Knowledge Sharing in R&D Teams: An Evolutionary Game Model
Abstract
1. Introduction
2. Literature Review
2.1. Knowledge Sharing
2.2. Knowledge Sharing as an Evolutionary Game
3. Construction and Analysis of an Evolutionary Game Model
3.1. Variable Definition and Model Assumptions
3.2. Model Establishment and Solution
3.3. Sensitivity of the Model Parameters
4. Simulation Analysis of Evolutionary Game Model
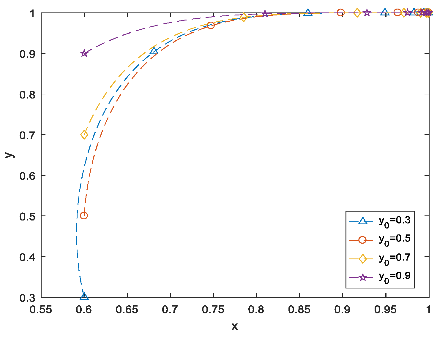
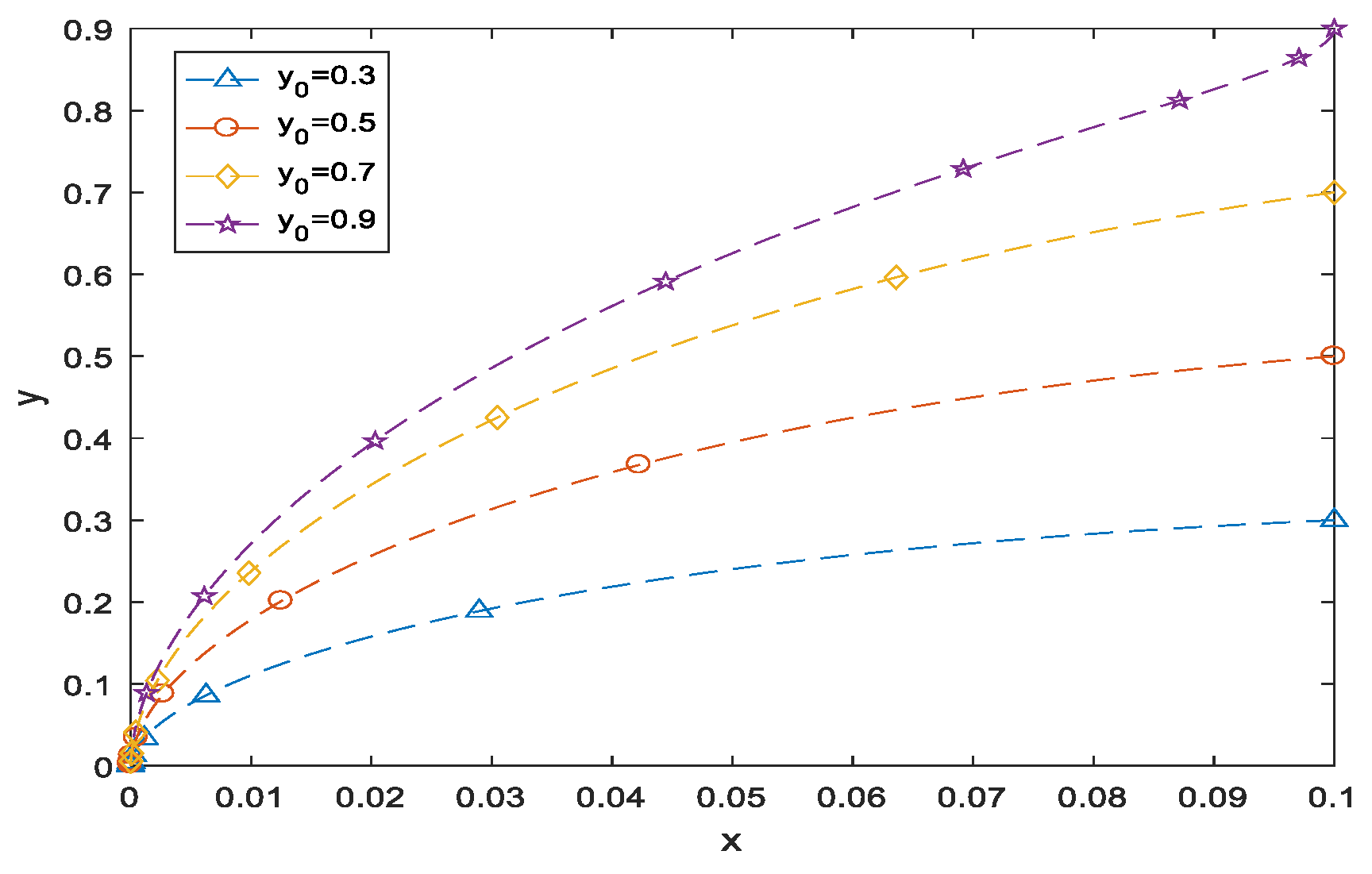
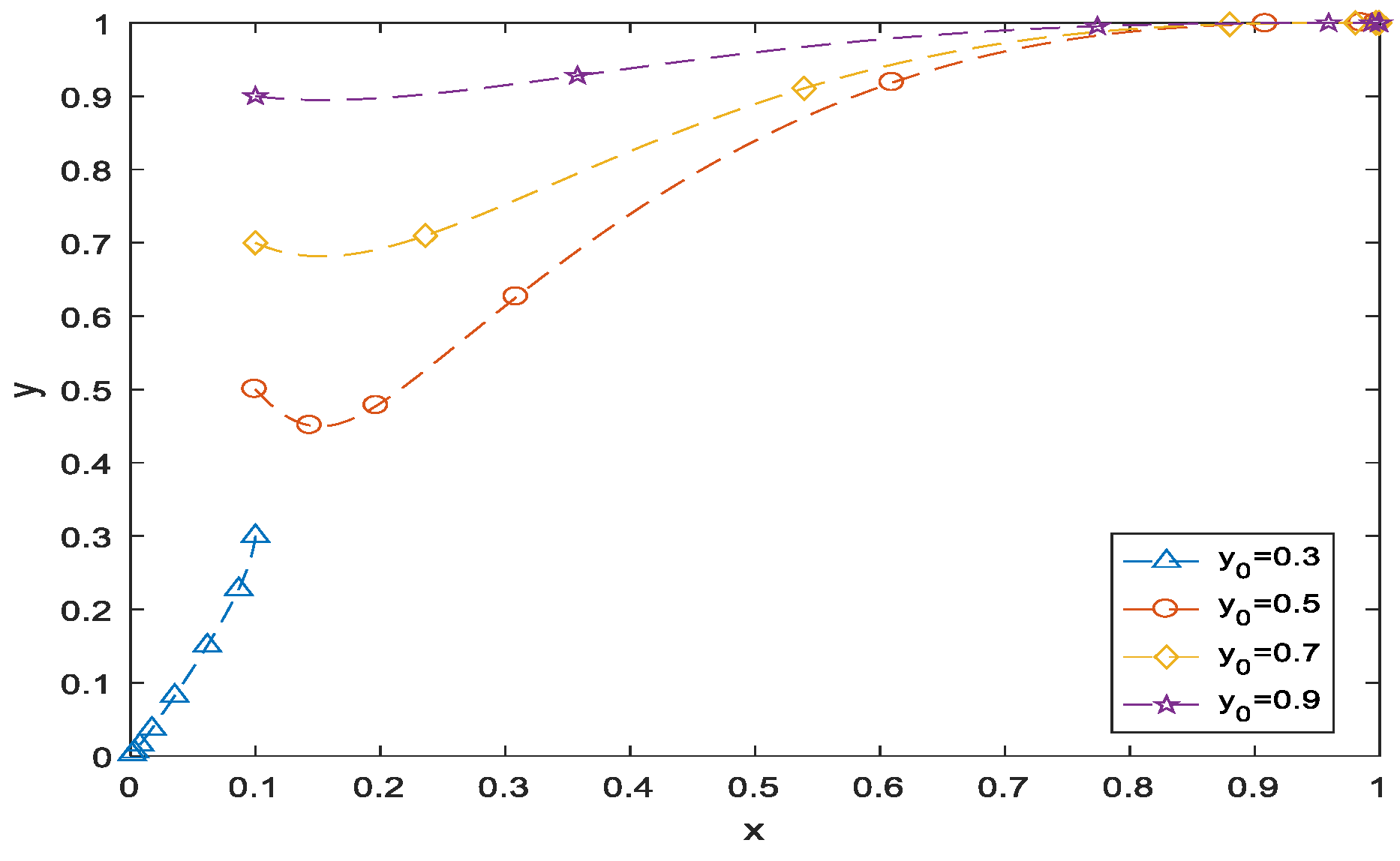
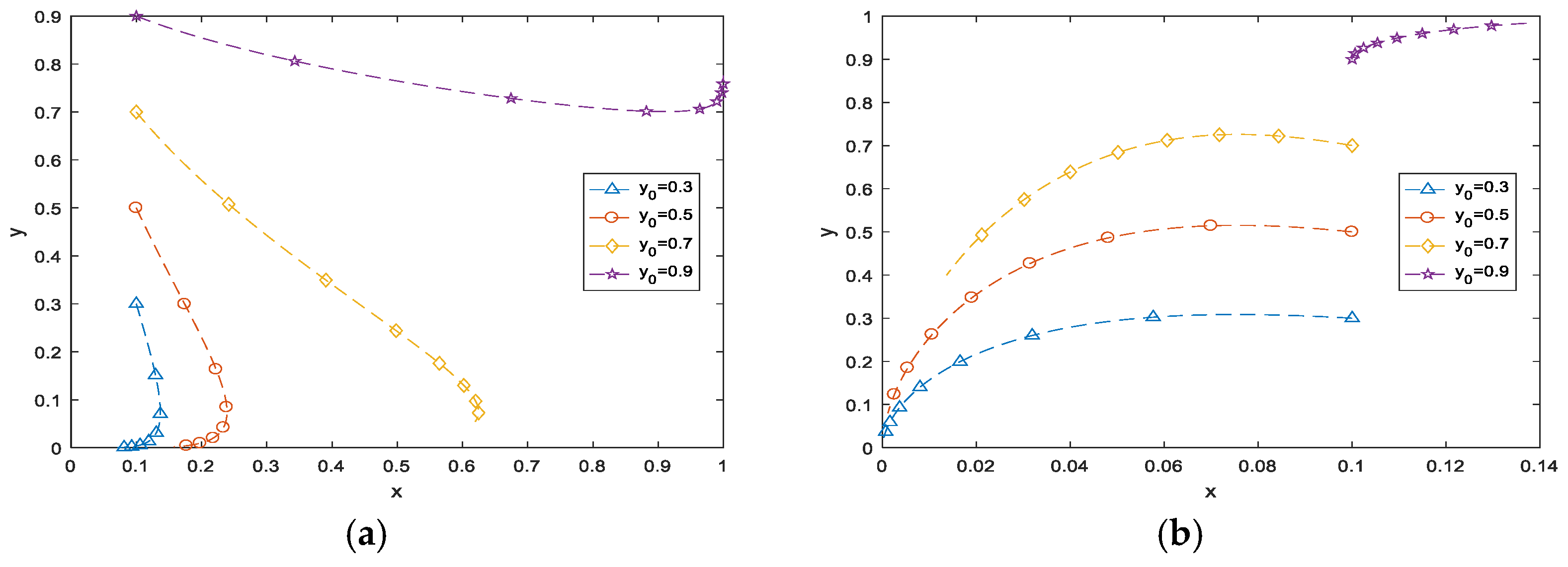
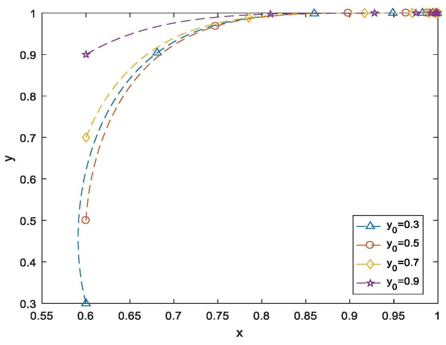
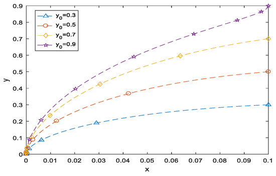
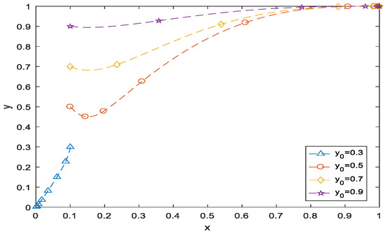
4.1. Impact of Initial Values
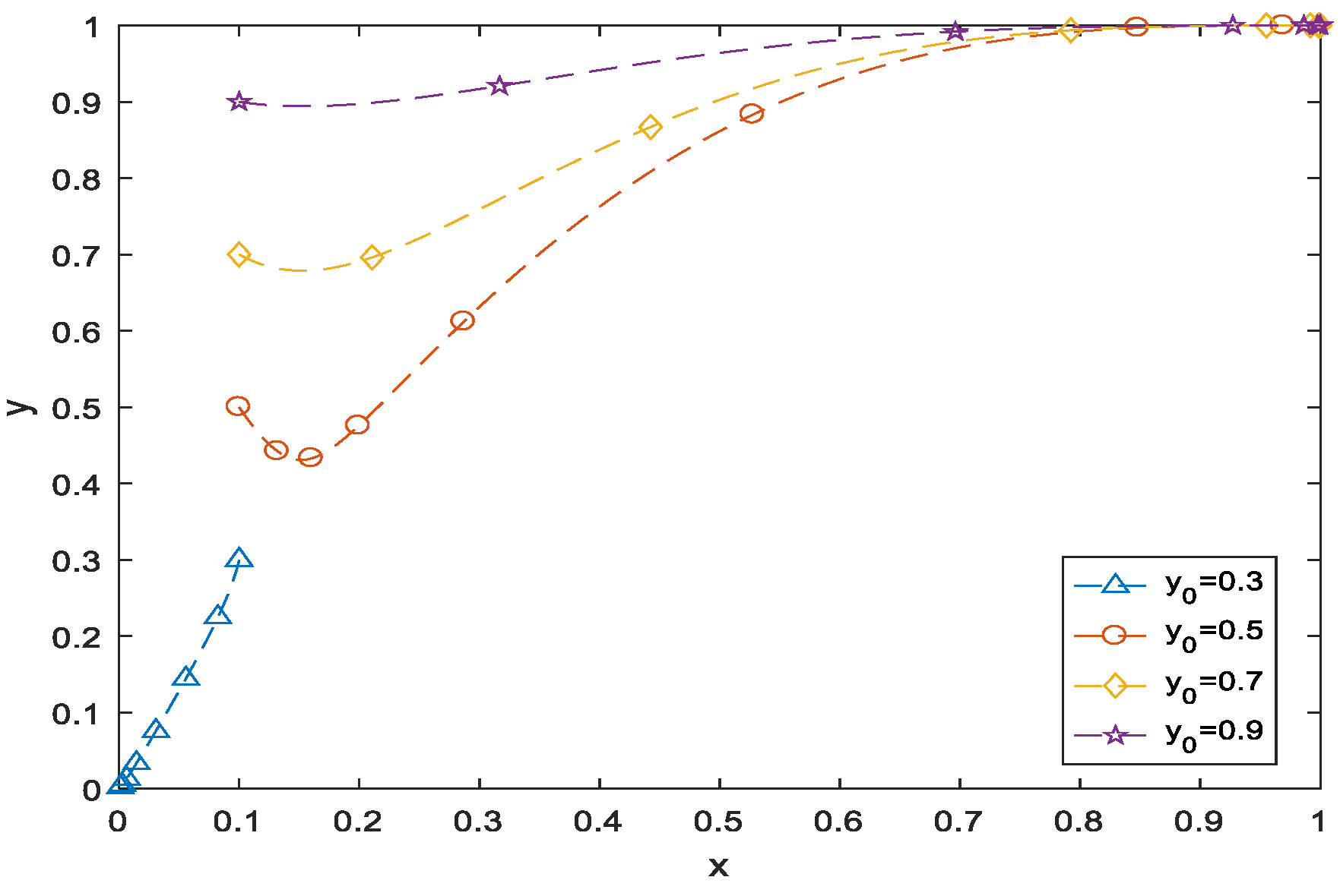
4.2. Impact of , and
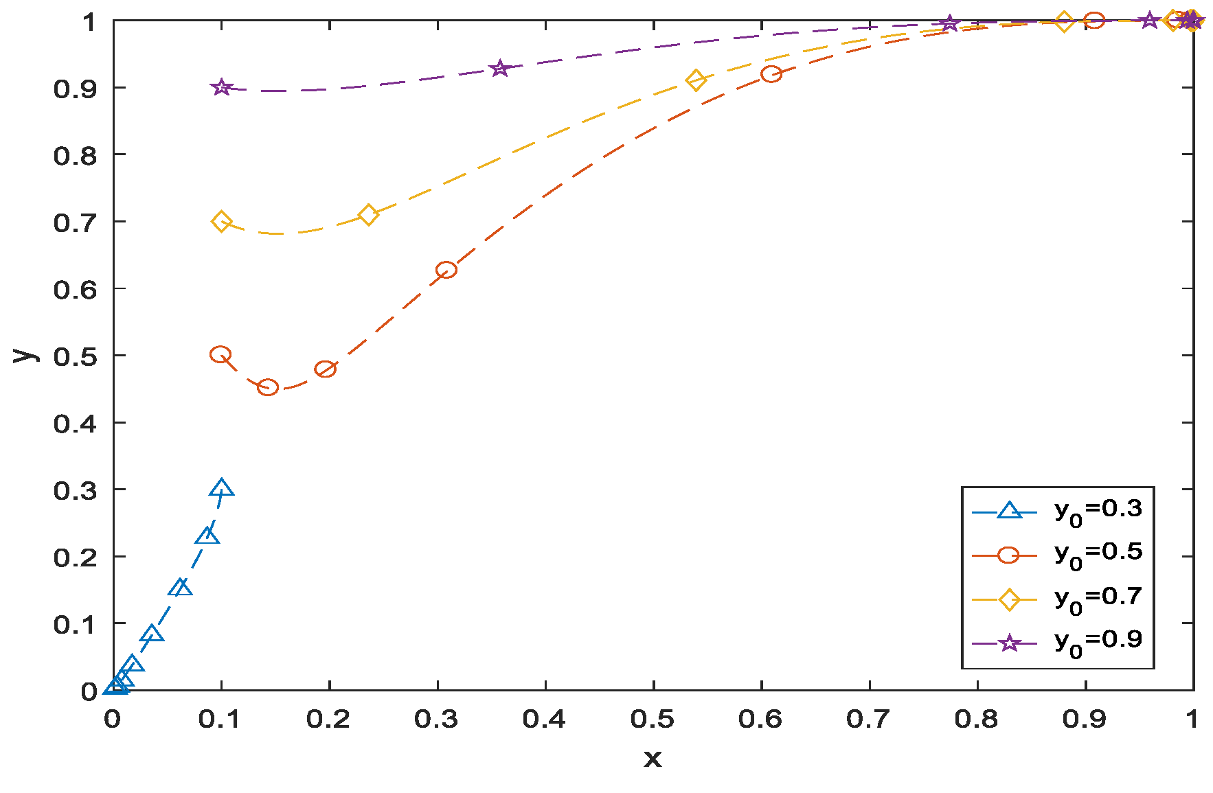
4.3. Impact of and
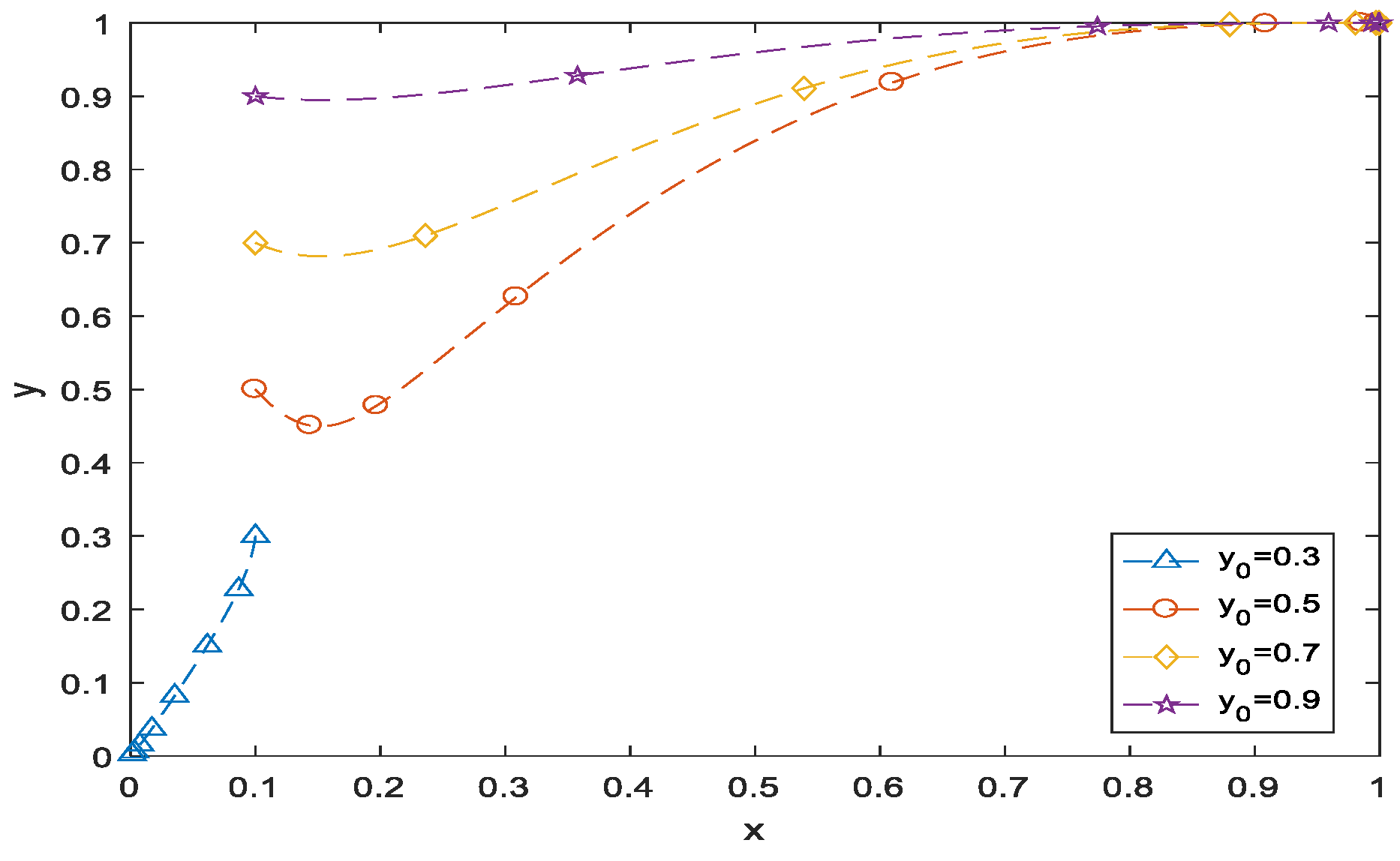
4.4. Impact of
5. Discussions and Conclusions
5.1. Theoretical Implication
5.2. Practical Implications
5.2.1. Formulate an Effective Team Selection Strategy
5.2.2. Create a Conducive Learning and Training System
5.2.3. Build a Knowledge-Sharing Platform
5.2.4. Reduce Knowledge-Sharing Associated Risks
5.2.5. Construct a Complementary Knowledge Structure
5.3. Limitation and Further Research
Author Contributions
Funding
Institutional Review Board Statement
Informed Consent Statement
Data Availability Statement
Conflicts of Interest
References
