustainability-Oriented Innovation of SMEs: A Systematic Review. J. Clean. Prod. 2014, 65, 57–75. [Google Scholar] [CrossRef]
- Buijtendijk, H.; Blom, J.; Vermeer, J.; van der Duim, R. Eco-Innovation for Sustainable Tourism Transitions as a Process of Collaborative Co-Production: The Case of a Carbon Management Calculator for the Dutch Travel Industry. J. Sustain. Tour. 2018, 26, 1222–1240. [Google Scholar] [CrossRef]
- Wong, C.M.L. Assembling Interdisciplinary Energy Research through an Actor Network Theory (ANT) Frame. Energy Res. Soc. Sci. 2016, 12, 106–110. [Google Scholar] [CrossRef]
- Tyl, B.; Vallet, F.; Bocken, N.M.P.; Real, M. The Integration of a Stakeholder Perspective into the Front End of Eco-Innovation: A Practical Approach. J. Clean. Prod. 2015, 108, 543–557. [Google Scholar] [CrossRef]
- Bossle, M.B.; Dutra de Barcellos, M.; Vieira, L.M.; Sauvée, L. The Drivers for Adoption of Eco-Innovation. J. Clean. Prod. 2016, 113, 861–872. [Google Scholar] [CrossRef]
- Van den Bergh, J.C.J.M.; Truffer, B.; Kallis, G. Environmental Innovation and Societal Transitions: Introduction and Overview. Environ. Innov. Soc. Transit. 2011, 1, 1–23. [Google Scholar] [CrossRef]
- Kiefer, C.P.; Del Río González, P.; Carrillo-Hermosilla, J. Drivers and Barriers of Eco-Innovation Types for Sustainable Transitions: A Quantitative Perspective. Bus. Strat. Environ. 2019, 28, 155–172. [Google Scholar] [CrossRef] [Green Version]
- Kiefer, C.P.; Carrillo-Hermosilla, J.; Del Río, P. Building a Taxonomy of Eco-Innovation Types in Firms. A Quantitative Perspective. Resour. Conserv. Recycl. 2019, 145, 339–348. [Google Scholar] [CrossRef]
- Kiefer, C.P.; Carrillo-Hermosilla, J.; Del Río, P.; Callealta Barroso, F.J. Diversity of Eco-Innovations: A Quantitative Approach. J. Clean. Prod. 2017, 166, 1494–1506. [Google Scholar] [CrossRef]
- Marzucchi, A.; Montresor, S. Forms of Knowledge and Eco-Innovation Modes: Evidence from Spanish Manufacturing Firms. Ecol. Econ. 2017, 131, 208–221. [Google Scholar] [CrossRef]
- Adams, R.; Jeanrenaud, S.; Bessant, J.; Denyer, D.; Overy, P. Sustainability-Oriented Innovation: A Systematic Review: Sustainability-Oriented Innovation. Int. J. Manag. Rev. 2016, 18, 180–205. [Google Scholar] [CrossRef]
- Hojnik, J.; Ruzzier, M. What Drives Eco-Innovation? A Review of an Emerging Literature. Environ. Innov. Soc. Transit. 2016, 19, 31–41. [Google Scholar] [CrossRef]
- Díaz-García, C.; González-Moreno, Á.; Sáez-Martínez, F.J. Eco-Innovation: Insights from a Literature Review. Innovation 2015, 17, 6–23. [Google Scholar] [CrossRef]
- Ghisetti, C.; Marzucchi, A.; Montresor, S. The Open Eco-Innovation Mode: An Empirical Investigation of Eleven European Countries. Res. Policy 2015, 44, 1080–1093. [Google Scholar] [CrossRef]
- Cai, W.; Zhou, X. On the Drivers of Eco-Innovation: Empirical Evidence from China. J. Clean. Prod. 2014, 79, 239–248. [Google Scholar] [CrossRef]
- Cheng, C.C.J.; Yang, C.; Sheu, C. The Link between Eco-Innovation and Business Performance: A Taiwanese Industry Context. J. Clean. Prod. 2014, 64, 81–90. [Google Scholar] [CrossRef] [Green Version]
