Research on the Sustainable Operation of Low-Carbon Tourism Supply Chain under Sudden Crisis Prediction
Abstract
:1. Introduction
- (1)
- What are the supply chain member decisions, low-carbon goodwill, member and system profits before and after the scenic crisis, for the entire planning period and after the crisis, under different decision models?
- (2)
- What is the impact of a scenic crisis event on member decision-making, low-carbon goodwill and member and system profits, respectively?
- (3)
- Does the occurrence of a scenic crisis event affect the effectiveness of cost-sharing mechanisms? Does it have an impact on the Pareto improvement effect on the profitability of the supply chain members and the system?
2. Literature Review
2.1. Low-Carbon Tourism
2.2. Sudden Crisis Events
2.3. Cost-Sharing Contracts
3. Model Description and Assumptions
4. Model Analysis
4.1. Nash Non-Cooperative Decision-Making Model (Model-N)
4.2. Cost-Sharing Decision-Making Model (Model-D)
4.3. Centralized Decision-Making Model (Model-C)
5. Comparative Analysis
- (1)
- In the pre-crisis regime, when the marginal returns of the LTA and the OTA satisfywe can obtainand.
- (2)
- In the post-crisis regime, when the marginal returns of the LTA and the OTA satisfywe can obtainand.
6. Numerical Analysis
6.1. Analysis of the Impact of Different Decision Models and Time
6.2. Effect Analysis of Crisis Event
7. Discussion and Conclusions
7.1. Discussion
7.2. Conclusions
- (1)
- The occurrence of a sudden crisis event in a tourist attraction damages the optimal decision making of both members of the tourism supply chain, low-carbon goodwill, and the total profit of the members and the system. Members’ optimal strategy, low-carbon goodwill and members’ and system profits all decrease with increasing crisis likelihood and crisis damage rate. They are more influenced by the likelihood of a crisis than by the crisis damage rate. In addition, they become progressively less influential as the likelihood of a crisis increases. Therefore, if the supply chain members predict the occurrence of a crisis, they first significantly reduce their own decisions pre-crisis and gradually reduce the level of decisions as the possibility of the predicted crisis increases to reduce the loss of profits due to the waste of resources. In the post-crisis regime, tourism enterprises may enhance the lost low-carbon goodwill to recover lost consumers, which can help develop new tourism markets by improving decision making.
- (2)
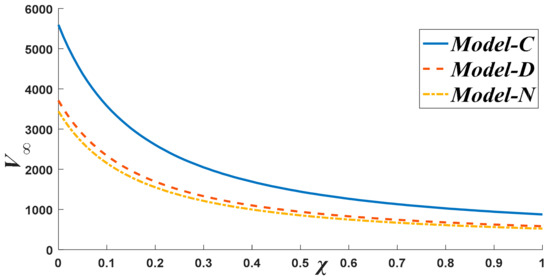
- Big data marketing strategies, low-carbon goodwill and total system profit are the largest under the centralized decision-making model. Compared with the Nash non-cooperative decision-making model, the cost-sharing cooperation mechanism among supply chain members promotes the Pareto improvement of big data marketing strategies low-carbon goodwill and members’ and total system profits, but the low-carbon service level of the LTA remains unchanged. In addition, the relationship between their magnitudes under different models does not change in the regime before and after the occurrence of sudden crisis events, indicating that the cost-sharing model is still effective under the conditions of the existence of tourist attraction crisis. However, the occurrence of tourist attraction crisis events reduces the profit Pareto improvement effect of supply chain members.
- (3)
- The occurrence of sudden crisis events in a tourist attraction affects the formulation of the cost-sharing ratio among supply chain members. That is, when there is a crisis event in a tourist attraction, the formulation of the cost-sharing ratio no longer considers the size of individual member’s revenue alone but needs to consider the size of the impact factor of members’ decisions on the low-carbon goodwill and demand and also consider the possibility of crisis events and the size of the loss rate of goodwill. In addition, only under the condition () are the benefits gained by the OTA compared to the LTA before the crisis greater than the benefits gained after the crisis. The increased likelihood of a crisis event will facilitate the development of the sharing ratio. To put it another way, it will facilitate the cost-sharing cooperation among supply chain members to jointly respond to the crisis, which promotes the sustainable development of the low-carbon tourism supply chain. On the contrary, the increased loss rate of low-carbon goodwill will be detrimental to the cost-sharing cooperation among members.