- Drucker, P.F. Post-Capitalist Society; Harper Collins: New York, NY, USA, 1993. [Google Scholar]
- Nonaka, I. The knowledge creating company. Harv. Bus. Rev. 1991, 69, 96–104. [Google Scholar]
- Ma, Z.; Yu, K. Research paradigms of contemporary knowledge management studies: 1998–2007. J. Knowl. Manag. 2010, 14, 175–189. [Google Scholar] [CrossRef]
- Grant, R.M. Toward a knowledge-based theory of the firm. Strateg. Manag. J. 1996, 17, 109–122. [Google Scholar] [CrossRef]
- Tang, H.; Ma, Z.; Xiao, J.; Xiao, L. Toward a more efficient knowledge network in innovation ecosystems: A simulated study on knowledge management. Sustainability 2020, 12, 6328. [Google Scholar] [CrossRef]
- Ma, Z.; Huang, Y.; Wu, J.; Dong, W.; Qi, L. What matters for knowledge sharing in collectivistic cultures? Empirical evidence from China. J. Knowl. Manag. 2014, 18, 1004–1019. [Google Scholar] [CrossRef]
- Yin, J.; Ma, Z.; Yu, H.; Jia, M.; Liao, G. Transformational leadership and employee knowledge sharing: Explore the mediating roles of psychological safety and team efficacy. J. Knowl. Manag. 2019, 24, 150–171. [Google Scholar] [CrossRef]
- Yu, H.; Shang, Y.; Wang, N.; Ma, Z. The mediating effect of decision quality on knowledge management and firm performance for Chinese entrepreneurs: An empirical study. Sustainability 2019, 11, 3660. [Google Scholar] [CrossRef]
- Nonaka, I.; Takeuchi, H. The Knowledge-Creating Company: How Japanese Companies Create the Dynamics of Innovation; Oxford University Press: New York, NY, USA, 1995. [Google Scholar]