- De Medeiros, J.F.; Ribeiro, J.L.D.; Cortimiglia, M.N. Success Factors for Environmentally Sustainable Product Innovation: A Systematic Literature Review. J. Clean. Prod. 2014, 65, 76–86. [Google Scholar] [CrossRef]
- Boons, F.; Lüdeke-Freund, F. Business Models for Sustainable Innovation: State-of-the-Art and Steps towards a Research Agenda. J. Clean. Prod. 2013, 45, 9–19. [Google Scholar] [CrossRef]
- Karakaya, E.; Hidalgo, A.; Nuur, C. Diffusion of Eco-Innovations: A Review. Renew. Sustain. Energy Rev. 2014, 33, 392–399. [Google Scholar] [CrossRef]
- Triguero, A.; Moreno-Mondéjar, L.; Davia, M.A. Drivers of Different Types of Eco-Innovation in European SMEs. Ecol. Econ. 2013, 92, 25–33. [Google Scholar] [CrossRef]
- Fleiter, T.; Hirzel, S.; Worrell, E. The Characteristics of Energy-Efficiency Measures—A Neglected Dimension. Energy Policy 2012, 51, 502–513. [Google Scholar] [CrossRef]
- Iñigo, E.A.; Albareda, L. Understanding Sustainable Innovation as a Complex Adaptive System: A Systemic Approach to the Firm. J. Clean. Prod. 2016, 126, 1–20. [Google Scholar] [CrossRef]
- Jo, J.-H.; Roh, T.; Kim, S.; Youn, Y.-C.; Park, M.; Han, K.; Jang, E. Eco-Innovation for Sustainability: Evidence from 49 Countries in Asia and Europe. Sustainability 2015, 7, 16820–16835. [Google Scholar] [CrossRef] [Green Version]
- Gremyr, I.; Siva, V.; Raharjo, H.; Goh, T.N. Adapting the Robust Design Methodology to Support Sustainable Product Development. J. Clean. Prod. 2014, 79, 231–238. [Google Scholar] [CrossRef] [Green Version]
- Machiba, T. Eco-innovation for enabling resource efficiency and green growth: Development of an analytical framework and preliminary analysis of industry and policy practices. In International Economics of Resource Efficiency; Bleischwitz, R., Welfens, P.J.J., Zhang, Z., Eds.; Physica-Verlag HD: Heidelberg, Germany, 2011; pp. 371–394. ISBN 978-3-7908-2600-5. [Google Scholar]
- Hansen, E.G.; Grosse-Dunker, F.; Reichwald, R. Sustainability Innovation Cube—A Framework to Evaluate Sustainability-Oriented Innovations. Int. J. Innov. Manag. 2009, 13, 683–713. [Google Scholar] [CrossRef]
- Bijker, W.E.; Hughes, T.P.; Pinch, T.; Douglas, D.G. The Social Construction of Technological Systems: New Directions in the Sociology and History of Technology; MIT Press: Cambridge, MA, USA, 2012; ISBN 978-0-262-51760-7. [Google Scholar]
- Kleinschmidt, E.J.; de Brentani, U.; Salomo, S. Performance of Global New Product Development Programs: A Resource-Based View. J. Prod. Innov. Manag. 2007, 24, 419–441. [Google Scholar] [CrossRef]
- Wind, Y. New Product Development Process: A Perspective for Reexamination. J. Prod. Innov. Manag. 1988, 5, 304–310. [Google Scholar] [CrossRef]
- Gmelin, H.; Seuring, S. Determinants of a Sustainable New Product Development. J. Clean. Prod. 2014, 69, 1–9. [Google Scholar] [CrossRef]
- He, B.; Luo, T.; Huang, S. Product Sustainability Assessment for Product Life Cycle. J. Clean. Prod. 2019, 206, 238–250. [Google Scholar] [CrossRef]