Author Contributions
Funding
Institutional Review Board Statement
Informed Consent Statement
Data Availability Statement
Conflicts of Interest
Appendix A
Appendix B
References
- Zhang, J.; Zhang, Y. Assessing the low-carbon tourism in the tourism-based urban destinations. J. Clean. Prod. 2020, 276, 124303. [Google Scholar] [CrossRef]
- Seetaram, N.; Song, H.; Ye, S.; Page, S. Estimating willingness to pay air passenger duty. Ann. Tour. Res. 2018, 72, 85–97. [Google Scholar] [CrossRef]
- Chang, S.H.; Hernández-Díaz, R.J.; Lo, W.S. The impact of low-carbon service operations on responsible tourist behavior: The psychological processes of sustainable cultural tourism. Sustainablity 2020, 12, 4943. [Google Scholar] [CrossRef]
- Zhao, L.; Zha, Y.; Wei, K.; Liang, L. A target-based method for energy saving and carbon emissions reduction in China based on environmental data envelopment analysis. Ann. Oper. Res. 2017, 255, 1–24. [Google Scholar] [CrossRef]
- Wu, P.; Han, Y.; Tian, M. The measurement and comparative study of carbon dioxide emissions from tourism in typical provinces in china. Acta. Ecol. Sin. 2015, 35, 184–190. [Google Scholar] [CrossRef]
- Zha, J.; He, L.; Liu, Y.; Shao, Y. Evaluation on development efficiency of low-carbon tourism economy: A case study of hubei province, china. Soc. Econ. Plan. Sci. 2019, 66, 47–57. [Google Scholar] [CrossRef]
- Chen, Z.; Zhao, L.; Xu, J. Cooperative Strategies of Low-carbon Differential Game in Tourism Supply Chain in China. Tour. Trib. 2016, 31, 38–49. [Google Scholar]
- Cao, K.; Xu, X.; Wu, Q.; Zhang, Q. Optimal production and carbon emission reduction level under cap-and-trade and low carbon subsidy policies. J. Clean. Prod. 2017, 167, 505–513. [Google Scholar] [CrossRef]
- Lei, Y.; Ji, J.; Wang, M.; Wang, Z. The manufacturer’s joint decisions of channel selections and carbon emission reductions under the cap-and-trade regulation. J. Clean. Prod. 2018, 193, 506–523. [Google Scholar]
- Zhang, S.; Wang, C.; Yu, C.; Ren, Y. Governmental cap regulation and manufacturer’s low carbon strategy in a supply chain with different power structures. Comput. Ind. Eng. 2019, 134, 27–36. [Google Scholar] [CrossRef]
- Shi, Y.; Wu, B.; Chen, N.; Chen, A.; Li, H. Determination of effective management strategies for scenic area emergencies using association rule mining. Int. J. Disaster Risk Reduct. 2019, 39, 101208. [Google Scholar] [CrossRef]
- Fung, W.; Fung, R. The development of a supply chain model for tourism crisis management. In Proceedings of the 2014 IEEE International Conference on Management of Innovation and Technology (ICMIT), Singapore, 23–25 September 2014. [Google Scholar]
- Huang, W. On Low Carbon Tourism and Low Carbon Establishment of tourist attractions. Ecol. Econ. 2009, 11, 100–102. [Google Scholar]
- Wang, K.; Gan, C.; Ou, Y.; Liu, H. Low-carbon behaviour performance of scenic spots in a world heritage site. Sustainability 2019, 11, 3673. [Google Scholar] [CrossRef] [Green Version]
- Zhao, L.; Chen, Z.; Liu, J. Evolutionary Game Theory between Local Government and Tourism Enterprises in the Context of a Low-carbon Economy. Tour. Trib. 2015, 30, 72–82. [Google Scholar]
- He, P.; He, Y.; Xu, F. Evolutionary analysis of sustainable tourism. Ann. Tour. Res. 2018, 69, 76–89. [Google Scholar] [CrossRef]
- Saarinen, J. Understanding and governing sustainable tourism mobility: Psychological and behavioural approaches. Anatolia 2015, 26, 119–121. [Google Scholar] [CrossRef]
- Xu, F.; Fox, D. Modelling attitudes to nature, tourism and sustainable development in national parks: A survey of visitors in china and the UK. Tour. Manag. 2014, 45, 142–158. [Google Scholar] [CrossRef] [Green Version]