- Ma, Z.; Lee, Y. Patent application and technological collaboration in inventive activities: 1980–2005. Technovation 2008, 28, 379–390. [Google Scholar] [CrossRef]
- Foss, N.J.; Pedersen, T. Transferring knowledge in MNCs: The role of sources of subsidiary knowledge and organizational context. J. Int. Manag. 2002, 8, 49–67. [Google Scholar] [CrossRef]
- Chen, W.Y.; Hsu, B.F.; Wang, M.L.; Lin, Y.Y. Fostering knowledge sharing through human resource management in R&D teams. Int. J. Technol. Manag. 2011, 53, 309–330. [Google Scholar]
- Wang, S.; Noe, R.A. Knowledge sharing: A review and directions for future research. Hum. Resour. Manag. Rev. 2010, 20, 115–131. [Google Scholar] [CrossRef]
- Nonaka, I. A Dynamic Theory of Organizational Knowledge creation. Organ Sci. 1994, 5, 14–37. [Google Scholar] [CrossRef]
- Ipe, M. Knowledge Sharing in Organizations: A Conceptual Framework. Hum. Resour. Dev. Rev. 2016, 2, 337–359. [Google Scholar] [CrossRef]
- Berends, H.; Bij, H.; Debackere, K.; Weggeman, M. Knowledge sharing mechanisms in industrial research. RD Manag. 2006, 36, 85–95. [Google Scholar] [CrossRef]
- Bhatt, G.D. Management strategies for individual knowledge and organizational knowledge. J. Knowl. Manag. 2002, 6, 31–39. [Google Scholar] [CrossRef]