- Li, L.; Yu, S.; Tao, J. Design for Energy Efficiency in Early Stages: A Top-down Method for New Product Development. J. Clean. Prod. 2019, 224, 175–187. [Google Scholar] [CrossRef]
- Prendeville, S.; O’Connor, F.; Palmer, L. Material Selection for Eco-Innovation: SPICE Model. J. Clean. Prod. 2014, 85, 31–40. [Google Scholar] [CrossRef]
- Rogers, E.M. Diffusion of Innovations, 4th ed.; Free Press: New York, NY, USA, 2010; ISBN 978-1-4516-0247-0. [Google Scholar]
- Kemp, R.; Volpi, M. The Diffusion of Clean Technologies: A Review with Suggestions for Future Diffusion Analysis. J. Clean. Prod. 2008, 16, S14–S21. [Google Scholar] [CrossRef]
- Clausen, J.; Fichter, K. The Diffusion of Environmental Product and Service Innovations: Driving and Inhibiting Factors. Environ. Innov. Soc. Transit. 2019, 31, 64–95. [Google Scholar] [CrossRef]
- Burritt, R.L.; Herzig, C.; Schaltegger, S.; Viere, T. Diffusion of Environmental Management Accounting for Cleaner Production: Evidence from Some Case Studies. J. Clean. Prod. 2019, 224, 479–491. [Google Scholar] [CrossRef]
- Chesbrough, H.; Vanhaverbeke, W.; West, J. Open Innovation: Researching a New Paradigm; OUP Oxford: Oxford, UK, 2006; ISBN 978-0-19-929072-7. [Google Scholar]
- Costa, J.; Matias, J.C.O. Open Innovation 4.0 as an Enhancer of Sustainable Innovation Ecosystems. Sustainability 2020, 12, 8112. [Google Scholar] [CrossRef]
- Zimmerling, E.; Purtik, H.; Welpe, I.M. End-Users as Co-Developers for Novel Green Products and Services—An Exploratory Case Study Analysis of the Innovation Process in Incumbent Firms. J. Clean. Prod. 2017, 162, S51–S58. [Google Scholar] [CrossRef]
- Behnam, S.; Cagliano, R.; Grijalvo, M. How Should Firms Reconcile Their Open Innovation Capabilities for Incorporating External Actors in Innovations Aimed at Sustainable Development? J. Clean. Prod. 2018, 170, 950–965. [Google Scholar] [CrossRef] [Green Version]
- Del Río, P.; Carrillo-Hermosilla, J.; Könnölä, T.; Bleda, M. Resources, Capabilities and Competences for Eco-Innovation. Technol. Econ. Dev. Econ. 2016, 22, 274–292. [Google Scholar] [CrossRef] [Green Version]
- Del Río, P.; Peñasco, C.; Romero-Jordán, D. What Drives Eco-Innovators? A Critical Review of the Empirical Literature Based on Econometric Methods. J. Clean. Prod. 2016, 112, 2158–2170. [Google Scholar] [CrossRef]
- Roscoe, S.; Cousins, P.D.; Lamming, R.C. Developing Eco-Innovations: A Three-Stage Typology of Supply Networks. J. Clean. Prod. 2016, 112, 1948–1959. [Google Scholar] [CrossRef]
- Juntunen, J.K.; Halme, M.; Korsunova, A.; Rajala, R. Strategies for Integrating Stakeholders into Sustainability Innovation: A Configurational Perspective. J. Prod. Innov. Manag. 2019, 36, 331–355. [Google Scholar] [CrossRef]
- Rauter, R.; Globocnik, D.; Perl-Vorbach, E.; Baumgartner, R.J. Open Innovation and Its Effects on Economic and Sustainability Innovation Performance. J. Innov. Knowl. 2019, 4, 226–233. [Google Scholar] [CrossRef]
- Purtik, H.; Arenas, D. Embedding Social Innovation: Shaping Societal Norms and Behaviors Throughout the Innovation Process. Bus. Soc. 2019, 58, 963–1002. [Google Scholar] [CrossRef]
