Microwave Induction Heating of Polymer-Modified Asphalt Materials for Self-Healing and Deicing
Abstract
:1. Introduction
2. Materials and Methods
2.1. Aggregate
2.2. Asphalt Binder
- HMA mastics made with:
- 1-
- Neat (unmodified) bituminous binder;
- 2-
- Polymer-modified binder containing 4% SBS;
- 3-
- Polymer-modified binder containing 5% RWE;
- 4-
- Polymer-modified binder containing 10% RWP.
- WMA mastics made with:
- 5-
- Neat (unmodified) bituminous binder and 1.5% Sasobit;
- 6-
- Polymer-modified binder containing 4% SBS and 1.5% Sasobit;
- 7-
- Polymer-modified binder containing 5% RWE and 1.5% Sasobit;
- 8-
- Polymer-modified binder containing 10% RWP and 1.5% Sasobit.
2.3. Specimen Preparation
2.4. Heat Distribution Characterization
2.5. Ice Melting Characterization
2.6. Characterization of Self-Healing through Measuring the Flexural Strength
2.7. Characterization of Self-Healing through Measuring the Fracture Energy
2.8. Deicing Performance in Terms of Heat Distribution on the Specimens’ Surfaces
3. Results and Discussion
3.1. Evaluation of Heat Distribution on the Specimens’ Surfaces
3.2. Evaluation of Ice-Melting Efficiency under Microwave Heating
3.3. Self-Healing Potential (Three Points Bending Test)
3.4. Fracture Energy Test
4. Conclusions
- Polymer-modified asphalt binder, with low softening point and viscosity, decreased the ice melting speed and self-healing rate of bituminous mastic. Warm mix asphalt samples exhibited better induction-heating performance than hot mix asphalt mixture.
- The mean temperature of WMA mastic made with a virgin bituminous binder was higher than all other mastic types tested in this study. Modifying the binder with polymers (SBS, RWE, and RWP) degraded the heating capability, resulting in a lower average surface temperature and a weaker heat distribution uniformity.
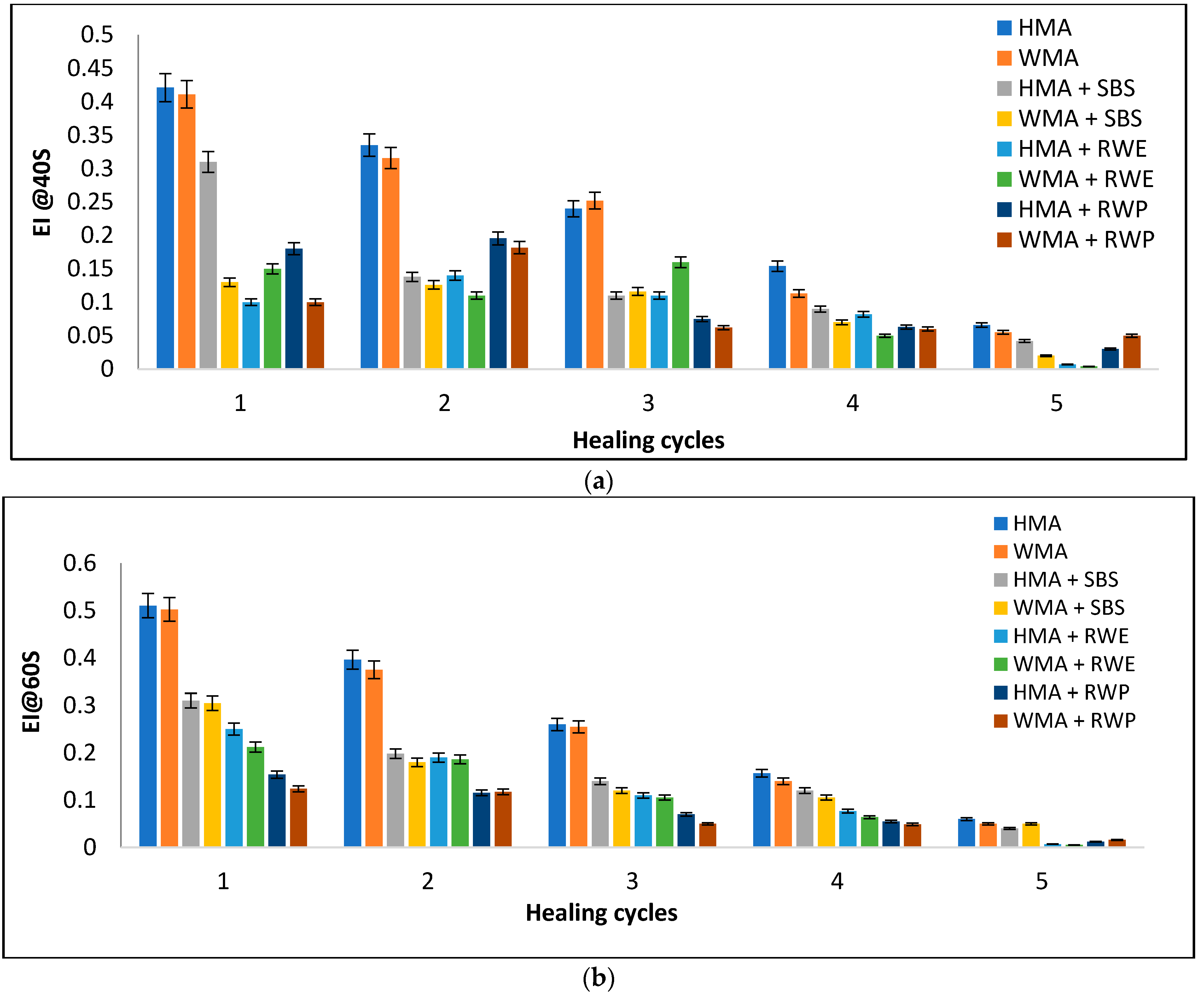
- Evaluation of self-healing performances showed that, although specimens modified with SBS, RWE, and RWP had higher initial flexural strengths than those made with the virgin binder, they gave considerably smaller post-healing flexural strengths. In other words, the specimens made with the virgin asphalt binder had a greater self-healing rate and capacity compared with polymer-modified ones.