- Lilleoere, A.M.; Holme Hansen, E. Knowledge-sharing enablers and barriers in pharmaceutical research and development. J. Knowl. Manag. 2011, 15, 53–70. [Google Scholar] [CrossRef]
- Bartol, K.M.; Srivastava, A. Encouraging Knowledge Sharing: The Role of Organizational Reward Systems. J. Leadersh. Organ. Stud. 2016, 9, 64–76. [Google Scholar] [CrossRef]
- Trkman, P.; Desouza, K.C. Knowledge risks in organizational networks: An exploratory framework. J. Strateg. Inf. Syst. 2012, 21, 1–17. [Google Scholar] [CrossRef]
- Wang, Z.; Wang, N. Knowledge sharing, innovation and firm performance. Expert Syst. Appl. 2012, 39, 8899–8908. [Google Scholar] [CrossRef]
- Cabrera, A.; Cabrera, E.F. Knowledge-Sharing Dilemmas. Organ. Stud. 2002, 23, 687–710. [Google Scholar] [CrossRef]
- Chang, J.J.; Hung, K.P.; Lin, M.J.J. Knowledge creation and new product performance: The role of creativity. RD Manag. 2014, 44, 107–123. [Google Scholar] [CrossRef]
- Valentim, L.; Lisboa, J.V.; Franco, M. Knowledge management practices and absorptive capacity in small and medium-sized enterprises: Is there really a linkage? RD Manag. 2015, 46, 711–725. [Google Scholar] [CrossRef]
- Zhu, Y.Q. Why and how knowledge sharing matters for R&D engineers. RD Manag. 2016, 47, 212–222. [Google Scholar]
- Zaheer, S.; Albert, S.; Zaheer, A. Time Scales and Organizational Theory. Acad. Manag. Rev. 1999, 24, 725–741. [Google Scholar] [CrossRef]
- Asrar-ul-Haq, M.; Anwar, S.; Nisar, T. A systematic review of knowledge management and knowledge sharing: Trends, issues, and challenges. Cogent Bus. Manag. 2016, 3, 1127744. [Google Scholar] [CrossRef]