- Slawinski, N.; Bansal, P. Short on Time: Intertemporal Tensions in Business Sustainability. Organ. Sci. 2015, 26, 531–549. [Google Scholar] [CrossRef]
- Hall, J.; Vredenburg, H. The Challenges of Innovating for Sustainable Development. MIT Sloan Manag. Rev. 2003, 45, 61–68. [Google Scholar]
- Köhler, J.; Geels, F.W.; Kern, F.; Markard, J.; Onsongo, E.; Wieczorek, A.; Alkemade, F.; Avelino, F.; Bergek, A.; Boons, F.; et al. An Agenda for Sustainability Transitions Research: State of the Art and Future Directions. Environ. Innov. Soc. Transit. 2019, 31, 1–32. [Google Scholar] [CrossRef] [Green Version]
- Sarasini, S.; Linder, M. Integrating a Business Model Perspective into Transition Theory: The Example of New Mobility Services. Environ. Innov. Soc. Transit. 2018, 27, 16–31. [Google Scholar] [CrossRef]
- Markard, J.; Truffer, B. Technological Innovation Systems and the Multi-Level Perspective: Towards an Integrated Framework. Res. Policy 2008, 37, 596–615. [Google Scholar] [CrossRef]
- Latour, B. Turning Around Politics: A Note on Gerard de Vries’ Paper. Soc. Stud. Sci. 2007, 37, 811–820. [Google Scholar] [CrossRef]
- Czarniawska, B. Actor-network theory. In The SAGE Handbook of Process Organization Studies; SAGE Publications: London, UK, 2017; pp. 160–173. [Google Scholar]
- Czarniawska, B. Bruno Latour and Niklas Luhmann as Organization Theorists. Eur. Manag. J. 2017, 35, 145–150. [Google Scholar] [CrossRef]
- Garud, R.; Gehman, J.; Kumaraswamy, A.; Tuertscher, P. From the process of innovation to innovation as process. In The SAGE Handbook of Process Organization Studies; SAGE Publications: London, UK, 2017; pp. 451–465. [Google Scholar]
- Harsanto, B.; Permana, C. Understanding Sustainability-Oriented Innovation (SOI) Using Network Perspective in Asia Pacific and ASEAN: A Systematic Review. J. ASEAN Stud. 2019, 7, 1. [Google Scholar] [CrossRef] [Green Version]
- Etzion, D.; Gehman, J.; Ferraro, F.; Avidan, M. Unleashing Sustainability Transformations through Robust Action. J. Clean. Prod. 2017, 140, 167–178. [Google Scholar] [CrossRef] [Green Version]
- Weiland, S.; Bleicher, A.; Polzin, C.; Rauschmayer, F.; Rode, J. The Nature of Experiments for Sustainability Transformations: A Search for Common Ground. J. Clean. Prod. 2017, 169, 30–38. [Google Scholar] [CrossRef]
- Cucuzzella, C. Creativity, Sustainable Design and Risk Management. J. Clean. Prod. 2016, 135, 1548–1558. [Google Scholar] [CrossRef]
- Vernay, A.-L.; Mulder, K.F.; Kamp, L.M.; de Bruijn, H. Exploring the Socio-Technical Dynamics of Systems Integration—The Case of Sewage Gas for Transport in Stockholm, Sweden. J. Clean. Prod. 2013, 44, 190–199. [Google Scholar] [CrossRef]
- Callon, M.; Latour, B. La Science Telle Qu’elle se Fait: Anthologie de la Sociologie des Sciences de Langue Anglaise; TAP/Anthropologie des Sciences et des Techniques; La Découverte: Paris, France, 1991; ISBN 978-2-7071-1998-8. [Google Scholar]