- Polymer modification of the bituminous binder increased the initial fracture energy of the mastic specimens, i.e., higher fracture energy was required for mechanical failure of the intact beams for the first time. The SBS-modified HMA and WMA mastic specimens gave the first and second highest initial values of fracture energy. However, the polymer modification appeared to somewhat undermine the post-healing fracture energy recovery, especially at shorter and earlier healing cycles. The fracture energy indices (HIs) of the virgin asphalt mastic specimens were considerably higher than the polymer-modified after the first three healing cycles with all cycle durations. At fourth and fifth cycles, the virgin-asphalt mastics still showed mostly higher HI values, but their difference was less significant than it was at the early cycles. At the fifth 80 s cycle, the SBS-modified specimens outperformed the virgin-asphalt specimens, exhibiting higher HI.
Author Contributions
Funding
Informed Consent Statement
Data Availability Statement
Conflicts of Interest
References
- Oreto, C.; Veropalumbo, R.; Viscione, N.; Biancardo, S.A.; Russo, F. Investigating the environmental impacts and engineering performance of road asphalt pavement mixtures made up of jet grouting waste and reclaimed asphalt pavement. Environ. Res. 2021, 198. [Google Scholar] [CrossRef]
- Dondi, G.; Mazzotta, F.; Lantieri, C.; Cuppi, F.; Vignali, V.; Sangiovanni, C. Use of steel slag as an alternative to aggregate and filler in road pavements. Materials 2021, 14, 345. [Google Scholar] [CrossRef] [PubMed]
- Ding, L.; Zhang, J.; Feng, B.; Li, C. Performance Evaluation of Recycled Asphalt Mixtures Containing Construction and Demolition Waste Applicated as Pavement Base. Adv. Civ. Eng. 2020, 2020. [Google Scholar] [CrossRef]
- EAPA. The Asphalt Paving Industry. 2011, 2, 36. Available online: http://www.asphaltpavement.org/images/stories/GL_101_Edition_3.pdf (accessed on 15 August 2021).