- Davenport, T.H.; Prusak, L. Working Knowledge: How Organizations Manage What They Know; Harvard Business School Press: Boston, MA, USA, 1998. [Google Scholar]
- Huang, X.; Hsieh, J.J.; He, W. Expertise dissimilarity and creativity: The contingent roles of tacit and explicit knowledge sharing. J. Appl. Psychol. 2014, 99, 816–830. [Google Scholar] [CrossRef] [PubMed]
- Ho, C.T.B.; Hsu, S.F.; Oh, K.B. Knowledge sharing: Game and reasoned action perspectives. Ind. Manag. Data Syst. 2009, 109, 1211–1230. [Google Scholar] [CrossRef]
- Masa’deh, D.R.; Gharaibeh, E.A.H.; Tarhini, D.A.; Obeidat, D.B.Y. Knowledge Sharing Capability: A Literature Review. J. Bus. Manag. (COESRJ-JBM) 2016, 4, 1–13. [Google Scholar] [CrossRef]
- Staples, D.S.; Webster, J. Exploring the effects of trust, task interdependence and virtualness on knowledge sharing in teams. Inf. Syst. J. 2008, 18, 617–640. [Google Scholar] [CrossRef]
- Liu, N.C.; Liu, M.S. Human resource practices and individual knowledge-sharing behavior—An empirical study for Taiwanese R&D professionals. Int. J. Hum. Resour. Man. 2011, 22, 981–997. [Google Scholar]
- Akhavan, P.; Mahdi Hosseini, S. Social capital, knowledge sharing, and innovation capability: An empirical study of R&D teams in Iran. Technol. Anal. Strateg. Manag. 2015, 28, 96–113. [Google Scholar]