- Callon, M. Some Elements of a Sociology of Translation: Domestication of the Scallops and the Fishermen of St Brieuc Bay. Sociol. Rev. 1984, 32, 196–233. [Google Scholar] [CrossRef]
- Pinch, T.J.; Bijker, W.E. The Social Construction of Facts and Artefacts: Or How the Sociology of Science and the Sociology of Technology Might Benefit Each Other. Soc. Stud. Sci 1984, 14, 399–441. [Google Scholar] [CrossRef]
- Garfinkel, H.; Rawls, A.W. Ethnomethodology’s Program: Working Out Durkheim’s Aphorism; Legacies of Social Thought Series; Rowman & Littlefield Publishers: Lanham, MD, USA, 2002; ISBN 978-0-7425-7898-2. [Google Scholar]
- Laasch, O. An Actor-Network Perspective on Business Models: How ‘Being Responsible’ Led to Incremental but Pervasive Change. Long Range Plan. 2019, 52, 406–426. [Google Scholar] [CrossRef]
- Penteado, I.M.; do Nascimento, A.C.S.; Corrêa, D.; Moura, E.A.F.; Zilles, R.; Gomes, M.C.R.L.; Pires, F.J.; Brito, O.S.; da Silva, J.F.; Reis, A.V.; et al. Among People and Artifacts: Actor-Network Theory and the Adoption of Solar Ice Machines in the Brazilian Amazon. Energy Res. Soc. Sci. 2019, 53, 1–9. [Google Scholar] [CrossRef]
- Ambrose, A.; Eadson, W.; Pinder, J. The Role of Actor-Networks in the Early Stage Mobilisation of Low Carbon Heat Networks. Energy Policy 2016, 96, 144–152. [Google Scholar] [CrossRef] [Green Version]
- Fatimah, Y.A.; Raven, R.P.J.M.; Arora, S. Scripts in Transition: Protective Spaces of Indonesian Biofuel Villages. Technol. Forecast. Soc. Chang. 2015, 99, 1–13. [Google Scholar] [CrossRef]
- Raven, R.P.J.M.; Verbong, G.P.J.; Schilpzand, W.F.; Witkamp, M.J. Translation Mechanisms in Socio-Technical Niches: A Case Study of Dutch River Management. Technol. Anal. Strateg. Manag. 2011, 23, 1063–1078. [Google Scholar] [CrossRef]
- Geels, F.W. Technological Transitions as Evolutionary Reconfiguration Processes: A Multi-Level Perspective and a Case-Study. Res. Policy 2002, 31, 1257–1274. [Google Scholar] [CrossRef] [Green Version]
- Van de Ven, A.H.; Angle, H.L.; Poole, M.S. Research on the Management of Innovation: The Minnesota Studies; OUP E-Books; Oxford University Press: Oxford, UK, 2000; ISBN 978-0-19-513976-1. [Google Scholar]
- Langley, A.; Tsoukas, H. Introduction: Process thinking, process theorizing and process researching. In The SAGE Handbook of Process Organization Studies; SAGE Publications: London, UK, 2017; pp. 1–25. [Google Scholar]
- Creswell, J.W. Research Design: Qualitative, Quantitative, and Mixed Methods Approaches, 3rd ed.; Sage Publications: Thousand Oaks, CA, USA, 2009; ISBN 978-1-4129-6556-9. [Google Scholar]
- Langley, A.; Abdallah, C. Templates and turns in qualitative studies of strategy and management. In Research Methodology in Strategy and Management; Bergh, D.D., Ketchen, D.J., Eds.; Emerald Group Publishing Limited: Bradford, UK, 2011; Volume 6, pp. 201–235. ISBN 978-1-78052-026-1. [Google Scholar]
- Siggelkow, N. Persuasion With Case Studies. Acad. Manag. J. 2007, 50, 20–24. [Google Scholar] [CrossRef]