- Read, J.; Whiteoak, D. (Eds.) The Shell Bitumen Handbook; Thomas Telford Ltd.: London, UK, 2003; p. 29. [Google Scholar]
- Grossegger, D.; Gomez-Meijide, B.; Vansteenkiste, S.; Garcia, A. Influence of rheological and physical bitumen properties on heat-induced self-healing of asphalt mastic beams. Constr. Build. Mater. 2018, 182, 298–308. [Google Scholar] [CrossRef]
- Pan, P.; Wu, S.; Xiao, Y.; Liu, G. A review on hydronic asphalt pavement for energy harvesting and snow melting. Renew. Sustain. Energy Rev. 2015, 48, 624–634. [Google Scholar] [CrossRef]
- Cui, P.Q.; Wu, S.P.; Xiao, Y.; Zhang, H.H. Experimental study on the reduction of fumes emissions in asphalt by different additives. Mater. Res. Innov. 2015, 19, S1158–S1161. [Google Scholar] [CrossRef]
- Yanshan University. Design and Research of Parts and Walk Synchronization System of the Vehicle for Snow and Ice Removing Based on Mi-Crowave Heating; Yanshan University: Qinhuangdao, China, 2013. [Google Scholar]
- García, A.; Bueno, M.; Norambuena-Contreras, J.; Partl, M.N. Induction healing of dense asphalt concrete. Constr. Build. Mater. 2013, 49, 1–7. [Google Scholar] [CrossRef]
- Polacco, G.; Stastna, J.; Biondi, D.; Zanzotto, L. Relation between polymer architecture and nonlinear viscoelastic behavior of modified asphalts. Curr. Opin. Colloid Interface Sci. 2006, 11, 230–245. [Google Scholar] [CrossRef]
- Airey, G.D. Styrene butadiene styrene polymer modification of road bitumens. J. Mater. Sci. 2004, 39, 3–4. [Google Scholar] [CrossRef]
- Chen, J.-S.; Liao, M.-C.; Shiah, M.-S. Asphalt Modified by Styrene-Butadiene-Styrene Triblock Copolymer: Morphology and Model. J. Mater. Civ. Eng. 2002, 14, 224–229. [Google Scholar] [CrossRef] [Green Version]
- Elseifi, M.A.; Flintsch, G.W.; Al-Qadi, I.L. Quantitative Effect of Elastomeric Modification on Binder Performance at Intermediate and High Temperatures. J. Mater. Civ. Eng. 2003, 15, 32–40. [Google Scholar] [CrossRef]
- Nunn, M.E.; Smith, T. Road Trials of High Modulus Base for Heavily Trafficked Roads; TRL Project Report PR231; Thomas Telford Ltd.: London, UK, 1997. [Google Scholar]
- Geng, H.; Clopotel, C.S.; Bahia, H.U. Effects of high modulus asphalt binders on performance of typical asphalt pavement structures. Constr. Build. Mater. 2013, 44, 207–213. [Google Scholar] [CrossRef]
- Serfass, J.P.; Bense, P.; Pellevoisin, P.; Administration, F.H. Properties and new developments of high modulus asphalt concrete. In Proceedings of the Eighth International Conference on Asphalt Pavements, Seattle, Washington, USA, 10–14 August 1997; pp. 325–333. [Google Scholar]
- Kumar, P.; Chandra, S.; Bose, S. R of the polymer modified Binders, Rheology of the polymer modified binders. 2004. [Google Scholar]
- Lytton, R.L. Characterizing asphalt pavements for performance. Transp. Res. Rec. 2000, 5–18. [Google Scholar] [CrossRef]
- Castro, M.; Sánchez, J.A. Fatigue and healing of asphalt mixtures: Discriminate analysis of fatigue curves. J. Transp. Eng. 2006, 132, 168–174. [Google Scholar] [CrossRef]
- Phillips, M.C. Multi-step models for fatigue and healing, and binder properties involved in healing. Proc. Eurobitume Work. Perform. Relat. Prop. Bitum. Bind. 1998, 115. [Google Scholar]
- Little, D.; Bhasin, A. Exploring mechanisms of healing in asphalt mixtures and quantifying its impact. In Self Healing Materials an Alternative approach to 20 Centuries of Materials Science; Springer: Dordrecht, The Netherlands, 2007; Volume 100, pp. 205–218. [Google Scholar]
- Bhasin, A.; Bommavaram, R.; Vasconcelos, K.; Little, D.N. A framework to quantify the effect of healing in bituminous materials using material properties. Road Mater. Pavement Des. 2008, 9, 219–242. [Google Scholar] [CrossRef]