- Wu, W.-L. To Share Knowledge or Not: Dependence on Knowledge-Sharing Satisfaction. Soc. Behav. Personal. Int. J. 2013, 41, 47–58. [Google Scholar] [CrossRef]
- Nowak, M.A.; Sigmund, K. Evolutionary dynamics of biological games. Science 2004, 303, 793–799. [Google Scholar] [CrossRef]
- Aumann, R.J. Rationality and Bounded Rationality. Games Econ. Behav. 1997, 21, 2–14. [Google Scholar] [CrossRef]
- Chua, A. Knowledge sharing: A game people play. Aslib. Proc. 2003, 55, 117–129. [Google Scholar] [CrossRef]
- Shih, M.H.; Tsai, H.T.; Wu, C.C.; Lu, C.H. A holistic knowledge sharing framework in high-tech firms: Game and co-opetition perspectives. Int. J. Technol. Manag. 2006, 36, 354–367. [Google Scholar] [CrossRef]
- Bandyopadhyay, S.; Pathak, P. Knowledge sharing and cooperation in outsourcing projects—A game theoretic analysis. Decis. Support Syst. 2007, 43, 349–358. [Google Scholar] [CrossRef]
- Liu, L.; Chen, G.; Niu, X. Game analysis of the knowledge sharing mechanism for the supply chain collaborative innovation. J. Ind. Eng. Manag. 2015, 8, 152–169. [Google Scholar] [CrossRef]
- Du, Y.; Zhou, H.; Yuan, Y.; Liu, X. Explore Knowledge-Sharing Strategy and Evolutionary Mechanism for Integrated Project Team Based on Evolutionary Game Model. Adv. Civ. Eng. 2019, 2019, 1–23. [Google Scholar]
- Foss, N.J.; Husted, K.; Michailova, S. Governing Knowledge Sharing in Organizations: Levels of Analysis, Governance Mechanisms, and Research Directions. J. Manag. Stud. 2010, 47, 455–482. [Google Scholar] [CrossRef]