- Jinsoo, L.; Hsu, L.; Han, H.; Yunhi, K. Understanding how consumers view green hotels: How a hotel’s green image can influence behavioural intentions. J. Sustain. Tour. 2010, 18, 901–914. [Google Scholar]
- Chen, M.F.; Tung, P.J. Developing an extended theory of planned behavior model to predict consumers’ intention to visit green hotels. Int. J. Hosp. Manag. 2014, 36, 221–230. [Google Scholar] [CrossRef]
- Ma, D.; Hu, J.; Yao, F. Big data empowering low-carbon smart tourism study on low-carbon tourism o2o supply chain considering consumer behaviors and corporate altruistic preferences. Comput. Ind. Eng. 2021, 153, 107061. [Google Scholar] [CrossRef]
- Lu, L.; Navas, J. Advertising and quality improving strategies in a supply chain when facing potential crises. Eur. J. Oper Res. 2021, 288, 839–851. [Google Scholar] [CrossRef]
- Mukherjee, A.; Chauhan, S.S. The impact of product recall on advertising decisions and firm profit while envisioning crisis or being hazard myopic. Eur. J. Oper. Res. 2021, 288, 953–970. [Google Scholar] [CrossRef]
- Jang, S.; Kim, J.; Song, R. Advertising strategy and its effectiveness on consumer online search in a defaming product-harm crisis. Asia Pac. J. Mark. Logist. 2018, 30, 705–724. [Google Scholar] [CrossRef]
- Wang, G.; Liu, Y.; Yang, P.; Yang, R.; Zhang, H. Study on decision-making method for complex crisis. Syst. Eng. Pract. 2015, 35, 2449–2458. [Google Scholar]
- Liu, Y.; Shankar, V. The dynamic impact of product-harm crises on brand equity and advertising effectiveness: An empirical analysis of the automobile industry. Manag. Sci. 2015, 61, 2514–2535. [Google Scholar] [CrossRef] [Green Version]
- Wang, Y.; Song, L. Emergency management strategy and simulation analysis of supply chain emergencies. Stat. Dec. 2019, 35, 51–55. [Google Scholar]
- Shanfeng, H.U.; Wang, J.; Zhou, C.; Zhang, J. Research on the risk assessment and prevent to collapse disaster in huangshan scenic area. Geogr. Res. 2013, 32, 1814–1823. [Google Scholar]
- Li, J.; Liu, X.; Yao, X.; Liu, K.; Gong, G. The Situation, Challenges and Countermeasures of the Security Event Monitoring and Early Warning in the National Park—Based on the Research of Multi-source Information Integration Sharing. Sci. Tech. Devel. 2018, 14, 849–856. [Google Scholar]
- Zhao, C.; Wang, X.; Huang, X. Assessment of tourists’ rainstorm disaster risk perception under perspective of bounded rationality: A case study of nangongshan scenic. Ar. Res. Devel. 2018, 37, 120–124+137. [Google Scholar]
- Chutani, A.; Sethi, S. Dynamic cooperative advertising under manufacturer and retailer level competition. Eur. J. Oper. Res. 2018, 268, 635–652. [Google Scholar] [CrossRef] [Green Version]
- Li, X.; Lian, Z.; Choong, K.K.; Liu, X. A quantity-flexibility contract with coordination. Inter. J. Prod. Econ. 2016, 179, 273–284. [Google Scholar] [CrossRef]
- Modak, N.M.; Kazemi, N.; Cárdenas-Barrón, L.E. Investigating structure of a two-echelon closed-loop supply chain using social work donation as a corporate social responsibility practice. Inter. J. Prod. Econ. 2018, 207, 19–33. [Google Scholar] [CrossRef]
- Zhou, Y.J.; Bao, M.J.; Chen, X.H.; Xu, X.H. Co-op advertising and emission reduction cost sharing contract and coordination in low-carbon supply chain based on fairness concerns. J. Clean. Prod. 2016, 133, 402–413. [Google Scholar] [CrossRef]
- Bai, Q.; Chen, M.; Xu, L. Revenue and promotional cost-sharing contract versus two-part tariff contract in coordinating sustainable supply chain systems with deteriorating items. Inter. J. Prod. Econ. 2017, 187, 85–101. [Google Scholar] [CrossRef]