- Miles, M.B.; Huberman, A.M.; Rispal, M.H.; Bonniol, J.J. Analyse Des Données Qualitatives; Méthodes en Sciences Humaines; De Boeck Supérieur: Paris, France, 2003; ISBN 978-2-7445-0090-9. [Google Scholar]
- Thietart, R.A. Méthodes de Recherche en Management, 4th ed.; Stratégie Master; Dunod: Paris, France, 2014; ISBN 978-2-10-071702-6. [Google Scholar]
- Van Hoof, B.; Thiell, M. Collaboration Capacity for Sustainable Supply Chain Management: Small and Medium-Sized Enterprises in Mexico. J. Clean. Prod. 2014, 67, 239–248. [Google Scholar] [CrossRef]
- Dangelico, R.M.; Pujari, D. Mainstreaming Green Product Innovation: Why and How Companies Integrate Environmental Sustainability. J. Bus. Ethics 2010, 95, 471–486. [Google Scholar] [CrossRef]
- Akrich, M.; Callon, M.; Latour, B. Sociologie de La Traduction: Textes Fondateurs; Collection Sciences Sociales; Ecole des Mines de Paris: Paris, France, 2006; ISBN 978-2-911762-75-8. [Google Scholar]
- Lester, R.K.; Piore, M.J. Innovation—The Missing Dimension; Harvard University Press: Cambridge, MA, USA, 2004; ISBN 978-0-674-04010-6. [Google Scholar]
- Keskin, D.; Diehl, J.C.; Molenaar, N. Innovation Process of New Ventures Driven by Sustainability. J. Clean. Prod. 2013, 45, 50–60. [Google Scholar] [CrossRef]
- Yin, R.K. Case Study Research: Design and Methods; Applied Social Research Methods; SAGE Publications: Thousand Oaks, CA, USA, 2009; ISBN 978-1-4129-6099-1. [Google Scholar]
- Latour, B. “What’s the story?” Organizing as a mode of existence. In Agency without Actors? Routledge: New York, NY, USA, 2012; pp. 163–177. ISBN 978-0-203-83469-5. [Google Scholar]
- Paschen, J.-A.; Ison, R. Narrative Research in Climate Change Adaptation—Exploring a Complementary Paradigm for Research and Governance. Res. Policy 2014, 43, 1083–1092. [Google Scholar] [CrossRef]
- Latour, B.; Mauguin, P.; Teil, G. Une méthode nouvelle de suivi des innovations: Le graphe sociotechnique. In La Gestion de la Recherche: Nouveaux Problèmes, Nouveaux Outils; De Boeck: Paris, France, 1991; pp. 419–567. [Google Scholar]
- Reficco, E.; Gutiérrez, R.; Jaén, M.H.; Auletta, N. Collaboration Mechanisms for Sustainable Innovation. J. Clean. Prod. 2018, 203, 1170–1186. [Google Scholar] [CrossRef]
- Gioia, D.A.; Chittipeddi, K. Sensemaking and Sensegiving in Strategic Change Initiation. Strat. Manag. J. 1991, 12, 433–448. [Google Scholar] [CrossRef]
- Daft, R.L.; Weick, K.E. Toward a Model of Organizations as Interpretation Systems. Acad. Manag. Rev. 1984, 9, 284–295. [Google Scholar] [CrossRef] [Green Version]
- Star, S.L.; Griesemer, J.R. Institutional Ecology, ‘Translations’ and Boundary Objects: Amateurs and Professionals in Berkeley’s Museum of Vertebrate Zoology, 1907–1939. Soc. Stud. Sci 1989, 19, 387–420. [Google Scholar] [CrossRef]
Publisher’s Note: MDPI stays neutral with regard to jurisdictional claims in published maps and institutional affiliations. |
© 2021 by the authors. Licensee MDPI, Basel, Switzerland. This article is an open access article distributed under the terms and conditions of the Creative Commons Attribution (CC BY) license (https://creativecommons.org/licenses/by/4.0/).