- Denford, J.S.; Chan, Y.E. Knowledge strategy typologies: Defining dimensions and relationships. Knowl. Manag. Res. Pract. 2011, 9, 102–119. [Google Scholar] [CrossRef]
- Hofbauer, J.; Sigmund, K. Evolutionary game dynamics. Bull. Amer. Math. Soc. 2003, 40, 479–519. [Google Scholar] [CrossRef]
- Devine, D.J. Effects of Cognitive Ability, Task Knowledge, Information Sharing, and Conflict on Group Decision-Making Effectiveness. Small Group Res. 2016, 30, 608–634. [Google Scholar] [CrossRef]
- Cohen, W.M.; Levinthal, D.A. Absorptive capacity: A new perspective on learning and innovation. Adm. Sci. Q. 1990, 35, 128–152. [Google Scholar] [CrossRef]
- Szulanski, G. Exploring internal stickiness: Impediments to the transfer of best practice within the firm. Strateg. Manag. J. Spec. Issue: Knowl. Firm 1996, 17, 27–44. [Google Scholar] [CrossRef]
- Yin, J.; Jia, M.; Ma, Z.; Liao, G. Team leader’s conflict management styles and innovation performance in entrepreneurial teams. Int. J. Confl. Manag. 2020, 37, 373–392. [Google Scholar] [CrossRef]
- Yao, Z.; Yang, Z.; Fisher, G.J.; Ma, C.; Fang, E. Knowledge complementarity, knowledge absorption effectiveness, and new product performance: The exploration of international joint ventures in China. Int. Bus. Rev. 2013, 22, 216–227. [Google Scholar] [CrossRef]










| B | Knowledge Sharing | Knowledge Retention | |
|---|---|---|---|