- Yang, H.; Chen, W. Retailer-driven carbon emission abatement with consumer environmental awareness and carbon tax: Revenue-sharing versus cost-sharing. Omega 2018, 78, 179–191. [Google Scholar] [CrossRef]
- Li, T.; Zhang, R.; Zhao, S.; Liu, B. Low carbon strategy analysis under revenue-sharing and cost-sharing contracts. J. Clean. Prod. 2019, 212, 1462–1477. [Google Scholar] [CrossRef]
- Di, X.; Jw, A.; Qla, B. Stimulating sustainability investment level of suppliers with strategic commitment to price and cost sharing in supply chain—Sciencedirect. J. Clean. Prod. 2020, 252, 119732. [Google Scholar]
- Rubel, O.; Naik, P.A.; Srinivasan, S. Optimal advertising when envisioning a product-harm crisis. Mark. Sci. 2011, 30, 1048–1065. [Google Scholar] [CrossRef]
- Nerlove, M.; Arrow, K. Optimal Advertising Policy Under Dynamic Conditions. Economica 1962, 29, 129–142. [Google Scholar] [CrossRef]
- Heerde, H.V.; De Kimpe, H.M.G. The impact of a product-harm crisis on marketing effectiveness. Manag. Sci. 2007, 26, 230–245. [Google Scholar] [CrossRef] [Green Version]
- Ma, D.; Hu, J. Research on collaborative management strategies of closed-loop supply chain under the influence of big-data marketing and reference price effect. Sustainablity 2020, 12, 1685. [Google Scholar] [CrossRef] [Green Version]
- Jia, Y.; Lin, D. The Impacts of Destination Quality on Tourist Satisfaction and Tourist Loyalty with Place Attachment as the Mediator and Gender as the Moderator. Tour. Sci. 2017, 31, 65–78. [Google Scholar]
- He, P.; He, Y.; Shi, C.; Xu, H.; Zhou, L. Cost-sharing contract design in a low-carbon service supply chain. Comput. Ind. Eng. 2020, 139, 106160. [Google Scholar] [CrossRef]
- Nair, A.; Narasimhan, R. Dynamics of competing with quality- and advertising-based goodwill. Eur. J. Oper. Res. 2006, 175, 462–474. [Google Scholar] [CrossRef]
- Zhao, L.; Li, C.; Guo, X. Research of cooperative relief strategy between government and enterprise based on differential game. Syst. Eng. Pract. 2018, 38, 885–898. [Google Scholar]
- Zu, Y.; Chen, L.; Yi, F. Research on low-carbon strategies in supply chain with environmental regulations based on differential game. J. Clean. Prod. 2018, 177, 527–546. [Google Scholar] [CrossRef]
- Kechagias, E.P.; Gayialis, S.P.; Konstantakopoulos, G.D.; Papadopoulos, G.A. An application of a multi-criteria approach for the development of a process reference model for supply chain operations. Sustainablity 2020, 12, 5791. [Google Scholar] [CrossRef]
- Yang, Y.; Wang, Y. Supplier selection for the adoption of green innovation in sustainable supply chain management practices: A case of the chinese textile manufacturing industry. Processes 2020, 8, 717. [Google Scholar] [CrossRef]
- Touboulic, A.; Mccarthy, L.; Matthews, L.; Ellram, L.; Carter, C.; Autry, C. Re-imagining supply chain challenges through critical engaged research. J. Supply Chain Manag. 2020, 56, 36–51. [Google Scholar] [CrossRef]
- Mu, Z.; Zheng, Y.; Sun, H. Cooperative Green Technology Innovation of an E-Commerce Sales Channel in a Two-Stage Supply Chain. Sustainablity 2021, 13, 7499. [Google Scholar] [CrossRef]
- Kechagias, E.P.; Gayialis, S.P.; Konstantakopoulos, G.D.; Papadopoulos, G.A. An application of an urban freight transportation system for reduced environmental emissions. Systems 2020, 8, 49. [Google Scholar] [CrossRef]
- Bullón Pérez, J.J.; Queiruga-Dios, A.; Gayoso Martínez, V.; Martín del Rey, Á. Traceability of Ready-to-Wear Clothing through Blockchain Technology. Sustainablity 2020, 12, 7491. [Google Scholar] [CrossRef]