- Kringos, N.; Schmets, A.; Pauli, T.; Scarpas, T. A finite element base chemo-mechanical model to similate healing in bitumen. In Proceedings of the International Workshop on Chemo-mechanics of Bituminous materials, Delft, The Netherlands, 9–11 June 2009. [Google Scholar]
- García, Á. Self-healing of open cracks in asphalt mastic. Fuel 2012, 93, 264–272. [Google Scholar] [CrossRef]
- Liu, Q.; Wu, S.; Schlangen, E. Induction heating of mastic asphalt for crack control. Constr. Build. Mater. 2013, 41, 345–351. [Google Scholar] [CrossRef]
- Lesueur, D. The colloidal structure of bitumen: Consequences on the rheology and on the mechanisms of bitumen modification. Adv. Colloid Interface Sci. 2009, 145, 42–82. [Google Scholar] [CrossRef] [PubMed]
- Bhasin, A.; Palvadi, S.; Little, D.N. Influence of aging and temperature on intrinsic healing of asphalt binders. Transp. Res. Rec. 2011, 70–78. [Google Scholar] [CrossRef]
- Lv, Q.; Huang, W.; Zhu, X.; Xiao, F. On the investigation of self-healing behavior of bitumen and its influencing factors. Mater. Des. 2017, 117, 7–17. [Google Scholar] [CrossRef]
- Sun, D.; Lin, T.; Zhu, X.; Tian, Y.; Liu, F. Indices for self-healing performance assessments based on molecular dynamics simulation of asphalt binders. Comput. Mater. Sci. 2016, 114, 86–93. [Google Scholar] [CrossRef]
- Qiu, J.; van de Ven, M.; Wu, S.; Yu, J.; Molenaar, A. Evaluating Self Healing Capability of Bituminous Mastics. Exp. Mech. 2012, 52, 1163–1171. [Google Scholar] [CrossRef] [Green Version]
- Qiu, J.; Van de Ven, M.; Wu, S.; Molenaar, A.; Yu, J. Self-healing characteristics of bituminous mastics using a modified direct tension test. J. Intell. Mater. Syst. Struct. 2014, 25, 58–66. [Google Scholar] [CrossRef]
- Removal, S. Ice Control Research, Special Report 115; Highway Research Board and US Army Cold Regions Research and Engineering Laboratory: Washington, DC, USA, 1970. [Google Scholar]
- Osborne, T.; Hutcheson, W. Asphalt Compounds and Method for Asphalt Reconditioning Using Microwave Radiation. U.S. Patent 4,849,020, 18 July 1989. [Google Scholar]
- Zhang, Q.; Yu, Y.; Chen, W.; Chen, T.; Zhou, Y.; Li, H. Outdoor experiment of flexible sandwiched graphite-PET sheets based self-snow-thawing pavement. Cold Reg. Sci. Technol. 2016, 122, 10–17. [Google Scholar] [CrossRef]
- Zhou, Z.; Wang, X.; Zhang, X.; Chen, G.; Zuo, J.; Pullen, S. Effectiveness of pavement-solar energy system—An experimental study. Appl. Energy 2015, 138, 1–10. [Google Scholar] [CrossRef]
- Sun, Y.; Wu, S.; Liu, Q.; Hu, J.; Yuan, Y.; Ye, Q. Snow and ice melting properties of self-healing asphalt mixtures with induction heating and microwave heating. Appl. Therm. Eng. 2018, 129, 871–883. [Google Scholar] [CrossRef]
- Liu, Q.; Yu, W.; Wu, S.; Schlangen, E.; Pan, P. A comparative study of the induction healing behaviors of hot and warm mix asphalt. Constr. Build. Mater. 2017, 144, 663–670. [Google Scholar] [CrossRef]
- Fakhri, M.; Bahmai, B.B.; Javadi, S.; Sharafi, M. An evaluation of the mechanical and self-healing properties of warm mix asphalt containing scrap metal additives. J. Clean. Prod. 2020, 253. [Google Scholar] [CrossRef]
- Xu, S.; García, A.; Su, J.; Liu, Q.; Tabaković, A.; Schlangen, E. Self-Healing Asphalt Review: From Idea to Practice. Adv. Mater. Interfaces 2018, 5. [Google Scholar] [CrossRef]
- Liu, X.; Zhang, M.; Shao, L.; Chen, Z. Effect of volcanic ash filler on thermal viscoelastic property of SBS modified asphalt mastic. Constr. Build. Mater. 2018, 190, 495–507. [Google Scholar] [CrossRef]
- Arabzadeh, A.; Guler, M. Thermal fatigue behavior of asphalt concrete: A laboratory-based investigation approach. Int. J. Fatigue 2019, 121, 229–236. [Google Scholar] [CrossRef]