| A | |||
| Knowledge Sharing | |||
| Knowledge retention | |||
| Equilibrium Point | detJ | trJ | Stability |
|---|---|---|---|
| (0,0) | + | − | ESS |
| (0,1) | + | + | Unstable |
| (1,0) | + | + | Unstable |
| (1,1) | + | − | ESS |
| (x*, y*) | − | 0 | Saddle point |
Publisher’s Note: MDPI stays neutral with regard to jurisdictional claims in published maps and institutional affiliations. |
© 2021 by the authors. Licensee MDPI, Basel, Switzerland. This article is an open access article distributed under the terms and conditions of the Creative Commons Attribution (CC BY) license (https://creativecommons.org/licenses/by/4.0/).
Share and Cite
Xiao, J.; Bao, Y.; Wang, J.; Yu, H.; Ma, Z.; Jing, L. Knowledge Sharing in R&D Teams: An Evolutionary Game Model. Sustainability 2021, 13, 6664. https://doi.org/10.3390/su13126664
Xiao J, Bao Y, Wang J, Yu H, Ma Z, Jing L. Knowledge Sharing in R&D Teams: An Evolutionary Game Model. Sustainability. 2021; 13(12):6664. https://doi.org/10.3390/su13126664
Chicago/Turabian StyleXiao, Jiuling, Yuting Bao, Jiankang Wang, Haiyun Yu, Zhenzhong Ma, and Lei Jing. 2021. "Knowledge Sharing in R&D Teams: An Evolutionary Game Model" Sustainability 13, no. 12: 6664. https://doi.org/10.3390/su13126664
APA StyleXiao, J., Bao, Y., Wang, J., Yu, H., Ma, Z., & Jing, L. (2021). Knowledge Sharing in R&D Teams: An Evolutionary Game Model. Sustainability, 13(12), 6664. https://doi.org/10.3390/su13126664