- Paul, A.; Shukla, N.; Paul, S.K.; Trianni, A. Sustainable supply chain management and multi-criteria decision-making methods: A systematic review. Sustainablity 2021, 13, 7104. [Google Scholar] [CrossRef]
- Konstantakopoulos, G.D.; Papadopoulos, G.A.; Kechagias, E.P.; Gayialis, S.P. Traffic flow forecasting for city logistics: A literature review and evaluation. Int. J. Decis. Support. Syst. 2019, 4, 159. [Google Scholar] [CrossRef]








| Notation | Definitions |
|---|---|
| The probability of crisis events in a tourist attraction | |
| The regime before or after a crisis event in tourist attraction ( denotes the regime before the crisis, denotes the regime after the crisis) | |
| Impact factor of low-carbon service level on low-carbon goodwill in regime , | |
| Impact factor of big-data marketing level on low-carbon goodwill in regime , | |
| Decay factor of product goodwill, | |
| Low-carbon goodwill just before the crisis event | |
| Low-carbon goodwill just after the crisis event | |
| The moment of crisis events | |
| Loss rate of low-carbon goodwill (crisis damage rate), | |
| Cost factor of low-carbon service level, | |
| Cost factor of big data marketing level, | |
| Initial consumer demand for low-carbon tourist attractions in regime , | |
| Impact factor of big data marketing on consumer demand, | |
| Impact factor of low-carbon good will on consumer demand, | |
| The marginal benefits of LTA, | |
| The marginal benefits of OTA, | |
| Discount rate, | |
| Decision variables: | |
| The level of low-carbon service of LTA at time , the control variable of LTA | |
| The level of big data marketing of OTA at time , the control variable of OTA | |
| State variable: | |
| Low-carbon goodwill at time | |
| ↗ | ─ | ─ | ─ | ↗ | ↗ | ─ | ─ | ─ | ↘ | ↘ | ↘ | ↘ | |
| ─ | ─ | ↗ | ─ | ─ | ─ | ↗ | ↗ | ↗ | ↘ | ↘ | ↘ | ↘ | |
| ─ | ↗ | ─ | ─ | ─ | ↗ | ─ | ─ | ─ | ─ | ─ | ─ | ↘ | |
| ─ | ─ | ─ | ↗ | ─ | ─ | ─ | ↗ | ↗ | ─ | ─ | ─ | ↘ |
| ↗ | ─ | ─ | ─ | ↗ | ↗ | ─ | ─ | ─ | ↘ | ↘ | ↘ | ↘ | |
| ─ | ─ | ↗ | ─ | ↗ | ↗ | ↗ | ↗ | ↗ | ↘ | ↘ | ↘ | ↘ | |
| ─ | ↗ | ─ | ─ | ─ | ↗ | ─ | ─ | ─ | ─ | ─ | ─ | ↘ | |
| ─ | ─ | ─ | ↗ | ─ | ↗ | ─ | ↗ | ↗ | ─ | ─ | ─ | ↘ | |
| ─ | ─ | * | ─ | ↗ | ↗ | ↘ | ↘ | * | * | * | * | * | |
| ─ | ─ | ─ | ─ | ─ | ↗ | ─ | ↘ | ─ | ─ | ─ | ─ | ─ |
| ↗ | ─ | ─ | ─ | ↗ | ↗ | ↗ | ↗ | ─ | ↘ | ↘ | ↘ | ↘ | |
| ─ | ─ | ↗ | ─ | ↗ | ↗ | ↗ | ↗ | ↗ | ↘ | ↘ | ↘ | ↘ | |
| ─ | ↗ | ─ | ─ | ─ | ↗ | ─ | ↗ | ─ | ─ | ─ | ─ | ↘ | |
| ─ | ─ | ─ | ↗ | ─ | ↗ | ─ | ↗ | ↗ | ─ | ─ | ─ | ↘ |
Publisher’s Note: MDPI stays neutral with regard to jurisdictional claims in published maps and institutional affiliations. |
© 2021 by the authors. Licensee MDPI, Basel, Switzerland. This article is an open access article distributed under the terms and conditions of the Creative Commons Attribution (CC BY) license (https://creativecommons.org/licenses/by/4.0/).
Share and Cite
Zhang, L.; Ma, D.; Hu, J. Research on the Sustainable Operation of Low-Carbon Tourism Supply Chain under Sudden Crisis Prediction. Sustainability 2021, 13, 8228. https://doi.org/10.3390/su13158228
Zhang L, Ma D, Hu J. Research on the Sustainable Operation of Low-Carbon Tourism Supply Chain under Sudden Crisis Prediction. Sustainability. 2021; 13(15):8228. https://doi.org/10.3390/su13158228
Chicago/Turabian StyleZhang, Lu, Deqing Ma, and Jinsong Hu. 2021. "Research on the Sustainable Operation of Low-Carbon Tourism Supply Chain under Sudden Crisis Prediction" Sustainability 13, no. 15: 8228. https://doi.org/10.3390/su13158228
APA StyleZhang, L., Ma, D., & Hu, J. (2021). Research on the Sustainable Operation of Low-Carbon Tourism Supply Chain under Sudden Crisis Prediction. Sustainability, 13(15), 8228. https://doi.org/10.3390/su13158228