- Fakhri, M.; Haghighat Kharrazi, E.; Aliha, M.R.M. Mixed mode tensile—In plane shear fracture energy determination for hot mix asphalt mixtures under intermediate temperature conditions. Eng. Fract. Mech. 2018, 192, 98–113. [Google Scholar] [CrossRef]
- Salih, S.; Gómez-Meijide, B.; Aboufoul, M.; Garcia, A. Effect of porosity on infrared healing of fatigue damage in asphalt. Constr. Build. Mater. 2018, 167, 716–725. [Google Scholar] [CrossRef]
- Sun, J.; Wang, W.; Yue, Q. Review on microwave-matter interaction fundamentals and efficient microwave-associated heating strategies. Materials 2016, 9, 231. [Google Scholar] [CrossRef] [PubMed] [Green Version]
- Bait-Suwailam, M.M. Electromagnetic Field Interaction with Metamaterials. Electromagn. Fields Waves 2019. [Google Scholar] [CrossRef] [Green Version]
- Al-Ohaly, A.A. Laboratory Evaluation of Microwave Heated Asphalt Pavement Materials. Ph.D. Thesis, University of Washington, Seattle, WA, USA, 1987. [Google Scholar]
- Vlachovicova, Z.; Stastna, J.; Zanzotto, L. Shear Viscosity and Dielectric Permittivity in Asphalt Modified By SBS. Pet. Coal 2003, 45, 178–183. [Google Scholar]
- Chen, F.; Taylor, N.; Kringos, N.; Birgisson, B. A study on dielectric response of bitumen in the low-frequency range. Road Mater. Pavement Des. 2015, 16, 153–169. [Google Scholar] [CrossRef]
- Sassani, A.; Arabzadeh, A.; Ceylan, H.; Kim, S.; Gopalakrishnan, K.; Taylor, P.C.; Nahvi, A. Polyurethane-carbon microfiber composite coating for electrical heating of concrete pavement surfaces. Heliyon 2019, 5. [Google Scholar] [CrossRef] [Green Version]
- Arabzadeh, A.; Notani, M.A.; Kazemiyan Zadeh, A.; Nahvi, A.; Sassani, A.; Ceylan, H. Electrically conductive asphalt concrete: An alternative for automating the winter maintenance operations of transportation infrastructure. Compos. Part B Eng. 2019, 173. [Google Scholar] [CrossRef]
- Arabzadeh, A.; Ceylan, H.; Kim, S.; Gopalakrishnan, K.; Sassani, A. Superhydrophobic coatings on asphalt concrete surfaces: Toward smart solutions for winter pavement maintenance. Transp. Res. Rec. 2016, 2551, 10–17. [Google Scholar] [CrossRef]
- Benedetto, A.; Calvi, A. A pilot study on microwave heating for production and recycling of road pavement materials. Constr. Build. Mater. 2013, 44, 351–359. [Google Scholar] [CrossRef]
- Bennert, T.; Reinke, G.; Mogawer, W.; Mooney, K. Assessment of workability and compactability of warm-mix asphalt. Transp. Res. Rec. 2010, 36–47. [Google Scholar] [CrossRef]
- Behnood, A. A review of the warm mix asphalt (WMA) technologies: Effects on thermo-mechanical and rheological properties. J. Clean. Prod. 2020, 259. [Google Scholar] [CrossRef]
- Jamshidi, A.; Hamzah, M.O.; You, Z. Performance of Warm Mix Asphalt containing Sasobit®: State-of-the-art. Constr. Build. Mater. 2013, 38, 530–553. [Google Scholar] [CrossRef]
- Sassani, A.; Ceylan, H.; Kim, S.; Arabzadeh, A.; Taylor, P.C.; Gopalakrishnan, K. Development of Carbon Fiber-modified Electrically Conductive Concrete for Implementation in Des Moines International Airport. Case Stud. Constr. Mater. 2018, 8, 277–291. [Google Scholar] [CrossRef]
- Liu, K.; Xu, P.; Wang, F.; Jin, C.; Huang, M.; Dai, D.; Fu, C. Deicing efficiency analysis and economic-environment assessment of a novel induction heating asphalt pavement. J. Clean. Prod. 2020, 273. [Google Scholar] [CrossRef]
- Zohuri, B. Chapter 6-second law of thermodynamics. Phys. Cryogen 2018, 165–183. [Google Scholar]
- Mishra, R.R.; Sharma, A.K. Microwave-material interaction phenomena: Heating mechanisms, challenges and opportunities in material processing. Compos. Part A Appl. Sci. Manuf. 2016, 81, 78–97. [Google Scholar] [CrossRef]
- Barri, K.; Jahangiri, B.; Davami, O.; Buttlar, W.G.; Alavi, A.H. Smartphone-based molecular sensing for advanced characterization of asphalt concrete materials. Measurement 2020, 151, 107212. [Google Scholar] [CrossRef]
- Galindo, B.; Benedito, A.; Ramos, F.; Gimenez, E. Microwave heating of polymers: Influence of carbon nanotubes dispersion on the microwave susceptor effectiveness. Polym. Eng. Sci. 2016, 56, 1321–1329. [Google Scholar] [CrossRef] [Green Version]
- Dai, Q.; Wang, Z.; Mohd Hasan, M.R. Investigation of induction healing effects on electrically conductive asphalt mastic and asphalt concrete beams through fracture-healing tests. Constr. Build. Mater. 2013, 49, 729–737. [Google Scholar] [CrossRef]
- Pirmohammad, S.; Ayatollahi, M.R. Fracture Behavior of Asphalt Materials; Springer Nature: Basingstoke, UK, 2020; pp. 157–180. [Google Scholar]
- Bazzaz, M.; Darabi, M.K.; Little, D.N.; Garg, N. A straightforward procedure to characterize nonlinear viscoelastic response of asphalt concrete at high temperatures. Transp. Res. Rec. 2018, 2672, 481–492. [Google Scholar] [CrossRef]
- Darabi, M.K.; Huang, C.W.; Bazzaz, M.; Masad, E.A.; Little, D.N. Characterization and validation of the nonlinear viscoelastic-viscoplastic with hardening-relaxation constitutive relationship for asphalt mixtures. Constr. Build. Mater. 2019, 216, 648–660. [Google Scholar] [CrossRef]
- Bazzaz, M.; Darabi, M.K.; Little, D.N.; Garg, N. Effect of evotherm-M1 on properties of asphaltic materials used at NAPMRC testing facility. J. Test. Eval. 2019, 48. [Google Scholar] [CrossRef]














| Sieve Number | Sieve Size (mm) | Passing (%) |
|---|---|---|
| No. 4 | 4.720 | 100.0 |
| No. 8 | 2.360 | 31.7 |
| No. 16 | 1.180 | 20.8 |
| No. 30 | 0.600 | 12.6 |
| No. 50 | 0.300 | 8.3 |
| No. 100 | 0.150 | 5.6 |
| No. 200 | 0.075 | 0.0 |
| Property | Unit | Test Methods | Results | |||
|---|---|---|---|---|---|---|
| Virgin Asphalt Binder | RWP-Modified Binder | RWE-Modified Binder | SBS-Modified Binder | |||
| Penetration at 25 °C, 0.1 mm | 0.1 mm | ASTM D5 | 65 | 10 | 20 | 50 |
| Softening point °C | °C | ASTM D36 | 50.8 | 90 | 81 | 70 |
| Ductility at 25 °C | Cm | ASTM D113 | 100 | 20 | 40 | 64 |
| Kinematic viscosity at 135 °C | mm2/s | ASTM D 170 | 352 | 1027 | 1377 | 863 |
Publisher’s Note: MDPI stays neutral with regard to jurisdictional claims in published maps and institutional affiliations. |
© 2021 by the authors. Licensee MDPI, Basel, Switzerland. This article is an open access article distributed under the terms and conditions of the Creative Commons Attribution (CC BY) license (https://creativecommons.org/licenses/by/4.0/).
Share and Cite
Fakhri, M.; Javadi, S.; Sedghi, R.; Sassani, A.; Arabzadeh, A.; Baveli Bahmai, B. Microwave Induction Heating of Polymer-Modified Asphalt Materials for Self-Healing and Deicing. Sustainability 2021, 13, 10129. https://doi.org/10.3390/su131810129
Fakhri M, Javadi S, Sedghi R, Sassani A, Arabzadeh A, Baveli Bahmai B. Microwave Induction Heating of Polymer-Modified Asphalt Materials for Self-Healing and Deicing. Sustainability. 2021; 13(18):10129. https://doi.org/10.3390/su131810129
Chicago/Turabian StyleFakhri, Mansour, Sajad Javadi, Reza Sedghi, Alireza Sassani, Ali Arabzadeh, and Behnam Baveli Bahmai. 2021. "Microwave Induction Heating of Polymer-Modified Asphalt Materials for Self-Healing and Deicing" Sustainability 13, no. 18: 10129. https://doi.org/10.3390/su131810129
APA StyleFakhri, M., Javadi, S., Sedghi, R., Sassani, A., Arabzadeh, A., & Baveli Bahmai, B. (2021). Microwave Induction Heating of Polymer-Modified Asphalt Materials for Self-Healing and Deicing. Sustainability, 13(18), 10129. https://doi.org/10.3390/su131810129

